Acta Agronómica
0120-2812
Universidad Nacional de Colombia
https://doi.org/10.15446/acag.v68n4.76882

Recibido: 17 de diciembre de 2018; Aceptado: 17 de diciembre de 2019

Nutritional contents in Myrciaria dubia plants in function of in Potassium doses applied through fertigation

Contenido de nutrientes en plantas de Myrciaria dubia en función de dosis de potasio aplicadas por fertirrigación

C. Abanto-Rodríguez, 1 5 *E. Alves Chagas, 2 W. Farias Araújo, 3 M. Gongalves Paulichi, 3 J. García de Lima, 3 E. Medeiros de Oliveira, 3 J. Lopes Monteiro Neto, 3 S. da Silva Maia, 3 J. Sanchez-Choy, 4 N. Panduro Tenazoa, 4

.Instituto de Investigaciones de la Amazonia Peruana-IIAP, Perú. Instituto de Investigaciones de la Amazonia Peruana Perú
.Empresa Brasileira de Pesquisa Agropecuária, EMBRAPA, Roraima-Brasil. Empresa Brasileira de Pesquisa Agropecuária Empresa Brasileira de Pesquisa Agropecuária Roraima Brazil
.Universidade Federal de Roraima, UFRR, Brasil. Universidade Federal de Roraima Universidade Federal de Roraima Brazil
.Universidad Nacional Intercultural de la Amazonia, UNIA, Perú. Universidad Nacional Intercultural de la Amazonía Universidad Nacional Intercultural de la Amazonia Peru
.Universidade Federal de Roraima, Programa de Pós-graduagao em Biodiversidade e Biotecnologia da Amazonia Legal (REDE BIONORTE), Roraima, Brasil. ‘ Universidade Federal de Roraima Universidade Federal de Roraima Programa de Pós-graduagao em Biodiversidade e Biotecnologia da Amazonia Legal (REDE BIONORTE) Roraima Brazil

Author for correspondence: carforestal24@gmail.com

Abstract

The objective in this study was to determine the nutrient contents in Myrciaria dubia plants in function of five K2O doses (0, 40, 80, 120 and 160 kg ha-1) applied through fertigation. Leaf dry matter (LDM), total dry matter (TDM), and leaf nutrient contents were evaluated. The LDM and TDM were higher in plants subjected to the dose of 160 kg ha-1 of K2O, with 52.44 g and 302.69 g, respectively. Leaf N and K contents were 22.15 and 9.48 g kg-1 in response to 160 kg ha-1 of K2O. The mean P, Ca and S contents were 1.6, 17.89 and 1.61 g kg-1, respectively, and the content of Mg2 + decreased from 5.62 to 2.74 g kg-1 at the dose of 0 and 160 kg ha-1 of K2O, respectively. The B, Mn and Fe contents decreased from 136.5 to 100.0, 346.24 to 248, and from 142.06 to 97.35 mg kg-1 at the dose of 0 and 160 kg ha-1 of K2O, respectively. The mean Cu and Zn contents were 3.81 and 40,54 mg kg-1, respectively, at the K2O doses. The nutrient content determined in the leaves of M. dubia were adequate for the development of the species in the first year of cultivation, presenting the following decreasing order: N> Ca> K> Mg> P = S> Mn> B> Fe > Zn> Cu.

Key words:

Agronomic management, camu-camu, caqari, leaf analysis, mineral nutrition.

Resumen

El objetivo en este estudio fue determinar el contenido de nutrientes en plantas de Myrciaria dubia como respuesta a la aplicación de cinco dosis de K2O (0; 40; 80; 120 e 160 kg ha-1) aplicadas por fertirrigación. Se evaluaron los contenidos de materia seca de hoja (MSH), materia seca total (MST) y el contenido de nutrientes en las hojas. La MSH y la MST fueron mayores en plantas fertilizadas con la dosis de 160 kg ha-1 de K2O, con 52.44 g y 302.69 g, respectivamente. Los contenidos de N y K fueron de 22.15 y 9.48 g kg-1 en respuesta a la dosis de 160 kg ha-1 de K2O. Los contenidos medios de P, Ca y S fueron de 1.6, 17.89 y 1.61 g kg-1, respectivamente, y el contenido de Mg2+ disminuyó desde 5.62 hasta 2.74 g kg-1 en la dosis de 0 y 160 kg ha-1 de K2O, respectivamente. Los contenidos de B, Mn y Fe disminuyeron de 136.5 a 100.0, de 346.24 a 248, y de 142.06 a 97.35 mg kg-1 en la dosis de 0 y 160 kg ha-1 de K2O, respectivamente. Los contenidos medios de Cu y Zn fueron 3,81 y 40,54 mg kg- 1, respectivamente, en todas las dosis de K2O. El contenido de nutrientes determinado en las hojas de M. dubia fueron adecuados para el desarrollo de la especie en el primer año de cultivo, presentando el siguiente orden decreciente: N> Ca> K> Mg> P = S> Mn> B > Fe> Zn> Cu.

