Acta Agronómica
0120-2812
Universidad Nacional de Colombia Sede Palmira
https://doi.org/10.15446/acag.v67n1.64667

Recibido: 8 de mayo de 2017; Aceptado: 3 de julio de 2017

Nutrient contents in camu-camu plants (Myrciaria dubia (Kunth) McVaugh) fertirrigateds with different doses of nitrogen

Teores de nutrientes em plantas de camu-camu (Myrciaria dubia (Kunth) McVaugh) fertirrigadas com diferentes doses de nitrogênio

C. Abanto-Rodríguez, 1*E. Chagas, 2R. da Silva Siqueira, 3W. Araújo, 4L. Zborowski, 4C. Souza, 4R. Sakasaki, 4J. Lopes Monteiro-Neto, 4J. Sánchez-Choy, 5

Instituto de Investigaciones de la Amazonia Peruana-IIAP, Perú. Instituto de Investigaciones de la Amazonia Peruana Perú
Empresa Brasileira de Pesquisa Agropecuária, EMBRAPA, Roraima-Brasil. Empresa Brasileira de Pesquisa Agropecuária Roraima Brasil
Instituto de Educação, Ciência e Tecnologia do Amazonas, Campus Manaus Zona Leste (IFAM - CMZL), Brasil. Instituto de Educação, Ciência e Tecnologia do Amazonas Brasil
Universidade Federal de Roraima, UFRR, Brasil. Universidade Federal de Roraima Universidade Federal de Roraima Brazil
Universidad Nacional Intercultural de la Amazonia, UNIA, Perú. Universidad Nacional Intercultural de la Amazonia Perú

Author for correspondence: carforestal24@gmail.com

Abstract

Camu-camu (Myrciaria dubia (Kunth) McVaugh) is a native fruit tree, which is in domestication process, therefore, knowledge of nutritional needs is essential to improve the fertilization efficiency throughout plant development. The aim of this research was to determine the nutrient content of camu-camu plants as a function of nitrogen fertilization via fertirrigation in the first year of cultivation. An experiment was carried out in a randomized complete block design, with 5 treatments as follows: 0; 40; 80; 120 and 160 kg.ha-1 of N, eight replicates and seven plants per experimental unit. The evaluated variables were as follows: total dry matter and nutrient contents in camu-camu leaves. The results show total dry matter of camu-camu plants, which were performed a significant quadratic behavior in response to increasing N doses. In Fact, N doses greater than 128 kg.ha-1 aroused a depressive effects. In addition, leaf contents of N, K, and Ca, had achieved a significant quadratic response and highest concentrations were recorded between 113 and 115 kg of N.ha-1. On the other hand, micronutrients had a polynomial depressive behavior according to an increasing N doses. It can be concluded that nutrient foliar contents are adequate for the camu-camu plants development. In fact, N, Ca, K, Fe, Mn and B, were the most required nutrients. Micronutrients determined in leaves, corresponded to the following decreasing order: N> Ca> K> Mg> S> P> Mn> Fe> B> Zn> Cu, respectively.

Key Words:

Dry matter, micronutrients, nutrient balance (plants), plant development, plant nutrition.

Resumo

O camu-camu (Myrciaria dubia (Kunth) McVaugh) é uma fruteira nativa que está em processo de domesticação, portanto, o conhecimento das necessidades nutricionais é essencial para melhorar a eficiência da adubação durante seu desenvolvimento. O trabalho teve como objetivo determinar os teores de nutrientes em plantas de camu-camu em função da adubação nitrogenada via fertirrigação no primeiro ano de cultivo. O experimento foi conduzido mediante delineamento experimental em blocos casualizados, com 5 tratamentos: 0; 40; 80; 120 e 160 kg ha-1 de N, oito repetições e sete plantas por unidade experimental. As variáveis avaliadas foram a massa seca total e os teores de nutrientes nas folhas. Os resultados mostram que a massa seca total das plantas de camu-camu apresentou comportamento quadrático significativo em resposta às doses crescentes de N, sendo que doses maiores a 128 kg ha-1 propiciaram efeitos depressivos. Além disso, os teores foliares de N, K, Ca tiveram uma resposta quadrática significativa, sendo que as maiores concentrações foram registradas entre as doses de 113 e 115 kg de N ha-1. Por outro lado, os micronutrientes tiveram um comportamento polinomial depressivo de acordo com os incrementos das doses de N. Pode-se concluir que os teores foliares dos nutrientes estão dentro dos adequados para o desenvolvimento das plantas de camu-camu, e os nutrientes mais exigidos foram o N, Ca, K, Fe, Mn e B, e finalmente os teores de macro e micronutrientes determinados nas folhas responderam a seguinte ordem decrescente: N > Ca > K > Mg > S > P > Mn >Fe > B > Zn > Cu, respectivamente.

