Acta Agronómica
0120-2812
Universidad Nacional de Colombia
https://doi.org/10.15446/acag.v68n1.75662

Recibido: 4 de febrero de 2019; Aceptado: 20 de diciembre de 2019

Fotografía multiespectral para el diagnóstico fitosanitario de pasto kikuyo (Cechrus clandestinus (Hochst ex Chiov) Morrone)

Use of multispectral photography to assess the phytosanitary status of kikuyu grass (Cechrus clandestinus (Hochst ex Chiov) Morrone)

J. Hoyos Rojas, 1 W. Posada Asprilla, 1 M. Cerón Muñoz, 1 *

Universidad de Antioquia, Colombia.Grupo de investigación GaMMA. Universidad de Antioquia Universidad de Antioquia Grupo de investigación GaMMA Colombia

Autor para correspondencia: mario.ceron@udea.edu.co

Resumen

En fincas ganaderas de la región norte del departamento de Antioquia (Colombia) se evaluó la posibilidad de diagnosticar el estado fitosanitario del pasto kikuyo (Cechrus clandestinum (Hochst ex Chiov)) empleando un sensor multiespectral acoplado a un dron. Para esto se captaron las reflectancias de 109 unidades de muestreo en las longitudes de onda rojo (R), verde (G), azul (B), borde rojo (RE) e infrarrojo cercano (NIR), las cuales fueron relacionadas con niveles de daño por plagas determinados mediante clasificación foliar en campo. Las longitudes de onda R, G, B y RE se correlacionaron moderadamente con el grado de daño foliar, sus coeficientes fueron, respectivamente, 0.63, 0.51, 0.51 y 0.50. La longitud del NIR mostró relación positiva baja (r = 0.14). Se evaluaron 25 modelos lineales generalizados, calculados a partir de los valores de reflectancia, donde el modelo y= (41.330* R) + (1.38*NIR), con desviación 0.69 se estableció como el de mayor moderación. Además, es un modelo de fácil aplicación al emplear solo dos longitudes espectrales.

Palabras claves:

afección por plagas, longitud de onda, radiancia, teledetección.

Abstract

The phytosanitary status of Kikuyu grass (Cechrus clandestinum (Hochst ex Chiov)) was studied using a multispectral imaging sensor carried by a drone. Reflectance in the red (R), green (G), blue (B), red-edge (RE), and near infrared (NIR) wavelengths was recorded for 109 sampling points. Wavelengths were related to the degree of damage caused by pests, determined in the field. R, G, B, and RE wavelengths were moderately correlated with the degree of disease in the leaves, with 0.63, 0.51, 0.51 and 0.50 coefficients, respectively, while near infrared wavelength presented a low positive correlation (r = 0.14). In total, 25 generalized linear models were evaluated, where the model y = (41.33 * R) + (1.38 * NIR), with 0.69 deviance, resulted in the highest parsimony model. In addition, is an easy model to apply because it uses two bands only.

Key words:

pest damage, radiance, remote sensing, wavelength.

Introducción

El pasto kikuyo (Cechrus clandestinum (Hochst ex Chiov)) es una gramínea de origen africano, que se encuentra establecido aproximadamente en 85% del área en pasturas del trópico alto colombiano (Echeverry et al., 2010). No obstante se ha desarrollado en sistemas de monocultivo, que simplifican el ecosistema y afectan las interacciones ecológicas y favorecen el crecimiento poblacional de organismos plagas, lo que ha obligado a la aplicación masiva de plaguicidas con el fin de alcanzar los rendimientos proyectados en el sostenimiento de la productividad animal.

Los ineficientes usos de plaguicidas han ocasionado impactos ambientales (Narváez et al., 2012) y económicos (Ríos y Gómez 2008) negativos debido, entre otras razones, a la dificultad para realizar diagnósticos fitosanitarios que permitan determinar las dosis más apropiadas según el estado de daño. Esto, es debido a la falta de metodologías de diagnóstico adecuadas, a la exigencia de tiempo y personal calificado necesario para aplicar las metodologías actualmente utilizadas.

