Acta Agronómica
0120-2812
Universidad Nacional de Colombia
https://doi.org/10.15446/acag.v73n1.117549

Recibido: 13 de noviembre de 2024; Aceptado: 16 de marzo de 2025

Determinación de las necesidades hídricas de Carica papaya L. en los híbridos Paulina y Tainung mediante teledetección

Determination of the water requirements of Carica papaya L. in the Paulina and Tainung hybrids using remote sensing

M. Bermeo-Vargas, 1E. Torres-Prieto, 1Y. Peralta, 1

Universidad Nacional de Colombia - Sede Palmira. Palmira, Colombia. mbermeov@unal.edu.co; eatorresp@unal.edu.co; yurip20@hotmail.com Universidad Nacional de Colombia Universidad Nacional de Colombia - Sede Palmira Palmira Colombia

Resumen

La papaya (Carica papaya L.), originaria de Centroamérica, es uno de los principales cultivos frutales en zonas tropicales y subtropicales. Estimar el agua necesaria para el cultivo de C. papaya en las diferentes etapas de crecimiento es crucial para mejorar el rendimiento del cultivo. La evapotranspiración (ET) es un componente clave para la estimación del requerimiento hídrico del cultivo. El índice de vegetación de diferencia normalizada (NDVI) puede utilizarse para estimar el coeficiente de cultivo basal (Kcb) y así determinar la ET del cultivo. Este estudio evaluó dos métodos para determinar el Kcb y el requerimiento hídrico de C. papaya en los híbridos Paulina y Tainung utilizando imágenes RGB y multiespectrales. Este estudio determinó los valores de Kcb y la duración de cada etapa fenológica de C. papaya. Con estos datos se implementó el modelo FAO-56, el cual muestra un requerimiento anual de 1278 mm de agua para el cultivo de C. papaya (en las condiciones del área de estudio). En relación con la producción, se requieren 0.14 m3 de agua para producir 1 kg de papaya.

Palabras claves:

evapotranspiración, FAO-56, fracción de cobertura, NDVI.

Abstract

Papaya (Carica papaya L.), native to Central America, is one of the main fruit crops in tropical and subtropical regions. Accurately estimating the water requirements of C. papaya at different growth stages is essential for optimizing crop yields. Moreover, evapotranspiration (ET) is a key factor in determining crop wáter demand. The Normalized Difference Vegetation Index (NDVI) can be used to estimate the basal crop coefficient (Kcb), which in turn allows for the calculation of crop ET. This study evaluated two methods for determining Kcb and water requirements of C. papaya in the hybrid cultivars Paulina and Tainung using RGB and multispectral imagery. The study determined Kcb values and the duration of each phenological stage of C. papaya. These data were used to implement the FAO-56 model, which estimated an anual water requirement of 1278 mm for C. papaya under the conditions of the study area. Regarding fruit production, it was determined that 0.14 m³ of water is required to produce 1 kg of papaya.

Keywords:

Cover fraction, evapotranspiration, FAO-56, NDVI.

Introducción

Carica papaya L. es una planta de crecimiento rápido, originaria de Centroamérica, que se considera semileñosa. Tiene tallo cilíndrico, hueco y de color verde, con un diámetro en la base hasta de 40 cm, más delgado en la parte superior y puede alcanzar hasta 10 m de altura (Campostrini et al., 2018). Es uno de los principales cultivos frutales en zonas tropicales, subtropicales y es consumida en todo el mundo (Ruas et al., 2022).

C. papaya está adaptada a regímenes pluviométricos de la región centroamericana y no tolera déficits hídricos prolongados; los factores ambientales como la temperatura, la velocidad del viento, el estrés hídrico y las características fisicoquímicas del suelo pueden afectar su fisiología y productividad. Por esto, el déficit hídrico limita el crecimiento de las plantas, lo que favorece la producción de flores masculinas y reduce la producción. Por otro lado, el estrés hídrico por exceso también afecta la absorción de nutrientes y su lixiviación, disminuye la disponibilidad de oxígeno en la zona de raíces y aumenta la predisposición a enfermedades y plagas (Ruas et al., 2022).

