Acta Agronómica
0120-2812
Universidad Nacional de Colombia
https://doi.org/10.15446/acag.v70n1.87771

Recibido: 29 de mayo de 2020; Aceptado: 19 de julio de 2021

Carbonized rice husk as an alternative substrate for Ocimum basilicum L. seedling production

Cáscara de arroz carbonizada como sustrato alternativo para la producción de plántulas de Ocimum basilicum L

M. Salé, 1 A. Pereira, 1 H. Lange Junior, 1 C. Neutzling, 1P. Marques dos Santos, 2 G. Schiedeck, 1 A. Severo Dorneles, 1

Universidad Federal de Pelotas-Capão do Leão. Rio Grande Do Sul, Brasil. Email: mussa_sale@yahoo.com.br ORCID: https://orcid.org/0000-0002-3787-6669; lyne_asp@hotmail.com ORCID: https://orcid.org/0000-0001-6419-456X; heliojr_agro@hotmail.com ORCID: https://orcid.org/0000-0003-0887-4186; cristianeneutzling@hotmail.com ORCID: https://orcid.org/0000-0001-5801-5852; patriciamarques_92@yahoo.com.br ORCID: https://orcid.org/0000-0001-7568-1435; athos_odin@hotmail.com ORCID: https://orcid.org/0000-0003-1252-7152 Universidade Federal de Pelotas Universidad Federal de Pelotas Rio Grande Do Sul Brazil
EMBRAPA Agricultura Templada. Rodovia. Estação Experimental Cascata. Pelotas, Rio Grande Do Sul, Brasil. Email: gustavo.schiedeck@embrapa.br ORCID: https://orcid.org/0000-0003-3157-3365 Embrapa EMBRAPA Agricultura Templada. Rodovia. Estação Experimental Cascata Pelotas Rio Grande Do Sul Brazil

Abstract

The substrate used in seedling production plays a major role in the initial plant development. In this sense, the objective was to evaluate the emergence capacity and establishment of basil seedlings in different proportions of alternative substrates based on charred rice husk and commercial substrate S10®. The experiment was carried out in expanded polyethylene trays, using basil seeds (Horticeres seeds®), which lasted 28 days. The experimental design was completely randomized, with five treatments (T1: 100 % commercial substrate (BCS); T2: 80 % BCS + 20 % Charred rice husk (CRH); T3: 60 % BCS + 40 % CRH; T4: 40 % BCS + 60 % CRH; T5: 20 % BCS + 80 % CRH) and three repetitions. Were evaluated leaf number, shoot length, root length, root dry mass, shoot dry mass, leaf area, germination, germination speed index, substrate physical analysis (density (dry and wet)), total porosity and aeration space, and chemical analysis (hydrogen potential (PH), and electrical conductivity (EC)). It was observed in the results that the substrate type interferes in the development and quality of the basil seedling. In the shoot lenght parameter, the treatment with 40 % BCS + 60 % CRH (T4) had a significant difference compared to the other treatments. Among the substrates, the best seedling performance was observed in the substrate with 80 % BCS + 20 % CRH (T2), which provided better seedling quality in relation to the other treatments.

Keywords:

medicinal herbs, aromatic herbs, germination, basil.

Resumen

El sustrato utilizado en la producción de plántulas juega un papel importante en el desarrollo inicial de la planta. En este sentido, el objetivo fue evaluar la capacidad de emergencia y el establecimiento de plántulas de albahaca en diferentes proporciones de sustratos alternativos basados en cáscara de arroz carbonizada y sustrato comercial S10®. El experimento se realizó en bandejas de polietileno expandido, utilizando semillas de albahaca (Horticeres seeds®), durante 28 días. El diseño experimental fue completamente al azar, con cinco tratamientos (T1: sustrato comercial 100 % (BCS); T2: 80 % BCS + 20 % cáscara de arroz carbonizada (CRH); T3: 60 % BCS + 40 % CRH; T4: 40 % BCS + 60 % CRH; T5: 20 % BCS + 80 % CRH) y tres repeticiones. Se evaluaron el número de hojas; la longitud del brote; la longitud de la raíz; la masa seca de la raíz; la masa seca del brote; el área de la hoja; la germinación; el índice de velocidad de germinación; el análisis físico del sustrato (densidad (seco y húmedo)); la porosidad total y el espacio de aireación; y análisis químico (potencial de hidrógeno (PH) y conductividad eléctrica (CE)). En los resultados se observó que el tipo de sustrato interfiere en el desarrollo y la calidad de las plántulas de albahaca. En el parámetro de longitud de yema, el tratamiento con 40 % BCS + 60 % CRH (T4) mostró una diferencia significativa con respecto a los otros tratamientos. Entre los sustratos, se observó el mejor rendimiento de plántulas en el sustrato con 80 % de BCS + 20 % de CRH (T2), lo que proporcionó una mejor calidad de plántulas en relación con los otros tratamientos.

