Acta Agronómica
0120-2812
Universidad Nacional de Colombia
https://doi.org/10.15446/acag.v72n3.102491

Recibido: 4 de mayo de 2022; Aceptado: 11 de marzo de 2024

Arreglos espaciales y fertilizante nitrogenado en maíz en siembra directa

Spatial arrangements and nitrogen fertilizer in maize in direct sowing

E. Morel-López, 1O. Caballero-Casuriaga, 1M. Da Silva-Oviedo, 1A. Servín-Niz, 1D. López-Avalos, 1W. Lugo-Pereira, 1

Universidad Nacional de Concepción, Paraguay. lopezeulalio@hotmail.com; cabariaga1305@gmail.com; dasilvaoviedomodesto@gmail.com; servinamilcar@gmail.com; derlysfernando@hotmail.com; wdlugo.26@hotmail.com Universidad Nacional de Concepción Universidad Nacional de Concepción Paraguay

Resumen

El objetivo del estudio fue evaluar el efecto de dos arreglos espaciales y cinco dosis de fertilizante nitrogenado en maíz cultivado en siembra directa. El experimento fue realizado en el distrito de Belén, Concepción, Paraguay, en el ciclo productivo 2017/2018. Se utilizó un diseño en bloques completos al azar (DBCA), con arreglo en parcelas subdivididas (2x5), correspondiendo la parcela principal al arreglo espacial (0.2 m entre plantas con 1 planta por punto de siembra y 0.4 m entre plantas con 2 plantas por punto de siembra); y la parcela secundaria, a dosis de N (0, 50, 100, 150 y 200 kg ha-1) con cuatro repeticiones. Las variables estudiadas fueron: altura de la planta (AP), altura de inserción de mazorca (AIM), diámetro de mazorca (DM), longitud de mazorca (LM), número de hileras de grano por mazorca (NHM), número de granos por hilera (NGH) y rendimiento de grano. Los datos fueron sometidos al análisis de varianza (Anova) y las medias de las variables fueron comparadas por el test de Tukey al 5 % de probabilidad de error y análisis de regresión para dosis de nitrógeno. Los resultados arrojados por el experimento indican que el arreglo espacial del distanciamiento de 0.20 m y 1 planta por punto de siembra de maíz en siembra directa favoreció significativamente en la mayoría de las variables. La aplicación de fertilizante nitrogenado mostró efectos significativos sobre las variables estudiadas, ajustándose a una ecuación cuadrática, excepto NGH, que se ajusta en forma lineal. La aplicación de 119.89 kg ha-1 N a las plantas de maíz cultivadas con un distanciamiento de 0.2 m y 1 planta por punto de siembra registró los mayores rendimientos.

Palabras clave:

distanciamiento, fertilizante mineral, punto de siembra, rendimiento, Zea mays L.

Abstract

The objective of the study was to evaluate the effect of two spatial arrangements and five doses of nitrogen fertilizer on maize crops in direct sowing. The experiment was carried out in the district of Belén, Concepción, Paraguay, in the 2017/2018 production cycle. A randomized complete block design (RCBD) was used, with an arrangement in split plots (2x5), with the main plot corresponding to a spatial arrangement (0.2 m between plants with 1 plant per planting point and 0.4 m between plants with 2 plants per planting point), and the subplots to N doses (0, 50, 100, 150 and 200 kg ha-1) with four replicates. The variables studied were plant height (PH), ear insertion height (EIH), ear diameter (ED), ear length (EL), number of grain rows per ear (NRE), number of grains per row (NGR) and grain yield. The data were subjected to analysis of variance (Anova) and the means of the variables were compared by the Tukey’s test at 5 % probability of error and regression analysis for nitrogen doses. The results obtained from the experiment indicate that the spatial arrangement of 0.20 m and 1 plant per planting point of maize in direct sowing significantly favoured most of the variables. The application of nitrogen fertilizer showed significant effects on the variables studied, adjusting to a quadratic equation, except for NGR, which was adjusted linearly. The application of 119.89 kg ha-1 N to maize plants grown with a spacing of 0.2 m and 1 plant per planting point recorded the highest yields.

Keywords:

mineral fertilizer, planting point, spacing, yield, Zea mays L.

Introducción

En el departamento de Concepción, la mayoría de los suelos donde se cultiva el maíz se encuentran degradados, debido, en gran parte, a que la modernización agrícola muchas veces ha predispuesto el suelo a una sobreexplotación, lo cual lo agota o, por lo menos, lo lleva a una pérdida de sus propiedades físicas, químicas y biológicas, que ocasiona severos efectos de erosión y una disminución en la productividad de los cultivos (Florentín et al., 2011). Por tanto, una alternativa para evitar estos eventos es el uso del sistema de siembra directa, que ayuda a mantener mayor contenido de agua en el suelo y a reducir las emisiones CO2 a la atmósfera, con sus respectivos beneficios, capaces de promover el aumento de la producción y la acumulación de masa vegetal, además de controlar los procesos erosivos (Guimarães, 2015).

