Acta Agronómica
0120-2812
Universidad Nacional de Colombia
https://doi.org/10.15446/acag.v72n3.105606

Recibido: 2 de noviembre de 2022; Aceptado: 7 de febrero de 2024

Efecto del tipo de empaque y ácidos orgánicos en la calidad del zapallo (Cucurbita moschata Duch. Ex Poir) mínimamente procesado durante el almacenamiento

Effect of the type of packaging and organic acids on the quality of minimally processed squash (Cucurbita moschata Duch. Ex Poir) during storage

J. Cuevas Mena, 1M. Andrade Mahecha, 1L. Ordóñez Santos, 1

Universidad Nacional de Colombia - Sede Palmira. Palmira, Colombia. jfcuevasm@unal.edu.co; mmandradem@unal.edu.co; leordonezs@unal.edu.co Universidad Nacional de Colombia Universidad Nacional de Colombia Sede Palmira Palmira Colombia

Resumen

La comercialización del zapallo (Cucurbita moschata Duch. Ex Poir.) en los mercados minoristas es limitado debido a su gran tamaño. Las inadecuadas prácticas de manipulación y el alto contenido de humedad aceleran su deterioro. El procesamiento mínimo es una alternativa que permite obtener un alimento inocuo con características similares al producto fresco. El objetivo de este estudio fue evaluar la influencia de tres tipos de empaque y la aplicación de una solución de ácidos orgánicos sobre la calidad de zapallo mínimamente procesado almacenado a 6.0 ± 2 °C. A partir de los resultados obtenidos se estimó la estabilidad del producto usando el índice de estabilidad global (IEG). Los resultados indicaron que el zapallo mínimamente procesado obtenido es apto para el consumo a los nueve días de almacenamiento. La aplicación de ácidos orgánicos disminuyó el crecimiento de mesófilos aerobios, pero favoreció el de mohos y levaduras. El empaque en bandeja de poliestireno expandido (PSE) y película de policloruro de vinilo (PVC) presentaron la mayor pérdida de peso (8 %), sin embargo, conservaron valores de luminosidad y croma próximos a los del alimento fresco. El empaque PSE y PVC, sin la aplicación de ácidos orgánicos, alcanzó un IEG de 0.60 a los nueve días de almacenamiento. El IEG del zapallo mínimamente procesado almacenado durante nueve días a 6.0 ± 2 °C se ajustó a una cinética de segundo orden con un alto coeficiente de regresión (R2 > 0.98).

Palabras clave:

color, estabilidad, microbiológica, refrigeración, textura.

Abstract

Squash (Cucurbita moschata Duch. ex Poir.) in local markets is mainly marketed as a fresh-cut produce. However, improper food-handling practices and high moisture content accelerate its deterioration. Minimal processing appears as a well-accepted alternative to obtain a safe fresh product. The objective of this study was to evaluate the influence of three types of packaging and the application of an organic acid solution on the quality of minimally processed squash stored at 6.0 ± 2 °C. In addition, the stability of the product was analyzed using the global stability index (GSI). The results indicated that the minimally processed squash obtained was suitable for human consumption at nine days of storage. The application of organic acids decreased the growth of aerobic mesophiles but favored that of molds and yeasts. The expanded polystyrene (EPS) tray packaging and polyvinyl chloride (PVC) film presented the highest weight loss (8 %); however, it kept luminosity and chroma values close to those of fresh food. The EPS and PVC-packing material without the application of organic acids showed a GSI of 0.60 at nine days of storage. The GSI of minimally processed squash stored for nine days at 6.0 ± 2 °C fitted second-order kinetics with a high regression coefficient (R2 > 0.98).

Keywords:

color, microbiological, refrigeration, stability, texture.

Introducción

El zapallo (Cucurbita moschata Duch. Ex Poir.) es una hortaliza con un alto contenido en carbohidratos, proteína cruda, fibra dietaria, ácido L-ascórbico (vitamina C), vitaminas A y vitamina E, minerales (calcio, potasio, magnesio y fósforo) y compuestos bioactivos como carotenoides y polifenoles (Jacobo- Valenzuela et al., 2011; United States Department of Agriculture [USDA], 2017). En el Valle del Cauca, Colombia, se pueden encontrar variedades y genotipos comerciales que poseen buena calidad para su comercialización en fresco o para la preparación de jugos, sopas o cremas (Vallejo et al., 2010).

