Acta Agronómica
0120-2812
Universidad Nacional de Colombia
https://doi.org/10.15446/acag.v68n3.68337

Recibido: 16 de octubre de 2017; Aceptado: 3 de septiembre de 2019

Fertilización con nitrógeno, fósforo, potasio y calcio en mora (Rubus glaucus Benth.): Efecto sobre Antracnosis bajo condiciones controladas

Fertilization with nitrogen, phosphorus, potassium and calcium in blackberry (Rubus glaucus Benth.): Effect on Anthracnose under controlled conditions

L. Bautista-Montealegre, 1*M. Bolaños-Benavides, 2 J. Argüelles-Cárdenas, 3G. Fischer, 4

Ingeniero Agrónomo, MSc. Fitopatología Universidad Nacional de Colombia, Bogotá D.C., Colombia. Universidad Nacional de Colombia Universidad Nacional de Colombia Bogotá D.C Colombia
Investigadora Ph.D. Corporación Colombiana de Investigación Agropecuaria (AGROSAVIA), Centro de Investigación Tibaitatá, Km 14 vía Mosquera - Bogotá D.C., Colombia. E-mail: mmbolanos@agrosavia.co. Corporación Colombiana de Investigación Agropecuaria Centro de Investigación Tibaitatá Bogotá D.C Colombia
investigador MSc., Corporación Colombiana de Investigación Agropecuaria (AGROSAVIA), Centro de Investigación La Libertad, Km 17 vía Puerto López - Meta, Colombia. E-mail: jarguelles@agrosavia.co. Corporación Colombiana de Investigación Agropecuaria Centro de Investigación La Libertad Meta Colombia
Ingeniero Hortícola, Ph.D. Consultor científico, Investigador Emérito Colciencias, Bogotá D.C., Colombia. E-mail: gerfischer@gmail.com. Colciencias Bogotá D.C Colombia

Autor de correspondencia: lgbautistam@unal.edu.co

Resumen

Para buscar alternativas de manejo de la antracnosis causada por el hongo Colletotrichum gloeosporioides en el cultivo de mora (Rubus glaucus Benth.), en el Centro de Investigación Tibaitatá de la Corporación Colombiana de Investigación Agropecuaria AGROSAVIA (antes CORPOICA), se realizó un experimento con el objetivo de evaluar el efecto de la aplicación de los elementos mayores nitrógeno (N), fósforo (P), potasio (K) y calcio (Ca) sobre infecciones del hongo C. gloeosporioides cepa-52. Para el efecto se utilizó un diseño de bloques completos al azar con un arreglo de tratamientos en un diseño compuesto central ortogonal. Para evaluar la relación de los niveles de fertilización y la severidad de la enfermedad, se hizo una inoculación artificial en tallos de mora de Castilla con espinas, mediante discos de micelio de 0.5 cm a una concentración de 9.53 x 104 conidias. Las observaciones consistieron en: severidad de la enfermedad (S), periodo de incubación (PI) y tasa de desarrollo (r). Los análisis de datos se hicieron por el método de conglomerados sobre la variable severidad, un análisis de correlación de Pearson entre variables, así como una regresión para estimar el efecto de los nutrientes aplicados sobre la severidad de la cepa-52 de C. gloeosporioides. Los tratamientos se concentraron en cuatro grupos con los rangos (entre paréntesis) S (15.9% y 91.8%), PI (9 y 15.3) y Tr (0.0254 y 0.0468). Se observó correlación positiva y significativa entre S y r (P < 0.001) y negativa entre PI con S y r (P < 0.001). Mediante análisis de regresión se generó un modelo lineal que permitió comprobar la reducción de la severidad de la enfermedad con el incremento de la dosis de N y un incremento con los niveles de P y Ca aplicados.

Palabras clave:

Colletotrichum gloeosporioides, Mora castilla, nutrición, severidad, tasa de desarrollo, elementos mayores.

