Acta Agronómica
0120-2812
Universidad Nacional de Colombia Sede Palmira
https://doi.org/10.1S446/acag.v67n2.60866

Recibido: 3 de noviembre de 2016; Aceptado: 30 de junio de 2017

Postharvest quality of strawberry (Fragaria χ ananassa (Duchesne ex Weston) Duchesne ex Rozier) genotypes according to vernalization

Calidad postcosecha de genotipos de fresa (Fragaria χ ananassa (Duchesne ex Weston) Duchesne ex Rozier) según vernalización

V. Santacruz Oviedo, 1 *M. Cabral, 1C. Enciso Garay, 1G. Cabrera Arredondo, 2

Faculty of Agricultural Sciences. Universidad Nacional de Asunción, Paraguay. Universidad Nacional de Asunción Faculty of Agricultural Sciences Universidad Nacional de Asunción Paraguay
Hernando Bertoni Research Center. Instituto Paraguayo de Tecnología Agraria-IPTA, Paraguay. Hernando Bertoni Research Center Instituto Paraguayo de Tecnología Agraria Paraguay

Author for correspondence: vrossmary@hotmail.com

Abstract

Strawberry production in Paraguay is carried out by small producers, using minimal technology and obtaining low productivity, with the need to expand strawberry genotypes and production techniques. The aim of this study was to evaluate fruit quality of strawberry genotypes according to vernalization. A randomized block design with factorial arrangement 14x2 was performed; factors were genotypes and chilling using 15 plants per treatment and three replicates. Plants were kept in cold room at 5°C, with 8 hours of artificial light and 16 of darkness for a period of 25 days. Five fruits were used per treatment and were evaluated as follows: the amount of total soluble solids, titratable acidity and ratio of total soluble solids to titratable acidity, length/diameter ratio, calyx diameter/fruit diameter ratio, peduncle length and mass loss in postharvest. Data obtained were subjected to analysis of variance simple factorial scheme and averages compared by Tukey test at 5% probability. Vernalization of strawberry plants did not affect fruit shape or total soluble solids content, but increased the percentage of citric acid. Length of peduncle and calix extension had achieved an increasing due to vernalization and decreased postharvest loss of fresh mass, but did not affect fruit preservation at 5°C. Festival and Florida Eliane genotypes may be recommended for in natura consumption and Dover and Oso Grande genotypes for industry.

Key-words:

Citric acid, mass loss, temperature, total soluble solids, titratable acidity.

Resumen

La producción de frutilla en Paraguay es realizada por pequeños productores, usando escasa tecnología y obtención de baja productividad, con la necesidad de ampliar los genotipos y la tecnología utilizada. El objetivo de esta investigación fue evaluar la calidad de frutos de genotipos de frutilla en función a la vernalización. El diseño utilizado fue el de bloques completos al azar con arreglo factorial 14x2. Los factores estuvieron constituidos por los genotipos y la vernalización con 15 plantas por tratamiento y tres repeticiones. Las mudas fueron mantenidas en cámara fría a 5°C, con 8 horas luz artificial y 16 de oscuridad por un periodo de 25 días. Se utilizaron cinco frutos por tratamiento y fueron evaluadas la cantidad de sólidos solubles totales, acidez titulable, relación de sólidos solubles totales con acidez titulable, relación longitud/diámetro, relación: diámetro del cáliz/diámetro del fruto, longitud del pedúnculo y pérdida de masa en postcosecha. Los datos obtenidos fueron sometidos a análisis de varianza en esquema factorial simple y las medias comparadas por el test de Tukey al 5% de probabilidad de error. La vernalización de las mudas no afectó la forma de los frutos de frutilla ni el contenido de sólidos solubles totales, pero aumentó el porcentaje de ácido cítrico. Así mismo, aumentaron la longitud del pedúnculo de la planta y la extensión del cáliz del fruto. Por otro lado, la vernalización disminuyó la pérdida postcosecha de masa fresca, pero no afectó la conservación de frutos a 5°C. Los genotipos Festival y Florida Eliane pueden ser recomendados para consumo in natura y los genotipos Dover y Oso Grande para industria.

Palabras clave:

Acidez titulable, ácido cítrico, pérdida de masa, temperatura, solidos solubles totales.