En los mercados minoristas, el zapallo es comercializado entero o porcionado; el corte de los tejidos y las inadecuadas prácticas de manipulación provocan el incremento de la tasa respiratoria, la producción de etileno y el metabolismo de los compuestos fenólicos, los cuales aceleran la senescencia (Ramos et al., 2013) Adicionalmente, su contenido de humedad (80 - 90 %) y pH (5.0 - 6.0) favorecen diferentes reacciones fisicoquímicas que aceleran el crecimiento microbiano y reducen significativamente su estabilidad durante el almacenamiento (Zhou et al., 2014).

El procesamiento mínimo es una tendencia que ha permitido el desarrollo de nuevos productos como frutas o vegetales cortados y empacados que ofrecen múltiples ventajas, los cuales son catalogados como listos para consumir o listos para cocinar (Lucera et al., 2010). El procesamiento mínimo requiere de un enfoque integrado, donde la materia prima, el manejo, el procesamiento, el empaque y la distribución deben administrarse adecuadamente para lograr una vida útil prolongada del producto (Siddiqui et al., 2011).

Por lo tanto, el objetivo del presente estudio fue evaluar el efecto de tres tipos de empaque y la aplicación de una solución de ácidos orgánicos sobre la calidad de zapallo mínimamente procesado durante el almacenamiento a 6.0 ± 2 °C.

Materiales y métodos

Se utilizaron ocho unidades de un genotipo comercial de zapallo (Cucurbita moschata Duch. ex Poir.) que fueron adquiridas en la central de abastecimientos del Valle del Cauca (Cavasa), ubicada en el kilómetro 11 vía Cali-Candelaria (Valle del Cauca), aproximadamente cuatro días posteriores a la cosecha. Se seleccionaron aquellos con: pedúnculo de color café, color brillante y tamaño voluminoso del fruto, diámetro (23 ± 2 cm) y peso (2.0 ± 0.5 kg), y coloración amarillo intenso del mesocarpio. Las muestras se trasladaron al laboratorio de tecnología de frutas y hortalizas de la Universidad Nacional de Colombia - Sede Palmira, para el procesamiento mínimo de los frutos.

Procesamiento mínimo

El zapallo fresco fue lavado con agua potable, posteriormente sumergido en agua clorada a una concentración de 100 ppm (0.8 ml de NaClO al 12.5 % en 1 L de agua) durante 90 segundos (Hernández et al., 2014). Se secó a temperatura ambiente (25 ± 2 °C) antes de realizar un corte perpendicular al eje longitudinal y retirar el epicarpio, el endocarpio y las semillas de cada fruto. A partir del mesocarpio se obtuvieron cubos de 1 cm de longitud en cada lado. Para aquellos tratamientos con aplicación de ácidos orgánicos, la metodología fue establecida a partir de los estudios de Texeira et al. (2008), Hernández et al. (2014), Denoya et al. (2015) y Putnik et al. (2017a). Se preparó una solución acuosa de ácido cítrico y ácido L-ascórbico al 1 % (≥ 99.5 % grado alimenticio certificado, Sigma-Aldrich) a temperatura ambiente, manteniendo agitación (400 rpm durante 5 minutos). La aplicación se realizó por inmersión de los cubos de zapallo durante 30 minutos a temperatura ambiente. Posteriormente, los cubos de zapallo se escurrieron durante 10 minutos empleando un tamiz de acero inoxidable. Los tratamientos sin aplicación de ácidos orgánicos fueron empacados directamente, posterior al corte en cubos.

Finalmente, 100 g de zapallo en cubos fueron colocados en cada uno de los materiales de empaque evaluados: E1: Polietileno tereftalato (PET de 11 x 9.0 x 2.0 cm y calibre 430 µm); E2: Bandeja de poliestireno expandido (PSE de 11.5 x 11.5 cm) y película de policloruro de vinilo (PVC, calibre 12 µm); y E3: Bolsa de polipropileno (PP de 19 x 13 cm y calibre 70 µm). El zapallo mínimamente procesado se almacenó durante 9 días en un refrigerador convencional (Mabe RMS1540YBCS1 de 400 L, Colombia), a una temperatura de 6.0 ± 2 °C y humedad relativa de 30 ± 10 %, las cuales se verificaron durante el almacenamiento con un termohigrómetro portátil DT-172 (CEM, India).

Caracterización microbiológica del zapallo mínimamente procesado

El crecimiento de mesófilos aerobios fue determinado según la norma técnica colombiana (NTC) 4519 (Instituto Colombiano de Normas Técnicas y Certificación [Icontec], 2009a), mohos y levaduras según la NTC 5698-1 (Icontec, 2009c) y coliformes totales según NTC 4516 (Icontec, 2009b) a los 0 y 9 días de almacenamiento. Los análisis fueron realizados por el laboratorio Ángel Bioindustrial (Cali, Valle del Cauca, Colombia). Los valores reportados correspondieron al promedio de 3 determinaciones.

