Acta Agronómica
0120-2812
Universidad Nacional de Colombia
https://doi.org/10.15446/acag.v70n4.79049

Recibido: 11 de abril de 2019; Aceptado: 26 de octubre de 2021

Aptitud combinatoria del rendimiento en líneas endogámicas de uchuva (Physalis peruviana L.)

Combinatory ability of yield in Golden berry (Physalis peruviana L.) inbred lines

J. Rosero Erazo, 1 M. García Dávila, 1 T. Lagos Burbano, 2D. Duarte Alvarado, 2 L. Lagos Santander, 2

Universidad Nacional de Colombia sede Palmira. Palmira, Valle del Cauca, Colombia. jaroseroe@unal.edu.co . magarciada@unal.edu.co. Universidad Nacional de Colombia Universidad Nacional de Colombia sede Palmira Palmira Valle del Cauca Colombia
Universidad de Nariño. Pasto, Nariño, Colombia. tclagosb@udenar.edu.co, david890223@hotmail.com, lklagoss@unal.edu.co Universidad de Nariño Universidad de Nariño Pasto Nariño Colombia

Resumen

La uchuva Physalis peruviana originaria de los valles interandinos de América del Sur, es actualmente uno de los frutos exóticos de mayor relevancia para Colombia; su demanda para exportación busca que se posea características ideales de rendimiento y calidad de fruto. El objetivo es determinar los parámetros genéticos de Aptitud Combinatoria de nueve líneas endogámicas de uchuva bajo condiciones de la región natural Andina del departamento de Nariño. Se evalúan 36 híbridos de uchuva obtenidos a partir de nueve líneas endogámicas 12U347, 12U350, 12U352, 12U357, 12U360, 12U368, 12U374, 12U377, y 12U39, en cuatro localidades del departamento de Nariño: Gualmatán, Puerres, Pasto e Ipiales, con el fin de determinar los efectos de aptitud combinatoria general (ACG) y específica (ACE) sobre el rendimiento. Se evalúa el rendimiento comercial (RTOC) y el rendimiento agronómico (RTOA), en un dialélico bajo el método IV modelo fijo de Griffing (1956). El análisis de varianza combinado indica diferencias significativas en la interacción genotipo ambiente para RTOC y RTOA a través de todas las localidades. El análisis de Aptitud Combinatoria reporta que en las RTOA y RTOC son importantes los efectos aditivos y no aditivos. Los mejores híbridos en Gualmatán son 7x8, 3x5 y 3x7; en Ipiales 2x9, 1x3 y 4x8; en Pasto 1x7, 1x3 y 7x8, y en Puerres 2x5, 2x8 y 2x3, los cuales pueden ser tenidos en cuenta para ser usados como híbridos comerciales de alto rendimiento.

Palabras clave:

Dialelo, ACG, ACE, doble haploide.

Abstract

The golden berry Physalis peruviana native to the inter-Andean valleys of South America, is currently one of the most relevant exotic fruits for Colombia, its demand for export seeks to possess ideal traits of yield and fruit quality. The objective is to determine the genetic parameters of Combinatory Aptitude of nine inbred lines of Uchuva under conditions of the Andean natural region of the department of Nariño. 36 hybrids of cape gooseberry obtained from nine inbred lines 12U347, 12U350, 12U352, 12U357, 12U360, 12U368, 12U374, 12U377, and 12U39, in four localities of the department of Nariño: Gualmatán, Puerres, Pasto, and Ipiales, in order to determine the effects of general (GCA) and specific (SCA) combining ability on performance. The commercial yield (CY) and the agronomic yield (AY) are evaluated in a dialellic under method IV of Griffing (1956). The combined analysis of variation indicates significant differences in the genotype-environment interaction for CY and AY across all localities. The Combinatorial Aptitude analysis reported that additive and non-additive effects are important in AY and CY. The best hybrids in Gualmatán were 7x8, 3x5 and 3x7, in Ipiales 2x9, 1x3 and 4x8, in Pasto 1x7, 1x3 and 7x8, and in Puerres 2x5, 2x8 and 2x3, which can be taken into account to be used as commercial hybrids high yield.

Keywords:

Dialell, GCA, SCA, double haploid.

