Acta Agronómica
0120-2812
Universidad Nacional de Colombia
https://doi.org/10.15446/acag.v67n3.65325

Recibido: 29 de mayo de 2017; Aceptado: 21 de enero de 2021

Byrsonima crassifolia seedlings growth on ground basalt rock

Crecimiento de plántulas de Byrsonima crassifolia en roca basáltica

V. Ferreira-Melo, 1 M. Keiko-Welter, 2 E. Alves-Chagas, 3 S. Pereira-Uchôa, 1 R. da Silva-Siqueira, 1

Universidade Federal de Roraima (UFRR), Roraima, Brazil. valdinar@yahoo.com; sandra.uchoa@ufrr.br; raphael_manejosolo@hotmail.com Universidade Federal de Roraima Universidade Federal de Roraima Roraima Brazil
Instituto Federal de Educação, Ciência e Tecnologia de Roraima. Roraima, Brazil. mar.kw_yassue@hotmail.com Instituto Federal de Educação, Ciência e Tecnologia de Roraima Instituto Federal de Educação, Ciência e Tecnologia de Roraima Roraima Brazil
Empresa Brasileira de Pesquisa Agropecuária (EMBRAPA). Brazil. edvan.chagas@embrapa.br Empresa Brasileira de Pesquisa Agropecuária Empresa Brasileira de Pesquisa Agropecuária Brazil

Abstract

Ground basalt rock may represent a labile reservoir of nutrients, providing a low-cost, nutrient-rich substrate for seedling formation and plant growth. The study aimed to evaluate the development of a native plant murici [Byrsonima crassifolia (L.) H.B.K.] seedlings using two different application rates of ground basalt rock with two particles sizes. The experiment was performed in a greenhouse, in which treatments were arranged in a random block design with five replications in a factorial scheme (2 x 5 + 1), with five doses of finely ground basaltic rock (0.42; 1.04; 2.08; 4.17 and 8.33 g kg-1), two grain sizes (G1Ø < 0.05 and G2 Ø < 0.10 mm mesh), and a treatment with soil without rock powder addition (the control 0.0 g kg-1 of rock powder). The seedlings were cultivated in substrate incubated for 120 days with the ground basaltic rock. Six months after the seedlings were planted variables involving growth and nutrient content variables were evaluated. Grain size affected nutrient availability from finely ground rock (Ca, Mg, Fe, and Zn). The growth of murici seedlings linear increase with ground basaltic rock application rates, with better results when a 0.05 mm grain size was used.

Keywords:

alternative fertilizers, native fruit, Byrsonima crassifolia, rocks for crops.

Resumen

La roca de basalto molida puede representar un depósito lábil de nutrientes, proporcionando un sustrato rico en nutrientes para la formación de plántulas y el crecimiento de las plantas. El objetivo de este estudio fue evaluar el desarrollo de una plántula murci [Byrsonima crassifolia (L.) H.B.K.] con dos tipos diferentes de rocas basálticas con dos tamaños de partículas. El experimento se realizó en invernadero, en el cual los tratamientos se realizaron en bloques al azar con cinco repeticiones en un esquema factorial (2 x 5 + 1), con seis tasas de roca basáltica finamente molida (0.0; 0.42; 1.04; 2.08; 4.17 y 8.33 g kg-1) y dos tamaños de grano (G1 Ø <0.05 y G2 Ø < 0.10 mm de malla). La tasa 0.0 corresponde a una muestra de suelo sin adición de roca molida (el control). Las plántulas se cultivaron en sustrato incubado durante 120 días con la roca basáltica molida. Seis meses después de plantar las plántulas se evaluaron las variables de crecimiento y contenido de nutrientes. El tamaño del grano afectó la disponibilidad de nutrientes de rocas finamente molidas (Ca, Mg, Fe y Zn). El crecimiento de las plántulas de murici aumenta linealmente con las tasas de aplicación de la roca basáltica, con mejores resultados cuando se utilizó un tamaño de grano de 0.05 mm.

Palabras claves:

fertilizantes alternativos, fruta nativa, Byrsonima crassifolia, rocas para cultivos.

Introduction

Native savanna Byrsonima species are popularly known by the name of ‘murici’. They are widely distributed throughout Brazil. Murici has multiple uses and functions, and has been used ranging from medicinal functions and food (Higuchi et al., 2008). The fruits are consumed in the form of juice, jam and liqueur, and traditional population uses the leaf extract to treat gastric diseases due to the presence of five phenolic compounds that show anti-ulcerogenic properties (Sannomiya et al., 2004). All these properties justify research aiming to improve the production system of this native fruit shrub.