Palabras claves:

hierbas medicinales, hierbas aromáticas, germinación, albahaca.

Introduction

Ocimum basilicum L., popularly known as basil, is a broadleaf species belonging to the Lamiaceae family, used for spice, aromatic, and medicinal purposes (Lorenzi & Matos, 2002, p. 544; Bekhradi et al. 2015). The use of this plant and its essential oil has grown worldwide, both for its aromatic properties and biological effects (Amaro et al. 2012). The importance of the use of essential oils is related to the components present and the effects that these components can provide to humans and animals, such as bactericidal, analgesic, sedative, stimulant, insect repellent, flavoring, perfume essences, among others (Kakaraparthi et al. 2015; Rodrigues et al. 2016). In addition to its medicinal properties, this species is valued in the international market, in the cosmetics, pharmaceuticals, and food industry, due to the high concentration of linalool in its essential oil (Kakaraparthi et al. 2015; Pinto, 2017).

Due to the increased demand for products from medicinal plants, such as basil, there has also been an increase in the production of these crops (Bione et al. 2014). To obtain quality products that meet the market demand, there is a need to intensify studies on the forms of cultivation of medicinal herbs, especially regarding the production of seedlings. Propagated mainly by seeds, the production of basil seedlings has several advantages such as high productive vigor, resistance to pests and diseases, which increase the probability of success in its production (Morano et al. 2017). In the production process of good quality seedlings, the substrates represent a prime factor and should have uniform composition, low density, high water retention capacity, good aeration, drainage, nutrient supply, and plant support, providing ideal conditions for growth, and seedling development (Klein et al. 2002; Guerrini et al. 2004).

Plant production substrates generally result from the blending of two or more organic and/or inorganic materials formulated and engineered to achieve certain desirable physical and chemical characteristics for good crop development. There is no ideal substrate formulation for all cultures, the mix ratios should be diverse to suit each specific culture or group of cultures. In substrate analysis, the important thing is not its composition, because the result of the mixture is not the sum of its components, but the characteristics that this medium presents through their interaction, although it is necessary to know the properties of these components (Fonteno, 1996; Fermino, 2012).

Nothing is more important than the cost of acquiring substrates, which has become increasingly high, such as peat-based substrates (Huang et al. 2019). The Rio Grande do Sul being one of the major rice production hubs (de Lima et al. 2015), organic waste derived from the processing of this cereal is an important low-cost source when mixed with other seedling production waste (Saidelles et al. 2009), in addition to reducing the risks of environmental contamination According to Canizares et al. (2002) carbonized rice husk can be used as a component in substrates, as it allows penetration and air exchange at the root base. Rice husk, when carbonized, has high drainage capacity, easy handling, low weight, slightly alkaline pH, flocculated form, pathogen and nematode free, adequate K and Ca content which are two essential macronutrients for plant development (Saidelles et al. 2009). The objective of this work was to verify the viability of producing high-quality seedlings of Ocimum basilicum using rice husk in the substrate composition.

Material and methods

The work was conducted in the experimental area of the Department of Phytotechnics of the Eliseu Maciel College of Agronomy (FAEM), Federal University of Pelotas (UFPel), Capão do Leão, RS, Brazil (31º 48’ 8.61’’ S, 52º 24’ 54.92’’ W, 13 m a.s.l).

The seedlings were grown in a greenhouse between April and June 2018. Commercial basil seeds (Horticeres seeds®) were sowed in expanded polystyrene (EPS) trays, 128 cell (with 1 seed in each cell), of 40 cm3. The treatments consisted of different proportions between commercial substrate (BCS) Beifort S10B® (is made up of grape, ash, peat, and charcoal (carbonized rice husk) bagasse and stalks), and charred rice husk (CRH): 100 % BCS; 80 % BCS + 20 % CRH; 60 % BCS + 40 % CRH; 40 % BCS + 60 % CRH; 20 % BCS + 80 % CRH. The seedlings were irrigated daily by micro sprinkling, and a liquid slide of 6 mm day-1 was applied.

Seeds were exposed to treatments for 28 days and daily monitored and evaluated for emergence. At the end of the experiment, at 28 days, fifteen seedlings were collected from each sampling unit to assess the following variables.

Germination evaluation

The emergence speed index (SEI) and the emergence percentage (% ESI), according to the methodology described by Maguire (1962).

Seedling evaluation

Biomass variables were analyzed 28 days after sowing, collecting fifteen seedlings from each sampling unit. Variables such as the number of sheets (NL), shoot length (SL), and root length (RL), with the aid of a graduated ruler; the leaf area (LA) of the seedlings was obtained by the grid method proposed by Magalhães (1979). The seedlings were divided into shoot and root, dried in an oven at 60 °C to constant weight and weighed to obtain shoot dry weight (SDW) and root dry weight (RDW).