Estimar el agua disponible en las diferentes etapas de crecimiento del cultivo es un factor crítico para el buen manejo agrícola y esencial para mejorar el uso del agua y el rendimiento del cultivo (Helman et al., 2019). Un componente importante en el cálculo del agua disponible para el cultivo, y en el balance hídrico, es la evapotranspiración real del cultivo (ETc), que es la pérdida de agua a través de procesos de evaporación directa del suelo y transpiración de las plantas (Helman et al., 2019). La evaporación es la pérdida más pronunciada de humedad del suelo y representa entre el 25 % y 50 % de la evapotranspiración de un cultivo. Esta depende del déficit de vapor del aire, de las propiedades físicas del suelo y del área sin sombra (Coelho et al., 2022).

Varias tecnologías promueven la reducción de la pérdida de humedad del suelo, la cual es generada por la evaporación. Entre ellas está la película de polietileno sobre el suelo, que es una excelente estrategia en el riego por goteo y tiene muchos beneficios y ventajas, como el ahorro de agua de riego y la conservación de humedad del suelo, lo cual mejora la temperatura del suelo y promueve la germinación, las cosechas tempranas y el aumento del rendimiento de los cultivos (Chen et al., 2020). Además, las prácticas de acolchado con plástico de polietileno previenen el crecimiento de arvenses, con lo que se reduce la competencia de nutrientes entre el cultivo y las malezas (Coelho et al., 2022).

Por otro lado, los índices de vegetación (IV) se han utilizado, a menudo, para estimar el coeficiente de cultivo basal (Kcb) de diferentes cultivos. La estimación del Kcb por medio de IV se asocia con la estrecha relación que existe entre la cantidad de vegetación y la transpiración, a medida que aumenta l a cobertura vegetal aumenta la transpiración. Además, el seguimiento frecuente de los cultivos mediate IV puede proporcionar información para definir la duración de las etapas de crecimiento de los cultivos y ajustar la fracción de cobertura vegetal (De Freitas et al., 2023; Elshikha et al., 2022; Tang et al., 2019).

Actualmente se ha incrementado el uso de datos de teledetección para evaluar la ET de los cultivos y el estrés hídrico, proporcionando información espacial. Los IV, como el índice de vegetación de diferencia normalizada (NDVI), han sido relacionados empíricamente con el Kcb (Guerrero y Torres, 2022; Ortiz y Torres, 2018) y aplicados a la evapotranspiración de referencia (ETo) para estimar el consumo de agua de los cultivos, como es el caso del estudio de Bispo et al. (2022); también se han desarrollado siguiendo la metodología de la FAO56 (Segovia et al., 2019). En el estudio de Zhang et al. (2023) se realizó un estudio sobre la relación del IV con el Kcb en el cultivo de maíz. De igual forma, en el cultivo de uva y trigo se ha estimado la evapotranspiración utilizando datos de IV, como lo muestran Vanino et al. (2015).

Por su parte, este estudio estima el coeficiente basal del cultivo (Kcb) mediante dos aproximaciones de la teledetección (imágenes RGB y multiespectrales) para la determinación del requerimiento hídrico del cultivo de C. papaya híbrido Paulina y Tainung.

Materiales y métodos

El presente estudio se realizó en una parcela ubicada en las afueras de la ciudad de Palmira, Valle del Cauca, Colombia (Figura 1), con coordenadas 3°33’12”N 76°15’27”W y 1057 m s. n. m., perteneciente a la empresa Proterra, entre enero y diciembre del 2023.

Ubicación de la parcela de estudio híbrido Paulina y Tainung en el Valle del Cauca. Fuente: elaboración propia.

Figura 1: Ubicación de la parcela de estudio híbrido Paulina y Tainung en el Valle del Cauca. Fuente: elaboración propia.

El estudio inició con la plantación del cultivo de C. papaya en los híbridos Paulina y Tainung. Se realizó el seguimiento al cultivo durante 11 meses, que correspondieron a 332 días después de siembra (DDS). El proyecto duró desde el 26 de enero hasta el 14 de diciembre de 2023. Para la investigación se analizó una parcela de 2.9 ha en total, con 1.4 ha para el híbrido Paulina y 1.5 ha para el híbrido Tainung. La distancia de siembra fue de 1.60 m y la distancia entre surco de 3.5 m, con densidad de siembra de 1.785 árboles ha-1 en ambos híbridos. En el cultivo se usó acolchado de polietileno color plata para reducir pérdidas de humedad por evaporación y control de arvenses.

