Acta Agronómica
0120-2812
Universidad Nacional de Colombia
https://doi.org/10.15446/acag.v68n1.72334

Recibido: 21 de mayo de 2018; Aceptado: 2 de abril de 2019

Determining factors for an increase in consumption of fresh vegetable by habitants in the Caribbean region of Colombia

Factores determinantes del aumento en el consumo de hortalizas frescas por habitantes de la región Caribe de Colombia

A. Martínez-Reina, 1 *

Corporación Colombiana de Investigación Agropecuaria-AGROSAVIA. C.I. Turipaná. Kilómetro 13 vía Cereté - Montería. Corporación Colombiana de Investigación Agropecuaria-AGROSAVIA
Kilómetro 13 vía Cereté
Montería

Autor para correspondencia: amartinezr@agrosavia.org.co

Abstract

The aim of this study was to establish elements to understand the consumers reasons to increase the quantities of fresh vegetables consumed in the Caribbean Region of Colombia. With information from 308 surveys applied randomly in seven cities of the Caribbean Region and using a structured survey that included variables such as age, family composition, prices, income, a Logit econometric model was formulated. Furthermore, with the contingent valuation method, parameters were estimated using maximum likelihood; moreover, the reasons that explain the possibility that families increase vegetable consumption were identified. Results allow us to appreciate first that 53 % of the surveyed respondents would be willing to increase consumption. The variable that explains mostly an increase in consumption is scholarship with a positive value of 0.7667 with a direct relationship, with a significance of 0.005, i.e. with a higher the level of education, the probability of increasing consumption is also higher, presumably because the consumer has more information about the properties and advantages that vegetables have for health. These decisions are also influenced by vegetable prices and consumer age, but in an inverse relationship, i.e. at a higher price and age, less possibility of increasing consumption was observed. On the other hand, variables such as number of family members have a direct influence on decisions to increase vegetable consumption.

Key words:

preferences, decisions, prices, income, age, schooling, quantity, quality, vegetable consumption.

Resumen

El estudio se realizó en siete ciudades de la región Caribe de Colombia, incluyendo los departamentos Córdoba, Sucre, Bolívar, Atlántico, Magdalena, La Guajira y Cesar, con el objetivo de conocer los elementos que permiten entender las razones por las cuales los habitantes tienden a aumentar las cantidades consumidas de hortalizas frescas. Para ello, se analizó la información contenida en datos de 308 encuestas aplicadas al azar utilizando un sistema estructurado que incluía variables como edad, composición familiar, precios, e ingresos, en un modelo econométrico Logit. Además, con el método de valoración contingente se estimaron los parámetros de máxima verosimilitud, que permiten identificar las razones y la posibilidad de que las familias aumenten el consumo de hortalizas. Los resultados mostraron que, 53% de los encuestados están dispuestos a aumentar el consumo de hortalizas. El grado de escolaridad es la variable que en mayor grado explica el aumento del consumo, con un valor de 0.7667 (P < 0.05); por tanto, según el estudio, entre mayor es el nivel de escolaridad, mayor es la probabilidad de aumentar el consumo por habitante. Además del conocimiento de las ventajas de las hortalizas frescas para la salud, las decisiones de consumo son afectadas de manera inversa por los precios y la edad del consumidor; es decir, a mayor precio y mayor edad, menos posibilidad de aumentar el consumo. En cambio, las variables como el número de miembros de la familia influyen en forma directa en las decisiones de aumentar el consumo de las hortalizas.

Palabras clave:

preferencias, decisiones, precios, ingresos, edad, escolaridad, cantidad, calidad, consumo de vegetales.

Introduction

In recent years, consumers have shown an in- terest for food quality as well as quantity that conceivably has been motivated by the crisis that has been occurring worldwide since 2007 - 2008 with a tendency for food prices to increase. According to the Food and Agriculture Organization of the United Nations, the food price index in 2017 showed an increase of 8.2 percent in relation to 2016 (FAO, 2017). This led governments and multinational organizations to think about and work on the issue of food security in order for the population to have permanent access to healthy and safe food that subsequently leads to a more active healthy life.

