Acta Agronómica
0120-2812
Universidad Nacional de Colombia Sede Palmira
https://doi.org/10.15446/acag.v66n3.53820

Recibido: 27 de octubre de 2015; Aceptado: 7 de abril de 2016

Effects of a growth promoter on bean ( Phaseolus vulgaris L.) crops in Sancti Spíritus province, Cuba

Efectos de un promotor de crecimiento en cultivos de fríjol ( Phaseolus vulgaris L.) en la provincia de Sancti Spíritus, Cuba

K. Calzada, 1 *J. Fernández, 1 M. Sotolongo, 1 D. Viciedo, 1 C. Expósito, 1 R. Hernández, 1

Universidad de Sancti Spíritus José Martí Pérez. Faculty of Agricultural Sciences. Agronomy Department. Sancti Spíritus, Cuba. Universidad de Sancti Spíritus José Martí Pérez Faculty of Agricultural Sciences Agronomy Department Sancti Spíritus Cuba

Author for correspondence: kolima@uniss.edu.cu

Abstract

In order to evaluate the effect of a growth promoter on the productivity performance and seed-quality in bean (Phaseolus vulgaris L.) crops, two experiments were carried out, one in the field and under controlled conditions. In the field experiments, a Latin square design was used for four treatments as follows: control, 0.5, 0.8 and 1.0 l.ha-1, respectively, where yield components were evaluated. The seeds used in the controlled conditions experiment were from prior trials, in a totally randomized design, at the dosages above mentioned. Seed germination and seedling growth were evaluated. In the field experiments, the product had a stimulating effect on the production. The highest yields were reached with the 0.8 and 1.0 l.ha-1 dosages in number 1, with values of 3.09 and 3.02 t.ha-1, and in number 2, the treatment with the best results was 1.0 l.ha-1, with a yield of 2.07 t.ha-1. In germination, there were significant differences among variables only in the first assessment at three days after planting. The best performance in seedling growth and in dry matter production was the treatment with seeds from the 0.5 l.ha-1 dosage in experiment 1. In addition, in number 2, performance among variables was similar. Therefore, VIUSID agro improved the bean yield performance and did not affect later seed germination nor initial seedling growth.

Key words:

Amino acids, stimulants, foliar fertilization, germination, VIUSID agro.

Resumen

Con el fin de evaluar el efecto de un promotor de crecimiento sobre el rendimiento de la productividad y la calidad de las semillas en cultivos de frijol (Phaseolus vulgaris L.), se llevaron a cabo dos experimentos en campo y bajo condiciones controladas. Se utilizó un diseño cuadrado latino para cuatro tratamientos de la siguiente manera: control, 0.5, 0.8 y 1.0 l.ha-1, respectivamente, donde se evaluaron los componentes del rendimiento. Las semillas utilizadas en el experimento de condiciones controladas fueron de ensayos previos, en un diseño totalmente al azar, a las dosis mencionadas. Se evaluó la germinación de las semillas y el crecimiento de las plántulas. En los experimentos de campo, el producto tuvo un efecto estimulante sobre la producción. Los rendimientos más altos se alcanzaron con las dosis de 0.8 y 1.0 l.ha-1 en el número 1, con valores de 3.09 y 3.02 t.ha-1, y en el número 2, el tratamiento con los mejores resultados fue 1.0 l.ha-1 , Con un rendimiento de 2.07 t.ha-1. En la germinación, hubo diferencias significativas entre las variables sólo en la primera evaluación tres días después de la siembra. El mejor desempeño en el crecimiento de las plántulas y en la producción de materia seca fue el tratamiento con semillas de la dosis de 0.5 l.ha-1 en el experimento 1. Además, en el número 2, el desempeño entre las variables fue similar. Por lo tanto, VIUSID agro mejoró el rendimiento del frijol y no afectó la germinación posterior de las semillas ni el crecimiento inicial de las plántulas.

Palabras clave:

Aminoácidos, estimulantes, fertilización foliar, germinación, VIUSID agro.