Substrate evaluation.

The substrates were evaluated at the beginning and at the end experiment. Dry density (DD), total porosity (TP), and aeration space (AS) were calculated according to Fermino (2014), p. 112). Hydrogen ionic potential (pH) and electrical conductivity (EC) were measured at 28 days after emergence according to the methodology proposed by Kiehl (2002).

Experimental design and statistical procedure

A completely randomized design with five treatments and three replications, with each replication using a sample of 15 plants. The assumed model for data analysis was the generalized linear model (MLG) (p < 0.05), with inverse Gaussian distribution and identity binding function, using the percentage of CRH in the mixture as a fixed variable. The q-q plot (normality), homoscedasticity by the t-test residuals plot versus adjusted values, and the presence of influential points by the Cook distance plot were use to test the model.

Canonical correlation analysis was performed to verify the influence of substrate physical and chemical variables on the growth measures of basil seedlings. The variables were tested for collinearity using as a criterion the variance inflation factor (VIF) > 20, and none of them should be excluded from the model. The significance of the model was obtained by the Monte Carlo permutation test (p < 0.05), considering the first canonical axis.

Results and discussion

Germination and seedling evaluation

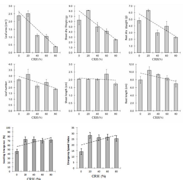
The regression results performed comparing different proportions of carbonized rice husk in the substrate and the basil seedling dry weight variables measurements are presented in Table 1. Leaf area and shoot dry weight were affected by treatments (p-value = 2.61 e-07 and 7.75e-06) and presented the best adjustments of the model (pseudo R2 = 0.9081 and 0.7780, respectively). In other words, 90.8 % of variations in leaf area and 77.8 % of variations in shoot dry weight occurred due to the change in the proportion of carbonized rice husk in the substrate. Unlike variables such as root dry mass, number of leaves, shoot length, root length, emergence percentage, and emergence speed index (p-value: 1.50e -03, 9.64e -03, 0.5653, 0.0818, 0.2251, 0.2946 epseudoR²: 0.5429, 0.4289, 0.0262, 0.1620, 0.4361, 0.3486).

Table 1: Germination and Seedling Evaluation

Coefficients, significance, and quality of regression equation adjustment for the basil weight variables (Ocimum basilicum L.) as a function of the percentage of charred rice husks (CRH) mixed with the commercial substrate (BCS). Generalized linear model, inverse Gaussian distribution and identity binding function.

From (Figure 1) it was observed that, in general, the increase of CRH in the mixture with BCS tended to reduce the mean values of the variables measured in the seedlings from 20 %. Shoot length and root length were not affected by the treatments, while leaf area, leaf number, seedling emergence, emergency speed index, and shoot and root dry weight showed a significant response to the addition of CRH to the substrate.

Average values (n = 3) of different variables of basil (Ocimum basilicum L.) seedlings as a function of the percentage of charred rice husks (CRH) mixed with the commercial substrate. The dashed line on each graph represents the regression curve by the generalized linear model, with inverse Gaussian distribution and identity binding function. The bars on the columns indicate the standard deviation of the mean in each treatment.

Figure 1: Average values (n = 3) of different variables of basil (Ocimum basilicum L.) seedlings as a function of the percentage of charred rice husks (CRH) mixed with the commercial substrate. The dashed line on each graph represents the regression curve by the generalized linear model, with inverse Gaussian distribution and identity binding function. The bars on the columns indicate the standard deviation of the mean in each treatment.

The addition of only 20 % of CRH to the composition of the subtract provided an increase in the percentage of emergence of plants in the order of 35 % and close to 15 % in the emergence speed index. Thereafter, nothing was observed for each increase in CRH in the substrate composition. Also the largest leaf area of the seedlings was obtained in the substrate with 20 % CRH, which was reflected in the higher shoot and root dry weight production. According to Carvalho et al. (2009), p. 296) and Mattos and Seitz (2008), the leaf area of any plant is the main structure for photosynthesis, and it is important in the production of carbohydrates, lipids, and proteins for plants and their reduction, decreases transpiration and limits yield, due to decreased CO2 absorption and sunlight interception.