In relation to the consumption of fresh vegetables, according to the FAO and Ministerio de Agricultura y Desarrollo Rural of Colombia (MADR, 2017), aggregate information allows to appreciate that 27.9% of the Colombian population does not consume vegetables, and daily consumption is estimated in 45.75 g day-1 person-1. This is con- sidered very low compared to the consumption of vegetables in other countries as Germany, in which the average consumption is 255 g day-1 person-1. In the case of the Caribbean region of Colombia, there is no detailed study about the consumption of vegetables, so our study will contribute to the generation of information about the possibilities of increasing the consumption of vegetables in this region.

The neoclassical theory of consumer demand defined that the demand for any good depends on variables such as price, income level, the price of substitute and complementary goods, tastes and preferences (Case and Fair, 2010). In addition to the previous determinants, they included age, gender, and customs, which generates changes in the decisions of the consumer against the purchase of goods.

The theory of revealed preference materialized the application of neoclassical approaches and opened a broad path for the investigation and understanding of consumer decisions, proposing the interaction and conciliation of the economic theory with other social sciences (Salazar, 2010).

Nicholson (1997) affirms that a consumer reveals his preferences according to the utility or satisfaction that the consumption of a good provides him/her, and this is related to its quality. In this sense, the consumer defines his preferences according to the level of satisfaction and reveals these preferences. Individuals are able to sort all possible situations from the least to the most desirable one, and calls these utilities.

The revealed preference approach to study consumer behavior or decision-making by the consumer, is based on real, observable and me- asurable facts and situations, considering that the study object is the combination of goods that the consumer actually purchases. A consumer not only bases his decision on prices but also on attributes that represents satisfaction. In this case, we can say that the consumer, given the qualities or attributes of a good (i.e. vegetables) decides the quantity he/she wants to buy and the preference of some goods over others, trying to maximize his/her satisfaction. Samuelson (1948)

A key element to understand the decisions to increase consumption is to recognize that these are influenced by variables such as sex, age, access to the product, socioeconomic status, educational level, personal tastes of the individual, cultural traditions, level of income, food prices, advertising, among others. On the other hand, individual purchasing decisions include other components. First, the aim is to obtain a benefit or satisfaction, which in the case of fruits and vegetables, is the food need, in addition to the pleasure that different tastes, textures, colors and smells produce (López 2003).

The evaluation of the willingness to increase consumption of fresh vegetables by consumers in the Caribbean Region of Colombia, allows us to analyze the elements that explain the reasons consumers have to make these decisions based on the knowledge of the attributes of the products and the benefits to health. Moreover, also on availability of resources such as income and relative prices that at a certain moment, could constitute an inhibitor of consumption growth.

The technique of contingent valuation that was initially used for the valuation of environmental services, showed that it can be used in other fields when it comes to explaining revealed preferences motivated by desire or satisfaction as exposed by the neoclassical consumer theory. This technique consists in the formulation of a Logit model such as the one developed by Mc-Fadden in 1973 to demonstrate the preference or indifference of a consumer towards taking or not taking the decision, that in this case, is to increase the consumption of vegetables in the Caribbean Region of Colombia.

There are some work applications of this method in agriculture such as the one carried out by Hanemann (1984), that designed a theoretical formulation of the contingent valuation model using binary variables to give an explanation of welfare, which is determined indirectly by satisfaction. This in turn is conditioned by the quality of the goods and the satisfaction that derives from the consumption of these.

The preference of consumers for the quality of agricultural products was evidenced in a study by Martínez et al. (2014), had as objective, determine the variables that explain the formation of tomato variety prices in the Province of Alicante in Spain. With the use of the hedonic price technique, they identified these factors. The work concludes that there is a relationship between the price and the income level of consumers, the level of studies is the variable that most explains this situation, which it’s. It is appreciated because as consumers progress from a lower education level to a higher one, consumers prefer higher quality tomatoes.

