Acta Agronómica
0120-2812
Universidad Nacional de Colombia
https://doi.org/10.15446/acag.v68n4.70496

Recibido: 16 de febrero de 2018; Aceptado: 26 de diciembre de 2019

Características morfológicas de variedades de café cultivadas en condiciones de sombra

Morphological characteristics of coffee varieties grown in shade conditions

M. Milla-Pino, 1 S. Oliva-Cruz, 1 *S. Leiva-Espinoza, 1 R. Collazos-Silva, 1 O. Gamarra-Torres, 1 M. Barrena-Gurbillón, 1 J. Maicelo-Quintana, 1

Instituto de Investigación para el Desarrollo Sustentable de Ceja de Selva, Universidad Nacional Toribio Rodríguez de Mendoza, Chachapoyas, Amazonas, Perú. Instituto de Investigación para el Desarrollo Sustentable de Ceja de Selva Universidad Nacional Toribio Rodríguez de Mendoza Chachapoyas Amazonas Perú

Autor para correspondencia: soliva@indes-ces.edu.pe

Resumen

El cultivo de café es una de las principales actividades agrícolas en la región Amazonas de Perú. El presente trabajo tuvo como finalidad evaluar el comportamiento agronómico de las variedades Catimor, Maragogipe y Castillo de café (Coffea arabica), establecidas bajo un sistema agroforestal, empleando como sombra árboles de Eucalyptus torreliana , Colubrina glandulosa y Pinus tecunumanii . El estudio de inició en 2017 en el distrito de Huambo, Provincia de Rodríguez de Mendoza, Amazonas-Perú. Los tratamientos se distribuyeron en un diseño experimental en bloques completos al azar, y consistió en tres bloques y nueve tratamientos. Las variables evaluadas fueron: altura de planta, altura hasta la primera hoja, número de hojas, estado general de la planta y diámetro del tallo. La metodología utilizada consistió en análisis individual para cada tiempo, prueba de homogeneidad de varianzas y análisis conjunto en el tiempo para un mismo espacio, considerando la interacción tratamiento x tiempo, en evaluaciones a 30, 60, 90, 120 y 150 días después del establecimiento del cultivo. Los resultados indican que la variedad de café Castillo, tanto bajo sombra de P. tecunumanii como de C. glandulosa , presentó el mejor comportamiento agronómico; mientras que la variedad Maragogipe bajo sombra de E. torreliana o de C. glandulosa mostró un deficiente comportamiento agronómico.

Palabras clave:

Coffea arabica, condiciones agroclimáticas, crecimiento vegetativo, sistemas agroforestales, Perú.

Abstract

Coffee crop is one of the main activities in the Amazon region, ranking as third in Peru. The purpose of this work was to evaluate the agronomic behavior of three coffee varieties (Catimor, Maragogipe and Castillo) established under an agroforestry system, using as shade trees Eucalyptus torreliana , Colubrina glandulosa and Pinus tecunumanii , whose experimental study was established in the district of Huambo, Province of Rodríguez de Mendoza, Amazonas-Peru during 2017. Treatments were distributed in a randomized complete block experimental design, with three blocks and nine treatments. The evaluated variables were plant height, height to the first leaf, number of leaves, general state of the plant and diameter of the stem. The methodology used consisted of individual analysis for each time, homogeneity test of variances and joint analysis over time for the same space, considering the interaction treatment*time, performing evaluations at 30, 60, 90, 120 and 150 days after crop seatlement. The results indicated that the variety of Castillo coffee either with shade of P. tecunumanii or with shade of C. glandulosa leads to a better agronomic behavior, and the variety of coffee Maragogipe both with shade of E. torreliana and with shadow of C. glandulosa shows a poor agronomic behavior.

Key words:

agroclimatic conditions, agroforestry systems, Coffea arabica, vegetative growth, sustainable, Perú.

Introducción

El cultivo del café ha sido clave y trascendental, no solo por su importancia en indicadores económicos, sino también por participar en el tejido social, cultural, institucional y político de muchos países de Sur- y Centroamérica. A lo largo de la historia ha sido un rubro tradicional, considerado rentable y la base de encadenamientos de mucho valor agregado. El café es considerado clave para el desarrollo de países productores y representa el producto más comercializado en el mundo, siendo solo superado solo por el petróleo (Bosselmann et al., 2009), además, es la bebida más consumida después del agua. La dinámica de producción mundial de café constituye una fuente vital de empleo e ingresos para 25 millones de personas y es para algunos países una fuente crucial para el sostenimiento de servicios medioambientales (Chiquillo et al., 2013).