Como resultado del presente estudio, se propone el uso de herramientas para la teledetección, mediante la aplicación de técnicas que permiten el monitoreo de los cultivos en tiempo real, de manera eficaz y precisa. La teledetección se fundamenta en la recolección y procesamiento intensivo de valores de reflectancia de las coberturas terrestres; donde los flujos de energía que reflejan los objetos permiten diferenciar su naturaleza o la perturbación de ésta, según las regiones espectrales a las que sea sensible.

Para el caso de la vegetación se han determinado bajas reflectancias en las longitudes de onda del espectro visible: azul (400 - 500 nm) y rojo (600 - 700 nm), asociado con la absorción energética del proceso de fotosíntesis, mientras existe una tendencia mayor de reflectancia en la región del verde (500 - 600 nm) donde se encuentra el color característico del forraje (Chuvieco, 1995; Paz et al., 2005). Longitudes de ondas no-visibles como el borde rojo (690 - 730 nm) con media reflectancia y el infrarrojo cercano (730 - 1300 nm) con alta reflectancia, se han asociado, respectivamente, con la cantidad de clorofila y el contenido de pared celular (Wachholz et al., 2015; RNTA, 2010). Las longitudes del infrarrojo medio e infrarrojo lejano se han asociado con los contenidos hídricos en el follaje (Chuvieco, 1995). Por tanto, el monitoreo de los comportamientos de reflectancia de las pasturas puede ayudar con la identificación de características de interés agronómico, incluyendo su estado fitosanitario.

De tal manera que abordar esta metodología para evaluar con precisión y en tiempo real el estado fitosanitario de las pasturas puede ayudar en la toma de decisiones tendientes a la racionalización en el uso de plaguicidas. Además, esta técnica permitiría la evaluación en la eficiencia de otros tipos de controles para plagas menos perjudiciales, como productos menos tóxicos e incluso orgánicos. El estudio tuvo como objetivo estudiar los patrones de reflectancia del pasto kikuyo (Cechrus clandestinum (Hochst ex Chiov) Morrone) para diferenciar estados fitosanitarios de este tipo de pasturas, empleado drones y técnicas de procesamiento de imágenes.

Materiales y métodos

Área de estudio

La evaluación se realizó en Andisoles de la hacienda La Montaña perteneciente a la Universidad de Antioquia, localizada en el municipio San Pedro de los Milagros (6° 26’59.606 N; 75° 32’37.088 O) (Colombia) con una temperatura de 15 °C, a 2350 m.s.n.m con topografía plana-ondulada.

Equipos empleados

Se empleó un sensor multiespectral RedEdge® by MicaSense, el cual cuenta con resolución espectral de 5 bandas: azul (B) en longitud de onda de 475nm, verde (G) en longitud de 560nm, rojo (R) en 668nm, borde rojo (RE) en 717 nm e infrarrojo cercano (NIR) en 840 nm de longitud de onda, con una resolución espacial por píxel de 3 cm x 3 cm en sobrevuelo de 50 m de altura y una captura por segundo en cada banda, soportado en un dron Phantom 4® de ala rotatoria.

Recolección de información

Se captaron las reflectancias en 109 unidades de muestreo en 10 potreros o apartos de kikuyo. Cada unidad de muestreo se delimitó mediante el uso de un marco circular de 14 cm de diámetro (154 cm2) y remoción del pasto circundante con el fin de aumentar la visibilidad. Para la toma de fotografías se utilizó un sensor multiespectral. Para evaluar el daño foliar por plagas, en cada unidad de muestreo se calificó el grado de daño, siguiendo la metodología propuesta por la Red Internacional de Evaluación de Pastos Tropicales (RIEPT) (CIAT, 1982) que considera cuatro niveles de daño foliar: (1) sin daño visible, permitiendo incluso presencia del insecto; (2) leve, hasta 1/3 de la superficie afectada; (3) moderado, con daño hasta 2/3 de la superficie; y (4) grave, con más de 2/3 de la superficie afectada. Los valores encontrados se utilizaron para calcular un promedio ponderado de daño en cada unidad de muestreo, el cual fue relacionado con los valores de reflectancia.