Introduction

Several researchers, using molecular tools, emphasize the Mesoamerican origin of P. vulgaris (Mensack et al., 2010; Nanni et al., 2011; Bitocchi et al., 2013) and, according to Solano et al. (2009), beans have been consumed since Pre-Hispanic times. They are an essential part of the food-chain on a global scale and mainly on the American Continent.

This grain plays a significant role in the food and nutritional security in populations with scarce economic resources in Latin America, because it provides humans with essential amino acids and significant quantities of iron and zinc (Broughton et al., 2003).

In particular, bean populations have a broad genetic wealth, developed and preserved by generations of farmers, associated with traditional knowledge and with production potential in adequate conditions of cultivation (Hernández et al., 2013). However, in most areas that produce this pulse, potential yields are never met. This is due to the fact that this legume is mainly cultivated in unfavourable environmental conditions, with scarce rainfall during the growth phase and lack of resources.

In Cuba, bean production is low due to several factors such as the lack of resources, the market, phytosanitary problems and the use of inadequate seeds (Ortiz et al., 2006). The surface area cultivated with this grain in the year 2014 was 129991 hectares which produced 131845 tonnes, with an average yield of 1.01 t.ha-1. Statistical Yearbook of Cuba (ONE, 2014).

One of the main objectives of Cuban agriculture is to achieve increases in grain production in general and of black beans in particular, since they are the most demanded by the population. Should national production of this grain not cover the quantities required to meet the demand, the country would import over 400 000 tonnes per year, which represents an expenditure, at current prices, of approximately 70-80 million dollars (Hernández et al., 2012).

In areas of marginal agriculture, self-sufficiency can reach up to 90% of what farmers need. In this sense, Hermann et al. (2009), raise in the Cuban studied regions and found that 90% of farmers, supply themselves with their own seed for bean cultivation.

One alternative to increase production and improve seed quality in this type of grain is the use of growth promoters that are not aggressive with the environment nor people. A product with these characteristics could be VIUSID agro, which contains malic acid, monoammonium glycyrrhizinate, amino acids, vitamins and minerals in its formulation, all previously subjected to a biocatalytic molecular activation process. To date, no investigations had been carried out in tropical conditions to assess its effectiveness on bean crops; there is no published evidence in this regard and no technology has been defined for its use under these conditions. Given these concerns, the aim of this research was to evaluate the effect of this growth promoter in the productive performance and seed quality in common bean (Phaseolus vulgaris L.) crop in Sancti Spíritus province, Cuba.

Materials and methods

Field experiments

Experiment 1, was carried out at the Cooperativa de Créditos y Servicios Alfredo Ferrer, in the municipality of Cabaiguán, Sancti Spíritus province, Cuba. Altitude: 133 m.a.s.l., (22° 04ˊ 44" N and 079° 29ˊ 57" W), in Cambisol soil, according to the WRB (2014). Planting was carried out on October 3rd 2014, with a plantation framework of 0.60 x 0.10 m and the harvest was performed on January 18th 2015. The climatic variables during the experiment were registered by the Sancti Spiritus Provincial Station, the temperature was 23.0 ºC, with a relative humidity of 83.0% and rainfall of 65.4 mm. In both experiments, seeds for planting were provided by the farmer from the previous year.

Experiment 2, was located in the Municipal Farm Alimento Animal belonging to the company Flora y Fauna, located in the village of Meneses, in the Yaguajay municipality, in the north of the province of Sancti Spiritus, Cuba (22°19'49" N & 79°14'13" W), in Fluvisol soil, according to WRB (2014). The planting date was March 1st, 2015 with a plantation framework of 0.50 m between rows and 0.40 m between plants. The harvest was carried out on May 10th, 2015. The climatic variables during the experiment were registered by the Sancti Spiritus Provincial Station, the temperature was 25.4 ºC, with a relative humidity of 70.0% and rainfall of 40.1 mm.

The experimental design used in both experiments was the Latin square with 4 treatments. Plots measured 16 m2, making a total experimental surface of 576 m2, the inner margin of the plots was 0.5 m2 and calculation surface of 9 m2.

