Acta Agronómica
0120-2812
Universidad Nacional de Colombia Sede Palmira
https://doi.org/10.15446/acag.v67n2.60896

Recibido: 5 de noviembre de 2016; Aceptado: 13 de junio de 2017

Safflower (Carthamus tinctorius L.) yield as affected by nitrogen fertilization and different water regimes

Producción de cártamo (Carthamus tinctorius L.) en función de fertilización nitrogenada y diferentes regímenes hídricos

R. Ferreira Santos, 1D. Bassegio, 2M. Pereira Sartori, 2M. Zannoto, 2M. de Almeida Silva, 2*

Centro de Ciências Exatas e Tecnológicas UNIOESTE- Universidade Estadual do Oeste do Paraná, Brasil. Universidade Estadual do Oeste do Paraná Centro de Ciências Exatas e Tecnológicas UNIOESTE Universidade Estadual do Oeste do Paraná Brazil
Faculdade de Ciências Agronômicas. Departamento de Produção e Melhoramento Vegetal UNESP- Universidade Estadual Paulista, Brasil. Universidade Estadual Paulista Faculdade de Ciências Agronômicas Departamento de Produção e Melhoramento Vegetal UNESP Universidade Estadual Paulista Brazil

Author for correspondence: marcelosilva@fca.unesp.br

Abstract

Due to its origin and hardiness, safflower is usually cultivated in low-fertility soils with few inputs and no irrigation. In Brazil, little is known about its response to nitrogen (N) and irrigation. This study was carried out near the city of Engenheiro Coelho, SP, Brazil, in 2014, in order to determine the effect of increasing nitrogen application rates (0, 50, 100, 150, 200, 250, 300, 350, 400, 450, 500, 550 and 600 kg ha-1) on safflower cultivation under irrigation and rainfed conditions. The use of irrigation during drought periods allowed stress reduction and significantly increased yield components and grain yield. Safflower yield was influenced by the interaction between water regimes and nitrogen rates. Grain yield may vary depending on several factors, however, maximum yield was achieved with rates of 208 and 214 kg N ha-1 under irrigation and rainfed conditions, respectively. For oil yield, 200 kg N ha-1 were sufficient, regardless of the water regime.

Keywords:

Fertilizer application, irrigation scheduling, nutrient availability(soil), plant-soil relations, rainfed conditions, yield components.

Resumen

En función de su origen y rusticidad, el cártamo se produce generalmente en tierras secas, de baja fertilidad, con pocos insumos y sin riego. En Brasil, poco se sabe de la respuesta de este cultivo a la aplicación de nitrógeno (N) y al riego. Este estudio fue realizado próximo a Ingeniero Coelho, SP, Brasil, en la campaña agrícola de 2014, para determinar el efecto de dosis crescientes de nitrógeno (0; 50; 100; 150; 200; 250; 300; 350: 400; 450; 500; 550 e 600 kg.haD1) en el cultivo de cártamo en secano e irrigado. La aplicación de riego en periodos secos, posibilitó reducir el estrés y así, aumentar de forma significativa los componentes de producción y el rendimiento de granos. La producción de cártamo es influenciada por la interacción entre el régimen hídrico y la dosis de nitrógeno. El rendimiento del grano puede variar dependiendo de varios factores, sin embargo, el rendimiento máximo se logró con tasas de 208 y 214 kg.N ha-1 en condiciones de riego y de secano, respectivamente. Para el rendimiento de aceite, 200 kg N. ha-1 fueron suficientes, independientemente del régimen hídrico.

Palabras clave:

Aplicación de fertilizantes, componentes de rendimento, condiciones de secano, disponibilidad de nutrientes (suelo), programación de riego, relaciones planta-suelo.