Abstract

To propose alternatives for management Anthracnose (Colletotrichum gloeosporioides) in blackberry cultivation, an experiment was performed to estimate the effect of nitrogen, phosphorus, potassium and calcium on C. gloeosporioides strain 52 infections. A randomized complete block design was used with a treatment arrangement corresponding to an orthogonal central composed design. To evaluate the relationship between fertilization levels and the severity of the disease, an artificial inoculation was carried out on blackberry stems with thorns, by 0.5 cm mycelium discs at a concentration of 9.53x104 conidia, registered disease severity (S), incubation period (PI) and development rate (r). A cluster analysis was performed on the severity variable, a Pearson correlation analysis between variables, as well as a regression to estimate the effect of the nutrients applied on the severity of strain 52. The treatments were concentrated in four groups with S, PI and r between 15.9% to 91.8%, 9 to 15.3 days and 0.0254 to 0.0468, respectively. Positive and significant correlation was observed between S and r (P<= 0,001), and negative and significant, between PI with S and r (P < 0,001). Finally, through the regression analysis, a linear model was generated that allowed us to verify the decrease in severity with the increase in the dose of nitrogen and the increase in this with the growth of phosphorus and calcium levels.

Key words:

Colletotrichum gloeosporioides, Mora castilla, nutrition, severity, development rate.

Introducción

En 2017, los cultivos de mora (Rubus glaucus Benth.) en Colombia ocuparon cerca de 14.589 ha, con una producción, promedio, de 123,175 t (MADR, 2018). En el campo fitosanitario, la producción del cultivo se ve amenazada por diversas enfermedades, entre las cuales sobresale la Antracnosis causada por el hongo Colletotrichum gloeosporioides como la más limitante, ya que genera pérdidas cercanas a 100% del cultivo cuando no se aplican medidas preventivas (Saldarriaga-Cardona et al., 2008).

En Colombia, se ha asociado a C. gloeosporioides y C. acutatum como agentes causales de Antracnosis en mora, existiendo además reportes sobre el ataque de C. boninense (Saldarriaga-Cardona et al., 2008; Afanador et al., 2010, 2014). Las especies de Colletotrichum presentan preferencias por los tejidos de la planta, así, C. gloeosporioides se asocia en un mayor grado a lesiones en tallo, presentando altas tasas de crecimiento y patogenicidad (Afanador et al., 2010).

El manejo de especies de Colletotrichum se ha fundamentado en la aplicación de fungicidas. Este tipo de manejo presenta problemas debido al desarrollo de cepas resistentes (Rupp et al., 2017). El abuso de moléculas químicas para el control de Antracnosis en el cultivo de mora, ha ocasionado el rechazo de pulpas para exportación, debido a trazas encontradas en las mismas (Gaviria-Hernández et al., 2013).

Con base en las consideraciones anteriores, se han estudiado métodos de control para el manejo de la enfermedad mediante la aplicación de productos biológicos como extractos vegetales (Gaviria-Hernández et al., 2013), evaluación de materiales promisorios (López et al., 2013) y la caracterización de germoplasma resistente (Afanador et al., 2010).

En este contexto, la fertilización favorece la reducción de la incidencia y severidad de enfermedades (Huber et al., 2012), debido a factores de resistencia y/o predisposición de las plantas, generados por un desequilibrio nutricional (Chaboussou, 1967). En este sentido, las deficiencias nutricionales pueden aumentar la susceptibilidad a diversas enfermedades (Velasco, 2000), mientras que infecciones débiles pueden llegar a tornarse más agresivas (McMahon, 2012).

El nitrógeno (N) ha sido el elemento más estudiado en relación con la nutrición del huésped y la prevalencia de enfermedades, teniendo en cuenta su esencialidad en el crecimiento de las plantas, su limitada disponibilidad en el suelo y su efecto en el tamaño de las células y el espesor de la pared celular (Huber y Thompsom, 2007, Walters y Bingham, 2007). Adicionalmente, juega un papel fundamental en la interacción planta - patógeno, debido a la movilidad del elemento durante el estrés biótico y abiótico como estrategia de defensa de la planta (Tavernier et al., 2007).

Por su parte, el fósforo (P) incrementa la resistencia de las plantas a diferentes enfermedades, cuando su concentración en los tejidos acelera la madurez y protege los órganos jóvenes; no obstante, los efectos sobre la severidad de enfermedades no son tan evidentes cuando se observa en cultivares susceptibles y/o moderadamente resistentes (Prabhu et al., 2007).

El potasio (K) es el soluto inorgánico más abundante en las células vegetales y está relacionado con la respuesta de la planta a estreses abióticos y bióticos (Zhou et al, 2014) y su deficiencia causa la reducción en la síntesis de proteínas, almidón y celulosa (compuestos de alto peso molecular) y por tanto, induce la acumulación de compuestos orgánicos de bajo peso molecular que pueden cubrir nutrientes requeridos por los microorganismos (Huber et al., 2012).