During harvest, 10 plants per plot were evaluated (chosen randomly from the surface calculation) for a total of 40 plants per treatment. Foliar application was carried out during the morning using a 16 litre backpack leaf sprayer (Table 1).

Table 1: Composition of the evaluated growth promoter

All these compounds underwent a molecular activation process.

The evaluated treatments were as follows: control, VIUSID agro (0.5, 0.8 and 1.0 l.ha-1, respectively). The first application was 25 days after planting, the second at the beginning of flowering (10% of the plants at this stage) and the third during legume formation (10% of the plants at this stage).

The variables evaluated were: legumes per plant, grains per plant, mass of 100 grains, production per plant (g) and agricultural yields (t.ha-1).

For the mass of 100 grains (g), four samples of 100 grains were taken per plot and their mass was determined using a Sartorius digital scale with an accuracy of ± 0.01 g.

Area selection, soil preparation, planting, irrigation and plague control was carried out following the technical standards of common bean cultivation.

Seed quality

After harvesting and drying the grains, in order to evaluate the effect that the product could have on some parameters of the quality of the seeds, two further independent experiments were carried out under controlled conditions, using seeds from the prior experiments. The average temperature during the experiment was 21.7 ºC and relative humidity was 77%.

A completely randomized design was used, where 400 seeds per treatment were planted. Seeds were distributed on Petri dishes measuring 14.5 cm in diameter and 2.8 cm high to which 1.8 cm of sterilized sand were added. For sewing, the sand was moistened using distilled water up to the field's capacity. 25 seeds were spread out evenly in each dish and covered with a 1.0 cm layer of sand. 30 ml of water was sprayed on daily at 8:00 am and at 5:00 pm. The experiment was situated in such a way that there was plenty light, though without direct exposure to the sun; thus preventing the sand from drying out (Peña et al., 2015a).

The evaluated treatments were as follows: seeds from the control treatment and seeds from plants treated with VIUSID (0.5, 0.8 and 1.0 l.ha-1, respectively). The variables were as follows: germination at three, six and nine days after sowing, hypocotyl, epicotyl and seedling length, as well as radicle length and dry matter, respectively.

Germination percentage was obtained counting germinated seeds and calculating the percentage. All seedling hypocotyl, epicotyl, seedling and radicle lengths from each treatment were measured using a graded ruler (cm) nine days after sowing (Celis et al., 2008). For the dry matter data, first wet mass of each seedling was determined using a Sartorius digital scale with an accuracy of ± 0.01 g. They were individually placed in an oven at 75 oC for 72 hours and then dry mass was determined using the scales. In addition, dry matter percentage was determined according to Equation1.

Where( ( DM: Percentage of dry mass, sDM: Dry mass of the sample and sFM: Fresh mass of the sample.

Statistic analysis

Data were processed using the SPSS statistical package version 15.1.0(r) for Windows. For normality, the Kolmogorov-Smirnov test for one sample was used, and Levene test for homogeneity of variance. When normality and homogeneity existed, an ANOVA was conducted and Duncan's multiple range test when p<0.05. The Kruskal-Wallis test and the Mann-Whitney U test were applied when there was no normality of the data. The hypothesis test for proportions was used for the germination of the seeds using Minitab software 14.12.0 (r).

Results and discussion

Effect of treatments on productive performance

Table 2, shows the effect of the treatments on legumes per plant, grains per plant and the mass of 100 grains in both experiments.

Table 2: Effect of the treatments on legumes per plant, grains per legume and mass of 100 grains

Average ± standard deviation. Averages with different letters in the same column vary for (p<0.05).

In experiment 1, it can be seen that the legumes per plant did not present significant differences (p<0.05) among treatments where VIUSID agro was applied, but did when compared to control group, with increments of 8.97%, 20.16% and 16.76%, respectively. Grains per plant performance was similar as follows: the variants with the product differed from the control and the increases were 6.24%, 15.06% and 15.77%, respectively. 100 grain mass showed significant differences (p<0.05) among VIUSID treatments and control group. The best performance was for the 1.0 l.ha-1 dosage, with an increase of 8.70% compared to the untreated crop.

