Acta Agronómica
0120-2812
Universidad Nacional de Colombia
https://doi.org/10.15446/acag.v69n3.84267

Recibido: 19 de diciembre de 2019; Aceptado: 10 de julio de 2020

Organic fertilization attenuates heat stress in lettuce cultivation

Fertilización orgánica como atenuante de estrés por calor en cultivo de lechuga

B. da Cruz Bento, 1A. Cabral França., 1R. Gomes Oliveira., 1L. Tadin Sardinha., 1F. Soares Leal., 1

Universidad Federal de los Valles de Jequitinhonha y Mucuri, Alto da Jacuba, Teófilo Ütoni, Brasil. bmebentto@gmail.com, eabralfranea@yahoo.com.br, rodrigo-gomes08@hotmail.com, levy.tadin@yahoo.com.br, felipelealagro@hotmail.com. Universidade Federal dos Vales do Jequitinhonha e Mucuri Universidad Federal de los Valles de Jequitinhonha y Mucuri Alto da Jacuba Teófilo Ütoni Brazil

Abstract

Organic or organomineral fertilization favours aeration; the distribution, storage and drainage of water through the structure of the soil favouring, in this way, the reduction in sudden variations in temperature that interrupts the of absorption of nutrients by plants. In addition, it is an important source of macro- and micronutrients essential for plant growth and development. The present study was carried out at the Olericulture Sector of the Federal University of the Valleys of Jequitinhonha and Mucuri with the aim of determining the behaviour and growth pattern of lettuce plants (Lactuca sativa L.) cv. Regina, at different levels of fertilization and variable temperature. Temperatures were 12 °C, 20 °C, 23°C and 28°C. A granulated organic fertilizer modified with conventional minerals, proposed by Geofert (a pelletized organic-mineral ((4N-17P2O5-7K2O at 5.30 g/pot) was applied, and cattle manure plus a control treatment without fertilizer. Parameters as plant height, ‘head’ point diameter, and leaves number/plant were measured. In addition, chlorophyll A and B contents were estimated, leaf area ratio (LAR), the specific leaf area (SLA) and leaf weight ratio (LWR). Fertilization with bovine manure and Geofert fertilizer favoured plant growth, especially at lower or higher temperatures than the recommended for this vegetable (15 - 24 °C). Organic fertilizers were more efficient than conventional fertilization in the moderating effects of the high temperatures evaluated.

Key words:

Alternative fertilization, Climate changes, Lactuca sativa L., thermal stress.

Resumen

La fertilización orgánica u organomineral favorece la aireación; la distribución, el almacenamiento y el drenaje de agua a través de la estructura del suelo favoreciendo, de esta forma, la reducción en las variaciones repentinas de la temperatura que interfieren en los procesos de absorción de nutrientes por las plantas. Además, es una fuente importante de macro- y micronutrientes esenciales para el crecimiento y desarrollo de las plantas. El presente estudio se realizó en Olericulture Sector of the Federal University of the Valleys of Jequitinhonha and Mucuri con el objetivo de determinar el comportamiento y el patrón de crecimiento de plantas de lechuga (Lactuca sativa L.) cv. Regina, en diferentes niveles de fertilización y temperatura variable. Las temperaturas (°C) fueron: 12, 20, 23 y 28 y como medios de cultivo se utilizaron un fertilizante orgánico granulado modificado con minerales convencionales, propuesto por Geofert (a pelletized organic-mineral (4N-17P2O5-7K2O at 5.30 g/pot) y estiércol de ganado, más un tratamiento control sin fertilizante. Como parámetros de respuesta se midieron la altura de planta, el diámetro en el punto de ‘cabeza’, el número de hojas/planta. Además, se estimaron los contenidos de clorofila A y B, la relación de área foliar (LAR), el área foliar específica (SLA) y relación de peso foliar (LWR). La fertilización con estiércol de vacuno y el fertilizante Geofert favorecieron el crecimiento de planta, especialmente a temperaturas inferiores o superiores a la recomendada para esta hortaliza (15 - 24°C). Los fertilizantes orgánicos fueron más eficientes que la fertilización convencional en los efectos moderadores de las altas temperaturas evaluadas.

Palabras clave:

Fertilización alternativa, cambios de clima, Lactuca sativa L., estrés por temperatura.