Introduction

Strawberry (Fragaria χ ananassa (Duchesne ex Weston) Duchesne ex Rozier) is a very outstanding crop worldwide, for varied possibility of management, being cultivated in protected environment or under field conditions. Fruits are highly prized by consumers for their aroma and taste.

In natura consumption is beneficial to human health due to its antioxidant content, such as ascorbic acid, anthocyanins and flavonoids and provides protection against some diseases (anticancer and anticoagulant) (Alvarez Mazzoni, Forbes, Gasparrini, Sabbadini & Giampieri, 2016; Badjakov, Nikolova, Gevrenova, Kondakova, Todorovska & Atanassov, 2008; Erlund, Koli, Alfthan, Marniemi, Puukka, Mustonen & Jula, 2008; Pincemail, Kevers, Tabart, Defraigne & Dommes, 2012).

For sustainable production, is necessary the evaluation of genotypes in a continuous way, in order to know the agronomic performance and fruit quality such as soluble solids concentration, titratable acidity, size, shape and other characteristics. According to Rahman, Rahman, Hossain, Khaliq & Moniruzzaman (2014) and Pelayo, Ebeler & Kader (2005), among quality factors that can be altered can be mentioned the loss of fresh mass, epidermis color, fruit firmness, flavor, aroma, level of ascorbic acid, phenolic compounds and sensory characteristics.

Alternatively, Silva, Dias & Pacheco (2015), indicates that fruit physical and chemical characterization allows obtaining information about the quality of the final product. Vernalization is the exposure to low temperatures during a certain period to induce the formation of flower buds and/or seeds (Wang, Bell & Scott, 2003). Therefore, artificial climate conditions are provided for differentiation of floral buttons, when these conditions do not occur naturally, natural vernalization is simulated.

Each species present different cold accumulation needs (Palit, Bai, Romo, Coulman & St Pierre, 2015), the number of hours that strawberries plant needs to accumulate ranged from 2 to 7°C, that is to say, from 380 to 700 cold hours. According to Costa, Calvete, Mendonça & de Costa (2014), mention that greater productivity in its cultivation is related to the number of cold hours that strawberry plants receive.

Given these concerns and owing to little documented information about the effect of vernalization in strawberry; the aim of this study was the fruit quality evaluation of 14 genotypes from vernalized and non-vernalized strawberry plants.

Material and methods

Study area

The experiment was carried out between April and September 2015, in the Programa de Investigación de Cultivos Olerícolas (PICO) from the Research Center "Hernándo Bertoni" (CIHB), at the Paraguayan Institute of Agrarian Technology (IPTA) (25° 23'16.38 "S and 57°11'22.24" W, and an altitude of 228 m.a.s.l.). Climate is subtropical with an average annual rainfall of 1536 mm and an annual mean temperature of 22°C.

Experimental design

The experimental design was a randomized block design with factorial arrangement of 14x2; factors were genotypes and chilling treatment with 15 plants and three replicates. Vernalization treatment consisted in subjecting strawberry plants, with approximate 90 to 100 das (days after sowing), contained in plastic bags of 10 cm x 12 cm, in a cold room at 5°C with 8 hours of artificial light (100 Lux m3) and 16 hours of darkness for a period of 25 days.

Genotypes and soil preparation

Mother plants of the evaluated genotypes came from the Investigation Program of Horticultural Crops (PICO) collection at the Research Center "Hernando Bertoni" (CIHB), Paraguay. The genotypes used were as follows: Camino Real, Festival, Florida Eliane, Sweet Charlie (FP), Sweet Charlie, Dover, IAC Guarani, Corea, Early Bright, Dover x Rosalinda (1), Dover x Rosalinda (4), Dover x Oso Grande, Dover x Esplendida and Dover x Aichi.

Soil preparation was carried out with a soil cultivator. Therefore, base fertilization was carried out with bovine manure with a dose of 5 kg.m2, 20 kg. ha-1 of N, 150 kg. ha-1 of P2O5 and 120 kg. ha-1 of K2O. Subsequently, 1.0 m wide planks were prepared manually, irrigation system consisted of dripping and mulching bicolor (white and gray) of 30 microns.

Field evaluation

Field transplantation was carried out with spacing between plants of 0.30 m and 0.50 m between rows, in planks of 1.0 m wide with two rows. Each experimental unit consisted of 15 plants and the experiment counted with a total of 1260 plants. In coverage fertilization, 40 kg ha-1 of N and 60 kg ha-1 of K2O were applied at 30, 60 and 90 days after transplanting, respectively.