In experiment 2, legumes per plant where the 1.0 l.ha-1 dosage of VIUSID agro was applied differed significantly (p<0.05) from the rest of the groups and had a 48.64% increase compared to the control group. The 0.5 and 0.8 l.ha-1 dosages, also showed a stimulating effect with a statistical difference (p<0.05) compared to the control group and amongst themselves.

The grains per plant with the 1.0 l.ha-1 dosage achieved an increase of 73 grains per plant compared to control. The rest of the variants where the product was used also differed (p<0.05) from the group where VIUSID agro was not applied, and surpassed the aforementioned group by 38.95 and 57.32 grains per plant, respectively. The variant with the 0.5 l.ha-1 dosage had the best performance regarding the mass of 100 grains. The rest of the treatments with the product did not differ significantly from the control.

Table 3, shows the effect of the treatments in production per plant and agricultural yield. In experiment 1, production per plant was significantly greater with the 0.8 and 1.0 l.ha-1 dosages, although treatment with 0.5 l.ha-1 also showed favourable performance with significant differences (p<0.05) compared to the control.

Table 3: Effect of the treatments on production per plant and agricultural yield

Average ± standard deviation. Averages with different letters in the same column vary for (p<0.05).

In terms of agricultural yield, all groups treated with VIUSID showed statistically different results to the control group. There were no differences among treatments at 0.8 l.ha-1 and 1.0 l.ha-1 dosages, and both surpassed the control group by 25.61% and 22.76%, respectively.

In experiment 2 with treatment, where 1.0 l.ha-1 was applied, average production per plant was 41.38 g (Table 3). This variant had statistical differences (p<0.05) with the rest of the treatments and surpassed the control group by 55.68%. The rest of the variants where the product was used, did not differ amongst each other, but had an average increase of 9.32 g and 11.55 g per plant, respectively, compared to the control group.

In the agricultural yield parameter, the highest average value was achieved with the 1.0 l.ha-1 dosage, with an increase regarding control of 0.74 t.ha-1, which represented a production increase of a 55.64%. The treatments with foliar application of 0.5 and 0.8 l.ha-1 did not differ between themselves and surpassed control by 35.34% and 43.60%, respectively.

The performance of the bean crop in terms of increased production is a result of the foliar fertilization with the growth promoter. This product contains several elements, which have a positive influence on this result. Amongst which, is zinc, which is reported to intervene in the setting or filling of fruits. In cotton (Gossypium barbadense L.) crops, foliar application of combined Zn caused an increase in production by significantly increasing fruits and seeds per plant (Sawan et al., 2008). In addition, Cakmak (2008), sets forth that foliar application of zinc, alone or combined, increases the content of this element in fruits, as well as stimulating plant growth and crop performance.

VIUSID also contains amino acids, which are considered the precursors and components of proteins, which are important for the stimulation of cell growth. Moreover, amino acids are biostimulants, and it is well known that they have positive effects on plant growth and performance and significantly reduce injuries caused by abiotic stress (Rai, 2002).

It is important to note there is evidence of their favourable impact on increased production of several crops. It has been raised that these increases are related to the IAA plant synthesis and their directly or indirectly influence of the physiological activities such as plant growth and development. It has been verified that their foliar application positively influenced the growth, production and quality of tomato (Solanum lycopersicum L.) crops in plastic greenhouses (Boras et al., 2011).

Other authors such as Saeed et al. (2005), in experiments with soya bean (Glycine max L.) crops, found that treatments with amino acids significantly improved the growth of shoots and the fresh weight, as well as legume performance.

Abo et al. (2010), revealed that spraying strawberry (Fragaria daltoniana L.) plants with amino acids (peptone) at 0.5 and 1.0 g.l-1 significantly increased the total nitrogen, phosphorus and potassium in the plant foliage, as well as the total yield, weight, TSS, vitamin C and total sugars in the fruit, in comparison with the control treatment.