The murici shrub grows in acid, low fertility soils, but little is known about its nutritional requirements in natural habitat. Generally, native fruit plants have not been used in production systems, and little efforts have been made yet to propagate and cultivate them.

Seedling formation is a crucial stage in the production process and may enable farmers to obtain, in nurseries, murici plants that are able to withstand adverse field conditions. Significant increases in the quality of seedlings can be achieved by adequate fertilization in order to preserve their unique characteristics and to improve their survival in the field (Barbosa et al., 2003).

An ecological alternative to increase nutrient soil availability is to use natural substrates, such as ground basalt rock. It is a product obtained by the simple processing of rock material that has lower, long-term solubility, which makes plant nutrients available for a longer time compared with conventional fertilizers (Welter et al., 2011).

One of the reasons for their effective use is that the rock mineral dissolution rates and reactions between the mineral surfaces and soil solution are speeded up by high temperature and rainfall. Applying ground rock on the soil may increase soil weathering rates and nutrient release (Van Straaten, 2006).

The efficiency of finely ground rock is dependent on the time of contact with the soil and its grain size. The larger the specific surface of the rock powder, the greater the dissolution and exchange reaction of the nutrient with the soil solution (Harichane, 2012).

The basalt powder is abundant in the mining of the Apoteri geological formation close to Boa Vista; it has low cost and has been used randomly by producers of ecologically-based agriculture from Boa Vista.

Considering the lack of information and availability of appropriate substrates for native fruit plants in the Amazon (Alves Chagas et al., 2013), the long time needed to produce murici seedlings under nursery conditions, and the efficient extraction of nutrients from this species, we assumed that the use of ground basaltic rock in the substrate could favor the nutrients uptake, supplying part of their nutritional requirements with low cost.

Based on this assumption and the relevance of producing scientific information regarding the propagation of the murici shrub, this study aimed at evaluating different applications of doses from ground basalt rock with two grains sizes as an alternative nutrient source for the development of murici seedlings.

Material and methods

The experiment was set up in a greenhouse in the agricultural sciences center of UFRR, Roraima, in northern Amazonia, Brazil. The murici fruits were collected from plants found in the native savanna environment, and the mature-homogeneous sized fruits were selected in the banks of the Cauamé river (Boa Vista, Roraima). To separate the seeds, the fruits were washed in running water to completely remove the pulp. The seeds were sterilized with sodium hypochlorite and water solution at a ratio of 1:4 for 15 minutes. Following this, they were dried in shaded, ventilated environment for 30 h, in order to reduce humidity.

The experimental design used was random blocks, with five replications, in a factorial scheme (2 x 5+ 1): two grain sizes (G1 Ø < 0.05 mm and G2Ø 0.10 mm), five doses of ground basalt (D2=0.42; D3=1.04; D4=2.08; D5=4.17; and D6=8.33 g kg-1), and a treatment with soil without rock powder addition (the control, D1=0.0 g kg-1 of rock powder).

The basaltic rock was obtained from the Apoteri Formation from Nova Olinda rock quarry, Boa Vista, Roraima. Rock was fragmented with a pedologic hammer and put through a ball mill and sieved in a vibratory sieve separator to obtain the two grain sizes used in this experiment (0.10 and 0.05 mm). The total content of nutrients of basalt powder was chemically analyzed by plasma spectrophotometry (Table 1).

Table 1: Trace element contents* in powdered basalt samples. Mean values ± standard deviation (n=3).

* USEPA 3052 method. **Values preceded by sign < refer to the quantification limit of the analytic method.

Black polyethylene pots were filled with 15 kg of substrate composed by 20 % of vermicompost and 80 % of local soil. The soil was collected at a depth of 0-20 cm, located in Cauamé Campus of the Federal University of Roraima. The soil is classified as Typic Hapludox (Soil Taxonomy) and Geric Xanthic Ferralsol, medium texture (Cunha dos Anjos and Shad, 2018) with the following characteristics: pH 4.8; 15.0 mg dm-3 K; 1.10 mg dm-3 P; 0.08 cmolcdm-3 Ca + Mg; 0.60 cmolcdm-3 Al3+; 2.16 cmolcdm-3 H+Al; 0.20 cmolcdm-3 SB; 2.70 cmolcdm-3 T; 0.7 % CO; Clay 302 g kg-1; Silt 74 g kg-1; Sand 624 g kg-1 (Embrapa, 1999). The vermicompost was analyzed and characterized according to Embrapa (1999), with the following total concentrations of macronutrients (%): K = 0.32, P = 0.24, N = 1.68, Ca = 0.60, Mg = 0.26, micronutrients (mg kg-1) Fe = 1522, Zn = 246, and C = 23.24 %. The C/N ratio was 13.83.