Palavras chave:

Massa seca, micronutrientes, equilíbrio de nutrientes (plantas), desenvolvimento de plantas, nutrição vegetal.

Introduction

In the world, Brazil is the second center of origin of tropical fruit species, followed by Southeast Asia, with only 44% of the 500 native fruit species. In fact, are being concentrated in the Brazilian Amazon, camu-camu due to its high content of vitamin C, reaching up to 7355 mg per 100 g of pulp (Chagas et al., 2015).

Currently, due to these nutritional qualities, is widely used by the gastronomic and pharmaceutical industries. The fruit tree is typical of humid tropical climate and is naturally found in the following countries: Peru, Colombia, Venezuela and Brazil, on the river banks, lakes, floodplains and flooded Amazon forest (Yuyama & Valente, 2011).

In the state of Roraima, extreme north of Brazil, the occurrence of native camu-camu populations is significant, but the fruit availability is not continuous due to its production being seasonal, that is, influenced by the edaphoclimatic factors (Abanto et al., 2016; Chagas et al., 2015). In addition, due to camu-camu is a species which is in the domestication process, little is known about the ideal conditions of planting on dry land, due to the lack of work aimed at this line of research (Viégas et al., 2004).

One of the most important aspects to consider for the species domestication is the knowledge of plant nutritional needs, as well as its response to the fertilizers application to promote an adequate vegetative and productive growth (Laviola & Dias, 2008).

One of the indicators to measure plant growth intensity is the production of dry mass, which is directly related and influenced by the nutrient content of leaves, fruits and other organs (Magolbo et al., 2015). Therefore, studies aiming at quantifying nutrient concentration in plant tissues are essential to know the plant nutritional requirements, being essential for a better fertilization management avoiding a fertilizers waste and excess as well as the detection of possible deficiencies during their plant development (Laviola & Dias, 2008).

Given these concerns, the aim of this research was to determine nutrient contents in fertirrigated camu-camu (Myrciaria dubia (Kunth) McVaugh) plants with different nitrogen (N) doses in the first year of cultivation in Boa Vista, Roraima, Brazil.

Materials and methods

The research was carried out from January to November, 2015, at the Experimental field Agua Boa of the EMBRAPA-RR in the municipality of Boa Vista, Roraima-Brazil, located at the geographic coordinates 02 ° 39'48.94'' north latitude and 60 ° 50'30.39'' west longitude and with an altitude of 90 m. The climate of the region, accordingly to Kõppen characterization, is Aw-rainy tropical, with annual averages of rainfall, relative humidity and temperature, of 1678 mm, 70% and 27.4°C, respectively (Araújo et al., 2001).

The soil of the experimental area was classified as yellow latosol and presents chemical atributes, which are expressed in Table 1 and were analyzed in the analysis laboratory of the National Research Institute of the Amazon (INPA), according to the Soil Fertility Laboratory of the Embrapa Western Amazon (Embrapa, 1997).

Table 1: Soil chemical attributes of Embrapa Boa Boa experimental field Roraima, Boa Vista-RR (2015).

* DTPA method*; hot water method **; ***OM: organic matter

The irrigation was performed by autocompensated drip system, driven by a motor pump, with automatic activation of the system through a RAIN BIRD(r) ("timer") control programmer. In this sense, a flow rate of the system was 6.8 l h-1 (3.4 L. h-1 per droplet dripper, which were spaced every 50 cm). For fertilizers injection %-inch venturi injector was used, operating at an injection rate of 150 L.h-1. >This provides more accurate and reliable estimates of the amount water applied, which was determined based on the reference evapotranspiration, estimated by the Class A tank.

