Acta Agronómica
0120-2812
Universidad Nacional de Colombia
https://doi.org/10.15446/acag.v70n4.87233

Recibido: 12 de mayo de 2020; Aceptado: 23 de noviembre de 2021

Viabilidad y longevidad de semillas de especies de importancia cultural en una comunidad afrodescendiente

Seed viability and longevity of cultural importance species of an afro-descendant community

N. Otálora Cadavid, 1 A. Torres González, 1

Universidad del Valle. Cali, Valle del Cauca, Colombia. nicolas.otalora.cadavid@gmail.com. alba.torres@correounivalle.edu.co Universidad del Valle Universidad del Valle Cali Valle del Cauca Colombia

Resumen

Para conservar la diversidad de plantas tradicionales que las comunidades afrodescendientes comúnmente utilizan y asegurar la próxima cosecha de sus cultivos es necesario almacenar sus semillas locales con métodos que aseguren la viabilidad de estas. En esta investigación se evalúa con el análisis de modelos lineales generalizados (GLM), el efecto de dos tipos de almacenamiento (frasco hermético de vidrio y bolsa de aluminio sellada al vacío) a dos tiempos, tiempo de almacenamiento (1 a 3 meses) y tres temperatura de almacenamiento (-20, 5, 20 °C) sobre la germinación de las especies Coriandrum sativum, Eryngium foetidum y Plantago major. Además, se calculan los porcentajes de germinación (G), índice de sincronía (Z) y coeficiente de velocidad de germinación (VG). Se encuentra que los porcentajes de germinación con almacenamiento de uno y tres meses es similar al mes cero. Ninguna de las temperaturas de almacenamiento afecta significativamente la germinación de las semillas en las tres especies durante los meses de conservación. No hay diferencias significativas en la germinación de semillas almacenadas en frasco hermético o en bolsas de aluminio. El índice de sincronía de germinación de semillas (Z) en las tres especies aumenta después del almacenamiento durante uno y tres meses con respecto al mes 0. La velocidad de germinación se duplica en P. major y en E. foetidum y es similar al mes 0 en C. sativum. Los índices VG y Z muestran que la germinación de las especies, después de 1 y 3 meses de almacenamiento a los tres niveles de temperatura, resulta en corto plazo y uniforme, además, no tienen latencia y tienen comportamiento ortodoxo. Esto representa una ventaja para los agricultores porque permite que se almacenen las semillas por un periodo de tiempo y el establecimiento rápido y uniforme de los individuos. En el corto plazo, el almacenamiento en frasco hermético de vidrio y en temperaturas frescas (i.e. 5, 20 °C) es una opción al alcance de los agricultores, para mantener la viabilidad de las semillas.

Palabras clave:

Coriandrum sativum, Eryngium foetidum, Plantago major, comportamiento ortodoxo, almacenamiento de semillas, semillas locales.

Abstract

In order to conserve the diversity of traditional plants that communities use, and ensure the next harvest of their crops, their local seeds need to be stored using methods that ensure the viability of the seeds. In this research, the effect of two types of storage ((hermetic glass jar, aluminum bag vacuum- sealed) at two storage times (1 to 3 months) and three storage temperatures (-20, 5, 20 °C) on the germination of seeds of the species Coriandrum sativum, Eryngium foetidum and Plantago major, is evaluated using the analysis of generalized linear models (GLM). In addition, germination percentages (G), synchrony index (Z) and germination rate coefficient (VG) are calculated. It is found that the germination percentages of seeds stored during one and three months are similar in all treatments at month 0. None of the storage temperatures significantly affected seed germination in the three species during the storage months. There are no significant differences in the germination of seeds stored in hermetic glass jar or in aluminium bags. Seed germination synchrony index (Z) of the three species increases after storage for one and three months compared to month 0. Germination rate doubles in P. major and E. foetidum and is similar to month 0 in C. sativum. The VG and Z indices show that the germination of the species, after 1 and 3 months of storage at the three temperature levels, is short-term and uniform, in addition, they do not have latency and have orthodox behavior. This is an advantage for farmers because it allows the seeds to be stored for a period of time and the quick and uniform establishment of the individuals. In the short term, storage in a sealed glass bottle and at cool temperatures (i. e. 5, 20 °C) is an option available to farmers to maintain the viability of the seeds.

Keywords:

Coriandrum sativum, Eryngium foetidum, local seeds, Plantago major, orthodox seed, storage behaviour.

Introducción

El sector campesino e indígena que se encarga de la distribución por intercambio entre productores locales de semillas nativas se llama sistema local de semilla. Ellos juegan un papel importante en el manejo y suministro de semillas de especies y variedades dentro del sistema productor (Almekinders y Louwaars, 2002; Wagner-Medina et al., 2021). Conservar las semillas entonces es una manera de preservar el valor económico, agrícola y alimenticio de un país. La importancia de la conservación de semillas locales trasciende desde la sostenibilidad de la comunidad hasta la conservación del acervo genético y variedades locales a nivel mundial (Trucchi et al., 2021).