Palabras clave:

Análisis foliar, camu camu, caqari, manejo agronómico, nutrición mineral.

Introduction

Brazil is the second largest center of origin of tropical fruit trees in the world, accounting for 500 native species, from which 44% are in the Amazon (Santos-Serejo et al., 2009). Among the native fruit trees found in this region, Myrciaria dubia stands out for its high content of ascorbic acid (vitamin C) and phenolic compounds.

The habitat of this species comprises flooded soils on the banks of rivers, igarapes (small streams) and lakes (Yuyama and Valente, 2011). However, in Brazil, there has been an attempt to domesticate the M. dubia culture in solid soils. The first studies were conducted from the 1980s by the National Institute of Amazonian Research (INPA), followed by studies performed at the Citrus Experiment Station of the Agronomic Institute of Sao Paulo - SP (1994), and by those carried out by producers in the Vale do Ribeira region in Mirandopolis, Sao Paulo State, Brazil. In the same year, the Embrapa Amazonia Oriental implemented the Active Germplasm Bank (AGB) of ‘Camucamuzeiro’ plants, and in the last eight years, the Embrapa-RR has been developing genetic improvement and fertilization research in experimental orchards.

Fertilization management is one of the most important aspects since the determination of the plant nutritional requirements and responses is essential to obtain adequate vegetative and reproductive development (Laviola et al., 2008). Potassium (K) is one of the essential nutrients to cultures and plays an important role in the metabolic activity of plants, such as in photosynthesis, starch production, enzyme activity, and plant tolerance to drought and frost. However, in excess, it may affect the levels of calcium and magnesium in the plants, in addition to causing burns on the margins and apex of old leaves (Faquin, 2005). This fact justifies the need for an efficient crop fertilization program.

In this sense, production of dry matter is one of the indicators used to measure the plant nutrient absorption intensity and is directly related and influenced by the nutrient content in the leaves, fruit and other organs (Magolbo et al., 2015). Thus, studies aimed to quantify nutrient concentration in plant tissues are essential to know the nutritional requirements of plants (Laviola et al., 2008).

In the literature, important contributions were found regarding fertilization in the seedling production phase and in the establishment of M. dubia plants in definitive areas (Panduro et al., 2016 and Abanto-Rodriguez et al., 2019); however, there are few studies quantifying plant nutrient absorption in different types of management. In this context, the aim of this study was to determine the nutritional content in Myrciaria dubia (Kunth) McVaugh as a function of different doses of potassium applied through fertigation.

Material and methods

The research was conducted in the Agua Boa Experimental Field of the Embrapa-RR, Roraima State, Brazil, located at the geographic coordinates 02° 39’ 48.94’’ north latitude and 60° 50’ 30,39’’ west longitude, at 90 m of altitude. According to Koppen, the climate in the region is Aw, tropical rainy, with an annual rainfall average of 1678 mm, 70% of relative humidity and temperature of 27.4°C (Araujo et al., 2001).

The soil in the region was classified as Yellow Latosol of medium and clay texture, with low pH (4.4) and P (3 g dm-3), Ca2+ (2 mmolc dm-3), and Mg2+ (1 mmolc dm-3) contents, high saturation by Al3+ (72%) and low saturation by bases (11%), being corrected with 1500 kg ha-1 of dolomitic limestone. To meet the needs for P and N, 400 kg ha-1 of Simple Superphosphate (SS) and 40 kg ha-1 of urea were applied, respectively. In the preparation of pits, both with 0.40 m x 0.40 m x 0.40 m, 150 g of limestone and 50 g of SS/pit were also applied, as recommended by Yuyama and Valente (2011)). In addition, 10 g of FTE- BR12 (9.0 to 9.2% Zn, 1.8 to 2.17% B, 0.80% Cu, 3.82% Fe, 2.0 to 3.4% Mn and 0.132% Mo) were also used.