The experiment was conducted in a randomized complete block design with five treatments as follows: T1-0; T2- 40; T3-80; T4-120 and T5-160 kg.ha-1 of N, respectively, with eight replicates and seven plants per experimental unit. The treatments were applied via fertirrigation for 40 weeks, and doses were divided every 10 weeks as follows: 10%; 20%; 30%; and 40% of the total corresponding treatment. The camu-camu culture was established using the spacing of 4 m among rows and 0.5 m between plants. At the end of the experiment, at 270 DAT, camu-camu plants were collected and transported to the Embrapa-Roraima sample preparation laboratory. In fact, the camu-camu roots were separated from the aerial part (branches and leaves) to be placed into a forced circulation oven at 60°C until constant weight. Subsequently, dry mass of the samples in grams was evaluated in terms of the following: dry leaf matter (DLM) and total dry matter (TDM). After this evaluation, samples were ground and milled in a Willey mill and sent to the Plant Nutrition Laboratory of the Federal University of Lavras (UFLA), Brazil, where nutrient contents were analyzed.

The data were submitted into analysis of variance and as observed significant effect of the treatments, the polynomial regression analysis (p<0.05) was carried out with the support ofthe SISVAR statistical software, accordingly to the methodology proposed by Ferreira (2014).

Results

Dry leaf matter (DLM) and total dry matter (TDM)

Dry leaf matter (DLM) and total dry matter (TDM) of camu-camu plants showed significant quadratic responses in relation to increasing N doses (Figure 1). It was observed that for TDM, the N dose of 128 kg.ha-1, provided the maximum value of 365.38 g, and for DLM, the N dose was 112 kg.ha-1, reached a maximum value of 60.50 g, respectively.

Effect of Ν doses on dry leaf matter (DLM) (g) and total dry matter (TDM) (g) of camu-camu plants.

Figure 1: Effect of Ν doses on dry leaf matter (DLM) (g) and total dry matter (TDM) (g) of camu-camu plants.

Macronutrient contents

N, K and Ca nutrient contents in leaves varied with N rates and showed a quadratic polynomial behavior, similar to that found for total dry matter of camu-camu plants (Figures 2a, 2c, 2d). The maximum leaf contents of N, K and Ca were 22.08; 7.07 and 10.32 g.kg-1 in response to N doses of 114, 113 and 115 kg.ha-1, respectively.

The leaf contents of P, Mg and S had achieved a non-significant linear response (Figures 2b, 2e, 2f). The mean leaf content of P, Mg and S was 1.6; 2.46 and 1.87 g.kg-1, respectively.

Micronutrient contents

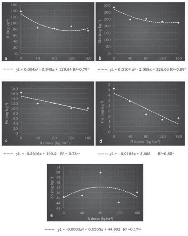
B and Mn concentration in camu-camu leaves had achieved a significant quadratic depressive response in relation to increasing N doses (Figures 3a, 4b). The maximum B content was 129.84 mg.kg-1, which reached in camu-camu plants without nitrogen fertilization, decreasing up to 81.4 mg.kg-1 at the N dose of 120 kg.ha-1 (Figure 3a) and Mn (Figure 3b) ranged from 326.63 mg.kg-1 without nitrogen fertilization to 221.00 mg.kg-1 at the N dose of 160 kg.ha-1.

Alternatively, Fe and Zn leaf contents had achieved a non-significant linear response, differing from the response found for Cu content, which showed a significant relation to increasing N doses (Figures 3c, 3e, 3d). The mean leaf contents of Fe and Zn, were 117.5 and 46.78 mg.kg-1, respectively (Figure 3c). Regarding Cu content, a decrease of 3.67 mg.kg-1 to 0.72 mg.kg-1 was observed with increasing N doses (Figure 3d).

Effect of Nitrogen doses applied via fertirrigation on N (a), P (b), Κ (c), Ca (d), Mg (e) and S (f), contents of camu-camu leafs with 270 days after planting (DAP). 1.87 g.kg-1, respectively.

Figure 2: Effect of Nitrogen doses applied via fertirrigation on N (a), P (b), Κ (c), Ca (d), Mg (e) and S (f), contents of camu-camu leafs with 270 days after planting (DAP). 1.87 g.kg-1, respectively.

Effect of Nitrogen doses applied via fertirrigation on Β (a), Mn (b), Fe (c), Cu (d) and Zn (e), contents on camu-camu leaves with 270 days after planting (DAP).

Figure 3: Effect of Nitrogen doses applied via fertirrigation on Β (a), Mn (b), Fe (c), Cu (d) and Zn (e), contents on camu-camu leaves with 270 days after planting (DAP).

