Acta Agronómica
0120-2812
Universidad Nacional de Colombia
https://doi.org/10.15446/acag.v70n3.88571

Recibido: 6 de abril de 2020; Aceptado: 31 de enero de 2022

Sowing rate and its effects on forage yield of tetraploid ryegrass

Densidad de siembra y sus efectos sobre el rendimiento de forraje en ryegrass tetraploide

L. Moreira-Barros, 1 A. Mittelmann, 2 C. Pedroso, 1 F. Bortolini, 3 R. Veronez, 3 L. Ramos-Tavares, 1

Universidade Federal de Pelotas. Pelotas, RS, Brazil. lilianmbarros@gmail.com, cepedroso@terra.com.br, guilhermeramos.tavares@gmail.com Universidade Federal de Pelotas Universidade Federal de Pelotas Pelotas RS Brazil
Empresa Brasileira de Pesquisa Agropecuaria. Brasilia, DF, Brazil. andrea.mittelmann@embrapa.br, fernanda.bortolini@embrapa.br Empresa Brasileira de Pesquisa Agropecuaria Brasilia DF Brazil
Instituto Federal de Educação, Ciência e Tecnologia do Rio Grande do Sul, Campus Ibirubá. Ibirubá, RS, Brazil. rodrigo.p.v@hotmail.com. Instituto Federal de Educação, Ciência e Tecnologia do Rio Grande do Sul, Campus Ibirubá Ibirubá RS Brazil

Abstract

There is a shortage of information about the ryegrass crop (Lolium multiflorum Lam.), especially regarding the suitable sowing rate. Thus, the present work aimed to determine the most adequate sowing rate for tetraploid ryegrass cultivars. A tetraploid ryegrass population was sown at different densities: 150, 300, 600, 900, 1200, 1500, 1800 seeds/m2. The number of plants per m2, percentage of soil cover, leaf yield and green and dry forage yield were evaluated. The experimental design was randomized blocks with three replications. To observe the behavior of the pasture at different densities for each cut, regression analysis was performed, through which it was possible to verify that the sowing rate has greater influence on the initial cut of the crop. In all the variables analyzed by regression, only the second cut presented a linear trend favorable to the increase in density. In the other cuts, an increase was observed, both in the height of plants and in the yield variables, up to the density of 1500 seeds/ m2, with a subsequent fall to the highest density, indicating that higher densities may be detrimental to pasture yield. Therefore the density of 1500 seeds/m2 is the most suitable for tetraploid ryegrass cultivars.

Keywords:

Lolium multiflorum, breeding population, forage crops, pasture, plant density, tetraploid cultivars.

Resumen

Existe poca información sobre el cultivo del ryegrass (Lolium multiflorum Lam.), principalmente en relación con una adecuada tasa de siembra. Por lo tanto, el presente estudio tiene como objetivo determinar la tasa de siembra para cultivares de ryegrass tetraploides. Se siembra una población de ryegrass tetraploide a diferentes densidades: 150, 300, 600, 900, 1200, 1500, 1800 semillas/m2. Las variables evaluadas fueron número de plantas por m2, porcentaje de cobertura del suelo, peso de hojas y rendimiento de forraje en verde y seco. El diseño experimental utilizado es de bloques al azar con tres repeticiones. Para observar el comportamiento del pasto a diferentes densidades de siembra y en cada corte, se realiza un análisis de regresión a través del cual es posible verificar que la tasa de siembra tiene una mayor influencia en el corte inicial del cultivo. En todas las variables analizadas el segundo corte fue el único que presenta una tendencia lineal positiva en relación con el incremento en la densidad de siembra. En los otros cortes, se observa un aumento, tanto en la altura de las plantas como en las variables de producción, hasta la densidad de 1500 semillas/m2, con una posterior caída a la densidad más alta. Lo anterior indica que densidades altas pueden ser perjudiciales para la producción de cultivares tetraploides de ryegrass. Por lo tanto, la densidad de 1500 semillas/m2 es la más adecuada para para estos cultivares.

Palabras clave:

Lolium multiflorum, cultivares mejorados, cultivares tetraploides, cultivos forrajeros, pastos, densidad de siembra.