In a study by Fonseca et al. (2017) with the objective of evaluating the use of CRH as a substrate in the production of angico vermelho seedlings (Anadenanthera peregrina (L) Speg), it was observed that the use of 100 % CRH allowed better germination performance. Most suitable for the effective seedlings production of the species. In another study, Silva et al. (2012) demonstrated that the use of CRH positively affected the rooting of basil cuttings, besides providing better conditions for the development of the formed roots. However, Guerrini and Trigueiro (2004); Freitas et al. (2013); Watthier et al. (2017); also observed and concluded that in the production of lettuce, cabbage, and beet seedlings in which substrates with CRH in their composition ranging from 15 % to 35 % produced better quality seedlings in relation to substrate composition with CRH percentages above these. This trend is possibly explained based on the beneficial effect of the physical properties of CRH on the increase or reduction of the aeration space, total porosity, and density of substrates (Figure 2), which may allow greater root development and thus improve access to water and nutrients, resulting in greater crop growth and development.

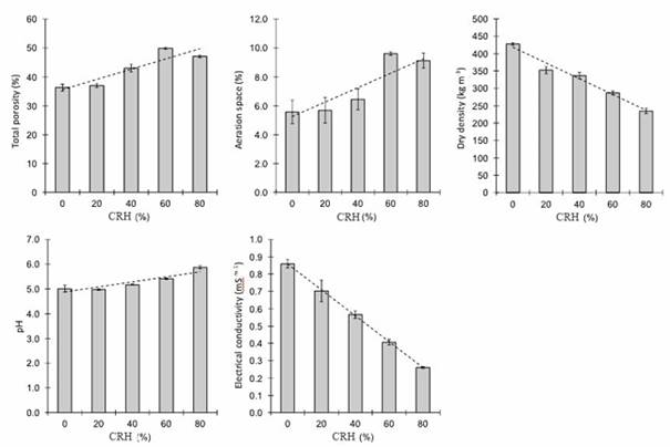
Average values (n = 3) of substrate physical and chemical characteristics as a function of the percentage of charred rice husks (CRH) mixed with the commercial substrate. The dashed line on each graph represents the regression curve by the generalized linear model, with inverse Gaussian distribution and identity binding function. The bars on the columns indicate the standard deviation of the mean in each treatment.

Figure 2: Average values (n = 3) of substrate physical and chemical characteristics as a function of the percentage of charred rice husks (CRH) mixed with the commercial substrate. The dashed line on each graph represents the regression curve by the generalized linear model, with inverse Gaussian distribution and identity binding function. The bars on the columns indicate the standard deviation of the mean in each treatment.

According to Corte et al. (2006), plant seeds are constituted by reserve substances, such as carbohydrates, proteins, lipids, among others, which guarantee germination and seedling establishment until the nutritional and environmental conditions are favorable to its development. This fact supports the differences observed in the treatments, as it was a short-cycle experiment in which it is believed that the plants still had their cotyledonary reserves to meet their nutritional needs, making them not totally dependent on substrate nutrients.

Physical and chemical variables of substrates

The CRH addition to BCS significantly affected all physical and chemical characteristics of the evaluated substrates (Figure 2 and Table 2). Total porosity, aeration space, and pH increased their mean values as substrate CRH increased while dry density and electrical conductivity were reduced.

Table 2: Physical and chemical variables of substrates

Coefficients, significance, and quality of regression equation adjustment for substrate physical and chemical variables as a function of the percentage of charred rice husks (CRH). Generalized linear model, inverse Gaussian distribution and identity binding function.

In its composition, the commercial substrate S10® is made up of grape, ash, peat, and charcoal (carbonized rice husk) bagasse and stalks (Beifort, 2019), which gives it less granulometry when compared to a substrate composed of more than 80 % CRH. This smaller particle size in BCS allowed a higher degree of particle density, which is reflected in the smaller total porosity and aeration space. With the increase of CRH in its composition in the substrate here was a tendency to increase the total porosity and aeration space and to reduce the dry density (Figure 2). This can be explained by the fact that larger particles are responsible for the formation of macropores that are occupied by air, while smaller particles are responsible for the formation of micropores occupied by water (De Melo Silva, 2013).

As it is a light weight and larger particle size material, the increase of CRH in the substrate composition promoted an increase of the total porosity and aeration space as a result of the larger macroporosity, negatively affecting the leaf area and dry mass of the basil seedlings. These results are corroborated with those by Gonçalves and Poggiani (1996) and Guerrini and Trigueiro (2004), who state that low-density substrates such as incinerated materials and vermiculite, by increasing macroporosity, reduce the substrate’s water retention capacity.

By increasing the proportion of CRH in the substrate, there was a reduction in dry density, possibly due to the increase of macropores and the reduction of micropores. This tendency was also observed by Strigheta et al. (1997), Guerrini and Trigueiro (2004), and Moraes et al. (2001), in their work with earthworm humus substrates and charred rice husk. According to Fermino (2014), p. 112), the best dry density value for substrate cultivation ranges from 350 to 1000 kg m-3, although Souza et al. (2011) observed higher values than these. In the present work the mixtures of substrates were below 350 kg m-3, corroborating the work of Paig et al. (2018).