Introduction

Safflower (Carthamus tinctorius L.) is an annual oilseed crop that belongs to the family Asteraceae. According to Rastgou, Ebadi, Vafaie & Moghadam (2013), world safflower acreage is around 612,000 ha and its yield is approximately 615,214 tons. This crop performs well in low-fertility soils, under water stress and even under frost or high-temperature conditions (Omidi, Khazaei, Monneveux & Stoddard, 2012). Safflower is one of the most drought-tolerant crops throughout the world (Sampaio, M.C., Santos, R.F., Bassegio, D., de Vasconcelos, E.S., Silva, M. de A., Secco, D. & Silva., 2016). Its deep and pivoting root system allows it to explore deeper soil layers, enhancing its ability to extract water and nutrients that are not available for most crops (Bagheri & Sam-Dailiri, 2011). On the other hand, its large biomass production and long growing season may result in rapid and severe reduction of ground water reserves. Even though safflower is considered tolerant to drought, it may show reduction in photosynthesis and cell expansion under water stress conditions, which leads to a decrease in plant height, leaf number and leaf area. This significantly affects safflower grain yield and its economic efficiency (Omidi et al., 2012).

Results show that safflower yield is responsive to water application. Omidi et al. (2012)) obtained safflower yields of 550 kg ha-1 under rainfed conditions and 4500 kg ha-1 under irrigation conditions. The amount of available water is a key factor in determining safflower yield. Omidi & Sharifmogadas (2010), reports that the proper management of water allowed the plant to maintain soil moisture, which improved grain yield due to the increase in the number of heads and sub-branches of the plant.

According to Sabbagh, Mahalleh, Roshdi & Hosseini (2012), safflower is more responsive to nitrogen (N) than to other nutrients and it requires a larger amount of this element during its vegetative phase. Nitrogen application results in an increase of branches, leaves and grain yield. Nitrogen fertilization is crucial and limiting on grain yield due to its multi-dimensional effect on safflower growth and development. Taleshi, Shokoh-Far, Rafiee, Noormahamadi & Sakinejhad (2012), also applied nitrogen to safflower, which resulted in increased grain yield, mainly due to its effect on the number of heads per plant.

With the hypothesis that nitrogen fertilization applied to safflower is dependent on the irrigation regime employed, the aim of this study was to determine the effects of irrigation and nitrogen application on the yield of safflower (Carthamus tinctorius L.) cultivated in dry season in an acrisol soil in the city of Engenheiro Coelho, SP, Brazil.

Material and methods

This study was carried out in the School Farm of the Adventist University of São Paulo (UNASP) in the city of Engenheiro Coelho, Brazil (22°29'18" S, 47°12'54" W). According to the Kóppen classification, local climate is humid subtropical Cwa, with temperatures above 22°C in the warmest month of the year and below 18°C in the coldest month. Average annual rainfall in the area is 1328 mm.

Predominant soil in the area is a acrisol, with the following chemical characteristics at a depth of 0-20 cm: 6.0 g organic carbon dm-3, 10.0 g of soil organic matter dm-3, 4.8 pH (CaCl2), 7.0 mg P dm-3, 2.3 mmol K+ dm-3, 17 mmol Ca2+ dm-3, 5.0 mmol Mg2+ dm-3, 28.0 mmol H + Al dm-3, CEC of 52.5 mmolc dm-3 and 47% base saturation. Physical characteristics at the same depth were 172 g clay kg-1, 123 g silt kg-1 and 705 g sand kg-1.

Experimental set-up

Safflower seeds were hand-planted at a depth of 3 to 5 cm with spacing of 0.45 m and distance of 0.10 m in each row. Fertilization and other crop management practices were carried out manually. The seeds were treated with Tiram-based fungicide and sown directly into the ground (thirty seeds per meter). No fertilizers were applied during planting. Safflower seeds were sown on May 22, 2014 in conventional tillage system.

Treatments and experimental design

The experimental design was completely randomized in a 13 x 2 factorial design with four replications. The treatments consisted of 13 increasing nitrogen rates (0, 50, 100, 150, 200, 250, 300, 350, 400, 450, 500, 550 and 600 kg ha-1) under two water regimes: irrigation and rainfed conditions. Each plot consisted of three 6-meter rows. Analyses were carried out on the middle row. Two applications of nitrogen were performed per week, starting at 30 days after sowing (DAS) and ending at 75 DAS, when flowering began.

Safflower plants were irrigated in order to meet the local average atmospheric demand, 3.5 mm day-1, through a drip tube system distributed along the crop rows. Irrigation treatments were applied when the plants presented 50% senescent leaves. The treatments under rainfed conditions only received rain water. Thus, there was a supply of 315 mm more water in the four-month cycle in the treatment under irrigation conditions, totaling 466.4 mm. Under rainfed conditions there was only precipitation of 151.4 mm (Figure 1).