During the substrate preparation, the ground rock doses were applied according to each treatment. In addition, the equivalent to 0.058 g kg-1of P2O5 was applied to each pot in the form of superphosphates because the rock has very low P content. The pots were incubated for 120 days (January to April) keeping a moisture 80 % of the field capacity.

In order to prepare the seedlings, seeds were germinated in 125 cm3 tubes, containing the mixture of sawdust powder and sand as substrate, at a volumetric proportion of 2:1. Two seedlings were transplanted per pot, and after eight days they were thinned out leaving only the most vigorous seedling, with a total of five plants per experimental unit. The pots were irrigated daily to maintain moisture close to 80 % of the field capacity. The temperature variation was from 23 to 37 °C, and the humidity variation was from 65-85 %, with average of 78 %.

After six months, before the plants were harvested the following variables were determined: height ALT (cm), using a ruler from the substrate level to the tip of the last apical bud; diameter of the root collar DM (mm) determined at the level of the substrate with the help of a digital caliper ruler. The plants were harvested by cutting the aerial part flush with the soil. In order to obtain the roots, the substrate was transferred to the 2 mm mesh sieve and washed with water until the roots could be completely separated from the soil, and measured. The biomass of the aerial part and roots were placed in paper bags, dried, with forced air circulation at 65 ºC for 72 hours, and, using an analytical balance the dry biomass of the aerial part, dry biomass of roots and total dry biomass were determined. The following ratios were determined: root dry biomass and dry biomass of the aerial part (DBR/DBAP), height of the aerial part and root collar diameter (ALT/DM), height of the aerial part and dry biomass of the aerial part (ALT/DBAP). In addition, the Dickson Quality Index (DQI) (Dickson et al., 1960) was measured. The DQI is a tool to evaluate seedling quality as a function of total dry matter (TDM), shoot height (SH), stem base diameter (SBD), shoot dry matter (SDM) sum of stem base dry matter and leaf dry matter and root dry matter (RDM), define as [BST/(ALT/DM) + (BSPA/BSR)].

The concentration of nutrients in the aerial part were determined using young leaves and branches of three plants from each treatment. This material was dried by forced air circulation oven at 65 ºC for 72 hours and the biomass was determined using an analytic balance (with four decimals). The mass obtained was added up to the mass of the DBAP and ground in a mill to determine nitrogen (N), phosphorus (P), potassium (K), Calcium (Ca), magnesium (Mg), iron (Fe), and zinc (Zn) concentrations in the dry matter after a nitropercloric digestion. The nutrient uptake was calculated by multiplying the quantity of dry mass by the nutrient content of the aerial part for each treatment, expressed in percentages.

The Sisvar statistic program was used for data analysis (Ferreira, 2011). The data were analysed using ANOVA at p≤ 0.05. A regression analysis was performed at an acceptance of p≤ 0.10. The choice of model for each variable was based on the significance of the parameters and on the R2 values.

Results

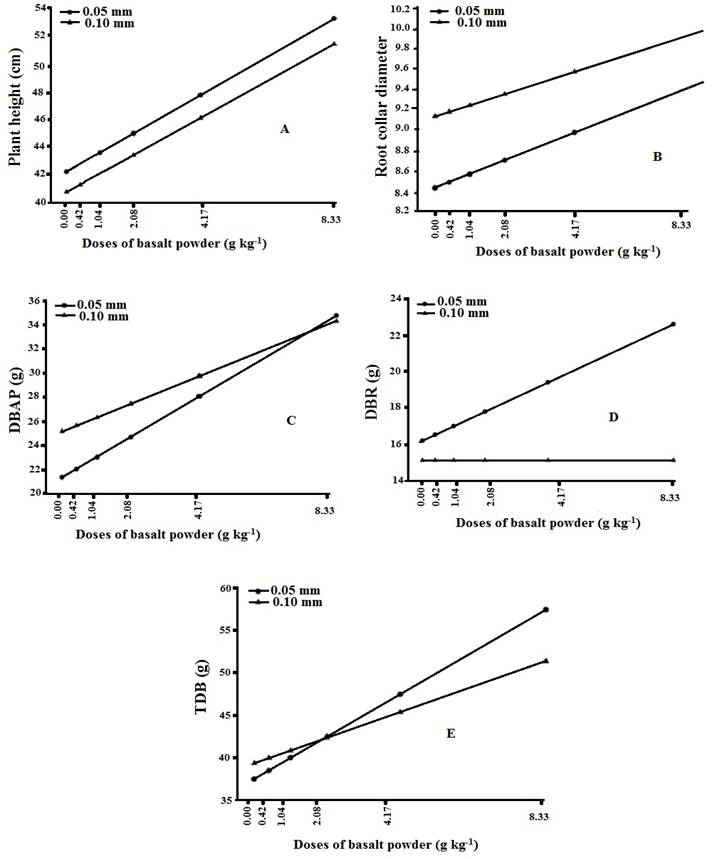
The positive linear model provided the best fit for the behavior of the variables in response to the basalt powder application rates (Figures 1 and 2). For some treatments for the Ø < 0.10 mm grain size, the adjusted models were not significant (p≥ 0.10), and the dependent variable was equal to the mean of the observations (Figures 1d, 2c and 2d).