Caracterización fisicoquímica del zapallo mínimamente procesado

La pérdida de peso se determinó a los 0, 2, 4, 7 y 9 días de almacenamiento, de acuerdo al método gravimétrico propuesto por Hernández et al. (2014). Se utilizó una balanza analítica (Boeco BBL-31, Alemania). Los valores reportados correspondieron al promedio de 3 determinaciones.

Los parámetros de color también fueron analizados para cada tratamiento, siguiendo la metodología descrita por Denoya et al. (2015). Para tal fin, 5 cubos de zapallo por tratamiento fueron seleccionados al azar y evaluados a los 0, 2, 4, 7 y 9 días de almacenamiento. Por cada cubo se realizaron tres mediciones en diferentes caras. Así, los valores reportados correspondieron al promedio de 15 determinaciones realizadas en un colorímetro (Minolta CR-400, Japón), usando la escala de color CIE L* (luminosidad), a* (-verde, + rojo), b* (- azul, + amarillo) con iluminante D65, observador 2°, calibrado con blanco Y=89.5; x=0.3176; y=0.3347. El croma C* fue calculado a partir de a* y b*. La determinación de la dureza se realizó en un texturómetro (Shimadzu EZ Test-S, Japón) con celda de carga 500 N, equipado con una sonda tipo cilindro (8 mm de diámetro) y un soporte en la base para la sujeción de la muestra. La prueba se programó para aplicar una fuerza máxima de 150 N, a una velocidad de 30 mm/min y una deformación relativa aparente de 40 % (Genevois et al., 2016). El valor reportado correspondió al promedio obtenido a partir de 15 determinaciones.

Determinación del índice de estabilidad global (IEG)

El índice de estabilidad global se calculó usando la ecuación propuesta por Achour (2006) (Ecuación 1).

Donde t es el tiempo de almacenamiento; Σ es la suma de i=1 hasta n; n es el número de características de calidad del alimento; i representa una característica de calidad específica; Vit es la variación de una característica de calidad i n el tiempo t; αi es el factor de peso que representa la importancia relativa de la característica de calidad i sobre la calidad total del producto (=1). El término de variación (Vit) es calculado mediante la Ecuación 2:

Donde Cit es el valor observado de la característica de calidad i en el tiempo t; Ci0 es el valor inicial de la característica de calidad i y Li es el valor límite de la característica de calidad i.

En este estudio se utilizó el mismo factor de peso para todas las características de calidad (α=0.125). Los valores límite establecidos para las características microbiológicas de calidad como mesófilos aerobios, coliformes totales, mohos y levaduras fueron 6.0 log UFC g-1 (UFC g-1: unidades formadoras de colonias por gramo de alimento) según la NTC 6005 (Icontec, 2013); 3.0 log NMP g-1 (NMP g-1: número más probable por gramo de alimento) según la NTC 6005 (Icontec, 2013); 5.0 log UFC g-1 (Ragaert et al., 2007); y 5.0 log UFC g-1 (Ragaert et al., 2007), respectivamente. Los valores límite establecidos para las características fisicoquímicas de calidad como pérdida de peso, luminosidad, croma y dureza fueron 10 % (Harvey et al., 1997), 74.18 (Tripathi et al., 2014), 33.75 (Tripathi et al., 2014) y 82.0 N (Zhuang et al., 2003), respectivamente.

Modelo predictivo del índice de estabilidad global (IEG)

Para predecir el valor del IEG en zapallo mínimamente procesado durante el almacenamiento, los resultados fueron ajustados a las ecuaciones de cero (Ecuación 3), primer (Ecuación 4) y segundo (Ecuación 5) orden para determinar el orden óptimo de la reacción.

Donde IEG es el valor del índice de estabilidad global durante un tiempo t de almacenamiento; IEG0 es el valor inicial del índice de estabilidad global que es igual 1.0 (alimento fresco) y k que es la constante de velocidad de la reacción.

Validación del modelo

Para validar el modelo predictivo se determinó la desviación porcentual relativa media P (%) entre los valores experimentales y los calculados, usando la Ecuación 6.

Donde Cei es el valor experimental, Cci es el valor calculado del modelo y N es el número de puntos de datos experimentales. Según lo afirmado por Kaymak- Ertekin y Gedik (2005), un modelo se considera aceptable si los valores de P son menores al 10 %.