En el Perú la producción de café representa el principal producto de agroexportación, siendo un importante impulsor de la economía nacional. No obstante, los cambios medio ambientales presentan nuevos desafíos para los productores, entre ellos: la reducción de los recursos naturales, una mayor incidencia de plagas y enfermedades como la broca (Hypothenemus hampei Ferrari) y la roya (Hemileia vastatrix Berkeley and Broome), entre otras adversidades como consecuencia del cambio climático (Caswell et al., 2012; Jezeer y Verweij, 2015).

El café por tradición ha sido cultivado bajo sombra de diferentes especies de árboles (Farfán y Mestre, 2004). Las ventajas de los sistemas agroforestales relacionados al cultivo bajo sombra están ampliamente investigadas y es evidente que estos sistemas tienen un papel importante en la conservación de la biodiversidad (Bhagwat et al., 2008; Pérez et al., 2012). Las especies usadas como sombra tienen un rol esencial en la generación de condiciones microclimaticas y su efecto puede contribuir a regular ciertas plagas y enfermedades (Suatunce et al., 2009; Mouen Bedimo et al., 2012); pero también aportar productos comerciales en beneficio de los pequeños caficultores, que buscan diversificar su economía (Aguilar et al., 2001; Haggar et al., 2011). El efecto de las diferentes interacciones en los sistemas agroforestales (café y árboles de sombra) es influenciado por las condiciones del medio (suelo/clima) así como de la elección del genotipo (especie, variedad) (Farfán y Urrego, 2004).

La importancia del conocimiento del desarrollo foliar y de otras características agronómicas en la planta de café, así como el estado fitosanitario y la fertilidad del suelo son de utilidad para determinar el potencial de producción. De igual forma, en los últimos años, debido a la disponibilidad de programas estadísticos (software) y al conocimiento comprensivo de cómo responden las plantas a los factores de clima y suelo, ha sido posible desarrollar metodologías para evaluar el comportamiento del crecimiento y la producción de los principales cultivos (Thornley y France, 2007). Por tanto, y debido a la importancia de este rubro para la economía de los países, es importante evaluar el desarrollo y crecimiento del café desde sus primeras etapas de crecimiento, esto con el fin de estimar el potencial productivo del cultivo, especialmente ante la amenaza del cambio climático (Lin, 2007).

Por lo anterior, la presente investigación tuvo como objetivo evaluar el comportamiento de tres variedades de café establecidas bajo sombra de tres especies de arbóreas, considerando datos de variables agronómicas con el fin de recomendar la variedad que más se adapte a las condiciones agroclimáticas de la zona en estudio como una contribución en el conocimiento del potencial productivo y de manejo del cultivo de café para usuarios, investigadores y agricultores, lo que permitiría una optimización de recursos y una ayuda en la toma de decisiones sobre al manejo del cultivo.

Materiales y métodos

Localización del estudio

El ensayo se realizó en el distrito cafetalero de Huambo, Provincia de Rodríguez de Mendoza, en el Departamento de Amazonas, norte del Perú. A 1650 m.s.n.m., con un promedio de 19 °C. y una precipitación de 1387 mm/año.

Características agronómicas de las variedades

Con el fin de evitar errores en la toma de datos, durante la etapa de establecimiento se realizó la siembra de las plantas faltantes en los tratamientos del estudio (Arcila et al., 2007). Las observaciones de las características agronómicas fueron realizadas cada 30 días hasta el día 150 después del establecimiento del cultivo, para un total de cinco observaciones.

Las variables agronómicas evaluadas fueron: altura de planta, altura hasta la primera hoja, número de hojas/planta, estado general de la planta y diámetro del tallo, en cinco plantas por unidad experimental en cada uno de los nueve tratamientos y en los tres bloques, para un total de 135 plantas estudiadas. Es importante anotar que n cada medición se tomaron las mismas plantas, lo que indica la generación de datos longitudinales.

Las variables medidas fueron las siguientes:

(1) Altura de planta (A) desde el nivel del suelo hasta el brote apical, empleando una escala decimal. Para esta variable se tomaron en cuenta las plantas con altura uniforme para evitar errores en el promedio general entre evaluaciones; (2) Altura de planta hasta la primera hoja (APH) se midió desde el nivel del suelo hasta la inserción de la primera hoja; (3) Número de hojas (NH) por planta; y (4) Diámetro de tallo (DT) utilizando un calibrador de Vernier a 10 cm sobre el nivel del suelo hasta 180 días después del establecimiento, y a 20 cm después de esta edad.

Estado general de la planta (EP)

Esta característica fue evaluada utilizando una calificación visual sobre desarrollo y vigor de las plantas (Tabla 1).