La mayoría de las semillas conservan su viabilidad en el tiempo, al ser almacenadas con bajos contenidos de humedad, humedad relativa y temperatura baja. Existen tres tipos de semillas que se clasifican como ortodoxas y recalcitrantes y un estado entre estas dos últimas categorías, las semillas intermedias (Ellis et al., 1991, Ellis et al., 1985). Las semillas ortodoxas mantienen su viabilidad a bajos contenidos de humedad < 15 % y toleran la deshidratación hasta 5 %, y pueden almacenarse a bajas temperaturas por años (Roberts y Ellis, 1989). Las semillas recalcitrantes no sobreviven a la deshidratación, germinan con contenido de humedad alto y no se pueden almacenar a bajas temperaturas por tiempo prolongado (Walters et al., 2013). Las semillas intermedias son aquellas que no muestran rasgos de ser ortodoxas ni recalcitrantes (Ellis et al., 1991).

La viabilidad y longevidad de las semillas en almacenamiento son afectadas por la temperatura, contenido de humedad, tiempo y forma de almacenamiento (Ellis, 1991). Se ha encontrado que la presencia de oxígeno influye negativamente en la germinación e integridad de las semillas (Groot et al., 2012), y, por tal razón, es importante la forma de almacenamiento (Groot, 2015). A nivel internacional, los sistemas de semillas locales no tienen infraestructura y equipos, pero en granjas de África y Asia ha aumentado el uso de silos, frascos sellados, bolsas y recipientes de plástico reutilizables que resultan efectivos para conservar las semillas y mantener su viabilidad en el corto plazo (De Groot et al., 2013; Mutambuki y Likhayo, 2021).

El cilantro, cimarrón y llantén son hierbas condimentarias y medicinales usadas por las comunidades y sembradas en sus huertos (Maroufi 2010; Amedi et al., 2021). El cilantro (Coriandrum sativum) es una hierba anual de 0.2 a 1.4 m de altura, de la familia Apiaceae. Su origen se deduce que es de la región mediterránea y transferida al este de Asia, y se distribuye actualmente en Europa, Norte de África, India, América del Sur, Malasia, Tailandia y China (Nawata et al., 1995; Diederichsen, 1996; Arora et al., 2021). Las semillas de C. sativum tienen comportamiento ortodoxo en el almacenamiento, y por tanto pueden almacenarse a bajas temperaturas (Royal Botanical Garden Kew, 2020). El Cimarrón (Eryngium foetidum) es una hierba bianual, pertenece a la familia Apiaceae, es nativa de América tropical, África tropical y las islas del Caribe, y luego introducida en el sureste de Asia (Shavandi et al., 2014). No hay datos de su comportamiento de almacenamiento, pero otras especies de Eryngium son semillas ortodoxas (Royal Botanical Garden Kew, 2020). El llantén (Plantago major) es una hierba perenne que mide entre 0.15 y 0.3 m de altura, pertenece a la familia Plantaginaceae, es originaria de Europa y Asia, donde ocurre principalmente en climas templados (POWO, 2021). Las semillas de llantén se pueden guardar hasta nueve meses a 5 °C según Grime et al. (1981) y hasta 5 y 6 años a 25 °C según un estudio de Blom (1978), lo que supone un comportamiento ortodoxo.

En el Valle del Cauca, la comunidad de El Tiple en el municipio de Candelaria, cultiva un gran número de especies, tanto medicinales como comestibles y condimentarias. La comunidad está rodeada de una matriz de cultivos de caña de azúcar y, como consecuencia a la extensión de área para monocultivo y el uso de pesticidas por parte de los ingenios, se ha reducido (Alzate y Torres, 2016). Con el propósito de preservar la flórula de este territorio, esta investigación busca ofrecer a los agricultores una alternativa simple y económica para germinar y conservar las semillas en el corto y mediano plazo, examinando el comportamiento de almacenamiento durante un mes y tres meses de 3 especies (C. sativum, E. foetidum y P. major) sobre dos tipos de empaques y tres temperaturas.

Materiales y métodos

Esta investigación se desarrolla en el corregimiento El Tiple, municipalidad de Candelaria, Valle del Cauca, Colombia (3°21’01,2”N; 76°25’32,3”W) a 984 m de altitud y rodeada por cultivos extensivos de caña de azúcar (Vélez et al., 2019). Se seleccionaron Coriandrum sativum L., Eryngium foetidum L. y Plantago major L. por tener importancia cultural y económica para la comunidad de mujeres afrodescendientes y madres cabeza de familia del corregimiento El Tiple, además de tener el potencial de comercialización y ser propagadas por semillas. La importancia de las especies se determina en un taller realizado en la comunidad de El Tiple, en el que se realiza un diálogo de saberes entre las madres y los investigadores.