Discussion

Dry leaf matter (DLM) and total dry matter (TDM)

It can be stated that camu-camu plants showed good development until the N dose of 128 kg.ha-1, since larger amounts promoted depressive effects for the two analyzed variables (Figure 1), which was observed by Brito et al. (2007), when working with high N doses in sapoti plants (Manilkara zapota (Acbras zapota L.) and by Dias et al. (2012), in guava (Psidium guajava L.) plants cultivated in commercial nursery.

These effects occur accordingly to Dechen & Nachtigall (2006), by raising an osmotic pressure of the culture medium, which causes a root system damage, thus hampering the nutrient uptake, which soon compromise the aerial part development. Another factor was soil acidification by the urea [CO(NH2)] use in high doses due to urea breakdown, which releases H+ and causes plant toxicity by biuret excess during the nitrification process of the urea.

Macronutrient contents

In general, as N doses increased, N, K and Ca nutrient uptake also significantly increased. However, ranged among 90 to 120 kg.ha-1, nutrient absorption remained in the range of luxurious uptake. In this specific case, accordingly to Silva et al. (2014), plants are able to absorb nutrients but do not respond in growth.

Presumably, from 120 kg.ha-1 of N applied, there was a decrease in plant growth (Figure 2). Accordingly to Maia (2012), after the maximum efficiency of N dose, continues to plant uptake and the content of this nutrient continues an increasing in plant tissue, which causes toxicity or an induced deficiency of other nutrients, such changes may reflect a visual symptoms of plant toxicity or a nutritional imbalance, which were observed in this research (Figures 4a, 4b).

In this case, Araújo & Machado (2006), indicate the N dose must be well balanced in relation to the quantity of other elements, which plant needs, mainly phosphorus and potassium. Therefore, the K dose of 40 kg.ha-1, may not enough to maintain an adequate nutritional balance.

Camu-camu plants with and without symptoms of toxicity with doses of N, a) with plant toxicity; b) without plant toxicity.

Figure 4: Camu-camu plants with and without symptoms of toxicity with doses of N, a) with plant toxicity; b) without plant toxicity.

Therefore, in the present study, the leaf content of N is higher than those reported by Viégas et al. (2004), who worked with camu-camu seedlings under greenhouse conditions (16.9 to 18.2 g.kg-1 of N) and those found by Esashika, Oliveira & Moreira (2011), working with organic, mineral and leaf fertilization on adult camu-camu plants (18 g.kg-1 of N).

As a result, it has long been thought that these leaf content of K was higher than those reported by Viégas et al. (2004), who showed levels between 5.2 a 6.0 g.kg-1 and also to those observed by Esashika et al. (2011), who worked with mineral fertilizer (6.05 g.kg-1 of K). Nevertheless, the result of Ca is within those suitable for camu-camu plants, since the ideal range for foliar contents of this nutrient is from 7.1 g.kg-1 (Viégas et al., 2004) to 11.7 g.kg-1 (Esashika et al., 2011).

This study evaluated the effects of N doses in camu-camu plants and provides more accurate and reliable estimates that there was no antagonistic interaction between N and Ca up to N doses of105 kg.ha-1, since from higher N doses, there was a decrease in Ca levels in camu-camu plants. These results are comparable in variability to the report by Amorim et al. (2015), who worked with mineral nutrition in guava (Psidium guajava L.) plants, where Ca concentrations in leaves increased with increasing N doses.

With regard to P, Mg, and S, is believed to be an outcome of fertilizations with P, Mg and S, which did not promote modifications in the foliar contents of these nutrients. Therefore, accordingly to Amorim et al. (2015), the leaf contents are not directly related to nutrient concentrations in soil, but rather implies an effect of the interaction with nitrogen fertilization. This may be related to the higher nitrogen uptake in relation to P, Mg and S or due to the dilution effect caused by a faster growth of fertilized camu-camu plants with higher N doses.

P content is within those indicated by Viégas et al. (2004), for camu-camu plants (1.2 and 1.9 g.kg-1 of P). Ortega & Malavolta (2012), assure that there is a synergy between N and P contents, and there is a positive effect on P concentration in the leaves as a result of nitrogen fertilization under satisfactory conditions of mineral nutrition.