Marschner (2012) y Prado y Campos (2018) señalan que el nitrógeno es un elemento esencial y limitante en el rendimiento de los cultivos. Los criterios para definir la cantidad de nitrógeno a ser suministrada se basan, normalmente, en el historial del área, calidad del suelo, contenido de materia orgánica y de N mineral, antecedentes de manejo, la expectativa de rendimiento (Amado et al., 2002). Además, el N es indispensable pues el maíz lo absorbe en cantidades, y es uno de los que más condiciona en el rendimiento de grano. De hecho, la manipulación incorrecta del suministro de N provocará bajos niveles de asimilación por las plantas y consecuentemente baja productividad (Anas et al., 2020). Por ende, uno de los principales desafíos para la producción de maíz consiste, como lo mencionan Lundy et al. (2015), en abastecer al cultivo con cantidades adecuadas de este elemento, junto con la implementación del sistema de siembra directa (Verzeaux et al., 2017).

La disponibilidad de N por debajo de los rangos, que se presentan en diversas ocasiones por manejo inadecuado, determina drásticas disminuciones en los rendimientos y la productividad del maíz; especialmente con el aumento de la densidad de siembra, debido a la competencia entre plantas, las cuales presentan estrés ante la baja disponibilidad de este elemento (Al-Naggar et al., 2015).

La densidad de plantas es un factor crucial que proporciona estimaciones más confiables para mejorar el complejo proceso agrícola de seleccionar la tasa de siembra adecuada para cada ambiente (Lacasa et al., 2020).

Para lograr una densidad adecuada de plantas en un entorno específico es fundamental tener en cuenta que la mayoría de los cultivos de cereales presentan una relación asintótica entre rendimiento y densidad de población (Echarte et al., 2000 y Wu et al., 2023). Cuando la densidad de plantas está por debajo del óptimo cada planta tendrá más recursos disponibles, lo que puede resultar en un mayor crecimiento individual de las plantas. Sin embargo, a nivel de población, el rendimiento general será menor que cuando el dosel tiene el número óptimo de plantas. Esto se debe a que la densidad óptima maximiza la captura de luz y el crecimiento del dosel (Lacasa et al., 2020).

Por otra parte, la alta densidad de siembra de maíz es un recurso frecuentemente empleado para aumentar los rendimientos. No obstante, este enfoque conlleva a incrementar la competencia intraespecífica por recursos como la radiación solar, el agua y los nutrientes. Esto puede resultar en una disminución del rendimiento por planta, aunque se coseche un mayor número de plantas (Quevedo et al., 2018).

Por lo tanto, se hace necesario implementar tecnología alternativa y fomentar una producción sustentable, especialmente para pequeños productores. Esto nos lleva a proponer el objetivo de evaluar el efecto de dos arreglos espaciales y cinco dosis de fertilizante nitrogenado en maíz cultivado en siembra directa.

Materiales y métodos

El experimento se realizó en el distrito de Belén, departamento de Concepción, Paraguay, bajo las coordenadas geográficas: 23° 25' 35.5'' S y 57° 18' 12.9'' W, a una altitud de 123 m s.n.m., y durante el periodo comprendido entre noviembre del 2017 a marzo del 2018.

El clima de la región se caracteriza por presentar una temperatura promedio de 24 ºC, con máximas que pueden llegar hasta los 45 ºC en verano, y mínima de hasta 6 ºC en invierno, con leve incidencia de heladas. La precipitación media anual es de 1300 mm. Los datos promedio, considerando la precipitación y temperatura decenales durante el transcurso del experimento se muestran en la Figura 1 (DMH, 2018).

Temperatura media y precipitación en el periodo de noviembre 2017 a marzo de 2018.

Figura 1: Temperatura media y precipitación en el periodo de noviembre 2017 a marzo de 2018.

El suelo fue clasificado como orden alfisol y subgrupo Mollic Paleudalf (López et al., 1995). Se tomó una muestra compuesta de suelo entre los 0 a 20 cm de profundidad, la cual fue remitida al laboratorio de suelo para el análisis. Los atributos químicos del suelo fueron: P (Mehlich-1): 5.32 mg dm-3; M.O.: 8.37 g dm-3; pH (CaCl2): 5.30; K: 0.09 cmol dm-3; Ca: 1.94 cmol dm-3; Mg: 0.55 cmol dm-3; H+Al: 2.19 cmol dm-3; SB:2.58 cmol dm-3; CIC: 4.77 cmol dm-3 y V: 54.04 %.