Análisis estadístico

Un diseño aleatorizado con arreglo factorial fue utilizado para evaluar el efecto de los factores tipo de empaque (PET, PS+PVC y PP) y aplicación de ácidos orgánicos (con aplicación y sin aplicación), totalizando 6 tratamientos con 3 repeticiones cada uno. Los tratamientos fueron evaluados utilizando un análisis de varianza (Anova) con un nivel de confianza del 95 % (p < 0.05). La prueba de Tukey fue utilizada para determinar las diferencias estadísticamente significativas entre las medias obtenidas para cada tratamiento. Se empleó el software SPSS 18.0 para Windows, licencia disponible en la Universidad Nacional de Colombia - Sede Palmira. Los datos para cinéticos se analizaron mediante regresión lineal utilizando Microsoft Excel® versión 365. La bondad del ajuste se evaluó mediante el coeficiente de regresión (R2).

Resultados

Los tratamientos con PP presentaron el menor crecimiento microbiológico. La aplicación de ácidos orgánicos redujo significativamente (p < 0.05) el crecimiento de mesófilos aerobios, sin embargo, se favoreció el crecimiento de levaduras y mohos al acidificar el producto. El tipo de empaque sin aplicación de ácidos orgánicos no tuvo un efecto significativo (p > 0.05) sobre el crecimiento de mesófilos aerobios, coliformes totales y mohos (Tabla 1), pero con aplicación de ácidos orgánicos sí tuvo un efecto significativo sobre las levaduras.

Tabla 1: Caracterización microbiológica de zapallo (Cucurbita moschata Duch. Ex Poir.) mínimamente procesado a los 9 días de almacenamiento a 6.0 ± 2 °C

E1: PET; E2: PSE y PVC; y E3: PP. SA: sin aplicación de ácidos orgánicos y CA: con aplicación de ácidos orgánicos. Letras mayúsculas diferentes en una misma columna indican diferencias significativas (p < 0.05) entre los tratamientos evaluados.

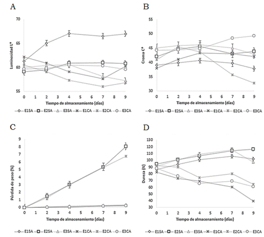
En los primeros 7 días de almacenamiento, la aplicación de ácidos orgánicos en el empaque de PET (E1CA) redujo significativamente (p < 0.05) la luminosidad (Figura 1A); en el mismo empaque, sin la aplicación de ácidos orgánicos (E1SA), se observó un incremento en la luminosidad después de nueve días de almacenamiento. Para PSE y PVC (E2CA) se redujo significativamente (p < 0.05) tanto la luminosidad (Figura 1A) como el croma (Figura 1B). Además, los cubos de zapallo sometidos a este tratamiento presentaron los menores valores en los mencionados parámetros de color a los 9 días de almacenamiento. Por otro lado, el empaque PSE y PVC, sin aplicación de ácidos orgánicos (E2SA), conservó durante el almacenamiento valores de luminosidad y croma próximos al alimento fresco (61.06 ± 2.66 y 41.63 ± 3.51, respectivamente); la aplicación de ácidos orgánicos (E2CA) incrementó el croma durante el almacenamiento.

Los IEG obtenidos en el producto empacado en PSE y PVC sin aplicación de ácidos orgánicos, se ajustaron bien a una cinética de segundo orden, con el valor de coeficiente de regresión más alto (R2 > 0.98) (Tabla 3).

Tabla 3: Estimación del orden del IEG a partir del R2 (coeficiente de regresión) y k (constante de velocidad) para las reacciones de cero, primer y segundo orden en los tratamientos evaluados para zapallo (Cucurbita moschata Duch. Ex Poir.) mínimamente procesado.

El error relativo entre los valores experimentales y los teóricos dio como resultado valores inferiores al 10 %, por lo tanto, el modelo se considera aceptable (Tabla 4).

Tabla 4: Desviación porcentual relativa media P (%) entre los valores de IEG experimentales y los calculados en zapallo mínimamente procesado, empacado en PSE y PVC, sin aplicación de ácidos orgánicos y almacenado durante 9 días a 6.0 ± 2 °C.

E1: PET; E2: PSE y PVC y E3: PP. SA: sin aplicación de ácidos orgánicos y CA: con aplicación de ácidos orgánicos.

Luminosidad (A), croma (B), pérdida de peso (C) y dureza (D) de zapallo (Cucurbita moschata Duch. Ex Poir.) mínimamente procesado almacenado a 6.0 ± 2 °C.

Figura 1: Luminosidad (A), croma (B), pérdida de peso (C) y dureza (D) de zapallo (Cucurbita moschata Duch. Ex Poir.) mínimamente procesado almacenado a 6.0 ± 2 °C.