For field evaluations, harvests started in September and were considered when strawberry fruits presented 75% of red coloration. The field experiment ended in October.

Variables under evaluation

Total soluble solids (TSS)

Juice was extracted from five fruits per treatment, subsequently, with a digital refractometer (Milwaukee MA 871, Romania) and the results were expressed in degrees Brix (°Brix). After each reading, refractometer was calibrated with distilled water.

Titratable acidity (TA)

Determined by titulometry and the results expressed as percentage (%) of citric acid.

Total soluble solids ratio with titratable acidity (TSS-TA -1 )

Quotient between values in °Brix and percentage (%) of citric acid.

Length: diameter of fruit ratio (L:D) (Shape)

Fruit shape was determined using five fruits per treatment, measurement was carried out with a Vernier caliper for fruit length and diameter. When the results of fruit length/diameter ratio presented values less than 1 (one) were classified as flattened, greater than 1 (one) as elongated and values of 0 (zero) as rounded fruits (Martínez, Nieto, Téliz, Rodríguez, Martínez, Vaquera & Carrillo, 2008).

Calyx diameter/fruit diameter ratio (C:D)

It was determined using five fruits per treatment, measurement was carried out with a Vernier caliper for calyx diameter and fruit diameter. When the results of calyx diameter/fruit diameter ratio presented values less than 1 (one) were considered as fruits with short calyx and greater than 1 (one) as fruits with long calyx (Martínez-Bolaños et al., 2008).

Peduncle length (LP)

It was determined by measurement of peduncle length of a mature fruit of five plants per treatment with the aid of a centimeter rule. The measurement was carried out from the insertion of the fruit to the crown (stem).

Mass loss

It was determined under two different conditions as follows: a) Fruits stored at room temperature (20°C ± 8°C), b) Fruits stored in a room at 5°C temperature with 90% relative humidity. For the evaluation in both cases, Equation 1, was applied.

Fruit weight was measured in grams with a digital balance, and the results were expressed as percentage of accumulated loss. In fruits sto red at room temperature, accumulated loss was evaluated daily for three days after harvest, and in fruits stored at 5°C, at the second, fifth and seventh day after harvest.

Data analysis

Data obtained were subjected to analysis of variance (ANAVA) in simple factorial scheme to identify significant difference among treatments and statistical significance for all comparisons was made at p<0.05. Tukey's multiple range test was used to compare the mean values of treatments. Infostat(r) software version 2013 was used.

Results

Length: Fruit diameter ratio (L:D)

Only among genotypes, statistically significant differences were found. Corea genotype showed the highest value (1.36), however it was not statistically different from IAC Guaraní (1.25) and Festival (1.23). Dover x Oso Grande presented the lowest value, statistically similar to a Camino Real, Florida Eliane, Sweet Charlie FP, Sweet Charlie, Early Bright, Dover x Rosalinda (1), Dover x Rosalinda (4) y Dover x Aichi, which presented values ranged from 1.0 and 1.02. Regarding vernalization, both treatments obtained the same mean (1.11) (Table 1).

Calyx diameter: Fruit diameter ratio

Significant differences were found for genotype and vernalization, without interaction between both factors (Table 1). Among genotypes, Camino Real and Festival, presented the highest averages and were statistically different from all except Sweet Charlie, Corea and Early Bright. On the other hand, those who received the treatment obtained the highest value (1.03), differing statistically from those who did not receive vernalization (0.97),

Peduncle length

Statistical differences were found among genotypes and as a function of vernalization. Regarding vernalization factor, a longer length was obtained with the vernalized ones (8.98 cm) differing statistically from treatment without vernalization (7.59 cm) (Table 1). Camino Real obtained the longest peduncle length (11.57 cm), differing from the others except for Festival, Florida Eliane, Sweet Charlie FP, Dover x Rosalinda (1), Dover x Oso Grande and Dover x Aichi.

Table 1: Mean values for length: fruit diameter ratio (L:D); calyx diameter ratio: fruit diameter (DC:DF) and peduncle length of 14 strawberry genotypes as a function of vernalization.

Means with equal letters in the columns, in lower case for genotypes and capital letters for vernalization, do not differ from each other bytheTukey test with a probability < 0.05%. Test F = ** and * significant at 0.01 and 0.05%, ns = not significant. C.V.: Coefficient of Variation. L: D (Length diameter ratio), DC: DF (calyx diameter: fruit diameter ratio).