Plant Height, root collar diameter, dry biomass of the aerial part (DBAP), root dry biomass (RDB) and total dry matter (TDB) of murici seedlings subjected to doses of basalt powder.

Figure 1: Plant Height, root collar diameter, dry biomass of the aerial part (DBAP), root dry biomass (RDB) and total dry matter (TDB) of murici seedlings subjected to doses of basalt powder.

Plant Height, root collar diameter, dry biomass of the aerial part (DBAP) and Dickson quality index (DQI) in murici seedlings subjected to doses of basalt powder.

Figure 2: Plant Height, root collar diameter, dry biomass of the aerial part (DBAP) and Dickson quality index (DQI) in murici seedlings subjected to doses of basalt powder.

With a grain size of Ø < 0.05 mm, the efficiency of growth in murici seedlings was increased, except for DM (Figures 1a-1e). However, the difference between the range of the DM values (8.43-10.00 mm), in the two grain sizes was equal to 1.57 mm (Table 1).

The application rates and grain sizes significantly affected DBAP. A positive response was observed with the Ø < 0.10 mm grain size up to the application rate of 7.41 g kg-1. From this rate onwards, there was a better response to the application of < Ø 0.05 mm. It was also observed that the growth rate of DBAP at Ø < 0.05 mm was higher than at Ø < 0.10 mm, according to the angular coefficient of the straight lines (Figure 1c), and was more efficient at converting doses of basalt powder into biomass (50.53%) (Table 2).

Table 2: Regression equation, determination coefficient, efficiency and increments based on the doses of basalt powder at two grain sizes 0.05 and 0.10 mm, for murici seedlings.

.. ALT: Plant height (cm); DM: diameter of root collar (mm); DBAP: dry biomass of the aerial part (g per plant); TDB: total dry biomass (g per plant); 2.. {[(Mean value of the variable at the maximum response dose x 100) / (mean value of the variable at dose 0 g kg-1)]-100)}; For the linear model 200 g kg-1 was the dose used for maximum response; 3.. Difference between the value of the variable for a higher (X = 8.33 g kg-1) and lower dose and (X = 0 g kg-1).

The lowest DBAP using the Ø < 0.05 mm grain size of the finely ground basalt at the initial application rate may be related to the greater development of DBR. DBR at Ø < 0.05 mm increased in a linear mode as the application rates increased. This differed from DBR using Ø < 0.10 mm, which did not show any doses response (Figure 1d). Basalt application rates favored root development, a key factor for seedling development. Higher rates of basalt powder conversion into mass for TDB were found at Ø < 0.05 mm (Figure 1e). With higher basalt application rates, the increases in TDB were 57.38 and 51.34 g per plant, with increments of 52.81 and 30.84 %, for grain sizes of Ø < 0.05 and Ø < 0.10 mm (Table 2), respectively.

The ALT/DBAP ratio did not vary with the application rate using the Ø < 0.10 mm grain size, and decreased linearly at Ø < 0.05 mm (Figure 2b). At the 6.91 g kg-1 doses the plants presented the same ALT/DBAP ratio, indicating that greater availability of basalt powder reduces the ALT/DBAP ratio.

The DBAP/DBR ratio of the plants developed in the substrate with Ø < 0.10 mm was not affected by the application rates, with a mean of 1.85 (Table 2 and Figure2c). This value was higher than that observed in the DBAP/DBR ratio of the plants developed in the substrate with Ø < 0.05 mm (Table 2). The behavior of this ratio shows that there was a greater movement of photoassimilates to the aerial part of the plants cultivated at Ø < 0.10 mm. Plants cultivated with higher application rates, above 7.41 g kg-1.

The variables studied and their relations can best be interpreted by the DQI (Figure2d). It was found that the combination of application rates and Ø < 0.05 mm of basalt powder produced greater results for this index in murici seedlings (Figure 2d). On the other hand, at the grain size of 0.10 mm the increased application rates did not show any effects to this index.

The result of the application of grain size Ø < 0.05 mm was better compared to grain size Ø < 0.10 mm. The linear model used to describe the variables indicates that murici plants respond to high application doses of ground basalt.