Los frutos secos de E. foetidum y P. major se colectan en plantas cultivadas en el campus de la Universidad del Valle (3°22’33,3”N; 76°32’01,9”W) y los de C. sativum fueron donadas por agricultores del corregimiento de Dapa del Municipio de Yumbo, Valle del Cauca (3°33’31,4”N; 76°34’08,0”W). Los frutos son transportados en bolsas plásticas al Laboratorio de Semillas de la Universidad del Valle. Al día siguiente, las semillas son extraídas manualmente de los frutos. Se realiza la selección de semillas maduras y sin daño aparente usando un estereoscopio Olympus SZ61.

Inmediatamente después, se determina el contenido de humedad de las semillas de cada especie con el método de temperatura constante alta (135 °C ± 3 °C, durante una hora) y el método de baja temperatura (105 ± 3 °C, durante 17 horas) (ISTA, 1999). Para la prueba de humedad, se trituran las semillas con un mortero de porcelana, se hacen dos repeticiones de 1 g cada una, que son pesadas en una balanza analítica Metler Toledo y posteriormente secadas en un horno marca Thomas Scientific TSOV2G. Los lotes de semillas de estas especies no son secados porque el contenido de humedad fue bajo y se considera adecuado para el almacenamiento.

Para determinar el comportamiento de las semillas en almacenamiento se sigue el protocolo propuesto por Hong y Ellis (1996). Se empacaron las semillas con contenidos de humedad bajos, 11.8 % para E. foetidum, 13.9 % para P. major y 9.4 % para C. sativum. Las semillas se almacenan en tres temperaturas (-20 °C, 5 °C y 20 °C), que son monitoreadas después de uno y tres meses en almacenamiento. Los empaques que se usan son de dos tipos; en bolsas de aluminio selladas al vacío con una selladora Fuji Impulse V-300, siguiendo el protocolo de almacenamiento de los bancos de semillas (Cromarty et al., 1982). El otro tipo de empaque se hace en frascos herméticos de vidrio (Walsh et al., 2014), en los que se guardan bolsas plásticas de cierre hermético de 10x15 cm (i.e. bolsas zip-loc) que contienen las semillas. Las bolsas con semillas se sumergen completamente en cal deshidratada en un horno Thomas Scientific TSOV2G durante 2 horas, dentro del frasco hermético.

Las pruebas de germinación inicial (i.e. mes 0, antes del almacenamiento) y de los monitoreos (i.e. almacenamiento durante 1 y 3 meses) se realizan en cajas de Petri de 100x15 mm de diámetro para cilantro y cajas de Petri de 60x15 mm de diámetro para llantén y cimarrón, con 2 círculos de papel absorbente y 5 ml de agua destilada. El diseño experimental es totalmente al azar donde se realizan cuatro repeticiones, de 25 semillas cada una para P. major y C. sativum, y de 50 semillas cada repetición para E. foetidum. Las pruebas de germinación se realizaron en una germinadora marca DiEs K115U, en condiciones de temperatura alternada 20/30 °C, por 16/8 h, respectivamente, para simular las condiciones ambientales donde crecen estas especies (Torres, 2019). La prueba de germinación tiene una duración de 30 días, con revisiones cada dos días. Se considera una semilla germinada cuando la radícula emerge de la testa (Blom, 1978).

Los datos de germinación de cada especie son tabulados en una hoja de Excel y se calcula el porcentaje de germinación (G), el Coeficiente de Velocidad de germinación (VG) con la ecuación de Nichols y Heydecker (1968) y el índice de Sincronía de la germinación (Z) adaptado de la idea de Primack (1980) como lo propone Ranal et al. (2009). Se evaluan las interacciones de los porcentajes de germinación de las especies entre tratamientos y sus niveles con un análisis de modelos lineales generalizados (GLM) para datos binarios, usando distribucion binomial considerando un nivel de significancia de 0.05 (Pekár y Brabec, 2016, pp. 210-219). Se toma G como la variable de respuesta y la temperatura de almacenamiento con tres niveles y el tipo de almacenamiento con dos niveles como las variables predictoras para el modelo en el software estadístico R 3.5.1 (R Core Team, 2018).

Resultados

Las semillas de C. sativum, E. foetidum y P. major recién cosechadas y antes de ser almacenadas en cualquier tratamiento tienen un contenido de humedad (CH) bajo y un porcentaje de germinación (G) alto, respectivamente para C. sativum (CH: 11.8 %, G: 93 %), E. foetidum (CH: 13.9 %, G: 91.5 %), y P. major (CH: 9.4 %, G: 98 %).

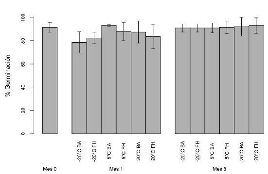
El G de C. sativum en todos los tratamientos es alto y similar a la germinación inicial (i.e. 81-97 %, Tabla 1; Figura 1). Los valores de G en los tipos de empaque y en las tres temperaturas superan el 80 %, a excepción de la germinación en frasco hermético en el mes uno a -20 °C. Esta especie empieza su germinación en el día 4 de iniciada la prueba. El valor G de E. foetidum supera el 79 % en las dos formas de almacenamiento y las tres temperaturas siendo la más alta en bolsa de aluminio con 96 % a 5 °C en el mes tres y las más baja 79 % a -20 °C en el mes uno. En esta especie, la germinación de las semillas empieza entre los días 6 y 10 de iniciada la prueba. Para P. major el porcentaje de germinación de semillas almacenadas durante uno y tres meses, en dos tipos de almacenamiento y tres temperaturas, superan el 98 %. La germinación de semillas en todos los tratamientos en el día 4 alcanzó más del 80 %.