Total soluble solids (TSS)

Vernalization had no influence on this characteristic; however there were differences among genotypes (Table 2). The values found in this study ranged from 9.56°B to 6.50°B. Corea genotype presented the highest total solids content (9.56 °Brix), differing from Dover x Rosalinda (4) and Dover x Oso Grande. Vernalized genotypes presented a value of total soluble solids of 8.05 °Brix without statistically differing from treatment without vernalization with 7.77 °Brix (Table 2).

Titratable acidity (TA)

Significant statistical differences were found among genotypes and vernalization (Table 2). Among genotypes, Corea (0.40%) had the highest mean and was statistically superior to Camino Real, Festival and Dover. Treatment with vernalization reached a titratable acidity value of 0.35% differing statistically from treatment without vernalization, 0.29% (Table 2).

Table 2: Mean values for total soluble solids (TSS) and titratable acidity (TA) and TSS TA-1 ratio of 14 strawberry genotypes as a function of vernalization.

Means with equal letters in the columns, in lower case for genotypes and ca pital letters for vernalization, do not differ from each other by the Tukey test with a probability < 0.05%. Test F=** and * significant at 0.01 and 0.05%; ns = not significant. C.V.: Coefficient ofVariation. % citric acid1.

Total soluble solids ratio with titratable acidity (TSS TA -1 )

Significant differences were found among genotypes according to vernalization, and the interaction between both factors (Table 2). There were no significant differences with vernalized genotypes, with averages between 38.10 (Florida Eliane) and 18.77 (Dover x Oso Grande). Concerning the genotypes behavior without vernalization; Festival (54.83) presented the highest mean, but without differing from Camino Real, Florida Eliane, Dover and IAC Guaraní. In factors interaction, Festival was the only one that presented higher average with vernalization.

Loss of fruit mass

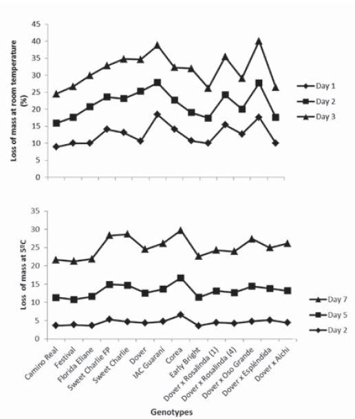
At room temperature, no differences were observed among genotypes, only for vernalization factor. The lowest daily losses were obtained in fruits from vernalized strawberry plants with averages of 11.32%, 19.18% and 21.41%, differing significantly from the non-vernalized ones (Figure 1), indicating that they have a greater loss of mass than vernalized fruits.

Fruit mass loss at 5°C.

No differences were found between vernalized genotypes and factor interaction. In the first evaluation two days after harvest, loss between genotypes varied between 3.62% (Camino Real) and 6.55% (Corea), in the second evaluation between 6.90% (Festival) and 10.13% (Corea) and in the last one, carried out seven days after harvest, between 10.27% (Florida Eliane) and 13.97% (Sweet Charlie) (Figure 1).

Average values for post-harvest fruit mass loss at room temperature and at 5°C temperature with 90% relative humidity of 14 strawberry geno types as a function of vernalization.

Figure 1: Average values for post-harvest fruit mass loss at room temperature and at 5°C temperature with 90% relative humidity of 14 strawberry geno types as a function of vernalization.

Discussion

Some quality attributes of strawberry fruits are affected by vernalization, such as citric acid content, peduncle length of the plant and calix extension of the fruit. Vernalization also decreased post-harvest loss of fresh mass, but did not influence fruit conservation at 5°C.

Length: fruit diameter ratio (L:D)

These results show that all genotypes have elongated fruit, because the ratio is greater than 1.0. In previous study carried out by Martínez-Bolaños et al. (2008), cv. Festival presented L:D ratio equal to 0.78 indicating a flattened fruit shape, different from the results of this study. According to Silva, Dias & Pacheco (2015), working with cv. IAC Guaraní obtained a L:D ratio value of 1.37 similar to those found in this study of 1.25.