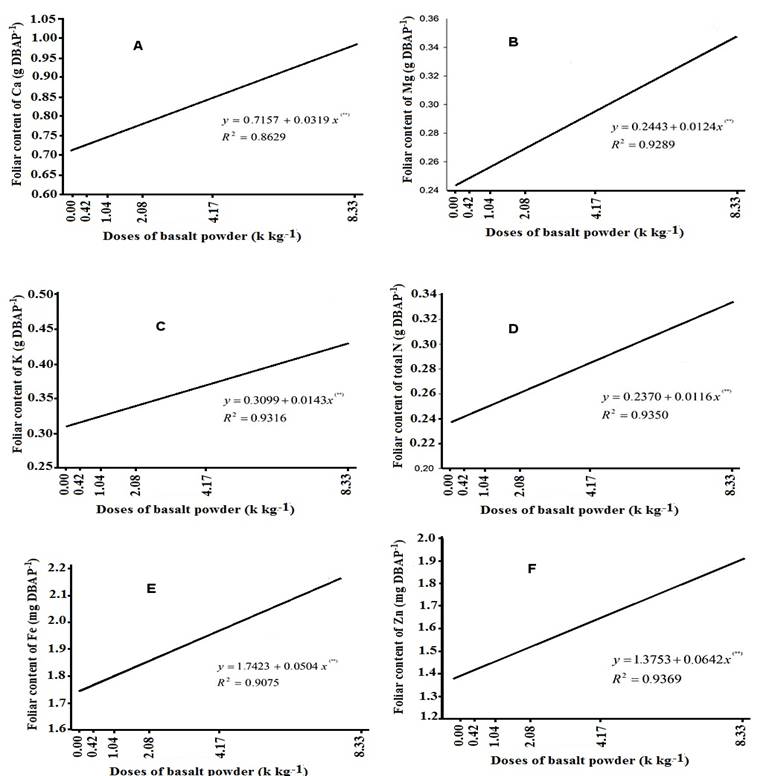
The contents of total N, P, K, Ca, Mg, S, Fe, and Zn showed no interaction between doses and grain size (p> 0.05). Hence, the isolated effects of each factor for these variables were studied. The P content and K content were not affected by any of the factors (doses and grain size) (p> 0.05). The Mg content was affected only by grain size (p≤ 0.05). The content of Ca, Total N, Fe, and Zn were affected only by the doses (Figure 3). The Ca, Mg, K, Total N, Fe, and Zn contents were affected by basalt powder application rates (Figure 4). Table 3 shows the average nutrient concentrations.

Foliar contents of nutrients in murici seedlings subjected to doses of basalt powder.

Figure 3: Foliar contents of nutrients in murici seedlings subjected to doses of basalt powder.

Foliar contents of nutrients in murici seedlings subjected to doses of basalt powder.

Figure 4: Foliar contents of nutrients in murici seedlings subjected to doses of basalt powder.

Table 3: Foliar content of nutrients in murici seedlings cultivated in substrates containing two grain sizes of powdered basalt (0.05 and 0.10 mm).

G.. Grain size; Ca.. Calcium; Mg.. Magnesium; K.. Potassium; P.. Phosphorus; Total N.. Total Nitrogen; Fe.. Iron; Zn.. Zinc; In the column, means followed by the same letter are not different from each other according to Tukey’s test at 5% probability.

The nutrient content based on ground basalt doses, negative quadratic function (Figures 3a-3d), was chosen due to the higher coefficient of determination and, also, because it presented a plateau that separates two physiological phases of plant growth. In the first phase, the main availability of the nutrient is converted into growth; consequently, the nutrient content decreases because of its dilution. In the second phase, the nutrient increment is not converted into growth and the nutrient begins to accumulate in the tissue, increasing its content. This behavior is better illustrated when the nutrient concentrations are calculated (Figures 4a-4f).

The Ca, Mg, K, P, Total N, Fe, and Zn contents obtained in the foliar tissue of murici plants (Table 4) were compared to critical levels for savanna species (Naves et al., 1995), due to the absence of critical levels for the murici plant.

Table 4: Minimum and maximum nutrient contents determined in the foliar tissue of murici plants cultivated in substrates containing increasing doses of powdered basalt at two grain sizes.

..limits obtained between dose 0 and the dose of the minimum content of the nutrient in the plant, obtained by the first derivative of the quadratic function; 2..Mean obtained from all observations; 3..limits obtained based on the effect of the two grain sizes; 4..Araticunzeiro (Annona crassiflora Mart), Cagaitera (Eugenia dysenterica), and Jenipapo (Genipa americana).