El diseño experimental utilizado fue en Bloques Completos al Azar (DBCA) con parcelas subdividas, dispuestos en esquema factorial (2x5), con cuatro repeticiones, correspondiendo la parcela principal a 2 arreglos espaciales (0.2 m entre plantas con 1 planta por punto de siembra y 0.4 m entre plantas con 2 plantas por punto de siembra); y la parcela secundaria, a 5 dosis de fertilizante nitrogenado (0,50, 100, 150 y 200 kg ha-1); en la Tabla 1 se observa la descripción de los tratamientos. Cada parcela tuvo una dimensión de 17.5 m2, siendo 5 m largo y 3.5 m ancho. Como área útil fueron consideradas 4.0 m de largo y 2.1 m de ancho.

Tabla 1: Descripción de los tratamientos utilizados en el experimento

* Dosis recomendada (DR) del laboratorio para el cultivo. D2: 50 % menos de la DR. D4: 50 % más de la DR. D5: 100 % más de la DR.

Antes de la instalación del experimento, el área fue cultivada con las secuencias de Avena strigosa + Brassica rapa L./maíz (2015/2016); Cajanus cajan/maíz (2016/2017), con aplicación de fertilizantes minerales en los cultivos. Para esta investigación fue utilizada la cobertura de maíz/Mucuna pruriens (01/2017). Por su parte, la planta de cobertura fue manejada en plena floración, con rolo cuchillo para el acamamiento de las plantas y, posteriormente, se aplicó herbicida glifosato 3 L ha-1, con una concentración de 48 % p/v. La siembra de maíz se realizó con una sembradora manual, utilizando el híbrido DKB 390 VT3P, con un espaciamiento entre hilera de 0.70 m. 20 días después de la emergencia se realizó el raleo para cumplir con los arreglos espaciales propuestos en los tratamientos, con una densidad poblacional aproximada de 71 400 plantas por hectárea para ambos arreglos espaciales.

La fuente de fertilizante nitrogenado usada fue urea, aplicándose con la siembra 30 % de nitrógeno estipulada en cada tratamiento, y el 70 % restante fue aplicado en cobertura 35 días después de la emergencia. Los otros fertilizantes minerales se realizaron junto con la siembra, en la dosis de 58 kg ha-1 P2O5 y 60 kg ha-1 K2O, usando como fuente Súper Fosfato Triple y cloruro de potasio, respectivamente. Estos se realizaron con base al análisis de suelo, para suplir las necesidades del cultivo.

El control de malezas fue realizado en forma manual y el control de plagas fue realizado mediante insecticida (Thiodicarb 150 gr ha-1) para eliminar el gusano cogollero (Spodoptera frugiperda). La cosecha se realizó cuando la planta cumplió su estadio fenológico (R6), 115 días después de la siembra.

Se evaluaron las siguientes variables:

Altura de la planta (cm): la medición fue realizada al final del ciclo del cultivo, con la ayuda de una cinta métrica desde la base hasta el cuello de hoja bandera, con 10 plantas elegidas al azar del área seleccionada (Steusloff et al., 2019).

Altura de inserción de mazorca (m): determinada en el ciclo final del cultivo, midiéndose desde la 35,00 base de la planta hasta la inserción de la primera mazorca (Steusloff et al., 2019).

Diámetro de mazorca (cm): fue obtenido midiendo la parte central de 10 mazorcas extraídas de la parcela útil con la utilización de un calibrador vernier (Steusloff et al., 2019).

Longitud de mazorca (cm): se midió desde la base hasta el ápice de las 10 mazorcas extraídas de la parcela útil, utilizando una regla centimetrada (Belay et al., 2023).

Número de hileras de grano por mazorca: fueron seleccionadas 10 mazorcas de cada unidad experimental y fueron contadas las líneas de cada una de las mazorcas (Mosisa et al., 2022).

Número de granos por hilera: se contaron los granos encontrados en una hilera de granos de 10 mazorcas de plantas tomadas al azar (Mosisa et al., 2022).

Rendimiento de grano (kgha-1): se procedió al pesaje de los granos obtenidos del área útil y ajustados al 14 % de humedad, utilizando la balanza digital (KERN PLS, máximo 1200 gr con una precisión de 0.001 gr) (Cambouris et al., 2016).

Con los resultados obtenidos en cada unidad experimental en función de las determinaciones, se utilizó el software estadístico Agrostat (Barbosa y Maldonado, 2015) para el análisis de varianza (Anova), y con los resultados que fueron significativas se realizaron pruebas de comparación por el test de Tukey al 5 % y análisis de regresión para factor dosis de nitrógeno.

Resultados

Se encontraron efectos principales significativos para arreglos espaciales en las diferentes variables evaluadas, excepto altura de inserción de mazorca y número de hileras por mazorca. Para el fertilizante nitrogenado hubo significancia en el análisis de regresión. La interacción solo resultó significativa al 1 % para el rendimiento (Tabla 2).