Procesamiento y análisis de datos

Previo al procesamiento de las imágenes se aplicaron correcciones radiométricas utilizando el panel de calibración propio del sensor y el software PIX4D®. Las fotografías corregidas se exportaron al software ArcMap de la familia ArcGis®, donde se extrajo información de 10 pixeles, en promedio, para cada unidad de muestreo y por cada una de las regiones espectrales estudiadas (R, G, B, NIR y RE). Esto equivale a un área de 90 cm2 analizados dentro de 154 cm2 de la unidad de muestreo, correspondiendo a la cantidad promedio de pixeles limpios, es decir libres de perturbación por el material del marco o por el suelo descubierto resultante en la remoción del forraje circundante al marco. Para cada región espectral estudiada se calculó el promedio de reflectancia por unidad de muestreo. A continuación fueron estimados los coeficientes de correlación de Spearman de dichos promedios en relación con el ponderado para el nivel de daños por plagas identificado en campo. Finalmente, utilizando las ecuaciones que aparecen en el Tabla 1 fueron calculados los índices vegetativos y se relacionaron con el nivel ponderado de daño.

Tabla 1: Índices de vegetación de mayor frecuencia en la literatura, calculados a partir de medidas de reflectancia.

*Bandas, R (rojo), G(verde), B (azul), NIR (infla rojo cercano) y RE (borde rojo). L= 0.5, L2 =1, C1 = 6, C2 = 7.5 y Gc = 2.5.

Se probaron 25 modelos lineales generalizados bajo una estructura de distribución de la familia quasi, empleando el comando glm de la librería stats del programa R-project (R Core team, 2018). Algunos modelos se construyeron por los índices vegetativos calculados, los modelos restantes son adiciones de las bandas R, G, B, RE y NIR (Tabla 2). Se seleccionaron los cuatro modelos con mayor Deviaza (estadístico de precisión de los modelos lineales generalizados) y se les aplicó un análisis de varianza con prueba de Fisher para determinar diferencias estadísticas entre ellos. Se diferenció el modelo de mayor precisión y el de mayor parsimonia.

Tabla 2: Modelos* lineales generalizados calculados a partir de reflectancias de bandas multiespectrales para evaluar el daño foliar por plagas en pasturas de kikuyo (Cechrus clandestinus). Universidad de Antioquia (Colombia).

*Modelos con combinación de bandas R (rojo), G (verde), B (azul), NIR (infrarrojo cercano) y RE (borde rojo) y la inclusión de índices de vegetación. y = grado de afección foliar, £ = error estadístico.

Resultados

Estadísticos de tendencia central y correlación

Se encontraron bajos valores de reflectancia en el espectro visible, especialmente en B y R, con valores de reflectancia de 2.89% ± 0.88% y 3.37% ± 1.26%, respectivamente. La longitud de onda G tuvo una reflectancia, promedio, de 8.01% ±2.53%, la RE de 18.43% ± 4.85% y la región del NIR tuvo el máximo valor de reflectividad con 52.22% ± 12.36% (Tabla 3). El valor promedio de daño por plagas encontrado en la pastura fue de 2.17, con niveles mínimos de 1.17 y máximos de 3.83.

Tabla 3: Estadísticos de tendencia central y dispersión del nivel de daño y las reflectancias (%) de las regiones del azul, verde, rojo, borde rojo e infrarrojo cercano, en pasturas de kikuyo (Cechrus clandestinas). Universidad de Antioquia (Colombia).

1: según escala de daño propuesta por el CIAT (1982).

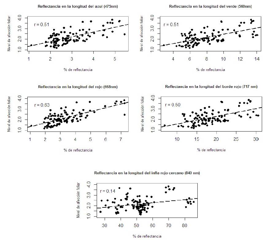
Las correlaciones entre las reflectancias en las longitudes espectrales estudiadas más los índices vegetativos calculados, en relación con el valor ponderado de daño foliar, se encontraron entre bajas a moderadas. Se encontraron relaciones en las regiones del R (r = 0.63), seguido por el G (r = 0.51) y el B (r = 0.51). La región del RE se correlacionó con el grado de daño foliar en 0.50 y la del NIR presentó una correlación baja (r = 0.14) (Figura 1).