Introduction

Lettuce (Lactuca sativa L.), a temperate climate vegetable (Dalastra et al., 2016) is sensitive to high temperatures (Blat et al., 2011). When grown in regions of high temperature and luminosity, the plant may fail to express its full genetic potential (Caron et al., 2013). A temperature range of 15 to 24°C is considered adequate for lettuce development (Santana et al., 2009). Elevated temperatures compromise leaf quality with change in head shape and increased latex production, making leaves bitter and undesirable for consumption (Cock et al., 2002). Cold windy conditions prolong the cycle and compromise quality (Filgueira, 2013; Dalastra et al., 2016).

Negative effects of less than optimum temperature may be attenuated by nutrition management (Meneses et al., 2016) which, in turn, influence plant architecture, growth, development, weight, quality and production (Silva et al., 2000). Lettuce is cultivated with conventional and organic management which can influence quality (Ziech et al., 2014).

In conventional production, use of exclusively synthetic compounds can cause acidification and salinization of soils, reduction of soil biological activity, imbalance in food nutritional quality and impact human health (Malavolta et al., 2002). Organic and organic-mineral fertilizers provide soil with improved structure, aeration, water storage and internal drainage which favours reduction of variations in soil temperature. As a result, enzymatic activity, membrane integrity, photophosphorylation, electron transport in the chloroplast and stomatal conductance to CO2 diffusion are optimized (Shoaib et al., 2012). Also, greater soil biological balance and nutritional enrichment, as lessen the possibility of early bolting because of lower temperature. Because lettuce is responsive to the effects caused by the temperature and fertilization to which they are submitted, with great influence on the behaviour in architecture, growth and productivity of the plant, the objective of the work was to verify the effect of organic fertilization on development of lettuce cv. Regina in response to temperature.

Material and methods

The experiment was conducted in a growth room, 10 × 10 m, equipped with fluorescent lights and a hot/cold split type air conditioner. The lettuce cv. Regina® (Feltrin, Farroupilha, Brazil) has smooth leaves, is tolerant to early weeding and heat, forms a loose head, and has a cycle of 70 to 80 days. Seedlings were produced in expanded polystyrene trays with 128 pyramid cells filled with standard commercial substrate, composed of sphagnum peat, coconut fibre, rice husk, pine bark and vermiculite, not characterizing as organic substrate. Three untreated lettuce seed were sown per cell containing commercial substrate, and after emergence reduced to 1 seedling per cell. The trays were kept in a greenhouse, with an arch-shaped metal structure and longer east-west direction and kept under controlled temperature conditions, relative humidity around 60% and protection against rain, hail, frost and low temperatures, in the Olericulture Sector of the Federal University of the Valleys of Jequitinhonha and Mucuri, being irrigated daily with a 5 mm water slide.

The experiment was arranged in a completely randomized design in a factorial 4x6, with four constant temperatures and six fertilizer treatments, with four repetitions. The experimental unit was consisting of one plant per pot for the duration of the experiment. The temperatures used were 12, 20, 23 and 28 ºC, corresponding to severe cold, optimum growth temperature, and moderate and severe heat, respectively. Transplanting seedlings was done manually when plants had 5 to 6 expanded leaves, at about 30 days after emergence, into polyethylene pots (4.5 dm3) containing soil with pH corrected to 5.5 with 11.3 g dolomitic limestone (90%). The experiment was carried out in a red-yellow Latosol, clay texture (Table 1.).

Table 1: Chemical and textura! analysis of the experimental soil, at a depth of 0-20cm*

*Definir: SB: T: V: m:

In order to provide plants with the same amount of nutrients in different types of fertilization, the following doses were used for each treatment: control (no fertilizer); conventional mineral (conventional) with 1.9 g/pot of monoammonium phosphate in seedling transplantation, 0.76 g/pot of urea and 0.47 g/pot of potassium chloride at 15 days after the transplant; Geofert [a pelletized organic-mineral (4N-17P2O5-7K2O at 5.30 g/pot)] and tanned cattle manure (112.5 g/pot; Fontes, 1999), not passed through the composting process and thus not characterized as compost. All doses for the treatment of mineral compounds were selected according to Fontes (1999) and culture requirement according to the P2O5 content. For organic fertilizers, the doses were selected according to the amount of organic fertilizer per hectare. The control treatment is inserted in the work as a way to verify the growth of lettuce plants and postharvest analysis only with the nutrients contained in the soil used, i.e., there is no addition of organic fertilizers or minerals to the treatment. Thus, it is possible to analyse how lettuce plants behave being fertilized with organomineral and/or mineral fertilizers under temperature stress. Developing plants were maintained under a 12/12 light/dark photoperiod. During the experiment, temperature and relative humidity were continuously monitored using sensors coupled to a data acquisition system read at 15 min intervals, 96 readings/day.