Accordingly to the results of Mg, it can be affirmed that the urea application did not negatively influence Mg content. Accordingly to Ortega & Malavolta (2012), nitrogen fertilizer applications reduce the symptoms of Mg deficiency as well as an increasing in Mg content of leaves. Accordingly to Viégas et al. (2004), the foliar contents suitable for Mg are between 1.4 and 3.6 g.kg-1. A possible explanation for this, is the value found in this research, which met the adequate quantities demanded by camu-camu plants, being still higher than those found by Esashika et al. (2011).

In relation to leaf content of S is lower than those verified by Viegas et al. (2004), who worked with mineral fertilization on camu-camu seedlings (2.4 and 2.8 g.kg-1). Based on the S content found in this study, it can be stated that the applied amount was not adequate to meet the needs of camu-camu plants. However, Ortega & Malavolta (2012), point out that the interaction of N and S occurs in the form of synergism, that is, the efficiency of sulfate fertilizer absorption by crops can be maximized by the presence of nitrogen and vice versa.

Micronutrient contents

In relation to the foliar contents of B and Mn, can be inferred that there was a decreasing in these micronutrient concentrations due to a greater dilution of these nutrients in the plant tissue and an increasing of biomass production. This effect is characterized when a relative growth rate of dry mass is higher than a relative absorption rate of the nutrient (Silva et al., 2014).

Concerning to B content, Viégas et al. (2004), assure that an adequate B content for camu-camu plants is ranged from 8.4 to 9.5 mg.kg-1, which a lower concentration is found in this research. In this sense, Dechen & Nachtigall (2006), assert that B deficiency in plants, present a lower leaf concentrations of 15 mg.kg-1, evidencing that the evaluated plants by Viégas et al. (2004), had achieved a deficiency in this nutrient.

As for the interaction between B and N, Ortega & Malavolta (2012), cite these nutrients and argue some degree of synergism, since an adequate nutrition with B, is necessary for the maintenance of root nutrient absorption due to their direct contribution to a structural integrity and functional properties of the cell membranes in the root system.

The leaf contents of Mn, cited in this study are higher than those reported by Esashika et al. (2011), who worked with Organic, mineral and foliar fertilization in camu-camu plants (131 mg.kg-1 of Mn), but verified values are within those suitable for plant nutrition accordingly to Dechen & Nachtigall (2006), who consider an adequate concentrations between 20 and 500 mg.kg-1. However, Mn levels linked to plant toxicity, are observed in plants established in lowland soils under flooding and an inadequate irrigation, since the availability of Mn2+ is favored under these conditions (Dechen & Nachtigall,2006).

Conversely, Fe content was also higher than those found by Esashika et al., (2011), when registering 66 mg.kg-1 of Fe in camu-camu plants with mineral fertilization. Fe contents found in this study, are suitable for plant development, once Dechen & Nachtigall (2006), mention that Fe deficiency in plants, present leaf concentrations lower than 10 mg.kg-1. This demonstrates that camu-camu plants is demanding in Fe and this nutrient was adequately supplied by soil fertirrigation system. In addition, Ortega & Malavolta (2012), maintain that Fe and N contents, show synergism and when these are applied together in adequate doses, the effect on plant production is better than when applied separately.

The leaf content of Cu determined in this research is not considered adequate for plants accordingly to Dechen & Nachtigall (2006), due to leaf concentrations lower than 4 mg.kg-1 demonstrates a deficiency of this element. On the other hand, concentrations above 20 mg.kg-1 of Cu, generate symptoms of plant toxicity, which is a factor to be considered in this study. However, regarding to N excess, Ortega & Malavolta (2012), mention that Cu and N, present antagonism, since one of them can decrease the absorption of the other and vice versa.

The leaf content of Zn verified in this research, was superior to that determined by Esashika et al. (2011), in camu-camu leafs (24 mg.kg-1), who worked with organic, mineral and foliar fertilizers. Dechen & Nachtigall (2006), consider that leaf contents less than 25 mg.kg-1 are plant-deficient. With the obtained results, can be verified that Zn leaf contents were not affected by N doses, corroborating with Ortega & Malavolta (2012), who affirm that there is a synergism among these nutrients.

In this research, foliar nutrient contents in the camu-camu plants obeyed to the following decreasing order: N> Ca> K> Mg> S> P> Mn> Fe> B> Zn> Cu, respectively. These results are similar to those found by Esashika et al. (2011) and Viegas et al. (2004). However, they were higher than those found by the authors. Thus, it is stated that the amounts of fertilizer applied in the conduction of the work were enough to establish an adequate plant nutrition program for camu-camu plants up to the maximum efficiency of N dose.

