Acta Agronómica
0120-2812
Universidad Nacional de Colombia
https://doi.org/10.15446/acag.v72n4.111757

Recibido: 23 de octubre de 2023; Aceptado: 13 de noviembre de 2024

Diferenciación estructural y productiva de propágulos vegetativos de piña MD2 (Ananas comosus L. Merrill)

Structural and productive differentiation of vegetative propagules of MD2 pineapple (Ananas comosus L. Merrill)

Y. Gómez Paz, 1L. Ríos-Rojas, 2

Universidad Nacional de Colombia sede Palmira. Palmira, Colombia. ygomezp@unal.edu.co Universidad Nacional de Colombia Universidad Nacional de Colombia sede Palmira Palmira Colombia
Corporación Colombiana de Investigación Agropecuaria - AGROSAVIA. Palmira, Colombia. riosr@agrosavia.co Corporación Colombiana de Investigación Agropecuaria - AGROSAVIA Palmira Colombia

Resumen

En esta investigación se evaluó la influencia de los propágulos vegetativos de piña MD2 sobre la duración del ciclo del cultivo, el rendimiento y la calidad del fruto en condiciones ambientales de Palmira, Colombia. Para ello se instaló un experimento con 3 propágulos vegetativos de piña MD2: axilar, basal de fruto y de raíz. El experimento se instaló en un diseño completamente al azar con 4 repeticiones, siembra en bolsas de polietileno con suelo arenoso-franco. Se hizo seguimiento a las etapas vegetativa, floración, desarrollo del fruto y maduración. Los resultados indican que la etapa vegetativa del propágulo axilar tiene una duración de 196 días después de siembra (dds); lo sigue el propágulo de raíz, con 210 dds; y, por último, el propágulo basal de fruto con 231 dds. El tiempo total desde la formación de la flor hasta la cosecha no presenta diferencias. Los frutos provenientes de propágulos de raíz tuvieron mayor diámetro polar (16.8 cm), seguidos de los propágulos axilares (16.1 cm) y los basales del fruto (15.4 cm). Respecto al diámetro ecuatorial, los frutos provenientes de los propágulos de raíz y los axilares no presentaron diferencia significativa. No se observaron diferencias para la longitud de la corona y tampoco para el rendimiento, sin embargo, este último fue mayor para los propágulos de raíz, seguido de los axilares y, finalmente, los basales de fruto. Aun cuando para algunos factores no se observan diferencias, para la duración del ciclo sí, por lo cual no es recomendable instalar un cultivo con una mezcla de los 3 tipos de propágulo; esto ayudará a disminuir los costos de producción.

Palabras claves:

duración del ciclo del cultivo, propágulo axilar, propágulo basal, propágulo de raíz, rendimiento.

Abstract

The influence of vegetative propagules of MD2 pineapple on the duration of the crop cycle, yield, and fruit quality was evaluated under the environmental conditions of Palmira, Colombia. An experiment was conducted using 3 types of vegetative propagules of MD2 pineapple: axillary, basal fruit, and root. The experiment was set up in a completely randomized design with four replications, planted in polyethylene bags, and in sandy-loam soil. The following growth stages were monitored: vegetative, flowering, fruit development, and ripening. According to the results, that the vegetative stage of the axillary propagule lasted 196 days after sowing (das), followed by the root propagule with 210 das, and lastly, the basal fruit propagule with 231 das. The total time from flower formation to harvest showed no differences. Fruits from root propagules exhibited the largest polar diameter (16.8 cm), followed fruits from axillary propagules (16.1 cm), and basal fruit propagules (15.4 cm). Regarding the equatorial diameter, no significant differences were found between fruits from root and axillary propagules. Likewise, no differences were observed for crown length or yield; however, the highest yield was from root propagules, followed by axillary, and finally basal fruit propagules. Although no differences were observed for certain factors, variations in cycle duration were noted, suggesting that mixing all three types of propagules in a single crop is not advisable, as it could help reduce production costs.

Keywords:

axillary propagule, basal propagule, crop cycle duration, root propagule, yield.

Introducción

La calidad de las semillas tiene un papel crucial en la agricultura y la producción de cultivos. La producción, selección y manejo adecuado de las semillas son esenciales para el rendimiento del cultivo, la uniformidad, la tolerancia al estrés ambiental, la calidad del producto final, la sostenibilidad, la rentabilidad y la innovación (Reed, Bradford y Khanday, 2022). En términos de innovación, es importante identificar los parámetros que hacen que un propágulo (semilla) de piña sea más o menos adecuado para la producción de frutos, considerando las diferencias estructurales, la capacidad de desarrollo y la expresión productiva. Para el establecimiento de nuevos cultivos de piña, se utilizan propágulos vegetativos: corona, basal de fruto, axilar y raíz (Sanewski, Bartholomew y Paull 2018; Paull, Wiseman y Uruu 2022).