Calyx diameter: Fruit diameter ratio

Calyx of the vernalized genotypes shows greater development and therefore covers a larger fruit area. Costa, Duarte, Puschmann & Finger (2011), mentioned that for in natura consumption, a fresh and voluminous calyx is attractive and is appreciated by consumers as a desirable characteristic, in addition, it was found that calyx presence accelerates fruit transpiration rate in cv. Dover, however, cannot be considered as general rule, since genotypes present calyx with variable morphological pattern. Considering this characteristic, is preferable to use genotypes with smaller size of calyx to avoid transpiration losses in warmer environments.

Peduncle length

The average obtained with Festival (10.30 cm) for fruit manually harvest, the longer ones facilitated the harvest, on the other hand, if is very short, is difficult, causing a higher level of physical damage, in addition, had achieved an increasing in fungi incidence on fruit because it does not exceed plant foliage. Vernalization could affect the peduncle length indicating that in cold conditions, the peduncle has a longer length.

Total soluble solids (TSS)

Lado, Vicente, Manzzioni, Ghelfi & Ares (2012), obtained the mean of 3.23 °Brix in September with cv. Early Bright, a lower value to that obtained in this study (7.39 °Brix), but in June evaluation, average of 7.68 °Brix was reported. Silva, Dias & Pacheco (2015), obtained with cv. Sweet Charlie an average of 6.63 °Brix and a value of 5.60 °Brix with cv. Dover, which were lower values than those observed in this study of 8.81 °Brix and 7.01 °Brix respectively. In ratio to cv. Festival, Martínez-Bolaños et al. (2008), found similar values to the results of this study, with 8.5 °Brix and Ikram, Qureshi & Khalid (2016), founded 6.56 °Brix. According to conditions of this study, the results show that vernalization treatment in strawberry plants does not affect the content of total soluble solids in the different evaluated genotypes.

Titratable acidity (TA)

Vernalized plants affected the citric acid content. Likewise, Lado et al. (2012), obtained similar results of 0.36% citric acid with cv. Early Bright. However, Silva, Dias & Pacheco (2015), found an average of 0.92% with cv. Sweet Charlie, whereas in this study, had achieved a value of 0.37%. Camargo, de Resende, Tominaga, Kurchaidt, Camargo & Figueiredo (2011), observed the highest values with cv. Camino Real and Dover, 0.94% and 1.10% respectively, compared to values of this study 0.25% and 0.24%. Martínez-Bolaños et al. (2008) , obtained an average of 0.757% of citric acid with cv. Festival, as well as Voca, Dobricevic, Druzic, Duralija, Babojelic, Dermisek & Cmelik (2009) , found acid values ranged from 1.05% and 1.12% and suggest that sugars and acids content contribute to sweetness and acidity. Sturm, Koron & Stampar (2003), reported total content of acids in strawberry ranged from 0.83% and 0.88% in the form of citric acid and mention that their fruit composition decreases with ripening. TA was noticed for Alvarez-Suarez et al. (2014), who found the highest in 1/3rd matured fruits and gradually decreased with an increasing in maturity stage (Sweet Charlie, Festival, Camarosa and other genotypes). According to Silva, Dias & Pacheco (2015), edaphoclimatic conditions or intrinsic characteristics of each genotype may able to affects TA. Therefore, Agüero, Salazar, Kirschbaum & Jerez (2015), reported an increasing in titratable acidity with temperature.

Total soluble solids ratio with titratable acidity (TSS TA -1 )

This ratio indicates the maturity index and the acceptability for in natura consumption due to quotient of TSS TA-1 ratio, which is used to determine consumer acceptability (Martínez-Bolaños et al., 2008). The non-vernalization genotypes presented the highest value of TSS. TA-1 (29.55) differing statistically from the vernalized ones (24.53) (Table 2), indicating that vernalization treatment may influence the acceptability of in natura consumption. A research conducted by Martínez-Bolaños et al. (2008), confirmed values of TSS TA-1 ratio for Festival between 6.37, 18.63 and 14.38 in three periods of evaluation, without vernalization. The values of SS-TA-1 ratio are higher because the fruits are found with high soluble solids content (average of 7°B) and with low titratable acidity content (mean of 0.8%), indicating very good acceptability for in natura consumption.