Seedlings from the ‘Candeias’ population of the INPA germplasm bank were transplanted at seven months of age, with 4 branches, 35.6 cm of height and 4.4 mm of base stem diameter, on average; spaced 4 m between rows and 0.5 m between plants.

Irrigation was performed by a self-compensating drip system, automatically activated by RAIN BIRD® programmer (timer). The system was supplied by a flow rate of 6.8 lt h-1 (3.4 lt h-1 per dripper spaced every 50 cm). For the injection of fertilizers, a 0.75-inch Venturi injector was used, operating at an injection rate of 150 lt/hour. The amount of water used was determined based on the reference evapotranspiration estimated by the Class A tank.

The experiment was carried out in a randomized block design, with five treatments, consisting of K2O doses (0, 40, 80, 120 and 160 kg ha-1), and eight replications, using seven plants per experimental unit. The doses were applied through fertigation for 40 weeks, divided every 10 weeks, making up 10%; 20%; 30% and 40% of the total of the corresponding treatment.

At 270 days after transplantation (DAT), the plants were collected and taken to the sample preparation laboratory of the Embrapa-RR; and then they were sectioned (roots, branches, and leaves) to be placed in a forced circulation oven at 60 °C until reaching a constant weight. Subsequently, the dry matter of the samples was evaluated and total dry matter (TDM) was obtained. Afterward, the samples were ground and milled in a Wiley mill and sent to the Plant Nutrition Laboratory of the Federal University of Lavras, where the nutrient contents were analyzed according to the methodology of Embrapa-1998.

The data were subjected to analysis of variance and, when there was a significant effect, the polynomial regression analysis (P < 0.05) was performed, using the SISVAR software (Ferreira, 2014).

Results and discussion

Leaf dry matter (LDM) and total dry matter (TDM)

The F-test indicated significant effects (P < 0.05) of the application of K2O through fertigation on the variable TDM (roots, branches, and leaves), in which increasing doses of K2O generated a significant increasing linear trend (Figure 1). The application of 160 kg h-1 of K2O resulted in a maximum value of 302.69 g of TDM. Results similar to those of Figure 1 were found by Ferreira (2014)), who observed a linear behavior in the dry matter in response to potassium fertilization in acerola (Malpighia emarginata) seedlings. Therefore, it can be stated that the development of M. dubia plants was not limited by the increasing doses of K2O.

Total dry matter (TDM) (g) in M. dubia plants as a function of K2O doses applied through fertigation. Embrapa-RR, Roraima State, Brazil. * significant, according to the Tukey test at 5% probability.

Figure 1: Total dry matter (TDM) (g) in M. dubia plants as a function of K2O doses applied through fertigation. Embrapa-RR, Roraima State, Brazil. * significant, according to the Tukey test at 5% probability.

The results of this research were satisfactory, since, according to Mendonça et al. (2009)), TDM is an efficient indicator to demonstrate the fertilizer effect on plant growth. Thus, it is evidenced that K2O is indispensable to plants because, according to Faquin (2005)), it acts on the activation of more than 50 enzymes, besides acting on the regulation of cell osmotic potential and participating in the cell expansion process and in the opening and closure of stomata. In addition, this author mentions that K2O is the second most required nutrient by plants, especially by those producing starch, sugar, and fibers.

Macronutrient contents

The leaf N, P, and S contents varied with the increasing doses of K2O and showed significant linear behavior (P < 0.05) for N and non-significant behavior (P > 0.05) for P and S (Figure 2) after 270 DAT. A maximum value of 22.15 g kg-1 of N content was recorded, in response to the dose of 160 kg ha-1 of K2O (Figure 2a), and the increasing doses of K2O had no negative effect on the N absorption by plants. In this sense, according to Marschner (2012)) and Ortega and Malavolta (2012)), this may have occurred because the urea in the soil was possibly in a higher proportion in the form of NO3- (nitrate), considering that, if it was in higher concentrations of NH4+, there would have been an antagonistic interaction between these nutrients, affecting thus their absorption due to the equality of loads.

Effect of K2O doses, applied through fertigation, on the contents of N (a), P (b), K (c), Ca (d), Mg (e) and S (f) in leaves of camu-camu. Embrapa-RR, Roraima State, Brazil. *, ns-significant and not significant, according to the Tukey test at 5% probability.Effect of K2O doses, applied through fertigation, on the contents of N (a), P (b), K (c), Ca (d), Mg (e) and S (f) in leaves of camu-camu. Embrapa-RR, Roraima State, Brazil. *, ns-significant and not significant, according to the Tukey test at 5% probability.