Jaramillo (2015) found that the consumer of rabbit meat in Mexico decides to increase the additional units taking into account attributes such as: safety, freshness, texture, color, organic production and price. With a randomly selected sample of 197 people and the application of techniques such as descriptive correlation analysis and a Logit-type econometric model, also used a Likert scale of five categories. The results establish attributes in order of importance: organic, innocuous, freshness and price being the organic attribute the most preferred by 64% of consumers, followed by the safety attribute. Finally, and in conclusion, the author established that consumers would be willing to pay an additional 15% premium for the organic attribute.

In vegetables, Lacaze (2014) carried out a work to determine the willingness to pay for potatoes produced under integrated pest management systems in Argentina. Data was obtained from a survey applied through a stratified sampling technique employed randomly to 500 households in the city of Mar del Plata. The method used was a contingent valuation, and a Logit-type econometric model was formulated. The work allows concluding that the availability of this food would generate an increase in welfare of the consumers of the city equivalent to 12.9 million pesos per year.

In agricultural research, Martínez et al. (2012) defined the elements that inhibit or facilitate the adoption of standards in the horticultural subsector of northwestern Mexico. The authors used a McFadem Logit-type model to establish the effect of the variables that directly affect producers and those that they can control, and therefore, affect the adoption of standards. The work concluded that the application of good agricultural practices, training, monitoring and accompaniment are the factors that contributed most to the adoption of standards by companies that produce vegetables.

According to the aforementioned, the aim of this study was to establish the elements that explain consumer willingness to increase the quantity of fresh vegetables in the Caribbean Region of Colombia, based on a fieldwork carrying out 308 surveys applied to consumers in seven major cities randomly selected in major commercialization centers and public markets.

This work is based on the hypothesis: The probability of increasing consumption of fresh vegetables by consumers depends on the prices of vegetables, the income of consumers, but can also influence qualitative variables such as schooling level or the age of the consumers.

Materials and methods

Study area

The information to formulate the model that explains the willingness to increase the consumption of vegetables was obtained during the field work in seven departments that comprise the Caribbean Region in Colombia (Córdoba, Sucre, Bolívar, Atlántico, Magdalena, La Guajira and Cesar), included in a research project on consumer preferences of fresh vegetables executed by Corporación Colombiana de Investigación Agropecuaria (Corpoica).

The data employed was obtained from the application of 308 surveys to consumers in the capital cities of each department in big consumption centers of the region (Table 1). A simple aleatory sampling technique selected completely randomly to consumers in shopping centers and market places was carried out. Sample distribution was carried out randomly taking into account the size of the city and the population density, and from these surveys, information regarding consumer preferences was inferred.

As can see in Table 1, the city of Barranquilla is the most densely populated (1,821,517 inhabitants) and for that reason, it was the one with the highest number of surveys. On the contrary, the city of Riohacha has the lowest number of observations having also the least number of inhabitants (167,865 inhabitants) and it is the smallest city in the region. Sampling was completely random and market buyers were surveyed in markets and the general public in supermarkets.

Table 1: Number of surveys carried out in the main cities of the Caribbean Region of Colombia in 2017.

Source: Elaborated by the authors based on surveys carried out by Corpoica in 2017.

To analyze the reasons that consumers have to increase the consumption of vegetables in the Caribbean Region, the contingent valuation method was used, justified in the fact that this research reveals preferences of any economic agent, and in this case, the consumers of vegetables faced with the decision whether to increase or not the consumption of vegetables. This implies modifying their behavior either by substituting some product that they had been consuming to increase the consumption of vegetables or by allocating a part of the income.

A characteristic of the contingent valuation method is that it is very useful when working with revealed preferences. In this case, in which the consumer reveals preferences towards an increase or decrease in consumption, the issue in this method is to leave the surveyed consumer to freely say if he/she is willing to increase the quantities of vegetables that he/she buys, and this implies to destine an additional amount of money of his/her income to increase the consumption of vegetables.