Total daily rainfall, daily reference evapotranspiration, mean temperature and day degrees from May 22 to September 30, 2014, in Engenheiro Coelho, SP, Brazil.

Figure 1: Total daily rainfall, daily reference evapotranspiration, mean temperature and day degrees from May 22 to September 30, 2014, in Engenheiro Coelho, SP, Brazil.

Traits evaluated

The variables plant height measured from ground level to plant apex, number of heads per plant determined by the harvest of four random plants from the middle rows were evaluated before the harvest during the physiological stage of maturity.

Grain mass per plant, 100-seed weight obtained by the mass of one hundred grains collected from four random samples, and productivity were determined during the harvest at September 30, 2014. The grain yield in each plot was adjusted to 10% moisture.

Oil content was determined by TD-NMR analysis in an SLK-SG-200 spectrometer (SpinLock Magnetic Resonance Solutions) at 25°C equipped with a permanent magnet of 0.23 T (9 MHz for 1H) and a probe with 13 mm x 30 mm useful area. Software used consisted of Condor IDE with CPMG pulse sequence and Qdamper, with results being expressed on a dry basis (% DB).

Statistical analyses

Gama transformation was used for data that did not follow normal distribution. Analysis of variance and Tukey's mean comparison test at 5% probability were applied to the sources of variation, using Minitab 16 statistical software(r). As for the source of variation of nitrogen levels, regression analysis was performed with plateau function (broken line). It was considered ready for presentation when the fit was significant at 5% probability and R2 was greater than 0.70.

Results

Yield components

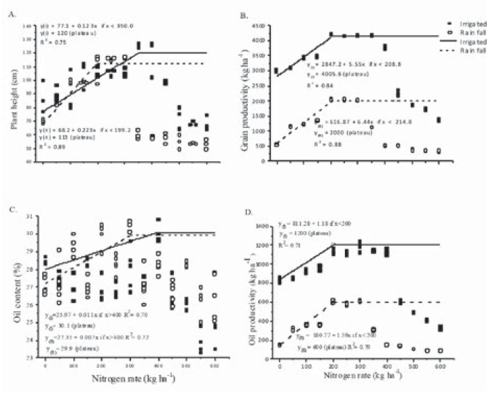
Safflower plant height was affected by the interaction among factors. Intermediate rates of nitrogen (250 - 400 kg ha-1) applied to treatment under irrigation conditions provided benefits (Table 1). Maximum safflower plant height based on the linear-plateau model was 120 cm (350 kg ha-1) under irrigation conditions and 113 cm (199 kg ha-1) under rainfed conditions (Figure 2A).

Table 1: Height, number of chapters, weight of hundred grains and mass ofgrains per plant affected bywater regimes and nitrogen

*Means followed by different lowercase letters in the line and capital in column indicate statistical difference byTukeytest at 1% probability.

Height plants (A), grain yield (B), oil content (C) and oil productivity (D) of safflower affected bywater regimes and nitrogen.

Figure 2: Height plants (A), grain yield (B), oil content (C) and oil productivity (D) of safflower affected bywater regimes and nitrogen.

The number of heads per plant was also influenced by nitrogen and irrigation conditions, and also by the interaction among factors (Table 1). However, regression analysis did not indicate any polynomial models. High rates of nitrogen reduced the number of heads per plant regardless of the water regime. In contrast, low rates of nitrogen were dependent on irrigation to increase the number of heads per plant. Thus, less nitrogen was needed under irrigation conditions to increase the number of heads per plant than under rainfed conditions.

In this study, the 100-seed weight was dependent on the interaction among factors. The rate of 600 kg ha-1 in the rainfed treatment provided the largest 100-seed weight (5.05 g) (Table 1). The optimum point was not determined since R2 was inferior to 0.70 (data not shown). Grain yield per plant was significantly affected by the interaction among factors. The rate of200 kg.N ha-1 applied to the treatment under irrigation conditions resulted in 49.67 g of grains per plant (Table 1).