Tabla 1: Escala para el estado general de la planta.

Diseño experimental

Los tratamientos (Tabla 2) fueron dispuestos en un diseño de bloques completos al azar, colocados en forma perpendicular a la gradiente del suelo. Para las observaciones, en cada unidad experimental se tomaron cinco plantas al azar.

Tabla 2: Tratamientos evaluados en el ensayo. Departamento de Amazonas, norte del Perú

Análisis de datos

Los datos fueron procesados usando el paquete estadístico Minitab V-18 y analizados como longitudinales, por tanto, se realizó un análisis en el tiempo para un mismo espacio, de acuerdo con el procedimiento de prueba que se detalla a continuación (Greenhouse y Geisser, 1959):

Análisis individual de los experimentos.

Utilizando un Diseño en Bloques Completos al Azar (DBCA), donde: yij = observaciones; μ = media poblacional; τi = efecto de tratamiento; βj = efecto de bloque; εij = error experimental

Prueba de homogeneidad de varianzas (Levene’s).

Mediante análisis combinado en el tiempo con el modelo lineal aditivo (diseño en bloques completos al azar/tiempo como factor): yijk = μ + τi + βj + ʎk + τi*ʎk + εijk, donde: yijk = observaciones; μ = media poblacional; τi = efecto de tratamiento; βj = efecto de bloque; ʎk = efecto de tiempo (evaluación); τi*ʎk = efecto de interacción; εijk = error experimental.

Resultados

Análisis individual de datos

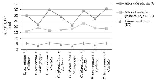
Los resultados obtenidos una vez aplicado al análisis de varianza (Tablas 3 y 4), para el caso de las variables medidas en escala de razón o proporción (A, APH y DT) con prueba F, y para las variables medidas en escala ordinal (NH y EP) con prueba de Friedman, además de la prueba de comparaciones múltiples por mínima diferencia significativa (DMS) en aquellos casos que se detectaron diferencias significativas (P < 0.05) o altamente significativas entre los tratamientos (P < 0.01) mostraron que, la variedad Castillo tanto con sombra de E. torreliana como de P. tecunumanii presentó los mejores resultados en A y DT, no obstante el mejor resultado para APH se observó en esta misma variedad Castillo bajo sombra de C. glandulosa (Figura 1). Los mayores valores de NH (Figura 2) y de EP (Figura 3) se observaron en los sistemas variedad Castillo con sombra de P. tecunumanii seguido por el sistema de esta variedad con sombra de E. torreliana.

Tabla 3: Resultados análisis de varianza para altura de planta, altura hasta la primera hoja y diámetro de tallo.

ns: no significativo (P > 0.05); *: significativo (P < 0.05); **: altamente significativo (P < 0.01)

Tabla 4: Resultados análisis de varianza para número de hojas por planta y estado general de la planta

ns: no significativo (P > 0.05); *: significativo (P < 0.05); **: altamente significativo (P < 0.01)

Resultados comparativos de las variables altura de planta, altura hasta la primera hoja y diámetro de tallo para los distintos tratamientos.

Figura 1: Resultados comparativos de las variables altura de planta, altura hasta la primera hoja y diámetro de tallo para los distintos tratamientos.

Resultados comparativos del número de hojas para los distintos tratamientos

Figura 2: Resultados comparativos del número de hojas para los distintos tratamientos

Resultados comparativos del estado general de la planta para los distintos tratamientos

Figura 3: Resultados comparativos del estado general de la planta para los distintos tratamientos

Prueba de homogeneidad de varianzas

Para esta prueba, en el caso de las variables continuas se utilizó el criterio de la varianza como medida de dispersión, mientras que en el caso de variables discretas el criterio utilizado fue el rango intercuartílico de la medida de dispersión considerada (Tabla 5).

Tabla 5: Resultados prueba de homogeneidad de varianzas.

ns: no significativo (P > 0.05); * : significativo (P < 0.05); **: altamente significativo (P < 0.01)

Análisis combinado en el tiempo

En la Tabla 6 se incluyen los resultados obtenidos en el análisis de varianza conjunto incorporando el tiempo (evaluación) como factor y midiendo el efecto de la interacción tratamiento x tiempo para las variables que presentaron homogeneidad de varianzas entre las cinco evaluaciones en el tiempo; específicamente, altura de planta hasta la primera hoja (APH) y estado general de la planta (EP).