Harvest was performed when 50% of the plants had a head diameter of 30 cm or greater. The response variables evaluated at the time of harvest were: plant growth height, head diameter measured with a graduated ruler, leaf number, chlorophyll A and B contents, leaf area ratio (LAR), leaf area specific (LAS) and weight ratio leaf (WRL). The levels of chlorophyll A and B were evaluated using Falker electronic chlorophyll meter. The LAR was determined by LAR (dm-² g-1) = LA * DWL, where: LA (cm²) = total leaf area; DWL (g) = dry weight of leaves. LAS was determined by LAS (cm-² g-1) = LA * DMleaf, where: LA (cm2) = leaf area; DMleaf (g) = leaves dry mass. The WRL was quantified by: WRL = DMleaf * DMtotal, where DMtotal (g) = total plant dry mass.

For data interpretation, analysis of variance was used, using the F test (P ≤ 0.05). The statistical program SISVAR (Ferreira, 2011) was used to unfold the significant interaction, using the Scott-Knott test at 5% for comparisons between fertilizers and regression analysis for the temperatures used, with choice models based on their significance.

Results

It was verified by analysis of variance that there was significant interaction (P < 0.05) for all variables evaluated. This indicates that the factors do not act independently in the evaluated characteristics.

The height of lettuce plants varied in a quadratic manner in relation to the temperature increases (Figure 1a). The lower temperatures implied lower values of plant height, however, there was a reduction as a function of temperature increases from the maximum points (inflection point) in all the fertilizations studied. The highest growth was observed for fertilization with tanned cattle manure, presenting an estimated maximum growth of 10.48 cm at a temperature of 27.38ºC. From this temperature it was observed a reduction in the growth rate, possibly due to thermal stress. The highest plant height was followed by fertilization with organic-mineral Geofert, whose plants reached an estimated maximum height of 8.88 cm, at a temperature of approximately 25.85ºC (Figure 1a).

Average valúes of plant height (a), number of leaves (b) plants head diameter (c) of cv. Regina lettuce fertilized with conventional mineral fertilizer, tanned cattle manure, Geofert organic-mineral and without fertilization (Control), grown under different temperatures in the growing room.

Figure 1: Average valúes of plant height (a), number of leaves (b) plants head diameter (c) of cv. Regina lettuce fertilized with conventional mineral fertilizer, tanned cattle manure, Geofert organic-mineral and without fertilization (Control), grown under different temperatures in the growing room.

The growth observed in fertilizations with cattle manure and Geofert organic-mineral were 30.34% and 10.45% higher, respectively, than the maximum height estimated in the control treatment (8.04 cm at the temperature of 24.61ºC). When comparing within each temperature evaluated (Table 2), it was observed that at 12 ºC the organic-mineral Geofert provided a higher growth than that observed in the control treatment, however it did not differ from the other treatments. For the other temperatures, it was verified that, in general, the tanned cattle manure provided superior height when compared with other fertilizations.

Table 2: Average valúes of plant height, number of leaves and plants head diameter of cv. Regina lettuce fertilized with conventional mineral fertilizer, tanned cattle manure, Geofert organic-mineral and without fertilization (control), within four different temperatures in the growing room.

/Averages followed by the differ letter in the line do differ from each other (P<0.05) by the Tukey test at 5% of significance. n= 96.

The diameter of the head presented similar behaviour to that observed for the heights of plants (Figure 1b). The highest values were estimated for fertilization with tanned cattle manure and organic-mineral Geofert. The maximum diameter for the treatment with cattle manure was estimated at a temperature of 20.62ºC, with a value of 31.72 cm. The fertilization with the organic-mineral Geofert presented maximum value in the temperature of 17.62ºC, with a value of 29.52 cm. When comparing the fertilizers within each temperature (Table 1), it was also observed that, in general, the cattle manure and the organic-mineral Geofert provided larger head diameters.