As the dry density increased to values close to 350 kg m-3, there was an increase in the leaf area and shoot dry weight. This can be explained by the simple fact that with the increase in density, there is a reduction in total porosity and space. aeration (Figure 2), leading to low exposure of the root system to the desiccant air effect (oxidation) that impairs its development, for beneficial effects such as high seed germination due to increased contact between seed and substrate, formation of secondary roots capable of exploiting larger substrate volume (Libardi, 2005; Steffen et al. 2010).

For Gonçalves and Poggiani (1996), Carrijo et al. (2002) and Steffen et al. (2010), the total porosity considered adequate for substrates used in seedling production is 75-85 %, higher than those observed in the present study and even those found by De Melo Silva (2013), who worked with commercial Plant Max substrate.

With the total porosity analysis, aeration space and substrate dry density, it can be stated that the beneficial effect of charred rice husk, when added to the commercial substrate S10®, comes from its physical characteristics that provide good drainage, density, and water. Readily available as long as its substrate concentration is around 20 %. Similar results were found by Gonçalves and Poggiani (1996), Duarte and Pauletti (2008), Freitas et al. (2013), Castoldi et al. (2014), and Simões et al. (2015).

Increasing the proportion of CRH in the substrate tended to increase the pH and reduce the electrical conductivity, since the pH of the BCS was more acidic (5.0-5.5) (Beifort, 2019), while the CRH tended to increase neutrality (Steffen et al. 2010).

On the other hand, the BCS used has higher nutrient content than the CRH, which was characterized by Guerrini and Trigueiro (2004) and classified as poor in nutrients. According to Gonçalves et al. (2005), pp. 309-350), the electrical conductivity of the substrate should not be above 1.0 mS cm-1. However, Guerrini and Trigueiro (2004) observed values above 1.0 mS cm-1 but found no negative effect on the production of Eucalyptus grandis and Pinus taeda seedlings.

Redundancy analysis for weight variables as a function of treatments and environment

Redundancy analysis was performed to identify the variables that best explain seedling responses to treatments (Figure 3). The weight variables (NL, LA, SDW, and RDW) were strongly correlated with each other and positively. The % SEI and SEI are also positively correlated, but the angle of their arrows is almost 90° with the other variables, indicating that they are poorly correlated with the others, that is, how much or how much higher the SEI emerges does not affect the LA, NL or SDW.

Redundancy analysis for basil (Ocimum basilicum L.) seedling variables grown on substrates with different percentages of charred rice husk mixed with the commercial substrate. LA (leaf area), NL (number leaves), SDW (shoot dry weight), RDW (root dry weight), SL (shoot length), RL (root length), SEI (emergence speed index), % SEI (emergence percentage), TP (total porosity), AS (aeration space), DD (dry density), pH (hydrogen potential), EC (electrical conductivity).

Figure 3: Redundancy analysis for basil (Ocimum basilicum L.) seedling variables grown on substrates with different percentages of charred rice husk mixed with the commercial substrate. LA (leaf area), NL (number leaves), SDW (shoot dry weight), RDW (root dry weight), SL (shoot length), RL (root length), SEI (emergence speed index), % SEI (emergence percentage), TP (total porosity), AS (aeration space), DD (dry density), pH (hydrogen potential), EC (electrical conductivity).

CPA and NF were the variables that contributed the least to explain the differences between treatments. The treatment with 20 % CRH was the best correlated with the seedling responses, with average values always higher than the general average of the treatments, presenting better results than pure commercial substrate. BCS without CRH was lower than 20 % CRH and had a negative correlation with emergence speed and percentage of emerged plants. On the other hand, treatment with 80 % CRH showed a negative or zero correlation with all parameters analyzed, with mean values below or close to the general average. The treatments with 40 % and 60 % had intermediate behavior and had values always close to the general average in each variable (Figure 3).

Substrate physical and chemical variables explained 72 % of the variations observed in seedling growth, which is significant in the first canonical axis by the Monte Carlo test (F = 10.0490; p = 0.0060). The pH, TP, and AS had a strong negative correlation with LA, SDW, and RDW, indicating that the increase of their levels compromises the performance of basil seedlings. On the other hand, substrates with higher DD and EC values presented the best responses of these same variables.

The higher values observed in the treatments without CRH and 20 % CRH favored the growth of the seedlings, since the higher microporosity favored a greater contact of the seedling roots and the substrate particles, allowing greater exploration of the clod formed by the substrate and water.

The substrates with a higher percentage of CRH led to an increase of pH, PT, and AS, and showed a strong negative correlation with seedlings weight. Because, according to Steffen et al. (2010), the pH of CRH is in the range of 6.9, which is considered high for seedling production, since the optimum pH for plant growth, where most nutrients are absorbed, ranges from 5.5 to 6.5. Not only the pH is affected, but it was also observed that the increase in CRH conditioned the increase of TP and AS due to the high number of macropores responsible for high water drainage, oxidation of plant roots by exposure to air, which probably has led to reduced growth of basil seedlings.