Introducción

La demanda del mercado mundial en continuo crecimiento busca frutas de alto potencial que sean de beneficio para la salud, tales como la uchuva (Physalis peruviana L.) miembro de la familia de las solanáceas, cultivo que ha tenido gran auge en los mercados mundiales dadas sus ideales características nutricionales y de fruta exótica, catalogada como la primera fruta exótica de exportación de Colombia (Arias y Lobo, 2013). A diferencia de productos apetecidos en el exterior, como el cacao o el banano, la uchuva es una oportunidad para los agricultores de tierra fría, pues el cultivo se adapta entre los 2.000 y 3.000 msnm (Medina, 2017).

La uchuva es uno de los frutales de mayor importancia económica para Colombia después del banano y el plátano, y posee el 90 % de la producción mundial (Bonilla Cortés et al., 2009; BTC, 2015), debido a que se produce 13.260 t principalmente de los departamentos de Boyacá, Antioquia, Cundinamarca y Nariño. En el año 2014 se exportó más de 5.400 t a destinos como los Países Bajos, Alemania, Bélgica y Canadá (Agronet, 2015). La producción de uchuva ha aumentado considerablemente en el periodo 2012 2016. Las toneladas producidas pasaron de 11.305.49 en el 2012 a 15.111.78 en el 2016 y el área cultivada aumentó de 757.83 a 1.023.10, representando un incremento de 33.66 % y 35 %, respectivamente. De igual forma el 2017 fue un año de mejor dinamismo, puesto que 6.333 t fueron exportadas, cifra a la que no se llegaba desde el 2012 (ANALDEX, 2018).

No obstante, en los últimos años el rendimiento de los cultivos de uchuva en el país ha disminuido, al igual que la calidad de fruto, encontrándose que cerca del 15 % de la producción no cumple con los estándares de tamaño y calidad requeridos para la exportación (Valdenegro et al., 2013).

En el mejoramiento genético de la uchuva, la producción de híbridos con fines comerciales es muy escasa, es decir, se presentan insuficientes estudios de literatura técnica o científica de reportes de diseños ni estudios sistemáticos para estimar parámetros genéticos, heredabilidad de atributos, heterosis y partición de la varianza heredable (Núñez et al., 2014). Sin embargo, en Agrosavia, desde el 2012, García y Núñez han realizado cruzamientos entre líneas doble haploides generadas por cultivo de anteras, con el fin de observar cruzabilidad y vigor híbrido (sin publicar) (Núñez et al., 2014). Lagos et al. (2007), pioneros en este campo, han realizado estudios de cruzabilidad y de habilidad combinatoria con propósitos de mejoramiento genético y de estimar la heterosis en algunas características de los frutos.

La preocupación es que existe mucha información sobre caracterizaciones y evaluaciones no sistemáticas en muy pocos ambientes; esto no garantiza un análisis robusto de estabilidad con componentes principales que permita agrupar ambientes y genotipos y que presente una variedad con características adecuadas de identidad genética, homogeneidad y estabilidad (Núñez et al., 2014). Por tal razón es necesario establecer los parámetros genéticos de Aptitud Combinatoria General (ACG) y Específica (ACE) que gobiernan las principales características agronómicas y la heterosis de genotipos que muestren atributos sobresalientes en estudios de caracterización, para continuar con los procesos de selección de parentales cuyas combinaciones genéticas permitan obtener poblaciones mejoradas para la producción de variedades o híbridos que aporten al desarrollo del cultivo de P. peruviana en Colombia (Lagos et al,2007).

De acuerdo con lo anterior, el objetivo de este trabajo es determinar los parámetros genéticos de Aptitud Combinatoria del rendimiento de nueve líneas doble haploides (LDH) de uchuva bajo condiciones de la región natural Andina del departamento de Nariño, con base en el método IV de Griffing (1956), que incluye cruzas directas pero no las reciprocas ni los parentales. Las LDH se caracterizan por su alto potencial de rendimiento, altos contendidos de solidos solubles totales y bajos porcentajes de rajado de fruto.

Materiales y métodos

Localización. El estudio se realiza en dos periodos. En el primero, (Semestre A 2016) se siembran los parentales y los cruzamientos que conformaron el dialelico. Y en el segundo, (Semestre A y B 2017) se realiza la siembra de los híbridos en las cuatro localidades de estudio en el departamento de Nariño (Tabla 1).