Introduction

The genus Lolium, originally from Southern Europe, Western Asia and North Africa, comprises eight species, including L. multiflorum Lam., commonly known as ryegrass, an allogamous plant with wide geographical distribution in temperate regions (Nelson et al., 1997).

The ryegrass stands out for its importance as a winter forage due to its abundant forage production, high tolerance to grazing (Galvan, et al., 2011), good initial force and high reseeding natural, important feature for pasture improvement or the constitution of cultivated pastures (Oliveira et al., 2019).

In addition to these characteristics, these species provides both pastures and forages with a high level of conservation, such as hay, used alone or in consortium with other annual or perennial grasses, which further highlights the versatility of the grass (Havilah, 2017).

In the Southern region of Brazil, ryegrass is considered to be one of the forage species that stands out the most for its morphology and nutritional composition, responsible for much of the feeding of beef and dairy cattle, used both as pasture and in the production of silage and hay (Oliveira et al., 2019).

The sowing rate, as well as the number of plants per square meter, is one of the factors that most affect the plant morphogenesis, described as the dynamics of generation and expansion of the shape of the plant in space (Lemaire & Chapman, 1996). Seed quality is a key factor in achieving the desired plant density (Huth et al., 2020). The rate of leaf elongation and the appearance of leaves are among the morphogenic variables determining the main structural characteristics of pastures, such as leaf size, tiller production and forage yield (Pontes et al., 2003).

Despite its constant use, there are still doubts regarding the sowing rate to be applied to ryegrass (Mello & Carbonare, 2019), since population management must consider a series of factors, such as soil type, environmental conditions, seed size and average weight of one thousand seeds, a variable characteristic even within the same species, depending on the level of ploidy. Tetraploid accessions, for example, have significantly larger seeds compared to diploid seeds (Sugiyama, 1998). In addition to these, ploidy determines morphological changes in the plant, which must be considered for the indication of the sowing rate to be used (Rios et al., 2019).

Tetraploid ryegrass cultivars have wider leaves with darker coloring, in addition to a longer vegetative cycle, greater precocity, higher demand on soil fertility and greater tiller production, compared to diploid cytotypes. Also, there is a great difference in the average seed weight between the two types of cultivars (Sugiyama, 2006). Furthermore to the morphological traits that distinguish diploid and tetraploid cultivars, the differences among ploidy levels can extend to pasture management, determining the best time for mowing, recommending the point of greatest mass accumulation in relation to the highest nutritional quality (Oliveira et al., 2014).

Considering that there is still a lack of information about the appropriate sowing rate for different cytotypes (Mello & Carbonare, 2019), the present study was developed with the objective of determining the optimal sowing rate for ryegrass tetraploid cultivars.

Material and methods

Panel of ryegrass access and experimental procedures

The experiment was accomplished in 2019 at the Estação Experimental Terras Baixas (31°52’00’’S, 52°21’24’’W, 13.24 m above sea level) of Embrapa Clima Temperado, in the municipality of Capão do Leão, Rio Grande do Sul State, Brazil. Treatments were seven sowing rates: 150, 300, 600, 900, 1200, 1500, 1800 seeds per square meter (seeds/m2). They were sowed on May 6th, 2019 in a randomized block design with three replications. The tetraploid ryegrass population used is LOL 222 from Embrapa’s Ryegrass Breeding Program. It’s a result of polyploidization and selection of populations collected at Rio Grande do Sul State, Brazil (Pereira et al, 2014; 2017). Germination was determined as 92 % in a laboratorial test according with official rules (Brasil, 2009). Plots consisted of five lines with three meters of length, 0,2 m apart. mechanical cuts were done, on 07/10, 08/6, 09/18, and 10/11/2019, leaving a residual height of seven cm. Before the first and second cuts, soil cover (%) in each plot was accessed. In all cuts the following traits were measured: plant height (cm) -mean of three plants per plot; green forage yield (kg/ha)- in a sample of 0.25 m2; dry forage yield (kg/ha) -sample was dried in a forced air oven to constant weight; leaf yield (kg/ha)- leaf blades were separated from the dried sample.