Loss of fruit mass

Vernalization did not influence the loss of mass in fruits evaluated at 5°C. In natura, fruits are stored by refrigerated method in order to maintain their quality. The recommended conditions storage varies from 0°C to 1°C, with 90-95% relative humidity reported by Cantillano, Ávila, Peralba, Mara & Toralles (2012). Conversely, Alvarez-Suarez (2014), mentioned that storage temperature seems to be one of the key factors particularly affecting the stability of phenolic antioxidants in fruits. Rahman et al. (2016), working with genotypes Sweet Charlie, Festival, Camarosa and others, observed weight loss in strawberries, which gradually increased over time and was affected by stages of maturity, being weight loss higher in fully matured strawberries.

Terrazzan, Saavedra, Heiffig & Kluge (2006), working with cv. Oso Grande, found a fruit loss ranged from 5% to 10% in fruit mass at the sixth day of storage and 10 to 15% and mention that after this stage, occurs a fruit loss with respect to desired sensorial characteristics like color, brightness and turgor. In this study, the loss of mass at seventh day after harvest of all evalua ted genotypes ranged from 10.27% to 13.97% Differences in postharvest management in field conditions may influence fruit mass loss, mainly due to the presence of physical damages.

Conclusions

Evaluation of fruit quality of strawberry plants genotypes is affected by vernalization. This factor increases titratable acidity percentage (% citric acid), but does not affect total soluble solids content. It is known that an increasing in peduncle length of the plant, is a desired characteristic for fruit harvest, but also an increasing in fruit calyx; a minor calyx is desirable for high temperature conditions. Vernalization prevents losses of fresh mass when kept at room temperature. When stored in a cold room at 5°C, vernalization has no influence.

For in natura consumption Festival and Flo rida Eliane genotypes are recommended for its sweetness taste and low acidity of the fruits, they have acceptable characteristics as the elongated form, adequate calyx and peduncle length of ex tension for manual harvest. Some strawberries genotypes, like Dover x Oso Grande are promisor for industry due to high percentage of acidity and low contents of total soluble solids.