Tabla 2: Probabilidad estadística (F) de detección de diferencias entre tratamientos de arreglos espaciales y fertilizante nitrogenado en maíz en siembra directa para distintas variables

ns: no significativo; (*) (**) significativo al 5 y 1 % de probabilidad. 1Regresión lineal; 2Regresión cuadrática. Altura de la planta (AP), altura de inserción de mazorca (AIM), diámetro de mazorca (DM), longitud de mazorca (LM), número de hileras por mazorca (NHM) y número de granos por hilera (NGH). Rendimiento (REN). AEXFN: arreglos espaciales x fertilizante nitrogenado.

Altura de la planta y altura de inserción de mazorca

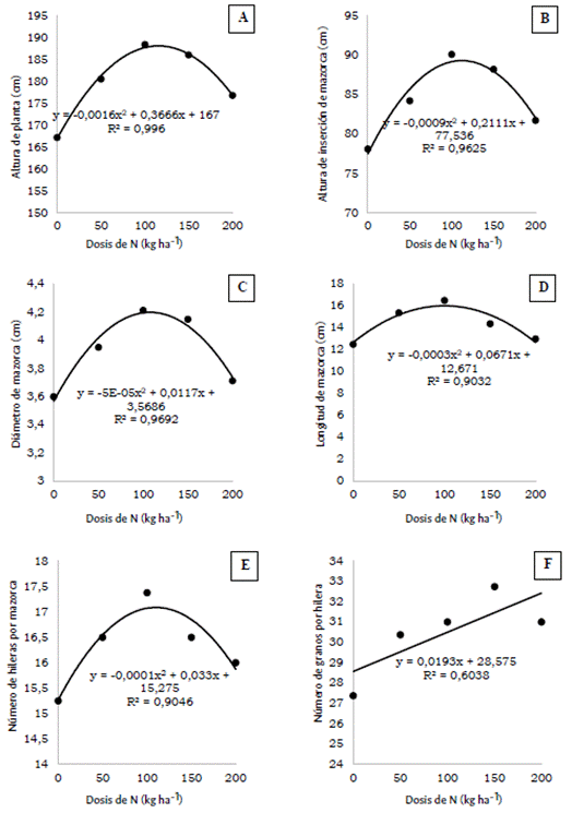
Analizando la respuesta del factor arreglo espacial de maíz sobre la altura de planta, se observó que el distanciamiento de 0.2 m entre planta y 1 planta por punto de siembra resultó en un aumento del 4.5 % en la altura, en comparación con el otro tratamiento. Sin embargo, no se observaron diferencias significativas en cuanto a la altura de inserción de la mazorca (Tabla 2). En la dosis creciente de nitrógeno se observó un efecto cuadrático en las variables altura de planta y altura de inserción de mazorca, con punto de máxima eficiencia agronómica de 188.00 cm de altura con la dosis de 114.56 kg ha-1 N y 89.91 cm de AIM con la dosis de 117.28 kg ha-1 de N, respectivamente, siendo presentados en la Figura 2 (A y B).

Análisis de regresión para altura de la planta (A), altura de inserción de mazorca (B), diámetro de mazorca (C), longitud de mazorca (D), número de hileras por mazorca (E) y número de granos por hilera (F), en función de dosis de fertilizante nitrogenado en maíz en siembra directa.

Figura 2: Análisis de regresión para altura de la planta (A), altura de inserción de mazorca (B), diámetro de mazorca (C), longitud de mazorca (D), número de hileras por mazorca (E) y número de granos por hilera (F), en función de dosis de fertilizante nitrogenado en maíz en siembra directa.

Diámetro de mazorca de maíz

En el arreglo espacial (Tabla 3) se observó que el mayor valor de diámetro de mazorca de maíz se registró en el espaciamiento de 0.20 m entre planta y 1 planta por punto de siembra (4.12 cm) en relación al espaciamiento de 0.40 m entre planta y 2 plantas por punto de siembra (3.72 cm). Por otro lado, la dosis de nitrógeno aplicada mostró una respuesta cuadrática, con un punto máximo de 4.20 cm de diámetro de mazorca alcanzado con una dosis de 108.33 kg ha-1 de N (Figura 2 C).

Tabla 3: Medias de altura de la planta (AP), altura de inserción de mazorca (AIM), diámetro de mazorca (DM), longitud de mazorca (LM), número de hileras por mazorca (NHM) y número de granos por hilera (NGH) influenciados por arreglos espaciales de maíz en siembra directa

Medias seguidas por la misma letra no difieren entre sí por el test de Tukey al 5 %; C.V: coeficiente de variación; Dms: diferencia mínima significativa. M.G: media general.

Longitud de mazorca

Para longitud de mazorca (Tabla 3), en el arreglo espacial de 0.20 m entre plantas y 1 planta por punto de siembra con relación al otro tratamiento, ambos presentaron valores diferentes. Con respecto al fertilizante nitrogenado (Figura 2 D), se observó que hubo diferencia estadística en el análisis de regresión, la cual fue influenciada a una respuesta cuadrática entre la dosis de fertilizante estudiado, siendo que el punto máximo se registró con el 111.83 kg ha-1 de N, logrando una longitud de 16.42 cm de mazorca.

