Acta Agronómica
0120-2812
Universidad Nacional de Colombia
https://doi.org/10.15446/acag.v73n1.115606

Recibido: 5 de julio de 2024; Aceptado: 29 de enero de 2025

Dominancia de Dichondra sericea y diversidad arvense mediante manejo manual en cultivo de banano orgánico en Ecuador

Dominance of Dichondra sericea and weed diversity under manual management in organic banana cultivation in Ecuador

S. Sánchez-Tigrero, 1J. Moreira-Castro, 2L. García-Cruzatty, 3

Tanabe S. A., Ecuador. santiagoamador@yahoo.com Tanabe S. A Ecuador
Jardín Botánico. Universidad Técnica de Manabí. Portoviejo, Ecuador. juanmoreiracastro@hotmail.com Universidad Técnica de Manabí Jardín Botánico Universidad Técnica de Manabí Portoviejo Ecuador
Facultad de Ingeniería Agronómica. Universidad Técnica de Manabí. Portoviejo, luz.garcia@utm.edu.ec Universidad Técnica de Manabí Facultad de Ingeniería Agronómica Universidad Técnica de Manabí Portoviejo Ecuador

Resumen

Ecuador, el principal productor mundial de banano, enfrenta desafíos para el manejo sostenible de plantas arvenses en sistemas orgánicos, en los que existe escasa información científica sobre la diversidad de arvenses. Este estudio evaluó el impacto de técnicas manuales de control de malezas (chapia superficial, selectiva, roza con machete y testigo -sin control- sobre la diversidad de arvenses en un cultivo orgánico de banano en la Hacienda Tecnoban (Santo Domingo de los Tsáchilas, Ecuador). Se realizó un inventario florístico en parcelas de 900 m² durante las épocas secas y lluviosas de 2022, gracias a lo cual se identificaron especies mediante claves taxonómicas y se calcularon índices de diversidad (Shannon, Simpson, Pielou). Se registraron 14 especies arvenses, entre las que se destacaron Dichondra serícea (50 % de cobertura) y Geophila macropoda (hasta 44 % de cobertura). Los análisis estadísticos (Kruskal-Wallis) revelaron diferencias significativas entre tratamientos (p<0.05), de los cuales la chapia selectiva mantuvo la mayor diversidad al modular la dominancia de D. sericea. No se observaron diferencias entre épocas climáticas (p>0.05), y el índice de Sørensen confirmó alta similitud florística entre tratamientos (≥0.86) y estabilidad estacional (≥0.93). Estos resultados sugieren que prácticas como la chapia selectiva preservan la diversidad arvense sin alterar la composición natural y favorecen agroecosistemas resilientes. El estudio aporta evidencia para optimizar el manejo manual de malezas en banano orgánico, ya que este equilibra la productividad frente a la conservación de la biodiversidad.

Palabras clave:

agricultura orgánica, agroecosistemas tropicales, control de malezas, diversidad florística.

Abstract

Ecuador, the world’s leading banana producer, faces challenges in the sustainable management of weeds in organic systems, where scientific information on their diversity is limited. This study evaluated the impact of manual weed control techniques (superficial weeding, selective weeding, machete slashing, and control [no weeding]) on weed diversity in an organic banana plantation at Hacienda Tecnoban (Santo Domingo de los Tsáchilas, Ecuador). A floristic inventory was conducted in 900 m² plots during the dry and rainy seasons of 2022, identifying species using taxonomic keys and calculating diversity indices (Shannon, Simpson, Pielou). Fourteen weed species were recorded, with Dichondra sericea (50 % coverage) and Geophila macropoda (up to 44 %) being the most prominent. Statistical analysis (Kruskal-Wallis) revealed significant differences among treatments (p<0.05), with selective weeding maintaining the highest diversity by modulating D. sericea dominance. No differences were observed between climatic seasons (p>0.05), and the Sørensen index confirmed high floristic similarity among treatments (≥0.86) and seasonal stability (≥0.93). These results suggest that practices like selective weeding help preserve weed diversity without altering the natural composition, favoring resilient agroecosystems. The study provides evidence to optimize manual weed management in organic banana cultivation, promoting a balance between productivity with biodiversity conservation.