Los propágulos exhiben diferencias morfológicas dependiendo de la parte de desarrollo extraída de la planta madre. Morga (2003) afirma que el propágulo basal, que se desarrolla en la base del fruto, tiene una tasa de crecimiento rápida y uniforme. Sin embargo, este material presenta una curvatura en la parte inferior, lo cual no es ideal para la siembra (Jiménez, 1999; Morga, 2003). El propágulo axilar proviene de los brotes en el tallo ubicados en la base de las hojas (Jiménez, 1999). Debido a su tamaño, comienza a producir frutos antes que cualquier otro tipo de propágulo (Morga, 2003), lo que lo hace más susceptible a la floración temprana e ideal para inducir la floración en un periodo más corto (Reinhardt et al., 2018). Por su parte Py, Lacoeuilhe y Teisson, (1987) mencionaron que este propágulo muestra buen desarrollo vegetativo y estructura para el uso comercial y puede continuar en el segundo ciclo de producción. El propágulo de raíz proviene de la intersección entre el tallo y la raíz subterránea; sus hojas son las más largas (Py et al., 1987) y se consideran inapropiadas para la siembra debido a su lento crecimiento (García, 2008).

Py (1968) menciona que cuanto mayor y más uniforme sea el peso de las estructuras reproductivas, más pronto estarán listas para la inducción floral. También señala que se debe buscar el material más saludable y vigoroso, que debe tener al menos 25 centímetros de altura y pesar al menos 100 gramos. Hung et al. (2024) afirman que los propágulos con un peso de 350 a 500 g son óptimos, ya que logran un crecimiento acelerado, una floración más temprana, tiempos de cosecha más cortos, mayor peso de los frutos y mayores rendimientos. Por su parte, Garzón (2016) afirma que el factor más importante es la clasificación adecuada de los propágulos según su tipo (corona, basal, axilar o raíz), seguido de la separación de los propágulos por tamaño y peso (Reinhardt et al., 2018).

En el estudio realizado por Fassinou et al. (2015), se evaluó la influencia del tipo de propágulo y su peso sobre la calidad del fruto de piña cayena lisa (Ananas comosus). Los autores indican que el peso y el tipo de material de siembra no mostraron un efecto significativo sobre el rendimiento y la calidad del fruto. Brenes (2005) evaluó la respuesta de diferentes tipos de propágulos: corona, guía grande (axilar) y guía pequeña (basal de fruto), en interacción con 3 densidades de siembra (30 000, 40 000 y 65 000 plantas*ha-1). Concluyó que no se encontraron diferencias significativas entre los tipos de propágulos en relación con el peso de la planta y el peso del fruto. En un estudio realizado en la Universidad del Estado de Ekiti, Nigeria, se evaluó el efecto del tipo de propágulo (corona y axilar) y su peso (200- 250 g, 300-350 g y 400-450 g) sobre el crecimiento temprano de las plántulas de piña en el vivero. El propágulo axilar, con mayor peso, produjo plántulas más pesadas. Este estudio concluyó que el uso de material más pesado podría mejorar el crecimiento de las plántulas y recomendó este tipo de propágulo como material de siembra para la producción de plántulas de piña (Omotoso, 2014). Por su parte, Assumi, Singh y Jha (2021) reportaron que los propágulos axilares son adecuados para la producción en áreas tropicales. Jiménez (1999), García (2008) y Barker, Henningsen y Smith (2018) indicaron que los propágulos presentan variaciones en su desarrollo, lo que genera diferentes períodos en el ciclo del cultivo (Nureszuan, Noorasmah y Shiamala, 2021), lo cual ocasiona pérdidas significativas, debido a que los frutos se cosechan sin sincronización.

Con el objetivo de propender por la homogeneidad de los cultivos para lograr cosechas sincronizadas, se ha optado por la multiplicación del material en laboratorio, y para ello se prefiere tejido de un solo tipo de propágulo (Valentina et al., 2024). Esto quiere decir que se identifican las diferencias que puede inducir la mezcla de los propágulos.

El periodo productivo de una planta de piña abarca de 16 a 18 meses hasta la cosecha (Marca-Huamancha et al., 2018; Velasco y Vallejo, 2020 y Sulaiman, Yusuf y Awal, 2020). Este periodo podría reducirse con un manejo adecuado, comenzando con la correcta selección de propágulos (Assumi et al., 2021). Correspondiendo con estos análisis, este trabajo se enfocó en identificar y documentar las diferencias estructurales y de desarrollo entre los 3 tipos de propágulos (axilares, basales y de raíz) que podrían explicar la heterogeneidad productiva, presente continuamente en huertos comerciales, resultado de la mezcla de semillas en el momento de la siembra. Esto da una explicación alternativa a aquella sobre la influencia de la temperatura ambiental.

Metodología

Sitio experimental

El experimento se instaló en la Corporación Colombiana de Investigación Agropecuaria - Agrosavia, en Palmira, Colombia, a una altitud de 1001 m s. n. m., temperatura de 24 °C y precipitación anual 1032 mm.

Material vegetal

Se seleccionaron 160 individuos de cada tipo de propágulo (axilar, basal de fruto y de raíz). Se tomó como referencia el peso después de la poda, el diámetro de la base del tallo y el número de hojas.

Montaje experimental

Cada tipo de propágulo representó un tratamiento. El diseño experimental fue completamente al azar con 4 repeticiones de 40 plantas cada una. La siembra se realizó en bolsas de polietileno de 40 x 40 cm, con una mezcla de suelo/arena en una proporción de 1/0.5, el suelo fue clasificado como arenoso-franco. Se garantizó que las plantas quedaran a una distancia de 0.25 m entre plantas, 0.4 m entre surcos.