Número de hilera por mazorca

Para el número de hilera por mazorca (Tabla 3), en el arreglo espacial de 0.20 m y 1 planta por punto de siembra se cuantificó el mayor número, diferenciándose de 0.40 m/2 plantas por punto de siembra. En relación al fertilizante nitrogenado (Figura 2 E) se observó una diferencia significativa en el análisis de regresión, la cual adoptó una respuesta cuadrática. A partir de este modelo se verificó que el número de granos por hilera con máxima eficiencia agronómica fue de 18 granos, obtenido con la dosis de 165.00 kg ha-1 de N.

Número de granos por hilera

El número de granos por hilera (Tabla 3) en el caso del factor arreglo espacial de maíz en siembra directa, la mayor cantidad de granos se registra en el distanciamiento de 0.20 m y 1 planta por punto de siembra. Además, se destaca que esta variable aumenta de forma lineal con el incremento de la dosis de nitrógeno, como se muestra en la Figura 2 F.

Rendimiento de grano

Los datos obtenidos en la variable de rendimiento de maíz (Figura 3) indican la interacción significativa al 5 % entre arreglo espacial y dosis de nitrógeno evaluado en siembra directa, por lo que se prosiguió a ajustar un modelo de regresión polinómica para la aplicación de fertilizante nitrogenado (0; 50; 100 y 150 kg ha-1). En cuanto al distanciamiento de 0.20 m de planta y 1 una planta por punto de siembra (AE1), se alcanza un rendimiento máximo de 5249.9 kg ha-1 con una dosis de nitrógeno correspondiente a 119.89 kg ha-1. Con respecto al distanciamiento de 0.40 m y 2 plantas por punto de siembra (AE2), se registra un rendimiento máximo de 4565.42 kg ha-1 con una dosis de nitrógeno de 122.56 kg ha-1.

Discusión

La altura de planta de maíz fue influenciada por el arreglo espacial en siembra directa, determinándose como mejor distanciamiento el de 0.2 m entre planta y 1 planta por punto de siembra (184.05 cm) debido a que la planta no sufre la competencia por los nutrientes (Dangariya et al., 2017); estos resultados no concuerdan con los reportados por Quevedo et al. (2018) quienes cuantificaron alturas de entre 290 a 310 cm con alta densidad (87 000 a 128 571 plantas ha-1), debido a que la alta densidad provoca el alargamiento del tallo y, por tanto, mayor altura de planta (Gou et al., 2017). El aumento en la altura de las plantas y en la altura de inserción de mazorca con el incremento en los niveles de nitrógeno podría deberse al aumento del tamaño celular y del crecimiento vegetativo debido a la aplicación de nitrógeno en siembra directa (Asibi et al., 2019). Estos resultados coinciden con los reportados por Oliveira et al. (2009), quienes alcanzaron una altura máxima con una dosis de 100 kg ha1 de N. L. Bastos et al. (2014) también obtuvieron resultados similares con la misma dosis. Al contrario de lo que ocurrió en el presente experimento, no concuerdan con los datos obtenidos por Cardoso et al. (2011) en cuanto a la altura de inserción de mazorca, quienes no encontraron diferencias significativas como efectos de las dosis donde se utilizó la fuente de urea en siembra directa.

La aplicación de fertilizante nitrogenado en el cultivo permitió aumentar tanto el diámetro como la longitud de mazorca, debido a la acumulación de nutriente (N) en la biomasa aérea, los cuales posteriormente se distribuyen en los componentes productivos (Wu et al., 2023). Estos resultados concuerdan con los reportados por Marini et al. (2015), quienes constataron a una tendencia linear en el diámetro de la mazorca con la aplicación de dosis de nitrógeno.

Además, los resultados de la longitud de mazorca fueron similares a los encontrados por Marini et al. (2015), quienes verificaron efectos distintos y una respuesta cuadrática con la aplicación de diferentes dosis de nitrógeno. Sin embargo, los resultados difieren de los demostrados por Dotto et al. (2010), quienes encontraron que no hubo respuesta positiva a la aplicación de nitrógeno en la longitud de mazorca.

Esta diferencia podría deberse al hecho de que el experimento se llevó a cabo en condiciones de siembra directa. En cuanto al número de hilera por mazorca fue influenciado por la dosis de nitrógeno y se verificaron respuestas iguales con los resultados conseguidos por Mendes et al. (2011), Goes et al. (2012) y Sichocki et al. (2014). En este estudio se evidencia, dadas las dosis de nitrógeno, que existe una diferencia de los valores con tendencia linear de número de granos por hilera. Estos resultados son diferentes a lo reportado por Fernandes et al. (2005), pues en el número de granos por hilera no mostraron diferencia significativa en razón a los incrementos en la dosis de N aplicado.