Keywords:

Floristic diversity, organic agriculture, tropical agroecosystems, weed control.

Introducción

Ecuador se consolida como el principal productor mundial de banano ( FAO, 2020; Apolo Aguilar et al., 2021), lo que convierte esta producción en un pilar fundamental para la economía nacional y en una fuente crucial de empleo para miles de familias en zonas rurales. Tradicionalmente, la producción de banano se ha desarrollado en sistemas convencionales con un elevado uso de agroquímicos; sin embargo, el sector orgánico -aún en expansión- ha recibido menos atención en cuanto a la gestión integral de malezas. En este contexto, se ha asumido erróneamente que las especies arvenses compiten con el cultivo por recursos esenciales (nutrientes, agua y luz) e, incluso, que actúan como hospedadoras de plagas (Hernández & Guzmán, 2022).

No obstante, estudios recientes han evidenciado que, dentro de los sistemas orgánicos, las arvenses pueden cumplir funciones ecológicas esenciales. Por ejemplo, se ha evidenciado que ciertas especies contribuyen a conservar la humedad del suelo, prevenir la erosión y reciclar nutrientes, lo que favorece la estabilidad y resiliencia de los agroecosistemas (Pontes Junior et al., 2022; Eljebri et al., 2024). Además, investigaciones en otros contextos han demostrado que las prácticas agrícolas que integran el manejo manual de malezas pueden mantener, o incluso potenciar, la diversidad florística (Sánchez- Reyes et al., 2024), lo cual resulta fundamental para la sostenibilidad a largo plazo.

El manejo manual de malezas, especialmente mediante técnicas como la chapia1 selectiva, se plantea como una alternativa prometedora en cultivos orgánicos, ya que podría minimizar el uso de herbicidas y, al mismo tiempo, conservar los servicios ecosistémicos asociados a la diversidad arvense (Rivera-Ramírez et al., 2021). Sin embargo, la literatura sobre el manejo sostenible de arvenses en banano orgánico es todavía limitada. Ante este vacío, el presente estudio se propone evaluar el impacto de diversas técnicas manuales de control de malezas sobre la diversidad de especies arvenses en la Hacienda Tecnoban, ubicada en Santo Domingo de los Tsáchilas, Ecuador. Se plantea la hipótesis de que la chapia selectiva favorecerá una mayor diversidad sin comprometer la cobertura vegetal, en comparación con métodos más intensivos como la roza con machete.

Esta investigación, pionera en su enfoque en banano orgánico tropical, busca aportar datos que no solo mejoren la comprensión de las interacciones entre cultivo y malezas, sino que también sirvan de base para el desarrollo de modelos de manejo sostenible aplicables a otros cultivos de alto valor, como el cacao y el café (Restuccia et al., 2020; Chaudhary et al., 2022; Nulkar, 2024).

Materiales y métodos

Área de estudio

Este estudio se realizó en la Hacienda Tecnoban, ubicada en la provincia Santo Domingo de los Tsáchilas, en el cantón La Concordia (Ecuador) (Figura 1), a 217 m s. n. m. en la zona noroccidental del Ecuador. Esta área corresponde a la zona climática lluviosa tropical, su temperatura habitual es de 20 a 35 °C. El suelo es de origen volcánico; la humedad relativa promedio es de 85.8 %; precipitación promedio anual de 3045 mm. En esta hacienda se realiza cultivo y exportación de banano desde 1995, en una extensión de 350 hectáreas.

Ubicación geográfica de la Hacienda Tecnoban, La Concordia, Ecuador.

Figura 1: Ubicación geográfica de la Hacienda Tecnoban, La Concordia, Ecuador.

Diseño experimental

El estudio se realizó en la Hacienda Tecnoban (0.008°S, 79.367°O), en parcelas de 900 m² dispuestas en un diseño de bloques completamente al azar con 3 repeticiones. Cada parcela se dividió en 9 subparcelas de 10 × 10 m, de las cuales 3 se muestrearon aleatoriamente. Los tratamientos evaluados fueron:

T1 - chapia superficial: corte manual de arvenses que sobrepasaban los 30 cm de altura, sin afectar la cobertura del suelo.