According to Tudela et al. (2009) an important issue is that the questions and conundrums of the person conducting the survey must be randomly distributed among respondents. These are left to make the decision freely, i.e. to say whether or not he/she agrees with what is asked in the survey. In other words, if your answer is affirmative or not, and you decide if you agree or not according to what is suggested by Haab and McConnell (2002).

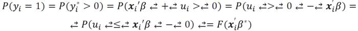
To know if a consumer prefers to increase the consumption of vegetables in the Caribbean region, a binary model with yes and no answers was used. In this way the contingent valuation method was applied in which the respondent, in this case the consumer, is free to decide if he/ she is willing or not to increase the consumption of vegetables (Equation 1).

where: i = 1, when the consumer is willing to increase vegetable consumption; i = 0, when the consumer is not willing to increase vegetable consumption.

Determinants of the willingness to increase consumption: Utility y 1 , the income of the jth respondent, zj is a vector of attributes and socioeconomic characteristics of the consumer, and εj is a component of known preferences for the individual informant but not observed by the researcher. Terminating disturbance.

Econometric model design

To establish the willingness to increase the consumption of vegetables an econometric model design was made taking into account a group of possible variables that explains consumer decision. Among these was include vegetable price, consumer age, number of family members, consumer income and schooling level. Data organization was made taking into account two types of variables. For the case of the qualitative ones, binary and dichotomous variables were assigned values of zero (0) when the answer was negative and one (1) when it was affirmative. Meanwhile the quantitative variables were grouped by ranges in order to make the data less dispersed and facilitate their management.

The data product of the surveys was organized in flat files, frequency and contingency tables were generated, descriptive statistics were calculated and parameters were estimated with the use of the econometric programs Eviews and Stata (Stucchi 2006 and Hamilton 2009), running LOGIT regressions.

To determine the probability that consumers are willing to increase the consumption of vegetables the formulation of a Logit model such as the one used by McFadden (1973) was carried out and it is called discrete choice model. It considers that when individuals are going to make a decision, they are faced with two alternatives of whether to do it or not (Madala 1996); however, the choice depends on identifiable characteristics of the object or good in question. These discrete choice models refer to decisions that include ‘desire’ and ‘capacity’ (Pindyck and Rubinfeld 2001), for which two types of variables are proposed. A dependent that will be explained and another explanatory that has to do with the attributes or characteristics on which the decision will depend on (Martínez, 2012). The model assumes a distribution with a logistic curve where the explained variable or dependent variable Y1 is related, and this is the probability of increasing the vegetable consumption explained through the independent variables Xi using a distribution function (Gujarati 2006). The probability model would be defined as follows (Equation 2).:

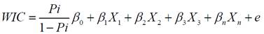
the general model proposed in this case is (Equation 3):

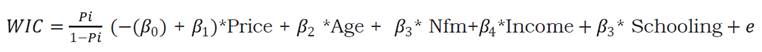
where:WIC = willingness to increase the consumption of vegetables, X 1, X 2 X3 … X, = price, age, income, schooling.

With this exercise we expect that the variables that can explain an increase in vegetable consumption or the elements that would make a consumer refuse to increase it or modify the behavior regarding vegetable purchase for the family, can be defined.

The decision to use a Logit model and not another type of model as a linear one is because it deals with involving qualitative variables expressed as proportions that show the desires or attitude that the consumer reveals. In this case it is the desire or the aspiration of the consumer to modify his/her behavior regarding the purchases made. The variables that comprise the model can be seen in Table 2.

Table 2: Variables that comprise the model to determine the willingness to increase the consumption of vegetables in the Caribbean Region of Colombia.

Source: Elaborated by the authors in 2017.

Once the dependent and independent variables were defined and the parameters were estimated, it was possible to formulate a regression equation to explain the probability of increasing the consumption of vegetables through explanatory variables, which is presented in the following way (Equation 4).

where: WIC = Willingness to increase vegetable consumption, β= value of the parameters resulting from the Logit model estimation, Price = the price paid for the vegetables, Age = age of the consumer or head of household, NFM = number of family members, Income = family income, Schooling = maximum schooling level of the person responsible of shopping for the household, e = disturbance term.