El aumento en el rendimiento en espacios estrechos entre plantas y una planta por punto de siembra, combinado con una mayor dosis de fertilizante nitrogenado (Figura 3), podría atribuirse al mayor aporte de nitrógeno para producir granos de mayor tamaño y robustez, y por tanto de mayor peso (Khan et al., 2014). Estos datos arrojaron respuestas iguales a las obtenidas por E. Bastos et al. (2008) y L. Bastos et al. (2014), quienes evaluaron dosis crecientes de N en siembra directa. Así también, resultados similares son reportados por Dotto et al. (2010) y Farinelli y Lemos (2012), cuantificando el aumento de la productividad del maíz mediante la aplicación de N en cobertura. Por otra parte, Araújo et al. (2004) confirmaron un aumento lineal de productividad de maíz en sistema de siembra directa debido a la aplicación de fertilizante nitrogenado, observando un efecto positivo al usar una dosis de hasta 240 kg ha-1.

Desdoblamiento de arreglo espacial dentro de fertilizante nitrogenado en maíz en siembra directa.

Figura 3: Desdoblamiento de arreglo espacial dentro de fertilizante nitrogenado en maíz en siembra directa.

Conclusiones

La eficiencia de arreglo espacial del distanciamiento de 0.20 m y 1 planta por punto de siembra de maíz en siembra directa fue mayor que la del distanciamiento de 0.40 m y 2 planta por punto de siembra en la mayoría de las variables. La fertilización con nitrógeno influyó en los parámetros evaluados, respondiendo a una ecuación cuadrática, excepto NGH, que se ajusta en forma lineal. Se proporcionan las dosis estimadas para AP, que corresponden a 114.56 kg ha- 1, AIM (117.28 kg ha-1), DM (108.33 kg ha-1), LM (111.83 kg ha-1), NHM (165.00 kg ha-1).

Se observaron interacciones significativas de los factores estudiados, el mayor rendimiento se obtuvo con la combinación del distanciamiento de 0.2 m y 1 planta por punto de siembra y la dosis de 119.89 kg ha-1, lo que podría proponerse para aumentar la productividad de maíz.

Acknowledgements

Agradecimientos

Los autores agradecen a la Facultad de Ciencias Agrarias de la Universidad Nacional de Concepción (UNC), al Instituto de Biotecnología Agrícola (Inbio) y al Consejo Nacional de Ciencia y Tecnología (Conacyt)