Diversos hongos invaden los tejidos de las plantas por la producción de enzimas pectolíticas, tales como poligalacturonasa, que disuelven la laminilla media de las células, sin embargo, la actividad de esta enzima puede ser inhibida cuando aumenta la concentración de calcio (Ca) en los tejidos, a la vez que contribuye en la formación de barreras físicas protectoras frente a la penetración de dichos organismos (Spann y Schumann, 2010).

De acuerdo con las anteriores consideraciones, el objetivo de la presente investigación fue evaluar en condiciones de invernadero el efecto de la fertilización con N, P, K y Ca sobre el desarrollo de C. gloeosporioides cepa-52 en plantas de mora de Castilla con espinas.

Materiales y métodos

Localización

El experimento se realizó en el invernadero del Centro de Investigación Tibaitatá, de la Corporación Colombiana de Investigación Agropecuaria AGROSAVIA (antes CORPOICA), situado en el kilómetro 14, vía Bogotá - Mosquera, a 2600 m.s.n.m., en el departamento de Cundinamarca, a 4° 42’ de latitud norte y 74° 12’ longitud oeste, con una temperatura promedio de 13.1°C, humedad relativa de 80%, a 2.600 m.s.n.m.

Aplicación de tratamientos

A partir de estudios de fertilización adelantados por Vayas (2000) y Artunduaga (2010), se definieron y aplicaron 25 tratamientos con diferentes dosis de los nutrientes N, P, K y Ca (Tabla 1) en plántulas con espinas de mora de Castilla y uniformidad fenotípica de 10 meses de edad, las cuales fueron propagadas sexualmente y sembradas en bolsas plásticas con 1500 g de sustrato, compuesto por una mezcla de turba y cascarilla de arroz, en relación 3:1. La cantidad total de los elementos por tratamiento se dosificó semanalmente, preparando soluciones nutritivas a partir de ácido nítrico, cloruro de calcio dihidratado, cloruro de potasio, difosfato de amonio, sulfato de magnesio heptahidratado, nitrato de calcio tetrahidratado, nitrato de potasio, sulfato de potasio e hidróxido de sodio, conservando las concentraciones originales de Mg, S y microelementos de la solución nutritiva de Hoagland y Arnon (1950).

Tabla 1: Composición de los tratamientos aplicados a plántulas de mora Castilla inoculadas con la cepa 52 de C. gloeosporiodes. C.I. Tibaitatá, AGROSAVIA (antes CORPOICA), Colombia.

Inoculación del patógeno

En la inoculación se empleó la cepa-52 de C. gloeosporioides aislada de tallos de mora de Castilla, la cual fue caracterizada morfológica y molecularmente por AGROSAVIA en 2012 (Saldarriaga et al., 2012). Esta cepa corresponde a un aislamiento obtenido de tallos de mora del genotipo San Antonio, recolectado en el departamento de Antioquia (Colombia) y sobre la cual se reportan severidades por C. gloeosporioides entre 10% y 100%, después de 19 a 55 días de la siembra. La reactivación se realizó en medio de cultivo PDA en los laboratorios de Microbiología Agrícola de AGROSAVIA, Centro de Investigación Tibaitatá. Cincuenta y tres después del comienzo del experimento (DDCE), se llevó a cabo una inoculación artificial del hongo sobre los tallos, con discos de micelio a una concentración de 9.53 x 104 conidias.

Evaluación de la enfermedad

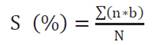
Para esta evaluación se elaboró una escala diagramática de severidad en tallos de mora (Figura 1) utilizando como referencia la escala propuesta por López et al. (2013)), mediante la cual se estimó la severidad de la enfermedad (S) con la ecuación siguiente (Ecuación 1):

Escala de severidad de antracnosis propuesto y utilizado, para tallos de mora inoculados con discos de agar (modificado de López et al., 2013). 0: Sin lesión aparente o 0% del tejido afectado. 1: 1% del tejido afectado. 3: 5% del tejido afectado. 5: 10% del tejido afectado. 7: 25% del tejido. 9: 50% del tejido afectado. 11: 85% del tejido afectado. C.I. Tibaitatá, AGROSAVIA (antes CORPOICA), Colombia.