Tabla 1: Características geográficas y climáticas de Las diferentes Localidades de estudio

El bloque de cruzamientos se instala en el C.I. Obonuco, donde se realizan los cruzamientos directos entre nueve líneas dobles haploides con el fin de obtener las poblaciones F1 (p(p-1) /2 combinaciones). Para la formación de los híbridos del primer objetivo, se tiene en cuenta el manual de cruzamiento de uchuva de la universidad Nacional (Grisales et al., 2008). Los progenitores se siembran en bandejas de 50 alveolos, usando como sustrato turba, después de 60 días de la siembra se procede a trasplantar.

Manejo del ensayo. El manejo del cultivo es acorde a procesos estandarizados para el mismo. Al momento de inicio de la floración se realizan los cruzamientos de forma manual planta a planta. La extracción de polen se realiza en tardes calurosas en un horario indicado de 12:00 horas hasta las 16:00 horas, momento en el cual las plantas liberan más fácilmente el polen (Lagos et al. 2008).

Después de 15 días se realiza una revisión de los cruzamientos, para la verificación del cuajamiento e identificación de los frutos que presenten abortamiento tardío (Grisales et al., 2008).

Con el fin de evaluar los híbridos obtenidos, se instalan cuatro ensayos ubicados en los municipios de Gualmatán, Ipiales, Puerres y Pasto. Cada ensayo tiene 36 tratamientos, correspondientes a los cruzamientos directos (F1’s) entre 9 líneas doble haploides (DH).

Los tratamientos se establecen bajo el diseño de Bloques Completos al Azar (BCA) con cuatro repeticiones. La parcela experimental corresponde a un surco de 10 m de largo, en el que se distribuyeron cinco plantas con distancias de siembra de 2.0 m entre planta y 2.5 m entre surco, el área de la parcela experimental es de 25 m2 y la superficie de la parcela útil de 20 m2, correspondientes a cuatro plantas centrales las cuales se evaluaron posteriormente. Con el fin de disminuir el efecto de borde en los laterales de cada bloque se planta un surco adicional. El área experimental es de 4000 m2.

Variables evaluadas.

Rendimiento comercial (RTOC)

Se calculan las pérdidas en porcentaje de frutos rajados y enfermos para realizar el cálculo de rendimiento comercial, el cual se determina mediante la diferencia entre el porcentaje de frutos en madurez comercial y la pérdida de frutos.

Rendimiento agronómico (RTOA)

El RTOA en t/ha, se obtiene mediante la recolección periódica de frutos (cada 15 días durante un año) de cuatro plantas de la parcela útil.

Evaluación de Aptitud Combinatoria

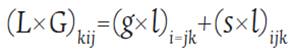
Se evalúan las líneas dobles haploides a través de la ACG y ACE bajo la metodología IV de Griffing (1956) en el cual se estudian solo las cruzas directas sin incluir las cruzas recíprocas ni los parentales. Para la estimación de los parámetros se considera como un modelo fijo tanto las líneas haploides como las localidades (Vallejo y Estrada 2013). El modelo estadístico correspondiente a este método por localidad es el siguiente:

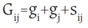
Donde: Yijk = variable de respuesta; = media general del experimento; Lk = efecto de la localidad k-ésima); b(L)r(k) efecto del bloque r-ésimo dentro de la localidad k-ésima; Gij = efecto de la cruza ij-ésima; (LxG)kij = efecto de la interacción de la localidad k-ésima por el genotipo o cruza i j-ésimo; = error experimental. El efecto de cruza Cij, se descompone en:

Donde: gi, gj = efectos de ACG de los padres i y j; sij = efectos aleatorios de ACE para una cruza entre los parentales i y j. La interacción localidad por genotipo o cruza (LxG), se descompone en:

Donde: (g×l)i=jk = efectos de la interacción ACG por localidad; (s×l)ijk = efectos de la interacción ACE por localidad.

Se realiza el Análisis de Varianza (ANDEVA) combinado y por localidad acorde con Griffing (1956), método IV. Para los ANDEVA y el cálculo de los parámetros genéticos se utilizan los paquetes estadísticos SAS versión 9.4 y GENES.

Resultados y discusión

El ANDEVA (Tabla 2) muestra diferencias altamente significativas entre Genotipos en RTOC y RTOA, lo que evidencia la existencia de variación genética entre los 36 híbridos evaluados. Según De la Cruz et al. (2007) los efectos significativos se deben a diferencias entre cruzas para las características de estudio e indica diversidad genética de las poblaciones de donde provienen las líneas utilizadas.