There was no effect of the treatments in P and K contents (Table 1). The P content was below the level of sufficiency, and the K content kept inside the indicated limits (Table 4). In the finer grain size, a smaller Mg content was found in foliar tissue (Table 3). The contents of Ca, Fe, and Zn in foliar tissue were higher than upper limits indicated for the savanna species of central Brazil (Table 4).

Discussion

Different grain sizes of the ground basalt affected the murici growth, and the positive linear model provided the best fit for the behavior of the variables in response to the basalt powder application rates for both grain sizes studied. The grain size of Ø < 0.05 mm increased the developed the seedlings explained by the ALT/DM ratio, which was greater in the < 0.05 mm Ø fraction. The DBAP was significantly affected by grain sizes and there was a better response to the application of < Ø 0.05 mm.

The DBR at grain size Ø < 0.05 mm increased in a linear mode as the application rates increased. This differed from DBR using grain size Ø < 0.10 mm, which did not show any doses response. According to Pinheiro et al. (2004), physiological characteristics suggest that drought tolerance could be a direct result from greater root system development, although several physiological mechanisms may be related to this characteristic.

Greater availability of basalt powder reduces the ALT/DBAP ratio, favoring the incorporation of aerial biomass. According to Paiva et al. (2009) the lower its values, the greater the chance that the seedling will survive in the field.

The ratio value of DBAP/DBR with the basalt powder of Ø < 0.10 mm was higher than that observed in the DBAP/DBR ratio of the plants developed in the substrate with Ø < 0.05 mm, independent of application rate. On the one hand, the behavior of this ratio shows that there was a greater movement of photoassimilates to the aerial part of the plants cultivated at grain size Ø < 0.10 mm. On the other hand, plants cultivated at grain size Ø < 0.05 mm had the root compartment as the preferential sink.

In general, the results observed in the DQI on using basalt powder at Ø < 0.05 mm are consistent with the fact that the smaller the grain size, the greater the solubility of the substrate amendment. In murici, the application of grain size Ø < 0.05 mm showed better results compared to grain size Ø < 0.10 mm. These results were consistent with the results of Welter et al.(2011), who obtained the best “camu-camu” seedlings using 4.17 to 8.33 g kg-1 of basalt powder in the substrate with the grain size Ø < 0.05 mm.

The chemical nature of basalt explains the positive results obtained in this study, whose composition presents a potential to make macro and micronutrients available to the soil (García & Camargo, 2007). Basalts are considered basic rocks and viewed as an important material that can rejuvenate soils, contributing to their fertility because of the predominance of weatherable minerals, which are rich in cations, specifically from calcium-rich plagioclases and pyroxenes (Resende et al., 2014).

The rock powder slowly releases nutrients, when compared to commercial soluble fertilizers, contributing to the residual effect over a long period of time (Harley & Gilkes, 2000), besides reducing the costs of agricultural inputs since it requires only fine grinding of the rocks. Basaltic rocks are found in most regions of the Brazil (Melamed et al., 2009).

Application of basalt powder likely increased the availability of Ca in the soil solution, and this, in contact with the root system, was a decisive factor for the survival and growth of the seedlings. Since nutrient does not translocate from the aerial part to the new parts of the growing roots (Caires et al., 2001), it needs constant supply from the roots.

Another aspect to be highlighted for the results observed for TDB is that there was no inhibiting effect of exchangeable Al3+ in root formation, since the substrate was composed of acid soil, with 0.9 cmolckg-1 of exchangeable acidity. It is possible that basic components (CaO and MgO) present in the mineralogical composition of basalt rock actively neutralized part of the Al3+ that decreased to 0.2 cmolckg-1 or less. According to Melo et al. (2012) the powdered basalt reduces the active and potential acidity, increasing the availability of Ca and Mg. Finely ground basaltic rock partially acted as ‘liming material’.

In general, the best physical and chemical conditions provided by grain size 0.05 mm, and doses of powdered basalt improved the development of seedling roots, allowing a greater area to explore the roots. This is reflected in the increased IQD (Figure 2d).

The nutrient contents (total N, P, K, Ca, Mg, S, Fe, and Zn) showed no interaction between doses and grain size (p> 0.05). Hence, the isolated effects of each factor for these variables were studied.

The model to describe the nutrient content based on ground basalt doses was chosen due to the higher coefficient of determination and, also, because it presented a plateau that separates two physiological phases of plant growth. In the first phase, the main availability of the nutrient is converted into growth; consequently, the nutrient content is decreased because of its dilution. In the second phase, the nutrient increment is not converted into growth, and the nutrient begins to accumulate in the tissue, increasing its content.