Figura 1: Escala de severidad de antracnosis propuesto y utilizado, para tallos de mora inoculados con discos de agar (modificado de López et al., 2013). 0: Sin lesión aparente o 0% del tejido afectado. 1: 1% del tejido afectado. 3: 5% del tejido afectado. 5: 10% del tejido afectado. 7: 25% del tejido. 9: 50% del tejido afectado. 11: 85% del tejido afectado. C.I. Tibaitatá, AGROSAVIA (antes CORPOICA), Colombia.

Donde: S (%) = severidad de la enfermedad expresada en el porcentaje de tejido afectado. n = número de unidades de muestreo clasificadas en cada grado. b = grado de severidad. N = número total de unidades de muestreo observadas.

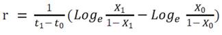
Una vez identificada la S, se calculó la tasa de desarrollo de la enfermedad (r) mediante la ecuación 2 siguiente (Castaño-Zapata, 2002):

Dónde: r = tasa de desarrollo, t 1 = tiempo final, t 0 = tiempo inicial, X 1 = severidad final, X 0 = severidad inicial.

Con los datos obtenidos se calculó el periodo de incubación (PI), definido como el número de días trascurridos desde la inoculación hasta que los tallos de las plantas presentaron síntomas de Antracnosis, los cuales se manifestaron por la presencia de manchas de color morado a café oscuro y bordes oscuros sobre el tejido inoculado.

Diseño experimental y análisis estadístico

Se empleó un diseño experimental de bloques completos al azar con un arreglo de tratamientos en un diseño compuesto central ortogonal y tres repeticiones, para un total de 375 plántulas (25 x 5 x3). Se realizó un análisis de conglomerados para la variable severidad, utilizando el procedimiento Cluster del software Statistical Analysis System (SAS® 9.3), con el fin de clasificar los tratamientos en grupos homogéneos. Se analizó el nivel de asociación entre las variables severidad (S), tasa de desarrollo (r) y periodo de incubación (PI), mediante coeficiente de correlación de Pearson verificando relaciones positivas o negativas y grado de significancia (P < 0.001). Para estimar el efecto de los niveles de fertilización sobre la severidad de la enfermedad, se empleó un análisis de regresión y se construyeron las gráficas respectivas mediante el software libre R (R Foundation for Statistical Computing).

Resultados y discusión

Efecto de los tratamientos

El análisis de conglomerados permitió clasificar los tratamientos en cuatro grupos de acuerdo con los estadísticos propuestos (Figura 2 y Tabla 2). De acuerdo con lo anterior, los grupos presentaron una S comprendida entre 15.9% y 91.8%, un r entre 0.0254 y 0.0468 y un PI entre 9 y 15.3 días (Tabla 2). En el grupo 1 (G1) se ubicaron seis tratamientos que presentaron los valores medios más altos de S y r, así como el valor medio más bajo para PI. La mejor respuesta sobre las variables evaluadas se observó en el grupo 4 (G4), compuesto por tres tratamientos; mientras que en los grupos 2 (G2) y 3 (G3) se agruparon nueve y siete tratamientos, respectivamente; con valores S entre 33.5 y 62.9, PI entre 14.1 y 14.4 y r entre 0.0281 y 0.0368 (Tabla 2 y Figura 2).

Tabla 2: Agrupamientos de severidad (S), periodo de incubación (PI) y tasa de desarrollo de la enfermedad (r) de la cepa 52 de C. gloeosporioides inoculada sobre tallos de mora. C.I. Tibaitatá, AGROSAVIA (antes CORPOICA), Colombia.

Agrupamiento de tratamientos aplicados a plántulas de mora basado en la evaluación de severidad, periodo de incubación y tasa de desarrollo de la cepa 52 de C.gloeporioides. C.I. Tibaitatá, AGROSAVIA (antes CORPOICA), Colombia.

Figura 2: Agrupamiento de tratamientos aplicados a plántulas de mora basado en la evaluación de severidad, periodo de incubación y tasa de desarrollo de la cepa 52 de C.gloeporioides. C.I. Tibaitatá, AGROSAVIA (antes CORPOICA), Colombia.

Desarrollo de la enfermedad

Durante el desarrollo del trabajo en invernadero, se presentó una temperatura promedio de 19 °C y humedad relativa de 71%. Previa inoculación con la cepa-52 de C. gloeosporioides, 53 DDCE, la temperatura promedio fue de 19 °C y disminuyó a 18 °C a partir de los 62 DDCE, mientras que la humedad relativa en ambos periodos fue, en promedio, de 57%. Investigaciones en condiciones de campo mostraron que las temperaturas aproximadas de 16 °C y humedad relativa superior a 85%, son apropiadas para el incremento de las lesiones de Antracnosis en el cultivo de mora (Forero de La-Rotta et al., 2001), lo cual difiere de los datos registrados en el presente trabajo.