Programa de fertilización

Para la formulación de los fertilizantes se consideraron el análisis químico del suelo, las curvas de absorción de nutrientes de piña (Gambin y Herrera, 2011) y el requerimiento nutricional (Rojas, 2019; Saavedra et al., 2022; López-Vázquez et al., 2021; Srivastava y Chengxiao, 2020). La fórmula se aplicó vía aérea, con sistema de fertirrigación mediante cinta de polietileno, con goteros integrados cada 20 cm de 2 l*h-1. La aplicación de la fórmula se hizo cada 10 días.

Variables de respuesta

Las etapas de la piña están determinadas así: 0, brote de la nueva hoja; 1, desarrollo de la hoja; 2, formación de retoños; 3, desarrollo del pseudotallo; 4, desarrollo foliar del retoño; 5, emergencia de la inflorescencia; 6, floración; 7, desarrollo del fruto; 8, maduración del fruto; y 9, senescencia; la cual no fue evaluada ya que los frutos se cosecharon en la etapa 8 (Zhang et al., 2016; Yzarra y López, 2017.). En las etapas 0, 1, 2, 3 y 4 de crecimiento y desarrollo vegetativo se hizo un seguimiento a la altura de la planta, el número de hojas y al diámetro de la base del tallo; la medición se realizó en una frecuencia quincenal hasta el momento de inducción floral. Se unificaron las etapas 0, 1, 2, 3 y 4 para contabilizar el tiempo de desarrollo siembra- momento de inducción floral (Maneesha et al. 2022). En la etapa de inflorescencia se cuantificó su duración; días después de inducción floral (ddi), en la floración, se cuantificó el número de flores y la duración de la etapa. En la etapa de desarrollo del fruto, se hizo seguimiento con frecuencia semanal al diámetro polar y ecuatorial del fruto. Finalmente, se clasificó la maduración para identificar si los frutos cumplían con criterios de comercialización. La maduración se clasificó según la coloración externa, usando la escala definida por la Universidad de Davis (Deka et al., 2004) para la piña MD2. Finalmente, se determinó la traslucidez definida y clasificada por Haff et al.(2006). El rendimiento se cuantificó en t*ha-1.

Análisis de datos

Para el análisis estadístico se utilizó el programa Statistical Analysis Software (SAS) en el cual se realizó un análisis de varianza (ANOVA) y pruebas de medias Tukey para las variables de respuesta de cada tratamiento.

Resultados

En la Tabla 1 se observa que el tiempo de crecimiento y desarrollo foliar es diferente en los 3 tratamientos, contrario al tiempo total de las etapas de inflorescencia + floración + fruto + maduración, en el que no hay diferencias. Finalmente, el tiempo del ciclo del cultivo difiere en los tratamientos.

Tabla 1: Tiempo (días) de desarrollo de las etapas fenológicas en los propágulos vegetativos de piña (Ananas comosus [L.] Merrill) MD2

*Prueba de Tukey al 5 % de probabilidad. En las filas las medias con igual letra no difieren entre sí.

Crecimiento y desarrollo del tallo y hojas

Altura de la planta

En la Figura 1 se puede observar que los 3 propágulos crecieron similar hasta los 84 días después de siembra (dds), posterior a esta fecha, el propágulo basal presentó un crecimiento acelerado hasta los 231 dds. En cuanto a las plantas provenientes del propágulo axilar y de raíz, se observa una curva de crecimiento similar hasta la inducción.

Ganancia de altura, diámetro de la base del tallo y número de hojas para los 3 tipos de propágulo de piña (Ananas comosus [L.] Merrill) MD2.

Figura 1: Ganancia de altura, diámetro de la base del tallo y número de hojas para los 3 tipos de propágulo de piña (Ananas comosus [L.] Merrill) MD2.

Diámetro de la base del tallo

La medición se vio afectada durante el primer mes debido a que la base del tallo quedó por debajo de la superficie del suelo y obligó a realizar la medición del diámetro donde se encontraban las hojas adultas. A medida que pasó el tiempo, las plantas crecieron y la base del tallo se despejó, con lo que se logró, una medición precisa. La tendencia de crecimiento de las plantas de los 3 tratamientos (Figura 1) tiende a ser parecida hasta los 190 dds, posteriormente, el crecimiento es bajo, como ocurrió en las plantas del propágulo basal, o nulo, como en el del tratamiento de raíz.

Número de hojas

Durante los primeros 22 dds las plantas de los 3 tratamientos perdieron hojas adultas debido al periodo de adaptación, esto generó un comportamiento decreciente en las curvas de crecimiento en el primer mes (figura 1). Posteriormente, las curvas son similares hasta los 190 dds, momento en el cual las plantas del propágulo axilar se inducen a floración con una ganancia de 26.94 hojas. Las plantas de los propágulos de raíz y basal de fruto ganaron hojas hasta la inducción floral, alcanzando 26.45 y 33.75 hojas, respectivamente.

De acuerdo con la prueba de Tukey (Tabla 2) las plantas del propágulo basal obtuvieron la mayor ganancia de altura (62.56 cm) y número de hojas (33.75 hojas) durante la etapa de crecimiento y desarrollo de hojas. En cuanto al diámetro de la base del tallo es igual en los 3 tratamientos.