T2 - chapia selectiva: corte selectivo de especies leñosas y altas, permitiendo la permanencia de especies rastreras.

T3 - roza con machete: eliminación total de la vegetación a ras del suelo.

T4 - testigo sin control: parcelas sin desmalezar durante todo el periodo de estudio.

El trabajo de campo se llevó a cabo entre marzo y septiembre de 2022. Cada tratamiento se aplicó cada 6 semanas en cada época climática (seca y lluviosa).

Muestreo y análisis florístico

Unidad de muestreo: dentro de cada parcela de 900 m², se delimitaron subparcelas de 100 m², de las que se registraron los datos.

Número de muestras y repeticiones: se tomaron 3 subparcelas por parcela, para un total de 12 subparcelas por tratamiento en cada época climática.

Frecuencia de muestreo: se realizaron evaluaciones cada 4 semanas; en ellas se contabilizaron la cobertura y la abundancia relativa de cada especie.

Criterios de selección de los sitios de muestreo: las subparcelas se ubicaron de manera aleatoria dentro de cada parcela, asegurando la representatividad del área y evitando sesgos por microambientes.

Las muestras botánicas se recolectaron, prensaron y secaron a 60 °C durante 48 horas. La identificación se realizó mediante claves taxonómicas (Jørgensen & León-Yánez, 1999) y la clasificación APG IV. La cobertura de cada especie se calculó como el porcentaje del área de subparcela ocupada, usando una cuadrícula de 1 × 1 m para estandarizar las mediciones.

Índices de diversidad

Para caracterizar la diversidad de arvenses en los diferentes tratamientos y épocas climáticas, se calcularon los siguientes índices:

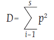
Índice de Simpson (DDD): evalúa la dominancia de especies (Simpson, 1949).

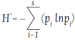
Índice de Shannon-Wiener (H'H›H'):

mide la riqueza y equidad en la distribución de especies (Shannon, 1948).

Índice de equidad de Pielou (JJJ): determina la uniformidad en la distribución de las especies (Pielou, 1966).

Índice de similaridad de Sørensen: permite comparar la composición florística entre tratamientos (Sørensen, 1948).

Por otro lado, los índices se calcularon mediante las siguientes fórmulas:

Índice de Shannon-Wiener (H›):

Donde pi es la proporción de individuos de la especie i, y S es el número total de especies.

Índice de Simpson (D):

Donde valores altos indican mayor diversidad.

Equidad de Pielou (J):

Donde H es el índice de Shannon y S la riqueza de especies.

Índice de Sørensen:

Donde C es el número de especies comunes entre dos sitios, y A y B son las especies totales en cada sitio.

Análisis estadístico

Las diferencias entre tratamientos y épocas se evaluaron con ANOVA de Kruskal-Wallis y pruebas post-hoc de Dunn (paquete ‘PMCMRplus’ en R v4.3.1). Para evaluar diferencias en la composición de especies entre tratamientos y épocas climáticas, se utilizó el índice de Sørensen.

Resultados

Composición florística y abundancia relativa

Se identificaron 14 especies arvenses, agrupadas en 12 familias botánicas (Tabla 1), entre las cuales Dichondra sericea (Convolvulaceae) y Geophila macropoda (Rubiaceae) fueron las más dominantes, con coberturas medias del 50 % y 34 %, respectivamente. D. sericea mantuvo dominancia en todos los tratamientos, incluso sin control (T4). En época lluviosa, D. sericea alcanzó hasta 59 % de cobertura bajo chapia selectiva (T2), mientras G. macropoda predominó en roza (T3) con 44 % (Tabla 2). Especies como Cyperus luzulae y Borreria laevis mostraron coberturas marginales (<3 %), y desaparecieron en algunos tratamientos (C. luzulae en T3-seca).