No obstante, estudios en campo con materiales de mora expuestos a inoculaciones naturales con C. gloeosporioides (López et al., 2013) no muestran interacciones entre el desarrollo de la enfermedad y el porcentaje de humedad ambiental, lo cual concuerda con los resultados observados en la presente investigación, ya que no se registran los valores reportados en la epidemiologia del patógeno. En las investigaciones antes citadas se registró una humedad relativa de 76.34%, con valores mínimos y máximos de 63.6% y 87%, respectivamente, condiciones en las cuales los genotipos susceptibles a Antracnosis manifestaron severidad entre 45.6% y 50% e incidencia entre 79.8% y 99.4%.

El análisis de correlación de Pearson mostró correlación positiva y significativa entre S y r (P < 0.001), y negativa y significativa, entre PI con S y r (P < 0.001) (Figura 3), lo cual indica que al aumentar la severidad de la enfermedad, se incrementa la tasa de desarrollo; mientras que al aumentar el periodo de incubación disminuyen la severidad y la tasa de desarrollo.

Relaciones entre tasa de desarrollo (r), severidad (S) y periodo de incubación (PI) en plantas de mora inoculadas con de la cepa 52 de C. gloeporioides. C.I. Tibaitatá, AGROSAVIA (antes CORPOICA), Colombia.

Figura 3: Relaciones entre tasa de desarrollo (r), severidad (S) y periodo de incubación (PI) en plantas de mora inoculadas con de la cepa 52 de C. gloeporioides. C.I. Tibaitatá, AGROSAVIA (antes CORPOICA), Colombia.

Las curvas de desarrollo de la enfermedad en los grupos identificados (Figura 4), permitieron observar en el G1 un crecimiento exponencial hasta los 40 días después de la inoculación (DDI), seguido de un crecimiento lineal hasta el final del experimento (64 DDI) en todas las plantas de mora que recibieron los tratamientos de fertilización (T), excepto en aquellas plantas de los T15 y T24. Dichos tratamientos presentaron un crecimiento exponencial hasta los 32 DDI, el cual pasó a lineal 48 DDI y se estabilizó al llegar a 100% de severidad 110 DDI (Figura 4).

Curvas de desarrollo de C. gloeosporioides cepa-52 sobre tallos de mora en los grupos: 1 (A), 2 (B), 3 (C) y 4 (D). C.I. Tibaitatá, AGROSAVIA (antes CORPOICA), Colombia.

Figura 4: Curvas de desarrollo de C. gloeosporioides cepa-52 sobre tallos de mora en los grupos: 1 (A), 2 (B), 3 (C) y 4 (D). C.I. Tibaitatá, AGROSAVIA (antes CORPOICA), Colombia.

En las plantas incluidas en los G2 y G3 se observó un crecimiento exponencial hasta 40 DDI pasando a lineal hasta 64 DDI, excepto para los T5 y T7 en los G2 y G3, respectivamente. En este sentido, el desarrollo de la enfermedad en el T5 presentó un crecimiento logístico a partir de 8 DDI hasta el final de las evaluaciones, mientras que el T7 presentó un crecimiento exponencial hasta 32 DDI, el cual se tornó lineal y estable entre los 56 y 64 DDI (Figura 4).

En el G4 el desarrollo de la enfermedad en las plantas que recibieron los tratamientos de fertilización T2 y T21, presentó un crecimiento exponencial a partir de 16 DDI hasta el final de las evaluaciones, mientras que la enfermedad en las plantas del T23 mostró un crecimiento logístico desde 40 DDI, el cual no superó 10% de severidad 64 DDI (Figura 4).

De acuerdo con los nutrientes aplicados, los tratamientos del G1 recibieron dosis de todos los elementos, con excepción de N, K y Ca en los T17, T15, T3 y T24, respectivamente. Por otra parte, en el grupo que presentó la mejor respuesta (G4) se observó una mayor variabilidad de las dosis aplicadas, ya que solo hubo coincidencia para N y P en los T21 y T23, presentándose a la vez la menor dosis de Ca en el T23 (Tabla 2).