Tabla 2: Prueba de Tukey para la ganancia de altura de la planta, diámetro de la base del tallo y número de hojas en plantas provenientes de los propágulos vegetativos de piña (Ananas comosus [L.] Merrill) MD2

*Prueba de Tukey al 5 % de probabilidad. En las filas las medias con igual letra no difieren entre sí.

Emergencia de la inflorescencia

Inducción floral

Teniendo en cuenta el peso adecuado (> 2.68 kg) para inducción floral determinada por Gamboa (2006), se realiza la técnica de inducción a plantas del propágulo axilar a los 196 dds, de raíz a los 210 dds y basal a los 231 dds (Tabla 3).

Tabla 3: Etapa de inflorescencia en los propágulos vegetativos de piña (Ananas comosus [L.] Merrill) MD2

*Prueba de Tukey al 5 % de probabilidad. En las columnas las medias con igual letra no difieren entre sí.

Inflorescencia

El tiempo del avistamiento del botón floral después de la inducción no presenta diferencia significativa entre los tratamientos (Tabla 3).

Floración

El proceso de antesis es consecutivo y en forma de espiral ascendente en la inflorescencia; su duración depende del número de flores formadas. El tiempo de duración de la etapa de floración para las plantas provenientes del propágulo axilar fue de 34 días (desde los 57 hasta 90 ddi), para aquellas del propágulo basal de 30 días (57 a 85 ddi) y para las del propágulo de raíz, 27 días (59 a 85 ddi). Este tiempo fue diferente en el propágulo axilar y de raíz, siendo este último el que presentó una floración en menor tiempo. Se cuantificó el número de espirales, el número de flores por espiral y el total de flores por inflorescencia de cada propágulo (Tabla 4). En cuanto al número de espirales se puede observar que las plantas provenientes de los propágulos axilar y basal no tienen diferencia significativa y presentan la mayor cantidad de espirales con respecto al propágulo de raíz. En cuanto al número de flores por espiral y el total de flores en la inflorescencia, los propágulos basales y radicales tienen la mayor e igual cantidad flores.

Tabla 4: Parámetros de evaluación en floración

*Prueba de Tukey al 5 % de probabilidad. En las columnas las medias con igual letra no difieren entre sí.

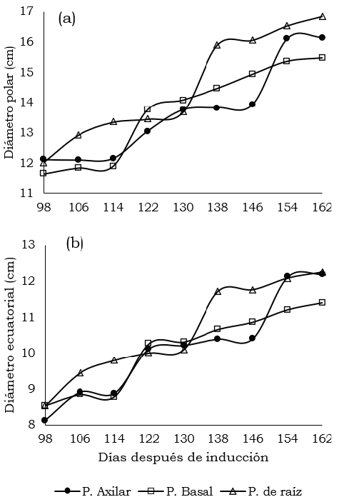
Desarrollo del fruto

El desarrollo del fruto inicia cuando las flores se marchitan, dejando una estructura globosa donde se evidencian los frutillos producidos por partenocarpia. En la Figura 2, se relaciona el seguimiento del crecimiento del fruto: (a) diámetro polar y (b) diámetro ecuatorial. Las frutas de las plantas del propágulo axilar presentaron una tendencia doble sigmoidea, donde el crecimiento exponencial del diámetro polar se presentó durante los 114 a 130 ddi y 146 a 154 ddi, y del diámetro ecuatorial durante 114 a 122 ddi y 146 a 154 ddi. En cuanto a las frutas del propágulo de raíz, el crecimiento exponencial se presentó durante los 130 a 138 ddi para ambos diámetros. En el caso de las frutas de las plantas del propágulo basal, el crecimiento exponencial se presentó durante los 114 a 122 ddi, posterior a este tiempo, el crecimiento se ralentizó.

De acuerdo con la prueba de Tukey las frutas provenientes del propágulo de raíz tienen el mayor D. polar y peso de fruto, y las provenientes del propágulo basal tienen el menor D. polar, D. ecuatorial y peso de fruto (Tabla 5).

Curva de crecimiento para la fruta: (a) D. polar, (b) D. ecuatorial.

Figura 2: Curva de crecimiento para la fruta: (a) D. polar, (b) D. ecuatorial.

Tabla 5: Prueba de medias Tukey para parámetros de la fruta

*Prueba de Tukey al 5 % de probabilidad. En las columnas las medias con igual letra no difieren entre sí.

De acuerdo con la Norma para la piña CXS 182- 1993 (Codex Alimentarius, 2011) el fruto de la piña se puede clasificar según su peso en gramos (g): muy grande >3000, categoría A=2750, B=2300, C=1900, D=1600, E=1400, F=1200, G=1000 y H=800. Cuando la fruta está por fuera del rango establecido, ya sea por ser de mayor o menor tamaño, no es comercializable como fruta fresca. En la Tabla 6 se puede observar el porcentaje de fruta de cada tipo de propágulo correspondiente a cada categoría. La fruta más dispersa se presenta con el propágulo basal. La mayor cantidad de fruta de todos los tratamientos se ubica en las categorías B y C (peso promedio entre 1.9 y 2.3 kg), seguido por la categoría D (peso medio 1.6 kg).