Para la caracterización del suelo se tomaron muestras en campo y se realizó el estudio de textura por el método de hidrómetro y la densidad aparente por el método de cilindro; además, se determinó la humedad a capacidad de campo y punto de marchitez a partir de la curva de tensión de humedad con el modelo de Van Genuchten (Van Genuchten et al., 1991) y el programa Hydrus-1D.

En el cultivo de C. papaya se implementó un sistema de riego por cinta de goteo para satisfacer las necesidades hídricas del cultivo, según el programa de riego de la empresa Proterra. Los goteros se ajustaron con un caudal de 1 l h-1, separación de emisores de 20 cm y 2 hileras de cinta en cada surco. De igual forma, el manejo nutricional por fertirrigación, el control de plagas y enfermedades y las labores culturales, como el deschuponado, se realizaron según los criterios de la empresa.

Para la toma de imágenes se utilizó el vehículo aéreo no tripulado DJI Matriz 200V2 y 2 cámaras entre las 10:00 y 14:00 horas. El tiempo de vuelo fue de 20 a 25 minutos. Con la cámara Zenmuse X5S se capturaron imágenes RGB volando a una altitud de 60 m sobre el nivel de suelo, con resolución espacial de 1.37 cm. Con la cámara multiespectral MicaSense Red Edge-Mx (banda Blue, Green, Red, Red Edge, Nir) se capturaron imágenes multiespectrales volando a una altura de 50 m sobre el nivel del suelo, con una resolución espacial de 3.47 cm. La trayectoria del vuelo se planificó usando la aplicación DJI Pilot y las imágenes se tomaron con una superposición frontal y lateral del 80 %. En los 11 meses del estudio se realizaron 8 vuelos.

En el procesamiento de las imágenes se utilizó el software Pix4D Mapper (Veramendi y Cruvinel, 2024) para crear mosaicos y ortorrectificar las imágenes RGB y multiespectrales. Las imágenes multiespectrales se calibraron con el panel de calibración de reflectancia MicaSense al inicio y fin de cada vuelo (Cao et al., 2019). Durante cada visita realizada al cultivo se seleccionaron aleatoriamente 15 árboles de C. papaya por cada híbrido y se midieron su altura y diámetro de tallo, para un total de 30 árboles en la parcela de estudio; con esto se obtuvo el promedio y desviación estándar de altura y diámetro de tallo para cada híbrido. Además, se identificó la aparición de flor en la tercera visita a campo a los 77 DDS.

De los ortomosaicos RGB se determinó la fracción de cobertura (Fc); para esto se tomó de referencia la metodología propuesta por Cihlar et al. (1987), que está basada en clasificación supervisada de imágenes de alta resolución en el software Qgis; se utilizó el complemento de clasificación semiautomática con un algoritmo de mapeo de ángulo espectral y se asignaron clases a los diferentes pixeles de suelo, plástico y vegetación. Igualmente, se obtuvieron los porcentajes de fracción de cobertura, como se muestra en la Figura 2. Para observar la variabilidad de la Fc en cada híbrido se dividió cada lote en 4; de estas divisiones se calculó el promedio y la desviación estándar en cada fecha.

De igual forma, a partir de los ráster de los vuelos multiespectrales se determinó el índice de vegetación de diferencia normalizado (NDVI) con la Ecuación 1 (Jiang et al., 2021) el cual es ilustrado en la Figura 2. En cada visita a campo se obtuvieron el promedio y la desviación estándar de NDVI para cada híbrido.

Ejemplo de imágenes RGB (primera columna); fracción de cobertura vegetal (Fcv) (segunda columna); y NDVI (tercera columna) a los 45 y 332 días después de siembra. Fuente: elaboración propia.

Figura 2: Ejemplo de imágenes RGB (primera columna); fracción de cobertura vegetal (Fcv) (segunda columna); y NDVI (tercera columna) a los 45 y 332 días después de siembra. Fuente: elaboración propia.