Tabla 6: Resultados análisis de varianza conjunto.

ns: no significativo (P > 0.05); * : significativo (P < 0.05); **: altamente significativo (P < 0.01); T: tratamiento; E: tiempo (evaluación); T*E: interacción

Discusión

El estudio demuestra el potencial de las especies forestales usadas como sombra de los sistemas agroforestales con café. En los resultados se encontró variación significativa (P < 0.01) en la interacción entre las especies maderables y su efecto sobre las distintas variedades de café. Cuyo análisis de las variables altura de planta, número de hojas por planta, estado general de la planta y diámetro de tallo muestra que la variedad Castillo P. tecunumanü + Castillo P. tecunumanü + Catimor C. glandulosa + Castillo C. glandulosa + Morago gipe C. glandulosa + Catimor E. torreUana + Castillo E. torreUana + Maragogipe E. torreUana + Catimor cultivada bajo el dosel arbóreo de P. tecunumanii y C. glandulosa logra un mejor desempeño frente a los demás tratamientos.

Una posible razón de esta diferencia puede deberse a la competencia por nutrientes y agua, y también porque cada cultivo (variedad o especie) requiere distintas condiciones de radiación solar para su crecimiento (Farfán y Urrego, 2004; Loreto et al., 2017). Dicho efecto puede tomar mayor notoriedad con los eventos climáticos extremos actuales, que sugieren perturbaciones en el equilibrio entre los factores del clima y la vegetación que coexiste en un determinado agroecosistema, y que eventualmente pueden afectar la producción de café (Lin, 2007).

Esto también habla de la necesidad de ajustar la tecnología agroforestal, para favorecer la influencia recíproca entre genotipos y/o especies dentro de los agroecosistemas (Aguilar et al., 2001; Farfán y Mestre, 2004). Dado que, la adecuada selección de árboles puede atenuar los efectos de déficit hídrico y mantener la fertilidad del suelo, asimismo controlar la erosión del suelo (Haggar et al., 2011; Pérez et al., 2012) permitiendo un mejor desarrollo del cafeto.

Por otro lado, establecer plantaciones de café bajo sombra de especies arbóreas, para nuestro análisis favorece a la economía de los caficultores; pues se ha reportado que influyen sobre la calidad física y sensorial del grano (Bosselmann et al., 2009) e incrementa la diversidad de organismos de control biológico que contribuyen en la reducción de la incidencia de plagas (Suatunce et al., 2020; Mouen Bedimo et al., 2012); no obstante, un deficiente manejo de la cobertura aérea puede favorecer la infestación por ciertas plagas (Jezeer et al., 2015). Además, es posible que los productores de café puedan complementar sus ingresos a través de la venta de los productos obtenidos de los árboles usados como sombra. En términos generales, el efecto de la sombra sobre la productividad y calidad del café está estrechamente relacionado con el manejo de sombra y la adecuada combinación de árboles para fortalecer el equilibrio natural (Haggar et al., 2011).

Conclusiones

En este estudio se demuestra que el comportamiento agronómico del café medido en altura de planta (A), número de hojas (NH), diámetro del tallo (DT) y estado general de la planta (EP), esta relacionado con la forma en la que interactúan sus componentes (especie de sombra y variedad de café). Tal es el caso de la variedad Castillo que bajo la sombra de P. tecunumanii y C. glandulosa mostró un mejor desarrollo, mientras, la variedad Maragogipe tanto con sombra de E. torreliana como con sombra de C. glandulosa muestra un deficiente comportamiento agronómico. En líneas generales, los resultados reflejan el potencial de las especies forestales usadas como sombrío de los cafetales, sin embargo, es fundamental ampliar el estudio de sus bondades.