El empaque PSE y PVC alcanzó, a los 9 días de almacenamiento, una pérdida de peso entre 6 y 8 % (Figura 1C). La aplicación de ácidos orgánicos no tuvo efecto significativo (p > 0.05) en la pérdida de peso del producto (Tabla 2). Los demás tratamientos registraron una pérdida de peso inferior al 1 %. La aplicación de ácidos orgánicos disminuyó progresivamente la dureza del producto en todos los tipos de empaque durante el almacenamiento (Figura 1D). Los tratamientos sin aplicación de ácidos orgánicos presentaron valores de dureza superiores al alimento fresco (89.15 ± 4.32).

Tabla 2: F y valor P a partir de los análisis de varianza para la luminosidad, croma, pérdida de peso y dureza en zapallo (Cucurbita moschata Duch. Ex Poir.) mínimamente procesado, almacenado a 6.0 ± 2°C

Los productos empacados en PSE y PVC y en bolsa de PP sin aplicación de ácidos orgánicos presentaron un comportamiento similar en el cambio del IEG durante los 9 días de almacenamiento. No obstante, la aplicación de ácidos orgánicos le permitió al alimento empacado en bolsa de PP alcanzar el IEG más alto (0.72) entre los tratamientos al día 9 de almacenamiento (Figura 2).

Cambio en el índice de estabilidad global (IEG) de zapallo (Cucurbita moschata Duch. Ex Poir.) mínimamente procesado almacenado a 6.0 ± 2 °C. E1: PET; E2: PSE y PVC y E3: PP. SA: sin aplicación de ácidos orgánicos y CA: con aplicación de ácidos orgánicos.

Figura 2: Cambio en el índice de estabilidad global (IEG) de zapallo (Cucurbita moschata Duch. Ex Poir.) mínimamente procesado almacenado a 6.0 ± 2 °C. E1: PET; E2: PSE y PVC y E3: PP. SA: sin aplicación de ácidos orgánicos y CA: con aplicación de ácidos orgánicos.

Discusión

Uno de los parámetros más importantes en un alimento es la calidad microbiológica. La presencia de microorganismos patógenos y los involucrados con el deterioro del alimento, están relacionados con las enfermedades transmitidas por alimentos y la reducción de la vida útil en los alimentos mínimamente procesados (Schuh et al., 2019). En este estudio, la caracterización microbiológica muestra que el zapallo mínimamente procesado a los 9 días de almacenamiento, si bien no es un alimento listo para consumir, es un alimento inocuo y seguro de acuerdo con la normatividad en Colombia y las investigaciones de Ragaert et al. (2007) y Putnik et al. (2017b), usadas como referencia.

Cerqueira et al. (2014) encontraron un recuento de bacterias de 4.5x106 UFC g-1 en zapallo mínimamente procesado en el sexto día de almacenamiento a 10º C. Sin embargo, ese producto ya no se encontraba apto para su consumo en el día 12 (7,2x107UFC g-1). Por otra parte, Di Matteo et al. (2021) estudiaron la calidad y la vida útil del zapallo mínimamente procesado almacenado en bioempaques comerciales a 5° C durante 11 días. El producto empacado como referencia en película de polietileno, conservó una carga microbiológica por debajo del valor umbral (8.00 log UFC g-1) luego de 7 días de almacenamiento. En cuanto al recuento de mohos y levaduras, alcanzó un valor de 2.00 log UFC g-1 luego de 7 días de almacenamiento.

Hernández et al. (2014) encontraron que, durante el almacenamiento de zapallo, el recuento de mesófilos aerobios y levaduras presentaron un crecimiento significativo aún a 5 ± 2 ºC. Esto puede corresponder a condiciones genotípicas de los microorganismos, pues algunos mesófilos aerobios logran desarrollarse a temperaturas de refrigeración.

Gliemmo et al. (2009) Duchesne ex Poiret relacionaron el aumento en el valor de la luminosidad con reacciones de oxidación y la isomerización del β-caroteno. Teniendo en cuenta que la luminosidad varía entre un valor de 0 para el negro y un valor de 100 para el blanco, un descenso en la luminosidad está relacionado con coloraciones oscuras como consecuencia del pardeamiento, sin embargo, en el zapallo podrían deberse al crecimiento microbiológico de mesófilos aerobios y levaduras en la superficie. Con relación a los cambios presentados en la croma, es importante resaltar que, en la metodología utilizada en este estudio, la determinación de color se hizo sobre la superficie del cubo de zapallo (Cucurbita moschata Duch. ex Poir.), en donde los pigmentos están más expuestos al oxígeno, el cual acelera las reacciones de degradación que disminuyen el color durante el almacenamiento.