Con el promedio de los modelos recopilados de la relación entre Fc y el Kcb en la Tabla 2 del estudio de Guerrero y Torres (2022) se determinó la curva del Kcb del cultivo de C. papaya en cada híbrido a partir de la Fc.

Así mismo, con el promedio de los modelos recopilados de la relación entre NDVI y el Kcb en la Tabla 1 del estudio de Ortiz y Torres (2018) se determinó la curva del Kcb del cultivo de C. papaya en cada híbrido a partir del NDVI (Tabla1).

Tabla 1: Relaciones matemáticas entre el NDVI y el coeficiente basal del cultivo (Kcb) reportadas en la literatura.

Fuente: tomado de Ortiz y Torres (2018). Dado que es una Tabla citada, en este artículo no se incluyen las referencias de la columna Author, estas se pueden consultar en el artículo original.

Tabla 2a: Etapas de desarrollo del cultivo de C. papaya y Kcb ajustado

Resultados y discusión

Con los datos de las variables meteorológicas de la estación Palmira La Rita se calculó la ETo, siguiendo a Allen et al. (2005). Se observó una ETo promedio de 3.8 mm, un valor mínimo y máximo de 1.4 mm y 5.4 mm. También se registró una precipitación total de 792.8 mm.

Del estudio del suelo se encontró que el perteneciente al lote de híbrido Paulina presentó textura franco-arcillosa, densidad aparente de 1.14 gr cm-3, capacidad de campo (CC) de 30.8 % y punto de marchitez permanente (PMP) de 12.5 %. De igual forma, el lote perteneciente al Tainung presentó textura franca, densidad aparente de 1.2 gr cm-3, CC de 26.7 % y PMP de 10 %.

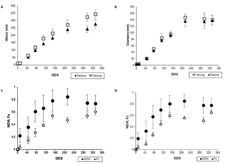
En la Figura 3a se muestran los resultados de la evolución de altura en los 2 híbridos de C. papaya. Estos muestran una altura máxima de 330.8 cm en el híbrido Paulina y 411.5 cm en el híbrido Tainung, para la fecha final del estudio (332 DDS), debido al crecimiento de la planta que es constante a lo largo de su ciclo. Algunas plantas de C. papaya sufren doblamiento del tallo, lo que impide el crecimiento totalmente vertical y, al realizar las mediciones aleatorias, se reflejó el incremento de la desviación estándar.

De igual forma, en la Figura 3b se presentan los resultados concernientes a la evolución del diámetro del tallo en el cultivo de C. papaya. Se observó un diámetro máximo de 137.8 mm en el híbrido Paulina a los 332 DDS y de 147.4 mm en el híbrido Tainung a los 213 DDS.

En la Figura 3c se exponen los resultados asociados al comportamiento del NDVI y la Fc a lo largo del ciclo del cultivo de C. papaya en el híbrido Paulina. Los resultados mostraron un NDVI máximo de 0.85 (213 DDS) y una Fc de 60.6 % (332 DDS). El NDVI máximo se evidenció aproximadamente al octavo mes después de la siembra, lo que coincidió con el inicio de la etapa de cosecha. Igualmente, de observó una disminución del NDVI y de la Fc desde el día 213 (DDS); esta disminución puede deberse al corte de árboles de C. papaya como medida de control de enfermedades (Figura 4) y el comienzo de la cosecha y senescencia del cultivo, el cual coincide con el estancamiento del diámetro del tallo (Figura 4b).

Evolución de altura, diámetro de tallo, NDVI y Fc durante el ciclo del cultivo. (a) evolución de altura; (b) evolución de diámetro de tallo; (C) evolución del NDVI y Fc del híbrido Paulina; y (d) NDVI y Fc del híbrido Tainung. Fuente: elaboración propia.

Figura 3: Evolución de altura, diámetro de tallo, NDVI y Fc durante el ciclo del cultivo. (a) evolución de altura; (b) evolución de diámetro de tallo; (C) evolución del NDVI y Fc del híbrido Paulina; y (d) NDVI y Fc del híbrido Tainung. Fuente: elaboración propia.

Poda de árboles infectados por virus en el cultivo de C. papaya. (a) cobertura del cultivo de C. papaya 4 meses DS y (b) cobertura del cultivo de C. papaya 7 meses DS. Fuente: elaboración propia.