Referencias

  1. Al-Naggar, A. M. M.; Shabana, R. A.; Atta, M. M. M. y Al-Khalil, T. H. (2015). Maize response to elevated plant density combined with lowered N-fertilizer rate is genotype-dependent. The Crop Journal, 3(2), 96-109. http://dx.doi.org/10.1016/j.cj.2015.01.002 [URL] 🠔
  2. Amado, T. J. C.; Mielniczuk, J. y Aita, C. (2002). Recomendação de adubação nitrogenada para o milho no RS e SC adaptada ao uso de culturas de cobertura do solo sob sistema plantio direto. Revista Brasileira de Ciência do Solo, 26(1), 241-248. https://doi.org/10.1590/S0100-06832002000100025 [URL] 🠔
  3. Anas, M.; Liao, F.; Verma, K. K.; Sarwar, M. A.; Mahmood, A.; Chen, Z. L.; Li, Q.; Zeng, X. P.; Liu, Y. y Li, Y. R. (2020). Fate of nitrogen in agriculture and environment: agronomic, eco- hysiological and molecular approaches to improve nitrogen use efficiency. Biological Research, 53, 1-20. 🠔
  4. Araújo, L. A. N.; Ferreira, M. E. y Cruz, M. C. P. (2004). Adubação nitrogenada na cultura do milho. Pesquisa Agropecuária Brasileira, 39(8), 771-777. https://doi.org/10.1590/S0100- 204X2004000800007 [URL] 🠔
  5. Asibi, A. E.; Chai, Q. y A. Coulter, J. (2019). Mechanisms of nitrogen use in maize. Agronomy, 9(12), 775. https://doi.org/10.3390/agronomy9120775 [URL] 🠔
  6. Barbosa, J. C. y Maldonado, W. J. (2015). Experimentação agronômica e AgroEstat: sistema para análises estatísticas de ensaios agronômicos. Jaboticabal: Multipress. 🠔
  7. Bastos, E. A.; Cardoso, M. J.; Melo, F. B.; Ribeiro, V. Q. y Andrade, A. S. (2008). Doses e formas de parcelamento de nitrogênio para a produção de milho sob plantio direto. Revista Ciência Agronômica, 39(2), 275-280. https://www.redalyc.org/pdf/1953/195317754014.pdf [URL] 🠔
  8. Bastos, L. G.; Quintela, A. E.; Bastos, L. G.; de Souza, J. L. y Teodoro, I. (2014). Crescimento e produtividade do milho, submetido a doses de nitrogênio nos Tabuleiros Costeiros de Alagoas. Revista Ceres, 61(4), 578-586. https://doi.org/10.1590/0034-737X201461040019 [URL] 🠔
  9. Belay, T.; Alemayehu, M. y Belay, F. (2023). Effects of nitrogen application and intra-row spacing on growth and yield of baby corn in north-west Ethiopia. Journal of Agriculture and Food Research, 13, 1-8. https://doi.org/10.1016/j.jafr.2023.100635 [URL] 🠔
  10. Cambouris, A. N.; Ziadi, N.; Perron, I.; Alotaibi, K. D.; St. Luce, M. y Tremblay, N. (2016). Corn yield components response to nitrogen fertilizer as a function of soil texture. Canadian Journal of Soil Science, 96(4), 386-399. https://doi.org/10.1139/cjss-2015-0134 [URL] 🠔
  11. Cardoso, S.; Soratto, R. P.; Da Silva, A. H. y Mendonça, C. G. (2011). Fontes e parcelamento de nitrogênio em cobertura, na cultura do milho sob plantio direto. Revista Brasileira de ciências agrárias, 6(1), 23-28. https://doi.org/10.5039/agraria.v6i1a739 [URL] 🠔
  12. Dangariya, M. V.; Dudhat, M. S.; Bavalgave, V. G. y Thanki, J. D. (2017). Growth, yield and quality of Rabi sweet corn as influenced by different spacing and fertilizer levels. International Journal of Agricultural Sciences, 13(1), 38-42. https://doi.org/10.15740/HAS/IJAS/13.1/38-42 [URL] 🠔
  13. DMH (Dirección de Meteorología e Hidrología). (2018). Datos de los parámetros meteorológicos, Paraguay. https://www.meteorologia. gov.py/emas/ [URL] 🠔
  14. Dotto, A. P.; Lana, M. do C.; Steiner, F. y Frandoloso, J. F. (2010). Produtividade do milho em resposta à inoculação com Herbaspirillum seropedicae sob diferentes níveis de nitrogênio. Revista Brasileira de ciências agrárias . 5(3), 376-382. https://doi.org/10.5039/agraria.v5i3a898 [URL] 🠔
  15. Echarte, L.; Luque, S.; Andrade, F. H. y Sadras, V. O. (2000). Response of maize kernel number to plant density in Argentinean hybrids released between 1965 and 1993. Field Crops Research, 68(1), 1-8. https://doi.org/10.1016/S0378-4290(00)00101-5 [URL] 🠔
  16. Farinelli, R. y Lemos, L. B. (2012). Nitrogênio em cobertura na cultura do milho em preparo convencional e plantio direto consolidados. Pesquisa Agropecuária Tropical, 42(1), 63-70. https://www.revistas.ufg.br/pat/article/view/14867 [URL] 🠔
  17. Fernandes, F. C. S.; Buzetti, S.; Arf, O. y Andrade, J. A. C. (2005). Doses, eficiência e uso de nitrogênio por seis cultivares de milho. Revista Brasileira de Milho e Sorgo, 4(2), 195-204. 🠔
  18. Florentín, M. A; Peñalva, M.; Calegari, A. y Derpsch, R. (2011). Green manure/cover crops and crop rotation in conservation agriculture on small farms. Roma: Food and Agriculture Organization of the United Nations (FAO). https://www.fao.org/fileadmin/user_upload/agp/icm12.pdf [URL] 🠔
  19. Goes, R. J.; Rodrigues, R. A. F.; Arf, O. y Vilela, R. G. (2012). Nitrogênio em cobertura para milho (Zea mays L.) em sistema plantio direto na safrinha. Revista Brasileira de Milho e Sorgo , 11(2), 169-177. 🠔