Di Matteo et al. (2021) utilizaron bolsas de polietileno comercial de baja densidad para empacar zapallo mínimamente procesado almacenado a 5° C durante 11 días, el producto alcanzó una pérdida de peso superior al 10 %. En el presente estudio se alcanzó una pérdida de peso inferior a 7 % en el zapallo mínimamente procesado empacado en PET, en este caso un empaque rígido; la diferencia de resultados puede atribuirse a las propiedades de permeabilidad al vapor de agua de los materiales de empaque utilizados.

Los tratamientos con aplicación de ácidos orgánicos presentaron en promedio un 31 % de disminución en la dureza del zapallo mínimamente procesado a los 9 días de almacenamiento a 6.0 ± 2 °C. Las reacciones entre las enzimas como la Polimetilesterasa (PME) y la Poligalacturonasa (PG), y los sustratos presentes en el zapallo, favorecen la disminución de dureza que sufre el producto en función del periodo de almacenamiento (Seremet (Ceclu) et al., 2016).

Una de las limitaciones del presente estudio fue la falta de análisis sensorial al zapallo mínimamente procesado, la percepción sensorial de parámetros como la dureza, color y el aroma son importantes en este tipo de productos, donde la calidad general está relacionada con la frescura del tejido vegetal, la apariencia a través del empaque puede ser determinante para su aceptación o rechazo. Sin embargo, Lima et al. (2019) reportaron que una variedad regional de zapallo mínimamente procesado empacado en bandeja de poliestireno expandido y película de policloruro de vinilo, conservó su calidad fisicoquímica y sensorial durante 12 días almacenado a 10° C.

El IEG disminuyó progresivamente durante el almacenamiento, lo que indicó un cambio en las características fisicoquímicas y microbiológicas de calidad en el zapallo mínimamente procesado. El deterioro de las características de calidad siguió un segundo orden alcanzando, para el zapallo mínimamente procesado empacado en PSE y PVC, sin aplicación de ácidos orgánicos, un IEG de 0.60 a los 9 días de almacenamiento a 6.0 ± 2 °C, es decir, la estabilidad de las características de calidad disminuyó en un 40 %. El IEG ha sido utilizado exitosamente para describir los cambios globales en la calidad durante el almacenamiento en otro tipo de alimentos (Yang et al., 2023; Zang et al., 2023).

Conclusiones

La aplicación de ácidos orgánicos redujo el crecimiento de mesófilos aerobios y coliformes totales, sin embargo, favoreció el crecimiento de levaduras y mohos. Adicionalmente, disminuyó progresivamente la dureza del zapallo mínimamente procesado en todos los materiales de empaque durante el almacenamiento a 6.0 ± 2 °C. El zapallo mínimamente procesado, empacado en PSE y PVC sin aplicación de ácidos orgánicos, presentó la mayor pérdida de peso (8 %) durante el almacenamiento durante 9 días a 6.0 ± 2 °C. Sin embargo, conservó valores de luminosidad y croma próximos al alimento fresco. El tratamiento bandeja de poliestireno expandido y película de policloruro de vinilo (PSE y PVC), sin aplicación de ácidos orgánicos, alcanzó un IEG de a los 9 días de almacenamiento y el mejor ajuste para una cinética de segundo orden, con un valor de coeficiente de regresión de (R2 > 0.98).