Referencias

  1. Aguilar, A.; Beer, J.; Vaast, P.; Jimenez, F.; Staver, CH.; y Kleinn, CH. 2001. Desarrollo del café asociado con Eucalyptus deglupta o Terminalia ivorensis en la etapa de establecimiento. Agroforesteria en las Americas 8(30): 28-31. URL: http://repositorio.bibliotecaorton.catie.ac.cr/handle/11554/6026 [URL] 🠔
  2. Arcila, J.; Farfan, F.; Moreno, A.; Salazar, L.; y Hincapié, E. 2007. Sistemas de producción de café en Colombia. Revista Cenicafé, Colombia. 309 p. URL: http://biblioteca.cenicafe.org/handle/10778/720 [URL] 🠔
  3. Bhagwat, S.A.; Willis, K.J.; Birks, H.J.B.; and Whittaker, R.J. 2008. Agroforestry: a refuge for tropical biodiversity? Trends Ecol. Evol. 23: 261-7. DOI: https://doi.org/10.1016/j.tree.2008.01.005. [URL] 🠔
  4. Bosselmann, A.S.; Dons, K.; Oberthur, T.; Olsen, C.S.; Ræbild, A.; and Usma, H. 2009. The influence of shade trees on coffee quality in small holder coffee agroforestry systems in Southern Colombia. Agric. Ecosyst. Environ. 129: 253-260. DOI: https://doi.org/10.1016/j.agee.2008.09.004 [URL] 🠔
  5. Caswell, M.; Méndez, V.E.; and Bacon, C.M. 2012. Food security and smallholder coffee production: current issues and future directions. ARLG Policy Brief # 1. University of Vermont: Burlington, VT. URL: https://scholarcommons.scu.edu/ess/2/ [URL] 🠔
  6. Chiquillo, K.; Gaitán, N.; y Vargas, L. 2013. Descripción de la dinámica agroproductiva-comercial del subsector café en El Salvador y aproximación al análisis de equidistribución del ingreso generado 1990-2011. Revista Realidad. 137: 417-455. URL: http://www.uca.edu.sv/upload_w/8/archivo/1391120570-52ead0baa15b9.pdf [URL] 🠔
  7. Farfán, F.; y Mestre, A. 2004. Respuesta del café cultivado en un sistema agroforestal a la aplicación de fertilizantes. Cenicafe 55(2):161-174. URL: https://www.cenicafe.org/es/publications/arc055%2802%29161-174.pdf [URL] 🠔
  8. Farfán, F.; y Urrego, J.B. 2004. Comportamiento de las especies forestales Cordia alliodora, Pinus oocarpa y Eucalyptus granáis como sombrío e influencia en la productividad del café. Cenicafé 55(4):317-329. URL: https://www.cenicafe.org/es/publications/arc055(04)317-329.pdf [URL] 🠔
  9. Greenhouse, S.; and Geisser, S. 1959. An extension of Box’s results on the use of the F distribution in multivariate analysis. The Annals of Mathematical Statistics, 29. 🠔
  10. Haggar, J.; Barrios, M.; Bolaños, M.; Merlo, M.; Moraga, P.; Munguia, R.; Ponce, A.; Romero, S.; Soto, G.; and Staver, C. 2011. Coffee agroecosystem performance under full sun, shade, conventional and organic management regimes in Central America. Agroforestry Systems (3): 285-301. DOI: https://doi.org/10.1007/s10457-011-9392-5 [URL] 🠔
  11. Jezeer, R.E.; y Verweij, P.A. 2015. Café en Sistema Agroforestal - doble dividendo para la biodiversidad y los pequeños agricultores en Perú. Hivos, The Hague, Holanda. URL: https://www.researchgate.net/publication/301694184_Cafe_en_sistemas_Agroforestales_Doble_dividendo_para_la_biodiversidad_y_los_pequenos_agricultores_en_ Peru [URL] 🠔
  12. Lin, B.B. 2007. Agroforestry management as an adaptive strategy against potential microclimate extremes in coffee agriculture. Agric. For. Meteorol. 144: 85-94. DOI: https://doi.org/10.1016/j.agrformet.2006.12.009 [URL] 🠔
  13. Loreto, D.; Esperón-Rodríguez, M.; and Barradas, V.L. 2017. The climatic-environmental significance, status and socioeconomic perspective of the grown-shade coffee agroecosystems in the central mountain region of Veracruz, Mexico. Investigaciones Geográficas 92: 87-100. DOI: https://doi.org/10.14350/rig.51876 [URL] 🠔
  14. Mouen Bedimo, J.A.; Dufour, B.P.; Cilas, C.; and Avelino, J. 2012. Effets des arbres d’ombrage sur les bioagresseurs de Coffea arabica. Cahiers Agricultures 21(2-3): 89-97. DOI: https://doi.org/10.1684/agr.2012.0550 [URL] 🠔
  15. Pérez, J.; Valdés, E.; y Ordaz, V.M. 2012. Cobertura vegetal y erosión del suelo en sistemas agroforestales de café bajo sombra. Terra Latinoamericana, 30(3): 249-259. URL: http://www.scielo.org.mx/pdf/tl/v30n3/2395-8030-tl-30-03-00249.pdf [URL] 🠔
  16. Suatunce, P.; Díaz, G.; y García, L. 2009. Evaluación de cuatro especies forestales asociadas con café (Coffea arabica L.) y en monocultivo en el litoral ecuatoriano. Ciencia y Tecnología 2(2): 29-34. URL: http://www.uteq.edu.ec/revistacyt/publico/archivos/C1_articulo_520092.pdf [URL] 🠔
  17. Thornley, J.; and France, J. 2007. Growth functions. En: Mathematical Models in Agriculture. Quantitative methods for the plant, animal and ecological sciences. 2nd Ed. Cromwell Press, Trowbridge. Pp. 136-171 🠔