Tabla 2: Cuadrados medios del ANDEVA combinado para rendimiento agronómico y comercial del dialelo de nueve líneas haploides de Pbysaiis peruviana según Modelo 1 Método IV (Griffing, 1956)

Los efectos de ACG y ACE son altamente significativos para RTOC y RTOA, por lo tanto, los efectos aditivos y no aditivos son importantes en la manifestación de estos caracteres. En consecuencia, la diferencia en el comportamiento de las cruzas para estas variables se debe a los efectos aditivos y los de dominancia. A medida que la divergencia genética es mayor también se incrementan las diferencias en ACG y ACE (Gutiérres et al., 2008).

La interacción localidad por genotipos (LxG) es altamente significativa (p < 0.01) para RTOC y RTOA (Tabla 2), Esto indica que las medias de rendimiento no son estadísticamente iguales en los ambientes evaluados, en consecuencia hay una variación sustancial entre los materiales genéticos sobre los ambientes donde se desarrollan (Tirado et al., 2018; López-Morales et al., 2019). Esto reduce el progreso de la selección al ser una fuente de variación que sesga la mejor forma de selección de los genotipos superiores. También sugiere que los caracteres antes mencionados al ser afectados por el ambiente poseen herencia de tipo poligénica (De la Cruz, 2005).

Significativo (5 % de probabilidad); ** altamente significativo (1 % de probabilidad); ns sin diferencias estadísticas. Rendimiento comercial (RTOC); rendimiento agronómico (RTOA).

Contrario a los resultados presentados, Lagos et al. (2007), bajo ambientes del departamento de Nariño no encuentran diferencias significativas en la interacción genotipo por ambiente en variables relacionadas con el diámetro ecuatorial del fruto y el peso del fruto, entre otras.

La significancia de las ACGxL y ACExL indica que los híbridos se comportan de forma diferencial en las localidades. Según plantea Vega (1998), se puede afirmar que los híbridos en esta evaluación de RTOC y RTOA varían su orden de mérito en función del ambiente de cada localidad. Al respecto, en investigaciones realizadas en Physalis ixocarpa se presentaron resultados similares en el rendimiento y el número de frutos, donde los efectos de ACE son afectados significativamente por el ambiente (Montejo y Robledo, 2013).

Aptitud Combinatoria

Como se puede evidenciar en la Tabla 3, los parentales (1), (2) y (4) tienen efectos de ACG positivos en las variables RTOC y RTOA. El parental (3) presenta una ACG positiva para RTOC; de igual forma, los parentales (5) y (6) presentan efectos positivos solo para RTOA. El padre (7) presenta efectos positivos para RTOA, de igual forma los parentales (8) y (9) presentan efectos positivos en RTOC.

Tabla 3: Efectos de HCG de Las nueve Líneas progenitoras de Physalis peruviana

* Significativo (5 % de probabilidad); ** altamente significativo (1 % de probabilidad).

Los parentales con efectos positivos son los que manifiestan en sus progenies las variables evaluadas. Los parentales (1), (2) y (4) presentan la mayor magnitud de efectos positivos de ACG.

Aptitud Combinatoria en rendimiento comercial (RTOC)

De acuerdo con la Tabla 4, los efectos de ACG general son significativos en todas las localidades, de ahí que al menos uno de los padres es estadísticamente superior o inferior al resto de padres. Los resultados obtenidos difieren a los encontrados por Lagos et al. (2007) donde los estimados de ACG y ACE no presentaron significancia. En otros estudios realizados en cultivos como el maíz, Herrera et al. (2014) encuentran diferencias altamente significativas (p < 0.01) entre los efectos de ACG y ACE para rendimiento. En las localidades Gualmatan y Puerres del presente estudio, se encuentra este tipo de significancia para los dos tipos de Aptitud Combinatoria.

Tabla 4: Cuadrados medios del ANDEVA por localidad para comercial (RTOC) de 36 híbridos de Physalis peruviana

Significativo (5 % de probabilidad); ** altamente significativo (1 % de probabilidad); ns sin diferencias estadísticas.

De acuerdo con el ANDEVA de cada localidad (Tabla 4), los efectos de ACE, solo son estadísticamente significativos en las localidades de Gualmatán y Puerres. La ACE explica la proporción de la varianza genotípica que se debe a las desviaciones de dominancia (Gutiérres et al., 2008).