Referencias

  1. Achour, M. (2006). A new method to assess the quality degradation of food products during storage. Journal of Food Engineering, 75(4), 560-564. https://doi.org/10.1016/j. jfoodeng.2005.04.056 [URL] 🠔
  2. Cerqueira, F. F.; Saavedra del Aguila, J.; Rosa, C.; Jacomino, A. P. y Kluge, R. A. (2014). Physiological, qualitative and microbiological changes of minimally processed squash stored at different temperatures. Revista Iberoamericana de Tecnología Postcosecha, 15(2), 210-220. https://www.redalyc.org/articulo.oa?id=81333269012 [URL] 🠔
  3. Denoya, G. I.; Vaudagna, S. R. y Polenta, G. (2015). Effect of high pressure processing and vacuum packaging on the preservation of fresh-cut peaches. LWT - Food Science and Technology, 62(1), 801-806. https://doi.org/10.1016/j.lwt.2014.09.036 [URL] 🠔
  4. Di Matteo, G.; Di Matteo, P.; Sambucci, M.; Tirillò, J.; Giusti, A. M.; Vinci, G.; Gobbi, L.; Prencipe, S. A.; Salvo, A.; Ingallina, C.; Spano, M.; Sobolev, A. P.; Proietti, N.; Di Tullio, V.; Russo, P.; Mannina, L. y Valente, M. (2021). Commercial bio- packaging to preserve the quality and extend the shelf-life of vegetables: The case-study of pumpkin samples studied by a multimethodological approach. Foods, (10)10, 2440.10.3390/foods10102440 🠔
  5. Genevois, C. E.; De Escalada Pla, M. F. y Flores, S. K. (2016). Application of edible coatings to improve global quality of fortified pumpkin. Innovative Food Science and Emerging Technologies, 33, 506-514. http://dx.doi.org/10.1016/j. ifset.2015.11.001 [URL] 🠔
  6. Gliemmo, M. F.; Latorre, M. E.; Gerschenson, L. N. y Campos, C. A. (2009). Color stability of pumpkin (Cucurbita moschata, Duchesne ex Poiret) puree during storage at room temperature: Effect of pH, potassium sorbate, ascorbic acid and packaging material. LWT - Food Science and Technology , 42(1), 196-201. http://dx.doi.org/10.1016/j.lwt.2008.05.011 [URL] 🠔
  7. Harvey, W. J.; Grant, D. G. y Lammerink, J. P. (1997). Physical and sensory changes during the development and storage of buttercup squash. New Zealand Journal of Crop and Horticultural Science, 25(4), 341-351. https://doi.org/10.1080/01140671.1997.9514025 [URL] 🠔
  8. Hernández, A. E.; Márquez, C. J.; Restrepo, C. E. y Pérez, L. J. (2014). Aplicación de tecnología de barreras para la conservación de mezclas de vegetales mínimamente procesados. Facultad Nacional de Agronomía Medellín, 67(1280), 7237-7245. http://dx.doi.org/10.15446/rfnam.v67n1.42652 [URL] 🠔
  9. Instituto Colombiano de Normas Técnicas y Certificación [Icontec]. (2009a). Norma Técnica Colombiana NTC 4519: Microbiología de los alimentos para consumo humano y animal. Método horizontal para el recuento de microorganismos. Técnica de recuento de colonias a 30 °C. Icontec: Bogotá. 🠔
  10. Instituto Colombiano de Normas Técnicas y Certificación [Icontec]. (2009b). Norma Técnica Colombiana NTC 4516: Microbiología de alimentos y productos de alimentación animal. Método horizontal para la detección y enumeración de coliformes. Técnica del número más probable. Icontec: Bogotá. 🠔
  11. Instituto Colombiano de Normas Técnicas y Certificación [Icontec]. (2009c). NTC 5698-1, Microbiología de alimentos y alimentos para animales. Método horizontal para la enumeración de mohos y levaduras. Parte 1: Técnica de recuento de colonias en productos con actividad acuosa (Aw) superior a 0.95. Icontec: Bogotá. 🠔
  12. Instituto Colombiano de Normas Técnicas y Certificación [Icontec]. (2013). NTC 6005, Alimentos mínimamente procesados. Icontec: Bogotá. 🠔
  13. Jacobo-Valenzuela, N.; Zazueta-Morales, J.; Gallegos-Infante, J. A.; Aguilar-Gutiérrez, F.; Camacho-Hernández, I. L.; Rocha- Guzmán, N. E. y González-Laredo, R. F. (2011). Chemical and physicochemical characterization of winter squash (Cucurbita moschata D.). Notulae Botanicae Horti Agrobotanici Cluj-Napoca, 39(1), 34-40. https://doi.org/10.15835/nbha3915848 [URL] 🠔
  14. Kaymak-Ertekin, F. y Gedik, A. (2005). Kinetic modelling of quality deterioration in onions during drying and storage. Journal of Food Engineering , 68(4), 443-453. https://doi.org/10.1016/j.jfoodeng.2004.06.022 [URL] 🠔
  15. Lima, K. S.; da Costa, M. J. P.; Lima, M. L. da S.; Sanches, A. y Cordeiro, C. A. M. (2019). Shelf life and quality of minimally processed pumpkins. Amazonian Journal of Plant Research, 3(2), 336-342. https://www.researchgate.net/publication/337687258_Shelf_life_and_quality_of_minimally_processed_pumpkins [URL] 🠔