Tabla 1: Especies arvenses identificadas en parcelas de muestreo en cultivo orgánico de banano en la Hacienda Tecnoban, La Concordia, Ecuador, 2022

La Figura 2 evidencia que D. sericea alcanzó su máxima cobertura (61 %) en chapia selectiva (T2) durante la época seca, mientras G. macropoda fue más abundante en roza (T3) en época lluviosa (44 %). Entre las especies que tuvieron menor incidencia: T. cumanensis, F. aestuans, C. achyranthoides, B. laevis y C. luzulae, esta última desapareció completamente cuando se realizó chapia con machete (Tabla 2).

Arvenses en el cultivo de banano orgánico (nótese dominancia de Dichondra sericea), en la Hacienda Tecnoban, La Concordia, Ecuador, 2022 (época seca, 3 semanas después de la chapia selectiva).

Figura 2: Arvenses en el cultivo de banano orgánico (nótese dominancia de Dichondra sericea), en la Hacienda Tecnoban, La Concordia, Ecuador, 2022 (época seca, 3 semanas después de la chapia selectiva).

Tabla 2: Abundancia relativa (%) de especies arvenses durante las épocas seca y lluviosa, recolectadas mediante manejo manual1 en parcelas de muestreo en cultivo orgánico de banano, Hacienda Tecnoban, La Concordia, Santo Domingo, Ecuador, 2022

Tratamientos: T1= chapia, T2= chapia selectiva, T3= roza con machete, T4= testigo sin control.

Diversidad y efectos del manejo manual

Los resultados de la Tabla 3 evidencian que el manejo manual de malezas, particularmente la chapia selectiva (T3), favorece la mayor diversidad arvense en el cultivo orgánico de banano, con un índice de Simpson de 2.6 y una equidad de Pielou (J) de 0.59 en época seca, lo que refleja una comunidad vegetal equilibrada y resiliente. En contraste, la roza con machete (T2) mostró la menor diversidad (Simpson= 1.85) debido a la dominancia marcada de Dichondra seríiea (61 % de cobertura), especie que incrementó su prevalencia en época seca. Aunque la época lluviosa registró mayor abundancia total (96.7 % en T4), la época seca no redujo la riqueza de especies (14 spp.), pero sí reforzó la competitividad de taxones adaptados a sequía. Estos hallazgos demuestran que prácticas como la chapia selectiva, al preservar especies rastreras y modular la dominancia, son clave para mantener agroecosistemas biodiversos y sostenibles en banano orgánico.

Tabla 3: Índices de diversidad de especies arvenses en cultivo orgánico de banano en la Hacienda Tecnoban, La Concordia, Ecuador, 2022

Tratamientos: T1= chapia, T2= chapia selectiva, T3= roza con machete, T4= testigo sin control.
El índice de Simpson se calculó como la inversa de la suma de los cuadrados de las proporciones.

La cobertura de arvenses no mostró diferencias estadísticas significativas entre épocas climáticas (p>0.05), ya que se mantuvo estable tanto en la época seca como lluviosa (Tabla 4). D. sericea fue la especie dominante en todos los tratamientos, con coberturas del 47 % (época lluviosa) y 48 % (época seca), seguida de G. macropoda, que alcanzó el 37 % y 33 % en las mismas épocas (Figura 3).

Tabla 4: Resultados del análisis de Kruskal-Wallis para diversidad de especies arvenses bajo manejo manual en un cultivo de banano orgánico en La Concordia, Ecuador, 2022

Tratamientos: T1= chapia superficial, T2= chapia selectiva, T3= roza con machete y T4= testigo sin control. Valores significativos (p<0.05).

Abundancia de especies arvenses en época lluviosa (a) y época seca (b), sometidas a diferentes tratamientos (T1= chapia, T2= chapia selectiva, T3=roza con machete, T4= testigo sin control) en cultivo orgánico de banano en la Hacienda Tecnoban, La Concordia, Ecuador, 2022.

Figura 3: Abundancia de especies arvenses en época lluviosa (a) y época seca (b), sometidas a diferentes tratamientos (T1= chapia, T2= chapia selectiva, T3=roza con machete, T4= testigo sin control) en cultivo orgánico de banano en la Hacienda Tecnoban, La Concordia, Ecuador, 2022.