Efecto de los nutrientes

Bajo las condiciones del presente estudio, el análisis de regresión permitió ajustar un modelo lineal múltiple (Ecuación 3), donde el N tiene un efecto negativo sobre la severidad de la enfermedad, es decir, con el aumento de 1 g del elemento, se espera un descenso de 0.881% de ésta. Para P y Ca, se observó el efecto contrario (positivo), o sea, al aumentar el contenido de estos nutrientes en 1 g, ocurren incrementos de 0.054% y 1.773% en la severidad de la enfermedad, respectivamente (Figura 5).

Gráfica de contornos para el modelo lineal múltiple del efecto de N, P y Ca sobre el porcentaje de severidad de C.gloeoporioides cepa-52 en tallos de mora. C.I. Tibaitatá, AGROSAVIA (antes CORPOICA), Colombia.

Figura 5: Gráfica de contornos para el modelo lineal múltiple del efecto de N, P y Ca sobre el porcentaje de severidad de C.gloeoporioides cepa-52 en tallos de mora. C.I. Tibaitatá, AGROSAVIA (antes CORPOICA), Colombia.

Los resultados con la aplicación de N difieren de los hallazgos de Nam et al. (2006)), quienes encontraron que concentraciones elevadas de este elemento incrementan la severidad de C. gloeosporioides sobre plantas de fresa (Strawberry cv. Nyoho); lo que a su vez demuestra una marcada diferencia en los procesos de interacción entre los patógenos y hospederos bajo condiciones de desbalance nutricional. En este contexto, algunos patógenos foliares penetran, se multiplican y desarrollan en tejidos suculentos gracias al aporte del nitrógeno (van Bruggen et al, 2016).

Con base en lo anterior, se han propuesto manejos de enfermedades mediante la reducción de las aplicaciones de N, sin embargo, estos procedimientos exponen las plantas a deficiencias y desbalances nutricionales, debido a patrones fisiológicos de las interacciones planta-patógeno, ya que generalmente la forma de N disponible para el huésped o el microorganismo, tiene mayor influencia que la cantidad del elemento aplicado (Huber y Thompson, 2007).

El efecto de P en la reducción de enfermedades es atribuido a procesos fisiológicos que conllevan a los tejidos jóvenes a infecciones por la maduración los órganos; sin embargo, el efecto no es notorio cuando se observa en cultivares susceptibles y/o moderadamente resistentes (Prabhu et al., 2007); lo cual coincide con los resultados obtenidos en la presente investigación, si se considera la alta patogenicidad de la cepa utilizada (Saldarriaga et al., 2012), la susceptibilidad del material empleado, así como reportes sobre la influencia del elemento en el incremento de enfermedades causadas por diversos patógenos (Prabhu et al., 2007).

A pesar del efecto positivo del Ca en el manejo de enfermedades y su mecanismo de acción sobre los patógenos (He et al., 2014), en el presente estudio se pudo inferir que el incremento de este elemento contribuyó al aumento de la severidad de la cepa-52 de C. gloeosporioides. En este sentido, estudios moleculares muestran efectos negativos del Ca en las fases tempranas de la infección por C. gloeosporioides, tales como la germinación de conidias y la formación de apresorios.

No obstante, estudios realizados por Ahn et al. (2003)) demostraron que la adición exógena de CaCl2 restaura la germinación de conidias y la formación de apresorios, esto debido en gran medida a la expresión del gen calmudulina (CgCaM), el cual fue codificado mediante métodos de Reacción en Cadena de la Polimerasa (PCR) e identificación del ADN genómico, como un regulador de los procesos bioquímicos y estructurales de C. gloeosporioides.

Aunque en el presente estudio no se evidenció un efecto significativo del K sobre la severidad de la enfermedad, es conocido que desbalances de este elemento influyen procesos fisiológicos y bioquímicos que tienen relevancia para la susceptibilidad de las plantas a patógenos. En este contexto, este nutriente induce respuestas de defensa microscópica en los tejidos, tales como la acumulación de compuestos de tipo fenólico y la formación de barreras antifúngicas (Araujo et al., 2015). No obstante, el aumento excesivo en la concentración de potasio no tiene efecto sobre la síntesis de compuestos de alto peso molecular ni un efecto adicional sobre la resistencia y/o tolerancia; ya que la adición del elemento sólo es eficiente en el control de enfermedades solo si se cubre su deficiencia (Huber et al., 2012).