Germinación de Coriandrum sativum almacenadas durante uno y tres meses, en frasco hermético de vidrio (FH) y bolsas de aluminio selladas al vacío (BA) a -20, 5, 20 °C.

Figura 1: Germinación de Coriandrum sativum almacenadas durante uno y tres meses, en frasco hermético de vidrio (FH) y bolsas de aluminio selladas al vacío (BA) a -20, 5, 20 °C.

La velocidad de germinación de C. sativum oscila entre 0.33 y 0.89 en los dos meses de almacenamiento. La mayor velocidad de germinación ocurre en semillas almacenadas en bolsa de aluminio a -20 °C y la menor en frasco hermético a 20°C del mes uno. Los valores de sincronía en la germinación tienen alta variabilidad entre tratamientos, siendo la más alta en semillas almacenadas en frasco hermético en el mes 1 a 20 °C y la más baja en el mes 3 a 5 °C (Tabla 1). La velocidad de germinación de E. foetidum es muy baja y similar en los dos meses de almacenamiento (Figura 2). Oscila entre 0.12 y 0.21 para semillas almacenadas durante uno y tres meses en las tres temperaturas (Tabla 1). En general, la sincronía es mayor para semillas almacenadas en bolsa de aluminio que en frasco hermético en las temperaturas de 5 y 20 °C, siendo mayor a 20 °C en el mes uno con 0.21 y el menor valor 0.12 en el tres en frasco hermético (Tabla 1). La velocidad de germinación de semillas de P. major almacenadas durante uno y tres meses es relativamente baja, de 0.27 a 0.33, en los dos tipos de empaque y las tres temperaturas, con el mayor a un mes a 20 °C y el menor valor a -20 °C en el mes tres en frasco hermético. El índice de sincronía en la germinación oscila entre 0.52 y 0.98 con el mayor valor en un mes a 20 °C y el menor valor a -20 °C en el mes tres en frasco hermético nuevamente (Tabla 1).

Germinación Eryngium foetidum almacenadas durante uno y tres meses, en frasco hermético de vidrio (FH) y bolsas de aluminio selladas al vacío (BA) a -20, 5, 20 °C.

Figura 2: Germinación Eryngium foetidum almacenadas durante uno y tres meses, en frasco hermético de vidrio (FH) y bolsas de aluminio selladas al vacío (BA) a -20, 5, 20 °C.

Tabla 1: Porcentaje de germinación (G), Coeficiente de Velocidad de germinación (VG) y Sincronía de Germinación (Z).

*Semillas almacenadas durante uno y tres meses en frasco hermético de vidrio (FH) y bolsas de aluminio selladas al vacío (BA) a -20, 5, 20°C.

Según los resultados del análisis de GLM de C. sativum hay un efecto positivo sobre la germinación en el frasco hermético de vidrio a -20 °C con un porcentaje de 97 % en el mes uno y 92 % en el mes tres de almacenamiento (Tabla 1; Tabla 2). Mientras que, la interacción entre el almacenamiento en frasco hermético a las temperaturas 20 °C y 5 °C, durante el mes uno, es significativa y negativa (74 % Tablas 1,2). Los estimados del mes tres en todas las interacciones, exceptuando el intercepto, no fueron significativas (Tabla 2) como se muestra también en los valores G que no varían mucho entre sí (Tabla 1). Las semillas de E. foetidum almacenadas en bolsas de aluminio a 5 °C y 20 °C durante tres meses, tienen una germinación mayor y estadísticamente significativa, en comparación con el almacenamiento a -20 °C (Tablas 1, 2). Se observaron interacciones estadísticamente significativas entre la germinación de semillas almacenadas por un mes en frasco hermético a 20 °C, en los cuales la germinación disminuyó (Tablas 1, 2). Después de tres meses de almacenamiento, la germinación es menor, con coeficientes significativos para semillas almacenadas en bolsas de aluminio a -20 °C (86 %) y en frascos herméticos (85 %). En el mes 1, hay un efecto positivo en la germinación de semillas almacenadas a -20 °C en bolsas de aluminio (Tablas 1, 2). La germinación de semillas de P. major almacenadas durante tres meses en frascos herméticos y bolsas de aluminio, en las tres temperaturas, es de 100 % (Figura 3). Los estimadores del análisis no muestran diferencias significativas entre tratamientos, ya que los valores G de esta especie son similares.

Tabla 2: GLM de germinación de semillas almacenadas durante uno y tres meses, en frasco hermético de vidrio (FH) y bolsas de Aluminio selladas al vacío (BA) a -20, 5, 20 °C.