  16. Lucera, A.; Costa, C.; Mastromatteo, M.; Conte, A. y del Nobile M. A. (2010). Influence of different packaging systems on fresh-cut zucchini (Cucurbita pepo). Innovative Food Science and Emerging Technologies , 11(2), 361-368. https://doi.org/10.1016/j.ifset.2009.08.002 [URL] 🠔
  17. Putnik, P.; Bursać, D.; Herceg, K.; Roohinejad, S.; Greiner, R.; Bekhit, A. E. D. A. y Levaj, B. (2017a). Modelling the shelf-life of minimally-processed fresh-cut apples packaged in a modified atmosphere using food quality parameters. Food Control, 81, 55-64. https://doi.org/10.1016/j. foodcont.2017.05.026 [URL] 🠔
  18. Putnik, P.; Roohinejad, S.; Greiner, R.; Granato, D.; Bekhit, A. E. D. A. y Bursać, D. (2017b). Prediction and modeling of microbial growth in minimally processed fresh-cut apples packaged in a modified atmosphere: A review. Food Control , 80, 411-419. https://doi.org/10.1016/j.foodcont.2017.05.018 [URL] 🠔
  19. Ragaert, P.; Devlieghere, F. y Debevere, J. (2007). Role of microbiological and physiological spoilage mechanisms during storage of minimally processed vegetables. Postharvest Biology and Technology, 44(3), 185-194. https://doi.org/10.1016/j.postharvbio.2007.01.001 [URL] 🠔
  20. Ramos, B.; Miller, F. A.; Brandão, T. R. S.; Teixeira, P. y Silva, C. L. M. (2013). Fresh fruits and vegetables - An overview on applied methodologies to improve its quality and safety. Innovative Food Science and Emerging Technologies , 20, 1-15. https://doi.org/10.1016/j.ifset.2013.07.002 [URL] 🠔
  21. Schuh, V.; Schuh, J.; Fronza, N.; Foralosso, F. B.; Verruck, S.; Vargas, A. y Silveira, S. M. (2019). Evaluation of the microbiological quality of minimally processed vegetables. Food science and Technology, 40. (1-2) 1-6. https://doi.org/10.1590/fst.38118 [URL] 🠔
  22. Seremet (Ceclu), L.; Botez, E.; Nistor, O. V.; Andronoiu, D. G. y Mocanu, G. D. (2016). Effect of different methods on moisture ratio and rehydration of pumpkin slices. Food Chemistry, 195, 104-109. https://doi.org/10.1016/j.foodchem.2015.03.125 [URL] 🠔
  23. Siddiqui, M. W.; Chakraborty, I.; Ayala-Zavala, J. F. y Dhua, R. S. (2011). Advance in minimal processing of fruits and vegetables: A review. Journal of Scientific y Industrial Research, 70(10), 823-834. https://www.researchgate.net/publication/230555030 [URL] 🠔
  24. Tripathi, J.; Gupta, S.; Mishra, P. K.; Variyar, P. S. y Sharma, A. (2014). Optimization of radiation dose and quality parameters for development of ready-to-cook (RTC) pumpkin cubes using a statistical approach. Innovative Food Science and Emerging Technologies , 26, 248-256. http://dx.doi.org/10.1016/j.ifset.2014.09.006 [URL] 🠔
  25. United States Department of Agriculture [USDA]. (2017). National Nutrient Database for Standard. https://www.usda.gov/ [URL] 🠔
  26. Vallejo, F. A.; Baena, D.; Ortiz, S.; Estrada, E. I., y Tobar, D. E. (2010). Unapal-Dorado, nuevo cultivar de zapallo con alto contenido de materia seca para consumo en fresco. Acta Agronómica, 59(2), 127-134. http://www.scielo.org.co/pdf/acag/v59n2/v59n2a01.pdf [URL] 🠔
  27. Yang, H.; Xu, L. L.; Hou, L.; Xu, T. Ch. y Ye, S. H. (2023). Application of the global stability index method to shelf-life prediction and physiochemical characteristics analysis of enteral feeding formula during storage. Journal of Food Engineering , 348, 111- 433. https://doi.org/10.1016/j.jfoodeng.2023.111433 [URL] 🠔
  28. Zang, J.; Qing, M.; Ma, Y.; Chi, Y. M. y Chi, Y. (2023). Shelf-life modeling for whole egg powder: Application of the general stability index and multivariate accelerated shelf-life test. Journal of Food Engineering , 340, 111-313. https://doi.org/10.1016/j.jfoodeng.2022.111313 [URL] 🠔
  29. Zhou, C. L.; Liu, W.; Zhao, J.; Yuan, C.; Song, Y.; Chen, D.; Ni, Y. Y y Li, Q. H. (2014). The effect of high hydrostatic pressure on the microbiological quality and physical-chemical characteristics of Pumpkin (Cucurbita maxima Duch.) during refrigerated storage. Innovative Food Science and Emerging Technologies , 21, 24- 34. http://dx.doi.org/10.1016%2Fj.ifset.2013.11.002 [URL] 🠔
  30. Zhuang, M.; Barth, T. y Hankinson, T. R. (2003). Microbial Safety of Minimally Processed Foods . CRC Press LLC No, 1(12), 255- 278. https://doi.org/10.1201/9781420031850 [URL] 🠔