Different authors reinforce that in substrates consisting of more than 80 % rice husk, whether carbonized or in nature, more irrigation is required when used in crops since it is a material with low water retention capacity (Andriolo et al. 1999; Steffen et al. 2010).

Conclusions

The addition of 20 % of CRH to BCS provided the best growth responses and emergence parameters of basil seedlings, being considered the maximum limit to be observed, besides reducing seedling production costs by the economics of commercial substrate.

Acknowledgements

Acknowledgment

The authors would like to thank CNPq and CAPES for granting scholarships and financial support.

Funding. This study was funded by the Coordenação de Aperfeiçoamento de Pessoal de Nível Superior-Brasil (CAPES). Financing Code 001.

References

  1. Andriolo, J.L., Duarte, T.S., Ludke, L., & Skrebsky, E.C. (1999). Characterization and evaluation of substrates for tomato cultivation outside the soil. Horticultura Brasileira, 17(3), 215-219. https://doi.org/10.1590/S0102-05361999000300008 [URL] 🠔
  2. Amaro, H.T.R., Assis, M.O., David, A.M.S.S., Silveira, J.R., Silva Neta, I.C., & Mota, W.F. (2012). Overcoming dormancy in basil (Ocimum basilicum L.) seeds. Revista Brasileira de Plantas Medicinais, 14(spe), 218-223. https://doi.org/10.1590/S1516-05722012000500016 [URL] 🠔
  3. Beifort. (2019, July 16). Vida para as plantas e para o solo. https://www.beifort.com.br/produtos/ [URL] 🠔
  4. Bekhradi, F., Delshad, M., Marin, A., Luna, M.C., Garrido, Y., Kashi, A., Babalar, M., & Gil, M.I. (2015). Effects of salt stress on physiological and postharvest quality characteristics of different Iranian genotypes of basil. Horticulture, Environment, and Biotechnolology, 56(6), 777-785. https://doi.org/10.1007/s13580-015-1095-9 [URL] 🠔
  5. Bione, M.A.A., Paz, V.P.D., Da Silva, F., Ribas, R.F., & Soares, T.M. (2014). Growth and production of basil in NFT hydroponic system under salinity. Revista Brasileira de Engenharia Agricola e Ambiental, 18(12), 1228-1234. https://doi.org/10.1590/1807-1929/agriambi.v18n12p1228-1234 [URL] 🠔
  6. Câmara dos Deputados. Centro de Documentação e Informação. (2021, September 12). Decreto Lei nº 4.954, de 14 de janeiro de 2004. https://www2.camara.leg.br/legin/fed/decret/2004/decreto-4954-14-janeiro-2004-497758-normaatualizada-pe.html [URL] 🠔
  7. Carvalho, C.A.L., Dantas, A.C.V.L., Pereira, F.A.C., Soares, A.C.F., Melo filho, J.F., & Oliveira, G.J.C. (2009). Topics in agrarian sciences. Federal University of Recôncavo da Bahia, Center for Agricultural, Environmental and Biological Sciences. 296p. v.1, il. http://www.frutvasf.univasf.edu.br/images/topicos.pdf [URL] 🠔
  8. Alves Carrijo, O., Setti de Liz, R., & Makishima, N. (2002). Fiber of green coconut shell as an agricultural substrate. Horticultura Brasileira , 20(4), 533-535. https://doi.org/10.1590/S0102-05362002000400003 [URL] 🠔
  9. Castoldi, G., Freiberger, M.B., Pivetta, L.A., Pivetta, L.G., & Echer, M.M. (2014). Alternative substrates in the production of lettuce seedlings and their productivity in the field. Revista Ciencia Agronómica, 45(2), 299-304. https://doi.org/10.1590/S1806-66902014000200010 [URL] 🠔
  10. Borges Corte, V., De Lima e Borges, E.E., Aparecida Pontes, C., De Almeida Leite, I.T., Contin Ventrella, M. & De Almeida Mathias, A. (2006). Mobilization of the reserves during germination of seeds and growth of seedlings of Caesalpinia Peltophoroides Benth (Leguminosae-Caesalpinoideae). Revista Árvore, 30(6), 941-949. https://doi.org/10.1590/S0100-67622006000600009 [URL] 🠔
  11. Simões de Lima, C.V., Hoehne, L., & Meurer, E.J. (2015). Cadmium, chromiumand lead in rice marketed in Rio Grande do Sul. Ciência Rural, 45(12), 2164-2167. https://doi.org/10.1590/0103-8478cr20140654 [URL] 🠔