The absence of any effect of treatments on P and K contents was expected, since these nutrients are not found at high concentrations in basalt. It was observed that the P content remained below the level of sufficiency, while the K content was within the indicated limits. As for the Mg content, in the finer grain size, a smaller content was found in foliar tissue. For Ca, Fe, and Zn, the foliar tissue content was close to, or above, the upper limits indicated for the savanna species of central Brazil (Table 4).

Ca and Mg dissolution curves based on powdered basalt doses applied in Yellow Latosol showed that the increments in the concentration of Ca and Mg were relatively low, leading Melo et al. (2012) to consider that these elements are present in minerals of low solubility (weatherability). However, these results of the foliar Ca and Mg concentrations in response to basalt addition to the growth substrate show that the plant interferes in this dynamic, acting as an extractor, which can speed up the dissolution process and raise the availability of the nutrient.

These results corroborated the hypothesis of dilution, explaining the behavior of the content of these nutrients in the seedling. However, among the macronutrients, the element P does not appear to be much needed in the initial growth phase of this species, leading to the conclusion that in the seedling phase the climax species such as the murici has a low requirement for P, or use it efficiently. This premise was confirmed by the results of non-significant proportion and content of foliar P.

The K content presented a linear response to basalt application rates may be due to the better physical and chemical conditions provided by the higher doses of basalt powder, which reduced the leaching of the K+ ions because of the higher availability of loads.

Although murici is a climax species, adapted to a natural ecosystem with very low natural fertility, it grew fast and presented a linear response to the addition of basalt powder for the variables of foliar nutrient content, except for P. This indicates that the productivity of the murici plant can be increased with soil nutrient additions. In studies such as Tucci et al. (2011), positive responses were found to liming and fertilization in producing mahogany (Swietenia macrophylla King.) seedlings, in all growth characteristics, indicating the potential for rapid growth of the climax species under favorable soil fertility conditions.

Conclusions

Grain size affects the availability of nutrients from basalt powder added to seedling growth substrates; as a result, the grain size of 0.05 mm provided greater availability of nutrients for the growth of murici seedlings than the grain size 0.10 mm.

The growth of murici seedlings is positively linearly correlated with increased application rates of basalt powder up to 8.33 g kg-1. The best results were achieved with the application of basaltic rock that were ground to 0.05 mm grain size.

The size of particles of basalt powder and the increase of doses positively influenced the growth of murici seedlings.

Acknowledgements

Acknowledgments

To CAPES (Brazilian Federal Agency for Support and Evaluation of Graduate Education), CNPq (National Council for Scientific and Technological Development) and Dr. Peter Van Straaten for revise the manuscript language