The highest number of leaves was obtained for fertilization using tanned cattle manure, followed by the fertilization with organic-mineral Geofert (Figure 1c). The number of leaves is a factor of great importance, since it indicates the adaptation of the genetic material to the environment (Diamante et al., 2013), being very influenced by the temperature. The maximum number of leaves for these fertilizations was estimated at temperatures of 18.63ºC and 17.02ºC, with values of 32.21 and 30.04 leaves per plant, respectively. When evaluating within each temperature (Table 2) it was observed that in the temperatures of 12ºC and 20ºC the control fertilization presented the lowest number of leaves, while in the temperatures of 23ºC and 28ºC the highest leaf production was verified exclusively in fertilization with cattle manure.

The temperatures that promoted a greater number of leaves (18.63ºC and 17.02ºC) were far from the temperatures that promoted greater growth (27.38ºC for cattle manure and 25.85ºC for the organic-mineral Geofert). These results indicate the need for a thermal suitability to maximize the simultaneous performance of these variables, since the size of the plant and the number of leaves is important variables in the commercialization of lettuce (França, 2011). One way to attenuate the effects of temperature on lettuce production has been the use of protected cultivation and the use of thermally reflective covers. The control and conventional treatments, where there was no organic matter input, were those with lower plant heights, smaller head diameters and smaller leaf numbers (Figure 1).

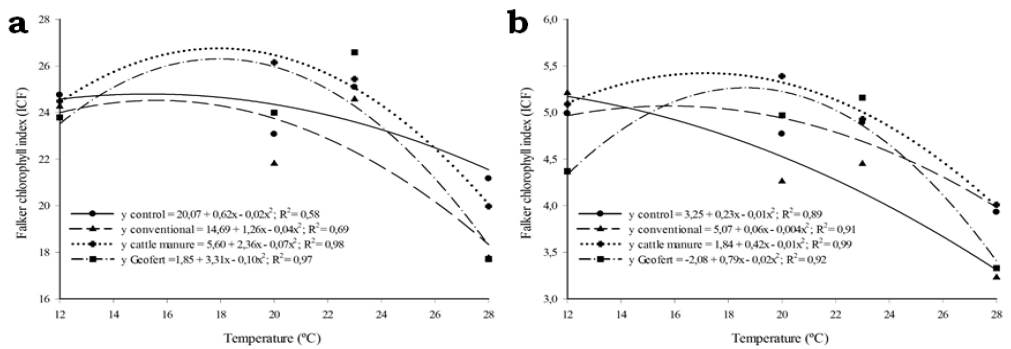
Chlorophyll content showed a decreasing quadratic behaviour, with the highest levels of chlorophyll A (Figure 2a) and chlorophyll B (Figure 2b) observed for fertilization with tanned cattle manure. The maximum peak of chlorophyll A in this fertilization was estimated at the temperature of 17.91 ºC, with a value of 26.74 ICF (Falker chlorophyll index), reducing from there as temperature increases. The highest levels of chlorophyll A were followed by treatment with organic-mineral Geofert, control and, finally, conventional.

Average values of chlorophyll A (a) and chlorophyll B (b) of cv. Regina lettuce plants fertilized with conventional mineral fertilizer, tanned cattle manure, Geofert organic-mineral and without fertilization (Control), grown under different room growth temperatures.

Figure 2: Average values of chlorophyll A (a) and chlorophyll B (b) of cv. Regina lettuce plants fertilized with conventional mineral fertilizer, tanned cattle manure, Geofert organic-mineral and without fertilization (Control), grown under different room growth temperatures.

Comparing exclusively the fertilizations within the temperatures (Table 3), it was verified that the levels of chlorophyll A in fertilization with cattle manure were always higher or equal to that observed in other fertilization, never lower. In addition to being the main pigment associated with the green coloration of plants, chlorophyll A is directly linked to the photosynthetic process of plants, and consequently to photo assimilated production (Taiz and Zeiger, 2010).

Table 3: Average values of chlorophyll A and chlorophyll B of cv. Regina lettuce plants fertilized with conventional mineral fertilizer, tanned cattle manure, Geofert organic-mineral and without fertilization (Control), within four different room growth temperatures.

VAverages followed by the differ letter in the line do differ from each other (P<0.05) by the Tukey test at 5% of significance. n= 96.

The highest value of chlorophyll B was observed in fertilization with cattle manure, estimated at the temperature of 17.13 ºC and maximum value was 5.42 ICF. Geofert reached the second highest value of chlorophyll B, being 5.25 ICF at the temperature of 18.61ºC. However, it was verified that the organic-mineral Geofert presented the lowest values of chlorophyll B when submitted to temperatures below 15 ºC. The chlorophyll B contents reduced, in all treatments, as the temperature increase from their inflection points.