In addition, another factor to consider is the fertirrigation system used, since it provided favorable conditions for higher nutrient absorption as a function of the application in the area of higher root concentration (Eloi et al., 2007).

Among the micronutrients most required for the initial development of camu-camu plants, the most outstanding are Fe, Mn and Zn, respectively, demonstrating that inadequate supply of these nutrients can contribute to a reduction in plant development. In relation to B, this step was not finally required. However, it is expected that in the flowering stage, the concentration of this nutrient is higher, as it occurs in other fruit trees (Laviola & Dias, 2008).

Conclusions

Nitrogen doses higher than 128 kg.ha-1 cause a decrease in the biomass of camu-camu plants in the initial phase of plant growth.

The amounts of fertilizer applied to the ca-mu-camu plants were enough to establish an adequate plant nutrition, up to the maximum efficiency of N doses. The nutrient contents are adequate for an adequate plant development of camu-camu plants in the first year of cultivation. The macro and micronutrients determined in the leaves were as follows: N> Ca> K> Mg> S> P> Mn> Fe> B> Zn> Cu, respectively.

Acknowledgements

Acknowledgments

The authors express their thanks to the Coordination of the improvement of personnel of higher level-CAPES, to National Council for Scientific and Technological Development-CNPq and the Brazilian Agricultural Research Corporation, Embrapa-Roraima, Brazil by economic funding for the research development and also to Universidade Federal de Roraima-Brazil, by the valuable support in the academic formation of the first author.