Statistical analysis

The data were submitted to a normality test by Shapiro-Wilk (1965) to determine if it meets with the assumptions of the analysis of variance. Based on the results of the normality test, the data of green forage yield and leaf yield were transformed by means of the square root (SQRT) to reach the normality of the residues. Afterwards, the analysis of variance was performed in a split plot scheme, where the sowing rate and the cuts were considered as plot and subplot, respectively. To verify the behavior of the plants in each cut, regression analysis was performed considering the average number of repetitions of each variable. For the variable number of plants per square meter (pl/m2), cluster analysis of Scott Knott means was performed. The probability of 5 % error (p < 0.05) was considered for all analyzes. The statistical procedures were performed using the SAS software (Freud & Littell, 1986).

Results

According to the analysis of variance, for the variables average plant height (cm), percentage of soil cover (%), leaf yield (kg/ha), green forage and dry forage yields (kg/ha) there was a significant interaction between cuts and sowing rate. There is no significant interaction for the variable number of plants per square meter (pl/m2). All variables evaluated showed a significant difference between the applied sowing rates. In the present work, sowing rate affected the performance of ryegrass plants in all the cuts made in the crop (Figures 1 to 4).

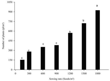
The results showed that the sowing rate of 1800 seeds/m2 produced about 920 plants/m2 and was the largest stand obtained. The densities of 1200 and 1500 seeds/m2, did not differ statistically, with 570 and 720 plants/m2, respectively (Figure 1).

Comparison between mean number of plants per square meter (pl/m²) for different seeding densities (seeds/m²) for tetraploid ryegrass.

Figure 1: Comparison between mean number of plants per square meter (pl/m²) for different seeding densities (seeds/m²) for tetraploid ryegrass.

Regarding the influence of sowing rate on plant height, it is possible to observe that for the first crop cut there was an exponential growth in the average height of plants up to the density of 1500 seeds/m2, starting a slight reduction in 1800 seeds/m2, while in the third cut this reduction was more accentuated for denser sowing rates (Figure 2A).

Effect of different sowing rates on the variables average plant height (A) and percentage of soil cover (B).

Figure 2: Effect of different sowing rates on the variables average plant height (A) and percentage of soil cover (B).

For the second and fourth cuts it was possible to verify that the sowing rate of 1800 seeds/m2 promoted an increase in the average height of plants, indicating that a denser sowing rate may be favorable for the production of taller plants, with greater potential of soil cover. The Figure 2B shows a linear trend that is observed in the percentage of soil cover for the second cut, which presented higher plants for the applied sowing rates.

The leaf yield of the ryegrass access evaluated is shown in Figure 3, where for the first cut there was an increasing response in the production of leaves up to the density of 1500 seeds/m2 and a subsequent decrease in the highest density. A very similar performance was presented in the fourth cut, which still presented a lower leaf yield compared to the third cut. In the second cut, leaf yield showed a linear response favorable to the increase in sowing rate. A favorable result to the increase in density was also expressed in the third cut, where it was found a reduction in the production of leaves from the second applied density and a marked increase in this variable at the density of 1800 seeds/m2.

Effect of different sowing rates on the variable leaf yi

Figure 3: Effect of different sowing rates on the variable leaf yi

For the variables green forage yield and dry forage yield it was observed that in the first cut there was a growth up to the density of 1500 seeds/ m2 for both yield, from which a reduction in the production of both forage mass was identified. The second cut presented a linear response for the two variables, while in the third cut opposite responses were observed between the green forage yield and the dry forage yield, since for the green forage the highest production was achieved at the density of 1500 seeds/m2, with about 12600 kg/ha, dry forage had a lower production at the same density (1141 kg/ ha) (Figure 4).

Effect of different sowing rates on the variable green forage yield (A) and dry forage yield (B).

Figure 4: Effect of different sowing rates on the variable green forage yield (A) and dry forage yield (B).

In the last cut made in the pasture there was a small difference between the green forage yield for 150 seeds/m2 and for 1800 seeds/m2, with a slight reduction in the dry forage yield between the lowest and the highest sowing rate. However, the density of 1500 seeds/m2 promoted a sharp increase in dry fodder production (Figure 4), suggesting that this sowing rate would be the most favorable for the production of forage of the studied access.

Considering all the variables evaluated in the study, it was possible to verify that the sowing rate expresses a strong relationship with the morphogenesis of the plants, significantly influencing the production of ryegrass forage. In an overview, with the exception of the percentage of soil cover, which showed a gradual growth in view of the increase in sowing rate, the other variables showed a reduction in their values from 600 seeds/m2, rising again from 1200 seeds/m2 with a tendency to reduce performance at densities greater than 1500 seeds/m2.