  20. Gou, L.; Xue, J.; Qi, B.; Ma, B. y Zhang, W. F. (2017). Morphological variation of maize cultivars in response to elevated plant densities. Agronomy Journal, 109(4), 1443-1453. http://dx.doi.org/10.2134/agronj2016.11.0675 [URL] 🠔
  21. Guimarães, T. M.; Filho, A. C. A. C. y Costa C. H. M. (2015). Efeito da calagem no estoque de carbono do solo em sistema semeadura direta. Journal of Agronomic Sciences, 4 especial, 71-90. 🠔
  22. Khan, F.; Khan, S.; Fahad, S.; Faisal, S.; Hussain, S.; Ali, S. y Ali, A. (2014). Effect of different levels of nitrogen and phosphorus on the phenology and yield of maize varieties. American Journal of Plant Sciences, 5(17), 2582-2590. 10.4236/ajps.2014.517272 [DOI] 🠔
  23. Lacasa, J.; Gaspar, A.; Hinds, M.; Jayasinghege, D. S.; Berning, D. y Ciampitti, I. A. (2020). Bayesian approach for maize yield response to plant density from both agronomic and economic viewpoints in North America. Scientific Reports, 10, 1-9. https://doi.org/10.1038/s41598-020-72693-1 [URL] 🠔
  24. López, O. E.; González, E.; de Llamas, P. A.; Molinas, A. S.; Franco, E.; García, S. y Ríos, E. (1995). Reconocimiento de suelos y capacidad de usos de las tierras. https://www.geologiadelparaguay.com/Estudio-de-Reconocimiento-de-Suelos-Regi%C3%B3n-Oriental-Paraguay.pdf [URL] 🠔
  25. Lorenzetti, E.; Tartaro, J.; Stangarlin, J. R.; Kuhn, O. J.; Portz, R. L. y Alves, A. J. (2020). Agronomic characteristics and management of diseases in maize with chelate-based products containing calcium, copper, manganese, and zinc. Acta Scientiarum. Agronomy , 43, 10. https://doi.org/10.4025/actasciagron.v43i1.48432 [URL] 🠔
  26. Lundy, M. E.; Pittelkow, C. M.; Linquist, B. A.; Liang, X.; van Groenigen, K. J.; Lee, J.; Six, J.; Venterea, R. T. y van Kessel, C. (2015). Nitrogen fertilization reduces yield declines following no-till adoption. Field Crops Research , 183, 203-210. https://doi.org/10.1016/j.fcr.2015.07.023 [URL] 🠔
  27. Marini, D.; Guimarães, V. F.; Dartora, J.; do Carmo, L. M. y Artur Soares, P. J. (2015). Growth and yield of corn hybrids in response to association with Azospirillum brasilense and nitrogen fertilization. Soil Science and Plant Nutrition. Revista Ceres , 62(1), 117-123. https://doi.org/10.1590/0034-737X201562010015 [URL] 🠔
  28. Marschner, P. (2012). Marschner’s mineral nutrition of higher plants. (3rd ed.). Londres: Elsevier. http://dx.doi.org/10.1016/C2009- 0-63043-9 [URL] 🠔
  29. Mendes, M. C.; Rossi, E. S.; Faria, M. V.; Alburquerque, C. J. B. y Rosário, J. G. (2011). Efeitos de níveis de adubação nitrogenada e densidade de semeadura na cultura do milho no Centro-sul do Paraná. Revista Brasileira de Tecnologia Aplicada nas Ciências Agrárias, 4(2), 176-192. https://doi.org/10.5777/paet.v4i2.1395 [URL] 🠔
  30. Mosisa, W.; Dechassa, N.; Kibret, K.; Zeleke, H. y Bekeko, Z. (2022). Effects of timing and nitrogen fertilizer application rates on maize yield components and yield in eastern Ethiopia. Agrosystems, Geosciences & Environment, 5(4). e20322. https://doi.org/10.1002/agg2.20322 [URL] 🠔
  31. Oliveira, F. A. de; Cavalcante, L. F.; Silva, I. de F. Da; Pereira, W.; Oliveira, J. C. de y Filho, J. F. da C. (2009). Crescimento do milho adubado com nitrogênio e fósforo em um Latossolo Amarelo. Revista Brasileira de ciências agrárias , 4(3), 238-244. 🠔
  32. Prado, M. R. y Campos, C. N. S. (2018). Nutrição e adubação de grandes culturas. Jaboticabal: UNESP. 🠔
  33. Quevedo, Y. M.; Beltrán, J. I. y Barragán, E. Q. (2018). Effect of sowing density on yield and profitability of a hybrid corn under tropical conditions. Agronomía Colombiana, 36(3), 248-256. https://doi.org/10.15446/agron.colomb.v36n3.71268 [URL] 🠔
  34. Sichocki, D.; Gott, R.M.; Fuga, C. A. G.; Aquino, L. A.; Ruas, R. A. A. y Nunes, P. H. M. P. (2014). Resposta do milho safrinha á doses de nitrogênio e de fósforo. Revista Brasileira de Milho e Sorgo , 13(1), 48-58. 🠔
  35. Steusloff, T. W.; Singh, G.; Nelson, K. A. y Motavalli, P. P. (2019). Enhanced efficiency liquid nitrogen fertilizer management for corn production, International Journal of Agronomy , 2019, 1-12. https://doi.org/10.1155/2019/9879273 [URL] 🠔
  36. Verzeaux, J.; Hirel, B.; Dubois, F.; Lea, P. J., y Tétu, T. (2017). Agricultural practices to improve nitrogen use efficiency through the use of arbuscular mycorrhizae: Basic and agronomic aspects. Plant Science, 264, 48-56. https://doi.org/10.1016/j.plantsci.2017.08.004 [URL] 🠔
  37. Wu, X.; Tong, L.; Kang, S.; Du, T.; Ding, R.; Li, S. y Chen, Y. (2023). Combination of suitable planting density and nitrogen rate for high yield maize and their source-sink relationship in Northwest China. Journal of the Science of Food and Agriculture, 103(11), 5300-5311. https://doi.org/10.1002/jsfa.12602 [URL] 🠔