Figura 4: Poda de árboles infectados por virus en el cultivo de C. papaya. (a) cobertura del cultivo de C. papaya 4 meses DS y (b) cobertura del cultivo de C. papaya 7 meses DS. Fuente: elaboración propia.

En la Figura 3d se presentan los resultados obtenidos del NDVI y la Fc a lo largo del ciclo de cultivo del híbrido Tainung. En él se observó un NDVI máximo de 0.854 (213 DDS) y una Fc máxima de 0.66 (332 DDS). Similarmente a lo observado en el híbrido Paulina, el NDVI máximo se alcanzó aproximadamente en el octavo mes, que marcó el inicio de la etapa de cosecha, seguido de una disminución gradual debido al envejecimiento de las hojas y la incidencia de plagas como ácaros. La Fc máxima se registró hacia el final del estudio, correspondiente al periodo en el cual el cultivo cubrió significativamente el suelo.

La alta desviación estándar del NDVI en los 2 híbridos se debe a que en la imagen se tienen pixeles puros de hoja (NDVI alto), pixeles puros de suelo (NDVI bajo) y pixeles puros de plástico (NDVI cercanos a 0 e incluso valores negativos).

En la Figura 5 se exponen los resultados de la evolución real del Kcb promedio obtenido a través de las ecuaciones que lo relacionan con el NDVI y la Fc a lo largo del ciclo de los híbridos del cultivo de C. papaya, en comparación con la curva de Kcb publicada por Chaterlán et al. (2012) y la curva ajustada (Kcb-ajus) deducida de las curvas Kcb-Fc y Kcb-NDVI. El Kcb determinado en el híbrido Paulina (Figura 5a), a partir del NDVI (Kcb-NDVI), exhibió un crecimiento aproximadamente lineal, alcanzando su valor máximo de 1.08 alrededor del octavo mes (213 DDS), seguido de una disminución gradual que mantuvo la misma tendencia que el NDVI. Por otro lado, el Kcb derivado de la Fc (Kcb-Fc) alcanzó su valor máximo de 0.85 hacia el final del estudio (332 DDS).

Evolución del coeficiente basal de cultivo (Kcb) estimado a partir de la relación lineal con la Fc (Kcb-Fc), el NDVI (Kcb-NDVI), la curva publicada por Chaterlán et al. (2012) y la curva de Kcb propuesta en este estudio (Kcb-Ajus) para los dos híbridos. Fc: (a) híbrido Paulina y (b) híbrido Tainung. Fuente: elaboración propia.

Figura 5: Evolución del coeficiente basal de cultivo (Kcb) estimado a partir de la relación lineal con la Fc (Kcb-Fc), el NDVI (Kcb-NDVI), la curva publicada por Chaterlán et al. (2012) y la curva de Kcb propuesta en este estudio (Kcb-Ajus) para los dos híbridos. Fc: (a) híbrido Paulina y (b) híbrido Tainung. Fuente: elaboración propia.

En la Figura 5b el Kcb-NDVI del híbrido Tainung muestra un crecimiento lineal con un máximo de 1.09 (213 DDS), el cual tiene poca diferencia con el valor máximo observado en el híbrido Paulina para la misma fecha. Por otro lado, el Kcb-Fc del híbrido Tainung alcanzó su valor máximo de 0.95 al final del estudio (332 DDS), el cual superó el valor de Kcb máximo observado en el híbrido Paulina.

La curva de Kcb determinada en este estudio a partir del NDVI y la Fc muestra diferencias notables en la duración de las etapas del cultivo en comparación con la curva reportada por Chaterlán et al. (2012). En la curva Kcb de Chaterlan et al. (2012) el Kcb inicial tiene un crecimiento similar al encontrado en este estudio, y se asemejan en el valor máximo del Kcb medio, pero diferente periodo de duración. También existe una diferencia significativa en el Kcb final, pues la curva del Kcb de la literatura muestra un decrecimiento rápido, mientras que en este estudio se evidenció que la curva de Kcb, en los 2 híbridos de C. papaya, decrece lentamente.