References

  1. Abanto-Rodríguez, C., Alves-Chagas, E., Costa-Silveira de Albuquerque, T., Tadashi-Sakazaki, T., Farias-Araújo, W. & da Silva-Chaves, J. (2016). Early growth of camu-camu plants with nitrogen fertilization through fertirrigation. Scientia Agropecuaria7(4), 367 - 376. http://dx.doi. org/10.17268/sci.agropecu.2016.04.02 [URL] 🠔
  2. Amorim, A. D., de Souza, A. H., Rozane, E. D., Montes, M. R. & Natale, W. (2015). Adubação nitrogenada e potássica em goiabeiras 'paluma': ii. Efeito no estado nutricional das plantas. Rev Bras Frutic Jaboticabal - SP37(1), 210-219. http://dx.doi.org/10.1590/0100-2945-052/14 [URL] 🠔
  3. Araújo, F.W., Costa, A. A. S. & Santos, E.A. (2001). Comparação entre métodos de estimativa da evapotranspiração de referência (ETO). Caatinga20(4), 84-88. 🠔
  4. Araújo, A. P. & Machado, C.T.T. (2006). Fósforo, In: Fernandes, M.S.(Ed.) Nutrição mineral de plantas. Viçosa: SBCS. pp. 253-280. 🠔
  5. Brito, C.C., Mendonça, V., Medeiros, P.Q.V., Tosta, M. S. & Medeiros, F.L. (2007). Adubação nitrogenada em cobertura na produção de porta-enxertos de sapotizeiro [Manilkara Zapota (L.) VON ROYEN]. Revista Agropecuária Científica do Semi-Árido3, 8-13. http://revistas.ufcg.edu.br/acsa/index.php/ACSA/article/viewFile/25/pdf [URL] 🠔
  6. Chagas, E.A., Lozano, R.M.B., Chagas, P.C., Bacelar-Lima, C.G., García, M. I. R., Oliveira, J.V., Souza, O.M., Morais, B.S. & Araújo, M.C.R. (2015). Intraspecific variability of camu-camu fruit in native populations of northern Amazonia. Crop Breed Appl Biotechnol15(4), 265-271. http://dx.doi. org/10.1590/1984-70332015v15n4a44 [URL] 🠔
  7. Dechen, A. R. & Nachtigall, G. R. (2006). Micronutrientes. In: FERNANDES, M. S. (Ed.) Nutrição mineral de plantas . Viçosa: Sociedade Brasileira de Ciência do Solo. Cap. 13. pp. 327-354. 🠔
  8. Dias, M. J. T., Souza, H.A., Nata le, W., Modesto, V.C. & Rozane, D.E. (2012). Adubação com nitrogênio e potássio em mudas de goiabeira em viveiro comercial. Semina: Ciências Agrárias33, (supl. 1), 2837-2848. 🠔
  9. Eloi, W. M., Viana, T.V.A., Sousa, V. F., Andrade Junior, A.S. & Azevedo, B.M. (2007). Efeitos da fertirrigação de N e K2O na distribuição do sistema radicular da gravioleira. Caatinga 20(2), 50-58. http://www.redalyc.org/articulo. oa?id=237117548008 [URL] 🠔
  10. EMBRAPA-Empresa Brasileira De Pesquisa Agropecuária. (1997). Manual for methods of soil analysis. National Service for Soil Survey and Soil Conservation (Eds.) Rio de Janeiro, Brazil. 212p. 🠔
  11. Esashika, T., Oliveira, L. A. & Moreira, F. W. (2011). Teores foliares de nutrientes em plantas de camucamuzeiro (Myrciaria dubia (H.B.K.) McVaugh) submetidas a adubações orgânica, mineral e foliar. Revista Brasileira de Ciências Agrárias6(3), 391-400. http://dx.doi.org/10.5039/agraria.v6i3a820 [URL] 🠔
  12. Ferreira, D. F. (2014). Sisvar: a guide for its bootstrap procedures in multiple comparisons. Ciênc agrotec38(2),109-112. http://dx.doi.org/10.1590/S1413-70542014000200001 [URL] 🠔
  13. Laviola, G. B. & Dias, A. L. (2008). Teor e acúmulo de nutrientes em folhas e frutos de Pinhão-Manso. R Bras Ci Solo32,1969-1975. http://www.scielo.br/ pdf/rbcs/v32n5/18.pdf [URL] 🠔
  14. Magolbo, A. L., Carmo, L.E., Garcia, L.E., Fernandes, M. A. & Leonel, M. (2015). Dry matter accumulation and mineral nutrition of arracacha in response to nitrogen fertilization. Pesq Agropec Bras50(8), 669-680. http://dx.doi.org/10.1590/S0100-204X2015000800005 [URL] 🠔
  15. Maia, E. C. (2012). Época de amostragem Foliar para diagnóstico nutricional em Bananeira. R Bras Ci Solo 36(3), 859-864. http://dx.doi.org/10.1590/S0100-06832012000300016 [URL] 🠔
  16. Ortega, A. E. & Malavolta, E. (2012). Los más recientes micronutrientes vegetales. Informaciones Agronómicas de Hispanoamérica, Georgia7(1), 16-25. http://www.ipni.net/publication/ia-lacs.f/0/232B901BB70122F985257A80005228D7/$FILE/16.pdf [URL] 🠔
  17. Pinedo, P.M., Delgado, V.C., Farroñay, P.R., Imán, C.S., Villacrés, V.J., Faching, M.L., Oliva, C.C., Abanto, R.C., Bardales, L.R. & Veja, V.R. (2010). Camu-Camu (Myrciaria dubia - Myrtaceae): Aportes para su Aprovechamiento Sostenible en la Amazonía Peruana. (1ed), IIAP, Iquitos, Perú. 130p. 🠔
  18. Silva. T., V.M., Nogueira, P. F., Oliveira, L. F., Chaves, P. W. S. & Medeiros, F. J. (2014). Teores de macronutrientes em melancias fertirrigadas com diferentes doses de nitrogênio e potássio. Revista Verde 9(1), 279 - 286. http://www.gvaa.com.br/revista/index.php/RVADS/articleview/2802/2311 [URL] 🠔
  19. Teixeira, L.A.J., Natale, W. & Martins, A. L. M. (2007). Nitrogênio e potássio via fertirrigação e adubação convencional - estado nutricional das bananeiras e produção de frutos. Revista Brasileira de Fruticultura29(1), 153-160. http://dx.doi. org/10.1590/S0100-29452007000100032 [URL] 🠔
  20. Viégas, M. I., Thomaz, A. A. M., da Silva, F. J., Conceição, O. E. H. & Naiff, M. P. A. (2004). Efeito da omissão de macronutrientes e boro no crescimento, nos sintomas de deficiências nutricionais e na composição mineral de plantas de camucamuzeiro. Rev Bras Frutic, Jaboticabal - SP26(2), 315-319. http://www.scielo.br/pdf/rbf/v26n2/21833.pdf [URL] 🠔
  21. Yuyama, K. & Valente, J. P. (2011). Camu-Camu, Myrciaria dubia (Kunth) Mc Vaugh. 1ed. Curitiba-Brasil. 216 p. 🠔