  12. Fermino, M.H., Kampf, A.N. (2012). Density of substrates depending on the analytical methods and the levels of humidity. Horticultura Brasileira , 30(1). https://doi.org/10.1590/S0102-0536201200010001 [URL] 🠔
  13. Fermino, M.H. (2014). Substrates: composition, characterization and analysis methods. Agrolivros,111p. 🠔
  14. Figueredo Fonseca, E., Vieira Terra, D.L.C., & Bezerra de Souza, P. (2017). Potential use of carbonized rice husk in substrate composition for seedlings production of Anadenanthera peregrina (L) Speg. DESAFIOS, 4(4), 32-40. 10.20873/uft.2359-3652.2017v4n4p32 [DOI] 🠔
  15. Fonteno, W.C. (1996). Growing media: types and physical/chemical properties. In D.W. Reed (Ed.), A Grower’s Guide to Water, Media, and Nutrition for Greenhouse Crops (pp. 93-122). Ball Publishing. 🠔
  16. Araújo de Freitas, A., Ribeiro da Silva, R., Bandeira Barros, H., Vaz-de-Melo, A., & Pereira Abrahão, W. A. (2013). Production of lettuce seedlings for different combinations of substrata. Revista Ciência Agronômica, 44(1), 159-166. https://doi.org/10.1590/S1806-66902013000100020 [URL] 🠔
  17. Gonçalves, J.L.M., & Poggiani, F. (1996). Substrates for the production of forest seedlings. [Conference presentation]. Latin American Congress of Soil Sciences, 13, Águas de Lindóia. CD-ROM. 🠔
  18. Gonçalves, J.L.M., Santarelli, E.G., Moraes Neto, S.P., & Manara, M.P. (2005). Produção de mudas de espécies nativas: substrato, nutrição, sombreamento e fertilização. In J.L.M., Gonçalves & V. Benedetti (Eds.), Nutrição e fertilização florestal. IPEF,309-350p. 🠔
  19. Guerrini, I.A., & Trigueiro, R.M. (2004). Physical and chemical attributes of substrates composed of biosolids and carbonized rice chaff. Revista Brasileira de Ciência do Solo, 28(6), 1069-1076. https://doi.org/10.1590/S0100-06832004000600016 [URL] 🠔
  20. Huang, L., Niu, G., Feagley, S E., & Gu, M. (2019). Evaluation of a hardwood biochar and two composts mixes as replacements for a peat-based commercial substrate. Industrial Crops and Products, 129, 549-560. https://doi.org/10.1016/j.indcrop.2018.12.044 [URL] 🠔
  21. Kakaraparthi, P.S., Satya Srinivas, K.V.N., Kotesh Kumar, J., Niranjana Kumar, A., & Kumar, A. (2015). Composition of herb and seed oil and antimicrobial activity of the essential oil of two varieties of Ocimum basilicum harvested at short time intervals. Journal of Plant Development, 22, 59-76. https://plant-journal.uaic.ro/docs/2015/7.pdf [URL] 🠔
  22. Kiehl, E.J. (2002). Composting manual: maturity and compost quality (4th ed.). Degaspari. 🠔
  23. Klein, V.A., Camara, R.K., Simon, M.A., & Dias, S.T. (2002). Charred rice husk as substrate conditioner. In L.D. Milner, A.M.C. Furlani, O.C. Bataglia, M.F. Abreu, C.A. Abreu, P.R. Furlani, J.A. Quaggio, & K. Minami (Eds.), Characterization, management and quality of substrate for plant production. Instituto Agronômico, 95p. 🠔
  24. Libardi, P.L. (2005). Water dynamics in the soil. University of São Paulo Publisher. 🠔
  25. Lorenzi, H., & Matos, F.J.A. (2002). Medicinal plants from Brazil: native and exotic cultivated. Plantarum Institute. 🠔
  26. Magalhães, A.C.N. (1979). Quantitative growth analysis. In M.G. FERRI (Coord.), Plant Physiology (pp. 331-350). University Pedagogical Publisher. 🠔
  27. Maguire, J.D. (1962). Speed of germination-aid selection and evaluation for seedling emergence and vigor. Crop Science, 2(2), 176-177. http://dx.doi.org/10.2135/cropsci1962.0011183X000200020033x [URL] 🠔
  28. Póvoa de Mattos, P., & Arno Seitz, R. (2008). Growth dynamics of Anadenanthera colubrina var. cebil and Tabebuia impetiginosa from Pantanal Mato-grossense, Brazil. Ciência Florestal, 18(4), 427-434. https://doi.org/10.5902/19805098426 [URL] 🠔
  29. Morano, G., Amalfitano, C., Sellitto, M., Cuciniello, A., Maiello, R., & Caruso, G. (2017). Effects of nutritive solution electrical conductivity and plant density on growth, yield and quality of sweet basil grown in gullies by subirrigation. Advances in Horticultural Science, 31(1), 25-30. https://doi.org/10.13128/ahs-20722 [URL] 🠔