Tabla 6: Categorización de la fruta (%)

Fuente: norma para la piña CXS 182-1993.

Maduración

La madurez se define por 2 parámetros principalmente: el cambio de color externo y la cantidad de sólidos solubles o grados Brix. Para el experimento se asoció el contenido de sólidos solubles, hasta el rango de coloración 3 (escala Deka et al., 2004), categorías más altas se descartaron por no aplicar a madurez de exportación. El propágulo axilar presentó el color 0 a los 149 ddi, el de raíz a los 154 ddi y el basal de fruto a los 153 ddi con grados Brix de 11.9, 12.8 y 11.7, respectivamente. Se observa que los 3 propágulos tienen un período de maduración similar para el fruto, pero al llegar al estado de maduración externa 3, los grados Brix son diferentes 13.4 (axilar); 14.4 (basal) y 14.9 (de raíz). Este último valor, corresponde con lo informado por Hung et al. (2024), que reportan una mejor calidad y grados Brix para frutos más pequeños.

Traslucidez

De acuerdo con Haff et al. (2006) la traslucidez en la pulpa de la piña es un trastorno fisiológico que se presenta cuando los espacios intercelulares del tejido de la pulpa se llenan de agua, acumulando más azúcar, lo cual conlleva un progresivo deterioro. Las piñas con este trastorno tienen una descomposición acelerada, sabores desagradables y mayor susceptibilidad a las quemaduras solares y al daño mecánico (Chen y Paull, 2000). En el material cosechado del experimento presentan grado de madurez entre 1 y 3, en estas categorías, los frutos cumplen con el criterio de madurez interna para comercialización; y tal como indican Barker et al. (2018), no hubo diferencias para este parámetro entre los frutos de los deferentes propágulos.

Discusión

Los resultados muestran diferencias significativas en cuanto a los tiempos de desarrollo del cultivo para los propágulos de piña MD2. Este análisis es crucial para entender cómo las variaciones en los tipos de propágulos influyen en el rendimiento, la calidad y la sincronización de la cosecha de la piña (Nureszuan et al., 2021).

El ciclo del cultivo hasta la cosecha fue más corto en el propágulo axilar, seguido por el de raíz y, finalmente, el basal de fruto. Esta diferencia se debe principalmente a la fase vegetativa del cultivo, que termina en el momento de la inducción a floración. El momento de la inducción se identifica con el cese de la producción de hojas, que da paso a la aparición de la inflorescencia. Para el caso de las plantas provenientes del propágulo axilar las plantas presentaron floración con 53 hojas (196 dds), mientras que las de raíz y las de basal llegaron a 55 (210 dds) y 66 hojas (231 dds), respectivamente. A partir de la inducción floral, los 3 tipos de propágulos mostraron un comportamiento de crecimiento y desarrollo similar, lo que sugiere que la capacidad productiva de los propágulos es similar una vez alcanzada esta fase. La diferencia en el tiempo de desarrollo hasta la inducción floral es importante, ya que con el propágulo axilar se puede tener un ciclo más corto, lo cual es beneficioso para reducir costos de producción y mejorar la eficiencia (Nureszuan et al., 2021).

En cuanto a la altura de las plantas, el propágulo basal mostró el mayor crecimiento, mientras que el propágulo axilar presentó el menor. Esto coincide con estudios previos que sugieren que los propágulos axilares pueden tener un desarrollo vegetativo más limitado en comparación con otros tipos de propagación (Jiménez, 1999). En cuanto al diámetro del tallo, los patrones de crecimiento fueron similares hasta los 190 dds, pero después de esta etapa, la tasa de crecimiento disminuyó considerablemente en las plantas provenientes del propágulo de raíz, lo que puede estar relacionado con su lento desarrollo inicial. Este tipo de observaciones respalda la teoría de Fassinou et al. (2015) y de Assumi (2021), la cual sustenta que los propágulos vegetativos presentan variaciones morfológicas que afectan la sincronización de la cosecha y el rendimiento final.

Respecto de la inducción floral, Nureszuan et al. (2021) reportaron la variedad, el tamaño de la planta, la temperatura, los nutrientes y el estrés hídrico como factores que influyen en la iniciación de la floración de la piña. No hay reportes sobre el tipo de propágulo, aunque podría ser considerado dentro del tamaño de la planta, siguiendo a Hung et al. (2024).

En esta investigación se identificó el tiempo de inicio de la inflorescencia, el cual fue muy similar entre los 3 tipos de propágulos, con una diferencia mínima en el tiempo de aparición de la yema floral. Sin embargo, el proceso de floración mostró una variabilidad considerable; fueron las plantas provenientes de los propágulos axilares las que tuvieron el periodo de floración más largo (34 días), seguido de las de propágulo basal (30 días) y para el propágulo de raíz (27 días). Esta diferencia en la duración de la floración podría estar relacionada con mayor crecimiento vegetativo, entendido que los propágulos basales y de raíz poseen mayor número de hojas, es decir, mayor abundancia de aparato fotosintético para generar un tejido nuevo, lo cual corresponde con lo reportado por Cunha et al. (2021) y Hung et al. (2024).