Grain and oil yield

The interaction among factors affected grain yield (Table 2), which requires a maximum rate of 208 kg N.ha-1 to present gains (Figure 2B) according to the linear-plateau model.

Table 2: Grain yield, oil content and oil productivity affected by water regimes and nitrogen

*Means followed by different lowercase letters in the line and capital in column indicate statistical difference byTukeytest at 1% probability.

This rate results in a maximum grain yield of 4005 kg.ha-1 under irrigation conditions. In what concerns to rainfed conditions, the model proposed that the rate of 214 kg N.ha-1 provides a maximum of 2000 kg of grains ha-1 (Figure 2B).

Safflower plants grown under rainfed conditions and treated with 300 kg N.ha-1 presented the highest oil content (Table 2) according to the interaction and linear-plateau model (Figure 2C). Under irrigation conditions, the model demonstrated that 400 kg N.ha-1 would be necessary to achieve maximum oil content, just as observed in the interaction (Table 2).

Discussion

Results obtained in this study for plant height match those found by Aghamohammadreza, Mirhadi, Delkhosh & Omidi (2013), who observed heights from 75 to 150 cm under different crop conditions. Siddiqui & Oad (2006), in Pakistan, observed that the maximum rate of 180 kg ha-1 led to higher plant height (165 cm). However, the ineffectiveness of low nitrogen rates (0, 40, 80 kg.ha-1) on safflower growth was observed by Elfadl, Reinbrecht, Frick & Claupein (2009), in marginal areas of south-west Germany.

According to Bagheri & Sam- Dailiri (2011), drought may cause reduction on plant height. Thus, irrigated treatments respond better to nitrogen fertilizers, which is certainly related to increasing recovery and dilution of nitrogen in the soil.

Ebrahimian & Soleymani (2013), achieved a maximum number of heads per plant with the application of 150 kg N ha-1. Dordas & Sioulas (2008) and Rastgou et al. (2013), report that nitrogen fertilization increased the number of heads per plant by 32% and 31%, respectively. In contrast, Strasil & Vorlicek (2002), observed that nitrogen fertilization did not affect the number of heads per plant under rainfed conditions.

Vafaie, Ebadi, Rastgou & Moghadam (2013),observed variation between 5.07 and 5.61 in the 100-seed weight. In safflower cultivation under rainfed conditions with nitrogen application ranging from 0 kg ha-1 to 150 kg ha-1. Similarly, Rastgou et al. (2013), reported a 30% increase in the 100-seed weight with the application of 150 kg N.ha-1. Strasil & Vorlicek (2002), report that nitrogen fertilization did not affect the 100-seed weight.

The rainfed treatment required 250 to 400 kg N.ha-1 to show an increase in grain yield per plant, demonstrating better efficiency of nitrogen fertilization with the use of irrigation, which is mainly related to fertilization processes and grain filling per plant. Higher grain yield per plant was also observed by Dordas & Sioulas (2008), with the application of nitrogen.

Miri & Bagheri (2013), also observed low er productivity under rainfed conditions (463 kg.ha-1), whereas using an irrigation system led to 3845 kg ha-1. Hasanvandi, Aynehband, Rafiee, Mojadam & Rasekh (2014), observed an increase in safflower grain yield of 33% and 25% in two years of cultivation in Iran.

Dordas & Sioulas (2008), reported that ni trogen fertilization increased the production of safflower grains by, on average, 19%. These authors achieved maximum yield under rainfed conditions with the application of 150 kg N. ha-1. Strasil & Vorlicek (2002), also achieved maximum safflower grain yield with the application of 150 kg N ha-1. Rastigou et al. (2013), report positive effects of nitrogen fertilization on safflower grain yield, reaching higher yields at a rate of 200 kg.N ha-1. Gholinezhad, Aynaband, Ghorthapeh, Noor-mohamadi & Bernousi (2009), in a study on saf-flower cultivation under different water regimes and nitrogen levels in Iran, report that the ideal conditions for safflower cultivation are irrigation at 90% field capacity and 220 kg N.ha-1. Recently, Sampaio et al. (2016), reported that the maximum yield of safflower seeds was achieved with up to 260 kg N.ha-1 with sowing in autumn in Brazil.