It is worth noting that there will be as many pameters as independent variables.

According to this equation the probability of explaining the willingness of consumers to increase the consumption of vegetables can be explained by variables such as price, age of the person responsible for purchases in the house- hold, number of family members, family income and schooling level.

The assumptions that were used to formulate the model that was intended to explain the fac- tors that determine the probability of increasing the consumption of vegetables by the families surveyed were: (1) there is a direct relationship between level of income and increase in consumption; (2) there is an inverse relationship between prices and willingness to increase purchased quantities of vegetables; (3) the number of family members can have a positive effect on an increase in the consumption of vegetables; and (4) the higher the level of schooling, the greater the knowledge of the attributes that vegetables have, and therefore, the probability of increasing consumption is higher. Statistical significance tests were performed to define the probability of accepting the hypothesis that the p-values are below the significance level (in this case at 10 percent), the probability of rejecting the null hypothesis that the parameter value is zero.

Results

The data obtained in the field and organized in flat files allowed to feed the Logit model that was formulated, estimating the parameters through the maximum likelihood method. Results of the estimation allowed the formulation of the following function that expresses the value of the parameters (Equation 5):

where:

WIC = Willingness to increase vegetable con- sumption, β= Value of the parameters resulting from the Logit model estimation, Price = the price paid for vegetables. Age = Age of consumer or head of household. NFM = Number of family members, Income = Family income, Schooling = Maximum schooling level of the person responsible of shopping for the household, e = Disturbance term.

Parameter estimation results and significance tests are presented on Table 3.

Table 3: Outputs from the model estimation to determine the willingness to increase the consumption of vegetables in the Caribbean Region of Colombia in 2017

Source: Elaborated by the authors with data from a study conducted by Corpoica, Colombia. 2017.

Price as an explanatory variable of the probability of increasing the consumption of vegetables was -0.001747, which suggests that when the price increases the possibility of increasing the consumption of vegetables is low, i.e. faced with high prices, the probability to increase the consumption of vegetables is low. Consumer age as an explanatory variable with a value estimated in -0.0198759, means that when the age of the family members is higher, the probability to increase the consumption of vegetables is lower. The variable number of family members (NFM) with a positive value of 0.1588709 indicates that each time there is a new family member that belongs to the household, the probability of increasing the consumption of vegetables also increases. The variable income with a positive value of 0.1107177, although it was not significant, it suggests that to a higher income there is also a higher probability of increasing the consumption of vegetables. Finally, the variable schooling, also with a positive value of 0.7666603, indicates that as the level of schooling increases, the probability of increasing the consumption of vegetables also increases. Moreover, when the marginal effects were calculated, also this variable showed the highest contribution when explaining an increase in consumption.

Discussion

The results of the model estimations with all the esteemed parameters and the indicators of the statistical significance tests show the robustness of the model. This can be seen in the information in Table 3. The values of the statistical Z are higher compared to those of the probability distribution, and this is why the null hypothesis is rejected, considering that the coefficients are equal to zero under a confidence level of 90 percent.

This was evident in all cases except for the variable income that was not significant at this level of confidence (the sign was as expected), presenting a direct relationship between an increase in income and an increase in probability to aug- ment the consumption of vegetables by families in the Caribbean Region of Colombia. It should be noted that in most cases these parameters were significant at less than 10 percent, and for this reason, the hypothesis that p is different from zero is accepted.