In relation to the chlorophyll B levels within each temperature (Table 3), there was no significant difference (P > 0.05) between the different fertilizations, except for the temperature of 20 ºC, where the fertilization with cattle manure presented higher value than conventional fertilization. Chlorophyll B does not play such a significant role in the pigmentation of leaves and photosynthetic processes, and it is important mainly in the amplification of the light absorption spectrum, considered as an accessory pigment (Taiz and Zeiger, 2010).

Leaf area ratio (LAR) decreased exponentially as a function of temperature increases in conventional, organic-mineral and control fertilizers (Figure 3a). Contrary to these treatments, the LAR in fertilization with cattle manure presented increasing quadratic behaviour in relation to the thermal increase. In this treatment the LAR reduced from 1361.43 dm2 g-1 (at a temperature of 12°C) to 584.69 dm2.g-1 at the temperature of 21.40°C. However, at this point the LAR of this treatment increased as a function of temperature increases. Although it was not an expected behaviour, this may indicate that in extreme temperatures there is a marked reduction of dry matter production and increase leaf area, because the LAR indicates the useful leaf area for photosynthesis. Therefore, high values tend to indicate a larger leaf area (dm2) to produce 1g of dry matter.

Average values of leaf area ratio (LAR) (a), specific leaf area (LAS) (b) and weight ratio leaf (WRL) (c) of cv. Regina lettuce fertilized with conventional mineral fertilizer, tanned cattle manure, Geofert organic-mineral and without fertilization (Control), grown under different temperatures in the growing room.

Figure 3: Average values of leaf area ratio (LAR) (a), specific leaf area (LAS) (b) and weight ratio leaf (WRL) (c) of cv. Regina lettuce fertilized with conventional mineral fertilizer, tanned cattle manure, Geofert organic-mineral and without fertilization (Control), grown under different temperatures in the growing room.

When evaluating within each temperature (Table 4), it was verified that in the lower temperature (12 ºC) the highest LAR was presented in conventional fertilization. At the temperature of 20 ºC, fertilization did not differ among them. However, in the higher temperatures (23 and 28 ºC) the treatment with cattle manure presented higher LAR in relation to the other fertilizations.

Table 4: Average values of leaf area ratio (LAR), specific leaf area (LAS) and weight ratio leaf (WRL) of cv. Regina lettuce fertilized with conventional mineral fertilizer, tanned cattle manure, Geofert organic-mineral and without fertilization (Control), within four different temperatures in the growing room.

1/Averages followed by the differ letter in the line do differ from each other (P<0.05) by the Tukey test at 5% of significance. n= 96.

The specific leaf area (LAS) reduced quadratically in all treatments (Figure 3b). It was observed that in the lower temperatures the control treatments and with conventional fertilization presented higher LAS until temperatures near 18 ºC. Subsequently to this temperature, the LAS presented in the cattle manure fertilization overcame the other treatments, having an increasing behaviour from 22.56 ºC. Within each temperature, the LAS of fertilization differed at temperatures of 12 and 23 °C (Table 3). At the temperature of 12 ºC the highest LAS was observed in conventional fertilization. Already at 23 ºC the highest LAS was obtained for fertilization with cattle manure and organic-mineral Geofert.

However, the weight ratio leaf (WRL) reduced quadratically for all fertilizations as a function of the increase in temperatures (Figure 3c). The treatment with conventional fertilization provided the highest WRL, with a maximum value close to 1.00, estimated at 25.20 ºC, decreasing from this temperature. When evaluating within each temperature studied (Table 3), the WRL observed in cattle manure and organic-mineral Geofert fertilizations was higher than that observed in the control treatment only at the temperature of 12 ºC.

Discussion

The average productive cycle of the lettuce was influenced by the temperature, being 63, 56, 49 and 38 days for the temperatures of 12, 20, 23 and 28 ºC, respectively. The low temperatures prolong the cycle of this crop (Filgueira, 2013) and elevated temperatures, besides altering the architecture of the lettuce plants, cause the early tasselling. The temperature range of 15 to 24 °C is considered adequate for lettuce development (Santana et al., 2009). Plant growth models have shown that in very high temperature scenarios, crop cycles decrease, reducing productivity (Renato et al., 2013).

The answers to the procedures of bovine manure and the organic mineral Geofert reinforce the importance of using organic fertilizer in the production of lettuce, especially in conditions of higher temperatures. There was a better performance of lettuce in fertilizations with tanned bovine manure and organic mineral Geofert, when compared to conventional fertilization and control. This is related to the greater contribution of organic matter in the soil, which promotes improvements in the chemical, physical and biological character of the soil, in addition to providing a microclimate favourable to development (Souza and Resende, 2003).