Según la Tabla 5, en Gualmatán, los parentales que muestran un efecto de ACG positiva y altamente significativa fueron 1, 2 y 4, y significativa la línea 9. En la localidad Ipiales las Líneas con los mejores efectos significativos y positivos de ACG son 1 y 8, altamente significativos 2, 4 y 9. En esta misma localidad, también se observa un efecto significativamente negativo de ACG en los parentales 5 y 6. En el caso de Pasto, es altamente significativo en el parental 6 con efectos negativos, y por último, en Puerres, los parentales con mejores efectos positivos y altamente significativos son 2, 4. 8 y 9. Nuevamente los parentales 5 y 6, presentan valores negativos estadísticamente diferentes de cero.

Tabla 5: Efectos de ACG de las cuatro localidades de estudio de la variable RTOC de las nueve líneas progenitoras

* Significativo (5 % de probabilidad), ** altamente significativo (1 % de probabilidad).

En todas las localidades los materiales genéticos que se podrían seleccionar por sus efectos positivos de ACG serían los parentales 2, 4, 8 y 9. Estos presentan efectos estadísticamente diferentes de cero para producir genotipos con un mayor porcentaje de fruto comercial. El parental 6 es el que reduce fuertemente el RTOC; en consecuencia, este parental presenta un comportamiento que impide la manifestación del carácter de interés por medio de efectos aditivos.

En Gualmatán se observan 20 cruzamientos con valores negativos para ACE. De estos, dos cruzamientos mostraron ser estadísticamente diferentes de cero (3x6 y 5x7). Los híbridos con efectos positivos fueron 16 y los que presentaron diferencias estadísticas significativas para el RTOC (Figura 1) fueron 1x6 y 6x9. El primero posee rendimientos similares al promedio general (75 %), el segundo por debajo del promedio general. Los híbridos 2x3 (98.5 %), 4x8 (98.25 %) y 1x3 (90.5 % serían los de mayor RTOC con valores positivos de ACE. Los híbridos 1x2, 2x4, 2x8 y 4x9 muestran rendimiento comercial perse por encima de la media general, pero con efectos negativos de ACE cercanos a cero, sin embargo, manifiesta buen rendimiento comercial y se originaron de padres con alta ACG.

Aptitud Combinatoria Específica (ACE) para el rendimiento comercial en La Localidad de Gualmatán

Figura 1: Aptitud Combinatoria Específica (ACE) para el rendimiento comercial en La Localidad de Gualmatán

En la localidad de Puerres (Figura 2), se encontraron 20 cruzamientos con efectos positivos de ACE para el RTOC. Se destacan las combinaciones hibridas 1x2, 1x4, 2x9, 3x4, 3x8, 4x8, 5x9, 7x8, 7x9 y 8x9; sin embargo, el híbrido 7x9, es el único estadísticamente diferente de cero. Estos híbridos están por encima de la media general (58.52 %) y presentan mayores rendimientos comerciales. Los híbridos 2x4 y 4x9 son buenos perse y se originan de padres con alta ACG. Hoegenmeyer y Hallahuer (1976) señalan que, “para generar híbridos, la ACE es más importante que la ACG, debido a que con ella se aprovechan los efectos no aditivos como la dominancia y la epistasis”, mientras que Singh y Chaudary (1985) mencionan que “los efectos de ACE son más importantes que los de ACG sólo cuando los materiales han sido sometidos a selección”.

Aptitud Combinatoria Específica (ACE) para el rendimiento comercial en la localidad de Puerres.

Figura 2: Aptitud Combinatoria Específica (ACE) para el rendimiento comercial en la localidad de Puerres.

En este caso, los parentales no son sometidos a selección, por ende, en el presente estudio son más importantes los efectos de ACG. En el cuadrante inferior derecho de las Figuras 1 y 2, se pueden observar los efectos negativos de ACE, donde los parentales son de ACG negativa. A través de las localidades no se presentan diferencias significativas. Aunque, se destacan los híbridos 8x9, y 4x8 con los valores más altos de RTOC y ACE procedentes de parentales con alta ACG.

Aptitud Combinatoria del rendimiento agronómico (RTOA)

El RTOA según la comparación de medias es mayor en la localidad de Ipiales donde la media es de 32.7 t/ha/año, le sigue la localidad Gualmatán con un RTOA de 27.23 t/ha/año. Para la localidad Puerres se tiene una media de 24.16 t/h/año y para Pasto se tiene un valor de 19.8 t/h/año. La acción genética aditiva es manifiesta en la mayoría de las localidades donde se presentan efectos altamente significativos de ACG, a excepción de la localidad de Gualmatán donde no se presentan diferencias significativas (Tabla 6).