When considering that the aim of this study was to determine the reasons that could exp- lain the increase in vegetable consumption by families or consumers in the Caribbean Region of Colombia, a large number of variables were taken into account; these included prices, income, family composition, social class, all of which were included in the survey form. Once the data was cleaned and analyzed and the model was run, only those that showed consistency and gathered general statistical characteristics were price, consumer age, number of family members, income and schooling level. However, we must clarify that the variables considered in our study were many more than the ones mentioned above. On the other hand, once the parameters were estimated the signs were obtained as expected according to the assumptions of the model. For example, the direct relationship between the level of income and an increase in consumption were demonstrated by estimating a value of 0.110717 with a positive sign. The inverse relationship between prices and the willingness to increase the purchased quantities of vegetables could be evidenced given the value of the parameter, i.e. -0.001747, which indicates that the consumption tends to fall due to the exception of an increase in prices. Equally it happened with the variable schooling that is the one that explains in major proportion the probability of increasing the con- sumption of vegetables.

When the marginal effects of the explanatory variables were calculated, with the exception of income, we observed that vegetable prices are inversely related to the possibility of increasing the consumption of vegetables; however, the contributions of each variable are low when explaining the increases in consumption, and the only variable that explains the highest increase in consumption is schooling. The results obtained show the variable level of schooling as the one that best explains the willingness to increase the consumption of vegetables by consumers in the region. From this result we can infer that when the level of schooling is higher, the consumers will know more about the nutritional properties of the vegetables and this will increase their value. This same result was found in the work of Lacaze (2014) who showed that there is a direct relationship between the level of information that consumers have about the product and the ability to identify and assess the benefits of the product under integrated pest management; this in turn has a direct relationship with the quality of the product, in this case, potato for human consumption.

It is also considered that the results of this work have a very close relationship with those found in the case of milk in Argentina, where although consumers are aware of the importance of the quality of the products, the willingness to pay an additional price is very low; this is however increased with the information they have of the quality of the products and give certain priorities when making purchases. In this same sense, the study of vegetables in the Caribbean Region shows limitations in the increase in consumption due to high prices and this can be seen in the negative sign of the coefficient indicating that there is an inverse relationship between prices and the willingness to increase consumption of vegetables.

A similar case was found in the work of Martínez et al (2014) in a paper on tomato price determination by quality, through the method of hedonic prices reaches the same conclusion that is that there is a relationship between the price and the level of income of consumers, the level of studies is the variable that most explains this situation, this is appreciated because as consumers progress from a lower education level to a higher one, consumers prefer higher quality tomatoes. Similarly, case like that evidenced in this article with the application of the contingent valuation method.

Conclusions

This work established that 51% of the sample is willing to increase the consumption of fresh vegetables. Likewise, factors as prices and income as quantitative variables, and qualitative variables as the level of education show that consumers reveal preferences that will allow carrying out prospective analyses of this agricultural line in the Caribbean region of Colombia.

The analysis of the relationship between income and consumption shows the reality of the economic theory in the case of fresh vegetables in the Caribbean Region of Colombia, where direct relationships were found between the increase in income and consumption with a positive sign coefficient, and between prices and willingness to increase consumption with a negative sign coefficient.

Among the variables that establish the possi- bilities of increasing consumption, the one that contributed most to the model was the level of education. This situation is explained by the fact that those who have more information about the features and properties of the good they will consume, in this case, fresh vegetables, may have more reasons to decide to increase their consumption.