*Valor de significancia 0.05

Germinación de Piantago major almacenadas durante uno y tres meses, en frasco hermético de vidrio (FH) y bolsas de Aluminio selladas al vacío (BA), a -20, 5, 20 °C.

Figura 3: Germinación de Piantago major almacenadas durante uno y tres meses, en frasco hermético de vidrio (FH) y bolsas de Aluminio selladas al vacío (BA), a -20, 5, 20 °C.

Discusión

Las semillas de C. sativum, E. foetidum y P. major recién extraídas tienen contenido de humedad bajo (i.e. 9.4-13.9 %) y altos porcentajes de germinación (i.e. 91.5-98 %), lo que confirma que no tienen latencia. La germinación de semillas de C. sativum, E. foetidum y P. major almacenadas en bolsas de aluminio y frascos herméticos de vidrio en temperaturas frías (5 °C y 20 °C) y de congelamiento (-20 °C), durante uno y tres meses, no tienen detrimento en la viabilidad, medida en porcentaje de germinación. En consecuencia, estas tres especies tienen comportamiento ortodoxo en el almacenamiento de las semillas, el que se confirma para C. sativum (Royal Botanical Garden Kew, 2020) y P. major (Grime et al., 1981) y se registra para E. foetidum. Sin embargo, hay una tendencia negativa y sutil en la germinación de las semillas de C. sativum y E. foetidum almacenadas en algunos tratamientos, lo cual coincide con algunos estudios que reportan que el efecto del tiempo de almacenamiento disminuye la germinación a medida que el tiempo aumenta (Kim, 2018).

A pesar de que las semillas se almacenaron en bolsas plásticas semi-herméticas sumergidas en cal seca dentro del frasco hermético de vidrio, puede establecerse una humedad relativamente alta dentro del frasco, por lo cual ésta pudo aumentar el contenido de humedad de las semillas y disminuir su viabilidad. Se ha encontrado que hay un efecto negativo de la humedad relativa de almacenamiento en la germinación de las semillas (Sawant et al., 2012; Fikirte y Kalyani, 2016). El deterioro de las semillas por producción de oxígeno reactivo, resultado de la oxidación de lípidos, hidrólisis de carbohidratos y pérdida de proteínas resulta del aumento del contenido de humedad en la semilla, tiempo de almacenamiento y aumento de la temperatura (Rajjou y Debeaujon, 2008). Además, en la germinación de semillas de C. sativum almacenadas en frasco hermético a 20°C se desarrolla un hongo que ocasiona pudrición y afecta el porcentaje de germinación. Hay hongos que afectan la germinación de semillas, entre los más comunes están Aspergillus sp., Fusarium sp. Alternaria sp., entre otros (Khan et al., 2019).

En contraste, para P. major los valores de germinación de las semillas antes del almacenamiento son similares a los valores después de uno y tres meses de almacenamiento, ca. 100 %. Según los resultados del modelo lineal generalizado, ni la temperatura ni la forma de almacenamiento, durante uno y tres meses, afectan la germinación de semillas de P. major. Nuestros resultados de germinación alta para semillas de P. major recién cosechadas contradicen los resultados de Saruhan et al. (2004), quienes reportan latencia de semillas en esta especie. La sincronía de la germinación de semillas de P. major almacenadas en bolsa de aluminio es más alta que en frasco hermético, probablemente porque la humedad relativa dentro del frasco hermético puede afectar a las semillas. Por otro lado, la velocidad y sincronía de germinación de semillas almacenadas de P. major aumentan su valor en comparación con las de antes del almacenamiento.

La velocidad de germinación de C. sativum, E. foetidum y P. major se mantienen con poca variación en las semillas almacenadas durante uno y tres meses en comparación con la germinación antes del almacenamiento. Hay una excepción en este patrón, luego de un mes de almacenamiento de semillas de C. sativum a -20 °C, en bolsa de aluminio, la velocidad de germinación aumenta casi hasta 0. día-1, que es la más rápida entre todos los tratamientos. La sincronía de germinación de semillas de C. sativum, en este caso, aumenta cuando la velocidad de germinación aumenta. Este es un caso especial en el que solo esa temperatura tiene una velocidad de germinación alta, ya que, en el resto de las especies, las semillas almacenadas a -20 °C en bolsa de aluminio tienen el mismo valor de velocidad que en el mes 0. Estos resultados concuerdan con un estudio con semillas de tomate (Lycopersicon esculentum Mill.), donde la velocidad de germinación no cambia después de seis meses en almacenamiento a 4 °C y 30 °C almacenadas en botellas de polietileno selladas (Argerich et al., 1986).