Figure 2: Effect of K2O doses, applied through fertigation, on the contents of N (a), P (b), K (c), Ca (d), Mg (e) and S (f) in leaves of camu-camu. Embrapa-RR, Roraima State, Brazil. *, ns-significant and not significant, according to the Tukey test at 5% probability.

Costa et al. (2011)) studying the potassium fertilization of mango tree (Mangifera indica) found similar results of N content. However, the N leaf content observed in the present study (18 g kg-1 of N) was higher than those reported by Esashika et al. (2011)). The mean leaf P and S contents were 1.6 and 1.61 g kg-1, respectively, in response to all doses of K2O, (Figure 2b-2f). The P contents found in this study was higher than those reported by Viegas et al. (2004)) (1.45 g kg-1) and Esashika et al. (2011), who obtained contents ranging from 1.43 to 2.57 g kg-1 of P in M. dubia plants.

On the other hand, it can be stated that leaf P content was adequate for the plants, since, according to Araujo and Machado (2006)) inadequate P supply may decrease the absorption and translocation of NO3- absorbed to the aerial part, which did not occur in this study, since the N contents were adequate. With regards to the interaction between K2O and P, Ortega and Malavolta (2012)) explain that these nutrients have no synergism and antagonism neither in the soil nor in the plant.

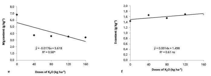
The mean concentration of S obtained in this study is lower than those (2.4 to 2.8 g kg-1) reported by Viegas et al. (2004)); however, it is within the standard values since, according to Faquin (2005)), the S contents in plants range from 0.2 to 0.5% of the dry matter. The K and S had no interaction either in the soil or in the plant because the S is mainly absorbed in the oxidized form of SO4 2- (Faquin, 2005; Ortega and Malavolta, 2012). However, the use of concentrated fertilizers with high P and/or N contents can lead to S deficiency when its content in the soil is low (Alvarez et al., 2007). There was no luxury consumption of N, P, and S since the plants continued to absorb nutrients and develop. Different results were reported by Abanto-Rodriguez et al. (2018)) who evaluated increasing doses of N and observed that the plants absorbed the nutrients but had no response regarding the development. The different doses of K2O led to a significant increasing linear adjustment (P < 0.05) in the K and Mg contents and a non-significant (P > 0.05) in the Ca content, in M. dubia leaves at 270 DAT (Figure 2). Thus, the lowest and highest leaf K contents were 5.16 and 9.48 g kg-1 in response to the doses of 0 and 160 kg ha-1 of K2O, respectively (Figure 1c).

The Mg content in the studied plants had a decreasing linear behavior in response to the increasing doses of K2O (Figure 2e). Thus, a maximum content of 5.62 and a minimum of 2.74 g kg-1 of Mg were recorded, in response to the doses of 0 and 160 kg ha-1 of K2O, respectively, and the mean leaf Ca content was 17.89 g kg-1 at the doses of K2O (Figure 2d).

Regarding the minimum and maximum mean leaf K content, the values found in this study are adequate for the M. dubia culture since, according to Faquin (2005)), K contents should correspond to 2 to 5% of the dry matter for the satisfactory growth of the plants, and may range according to the species and organ analyzed. Similar results were found by Ferreira (2014)) when evaluating the growth of acerola (Malpighia glabra) seedlings at different doses of N and K.From the decreasing linear behavior in the Mg content in the M. dubia plants (Figure 2e), it was verified that the increasing level of K+ in the soil solution promoted a reduction in the Mg content, which could be caused by the dilution effect, which, according to Faquin (2005), is understood as the decrease in the content of a certain nutrient in the dry matter as a function of plant growth in response to the application of another nutrient deficient in the environment.

In addition, the decrease in the Mg content with the increasing doses of K2O also resulted from the competitive inhibition interaction existing between these two nutrients (Marschner, 2012). According to Ortega and Malavolta (2012)), competitive inhibition generally occurs with similar valence ions because they compete for the same absorption canal, reducing the absorption of those in a lower concentration in the soil solution. On the contrary, Ortega and Malavolta (2012) emphasize that the high Mg contents do not have the same effect on K. This is because K, due to its lower load, crosses the plasma membrane rapidly, reducing the absorption of the other cations.