Although there is a predominance of the use of inorganic fertilizers in the production of vegetables (Farias et al., 2017), the use of organic wastes is a viable alternative for the producer. These residues, in addition to providing important nutrients, reduce the use of inorganic fertilizers and provide better soil structure, as well as reducing nutrient degradation and leaching (Hernández et al., 2016). Another benefit of adding organic matter to the soil is the favourable potential for nematode control and reduction in phytosanitary use. The solarization combined with organic and organic-mineral fertilization efficiently reduced the number of galls, egg masses and the population of nematodes in roots, especially Meloidogyne spp. in the cultivation of lettuce (Silva et al., 2006).

Plants with larger head diameters are more attractive to the consumer, being preferred for commercialization. It is noteworthy that this variable is very influenced by the growing environment, since the temperature may be responsible for the physiological and morphological changes of the plants (Hermes et al., 2001).

Smaller plant height, smaller head diameter and fewer leaves were observed in control and conventional treatment because leafy vegetables respond very well to organic fertilization, improving their productive performance (Oliveira et al., 2010). These results differ from those observed by Peixoto-Filho et al. (2013), who observed that the number of leaves in lettuce plants fertilized with avian and bovine manure did not differ significantly from that observed in plants under conventional fertilization. This is possibly related to the temperature variations present in this study, whose results indicated beneficial effects of organic matter in the tolerance to temperature increases.

When the temperature remains high for a certain time, the plants of temperate climate carry out the photosynthesis with less efficiency, that is, they present a decrease in the incorporation of carbonic gas in the production of photo assimilates (Taiz and Zeiger, 2010). This is due to the fact that some of the originally absorbed carbon dioxide is lost through transpiration, reducing the production of leaves by plants. In addition to the fall in productivity and early tasselling, temperature increases also make lettuce more susceptible to calcium deficiency, known as tip burn, which results in ‘burning’ of the leaf edges and results in loss of commercial value (Brzezinski et al., 2017).

The highest amount of chlorophyll A in treatments with cattle manure and organic-mineral manure Geofert is related to the higher organic matter supply. In this condition there is an increase in nitrogen content, a fundamental nutrient for the composition of the chlorophyll molecule. This higher photosynthetic capacity explains the higher height, leaf yield and head diameters presented in these fertilizations. In addition, chlorophyll A is the main pigment responsible for the green colour of lettuce, a key feature for its commercialization.

The reduction in the decreased leaf area rate (LAR) is an expected behaviour, as it indicates the ratio between the leaf area and the total weight of dry matter, which tends to decline as the plant grows, mainly due to self-shading and consequent loss of photosynthesis active area (Peixoto et al., 2011).

Low LAS values may be related to an increase in leaf thickness and reduction of its photosynthetic area (Cairo et al., 2008), which is not of interest for the lettuce crop, since in addition to reducing its size it may also compromise its palatability.

The increases in WRL reflected a higher allocation of assimilates to developing leaves, toxic as well as metabolic, and decreased the reason why they reflect the mobilization of photo-assimilated compounds (Borges et al., 2014). That is, probably, the translation of photo assimilates into plants grown at higher temperatures occurs with greater intensities than at low temperatures, the one that is lower throughout the development of the plant occurs the mobilization of photo assimilated compounds due to strategies of plants under cold stress.

Conclusions

Under the experiment conditions, the treatments with tanned cattle manure and organic-mineral Geofert promote greater growth to Lectucca sativa L. cv. Regina independent of temperature. These fertilization strategies can allow better productive Regina cv. lettuce plants even at stress temperatures.