Los índices de velocidad y sincronía de germinación de E. foetidum almacenadas durante un mes disminuyen, y a tres meses son similares, comparados con el mes 0. También se observa que la velocidad de germinación en todos los tratamientos es baja, lo que revela que las semillas tienen poco vigor. Se ha encontrado que las semillas de E. foetidum tienen bajo rendimiento y son muy propensas a infecciones por hongos (Mozunder et al., 2017). Por otro lado, la cosecha de las semillas debe ser selectiva según la maduración de la semilla. E. foetidum presenta umbelas de varios órdenes donde la más temprana de ellas es la inflorescencia que ha llegado a la maduración, y las más tardías son todavía inmaduras (Ekpong y Sukprakarn, 2006). En el presente estudio, las semillas se cosechan indiscriminadamente y el lote de semillas fue un conjunto de umbelas de varios órdenes y, por lo tanto, de varios estados de maduración. Ekpong y Sukprakarn (2006) evaluan el porcentaje de germinación y velocidad de germinación de las semillas de E. foetidum según el orden de la umbela y encuentran que entre más temprana la cosecha, menor es la germinación y la velocidad de germinación. Las semillas inmaduras pueden generar heterogeneidad en los resultados del porcentaje de germinación, velocidad y sincronía en las semillas de E. foetidum.

Conclusiones

Las semillas de C. sativum, E. foetidum y P. major no presentan latencia y tienen comportamiento ortodoxo en el almacenamiento. El frasco de vidrio hermético para almacenar semillas es igual de efectivo que las bolsas de aluminio y es una opción de fácil acceso y manejo para la conservación de semillas de las especies estudiadas. Esto último se sustenta con los datos de germinación en todos los tratamientos, los cuales superan el 70 % y donde no se evidencia que la temperatura de almacenamiento no afecta significativamente. Los productores de semillas y los agricultores pueden usar frascos de vidrio con cierre hermético en cualquiera de las temperaturas probadas en esta investigación, como 5 °C que es la temperatura de una nevera doméstica o a temperatura ambiente que no supere 20 °C, para conservar semillas maduras y recién extraídas de C. sativum, E. foetidum y P. major hasta tres meses según los resultados de este estudio.

Acknowledgements

Agradecimientos

Los autores agradecen a COLCIENCIAS por el apoyo del Programa Joven Investigador, convocatoria 812 2018, a la comunidad de El Tiple, Valle del Cauca y a la Universidad del Valle.