In bean crops, Peña et al. (2015b), applied VIUSID agro and obtained better results in the variables related to performance. Regarding grains per plant, the best result was reached by using a weekly treatment, with 63.38 grains per plant on average, and a performance increase of 1.8 t.ha-1 compared to the control group. In addition, Peña et al. (2015a), when using this product in bean crops and immersing seeds, determined that it favoured the germination and vigour of the seedlings. They also found a 19.61% increase in yield for seeds immersed in the product, compared to the control group.

Evaluation of the seeds from the crops treated with VIUSID agro

Effect of treatments on seed germination

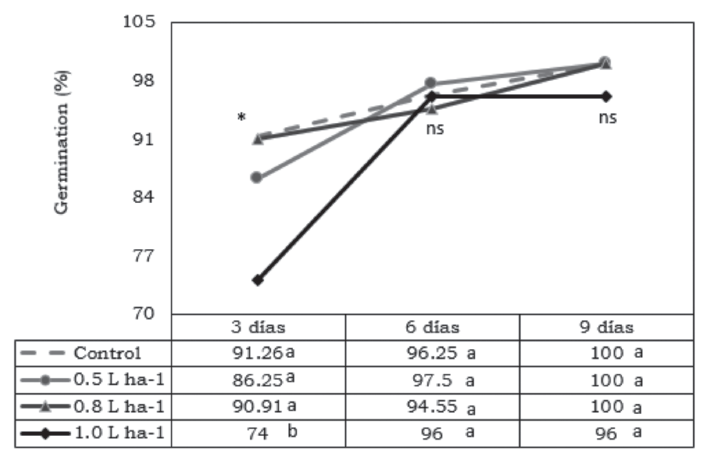
Figures 1 and 2, show the effect of treatments on seed germination at three, six and nine days from sowing, respectively. It can be seen in both figures, that there were significant differences (p<0.05) at three days after sowing. In the seeds taken from experiment 1, the least favourable performance was seen in the treatment with the 1.0 l.ha-1 dosage. However, in the seeds derived from experiment 2, it was the ones from the control group which were lower than the rest of the variants in the first evaluation.

Effect of treatments on seed germination at three, six and nine days from sowing, experiment 1. Minimum significant difference in accordance with the hypothesis testing for proportions. n.s.: not significant. *: Indicates significant effect with p<0.05.

Figure 1: Effect of treatments on seed germination at three, six and nine days from sowing, experiment 1. Minimum significant difference in accordance with the hypothesis testing for proportions. n.s.: not significant. *: Indicates significant effect with p<0.05.

Effect of treatments on seed germination at three, six and nine days from sowing, experiment 2. Minimum significant difference in accordance with the hypothesis testing for proportions. n.s.: not significant. *: Indicates significant effect p<0.05.

Figure 2: Effect of treatments on seed germination at three, six and nine days from sowing, experiment 2. Minimum significant difference in accordance with the hypothesis testing for proportions. n.s.: not significant. *: Indicates significant effect p<0.05.

Effect of treatments on seedling growth

Table 4, shows the effect of the treatments on seedling growth for both experiments. In experiment 1, the best performance in hypocotyl length was from the 0.5 l.ha-1 treatment (p<0.05), with an increase compared to control of 8.98%. The remaining treatments differed significantly (p<0.05) from the control and among themselves.

Table 4: Effect of treatments on seedling growth

Average ± standard deviation. Averages with different letters in the same column vary for (p<0.05).

Epicotyl and seedling length presented similar performance and the best results were seen in the 0.5 and 0.8 l.ha-1 treatments, with significant differences (p<0.05) in both cases compared to control and the higher dosage variant. Root length showed no statistical differences between the variants.

In experiment 2, there were only significant differences (p<0.05) in the hypocotyl length variable, where the variants with 0.5 and 1.0 l.ha-1 dosages differed significantly from the control group. The treatment with 0.8 l.ha-1 did not differ in any applied variant.

Table 5, shows that wet mass presented significant differences among treatments with the product and the control treatment. Increase versus control, in the order on the table, was as follows: 18.27%, 17.31% and 21.15%, respectively.