Sampaio et al. (2016), achieved maximum oil yield of safflower under rainfed conditions in Brazil when 244 kg N ha-1 were applied during sowing. Hasanvandi et al. (2014), observed an in crease in oil content under irrigation conditions, however, the authors point out that this effect is not indispensable for oil content, but for grain yield, just as observed in this study. Dordas & Sioulas (2008), found no increase in oil content with a maximum rate of 200 kg N ha-1.

Rastigou et al. (2013), report that there was no increase in oil content with the application of nitrogen fertilizer, however, rates above 200 kg.N ha-1 caused reduction in oil content, just as observed in the present work, but with higher rates. According to Sabbagh et al. (2012), increas ing nitrogen fertilization rates too much leads to increased nitrogen absorption, resulting in the production of amino acids and other compounds in peptide bands. Thus, increased amino acid production causes low oil content.

Safflower oil yield was benefited by rates from 200 to 350 kg N.ha-1 according to the interaction and by irrigation conditions (Table 2), just as observed by Miri & Bagheri (2013) and Hasanvandi et al. (2014). Thus, the fit determined that 200 kg N ha-1 are enough to provide an oil yield apex, with 1200 and 600 kg.ha-1 under irrigation and rainfed conditions, respectively (Figure 2D). Despite oil content being less affected by nitrogen fertilization, an increasing in grain yield compen sated and increased this variable. Dordas & Siou-las (2008), observed an increasing of 21% with the application of nitrogen, being this fact due to grain yield. It is evident that nitrogen affects more sharply safflower grain yield than its oil content, just as stated by Hasanvandi et al. (2014).

The application of nitrogen has proved to be particularly effective on safflower yield in various regions (Eryigit, Aki§ & Kaya, 2015). Determining the appropriate rate of nitrogen fertilizer provides increased production of safflower grains, mainly under the Brazilian tropical conditions due to severe decomposition rates and nitrogen dyna mics in the soil.

Conclusion

Safflower production is influenced by the interaction between water regimes and nitrogen rates. Grain yield varies according to each fac tor, but rates of 208 and 214 kg N.ha-1 resulted in maximum yield under irrigation and rainfed conditions, respectively. The best result for oil yield had achieved with the application of 200 kg N ha-1, regardless of water regime.

Acknowledgements

Acknowledgements

Authors would like to thank to State University of West Paraná- UNIOESTE for releasing the first author to accomplish his Postdoctoral course at FCA/UNESP, the Adventist University of São Paulo, Campus Engenheiro Coelho-UNASP-EC, for providing field infrastructure, laboratories and staff, and the National Council for Scientific and Technological Development (CNPq) for the "Productivity in Research" Fellowships awarded to the first, third and last authors.