Tabla 6: Cuadrados medios del ANDEVA por localidad para el rendimiento agronómico (RTOA) de 36 híbridos de Physalis peruviana

* Significativo (5 % de probabilidad); ** altamente significativo (1 % de probabilidad); ns sin diferencias estadísticas.

En la Tabla 7 se pueden observar los efectos de ACG de los parentales. En Gualmatán, estos no son es tadísticamente diferentes de cero. En Ipiales, los mayores efectos positivos y significativos (P < 0.01 y P < 0.05) los presentan los parentales 4 y 6. El parental 8 muestra efectos negativos. En Pasto, el padre 4 presenta efectos de ACG positivos y signif icativos, mientras que el parental 9 tiene efectos negativos para este parámetro. En Puerres el paren tal que presenta efectos positivos fue el 2 y efec tos negativos, los parentales 3 y 9. Estos valores indican la capacidad de estos padres para trans mitir el carácter a través de todos los cruzamientos posibles, y por lo tanto, los que tienen efecto posi tivo son útiles para incrementar esta característica dado que en ellos prevalece la acción génica aditiva (Hallauer et al., 1988).

Tabla 7: Efectos de ACG en las cuatro localidades de estudio para el RTOA de las nueve líneas progenitoras.

* Significativo ( 5% de probabilidad); ** altamente significativo ( 1% de probabilidad).

A través de las localidades se pueden seleccionar los parentales que presentan mayores efectos de ACG para su uso en un programa de mejoramiento por selección o por hibridación de los parentales 1, 2, 4, 5 y 6, que son los que tienen potencial para aumentar el rendimiento.

En la localidad de Ipiales se presentan diferencias significativas tanto en ACG como en su ACE. La contribución a la varianza del RTOA está conformada en un 21 % por efectos aditivos y en un 79 % por los de dominancia. Los híbridos 5x7, 2x9 y 5x9 (Figura 3) sobresalen por presentar valores positivos y altamente significativos para efectos de ACE y rendimientos por encima de la media general (26 t/ ha/año). Estos son los cruzamientos en los cuales existe dominancia por parte de alguno de los padres. Estas combinaciones aseguran efectos no aditivos importantes para la manifestación de esta característica, poseen rendimientos superiores y hacen parte de los híbridos seleccionados por su RTOA que oscila entre 36 a 40.11 t/ha/año. Es de resaltar que los progenitores de los mejores híbridos presentan efectos negativos en su ACG a excepción del parental 7. Este comportamiento coincide con el hibrido 5x7, pero contradice lo observado en los demás, al reportar en otros estudios que valores de ACG negativos para rendimiento señalan que dicha respuesta desfavorece a las cruzas, ya que indican que se requiere que al menos uno de los progenitores posea efectos positivos de ACG (Palemón et al., 2012).

Aptitud Combinatoria Específica (ACE) para el rendimiento agronómico (RTOA) en el municipio de Ipiales.

Figura 3: Aptitud Combinatoria Específica (ACE) para el rendimiento agronómico (RTOA) en el municipio de Ipiales.

Las combinaciones que están en el cuadrante inferior izquierdo presentan efectos negativos en ACE; además, presentan rendimientos por debajo de la media general. Algunas cruzas con ACE negativa y significativa son 2x5, 6x9 y 8x9 presentaron valores en RTOA que van de 20.29 a 26.63 t/ha/año. Con relación a los genotipos que poseen efectos de ACE altos y positivos, su progenie representa una alternativa interesante para derivar familias, poblaciones o líneas, para programas de mejoramiento genético(Peña et al., 1998)

Conclusiones

El análisis combinado muestra variabilidad genética entre los 36 híbridos. El RTOC y el RTOA son caracteres de naturaleza poligénica.

Por sus altos valores de ACG, las líneas 2, 4 y 5 podrían ser utilizadas como progenitores en un programa de mejoramiento para la obtención de híbridos de alto rendimiento.