Acknowledgements

Acknowledgment

This study was financed in part by the Coordenação de Aperfeiçoamento de Pessoal de Nível Superior - Brasil (CAPES) - Finance Code 001

References

  1. Blat, S. F.; Sanchez, S. V.; Araújo, A. J. C.; Bolonhezi, D. 2011. Performance of curly lettuce cultivars in two cultivation environments in hydroponic system. Horticultura Brasileira, 29(1), 35-13. http://dx.doi.org/10.1590/S0102-05362011000100024 [URL] 🠔
  2. Borges, L. S.; Goto, R.; Lima, G. P. P. 2014. Morpho-physiological indices and economic productivity of jambu cultivars influenced by the organic and mineral fertilizers. Bioscience Journal, 30(6), 1768-1778. http://www.seer.ufu.br/index.php/biosciencejournal/article/view/22230 [URL] 🠔
  3. Brzezinski, C.R.; Abati, J.; Geller, A.; Werner, F.; Zucareli, C. 2017. Production of lettuce cultivars under two cropping systems. Revista Ceres, 64(1), 83-89. http://dx.doi.org/10.1590/0034-737X201764010012 [URL] 🠔
  4. Cairo, P. A. R.; Oliveira, L. E. M.; Mesquita, A. C. 2008. Análise de crescimento de plantas. Ed. Universidade Estadual do Sudoeste da Bahia - Uesb. Vitória da Conquista. Brazil. 68 p. http://www2.uesb.br/editora/?p=149 [URL] 🠔
  5. Caron, B. O.; Schmidt, D.; Souza, V. Q.; Santana, E. O.; Borchartt, L. 2013. Air temperature and lettuce dry matter accumulation. Enciclopédia Biosfera, 9(17), 2434-2441. http://www.conhecer.org.br/enciclop/2013b/CIENCIAS%20AGRARIAS/TEMPERATURA%20DO%20AR.pdf [URL] 🠔
  6. Cock, W.R.; Amaral- Júnior, A. T.; Bressan‑Smith, R. E.; Monnerat, P.H. 2002. Biometrical analysis of phosphorus use efficiency in lettuce cultivars adapted to high temperatures. Euphytica, 126, 299‑308. http://dx.doi.org/10.1023/A:1019949528214 [URL] 🠔
  7. Dalastra, G.M.; Hachmann, T.L.; Echer, M.M. ; Guimarães, V.F. and Fiametti, M.S. 2016. Productive characteristics of lettuce mimosa cultivars conducted under different shading levels in winter. Scientia Agraria Paranaensis, 19(3),15-19. http://dx.doi.org/10.18188/1983-1471/sap.v15n1p15-19 [URL] 🠔
  8. Diamante, M.S.; Seabra Júnior, S. S.; Inagaki, A. M.; Silva, M. B.; Dallacort, R. 2013. Production and resistance to tearing of smooth lettuce grown under different environments. Revista Ciência Agronômica. 44(1), 133-140. http://dx.doi.org/10.1590/S1806-66902013000100017 [URL] 🠔
  9. Farias, D. B. S.; Lucas, A.A.T.; Moreira, M.A.; Nascimento, L.F.A.; Sá-Filho, J.C.F. 2017. Soil cover and organic fertilization in lettuce production. Rev. Ciênc. Agrar., 60(2),173-176. http://dx.doi.org/10.4322/rca.2493 [URL] 🠔
  10. Filgueira, F.A.R. 2013. Novo manual de olericultura: agrotecnologia moderna na produção e comercialização de hortaliças. Ed. Universidade Federal de Viçosa, Viçosa, Brasil. 412 p. 🠔
  11. Fontes, P.C.R. 1999. Alface. pp177. In: Recomendações para uso de corretivos e fertilizantes em Minas Gerais. 5ª aproximação. Ribeiro, A. C.; Guimarães, P. T. G.; Alvarez, V.H. Ed. Comissão de Fertilidade do Solo do Estado de Minas Gerais, Viçosa, Brasil. https://www.editoraufv.com.br/produto/5-aproximacao-recomendacoes-para-o-uso-de-corretivos-e-fertilizantes-em-minas-g/1109073 [URL] 🠔
  12. França, C. F. M. 2011. Conservação e qualidade pós-colheita em duas variedades de alface submetidas ao hidrosombreamento. Tesis. Universidade Federal de Viçosa. Viçosa. Brasil. 44.p. https://locus.ufv.br//handle/123456789/4547 [URL] 🠔
  13. Hermes, C.C.; Medeiros, S.L.P.; Manfron, P.A.; Caron, B.; Pommer, S.F.; Bianchini, C. 2001. Emission of leaf of lettuce in relation to the degree-days. Revista Brasileira de Agrometeorologia, Santa Maria, 9(2), 269-275. http://sbagro.org/files/biblioteca/1290.pdf [URL] 🠔