References

  1. Aghamohammadreza, M., Mirhadi, M.J., Delkhosh, B. & Omidi, A. (2013). Evaluation of native and exotic safflower (Carthamus tinctorius L.) genotypes for some important agronomic traits and fatty acid composition. Ann Biol Res4(6), 200-204. 🠔
  2. Bagheri, B. & Sam-Dailiri, M. (2011). Effect of water stress on agronomic traits of safflower spring (Carthamus tinctorius L.)Aust J Basic Appl Sci5(12), 2621-2624. http://ajbasweb.com/old/ajbas/2011/December-2011/2621-2624.pdf [URL] 🠔
  3. Dordas, C.H. & Sioulas, C.H. (2008). Safflower yield, chlorophyll content, photosynthesis and water use efficiency response to nitrogen fertilization under rainfed conditions. Ind Crop Prod27(1), 78-85. http://dx.doi.org/10.1016/j.indcrop.2007.07.020 [URL] 🠔
  4. Ebrahimian, A. & Soleymani, A. (2013). Growth length and dry matter yield in different stages of safflower as affected by nitrogen, phosphorus and potassium fertilizers. Int J Agron Plant Prod4(5), 963-969. 🠔
  5. Elfadl, E., Reinbrecht, C., Frick, C. & Claupein, W. (2009). Optimization of nitrogen rate and seed density for safflower (Carthamus tinctorius L.) production under low-input farming conditions in temperate climate. Field Crop Res114(1), 2-13. http://dx.doi.org/10.1016/j.fcr.2009.06.012 [URL] 🠔
  6. Eryigit, T., Aki§, R. & Kaya, A.R. (2015). Screening of different nitrogen rates and intra-row spacing effects on yield and yield components of safflower (Carthamus tinctorius L.) under microclimate conditions, Igdir Plain, Turkey. Can J Soil Sci95(1), 141-147. http://doi:10.4141/cjps-2014-188 [URL] 🠔
  7. Gholinezhad, E., Aynaband, A., Ghorthapeh, A.H., Noormohamadi, G. & Bernousi, I. (2009). Study of the effect of drought stress on yield, yield compo nents and harvest index of sunflower hybrid Iroflor at different levels of nitrogen and plant population. Not Bot Horti Agrobo37(2), 85-94. http://dx.doi.org/10.15835/nbha3723255 [URL] 🠔
  8. Hasanvandi, M.S., Aynehband, A., Rafiee, M., Mojad-am, M. & Rasekh, A. (2014). Effects of supplemental irrigation and super absorbent polymeron yield and seed quality of safflower (Carthamus tinctorius L.) under dry-farming conditions. Bull Env Pharmacol Life Sci3(12), 174-185. http://www.bepls.com/nov_2014/27f.pdf [URL] 🠔
  9. Miri, Y. & Bagheri, H. (2013). The evaluation of agro nomical traits in safflower cultivars under irrigation regimes. Int J Agron Plant Prod 4(1), 117-120. 🠔
  10. Omidi, A.H., Khazaei, H., Monneveux, P., and Stoddard, F. (2012). Effect of cultivar and water regime on yield and yield components in safflower (Carthamus tinctorius L.). Turk J Field Crops17(1), 10-15. 🠔
  11. Omidi, A.H. & Sharifmogadas, M.R. (2010). Evaluation of Iranian safflower cultivars reaction to different sowing dates and plant densities. World Appl Sci J8(8), 953-958 🠔
  12. Rastgou, B., Ebadi, A., Vafaie, A. & Moghadam, S.H. (2013). The effects of nitrogen fertilizer on nutrient uptake, physiological traits and yield components of safflower (Carthamus tinctorius L.). Int J Agron Plant Prod 4(3), 355-364. 🠔
  13. Sabbagh, L., Mahalleh, J.K., Roshdi, M. & Hosseini, N. (2012). Effect of nitrogen consuming and deficit irrigation on yield and some characteristic of saf-flower in relay cropping in Northwest of Iran. Adv Environ Biol6(2), 2674-2680. 🠔
  14. Sampaio, M.C., Santos, R.F., Bassegio, D., de Vas concelos, E.S., Silva, M. de A., Secco, D. & Silva, T.R.B. (2016). Fertilizer improves seed and oil yield of safflower under tropical conditions. Ind Crop Prod 94, 589-595. http://dx.doi.org/10.1016/j.indcrop.2016.09.041 [URL] 🠔
  15. Siddiqui, M.H. & Oad, F.C. (2006). Nitrogen require ment of safflower (Carthamus tinctorius L.) for growth and yield traits. Asian J Plant Sci5(3), 563-565. http://dx.doi.org/10.3923/ajps.2006.563.565 [URL] 🠔
  16. Strasil, Z. & Vorlicek, Z. (2002). The effect of nitrogen fertilization, sowing rates and site on yields and yield components of selected varieties of safflower (Carthamus tinctorius L.). Rost Vyroba48(7), 307-311. http://www.agriculturejournals.cz/publicFi-les/53775.pdf [URL] 🠔
  17. Taleshi, K., Shokoh-Far, A., Rafiee, M., Noormahamadi, G. & Sakinejhad, T. (2012). Safflower yield respond to chemical and biotic fertilizer on water stress con dition. World Appl Sci J 20(11), 1472-1477. http://dx.doi.org/10.5829/idosi.wasj.2012.20.11.1733 [URL] 🠔
  18. Vafaie, A., Ebadi, A., Rastgou, B. & Moghadam, S.H. (2013). The effects of potassium and magnesium on yield and some physiological traits of sa-fflower (Carthamus tinctorius)Int J Agric Crop Sci5(17), 1895-1900. http://ijagcs.com/wp-content/uploads/2013/08/1895-1900.pdf [URL] 🠔