Referencias

  1. Almekinders, C.J.M. y Louwaars, N.P. (2002). The importance of the farmers’ seed systems in a functional national seed sector. Journal of New Seeds, 4(1-2), 15-33. https://doi.org/10.1300/J153v04n01_02 [URL] 🠔
  2. Alzate, S.L. y Torres, A.M. (2016). Etnobotánica de Comunidades Afrodescendientes Afectadas por la Expansión Cañera en el Valle del Cauca, Colombia [Tesis de pregrado, Universidad del Valle, Colombia]. 🠔
  3. Amdie, A., Teshome, S. y Wako, B. (2021). Adaptation trial of coriander (Coriandrum sativum L.) varieties in the mid land areas of Guji zone, Southern Ethiopia. South Asian Journal of Agricultural Sciences, 1(2), 17-20. https://www.agrijournal.org/archives/2021.v1.i2.a.13 [URL] 🠔
  4. Argerich, C.A., Bradford, K.J. y Tarquis, A.M. (1989). The effects of priming and ageing on resistance to deterioration of tomato seeds. Journal of Experimental Botany, 40(5), 593-598. https://doi.org/10.1093/jxb/40.5.593 [URL] 🠔
  5. Arora, V., Adler, C., Tepikin, A., Ziv, G., Kahane, T., Abu-Nassar, J., Golan, S., Mayzlish-Gati, E. y Gonda, I. (2021). Wild coriander: an untapped genetic resource for future coriander breeding. Euphytica, 217(7), 1-11. https://link.springer.com/article/10.1007/s10681-021-02870-4 [URL] 🠔
  6. Blom, C.W.P.M. (1978). Germination, seedling emergence and establishment of some Plantago species under laboratory and field conditions. Acta Botanica Neerlandica, 27(5/6), 257-271. https://www.cabdirect.org/cabdirect/abstract/19792325149 [URL] 🠔
  7. Cromarty, A.S., Ellis, R.H. y Roberts, E.H. (1982). The design of seed storage facilities for genetic conservation. Bioversity International. 🠔
  8. De Groote, H., Kimenju, S.C., Likhayo, P., Kanampiu, F., Tefera, T. y Hellin, J. (2013). Effectiveness of hermetic systems in controlling maize storage pests in Kenya. Journal of stored products research, 53, 27-36. https://www.sciencedirect.com/science/article/abs/pii/S0022474X13000039 [URL] 🠔
  9. Diederichsen, A. (1996). Coriander: Coriandrum Sativum L. (Vol. 3). Bioversity International. 🠔
  10. Ekpong, B. y Sukprakarn, S. (2006). Seed development and maturation of Eryngo (Eryngium foetidum L.). Kasetsart Journal-Natural Science, 40(1), 26-32. https://www.researchgate.net/publication/289853315_Seed_development_and_maturation_of_eryngo_Eryngium_foetidum_L [URL] 🠔
  11. Ellis, R.H. (1991). The longevity of seeds. HortScience, 26(9), 1119-1125. https://journals.ashs.org/hortsci/view/journals/hortsci/26/9/article-p1119.xml [URL] 🠔
  12. Ellis, R.H., Hong, T.D. y Roberts, E.H. (1985). Handbook of seed technology for genebanks. Volume I. Principles and methodology. International Board for Plant Genetic Resources. Handbooks for Genebanks, No. 2. https://www.bioversityinternational.org/e-library/publications/detail/handbook-of-seedtechnology-for-genebanks/ [URL] 🠔
  13. Ellis, R.H., Hong, T.D. y Roberts, E.H. (1991). Effect of storage temperature and moisture on the germination of papaya seeds. Seed Science Research, 1(1), 69-72. https://doi.org/10.1017/S0960258500000659 [URL] 🠔
  14. Fikirte, A. y Kalyani, S. (2016). Effect of relative humidity and temperature on shelf life of sorghum, lentil and niger seeds. International Journal of Applied Agricultural Sciences, 2(6), 83-91. http://ijoaas.org/article/343/10.11648.j.ijaas.20160206.12 [URL] 🠔
  15. Grime, J.P., Mason, G., Curtis, A.V., Rodman, J. y Band, S.R.(1981). A comparative study of germination characteristics in a local flora. Journal of Ecology, 69(3), 1017-1059. https://www.jstor.org/stable/2259651 [URL] 🠔
  16. Groot, S., De Groot, L. y Kodde, J. (2015). Prolonging the longevity of ex situ conserved seeds by storage under anoxia. Plant Genetic Resources, 13(1), 18-26. https://www.mendeley.com/catalogue/41a35259-db0e-3f82-af5b-46c1a4939ebf/ [URL] 🠔
  17. Groot, S.P., Surki, A.A., De Vos, R.C.H. y Kodde, J. (2012). Seed storage at elevated partial pressure of oxygen, a fast method for analysing seed ageing under dry conditions. Annals of Botany, 110(6), 1149-1159. https://pubmed.ncbi.nlm.nih.gov/22967856/ [URL] 🠔
  18. Hong, T.D. y Ellis, R.H. (1996). A protocol to determine seed storage behaviour (No. 1). Bioversity International. 🠔
  19. International Seed Testing Association. (1999). International rules for seed testing. Zürich, Switzerland: Seed Science and Technology. 🠔
  20. KEW. Royal Botanic Gardens. (Octubre 15, 2021). Seed Information Database (SID). Version 7.1. http://data.kew.org/sid/ [URL] 🠔
  21. KEW. Royal Botanic Gardens (Diciembre 15, 2021). Plants of the World Online. https://powo.science.kew.org/taxon/urn:lsid:ipni.org:names:321286-2#source-KBD [URL] 🠔
  22. Khan, M.M., Habib, A., Abdullah, A., Manzoor, A.; Tahir, Z., Zahid, K., Asghar, J., Latif, S. y Mushtaq, S.M. (2019). Seed associated mycoflora of coriander (Coriandrum sativum L.) its effect on seed germination and management through seed treatment chemical. The International Journal of Biological Research, 2, 101-117. http://rndjournals.com/issue_view?i=seedassociated-mycoflora-of-coriander-coriandrum-sativum-l-itseffect-on-seed-germination-and-management-through-seedtreatment-chemical-898b [URL] 🠔
  23. Kim, D.H. (2018). Extending Populus seed longevity by controlling seed moisture content and temperature. PloS One, 13(8), e0203080. https://pubmed.ncbi.nlm.nih.gov/30142186/ [URL] 🠔