Concerning the mean leaf Mg content, similar results were found by Amorim et al. (2015)), who studied the nitrogen and potassium fertilization in guava trees (Psidium guajava L.) and observed that leaf Mg contents decreased from 2.2 to 1.9 g kg-1. Despite the decrease in the Mg contents in our research, they remained within the range suitable for M. dubia plants because they were higher than those reported by Esashika et al. (2011)), who found a value of1.42 g kg-1 studying the complete mineral fertilization in the same species.

Regarding the Ca content, the results found in this study were higher than those determined by Viegas et al. (2004)) and Esashika et al. (2011)), who obtained mean contents of 7.1 g kg-1 in M. dubia plants. The K had no competitive interaction with Ca probably because the plants received a balanced fertilization of these nutrients. Normally, high concentrations of K induce the reduction of Ca absorption (Faquin, 2005). In this sense, Ortega and Malavolta (2012)) state that the increase in the K+ content in the soil solution causes a decrease in the Ca contents in the plants, which can be caused by the dilution effect, also considering that the increase in the K and Ca doses induces the Mg deficiency in the plants, since their binding forces together are stronger than those of the Mg, surpassing it at the cation exchange sites (Ranade-Malvi, 2011). This fact was evidenced in the present study.

Micronutrient contents

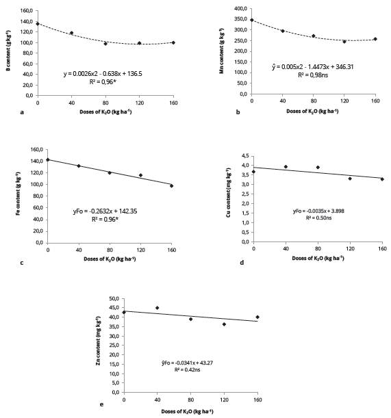
The B and Mn contents in leaves of M. dubia had a significant quadratic adjustment (P < 0.05) (Figure 3a and Figure 3b) in relation to the increase in the K doses. The maximum B content (Figure 3a) was 136.50 mg kg-1 in plants without potassium fertilization, decreasing up to 100.01 kg kg-1 at the dose of 160 kg ha-1 of K2O. The leaf Mn content in the studied plants (Figure 3b) had a significant variation in response to the increasing doses of K2O, reaching values of 346.24 and 248.00 mg kg-1 at the doses 0 and 160 kg ha-1, respectively.

Effect of K2O doses, applied through fertigation, on the contents of B (a), Mn (b), Fe (c), Cu (d) and Zn (e) in leaves of camu-camu plants. Embrapa-RR, Roraima State, Brazil. *, ns-significant and not significant, according to the Tukey test at 5% probability.

Figure 3: Effect of K2O doses, applied through fertigation, on the contents of B (a), Mn (b), Fe (c), Cu (d) and Zn (e) in leaves of camu-camu plants. Embrapa-RR, Roraima State, Brazil. *, ns-significant and not significant, according to the Tukey test at 5% probability.

It can be inferred that the B and Mn contents in the leaves of M. dubia promoted a decrease in their respective contents due to a higher dilution of these nutrients in the plant tissue as a result of the increase in biomass production (Faquin, 2005). Viegas et al. (2004)) state that adequate leaf B contents in the M. dubia range from 8.4 to 9.5 mg kg-1. The contents determined in our study were much higher, probably due to the application of 180 mg of B per plant from FTE-BR12.

Moreover, according to Marschner (2012)), the B content adequate for the development of the cultures is quite variable, since the differences in the requirement of this nutrient are attributed to the chemical composition variation of the cell membranes in each species. In this sense, Dechen and Nachtigall (2006) report that leaf concentrations lower than 15 mg kg-1 indicate a deficiency of this nutrient. Thus, the contents found in our research are above those previously cited, which demonstrates that the M. dubia is demanding in terms of B.

On the other hand, the K2O doses had no influence on the leaf B content. According to Ranade-Malvi (2011)), B and K have overlapping roles in plant physiology and therefore they are synergistic because it has been shown that an optimal level of B increases the cell membrane permeability to potassium.

Regarding the Mn, Dechen and Nachtigall (2006) state that the concentrations of this nutrient in the plants vary from 5 to 1500 mg kg-1 of dry matter, depending on the species, besides considering that leaf concentrations between 20 and 500 mg kg-1 are suitable for normal plant development. For M. dubia,Esashika et al. (2011)) reported adequate leaf Mn contents (131 mg kg-1) in seedlings lower than those determined in this research.