References

  1. Case, K. and Fair, R. .2010. Principios de Microeconomía. México, 2012. Pearson Educación de México, S.A. de C.V. p 51 - 56 🠔
  2. FAO. (2017) Food and Agriculture Organization of the United Nations. Food price index. Retrieved from http://www.fao.org/worldfoodsituation/foodpri-cesindex/es/ [URL] 🠔
  3. Gujarati, D. 2006. Econometría. 5 ed., México, ISBN 9786071502940 published by McGraw-Hill/Irwin, Inc. 902 páginas. 🠔
  4. Haab, T. C., and McConnell, K. E. (2002) Valuing Environmental and Natural Resources. Edward Elgar Publishing. Cheltenham, ISBN 1 84064 704 3 (cased) 1 84376 388 5 (paperback) Printed and bound in Great Britain by MPG Books Ltd, Bodmin, Cornwall UK 🠔
  5. Hanemann, W.M. (1984) Welfare evaluations in contingent valuation experiments with discrete responses. Am. J. Agrie. Econ. 66:332-341. DOI: https://doi.org/10.2307/1240800 [URL] 🠔
  6. Hamilton, L.C. (2009). Statistics with STATA 8. Belmont, CA: Duxbury Press Retrieved from: https://www.researchgate.net/publication/254399802_Econometria_con_Stata_Introduccion_y_analisis_de_datos. [URL] 🠔
  7. Jaramillo-Villanueva, J. L.; Vargas-López, S., and Guerrero-Rodriguez, J. de D. 2015. Preferencias de consumidores y disponibilidad a pagar por atributos de calidad en carne de conejo orgánico. Rev. Mex. Cien. Pec. 6(1):221-232. DOI: https://doi.org/10.22319/rmcp.v6i2.4065 [URL] 🠔
  8. Lacaze, M. 2014. Valoración contingente de hortalizas frescas obtenidas bajo manejo integrado de plagas: El caso de la papa (patata) en Argentina. ITEA. Vol. 110 (1), 102-118. DOI: http://dx.doi.org/10.12706/itea.2014.007 [URL] 🠔
  9. López, A. 2003. Manual Para la Preparación y Venta de Frutas y Hortalizas: Del Campo al Mercado. p. 208. FAO. Boletín de servicios agrícolas de la FAO 151. ISBN 92-5-304991-X. URL: http://www.fao.org/3/Y4893S/Y4893S00.htm [URL] 🠔
  10. Madala, G. (1996). Introducción a la econometría. 2. ed. México, Prentice-Hall. 🠔
  11. Martínez, R.; Avendaño, B.; Acosta, A. 2012. Determinantes de la adopción de estándares en el subsector hortícola del Noroeste de México. Cien. Tecn. Agropec. 12(2): 175-181. DOI: https://doi.org/10.21930/rcta.vol12_num2_art:229 [URL] 🠔
  12. Martinez, L et al. 2014. Factores determinantes del precio de los tomates de variedades tradicionales: un análisis de precios hedónicos. Econ. Agr. Rec. Nat. 14(2):81-95. DOI: 10.7201/earn.2014.02.04 [DOI] 🠔
  13. McFadden, D. 1973. Conditional logit analysis of qualitative choice behavior. En: P. Zarembka. (ed.). Frontiers in Econometrics. Nueva York, Academic Press. 🠔
  14. Nicholson, W. 1997. Teoría microeconómica. Principios y aplicaciones. Editorial McGraw Hill. p. 101-03. 🠔
  15. Pindyck, R. and D, Rubinfel. 2001. Econometría: Modelos y pronósticos, 4 ed., México, McGraw Hill. Econometría: Modelos y pronósticos, 4 ed., México, McGraw Hill. 🠔
  16. Salazar, J. and Vásquez, F. 2010. El legado de Samuelson La preferencia revelada. Rev. Int. Soc. (RIS) 68(3). p. 797-804 DOI:10.3989/ris.2010.03.24 [DOI] 🠔
  17. Samuelson, P. A. 1948. Consumption theory in terms of revealed preference. New series. 15(60):243-253. Retrieved from: https://www.jstor.org/stable/pdf/2549561.pdf?seq=1#page_scan_tab_contents. [URL] 🠔
  18. Stucchi, R. (2006) Breve introducción a Eviews. Retrieved from http://www.sucarrat.net/teaching/macroeconometria/guia_stucci.pdf. [URL] 🠔
  19. Tudela, J.; Martinez, M.; Valdivia, R.; Portillo, M. and Romo, J.M. 2009. Modelos de elección discreta en la valoración económica de áreas naturales protegidas. Rev. Mex. De ec. Agríc. Y de los rec. Nat. Volumen 2 numero 3. Julio - Diciembre. URL: http://revistas.unap.edu.pe/journal/index.php/EPG/article/download/4/8/ [URL] 🠔