  24. Maroufi, K., Farahani, H.A. y Darvishi, H.H. (2010). Importance of coriander (Coriandrum sativum L.) between the medicinal and aromatic plants. Advances in Environmental Biology, 4(3), 433-436. https://www.researchgate.net/publication/279554898_Importance_of_coriander_Coriandrum_sativum_L_between_the_medicinal_and_aromatic_plants [URL] 🠔
  25. Mozumder, S., Hossain, M.M., Akter, S. y Goswami, B. (2017). Seed germination and viability improvement in Eryngium Foetidum through priming and chemicals. Applied Science and Engineering Progress, 6(6), 94-98. https://www.researchgate.net/publication/334731749_Seed_Germination_and_Viability_Improvement_in_Eryngium_Foetidum_through_Priming_and_Chemicals [URL] 🠔
  26. Mutambuki, K. y Likhayo, P. (2021). Efficacy of different hermetic bag storage technologies against insect pests and aflatoxin incidence in stored maize grain. Bulletin of Entomological Research, 111(4), 499-510. https://pubmed.ncbi.nlm.nih.gov/33766166/ [URL] 🠔
  27. Nawata, E., Itanai, J. y Masanaga, Y.I (1995). The distribution and dissemination pathway of coriander in Asia. Acta Horticulturae, 380(24), 167-176. https://www.actahort.org/books/390/390_24.htm [URL] 🠔
  28. Nichols, M. A. y Heydecker, W. (1968). Two approaches to the study of germination data. Proceedings of the International Seed Testing Association, 33(3), 531-540. 🠔
  29. Pekár, S. y Brabec, M. (2016). Modern analysis of biological data: Generalized linear models in R. Masaryk University Press. 🠔
  30. Primack, R.B. (1980). Variation in the phenology of natural population of montane shrubs in New Zealand. Journal of Ecology , 68(3), 849-862. https://www.jstor.org/stable/2259460 [URL] 🠔
  31. R Core Team. (Noviembre 14, 2021). R: A language and environment for statistical computing. https://www.Rproject.org/ [URL] 🠔
  32. Rajjou, L. y Debeaujon, I. (2008). Seed longevity: Survival and maintenance of high germination ability of dry seeds. Comptes rendus biologies, 331(10), 796-805. https://www.sciencedirect.com/science/article/pii/S1631069108002011 [URL] 🠔
  33. Ranal, M.A., de Santana, D.G., Ferreira, W.R. y Mendes-Rodrigues, C. (2009). Calculating germination measurements and organizing spreadsheets. Brazilian Journal of Botany, 32(4), 849-855. https://www.scielo.br/j/rbb/a/Ybz4PfzG4kVdQZHnKmxvbdr/ [URL] 🠔
  34. Roberts, E.H. y Ellis, R.H. (1989). Water and seed survival. Annals of botany, 63(1), 39-39. https://doi.org/10.1093/oxfordjournals. aob.a087727 [URL] 🠔
  35. Saruhan, N., Kadioglu, A. y Durmus, N. (2002). Alleviation of seed dormancy in Plantago major. Israel Journal of Plant Sciences, 50(3), 177-179. https://www.tandfonline.com/doi/abs/10.1560/3E94-2HG9-TXYX-0U4Q [URL] 🠔
  36. Sawant, A.A., Patil, S.C., Kalse, S.B. y Thakor, N.J. (2012). Effect of temperature, relative humidity and moisture content on germination percentage of wheat stored in different storage structures. Agricultural Engineering International: CIGR Journal, 14(2), 110-118. https://www.researchgate.net/publication/279553249_Effect_of_temperature_relative_humidity_and_moisture_content_on_germination_percentage_of_wheat_stored_in_different_storage_structures [URL] 🠔
  37. Shavandi, A., Haddadian, R.Z., Ismail, M.H.S. y Hussain, D.I. 2014. Erynigum foetidum L., Coriadrum sativum and Persicaria odorata L.: A Review. Journal of Asian Scientific Research, 2(8), 410-426. https://www.researchgate.net/publication/279851727_Eryngium_Foetidum_L_Coriandrum_Sativum_Persicaria_Odorata_L_-_A_Review [URL] 🠔
  38. Torres Gonzáleza, A.M. (2019). Seed dormancy and germination of tree tomato (Solanum betaceum Cav.) and lulo (Solanum quitoense Lam.). Revista Colombiana de Ciencias Hortícolas 13(3). http://www.scielo.org.co/scielo.php?script=sci_arttext&pid=S2011-21732019000300336 [URL] 🠔
  39. Trucchi, E., Benazzo, A., Lari, M., Iob, A., Vai, S., Nanni, L., Bellucci, E., Bitocchi, E., Raffini, F.,Bertorelle, G. (2021). Ancient genomes reveal early Andean farmers selected common beans while preserving diversity. Nature Plants,7, 123-128. https://www.nature.com/articles/s41477-021-00848-7 [URL] 🠔
  40. Velez, T.I., Pérez, P.J., Riascos, R.D. (2019). Ordenamiento en disputa y espacialización de la injusticia en Colombia. Cuadernos de Geografía: Revista Colombiana de Geografía, 28(2), 225-240. https://doi.org/10.15446/rcdg.v28n2.70178 [URL] 🠔
  41. Voeks, R.A. (1996). Tropical forest healers and habitat preference. Economic botany, 5(4), 381-400. https://link.springer.com/article/10.1007/BF02866520 [URL] 🠔
  42. Wagner-Medina, E.C., Santacruz Castro, A.M., Rendón Ocampo, C.P., Wagner-Medina, V. y Erika, C.P. (2021). Sistema de semillas en Colombia: consideraciones sobre calidad y agrobiodiversidad. Estudios Rurales. Publicación del Centro de Estudios de la Argentina Rural, 11(22). https://www.researchgate.net/publication/352904832_SISTEMA_DE_SEMILLAS_EN_COLOMBIA_CONSIDERACIONES_SOBRE_CALIDAD_Y_AGROBIODIVERSIDAD_SEED_SYSTEM_IN_COLOMBIA_CONSIDERATIONS_ABOUT_QUALITY_AND_AGROBIODIVERSITY_Estudios_Rurales_Publicacion_del_Centro_de_E [URL] 🠔
  43. Walters, C., Berjak, P., Pammenter, N., Kennedy, K. y Raven, P. (2013). Preservation of recalcitrant seeds. Science, 339(6122), 915-916. https://www.science.org/doi/10.1126/science.1230935 [URL] 🠔