Conclusiones

Dosis de 32, 35, 48 y 9 g/planta de N, P, K y Ca, respectivamente, aplicadas a plantas de mora Castilla, causaron reducción de la severidad y la tasa de desarrollo de la cepa-52 de C. gloeosporioides e incrementaron el periodo de incubación del hongo. Se observó una reducción en la severidad de la enfermedad con el incremento de las dosis de N y el aumento de ésta con el incremento de los niveles de P y Ca..

Los resultados del estudio mostraron la interacción entre plantas de mora Castilla y la cepa-52 de C. gloeosporioides, agente causal de Antracnosis bajo condiciones de desbalances nutricionales, resultados que posiblemente fueron afectados por la susceptibilidad del material vegetal utilizado y la alta patogenicidad de la cepa-52.

Acknowledgements

Agradecimientos

Este trabajo hace parte del Proyecto Requerimientos Nutricionales (N, P, K y Ca) del Cultivo de Mora (Rubus glaucus B.) financiado por la Corporación Colombiana de Investigación Agropecuaria AGROSAVIA, Centro de Investigación Tibaitatá.

Referencias

  1. Afanador, L.; Álvarez, E.; y González, A. 2010. Antracnosis de la mora de Castilla (Rubus glaucus Benth.): Variabilidad en especies y razas del agente causante e identificación de fuentes de resistencia a la enfermedad. In: Centro de Agricultura Tropical - CIAT. Proyecto Productores de lulo y mora competitivos mediante selección participativa de clones élite, manejo integrado del cultivo y fortalecimiento de cadenas de valor. Fontagro mora lulo. Palmira: Colombia. p. 66-84. 🠔
  2. Afanador, L.; González, A.; Gañán, L.; Mejía, J.; Cardona, N.; y Álvarez, E. 2014. Characterization of the Colletotrichum species causing anthracnose in Andean blackberry in Colombia. Plant Dis. 98:503-1513. 🠔
  3. Ahn, II.; Kim, S.; Choi, W.; y Lee, Y. 2003. Calcium restores prepenetration morphogenesis abolished by polyamines in Colletotrichum gloeosporioides infecting red pepper. FEMS MicrobiolLett. 227:237- 241. 🠔
  4. Araujo, L.; Bispo, W. M. S.; Rios, V. S.; Fernandes, S. A.; y Rodrigues, F. A. 2015. Induction of the phenylpropanoid pathway by acibenzolar-smethyl and potassium phosphite increases mango resistance to Ceratocystis fmbriata infection. Plant Dis ., 99:447-459. DOI: http://dx.doi.org/10.1094/PDIS-08-14-0788-RE [URL] 🠔
  5. Castaño-Zapata, J. 2002. Principios básicos de fitoepidemiología. Centro Editorial, Universidad de Caldas, Manizales, Colombia. 🠔
  6. Chaboussou, F. 1967. La trophobiose ou les rapports nutritinnels entre la Plante-hote et ses parasites. Ann Soc Ent Fr, 3 (3):797-809. 🠔
  7. Forero de la Rotta, M. 2001. Enfermedades de la mora castilla. Instituto Colombiano Agropecuario - ICA, Bogotá. 🠔
  8. Gaviria-Hernández, V.; Patiño-Hoyos, L.; y Saldarriaga- Cardona, A. 2013. In vitro evaluation of commercial fungicides for control of Colletotrichum spp., in blackberry. CORPOICA Cienc. Tecnol. Agropecu., 14 (1):67-75. 🠔
  9. He, K.; Yang, S.; Li, H.; Wang, H.; y Li, Z. 2014. Effects of calcium carbonate on the survival of Ralstonia solanacearum in soil and control of tobacco bacterial wilt. Eur J Plant Pathol., 140, 665-675. DOI: 10.1007/s10658-014-0496-4 [DOI] 🠔
  10. Huber, D.; y Thompsom, I. 2007. Nitrogen and plant disease. In: Datnoff, L., Elmer, W. y Huber, D. (Ed). Mineral nutrition and plant disease. The American Phytopathological Society. St. Paul, Minnesota, USA. p. 31-43. 🠔
  11. Huber, D.; Romheld, W.; y Weinmann, M. 2012. Relationship between nutrition, plant diseases and pests. In: Marschner, P. (Ed). Marschner’s Mineral Nutrition of Higher Plants. (Elsevier, Amsterdam, The Netherlands. p. 283-298. 🠔