References

  1. Agüero, J. J., Salazar, S. M., Kirschbaum, D. S. & Jerez, E. F. (2015). Factors affecting fruit quality in strawberries grown in a subtropical environment. Int J Fruit Sci15(2), 223-234. http://dx.doi.org/10.1080/15538362.2015.1017427 [URL] 🠔
  2. Alvarez-Suarez, J. M., Mazzoni, L., Forbes-Hernández, T. Y., Gasparrini, M., Sabbadini, S. & Giampieri, F. (2014). The effects of pre-harvest and post-harvest factors on the nutritional quality of strawberry fruits: A review. J Berry Res4(1), 1-10. http://dx.doi.org/10.3233/JBR-140068 [URL] 🠔
  3. Badjakov, I., Nikolova, M., Gevrenova, R., Kondakova, V., Todorovska, E. & Atanassov, A. (2008). Bioactive compounds in small fruits and their influence on human health. BiotechnolBiotec Eq22(1), 581-587. http://doi.org/10.1080/13102818.2008.10817517 [URL] 🠔
  4. Cantillano, R. F. F., Ávila, J. M. M., Peralba, C. R., Mara, T. & Toralles, R. P. (2012). Actividad an tioxidante, compuestos fenólicos y ácido ascórbico de frutillas en dos sistemas de producción. Hortic Bras30(4), 620-626. http://dx.doi.org/10.1590/S0102-05362012000400010 [URL] 🠔
  5. Camargo, L. K., de Resende, J. T. V., Tominaga, T. T., Kurchaidt, S. M., Camargo, C. K. & Figueiredo, A. S. T. (2011). Postharvest quality of strawberry fruits produced in organic and conventional systems. Hortic Bras 29(4), 577-583. http://dx.doi.org/10.1590/S0102-05362011000400022 [URL] 🠔
  6. Costa, F. B., Duarte, P. S., Puschmann, R. & Finger, F. L. (2011). Quality of fresh-cut strawberry. Hortic Bras 29(4), 477-484. http://dx.doi.org/10.1590/S0102-05362011000400006 [URL] 🠔
  7. Costa, R. C. Da, Calvete, E. O., Mendonça, H. F. C. & de Costa, L. A. (2014). Phenology and leaf accu mulation in vernalized and non-vernalized straw berry seedlings in neutral-days. Acta Sci Agron36(1), 57-62. http://doi.org/10.4025/actasciagron.v36i1.17285 [URL] 🠔
  8. Erlund, I., Koli, R., Alfthan, G., Marniemi, J., Puukka, P., Mustonen, P. & Jula, A. (2008). Favorable effects of berry consumption on platelet function, blood pressure, and HDL cholesterol. Am J Clin Nutr87 (2), 323-331. http://doi.org/87/2/323[pii] [URL] 🠔
  9. Ikram, S., Qureshi, K. M. & Khalid, N. (2016). Flowering and fruiting responses of strawberry to growth hormone and chilling grown under tunnel conditions. Pak J Agric Sci53(4), 911-916. http://doi.org10.21162/PAKJAS/16.3682 [URL] 🠔
  10. Lado, J., Vicente, E., Manzzioni, A., Ghelfi, B. & Ares, G. (2012). Evaluación de calidad de fruta y aceptabilidad de diferentes cultivares de frutilla. Agrociencia Uruguay16 (1), 51-58. http://www.scielo.edu.uy/pdf/agro/v16n1/v16n1a07.pdf [URL] 🠔
  11. Martínez-Bolaños, M., Nieto-Angel, D.,Téliz-Ortiz, D. J., Rodríguez-Alcazar, J., Martínez-Damian, Ma. T., Vaquera-Huerta, H. & Carrillo-Mendoza, O. (2008). Comparación cualitativa de fresas (Fragaria x ana-nassa Duch.) de cultivares mexicanos. Rev Chapingo Ser Hortic14(2), 113-1191. http://www.scielo.org.mx/pdf/rcsh/v14n2/v14n2a3.pdf [URL] 🠔
  12. Palit, R., Bai, Y., Romo, J., Coulman, B., & St Pierre, R. (2015). Variations in vernalization requirements among ecotypes of Festuca hallii. Grass Forage Sci70(2), 353-364. http://doi.org/10.1111/gfs.12101 [URL] 🠔
  13. Pelayo-Zaldívar, C., Ebeler, S. E., & Kader, A. A. (2005) . Cultivar and Harvest date effects on flavor and other quality attributes of California strawberries. J Food Quality28(1), 78-97. http://doi.org/10.1111/j.1745-4557.2005.00005.x [URL] 🠔
  14. Pincemail, J., Kevers, C., Tabart, J., Defraigne, J. O. & Dommes, J. (2012). Cultivars, Culture Conditions, and Harvest Time Influence Phenolic and Ascorbic Acid Contents and Antioxidant Capacity of Strawberry (Fragaria x ananassa)J Food Sci77(2). 205-210. http://doi.org/10.1111/j.1750-3841.2011.02539.x [URL] 🠔
  15. Rahman, M. M., Rahman, M. M., Hossain, M. M., Khaliq, Q. & Moniruzzaman, M. (2014). Effect of planting time and genotypes growth, yield and quality of strawberry (Fragariax ananassa Duch.). Sci Hortic167, 56-62. http://doi.org/10.1016/j.scienta.2013.12.027 [URL] 🠔
  16. Silva, M.S, Dias, M.S.C. & Pacheco, D. (2015). Desempenho produtivo e qualidade de frutos de morangueiros produzidos no norte de Minas Gerais Márcia. Hortic Bras 33, 251-256. http://doi.org/10.1590/S0102-053620150000200018 [URL] 🠔
  17. Sturm, K., Koron, D. & Stampar, F. (2003). The composition of fruit of different strawberry vari eties depending on maturity stage. Food Chem83(3), 417-422. http://doi.org/10.1016/S0308-8146(03)00124-9 [URL] 🠔
  18. Terrazzan, P., Saavedra, J., Heiffig, L. S. & Kluge, R. A.(2006) . Strawberries from conventional and organic crop systems. Revista Iberoamericana de Tecnología Postcosecha8(1), 33-37. http://www.redalyc.org/pdf/813/81380105.pdf [URL] 🠔
  19. Voca, S., Dobricevic, N., Druzic, J., Duralija, B., Babojelic, M. S., Dermisek, D., & Cmelik, Z. (2009). The change of fruit quality parame ters in day-neutral strawberries cv. Diaman te grown out of season. Int J Food Sci Nutr60(3), 248-254. http://doi.org/905044395[pii]\r10.1080/09637480701706331 [URL] 🠔
  20. Wang, Z.Y., Bell, J. & Scott, M. (2003). A vernalization protocol for obtaining progenies from regenerated and transgenic tall fescue plants. Plant Breeding122(6), 536-538. http://doi.org/10.1111/j.1439-0523.2003.00879.x [URL] 🠔