En el híbrido Paulina las curvas Kcb-Fc y Kcb-NDVI al inicio del ciclo presentaron un crecimiento y valor similar, Posteriormente la curva Kcb-Fc presentó valores inferiores a la curva Kcb-NDVI al igual que en el híbrido Tainung.

Para la determinación de las necesidades hídricas con el modelo FAO-56, teniendo en cuenta la respuesta en el tiempo de la relación Kcb-NDVI, Kcb-fc y la duración de las etapas consideradas por Chaterlán et al. (2012) para el cultivo de C. papaya, se estableció la duración (días) de las etapas del cultivo (Tabla 2a). También se estableció una longitud de etapa única para ambos híbridos debido a la respuesta similar que mostraron en el tiempo tanto el Kcb-NDVI como en el Kcb-Fc. De igual forma, se ajustaron los valores de Kcb comparando los resultados obtenidos de Kcb de los modelos lineales y el Kcb encontrado en la literatura, como se muestran en las Figuras 5a y 5b y en la Tabla 2b, para facilitar su acceso y utilización en investigaciones posteriores.

En la Figura 6 se presenta la información proporcionada por el agricultor sobre la producción mensual obtenida del cultivo de papaya (sin discriminar por híbrido), durante el estudio y hasta febrero de 2024; la figura presenta los datos desde el séptimo mes, cuando comenzó la etapa de cosecha. Cuando terminó el periodo de estudio (diciembre) no se cortó el cultivo, sin embargo, en febrero de 2024 se cortó el híbrido Tainung por problemas fitosanitarios y por la altura del cultivo, que excedió la adecuada para la recolección del fruto. Esta información refleja una producción total de 92.3 toneladas por hectárea (TPH) de C. papaya en el tiempo de estudio (a diciembre del 2023) y una producción total de 105.2 TPH a febrero de 2024.

Producción mensual de C. papaya hasta febrero de 2024 en toneladas por hectárea (TPH), reportada por Proterra. Fuente: elaboración propia.

Figura 6: Producción mensual de C. papaya hasta febrero de 2024 en toneladas por hectárea (TPH), reportada por Proterra. Fuente: elaboración propia.

Con las variables reportadas por la estación meteorológica Palmira La Rita, el modelo FAO-56 y el Kcb determinado en este trabajo (Kcb-Ajus de la Figura 5), se determinó que las necesidades hídricas del cultivo de C. papaya en 12 meses fue de 1278 mm, de los cuales, en este estudio, 54.6 % fueron aportados por riego. Con la información de necesidades hídricas y la producción observada, se puede inferir que se requieren 0.14 m3 de agua para producir 1 kg de papaya.

Conclusiones

La obtención de la curva del coeficiente de cultivo basal (Kcb) para los híbridos de C. papaya Tainung y Paulina, a partir del índice de vegetación NDVI y la Fc, representa un avance significativo en la agricultura. Con estas aproximaciones de Kcb los agricultores podrán calcular la evapotranspiración del cultivo utilizando el Modelo FAO-56, el cual optimiza el uso de agua mediante la programación y aplique de la cantidad adecuada en el momento oportuno, lo que mejora la eficiencia del riego, maximiza el rendimiento del cultivo y promueve la sostenibilidad agrícola en la producción de C. papaya.

El estudio valida la utilidad de las imágenes multiespectrales de dron y la relación entre NDVI y Kcb como herramientas efectivas para monitorear el estado fisiológico de los cultivos y tomar decisiones informadas en el manejo agrícola.

Las diferencias encontradas con respecto a la curva de Kcb reportada en la literatura resaltan la importancia de considerar variaciones ambientales, como temperatura, viento, fotoperiodo, altitud, humedad relativa y calidad del suelo, para determinar el Kcb, para lo cual los modelos basados en el NDVI y la Fc son una estrategia sencilla.

Es importante continuar con la validación de la duración de las etapas y los valores de Kcb para otros híbridos de C. papaya, así como también evaluar condiciones ambientales diferentes.