Table 5: Effect of treatments on wet and dry mass and dry matter

Average ± standard deviation. Averages with different letters in the same column vary for (p<0.05).

The highest production of dry matter was for the treatment with the 0.5 l.ha-1 dosage, with statistical differences (p<0.05) compared the rest of the variants. The 0.8 l.ha-1 and 1.0 l.ha-1 treatments did not show variations amongst themselves or the control group.

The results related to the seed quality from plantations treated with great utility and importance, since it is a fact that in many regions, due to economic and traditional conditions, preservation of the seed obtained for the next planting season is a priority. In this sense, Hermann et al. (2009), raised that in Cuba there is a predominance of farmers who supplies themselves with their own seed for cultivating beans. Between 90% and 92% of farmers in the West, and 88% and 93% in the East, establish this common practice as customary.

The size of the seeds often plays an important role, where relatively large or heavy seeds are indicative of abundant food reserves. Which is why the size of the seed and the size of the plant are normally correlated. Celis et al. (2008), found that bean seedlings developed from heavier seeds were on average more vigorous, and therefore had a greater height and diameter of the hypocotyl and accumulated more biomass in their roots and leaflets.

Conclusion

The growth promoter VIUSID agro improved the productive performance of bean (Phaseolus vulgaris L.) crops. The best performance was achieved at dosages of 0.8 l.ha-1 and 1.0 l.ha-1, respectively. Foliar application of VIUSID agro in beans did not affect the germination, nor growth, of seedlings sprouted from seeds taken from treated plantations