  12. López, J.; Castaño-Zapata, J.; Marulanda, M.; y López, A. 2013. Caracterización de la resistencia a antracnosis causada por Glomerella cingulata y productividad de cinco genotipos de mora (Rubus glaucus Benth.). Acta Agron, 62:174-105. DOI: 10.1186/1471-2229-14-154. [DOI] 🠔
  13. McMahon, P. 2012. Effect of nutrition and soil function on pathogens of tropical tree crops. In: Cumagun, C. (Ed). Plant Pathology. 243-272. InTech. DOI: 10.5772/32490. https://www.intechopen.com/books/plant-pathology/effect-of-nutrition-and- soil-function-on-pathogens-of-tropical-tree-crops. [DOI] 🠔
  14. MADR - Ministerio de Agricultura y Desarrollo Rural. 2018. Anuario estadístico del sector agropecuario 2017. 🠔
  15. Nam, H.; Jeong, S.; Lee, Y.; Choi, M.; y Kim, H. 2006. Effects of nitrogen, phosphorus, potassium and calcium nutrition on strawberry anthracnose. Plant Pathol,. 55:246-249. 🠔
  16. Prabhu, A.; Fageria, N.; y Berni, R. 2007. Phosohorus and plant disease. In: Datnoff, L., Elmer, W., & Huber, D. Mineral nutrition and plant disease . The American Phytopathological Society. St. Paul, Minnesota, USA. p. 45-55. 🠔
  17. Rupp, S.; Weber, R.; Rieger, D.; Detzel, P.; y Hahn, M. 2017. Spreadof Botrytis cinérea strains with multiple fungicide resistance in German. Horticulture. Front. Microbiol, 7(2075):1-12. DOI: 10.3389/fmicb.2016.02075 [DOI] 🠔
  18. Saldarriaga, A.; Navas, G.; Navas, A.; Franco, G.; Ríos, G.; Vásquez, L.; Londoño, M.; Macías, A.; Hincapié, M.; Gómez, E.; González, S.; Gaviria, V.; Arango, R.; Cañas, G.; Rueda, N.; Ochoa, M.; Salamandro, C.; Osorio, J.; Martínez, E.; Clímaco, J.; Forero, C.; Abaunzá, C.; González, A.; Segura, J.; Gómez, R.; y Palacios, X. 2012. Proyecto Biología, caracterización y comportamiento del patógeno de antracnosis de la mora (Rubus glaucus Benth.), como base para establecer estrategias de manejo. Corporación Colombiana de Investigación Agropecuaria - CORPOICA. Rionegro, Colombia. 🠔
  19. Saldarriaga-Cardona, A.; Castaño-Zapata, J.; y Arango- Isaza, R. 2008. Caracterización del agente causante de antracnosis en tomate de árbol, manzano y mora. Rev. Acad. Colomb. Cienc. Exactas Físicas Natur, 32(123):145-156. 🠔
  20. Spann, T. y Schumann, A. 2010. Mineral nutrition contributes to plant disease and pest resistance. The Horticultural Sciences Department, Florida Cooperative Extension Service, Institute of Food and Agricultural Sciences, University of Florida. https://edis.ifas.ufl.edu/hs1181 [URL] 🠔
  21. Tavernier, V.; Cadiou, S.; Pageau, K.; Lauge, R.; Reisdorf-Cren, L.; Langin, T.; y Masclaux-Daubresse, C. 2007. The plant nitrogen mobilization promoted by Colletotrichum lindemuthianum in Phaseolus leaves depends on fungus pathogenicity. J Exp. Bot. 58(12)3351-3360. 🠔
  22. van Bruggen, A.; Gamliel, A.; y Finckh, R. 2016. Plant disease management in organic farming systems. Pest Manag Sci. 72: 30-44. DOI: 10.1002/ps.4145 [DOI] 🠔
  23. Velasco, V. 2000. Role of mineral nutrition on plant disease tolerance. Terra, 17(3), 193-200. 🠔
  24. Walters, D.; y Bingham, I. 2007. Influence of nutrition on disease development caused by fungal pathogens: implications for plant disease control. Ann Appl. Biol. 151:307-324. 🠔
  25. Zhou, L.; He, H.; Liu, R.; Han, Q.; Shou, H.; y Liu, B. 2014. Overexpression of GmAKT2 potassium cannel enhances resistance to soybean mosaic virus. BMC Plant Biology. 14(154):1-11 🠔