About the interaction between these nutrients, Ranade-Malvi (2011)) points out that K has direct synergistic relationships with Mn because it is an important component for photosynthesis, metabolism, N assimilation, and activity of decarboxylase, dehydrogenase and oxidase enzymes. The amounts of fertilizer used in this study were probably in equilibrium because B and Mn contents were not negatively affected. Thus, Ortega and Malavolta (2012)) explain that excess K and Ca deficiency causes Mn deficiency, and the high B contents reduce the leaf Mn contents.

Significant linear responses (P < 0.05) were found for the leaf Fe content and non-significant (P > 0.05) for the leaf Cu and Zn contents (Figures 3 c, Figures 3d, and Figures 3e). Thus, the maximum and minimum Fe contents were 142.06 and 97.35 mg kg-1 in response to the doses of 0 and 160 kg ha-1 of K2O, respectively. The mean leaf Cu and Zn contents were 3.81 and 40.54 mg kg-1, respectively, in response to the different doses of K2O, (Figure 3d and Figure 3e). The value found for Fe is possibly related to the nutrient dilution effect, because, at higher doses of K2O plant growth was higher, whereas, at lower doses plants had a reduced development, remaining with a higher nutrient concentration in the leaves. Despite the decrease in Fe content, the obtained values were higher than those reported by Esashika et al. (2011)) (66 mg kg-1) in M. dubia seedlings subjected to mineral fertilization.

For Dechen and Nachtigall (2006), Fe contents in plants can range from 10 and 1500 mg kg-1 of the dry matter and the doses considered suitable for the good development of plants are between 50 and 100 mg kg-1, and those doses characterized as deficient for plants correspond to levels below 10 mg kg-1 of Fe. Therefore, the values found in this research are in agreement with those reported in the literature.

Regarding the interaction between these nutrients, Ortega and Malavolta (2012)) found no interaction; however, Ranade-Malvi (2011)) mentions that K has direct synergic relationships with Fe because it plays an important role in the formation of chlorophyll. In this case, it is noteworthy that the Cu and Mn concentrations were within the adequate range, otherwise, Fe deficiencies would be evidenced (Ortega and Malavolta, 2012). Concerning Cu, Dechen and Nachtigall (2006) state that leaf concentrations lower than 4 mg kg-1 indicate a deficiency of this nutrient in plants, and doses above 20 mg kg-1 may result in toxic effects on plants.

It is important to note that, regardless of the range considered adequate by some researchers, no Cu deficiency symptoms were observed in the M. dubia plants analyzed. However, the low Cu content in the leaves was probably due to the high Mg and Ca contents, because, according to Faquin (2005)) these nutrients tend to reduce and immobilize Cu causing its deficiency, since Cu is absorbed from soil solution as Cu2+, which causes competitive inhibition.

As for Zn, the leaf content found here were higher than those reported by Esashika et al. (2011)) (24 mg kg-1 of Zn) in a study on complete fertilization of M. dubia seedlings. According to Faquin (2005)) the adequate Zn concentration may range from 20 to 120 ppm in the dry matter, depending on the species studied. The deficiency of this nutrient is associated with contents lower than 20 mg kg-1 and toxicity levels above 400 ppm.

From the results of this study, it can be observed that Zn content was not affected by the P content, since it was within the adequate values. In this sense, Faquin (2005)) explains that Zn absorption can be inhibited by the presence of cations at high concentrations, such as P applied in superfluous fertilizations. In this relationship between Zn and P, factors such as the noncompetitive inhibition in the absorption process and less transport of Zn from the roots to the aerial parts of the plant may occur. It can be assured that Zn concentrations were in equilibrium, otherwise, this element would have inhibited the metabolism of Fe, making the leaves chlorotic and later whitish, which could have affected plant growth. This interaction can be explained by the similarity of the ionic radius, that is, by the size of the molecules of these nutrients (Faquin, 2005).

Conclusions

The contents of macro and micronutrients found in leaves of M. dubia corresponded to the following decreasing order: N > Ca > K > Mg > S = P > Mn > B > Fe > Zn > Cu; all of which are within the levels suitable for the satisfactory development of plants produced in the first year of cultivation under potassium fertilization through fertigation.

Acknowledgements

Acknowledgments

The authors express their thanks to the Coordination of the improvement of personnel of higher level- CAPES, to National Council for Scientific and Technological Development-CNPq and the Brazilian Agricultural Research Corporation-Embrapa- Roraima, by economic funding for the research development and also to Universidade Federal de Roraima-Brazil, by the valuable support in the academic formation of the first author.