La chapia selectiva (T2) favoreció la mayor abundancia de D. sericea, pues registró un 57.5 % de cobertura en época lluviosa y 56.6 % en época seca. Por su parte, G. macropoda mostró su máxima cobertura (42 %) bajo el mismo tratamiento (T2) durante la época seca, lo que sugiere una adaptación diferencial a las intervenciones manuales. En contraste, el testigo (T4) y la roza con machete (T3) mostraron menor variabilidad en la distribución de especies, lo que refuerza la dominancia de D. sericea.

Estos resultados, expuestos en la Figura 3, evidencian que las prácticas de manejo modularon la abundancia relativa de las especies, pero no alteraron la composición florística entre épocas.

Las diferencias significativas entre tratamientos (Kruskal-Wallis, p<0.05) indican que el método de control influye en la diversidad arvense, mientras que la ausencia de diferencias entre épocas (p>0.05) sugiere estabilidad estacional (Shannon: H= 9.24, p= 0.026; Simpson: H= 8.75, p= 0.033) (Tabla 4). Las pruebas post-hoc de Dunn revelan que la roza con machete (T2) redujo significativamente la diversidad si se compara con la chapia selectiva (T3) (p= 0.018) y el testigo (T4) (p= 0.032). No se encontraron diferencias entre T3 (chapia selectiva) y T4 (testigo) (p= 0.415), lo cual sugiere que este método mantiene una diversidad comparable a la de un sistema sin intervención (Tabla 5).

Tabla 5: Pruebas post-hoc de Dunn (comparaciones completas) de especies arvenses bajo manejo manual en el cultivo de banano orgánico en La Concordia, Ecuador, 2022

Nota: ajuste de Bonferroni para comparaciones múltiples. *Valores significativos (p<0.05). T= chapia superficial, T2= chapia selectiva, T3= roza con machete y T4= testigo sin control.

Estabilidad florística y similitud estacional

El índice de Sørensen destacó alta similitud entre tratamientos (≥0.86) y épocas (≥0.93), lo que indica que ni el manejo manual ni la estacionalidad alteraron drásticamente la comunidad arvense (Tabla 6). Por ejemplo, T1 (chapia superficial) y T4 (testigo) compartieron el 100 % de especies en época lluviosa; esto confirma la resiliencia del sistema ante intervenciones moderadas.

Tabla 6: Índice de Sørensen de similitud de especies arvenses entre tratamientos1 (manejo manual) y épocas climáticas en cultivo orgánico de banano en La Concordia, Ecuador, 2022

Tratamientos: T1= chapia superficial, T2= chapia selectiva, T3= roza con machete y T4= testigo sin control.

Discusión

Efecto del manejo de arvenses en la diversidad vegetal

Los resultados indican que el manejo manual de arvenses influye significativamente en la diversidad y composición de la vegetación arvense en cultivos de banano orgánico. La riqueza de especies se mantuvo estable entre tratamientos, pero la cobertura relativa y la equidad variaron según el tipo de manejo. La chapia selectiva (T3) mostró la mayor diversidad florística (D= 2.45-2.60), lo cual valida su eficacia para modular la dominancia de Dichondra sericea y preservar especies funcionales en sistemas de banano orgánico. En contraste, la roza con machete (T2) y la chapia con machete (T1) tendieron a favorecer la proliferación de especies altamente competitivas, como Dichondra sericea y Geophila macropoda. Estos hallazgos concuerdan con estudios recientes que destacan el impacto del manejo en la estructura de comunidades de malezas en cultivos tropicales (Restuccia et al., 2020; Rivera-Ramírez et al., 2021) y se alinean con evidencia presentada en investigaciones recientes (Alarcón Víllora et al., 2019; Eljebri et al., 2024).