Ahora bien, estos argumentos científicos también podría explicar el tamaño del fruto observado entre los propágulos de axilar y de raíz: plantas más grandes y frutos más grandes. Los frutos de los propágulos axilares tuvieron un diámetro polar promedio de 161 mm, mientras que los de raíz alcanzaron 168 mm. Estos furtos, presentaron mayor tamaño comparados con los frutos de los propágulos basales, que fueron los más pequeños en cuanto a diámetro polar (154 mm). Esta tendencia se mantiene para el diámetro ecuatorial y el peso del fruto. Dicha variabilidad en el tamaño del fruto proveniente de cada tipo de propágulo es un factor crítico que puede influir en la clasificación comercial y la aceptación en los mercados. Para el caso, Fassinou et al. (2014) asignaron esta heterogeneidad al vigor de las plantas en el momento de la inducción floral. En este trabajo no reportaron haber diferenciado el tipo de propágulo como un tratamiento; se consideró la cantidad de propágulos producidos por la planta, es decir, la competencia que pudiera generar al fruto.

Respecto del rendimiento final, los frutos de los propágulos de raíz, por ser los más pesados (en promedio de 2.11 kg) aportaron el mayor rendimiento por hectárea: 137.15 tha-1 (Hung et al., 2024). Este rendimiento supera ampliamente el rendimiento comercial promedio en Colombia para la variedad MD2, que se encuentra alrededor de 60 tha-1 (Agronet, 2023). Tal resultado pone de manifiesto el potencial de estos propágulos para aumentar la productividad de los cultivos de piña en condiciones comerciales. Sin embargo, se debe considerar que, entre los 3 tipos de propágulo no hubo diferencia significativa para el rendimiento.

En cuanto a la madurez, todos los propágulos mostraron una maduración similar en términos de tiempo, alcanzando grados Brix adecuados para la comercialización, de acuerdo con el estándar CXS 182-1993. Sin embargo, se observó que los frutos de los propágulos de raíz tuvieron un mayor contenido de sólidos solubles, lo que sugiere que estos frutos podrían ser más dulces y, por lo tanto, más adecuados para el consumo fresco. Este hallazgo resalta la importancia de seleccionar el tipo de propágulo en función del uso final de los frutos, ya sea para exportación o para procesamiento en jugos.

Conclusiones

Los resultados de este estudio confirman que las diferencias entre los tipos de propágulos vegetativos (axilares, basales y de raíz) afectan significativamente las características de crecimiento, desarrollo y calidad de los frutos de piña MD2. La elección del tipo de propágulo adecuado puede ser determinante para optimizar la productividad y la calidad del cultivo, reduciendo además el tiempo del ciclo de cultivo. Las plantas provenientes de los propágulos axilares muestran un crecimiento más rápido y una mayor capacidad para inducir la floración temprana, sin embargo, los propágulos de raíz y basal productivamente no difieren del propágulo axilar. En general, este estudio sugiere que, al elegir los propágulos adecuados -sin mezclarlos- y gestionarlos correctamente, se puede mejorar la eficiencia y rentabilidad de los cultivos de piña, si consideramos que los 3 tipos de propágulos presentaron mejor rendimiento y menor tiempo que el reportado comercialmente para Colombia. Esto quiere decir que seleccionar los propágulos es la labor primaria de un emprendimiento comercial con piña.

Acknowledgements

Agradecimientos

Las autoras agradecen a La Corporación Colombiana de Investigación Agropecuaria - Agrosavia, por el apoyo con este trabajo de investigación, desarrollado dentro del marco del proyecto corporativo “Estrategias de manejo agronómico de piña MD2 para sistemas productivos del departamento del Valle del Cauca, promoviendo parámetros de adaptación y sostenibilidad”.