  14. Hernández, T.; Chocano, C.; Moreno, J.L.; García, C. 2016. Use of compost as an alternative to conventional inorganic fertilizers in intensive lettuce (Lactuca sativa L.) crops: effects on soil and plant. Soil and Tillage Research, 160, 14-22. https://doi.org/10.1016/j.still.2016.02.005 [URL] 🠔
  15. Malavolta, E.; Pimentel, F.; Alcarde, J.C. 2002. Adubos e adubações. Editorial Nobel, São Paulo, Brasil. 200p. 🠔
  16. Meneses, N.B.; Moreira, M.A.; Souza, I.M.; Bianchini, F.G. 2016. Crescimento e produtividade de alface sob diferentes tipos de cobertura do solo. Rev. Agroambiente, 10(2), 123-129. http://dx.doi.org/10.18227/1982-8470ragro.v10i2.3009 [URL] 🠔
  17. Oliveira, E.Q.; Souza, R.J.; Cruz, M.C.M.; Marques, V.B.; França, A.C. 2010. Productivity of lettuce and rocket in intercropping system under organic and mineral fertilization. Horticultura Brasileira , 28(1), 36-40. http://dx.doi.org/10.1590/S0102-05362010000100007 [URL] 🠔
  18. Peixoto-Filho, J. U.; Freire, M.B.G.; Freire, F. J.; Miranda, M.F.A.; Pessoa, L. G. M.; Kamimura, K.M. 2013. Lettuce productivity with doses of poultry, cattle and sheep manure in successive crops. Revista Brasileira de Engenharia Agrícola e Ambiental, 17(4), 419-424. http://dx.doi.org/10.1590/S1415-43662013000400010. [URL] 🠔
  19. Peixoto, C.P.; Cruz, T. V.; Peixoto, M.F.S.P. 2011. Análise quantitativa do crescimento de plantas: conceitos e prática. Enciclopédia Biosfera , 7(13), 51-76. https://www.conhecer.org.br/enciclop/2011b/ciencias%20agrarias/analise%20quantitativa.pdf [URL] 🠔
  20. Renato, N.S., Silva, J.B.L.; Sediyama, G. C.; Pereira, E. G. 2013. Influence of methods for calculation of degree-days under conditions of temperature increase for maize and bean crops. Revista Brasileira de Meteorologia, 28(4), 382-388. http://dx.doi.org/10.1590/S0102-77862013000400004 [URL] 🠔
  21. Santana, C. V. S.; Almeida, A. C.; Turco, S. H. N. 2009. Production of lettuce purple in shadow environments in the submedio São Francisco region, state of Bahia. Revista verde de agroecologia e desenvolvimento sustentável, 4(3),1-6. https://www.gvaa.com.br/revista/index.php/RVADS/article/view/187/187 [URL] 🠔
  22. Shoaib, M.; Ahmad, M. Z.; Atif, M.; Parvaiz, M.; Kausar, V.; Tahir, A. 2012. A review: Effect of temperature and water variation on tomato (Lycopersicon esculentum). International Journal of Water Resources and Environmental Sciences, 1(3), 82-93. http://dx.doi.org/10.5829/idosi.ijwres.2012.1.3.1113 [URL] 🠔
  23. Silva, M. G.; Sharma, R. D.; Junqueira, A. M. R.; Oliveira, C. M. 2006. Effect of solarization, chemical and organic fertilization on the control of nematode on greenhouse lettuce. Horticultura Brasileira , 24(4), 489-494. http://dx.doi.org/10.1590/S0102-05362006000400019 [URL] 🠔
  24. Silva, V. F.; Bezerra-Neto, F.; Negreiros, M.Z.; Pedrosa, J.F. 2000. Effects of lettuce cultivars and spacings on lettuce leaf yield under high temperature and sunlight. Horticultura Brasileira , 18(3),183-187. http://dx.doi.org/10.1590/S0102-05362000000300008 [URL] 🠔
  25. Souza, J. L.; Resende, P. 2003. Manual de horticultura orgânica. Ed. Aprenda fácil. Viçosa. Brasil. 564 p. 🠔
  26. Taiz, L.; Zeiger, E. 2010. Plant Physiology. Ed. Sinauer Associates, Inc. 5 ed. USA.782 p. 🠔
  27. Ziech, A.R.D.; Conceição, P.C. ; Luchese, A.V. ; Paulus, D. and Ziech, M.F. 2014. Cultivation of lettuce under different management of land cover and nutrient sources. Revista Brasileira de Engenharia Agrícola e Ambiental , 18(9),948-954. http://dx.doi.org/10.1590/1807-1929/agriambi.v18n09p948-954 [URL] 🠔