References

  1. Abanto-Rodríguez, C.; Soregui, G.M.M.; Panduro, M.H.P.; Velazco, E.V.C.; Paredes, E.J.D. and Oliveira, E.M. 2019. Uso de biofertilizantes en el desarrollo vegetativo y productivo de plantas de camu-camu en Ucayali, Perú. Revista Ceres 66(2):108-116. https://dx.doi.org/10.1590/0034-737x201966020005. [URL] 🠔
  2. Abanto-Rodríguez, C.; Chagas, E.A.; Siqueira, R.S.; Araújo, W.S.; Zborowski, L.C.; Souza, P.C.; Sakasaki, R.T.; Monteiro-Neto, J. L. and Sáchez- Choy, J. 2018. Nutrient contents and fertirrigation in camu camu (Myrciaria dubia (Kunth) McVaugh) crop with different nitrogen doses. Acta Agronómica 67(1):79-85. http://dx.doi.org/10.15446/acag.v67n1.64667 [URL] 🠔
  3. Alvarez, V.V.H.; Roscoe, R.; Kurihara, C.H. and Pereira, N.F. 2007. Enxofre. In R.F, Novais ; V.V.H, Alvarez ; N.F., Barros; R.L.F, Fontes ; R.B., Cantarutti ; J.C.L, Neves. (eds.). Fertilidade do solo. pp. 595-644. Vinosa, Brazil: SBCS. Retrieved from: https://www.editoraufv.com.br/produto/fertilidade-do-solo/1109451. [URL] 🠔
  4. Amorim, A.D.; de Souza, A. H.; Rozane, E.D.; Montes, M.R. and Natale, W. 2015. Adubação nitrogenada e potássica em goiabeiras ‘paluma’:ii. Efeito no estado nutricional das plantas. Revista Brasileira de Fruticultura 37(1):210-219. Retrieved from: http://www.rbf.org.br/wp-content/uploads/pdfs/files/rbf-37-1.pdf. [URL] 🠔
  5. Araújo, A.P. and Machado, C.T.T. 2006. Fósforo. In M.S. Fernandes (ed). Nutrição mineral de plantas . pp. 253-280. Viçosa, Brazil: SBCS. Retrieved from: http://www.bdpa.cnptia.embrapa.br/ consulta/ busca?b=ad&id=898576&biblioteca =vazio&busca=autoria:%22FERNANDES,%20.%20 S.%22&qFacets=autoria:%22FERNANDES,%20 M.%20S.%22&sort=&paginacao=t&paginaAtual=1. [URL] 🠔
  6. Araújo, F.W.; Andrade Junior, A.S.; Medeiros, R. D. and Sampaio, R. A. 2001. Precipitação pluviométrica mensal provável em Boa Vista, Estado de Roraima, Brasil. Revista Brasileira de Engenharia Agrícola e Ambiental 5(3):563-567. http://dx.doi.org/10.1590/S1415-43662001000300032. [URL] 🠔
  7. Costa, M.E.; Caldas, A.V.C.; Souza, W.C.M.; Gurgel, M.T. and Silva, R.M. 2011. Caracterização nutricional da mangueira ‘Tommy Atkins” sob adubação potássica. Revista Verde 6(2):125-130. Retrieved from: http://www.gvaa.com.br/revista/index.php/RVADS/article/viewFile/690/606. [URL] 🠔
  8. Dechen, A.R. and Nachtigall, G.R. 2006. Micronutrientes. In M.S. Fernandes. Nutrição mineral de plantas . pp. 327-354. Viçosa, Brazil: Sociedade Brasileira de Ciencia do Solo. Retrieved from: https://repositorio.usp.br/item/001637183. [URL] 🠔
  9. Esashika, T.; Oliveira, L.A. and Moreira, F.W. 2011. Teores foliares de nutrients em plantas de camucamuzeiro (Myrciaria dubia HBK Mc Vaugh) submetidas a adubações orgânica, mineral e foliar. Revista Brasileira de Ciências Agrárias 6(3) : 391-400. http://dx.doi.org/10.5039/agraria.v6i3a820. [URL] 🠔
  10. Faquin, V. 2005. Nutrição mineral de plantas . pp. 183. Lavras, Brazil: UFLA/FAEPE. Retrieved from: http://www.dcs.ufla.br/site/_adm/upload/file/pdf/Prof_Faquin/Nutricao%20mineral%20de%20plantas.pdf. [URL] 🠔