Referencias

  1. Agronet. (20 de mayo de 2023). Reporte: área, producción y rendimiento nacional por cultivo. Agronet MinAgricultura. https://bit.ly/3w2P9e6. [URL] 🠔
  2. Assumi, S. R.; Singh, P. T. y Jha, A. K. (2021). Pineapple (Ananas comosus L. Merr.). En Ghosh, S. N. y Sharma, R. R. (eds.), Tropical fruit crops: Theory to practical (pp. 487-541). Nueva Delhi: Jaya Publishing House. 🠔
  3. Barker, T.; Henningsen, A. y Smith, D. (2018). Effect of different propagation methods on pineapple growth and yield. International Journal of Horticultural Science, 24(2), 134-141. 🠔
  4. Barker, D.; Dousseau, S.; Romais, E.; De Oliveira, L.; Soares, P. y Bravo, S. (2018). Post-harvest quality of “Vitória” pineapple as a function of the types of shoots and age of the plant for floral induction. Revista Brasileira de Fruticultura 40(4). https://doi.org/10.1590/0100-29452018297. [URL] 🠔
  5. Brenes, S. (2005). Caracterización vegetativa y productiva del cultivar MD2 (Ananas comosus) bajo las condiciones climáticas de Turrialba. Revista Electrónica de las Sedes Regionales de la Universidad de Costa Rica, 6(11), 27-34. https://revistas.ucr.ac.cr/index.php/intersedes/article/view/948. [URL] 🠔
  6. Chen, C. y Paull, R. (2000). Sugar metabolism and pineapple flesh translucency. Journal of the American Society for Horticultural Science, 125(5), 558-562. https://doi.org/10.21273/JASHS.125.5.558. [URL] 🠔
  7. Codex Alimentarius. (2011). Norma para la piña CXS 182-1993. Adoptada en 1993. Revisada en 1999. Enmendada en 2005, 2011. https://www.fao.org/3/X1702S/x1702s0j.htm. [URL] 🠔
  8. Cunha, J.; Freitas, M.; De Carvalho, A.; Caetano, L.; Vieira, M.; Peçanha, D. y Pinto, L. (2021). Pineapple yield and fruit quality in response to potassium fertilization. Journal of Plant Nutrition, 44(6), 865-874. https://doi.org/10.1080/01904167.2021.1871755. [URL] 🠔
  9. Deka, B. C.; Saikia, J. y Sharma, S. (2004). Standardization of maturity indices of “Kew” pineapple. Acta Horticulturae, 682, 2215-2220. https://doi.org/10.17660/ActaHortic.2005.682.302. [URL] 🠔
  10. Fassinou, H.; Lommen, W.; Agbossou, E. y Struik, P. (2014). Heterogeneity in pineapple fruit quality results from plant heterogeneity at flower induction. Frontiers in Plant Science, 5(670). https://doi.org/10.3389/fpls.2014.00670. [URL] 🠔
  11. Fassinou, H.; Lommen, W.; Agbossou E. y Struik, P. (2015). Influence of weight and type of planting material on fruit quality and its heterogeneity in pineapple [Ananas comosus (L.) Merrill] V. Frontiers in Plant Science , 5(798). https://doi.org/10.3389/fpls.2014.00798. [URL] 🠔
  12. Hung, N.; Ha, L.; Lien, D.; Nga, N. y Lam, V. (2024). Optimal shoot mass for propagation to increase the yield and quality of pineapple. Sustainability, 16(13), 5729. https://doi.org/10.3390/su16135729. [URL] 🠔
  13. Gambin, J. y Herrera, D. (2011). Curvas de absorción de nutrientes en el cultivo de piña (Ananas comosus var. MD2). Tierra Tropical, 8(2),169-178. https://es.scribd.com/document/330665282/v8-2-02-Gambin-Herrera [URL] 🠔
  14. Gamboa, A. (2006). Efecto del peso de la planta al forzamiento sobre el rendimiento y calidad de la fruta en piña (Ananas comosus) (l.) merr hibrido MD2. [Trabajo de grado]. Instituto Tecnológico de Costa Rica. https://hdl.handle.net/2238/5888. [URL] 🠔
  15. García, A. (2008). Tendencia de producción de hijos en el cultivo piña (Ananas comosus L. Merr) híbrido Venecia Gold, Venecia San Carlos. [Trabajo de grado]. Instituto Tecnológico de Costa Rica. https://hdl.handle.net/2238/2797. [URL] 🠔
  16. Garzón, J. (2016). Establecimiento y manejo de un cultivo de piña en la sede de la asociación de ingenieros agrónomos del llano en Villavicencio. [Trabajo de grado]. https://acortar.link/uEgdeX. [URL] 🠔
  17. Haff, R.; Slaughter, D.; Sarig, Y. y Kader, A. (2006). X-Ray assessment of translucency in pineapple. Journal of Food Processing and Proservation, 30 (5), 527-533. https://doi.org/10.1111/j.1745-4549.2006.00086.x. [URL] 🠔
  18. Jiménez, J. (1999). Manual práctico para el cultivo de piña de exportación. Cartago: Editorial Tecnológica de Costa Rica. https://www.worldcat.org/es/title/manual-practico-para-el-cultivo-de-pina-de-exportacion/oclc/45243907. [URL] 🠔
  19. López-Vázquez, M. E.; Peralta-Antonio, N.; Montiel-Vicencio, G.; Rebolledo-Martínez, A. y Rebolledo-Martínez, L. (2021). Biomasa y rendimiento de piña MD2 en función de dosis de nitrógeno y potasio. Instituto Nacional de Investigaciones Forestales, Agrícolas y Pecuarias INIFAP, 33. https://acortar.link/0C0hUo. [URL] 🠔
  20. Marca-Huamancha, C.; Borjas-Ventura, R.; Rebaza-Fernández, D.; Bello-Amez, S. y Julca-Otiniano, A. (2018). Efecto de la fertilización mineral y de un fertilizante biológico en piña [Ananas comosus (L.) Merr.] en el cultivar MD2 (“Golden”). Revista Colombiana de Ciencias Hortícolas, 12(1), 59-68. https://acortar.link/kDtiPI. [URL] 🠔