Discussion

Recommendations on sowing rates for pastures vary considerably, even for those that are more cultivated, such as ryegrass. According to Vuckovic et al. (2003), very low sowing rates can affect the yield of plants at the beginning of the stabilization of the pasture, while high densities promote high rates of competition between seedlings, and there must be a balance to reach the density of more adequate sowing, although for grasses the higher density can still be advantageous in the control of invasive plants.

A good plant establishment is crucial for the development of a successful and productive pasture (Peri et al., 2000). Seed quality and sowing rate are influential factors in establishing pasture. Evers (1995) suggests that a minimum density of 600 plants/ m2 is sufficient to produce a satisfactory stand, agreeing with the results found in the present study.

Regarding the average height of the plants, generally, for grasses, greater plant stature expresses a higher competitiveness, since plants with higher height tend to have a greater interception of active photosynthetic radiation, increasing their competitive potential, especially with weeds, giving even more vigorous initial growth, which can be decisive both for the vegetation cover of the soil and for the production of green mass and dry mass (Fleck et al., 2006). It is believed that the increase in plant height from 900 seeds/m2 (Figure 1) is favorable for the future production of forage. Furthermore, this growth may even mean the possibility of anticipating the use of pasture (Evers; Smith; Hoveland, 1997).

The results for the yield variables, which include leaves, green forage and dry forage, showed a satisfactory production for the access under study, mainly up to the density of 1500 seeds/m2, considering that tetraploid ryegrass plants have wider leaves, larger tillers, greater resistance to leaf diseases, produce forage with less dry matter content (Humphreys et al., 2010) and tend to have a higher yield of green forage, with a higher content of crude protein, ash and water-soluble carbohydrates when compared to diploid varieties (Humphreys et al., 2010).

Ferreira et al. (2008) reported a trend of reduction in the percentage of green and dry forage for the highest sowing rates in ryegrass plants resistant to glyphosate, concluding that the forage production decreases with the increase of the sowing rate, and the levels used by the authors were 10 to 50 plants per square meter (pl/m2). For black oats (Avena strigosa Schreb.), another important winter pasture. Martins, Debiasi and Missio (2008) observed that, although green forage production did not show any difference between sowing rates, dry forage production decreased with increasing density, 30 and 90 kg/ha of viable seeds to reach 150 and 450 plants per m2, respectively.

Conclusions

Although further studies are necessary with other approaches and seeding densities for the cultivation of tetraploid ryegrass, this study indicates that the seeding density of 1500 seeds/m2 is the most suitable for achieving greater forage production.

Acknowledgements

Acknowledgements

To CNPq for granting the DTI scholarship to the first author and colleagues Vanilton Mackedanz and Moacir Furtado Rodrigues for their contribution in conducting the experiment.