Función ecológica de las arvenses en sistemas orgánicos

Las arvenses no solo representan un desafío para el manejo del cultivo, sino que cumplen funciones ecológicas esenciales. La dominancia de Dichondra sericea y Geophila macropoda sugiere que estas especies actúan como cobertura vegetal, ayudando en la conservación de la humedad del suelo, la prevención de la erosión y el reciclaje de nutrientes (Murillo et al., 2016). Además, se ha observado que ciertas malezas pueden ofrecer hábitats para insectos benéficos y contribuir a la estabilidad del agroecosistema (Pontes Junior et al., 2022). Estudios recientes han ampliado el entendimiento de estos roles ecológicos en sistemas orgánicos (Balah, 2021; Sánchez-Reyes et al., 2024; Blanco-Valdés, 2016), lo que refuerza la idea de que un manejo adecuado no debe eliminar la diversidad, sino regularla para maximizar servicios ecosistémicos.

Comparación con estudios previos y análisis de diversidad

El uso combinado de índices (Simpson, Shannon y equidad de Pielou) permitió evaluar en profundidad la estructura de la comunidad arvense. El índice de Shannon evidenció que la diversidad total fue mayor en tratamientos con manejo menos disruptivo, mientras que el índice de Simpson reflejó la dominancia en tratamientos con mayor intervención. Este patrón es similar al reportado en estudios de otros cultivos orgánicos tropicales, en los que se observa que las prácticas de manejo pueden modular tanto la riqueza como la distribución de las especies (González et al., 2023). Además, la aplicación de índices beta, como el de Sørensen, confirmó que las diferencias en la composición de especies entre tratamientos son sutiles, lo que indica una alta similitud florística. La integración de nuevos enfoques analíticos (Agüero- Alvarado et al., 2018; Chaudhary et al., 2022) sugiere que la evaluación multivariada podría aportar mayor resolución a futuros estudios.

Implicaciones para el manejo del banano orgánico

Desde el punto de vista práctico, estos hallazgos tienen importantes implicaciones para la producción de banano orgánico en Ecuador. La chapia selectiva (T3) se revela como la estrategia más equilibrada, ya que conserva una diversidad moderada y reduce la dominancia excesiva de Dichondra sericea, lo que favorece la funcionalidad del sistema y la conservación de servicios ecosistémicos esenciales. Esta estrategia se alinea con las tendencias internacionales que promueven prácticas de manejo sostenible y el uso reducido de herbicidas (Ramos et al., 2011; Hussain et al., 2021; Nulkar, 2024). Por ello, se recomienda que los productores consideren este método para optimizar tanto la productividad como la resiliencia del agroecosistema.

Limitaciones y futuras líneas de investigación

Si bien el presente estudio aporta evidencia sobre el impacto del manejo manual en la diversidad arvense, se reconocen algunas limitaciones. La investigación se realizó en una única finca y durante un periodo específico, lo que no permite capturar variaciones interanuales o espaciales. Futuros estudios deberían evaluar el efecto acumulativo del manejo manual a lo largo de varios ciclos agrícolas y considerar otras variables ambientales, como la humedad del suelo, la actividad de la microbiota y la presencia de insectos benéficos. Además, se sugiere ampliar la comparación con otros cultivos orgánicos (por ejemplo, cacao y café) para validar si los patrones observados son generalizables en sistemas tropicales (Romaneckas et al., 2021; Eljebri et al., 2024; Sánchez-Reyes et al., 2024).

Conclusiones

Se identificaron 14 especies arvenses en el cultivo orgánico de banano, con predominio de Dichondra sericea (50 % de cobertura), lo cual confirma su adaptabilidad a distintos manejos. Los resultados validan la hipótesis inicial, ya que demuestran que la chapia selectiva (T3) es la estrategia más equilibrada, pues modula la dominancia de D. sericea y mantiene una mayor diversidad florística sin comprometer la productividad. Esta práctica favorece agroecosistemas resilientes, al conservar especies funcionales que contribuyen a la retención de humedad, prevención de erosión y hábitats para fauna benéfica.

El estudio aporta evidencia clave para optimizar el manejo manual de malezas en banano orgánico, ya que este equilibra la producción frente a la conservación de biodiversidad. Sin embargo, se recomienda extender la investigación a múltiples ciclos agrícolas y localidades para evaluar la estabilidad a largo plazo. Estos hallazgos respaldan la adopción de prácticas sostenibles en el sector bananero ecuatoriano que estén alineadas con las demandas globales de agricultura orgánica y conservación de agroecosistemas.