  21. Maneesha, S.; Priya, S.; Vijayakumar, R.; Soorianathasundaram, K.; Selvi, D. y Jeyakumar, P. (2022). Response of pineapple to fertigation and flower induction in red laterite soil. Indian Journal of Horticulture, 79(1), 62-68. https://doi.org/10.5958/0974-0112.2022.00010.X. [URL] 🠔
  22. Morga, J. (2003). El cultivo de la piña (Ananas comosus) (L) Merr. en el sur de México. [Trabajo de grado]. http://repositorio.uaaan.mx:8080/xmlui/bitstream/handle/123456789/1269/EL%20CULTIVO%20DE%20LA%20PI%C3%91A%20(Ananas%20comosus)%20(L)%20Merr.EN%20EL%20SUR%20DE%20MEXICO.pdf?sequence=1. [URL] 🠔
  23. Nureszuan, S.; Noorasmah, S. y Shiamala, D. (2021). Flowering synchronization in pineapples (Ananas comosus L. Merr): A review. Journal of Applied Horticulture, 23(2), 206-211. https://doi.org/10.37855/jah.2021.v23i02.38. [URL] 🠔
  24. Omotoso, S. (2014). Performance of pineapple (Ananas comosus (L.) Merr) plantlets as influenced by types and weights of propagule. Global Advanced Research Journal of Agricultural Science, 3(11), 373-378. https://acortar.link/dLx3VP. [URL] 🠔
  25. Paull, R.; Wiseman, B. y Uruu, G. (2022). Pineapple field establishment using slips. HortScience, 57(12), 1540-1544. https://doi.org/10.21273/HORTSCI16877-22. [URL] 🠔
  26. Py, C. (1968). La piña. Técnicas Agrícolas y Producciones Tropicales. Edición Revolucionaria. La Habana. Instituto del Libro. 267 p 🠔
  27. Py, C.; Lacoeuilhe, J. y Teisson, C. (1987). The pineapple: Cultivation and uses. Traducción de Daphne y Jack Goodfellow. París: G. P. Maisonneuve & Larose. http://hdl.handle.net/10524/55419. [URL] 🠔
  28. Reed, R.; Bradford, K. y Khanday, I. (2022). Seed germination and vigor: Ensuring crop sustainability in a changing climate. Heredity, 128(6), 450-459. https://doi.org/10.1038/s41437-022-00497-2. [URL] 🠔
  29. Reinhardt, D.; Bartholomew, D.; Vidigal, D.; Portugal, A.; Pereira, T.; Junghans D. y Pires, A. (2018). Advances in pineapple plant propagation. Revista Brasileira de Fruticultura , 40(6). https://doi.org/10.1590/0100-29452018302. [URL] 🠔
  30. Rojas, J. (2019). Efecto de la fertilización post forzamiento sobre la calidad y el rendimiento de la fruta de piña (Ananas comosus (L.) merr.) híbrido MD2 Alajuela, Costa Rica. [Trabajo de grado]. Instituto Tecnológico de Costa Rica. https://acortar.link/TTDqU9. [URL] 🠔
  31. Saavedra, R.; Vásquez, H.; Canacuán, J. y Quintero, M. (2022). Plan de fertilización para la piña MD2 [Ananas comosus (L.) Merr.] en la zona de ladera del Valle del Cauca. Palmira: Universidad Nacional de Colombia. https://repositorio.unal.edu.co/handle/unal/82692. [URL] 🠔
  32. Sanewski, G.; Bartholomew, D. y Paull, R. (2018). The pineapple: Botany, production and uses, 2nd edition:. Londres: CABI. https://books.google.co.ve/s?id=mCKADwAAQBAJ&printsec=frontcover&hl=es#v=onepage&q&f=false. [URL] 🠔
  33. Srivastava, A. y Chengxiao, H. (2020). Chapter 50 - Diagnosis and management of nutrient constraints in pineapple. En V. Martins, R. Facco, I. Aspiazu´a. Fruit Crops Diagnosis and Management of Nutrient Constraints (pp. 739-760). Elsevier. https://doi.org/10.1016/C2018-0-04225-5. [URL] 🠔
  34. Sulaiman, S.; Yusuf, N. y Awal, A. (2020). Effect of plant growth regulators on in vitro culture of pineapple (Ananas comosus L. Merr) MD-2 variety. Food Research, 4, 110-114. 🠔
  35. Valentina, L.; Seephuak, P.; Boonchareon, K.; Chotikamas, T.; Vanichpakorn, P. y Sripaoraya, S. (2024). Effects of plant materials and plant densities on pineapple (Ananas comosus var. srivijaya) growth under intercropping with young oil palm (Elaeis guineensis Jacq.) in lowland área. International Journal of Agricultural Technology, 20(4), 1639-1654. http://www.ijat-aatsea.com/pdf/v20_n4_2024_July/26_IJAT_20(4)_2024_Valentina,%20L.--1249.pdf. [URL] 🠔
  36. Velasco, Y. y Vallejo, F. (2020). Estudio de investigación para incrementar la productividad a través de la tecnificación de los procesos productivos de la piña de un pequeño productor del sector el tigre en la ciudad de Pereira. [Trabajo de grado]. Universidad Tecnológica de Pereira. https://hdl.handle.net/11059/12359. [URL] 🠔
  37. Yzarra, W. y López, F. (2017). Manual de observaciones fenológicas. Ministerio de Agricultura y Servicio Nacional de Meteorología e Hidrología del Perú (SENAMHI). https://hdl.handle.net/20.500.12542/272. [URL] 🠔
  38. Zhang, H. N.; Sun, W. S.; Sun, G. M.; Liu, S. H.; Li, Y. H.; Wu, Q. S. y Wei, Y. Z. (2016). Phenological growth stages of pineapple (Ananas comosus) according to the extended Biologische Bundesantalt, Bundessortenamt and Chemische Industrie scale. Annals of Applied Biology, 169(2), 311-318. https://doi.org/10.1111/aab.12292. [URL] 🠔