Referencias

  1. Allen, R. G., Pereira, L. S., Smith, M., Raes, D., & Wright, J. L. (2005). FAO-56 Dual Crop Coefficient Method for Estimating Evaporation from Soil and Application Extensions. Journal of Irrigation and Drainage Engineering, 131(1), 2-13. https://doi.org/10.1061/(ASCE)0733-9437(2005)131:1(2) [URL] 🠔
  2. Bispo, R. C., Hernandez, F. B. T., Gonçalves, I. Z., Neale, C. M. U., & Teixeira, A. H. C. (2022). Remote sensing based evapotranspiration modeling for sugarcane in Brazil using a hybrid approach. Agricultural Water Management, 271, 107763. https://doi.org/10.1016/J.AGWAT.2022.107763 [URL] 🠔
  3. Campostrini, E., Schaffer, B., Ramalho, J. D. C., González, J. C., Rodrigues, W. P., Da Silva, J. R., & Lima, R. S. N. (2018). Environmental Factors Controlling Carbon Assimilation, Growth, and Yield of Papaya (Carica papaya L.) Under Water- Scarcity Scenarios. Water Scarcity and Sustainable Agriculture in Semiarid Environment: Tools, Strategies, and Challenges for Woody Crops, 481-505. https://doi.org/10.1016/B978-0-12-813164-0.00019-3 [URL] 🠔
  4. Cao, S., Danielson, B., Clare, S., Koenig, S., Campos-Vargas, C., & Sanchez-Azofeifa, A. (2019). Radiometric calibration assessments for UAS-borne multispectral cameras: Laboratory and field protocols. ISPRS Journal of Photogrammetry and Remote Sensing, 149, 132-145. https://doi.org/10.1016/J.ISPRSJPRS.2019.01.016 [URL] 🠔
  5. Chaterlán, Y., Rosa, R., Herández, G., López, T., & Pereira, L. S. (2012). Estimación de las necesidades hídricas de la papaya utilizando la aproximación de los coeficientes culturales duales. Revista Ciencias Técnicas Agropecuarias, 21(3), 12-17. http://scielo.sld.cu/scielo.php?script=sci_arttext&pid=S2071-00542012000300002&lng=es&nrm=iso&tlng=es [URL] 🠔
  6. Chen, N., Li, X., Šimůnek, J., Shi, H., Ding, Z., & Zhang, Y. (2020). The effects of biodegradable and plastic film mulching on nitrogen uptake, distribution, and leaching in a drip-irrigated sandy field. Agriculture, Ecosystems & Environment, 292, 106817. https://doi.org/10.1016/J.AGEE.2020.106817 [URL] 🠔
  7. Cihlar, J., Dobson, M. C., Schmugge, T., Hoogeboom, P., Janse, A. R., Baret, F., Guyot, G., Le Toan, T., & Pampaloni, P. (1987). Review Article Procedures for the description of agricultural crops and soils in optical and microwave remote sensing studies. International Journal of Remote Sensing, 8(3), 427-439. https://doi.org/10.1080/01431168708948651 [URL] 🠔
  8. Coelho, E. F., Santos, D. L., Lima, L. W. F. de, Castricini, A., Barros, C. L., Filgueiras, R., & da Cunha, F. F. (2022). Water regimes on soil covered with plastic film mulch and relationships with soil water availability, yield, and water use efficiency of papaya trees. Agricultural Water Management , 269, 107709. https://doi.org/10.1016/J.AGWAT.2022.107709 [URL] 🠔
  9. de Freitas, E. M., da Silva, G. H., Guimarães, G. F. C., Vital, T. N. B., Vieira, J. H., da Silveira, F. A., Gomes, C. N., & da Cunha, F. F. (2023). Evapotranspiration and crop coefficient of Physalis peruviana cultivated with recycled paper as mulch. Scientia Horticulturae, 320, 112212. https://doi.org/10.1016/J. SCIENTA.2023.112212 [URL] 🠔
  10. Elshikha, D. E. M., Hunsaker, D. J., Waller, P. M., Thorp, K. R., Dierig, D., Wang, G., Cruz, V. M. V., Katterman, M. E., Bronson, K. F., Wall, G. W., & Thompson, A. L. (2022). Estimation of direct-seeded guayule cover, crop coefficient, and yield using UAS-based multispectral and RGB data. Agricultural Water Management , 265, 107540. https://doi.org/10.1016/J.AGWAT.2022.107540 [URL] 🠔