Dispersión de la reflectancia en las regiones azul, verde, rojo, borde rojo e infrarrojo cercano respecto al ponderado del daño foliar causado por insectos plagas en pasturas de kikuyo (Cechrus clandestinus). Universidad de Antioquia (Colombia).

Figura 1: Dispersión de la reflectancia en las regiones azul, verde, rojo, borde rojo e infrarrojo cercano respecto al ponderado del daño foliar causado por insectos plagas en pasturas de kikuyo (Cechrus clandestinus). Universidad de Antioquia (Colombia).

El índice vegetativo RVI presentó la mayor relación (r = -0.50) con el valor ponderado de daño RVI y una correlación negativa moderada. Los índices CIG y CIRE presentaron coeficientes de -0.48 y -0.44, respectivamente (Figura 2). Los índices NDVI y GNDVI, con mayor frecuencia de aparición en la literatura, presentaron en este estudio coeficientes bajos siendo, respectivamente, r = 0.11 y r = 0.10.

Dispersión de los índices vegetativos CIG, CIRE, NCPI y RVI, en relación con el ponderado de daño foliar causado por insectos plagas en pasturas de kikuyo (Cechrus clandestinus). Universidad de Antioquia (Colombia).

Figura 2: Dispersión de los índices vegetativos CIG, CIRE, NCPI y RVI, en relación con el ponderado de daño foliar causado por insectos plagas en pasturas de kikuyo (Cechrus clandestinus). Universidad de Antioquia (Colombia).

El análisis de las interacciones entre regiones espectrales permitió identificar altas correlaciones entre las bandas R y B (r = 0.90), R y G (r = 0.83) y R con la RE (r = 0.79). La región NIR presentó una relación media con las bandas RE (r = 0.58), G (r = 0.52) y B (r = 0.45). La relación entre las bandas R y NIR fue baja (r = 0.21).

Evaluación de los modelos lineales generalizados

En el Tabla 4 se presentan los modelos que presentaron los mejores ajustes. El análisis de varianza entre los modelos en el Tabla 4 mostró diferencias significativas (P < 0.01) entre ellos. Se encontró que el Modelo 1 fue el de mejor ajuste; no obstante, el Modelo 4 también presentó un buen ajuste y fue el de mayor parsimonia al integrar solo las bandas R y NIR, evitando la concomitancia entre los efectos que obtuvieron un índice de correlación considerable y permitiendo mayor facilidad en su cálculo.

Tabla 4: Características de los modelos lineales generalizados destacados en la relación con el nivel de daño de insectos en plantas de kikuyo (Cechrus clandestinus). Universidad de Antioquia (Colombia).

y = nivel de daño foliar; B (Azul); G (verde); R (Rojo); RE (Borde Rojo); NIR (Infrarrojo Cercano)

Este Modelo permitió la construcción de una matriz integrando los efectos R y NIR con el ponderado de nivel de daño, lo que permite observar gráficamente la dinámica entre las variables descritas, dando como resultado una herramienta visual de predicción (Figura 3), donde la transición del color verde al marrón indica la degradación foliar, siendo el color verde una característica indicativa del vigor del forraje.

Relación de las longitudes del rojo e infrarrojo cercano en la escala de daño foliar causada por insectos plagas en plantas de pasto kikuyo (Cechrus clandestinus). Universidad de Antioquia (Colombia).

Figura 3: Relación de las longitudes del rojo e infrarrojo cercano en la escala de daño foliar causada por insectos plagas en plantas de pasto kikuyo (Cechrus clandestinus). Universidad de Antioquia (Colombia).

Discusión

Los estadísticos de tendencia central y dispersión de reflectancia en cada una de las bandas estudiadas se encontraron entre los valores reportados por varios investigadores para coberturas vegetales. En el espectro visible la reflectividad es controlada por la cantidad de pigmentos presentes en las hojas (principalmente clorofila y carotenoides) que absorben fuertemente la radiación alrededor de las bandas B y R, aunque se muestra un aumento de reflectividad en la longitud del G (Paz et al., 2005), tal como se observó en el presente estudio. En el dominio del espectro NIR la reflectividad es controlada por la estructura celular de las hojas (Jiménez, 2016). En este estudio los valores de reflectancia fueron mayores que los espectros visibles, lo que coincide con Chuvieco (1995).