  30. Moraes Neto, S.P., Gonçalves, J.L.M., & Takaki, M. (2001). Production of seedlings of six tree species that occur in the Atlantic Forest domains, with different cultivation substrates and light levels. Revista Árvore, 25(3), 277-287. http://revistaarvore.org.br/1977-2002/25-3-2001/ [URL] 🠔
  31. Pinto, E., Gonçalves, M.J., Cavaleiro, C., & Salgueiro, L. (2017). Antifungal activity of Thapsia villosa essential oil against Candida, Cryptococcus, Malassezia, Aspergillus and dermatophyte species. Molecules, 22(10), 1595. 10.3390/molecules22101595 [DOI] 🠔
  32. Rodrigues, L.B., Martins, A.O.B.P.B., Cesário, F.R., Castro, F.F., De Albuquerque, T.R., Fernandes, M.N.M., Fernandes da Silva, B.A., Quintans, L.J., Da Costa, J.G, & Alencar de Menezes, I.R. (2016). Anti-inflammatory and antiedematogenic activity of the Ocimum basilicum essential oil and its main compound estragole: In vivo mouse models. Chemico-biological Interactions, 257, 14-25. 10.1016/j.cbi.2016.07.026 [DOI] 🠔
  33. Duarte Rota, L., & Pauletti, G.F. (2008). Effect of the addition of rice hulls in commercial substrates the base of turf in the growth of Viola tricolor L. Revista Brasileira de Agrociência, 14(3-4), 45-48. http://www2.ufpel.edu.br/faem/agrociencia/v14n3/artigo06.pdf [URL] 🠔
  34. Saidelles, F.L.F., Winckler Caldeira, M.V., Schirmer, W.N., & Sperandio, H.V. (2009). Carbonized rice hull as substratum to produce tamboril-da-mata and garapeira seedlings. Semina: Ciências Agrárias, 30(Sup1), 1173-1186. http://dx.doi.org/10.5433/1679-0359.2009v30n4Sup1p1173 [URL] 🠔
  35. Silva, I.M., Gusmão, S.A.L., Barros, A.C.A., Gomes, R.F., Silva, J.P., & Pereira, J.K.B. (2012). Stem rooting of basil in diferente substrates and doses of ash. Brazilian Journal of Medicinal Plants, 14(spe), 188-191. https://doi.org/10.1590/S1516-05722012000500011 [URL] 🠔
  36. De Melo Silva, F.A., Nunes, G.M., Barboza da Silva, R., Damatto Junior, E.R., & Fuzitani, E.J. (2013, March 12-14). Physical characterization of sewage sludge compounds and palm heart agro-industry residues for use as substrate. [Conference presentation]. III Symposium on Agricultural and Agroindustrial Waste Management, Sao Pedro, Sp, Brazil. http://www.sbera.org.br/3sigera/obras/in_uso_01_FranciscaSilva.PDF [URL] 🠔
  37. Simões, A.C., Alves, G.K.E.B., Ferreira, R.L.F., & Araújo Neto, S.E. (2015). Seedling quality and yield of organic lettuce using different substrate conditioners. Horticultura Brasileira , 33(4), 521-526. https://doi.org/10.1590/S0102-053620150000400019 [URL] 🠔
  38. Souza, N.H., Carnevali, T.O., Ramos, D.D., Scalon, S.P.Q., Marchetti, M.E., Vieira, M.C. (2011). Sweet basil (Ocimum basilicum L.) seedling production in different substrates and luminosities. Revista Brasileira de Plantas Medicinais , 13(3), 276-281. https://doi.org/10.1590/S1516-05722011000300005 [URL] 🠔
  39. Steffen, G.P.K., Antoniolli, Z.I., Steffen, R.B., & Bellé, R. (2010). Casca de arroz e esterco bovino como substratos para a multiplicação de minhocas e produção de mudas de tomate e alface. Acta Zoológica Mexicana (N.S), 26(2), 345-357. https://doi.org/10.21829/azm.2010.262898 [URL] 🠔
  40. Strigheta, A.C.O., Rodrigues, L.A., Fonttes, L.E.F., & Costa, C.A. (1997). Physical characterization of substrates containing urban waste compost and carbonized rice husk as conditioners. Revista Brasileira de Ciência do Solo , 21, 155-159. 🠔
  41. Watthier, M., Silva, M.A.S., Schwengber, J.E., Fermino, M.H., & Custódio, T.V. (2017). Production of lettuce seedlings in substrates with tung compost, carbonized rice husk and earthworm humus. Horticultura Brasileira , 35(2), 174-179. https://doi.org/10.1590/S0102-053620170204 [URL] 🠔