Declaraciones éticas

Los autores declaran no tener conflictos de interés.

Acknowledgements

Agradecimientos

el presente estudio fue financiado por la empresa Tecnoban S. A.

Referencias

  1. Agüero-Alvarado, R.; Rodríguez-Ruiz, A.; González-Lutz, M.; Portuguez-García, P. & Brenes-Prendas, S. (2018). Abundancia y cobertura de arvenses bajo manejo convencional y orgánico de café y banano. Agronomía Mesoamericana, 29(1), 85. https://doi.org/10.15517/ma.v29i1.28053 [URL] 🠔
  2. Alarcón Víllora, R.; Sánchez Álvarez, A. M. & Hernández-Plaza, E. (2019). Manejo y diversidad de las comunidades arvenses en las estepas cerealistas: propuestas para una gestión sostenible. Ecosistemas, 28(3), 36-45. https://doi.org/10.7818/ECOS.1821 [URL] 🠔
  3. Apolo Aguilar, D.; Vite Cevallos, H. & Carvajal Romero, H. (2021). Análisis de la producción bananera pre y pos pandemia de la “Asociación “Asocobaoro” periodo 2019-2020. Revista Metropolitana de Ciencias Aplicadas, 4(2), 128-135. https://doi.org/10.62452/5sy8jj63 [URL] 🠔
  4. Balah, M. A. (2021). Multi-task of weed plants in desert environment. En A. A. Elkhouly y A. Negm (eds.), Management and development of agricultural and natural resources in Egypt’s desert (pp. 267-290). Springer Water, Springer. https://doi.org/10.1007/978-3-030-73161-8_10 [URL] 🠔
  5. Blanco-Valdés, Y. (2016). El rol de las arvenses como componente en la biodiversidad de los agroecosistemas. Cultivos Tropicales, 37(4), 34-56. http://dx.doi.org/10.13140/RG.2.2.10964.19844 [URL] 🠔
  6. Chaudhary, A.; Chhokar, R. S. & Singh, S. (2022). Integrated weed management in wheat and barley: Global perspective. En P. L. Kashyap et al. (eds.), New horizons in wheat and barley research (pp. 545-615). Springer. https://doi.org/10.1007/978-981-16-4134-3_20 [URL] 🠔
  7. Eljebri, S.; Bouskout, M.; Ouahmane, L.; Abdelmajid, Z. & Rachid, T. (2024). Floristic diversity and ecological characteristics of weeds in irrigated agro-system with a Mediterranean climate. Vegetos. https://doi.org/10.1007/s42535-024-00834-2 [URL] 🠔
  8. FAO. (2020). Análisis del mercado del banano 2018. https://www.fao.org/3/ca5626es/CA5626ES.PDF [URL] 🠔
  9. Hernández, V. & Guzmán, R. (2022). Diversidad de especies de plantas arvenses en tres monocultivos del Bajío, México. Polibotánica, 1(53). https://doi.org/10.18387/polibotanica.53.5 [URL] 🠔
  10. Hussain, M. I.; Abideen, Z.; Danish, S.; Asghar, M. A. & Iqbal, K. (2021). Integrated weed management for sustainable agriculture. En E. Lichtfouse (eds.), Sustainable Agriculture Reviews 52 (pp. 367-393). Springer. https://doi.org/10.1007/978-3-030- 73245-5_11 [URL] 🠔
  11. Jørgensen, P. M.; & León-Yanes, S. (Eds.). (2019). Catalogue of the vascular plants of Ecuador (Monographs in Systematic Botany from the Missouri Botanical Garden, Vol. 75). Missouri Botanical Garden Press. 🠔
  12. Murillo, J.; Méndez-Estrada, V. & Brenes Prendas, S. (2016). Efecto de Geophila macropoda (Rubiaceae) como arvense de cobertura en la erosión hídrica en bananales de Guápiles, Limón, Costa Rica. Cuadernos de Investigación UNED, 8(2), 217-223. https://dialnet.unirioja.es/servlet/articulo?codigo=9354549 [URL] 🠔