  11. Ferreira, D.F. 2014. Sisvar: a guide for its bootstrap procedures in multiple comparisons. Ciência e Agrotecnologia 38(2): 109-112. http://dx.doi.org/10.1590/S1413-70542014000200001. [URL] 🠔
  12. Ferreira, K.S. 2014. Crescimento e acúmulo de nutrientes em mudas de aceloreira adubadas comnitrogênio e potássio. Dissertação de mestrado em Ciências Agrárias. Universidade Federal de São João Del Rei. BR, 50 p. Retrieved from: https://ufsj.edu.br/portal2-repositorio/File/ppgca/Dissertacao%20Karine%20Ferreira(1).pdf. [URL] 🠔
  13. Laviola, G.B. and Dias, A.L. 2008. Teor e acúmulo de nutrientes em folhas e frutos de Pinhão-Manso. Revista Brasileira de Ciência do Solo 32:1969-1975. http://dx.doi.org/10.1590/S0100-06832008000500018. [URL] 🠔
  14. Magolbo, A.L.; Carmo, L.E.; Garcia, L.E.; Fernandes, M.A. and Leonel, M. 2015. Dry matter accumulation and mineral nutrition of arracacha in response to nitrogen fertilization. Pesquisa Agropecuária Brasileira 50(8) :669-680. http://dx.doi.org/10.1590/S0100-204X2015000800005. [URL] 🠔
  15. Marschner, H. 2012. Mineral nutrition of higher plants. 3rd Edition, Adelaide, Australia: Elsevier. 672 p. https://doi.org/10.1016/C2009-0-63043-9. [URL] 🠔
  16. Mendonça, V.; Ramos, J.D.; Abreu, N.A.A.; Teixeira, G.A.; Souza, H.A.; Gurgel, R.L.S. and Orbes, M.Y. 2009. Adubação nitrogenada em cobertura na formação e substratos na formação de mudas de mamoeiro ‘Formosa’. Lavras. Revista Ciência e Agrotecnologia 33(3):668-675. http://dx.doi.org/10.1590/S1413-70542009000300002 [URL] 🠔
  17. Ortega, A.E. and Malavolta, E. 2012. Los más recientes micronutrientes vegetales. Informaciones Agronómicas de Hispanoamérica, Georgia 7(1):16-25. Retrieved from: http://www.ipni.net/publication/ialacs.nsf232B901BB70122F985257A80005228D7/$FILE/16.pdf. [URL] 🠔
  18. Panduro, N.M.T.; Huamaní, H.Y.; Sánchez, E.M. 2016. Concentración y extracción de nutrientes y metales pesados en la biomasa estacional y en la cosecha de Myrciaria dubia (HBK), en un Entisols de Yarinacocha. Infinitum 6(1):2-10. Retrieved from: http://revistas.unjfsc.edu.pe/index.php/INFINITUM/article/view/2. [URL] 🠔
  19. Ranade-Malvi, U. 2011. Interaction of micronutrients with major nutrients with special reference to potassium. Karnataka Journal of Agricultural Sciences 24(1):106-109. Retrieved from: http://ring.ciard.net/es/karnataka-journal-agricultural-sciences [URL] 🠔
  20. Santos-Serejo, A.J.; Dantas, L.L.J.; Sampaio, V.C. and Coelho, S.Y. 2009. Fruticultura Tropical. pp. 509. Brasilia, Brazil: Embrapa Informando Tecnológica. Retrieved from: https://www.bdpa.cnptia.embrapa.br/consulta/biblioteca=CPATSA&busca=autoria:%22SAMPAIO,%20 C.%22&qFacets=autoria:%22SAMPAIO,%20C.%22&sort=&paginacao=t&paginaAtual=1 [URL] 🠔
  21. Viégas, M.I.; Thomaz, A.A.M.; da Silva, F.J.; Conceição, O.E.H. and Naiff, M.P.A. 2004. Efeito da omissão de macronutrientes e boro no crescimento, nos sintomas de deficiências nutricionais e na composição mineral de plantas de camucamuzeiro. Revista Brasileira de Fruticultura 26(2):315-319. http://dx.doi.org/10.1590/S0100-29452004000200032. [URL] 🠔
  22. Yuyama, K. and Valente, J.P. 2011. Camu-camu, Myrciaria dubia HBK McVaugh. 216 p. Curitiba, Brazil: INPA. 🠔