Los índices de vegetación no tuvieron efecto significativo en el diagnóstico de daños fitosanitarias en pasto kikuyo, lo que exigió la evaluación de los modelos lineales generalizados. En este caso, el Modelo 4 permitió establecer la posibilidad de discriminar el nivel de daño; por una parte, mediante las reducciones en la actividad fotosintética de las plantas atribuido al efecto de insectos, siendo evidente el aumento en la reflectividad de la longitud del R. Esto es explicable, ya que las principales plagas que afectan el pasto kikuyo corresponden a insectos de hábitos chupadores, principalmente el chinche de los pastos (Collaria sp.) y el lorito verde (Empoasca sp.), los que extraen el contenido celular de las plantas, incluyendo la clorofila de las hojas, mediante la succión de las células del mesófilo (Vergara, 2006). No obstante, este no es el único factor que afecta la capacidad de las plantas para absorber energía lumínica. La tasa fotosintética puede ser limitada por factores como la reducción del contenido hídrico en el suelo, la temperatura ambiente, los desbalances minerales en el suelo y el estado fenológico de la pastura; ya que las pasturas jóvenes tienen menor índice de área foliar y con ello, menor capacidad de interceptar energía lumínica, a lo que se suma el poco desarrollo de los estomas y haces vasculares (Sierra, 2005).

Es importante mencionar el aporte que realiza la longitud de onda NIR dentro del Modelo 4, ya que esta banda espectral se relaciona con la estructura celular de las hojas (Sá et al., 1999). No obstante, la fenología del pasto podría incidir en este comportamiento, al presentarse menor densidad en la pared celular de las plantas jóvenes.

Por otra parte, es necesario considerar que la técnica de clasificación de daño propuesta por la RIEPT (CIAT, 1982) se basa en la experiencia y el conocimiento del observador, por tanto es subjetiva y como tal causa desviación de los datos; en consecuencia, se sugiere el uso de un método con mayor precisión para la identificación en campo de la degradación foliar causada por insectos, usando equipos avanzados como los clorofilómetros o técnicas de laboratorio como la cromatografía.

Conclusiones

El análisis de la reflectancia en función del grado de daño causado por insectos en el pasto kikuyo (Cechrus clandestinum (Hochst ex Chiov)) desarrollado en este estudio, permite la posibilidad de diferenciar el estado fitosanitario del pasto, principalmente por la reducción en la actividad fotosintética atribuida a la acción de los insectos de hábitos chupador; lo que conlleva al aumento de la reflectancia en las regiones del espectro visible, principalmente en la región del R.

Se recomienda probar modelos más complejos que incluyan otras longitudes de onda como las infrarrojas medias y las microondas, incluyendo variables ambientales y de maduración de los pastos y emplear metodologías de mayor precisión para medir el grado de daño en las hojas.

Acknowledgements

Agradecimientos

Al proyecto Colombo-holandés de capacitación y desarrollo de negocios en lechería DairyCaB, convenio entre la Universidad de Wageningen UR Livestock Research, la Facultad de Ciencias Agrarias de la Universidad de Antioquia, y las empresas Sáenz Fetty, Barenbrug y Eurofins, con recursos del Ministerio de Asuntos Exteriores, administrados por la Agencia de Empresas de Holanda-RVO. A la Estrategia para la Sostenibilidad grupo de Investigación GaMMA y Convocatoria Joven Investigador CODI 2017.