References

  1. Alves Chagas, E., Garcia Ribeiro, M.I., Mesquita de Souza, O., Andrade dos Santos, V., Bardales Lozano, R.M., & Bacelar-Lima, C.G. (2013). Alternatives substrates for production of seedlings camu-camu. Amazonian Journal of Agricultural and Environmental Sciences, 56, 6-12. http://dx.doi.org/10.4322/rca.2013.074 [URL] 🠔
  2. Barbosa, Z., Soares, I., & Araújo Crisóstomo, L. (2003). Growth and nutrients uptake of soursop seedlings. Revista Brasileira de Fruticultura, 25(3), 519-522. https://doi.org/10.1590/S0100-29452003000300039 [URL] 🠔
  3. Caires, E.F., Fonseca, A.F., Feldhaus, I.C., & Blum, J. (2001). Root growth and nutrient uptake by soybean as affected by lime and gypsum, under a no-tillage system. Brazilian Journal of Soil Science, 25(4), 1029-1040. https://doi.org/10.1590/S0100-06832001000400025 [URL] 🠔
  4. Cunha dos Anjos, L., & Schad, P. (2018). Comparação da classificação de solos de acordo com o Sistema Brasileiro e os Sistemas Internacionais WRB e Soil Taxonomy. In Batista, K.D., Lumbreras, J.F., Coelho, M.R., Oliveira, V.A., Vale Júnior, J.F.(Eds.), Guia de Campo da XI Reunião Brasileira de Classificação e Correlação de Solos: RCC de Roraima (pp. 305-311). Embrapa. https://www.embrapa.br/busca-de-publicacoes/-/publicacao/1104189/guia-de-campo-da-xi-reuniao-brasileira-de-classificacao-e-correlacao-de-solos-rcc-de-roraima [URL] 🠔
  5. Embrapa. (1999). Manual de análises de solos, plantas e fertilizantes. Embrapa. 🠔
  6. Ferreira, D.F. (2011). SISVAR: A computer statistical analysis system. Ciênc. agrotec., 35(6), 1039-1042. https://doi.org/10.1590/S1413-70542011000600001 [URL] 🠔
  7. Ferreira Melo, V., Pereira Uchôa, S.C., de Oliveira Dias, F., & Ferreira Barbosa, G. (2012). Levels of finely ground basalt rock in the chemical properties of a yellow latosol of the savanna of Roraima. Acta Amazônica, 42(4), 471-476. https://doi.org/10.1590/S0044-59672012000400004 [URL] 🠔
  8. García Knapik, J., Camargo Angelo, A. (2007). Pó de basalto e esterco equino na produção de mudas de Prunus sellowii Koehne (Rosaceae). Floresta, 37(3), 427-436. http://dx.doi.org/10.5380/rf.v37i3.9939 [URL] 🠔
  9. Harichane, K., Ghrici, M., & Kenai, S. (2012). Effect of the combination of lime and natural pozzolana on the compaction and strength of soft clayey soils: a preliminary study. Environmental Earth Sciences, 66(8), 2197-2205. DOI 10.1007/s12665-011-1441-x [DOI] 🠔
  10. Harley, A.D., & Gilkes, R.J. (2000). Factors influencing the release of plant nutrient elements from silicate rock powders: a geochemical overview.Nutrient Cycling in Agroecosystems, 56(1), 11-36. DOI 10.1023/A:1009859309453 [DOI] 🠔
  11. Higuchi, C.T., Pavan, F.R., Fujimura Leite, C.Q., Sannomiya, M., Vilegas, W., de Andrade Leite, S.R., Sacramento, L.V.S., & Nakamura Sato, D. (2008). Triterpenes and antitubercular activity of Byrsonima crassa. Química Nova, 31(7), 1719-1721. https://doi.org/10.1590/S0100-40422008000700023 [URL] 🠔
  12. Melamed, R., Gaspar, J.C., & Miekeley, N. (2009). Pó de Rocha como fertilizante alternativa para sistemas de produção sustentável em solos tropicais. In F.E.L, Lapido-Loureiro,; Melamed, R.; Figueiredo Neto, J. (Eds.), Fertilizantes: agroindústria e sustentabilidade (pp. 385-395). Cetem/Mct. 🠔
  13. Pinheiro, H.A., Damatta, F.M., Chaves, A.R.M., Fontes, E.P.B., & Loureiro, M.E. (2004). Drought tolerance in relation to protection against oxidative stress in clones of Coffea canephora subjected to long-term drought. Plant Science, 167(6), 1307-1314. https://doi.org/10.1016/j.plantsci.2004.06.027 [URL] 🠔
  14. Resende, M., Curi, N., Batista de Resende, S., & Fernandes Corrêa, G. (2014). Pedologia: base para distinção de ambientes. UFLA. 🠔
  15. Sannomiya, M., Rodrigues, C.M., Coelho, R.G., dos Santos, L.C., Hiruma-lima, C.A., Souza Brito, A.R.M., & Vilegas, W. (2004). Application of preparative high-speed conter-current chromatography for the separation of flavonoides from the leaves of Byrsonomima crassa Niedenzu (IK). Journal of Chromatography A, 1035(1), 47-51. https://doi.org/10.1016/j.chroma.2004.02.050 [URL] 🠔
  16. Tucci, C.A.F., Lopes Santos, J.Z., Silva Júnior, C.H.D., de Souza, P.A., Paiva Batista, I.M., & Venturin, N. (2011). Development of Swietenia macrophylla seedlings in response to nitrogen, phosphorus and potassium. Floresta , 41(3), 471-490. http://dx.doi.org/10.5380/rf.v41i3.24039 [URL] 🠔
  17. Van Straaten, P. (2006). Farming with rocks and minerals: challenges and opportunities. Annals of the Brazilian Academy of Sciences, 78(4), 731-747. https://doi.org/10.1590/S0001-37652006000400009 [URL] 🠔
  18. Vieira de Paiva, A., Poggiani, F., de Moraes Gonçalves, J.L., & de Vicente Ferraz, A. (2009). Native tree seedling growth when fertilized with different amounts of dry sewage sludge and mineral fertilizer. Scientia Forestalis, 37(84), 499-511. https://www.ipef.br/publicacoes/scientia/nr84/cap18.pdf [URL] 🠔
  19. Welter, M.K., Ferreira Melo, V., Horst Bruckner, C., Pereira de Goes, H.T., & Alves Chagas, E. (2011). Effect of level of crushed balsat in the initial development of seedlings of camu-camu (Myrciaria dubia H.B.K. McVaugh). Revista Brasileira de Fruticultura , 33(3), 922-931. https://doi.org/10.1590/S0100-29452011000300028 [URL] 🠔