De acuerdo con las características de rendimiento, los híbridos en Gualmatán con mejor comportamiento son 7x8, 4x6 y 3x5; en Ipiales son 2x9, 1x3 y 4x8. En Pasto fueron 1x7, 1x3 y 7x8 y en Puerres 2x5, 2x8 y 2x3. Estos híbridos pueden ser tenidos en cuenta para futuros programas de mejoramiento por selección recurrente o por hibridación. Estos híbridos proceden de padres con alta ACG como son 2, 3, 7 y 8.

Referencias

  1. Agronet. (Febrero 12, 2022). Red de Información y Comunicación Estratégica del Sector Agropecuario - AGRONET. www.agronet.gov.co [URL] 🠔
  2. Aguiluz, A. (1998). Evaluación de híbridos de maíz (Zea mays L.) de grano blanco y amarillo en ambientes de Centroamérica, Panamá y el Caribe en 1996. Agronomia mesoamericana, 9(1), 28-37. https://pdfs.semanticscholar.org/4a72/ca1f82faee2193915daacf00336931285ec1.pdf [URL] 🠔
  3. ANALDEX (Asociación Nacional de Comercio Exterior). (2018). Comportamiento de la uchuva-Producción y comercio. http://www.analdex.org/wp-content/uploads/2018/02/2018-02-08-Mercado-de-la-Uchuva.pdf [URL] 🠔
  4. Arias Duque, C. (2013). Guía de exportación para la uchuva fresca colombiana hacia Estados Unidos. [Universidad Católica de Pereira]. https://repositorio.ucp.edu.co/bitstream/10785/1644/1/DDPANI70.pdf [URL] 🠔
  5. Bonilla Cortés, M.H., Landinez, L., Arias, P.A. y Moreno, J.M. (2009). Agenda prospectiva de investigación y desarrollo tecnológico para la cadena productiva de la uchuva en fresco para exportación en Colombia. Ministerio de Agricultura y Desarrollo Rural. Proyecto Transición de la Agricultura. Universidad Nacional de Colombia, CORPOICA 🠔
  6. BTC. (Enero 25, 2021). Trade for Development Centre. Bélgica. http://www.befair.be [URL] 🠔
  7. Flórez Roncancio, V.J., Fischer, G. y Sora, A.D. (2000). Producción, poscosecha y exportación de la uchuva (Physalis peruviana L.). Unibiblos, Universidad Nacional de Colombia. https://www.researchgate.net/publication/258211931_Produccion_poscosecha_y_exportacion_de_la_uchuva_ Physalis_peruviana_L [URL] 🠔
  8. Griffing, B. (1956). Concept of general and specific combining ability in relation to diallel-crossing system. Australian Journal of Biological Sciences, 9(4), 463-493. https://doi.org/10.1071/ BI9560463 [URL] 🠔
  9. Grisales, N.Y., Orozco, L.F., Trillos González, O. y Cotes Torres, J.M. (2008). Manual técnico para realizar cruzamientos dirigidos en uchuva (Physalis peruviana L.). https://www.researchgate.net/publication/301556476_MANUAL_TECNICO_PARA_REALIZAR_CRUZAMIENTOS_DIRIGIDOS_EN_UCHUVA_Physalis_peruviana_L [URL] 🠔
  10. Gutiérrez, M.S., Trinchero, G.D., Cerri, A.M., Vilella, F. y Sozzi, G.O. (2008). Different responses of goldenberry fruit treated at four maturity stages with the ethylene antagonist 1-methylcyclopropene. Postharvest Biology and Technology, 48(2), 199-205. https://www.sciencedirect.com/science/article/abs/pii/S0925521407003456 [URL] 🠔
  11. Hallauer, A.R., Carena, M.J. y Miranda Filho, J.B. (1988). Quantitative genetics in plant breeding. Second edition. New York, Springer. 663p. 🠔
  12. INCONTEC. (1999). Norma Técnica Colombiana. Frutas frescas. Uchuva. Especificaciones. https://kontii.files.wordpress.com/2012/10/ntc-4580.pdf [URL] 🠔
  13. De la Cruz, L., Gómez Vázquez, A.. , López Benítez, A., Osorio Osorio, R., Palomo Gil, A., Robledo Torres, V. y Rodríguez Herrera, S.A. (2007). Aptitud combinatoria de líneas de maíz de alta calidad de proteína para características forrajeras. Universidad y Ciencia, 23(1), 57-68. https://www.researchgate.net/publication/28164058_Aptitud_combinatoria_de_lineas_de_maiz_de_alta_calidad_de_proteina_para_caracteristicas_forrajeras [URL] 🠔