  13. Nulkar, G. (2024). Traditional knowledge and sustainable livelihoods. En G. Nulkar (ed.), The economics of sustainable development (pp. 129-176). Springer. https://doi.org/10.1007/978-981-99-7379-8_4 [URL] 🠔
  14. Pielou, E. C. (1966). The measurement of diversity in different types of biological collections. Journal of Theoretical Biology, 13(2), 131-144. https://doi.org/10.1016/0022-5193(66)90013-0 [URL] 🠔
  15. Pontes Junior, V. B.; Alberto da Silva, A.; D’Antonino, L.; Mendes, K. F. & De Paula Medeiros, B. A. (2022). Methods of control and integrated management of weeds in agriculture. En K. F. Mendes, A. Da Silva (eds.), Applied weed and herbicide science (pp. 127-156). Springer. https://doi.org/10.1007/978-3-031- 01938-8_4 [URL] 🠔
  16. Ramos, O.; Vaquero, R.; León, R. & Ayuso, F. (2011). Efecto de tres especies de cobertura viva en el control de malezas en una plantación de banano orgánico (Musa AAA cv. Williams). Tierra Tropical, 7(1), 1-10. https://xdoc.mx/preview/articulo-en-espaol-5dd841f9301d6 [URL] 🠔
  17. Restuccia, A.; Scavo, A.; Lombardo, S.; Pandino, G.; Fontanazza, S.; Anastasi, U.; Abbate, C. & Mauromicale, G. (2020). Long-term effect of cover crops on species abundance and diversity of weed flora. Plants, 9(11), 1506. https://doi.org/10.3390/plants9111506 [URL] 🠔
  18. Rivera-Ramírez, I.; Ríos-De la Cruz, A.; Bravo-Avilez, D.; Bernal- Ramírez, L.; Velázquez-Cárdenas, Y.; Santiago-Gómez, J.; Lozada-Pérez, L. & Rendón-Aguilar, B. (2021). Riqueza, abundancia y composición de arvenses en parcelas sujetas a diferentes prácticas agrícolas en la Alcaldía de Cuajimalpa, Ciudad de México. Etnobiología, 19(1), 129-125. https://www.revistaetnobiologia.mx/index.php/etno/article/view/408 [URL] 🠔
  19. Romaneckas, K.; Kimbirauskienė, R.; Sinkevičienė, A.; Jaskulska, I.; Buragienė, S.; Adamavičienė, A. & Šarauskis, E. (2021). Weed diversity, abundance, and seedbank in differently tilled faba bean (Vicia faba L.) cultivations. Agronomy, 11(3), 529. https://doi.org/10.3390/agronomy11030529 [URL] 🠔
  20. Sánchez-Reyes, G. A.; Vibrans, H. & Rendón-Aguilar, B. (2024). How do farming practices influence the richness and floristic composition of weeds in some Mexican maize fields? Discover Agriculture, 2, 122. https://doi.org/10.1007/s44279- 024-00134-y [URL] 🠔
  21. Shannon, C. E. (1948). A mathematical theory of communication. The Bell System Technical Journal, 27(3), 379-423. https://doi.org/10.1002/j.1538-7305.1948.tb01338.x [URL] 🠔
  22. Simpson, E. H. (1949). Measurement of diversity. Nature, 163, 688. https://doi.org/10.1038/163688a0 [URL] 🠔
  23. Sørensen, T. (1948). A method of establishing groups of equal amplitude in plant sociology based on similarity of species content. Det Kongelige Danske Videnskabernes Selskab Biologiske Skrifter, 5(4), 1-34 🠔
El término chapia se emplea comúnmente en la agricultura tropical de Ecuador y otros países de América Latina para describir una técnica de control manual de malezas. Consiste en el corte superficial de la vegetación no deseada, utilizando machetes o herramientas similares, sin remover las raíces ni alterar significativamente la capa superficial del suelo. Deriva del verbo “chapear”, que según la RAE significa “cortar la maleza o ramas bajas de los árboles”.