Referencias

  1. Chuvieco, E. 1995. Fundamentos de teledetección espacial. Madrid, España: Ediciones RIALP , S.A .449 pp 🠔
  2. Echeverri, J., Restrepo, L. F., y Parra, J. E. 2010. Evaluación comparativa de los parámetros productivos y agronómicos del pasto kikuyo Pennisetum. Rev. Lasallista de Investigación. 7(2):94-100. https://documat.unirioja.es/servlet/articulo?codigo=5780894 [URL] 🠔
  3. Gitelson, A. A. y Merzlyak, M. N. 1994. Quantitative estimation of chlorophylla using reflectance spectra: Experiments with autumn chestnut and maple leaves. Photochem. Photobiol. 22:247 - 252. 🠔
  4. Gitelson, A.; Gritz, Y. y Merzlyak, M. N. 2003. Relationships between leaf chlorophyll content and spectral reflectance and algorithms for non-destructive chlorophyll assessment in higher plant leaves. J. Plant Phys. 160:271-282. 🠔
  5. Gitelson, A.; Kaufman, Y. J. y Merzlyak, M. N. 1996. Use of a green channel in remote sensing of global vegetation from EOS-MODIS. Remote Sens. Environ. 58:289-298. 🠔
  6. Huete, A. R. 1988. A soil-adjusted vegetation index SAVI. Remote Sens. Environ . 25:295-309. http://www.sciencedirect.com/science/article/pii/003442578890106X [URL] 🠔
  7. Jiménez, E. E. 2016. Sistema de procesamiento de imágenes NIR e IR aéreas para agricultura de precisión. Universidad Central Marta Abreu de Las Villas. Departamento de Automática y Sistemas Computacionales. Tesis de grado. URL: http://dspace.uclv.edu.cu/handle/123456789/6355 [URL] 🠔
  8. Liu H, Q. y Huete, A. R. 1995. A feedback based modification of the NDV I to minimize canopy background and atmospheric noise. IEEE Transactions on Geoscience and Remote Sensing 33:457-465. 🠔
  9. Merzlyak, M. N.; Gitelson, A. A.; Chivkunova, O. B. y Rakitin, V. Y. 1999. Non-destructive optical detection of pigment changes duringleaf senescence and fruit ripening. Phys. Plantarum. 106:135-141 🠔
  10. Narváez, J. F.; Palacio, J. A. y Molina, F. J. 2012. Persistencia de plaguicidas en el ambiente y su ecotoxicidad: Una revisión de los procesos de degradación natural. Rev. Gest. Amb. 15(3):27-37. 🠔
  11. Paz, F.; Palacios, E.; Mejía, A.; Martínez, M. y Palacios, L. A. 2005. Análisis de los espacios espectrales de la reflectividad del follaje de los cultivos. Agroc. 39:293-301. 🠔
  12. Pearson, R. L. y Miller, L. D. 1972. Remote Mapping of Standing Crop Biomass for Estimation of the Productivity of the Shortgrass Prairie, Pawnee National Grasslands, Colorado. Department of Watershed Sciences, College of Forestry and Natural Resources, Colorado State University. 1357-1381. 🠔
  13. Ríos, G. P. y Gómez, L. M. 2008. Análisis de costeo para un sistema de producción de lechería especializada “un acercamiento al análisis económico en ganadería de leche”: Estudio de caso. Dyna, 75(155):37-46. Obtenido de http://www.redalyc.org/articulo.oa?id=49611953005 [URL] 🠔
  14. Rouse, J. W.; Haas, R. H.; Schell, J. A. y Deering, D. W. 1974. Monitoring vegetation systems in the great plains with ERTS. Third ERTS-1 Symposium p. 309-317. Washington: NASA SP-351. 🠔
  15. Sá, I. B.; Antonio, R. y Almorox, J. A. 1999. Aplicación de sensores remotos en la detección y evaluación de plagas y enfermedades en la vegetación. S. Castaño, y A. Quintanilla (eds.) Teledetección. Avances y Aplicaciones. 64-67. http://www.aet.org.es/congresos/viii/alb16.pdf [URL] 🠔
  16. Sierra, J. O. 2005. Fundamentos para el establecimiento de pasturas y cultivos forrajeros. 2 ed. Editorial Universidad de Antioquia. Colombia. 244p. 🠔
  17. Toledo, M. J. 1982. Manual para la Evaluación Agronómica. Red Internacional de Evaluación de Pastos Tropicales (RIEPT). Centro Internacional de Agricultura Tropical (CIAT). Cali, Colombia. 155p. 🠔
  18. Vergara, R. 2006. Collaria: Insecto Dañino del Kikuyo - Métodos de Control -. V Seminario Internacional Competitividad en Carne y Leche, p. 35. Medellín. http://biblioteca.colanta.com.co/pmb/opac_css/doc_num.php?explnum_id=886 [URL] 🠔