  14. Lagos, T.C., Vallejo, F.A. y Criollo Escobar, H. (2007). Análisis de la aptitud combinatoria de algunas características del fruto de Physalis peruviana L. Agronomía Colombiana, 25(1), 36-46. http://www.scielo.org.co/pdf/agc/v25n1/v25n1a05.pdf [URL] 🠔
  15. Lagos, T.C., Vallejo, F.A., Criollo Escobar, H. y Muñoz Flórez, J.E. (2008). Biología reproductiva de la uchuva. Acta Agronómica, 57(2), 81-156. http://www.scielo.org.co/scielo.php?script=sci_arttext&pid=S0120-28122008000200001 [URL] 🠔
  16. López-Morales, F., Chura-Chuquija, J. y García-Pando, G. (2019). Genotype interaction by environment of yellow corn yield in trilinear hybrids, Peru. Revista Mexicana Ciencias Agrícolas, 10(4), 859-872. http://www.scielo.org.mx/pdf/remexca/v10n4/2007-0934-remexca-10-04-859-en.pdf [URL] 🠔
  17. Medina, M.A. (2017). Uchuva, el otro oro de exportación. ANALDEX. http://www.analdex.org/2017/10/18/uchuva-el-otro-oro-de-exportacion/ [URL] 🠔
  18. Camposeco Montejo, N. y Torres Robledo, V. (2013). Estimación de la aptitud combinatoria y heterosis en poblaciones de tomate de cáscara (Physalis ixacarpa Brot).[Tesis de maestría, Universidad Autónoma Agraria Antonio Narro, Buenavista, Saltillo, Coahuila, México]. http://www.repositorio.uaaan.mx:8080/xmlui/handle/123456789/7070 [URL] 🠔
  19. Núñez, V.M., Sánchez, E.P., Barrero, L.S., Mayorga, F.G., Gómez, M.R., Hernández, E.G., Garzón, G.A., Enciso, F.E., Navas, A.A. y Lobo, A.M. (2014). Estado del arte de la investigación en uchuva Physalis peruviana L. Bogotá, Colombia: Corpoica, 80 p. https://repository.agrosavia.co/bitstream/handle/20.500.12324/13137/74250_65667.pdf?sequence=1&isAllowed=y [URL] 🠔
  20. Palemón Alberto, F., Gómez Montiel, N.O., Castillo González, F., Ramírez Vallejo, P., Molina Galán, J.D. y Miranda Colín, S. (2012). Potencial productivo de cruzas intervarietales de maíz en la región semicálida de Guerrero. Revista Mexicana de Ciencias Agrícolas 3(1), 157-171. http://www.scielo.org.mx/scielo.php?script=sci_arttext&pid=S2007-09342012000100011 [URL] 🠔
  21. Peña-Lomeli, A., Molina-Galán, J.D., Cervantes-Santana, T., Márquez-Sánchez, F., Sahagún-Castellanos, J. y Ortiz- Cereceres, J. (1998). Heterosis intervarietal en Tomate de cáscara (Physalis ixocarpa Brot .). Revista Chapingo Serie Horticultura, 4(1), 31-37. https://www.researchgate.net/publication/26475141_Heterosis_intravarietal_en_tomate_de_cascara_Physalis_ixocarpa_Brot [URL] 🠔
  22. Singh, R.K. y Chaudhary, B.D. (1985). Biometrical methods in quantitativegenetic analysis. Kalyani Pub. 🠔
  23. Tirado, R. M., Tirado, R.L., Mendoza, J.C. (2018). Interacción genotipo x ambiente en rendimiento de papa (Solanum tuberosum L.) con pulpa pigmentada en Cutervo, Perú. Chilean Journal of Agricultural & Animal Sciences., 34(3), 191-198. https://scielo.conicyt.cl/pdf/chjaasc/v34n3/0719-3890-chjaasc-00502.pdf [URL] 🠔
  24. Valdenegro, M., Almonacid, S., Henríquez, C., Lutz, M., Fuentes, L. y Simpson, R. (2013). The effects of drying processes on organoleptic characteristics and the health quality of food ingredients obtained from goldenberry fruits (Physalis peruviana). https://www.omicsonline.org/scientific-reports/srep642.php [URL] 🠔
  25. Vallejo, F. y Estrada, I. (2013). Mejoramiento genético de plantas. 2a. ed. Universidad Nacional de Colombia. 🠔