References

  1. Abo Sedera, F. A., Abd El-Latif, A. A., Bader, L. A. A. & Rezk, S. M. (2010). Effect of NPK mineral fertilizer levels and foliar application with humic and amino acids on yield and quality of strawberry. Egypt J Appl Sci25, 154-169. 🠔
  2. Bitocchi, E., Bellucci, E., Giardini, A., Rau, D., Rodriguez, M., Biagetti, E., Santilocchi, R., Zeuli, P. S., Gioia, T., Logozzo, G., Attene, G., Nanni, L. & Papa, R. (2013). Molecular analysis of the parallel domestication of the common bean (Phaseolus vulgaris L.) in Mesoamerica and the Andes. New Phytol, 197(1), 300-313. http://dx.doi.org/10.1111/j.1469-8137.2012.04377.x [URL] 🠔
  3. Boras, M., Zidan, R. & Halloum, W. (2011). Effect of amino acids on growth, production and quality of tomato in plastic greenhouse. Biolog Sci Series, 33(5), 229-238. 🠔
  4. Broughton, W. J., Hernández, G., Blair, M., Beebe, S., Gepts, P. & Vanderleyden, J. (2003). Beans (Phaseolus spp.) - model food legumes. Plant and Soil, 252(1), 55-128. http://dx.doi.org/10.1023/A:1024146710611 [URL] 🠔
  5. Cakmak, I. (2008). Enrichment of cereal grains with zinc: Agronomic or genetic biofortification? Plant and Soil , 302(1), 1-17. http://dx.doi.org/10.1007/s11104-007-9466-3 [URL] 🠔
  6. Celis, V. R., Peña, V. C. B., Luna, C. M., Aguirre, R. J. R., Carballo, C. A. & Trejo, L. C. (2008). Variabilidad morfológica seminal y del vigor inicial de germoplasma mejorado de frijol. Agronomía mesoamericana, 19 (2), 179-193. 🠔
  7. Hermann, M., Amaya, K., Latournerie, L., & Castiñeiras, L. (2009). ¿Cómo conservan los agricultores sus semillas en el trópico húmedo de Cuba, México y Perú? Experiencias de un proyecto de investigación en sistemas informales de semillas de chile, frijoles y maíz. Bioversity International, Roma, Italia. pp. 186. http://infoagro.net/programas/ambiente/pages/agricultura/casos/6.pdf [URL] 🠔
  8. Hernández, V. G., Hernández, G. O., Guridi, I. F. & Arbelo, F. N. (2012). Influencia de la siembra directa y las aplicaciones foliares de extracto líquido de Vermicompost en el crecimiento y rendimiento del frijol (Phaseolus vulgaris L.). Rev Cie Téc Agr, 21(2), 86-90. 🠔
  9. Hernández, V. M., Vargas, L. M., Muruanga, J. S., Hernández, S. & Mayek, N. (2013). Origen, diversidad y diversificación del frijol común. Avances y perspectivas. Rev Fitotec Mex, 36(2), 95-104. 🠔
  10. Mensack, M. M., Fitzgerald, V. K., Ryan, E. P., Lewis, M. R., Thompson, H. J. & Brick, M. A. (2010). Evaluation of diversity among common beans (Phaseolus vulgaris L.) from two centers of domestication using 'omics' technologies. BMC Genomics, 11(686). 1-11. http://dx.doi.org/10.1186/1471-2164-11-686 [URL] 🠔
  11. Nanni, L., Bitocchi, E., Bellucci, E., Rossi, M., Rau, D., Attene, G., Gepts, P. & Papa, R. (2011). Nucleotide diversity of a genomic sequence similar to SHATTERPROOF (PvSHP1) in domesticated and wildcommon bean (Phaseolus vulgaris L.). Theor Appl Genet, 123(8), 1341-1357. http://dx.doi.org/10.1007/s00122-011-1671-z [URL] 🠔
  12. ONE- Oficina Nacional de Estadística e Información. (2014). Agricultura, ganadería, silvicultura y pesca. Producción agrícola por cultivos seleccionados. Habana, Cuba. pp. 33. 🠔
  13. Ortiz, R., Ríos, H., Ponce, M., & Verde, G. (2006). El mejoramiento participativo. Mecanismo para la introducción de variedades para la producción alimenticia en fincas y cooperativas agrícolas. Centro Agrícola, 33(3), 12-22. 🠔
  14. Peña, C. K., Rodríguez, F. J. C. & Meléndrez, G. J. F. (2015a). Efecto de un promotor del crecimiento activado molecularmente sobre la germinación y la producción de frijol (Phaseolus vulgaris L.). Infociencia, 19 (3), 1-12 🠔
  15. Peña, K., Rodríguez, J. C. & Santana, M. (2015b). Comportamiento productivo del frijol (Phaseolus vulgaris L.) ante la aplicación de un promotor del crecimiento activado molecularmente. Avances 17(4), 327-337. 🠔
  16. Rai, V. K. (2002). Role of amino acids in plant responses to stress. Biol Plant, 45(4), 481-487. http://dx.doi.org/10.1023/A:1022308229759 [URL] 🠔
  17. Saeed, M. R., Kheir, A. M. & Al-Sayed, A. A. (2005). Suppressive effect of some amino acids against Meloidogyne incognita on soybeans. J Agric Sci Mansoura Univ, 30(2), 1097-1103. 🠔
  18. Sawan, Z. M., Mahmoud, H.M., & El-Guibali, A. H. (2008). Influence of potassium fertilization and foliar application of zinc and phosphorus on growth, yield components, yield and fiber properties of Egyptian cotton (Gossypium barbadense L.). J Plant Ecol, 1(4), 259-270. http://dx.doi.org/10.1093/jpe/rtn021 [URL] 🠔
  19. Solano, C. F., Díaz, R. R., Jacinto, H. C., Aguirre, A. L. & Huerta, de la P. A. (2009). Prácticas agrícolas, descripción morfológica, proteínica y culinaria del grano de cultivares de frijol sembrados en la región de Tlatzala, Guerrero. Ra Ximhai, 5 (2), 187 -199. 🠔
  20. WRB, IUSS Working Group. (2014). World Reference Base for Soil Resources. International soil classification system for naming soils and creating legends for soil maps. World Soil Resources Reports No. 106. FAO, Rome, Italy. pp. 203. http://www.fao.org/3/a-i3794e.pdf [URL] 🠔