  11. Guerrero, J. A., & Torres, E. A. (2022). Ajuste del coeficiente basal de cultivo (Kcb) de frijol (Phaseolus vulgaris) mediante teledetección. https://doi.org/10.31910/2022.1832 [URL] 🠔
  12. Guerrero-Gutierrez, J. A., & Torres, E. A. (2022). Ajuste del coeficiente basal de cultivo (Kcb) de frijol (Phaseolus vulgaris) mediante teledetección . Revista U.D.C.A Actualidad & Divulgación Científica, 25(2). https://doi.org/10.31910/rudca.v25.n2.2022.1832 [URL] 🠔
  13. Helman, D., Bonfil, D. J., & Lensky, I. M. (2019). Crop RS-Met: A biophysical evapotranspiration and root-zone soil water content model for crops based on proximal sensing and meteorological data. Agricultural Water Management , 211, 210-219. https://doi.org/10.1016/J.AGWAT.2018.09.043 [URL] 🠔
  14. Jiang, R., Sanchez-Azofeifa, A., Laakso, K., Wang, P., Xu, Y., Zhou, Z., Luo, X., Lan, Y., Zhao, G., & Chen, X. (2021). UAV- based partially sampling system for rapid NDVI mapping in the evaluation of rice nitrogen use efficiency. Journal of Cleaner Production, 289, 125705. https://doi.org/10.1016/J.JCLEPRO.2020.125705 [URL] 🠔
  15. Ortiz, E., & Torres, E. A. (2018). Assessing water demand with remote sensing for two coriander varieties. Agronomía Colombiana, 36(3), 266-273. https://doi.org/10.15446/agron.colomb.v36n3.71809 [URL] 🠔
  16. Ruas, K. F., Baroni, D. F., de Souza, G. A. R., Bernado, W. de P., Paixão, J. S., dos Santos, G. M., Filho, J. A. M., de Abreu, D. P., de Sousa, E. F., Rakocevic, M., Rodrigues, W. P., & Campostrini, E. (2022). A Carica papaya L. genotype with low leaf chlorophyll concentration copes successfully with soil water stress in the field. Scientia Horticulturae , 293, 110722. https://doi.org/10.1016/J.SCIENTA.2021.110722 [URL] 🠔
  17. Segovia, D. A., Rodríguez, L., & Zubelzu, S. (2019). Water use efficiency of corn among the irrigation districts across the Duero river basin (Spain): Estimation of local crop coefficients by satellite images. Agricultural Water Management , 212, 241- 251. https://doi.org/10.1016/J.AGWAT.2018.08.042 [URL] 🠔
  18. Tang, J., Han, W., & Zhang, L. (2019). UAV Multispectral Imagery Combined with the FAO-56 Dual Approach for Maize Evapotranspiration Mapping in the North China Plain. Remote Sensing 2019, Vol. 11, Page 2519, 11(21), 2519. https://doi.org/10.3390/RS11212519 [URL] 🠔
  19. van Genuchten, M., Leij, F. J., & Yates, S. R. (1991). The RETC Code for Quantifying the Hydraulic Functions of Unsaturated Soils. 🠔
  20. Vanino, S., Pulighe, G., Nino, P., de Michele, C., Bolognesi, S. F., & D’Urso, G. (2015). Estimation of Evapotranspiration and Crop Coefficients of Tendone Vineyards Using Multi-Sensor Remote Sensing Data in a Mediterranean Environment. Remote Sensing 2015, Vol. 7, Pages 14708-14730, 7(11), 14708-14730. https://doi.org/10.3390/RS71114708 [URL] 🠔
  21. Veramendi, W. N. C., & Cruvinel, P. E. (2024). Method for maize plants counting and crop evaluation based on multispectral images analysis. Computers and Electronics in Agriculture, 216, 108470. https://doi.org/10.1016/J.COMPAG.2023.108470 [URL] 🠔
  22. Zhang, Y., Han, W., Zhang, H., Niu, X., & Shao, G. (2023). Evaluating maize evapotranspiration using high-resolution UAV-based imagery and FAO-56 dual crop coefficient approach. Agricultural Water Management , 275, 108004. https://doi.org/10.1016/J.AGWAT.2022.108004 [URL] 🠔