References

  1. Brasil. (2009). Regras para análise de sementes. Ministério da Agricultura, Pecuária e Abastecimento. Secretaria de Defesa Agropecuária.. MAPA/ACS. 🠔
  2. Evers, G.W. (1995). Introduction to annual ryegrass. In: Symposium on Annual Ryegrass. (pp.1-6). Texas A&M University Agriculture Research and Extension Center/Texas Agriculture Experiment Station/Texas Agricultural Extension Service. 🠔
  3. Evers, G.W., Smith, G.R., & Hoveland, C.S. (1997). Ecology and Production. In: F.M. Rouquette, & L.R. Nelson (Eds.), Ecology, Production and Management of Lolium for Forage in the USA, (pp. 29- 44). CSSA Special Publications. https://acsess.onlinelibrary.wiley.com/doi/book/10.2135/cssaspecpub24 [URL] 🠔
  4. Ferreira, E.A., Concenço, G., Silva, A., Reis, M.R., Vargas, L., Viana, R.G., Guimarães, A.A, & Galon, L. (2008). Potencial competitivo de biótipos de azevém (Lolium multiflorum). Planta Daninha, 26(2), 261-269. https://doi.org/10.1590/S0100-83582008000200002 [URL] 🠔
  5. Fleck, N.G., Bianchi, M.A., Rizzardi, M.A., & Agostinetto, D. (2006). Interferência de Raphanus sativus sobre cultivares de soja durante a fase vegetativa de desenvolvimento da cultura. Planta Daninha , 24(3), 425-434. https://doi.org/10.1590/S0100-83582006000300002 [URL] 🠔
  6. Freud, R.J., Littell, R.C. (1986). SAS system for regression. SAS. 🠔
  7. Galvan, J., Rizzardi, M.A., & Scheffer-Basso, S. (2011). Aspectos morfofisiológicos de biótipos de azevém (Lolium multiflorum) sensíveis e resistentes ao glyphosate. Planta Daninha , 29(spe), 1107-1112. https://doi.org/10.1590/S0100-83582011000500018 [URL] 🠔
  8. Havilah, E.J. (2017). Forages and pastures: Annual forage and pasture crops-species and varieties. Elsevier - Reference Module in Food Science, https://doi.org/10.1016/B978-0-08-100596-5.21855-6 [URL] 🠔
  9. Humphreys, M., Feuerstein, U.L.F., Vandewalle, M., & Baert, J. (1997). Ryegrasses. In: Boller, B., Posselt, U.K, & Veronesi, F. Fodder Crops and Amenity Grasses, (pp. 211-260).Springer. (Handbook of Plant Breeding) 🠔
  10. Huth, C., Lopes, S.J., Müller, C.A., Rosa, C.P., Andrade, F.F., Santos, L.S., & Mattioni, M.N. (2020). Lolium multiflorum seed quality analyzed by accredited laboratories in the Rio Grande do Sul State. Ciencia Rural, 50(2). https://doi.org/10.1590/0103-8478cr20190270 [URL] 🠔
  11. Lemaire, G., & Chapman, D. (1996). Tissue flows in grazed plant communities. In J. Hodgson, & A.W. Illius (Eds.), The ecology and management of grazing systems (pp. 3-36). CAB International. 🠔
  12. Martins, J.D., Debiasi, H., & Missio, E.L. (2008). Influência da densidade e velocidade de semeadura no crescimento da aveia preta (Avena strigosa Schreb.), em semeadura direta. Pesquisa Agropecuária Gaúcha, 14(1), 33-40. http://revistapag.agricultura.rs.gov.br/ojs/index.php/revistapag/article/view/225 [URL] 🠔
  13. Mello, R., & Carbonare, M.S. (2019). Efeito de diferentes densidades na produção e qualidade do Azevém. Revista FABC, 1, 26-28. 🠔
  14. Nelson, L.R., Phillips, T.D., & Watson, C.E. (1997). Plant Breeding for Improved Production in Annual Ryegrass. In: F.M. Rouquette, & L.R. Nelson (Eds.), Ecology, Production and Management of Lolium for Forage in the USA , (pp. 1-14). CSSA Special Publications. https://acsess.onlinelibrary.wiley.com/doi/book/10.2135/cssaspecpub24 [URL] 🠔
  15. Oliveira, A.P., Rosa, P.P., Chesini, R.C., da Silva Camacho, J., Padilha Nunes, L., Ramos Faria, M.R., Rosler, D.C., da Silva, P.M., & Ferreira, O.G. (2019). Características e utilização do azevém (Lollium multiflorum L.) na alimentação de ruminantes - Revisão de literatura. Revista Científica Rural, 21(3), 347-365. https://doi.org/10.30945/rcr-v21i3.2792 [URL] 🠔
  16. Oliveira, L.V., Ferreira, O.G.L., da Silva Pedroso, C.E., Costa, O.A.D., Sell, C. M., & Silveira, F.A. (2014). Características morfogenéticas de cultivares diploides e tetraploides de azevém (Lolium multiflorum Lam.). Zootecnia Tropical, 32(1), 45-51. https://www.researchgate.net/publication/269929817_Caracteristicas_morfogeneticas_de_cultivares_diploides_e_tetraploides_de_azevem_Lolium_multifl_orum_Lam [URL] 🠔
  17. Pereira, R.C., Ferreira, M.T.M., Davide, L.C., Pasqual, M., Mittelmann, A., & Techio, V.H. (2014). Chromosome duplication in Lolium multiflorum Lam. Crop Breeding and Applied Biotechnology, 14(3), 251-255. http://dx.doi.org/10.1590/1984-70332014v14n4n39 [URL] 🠔
  18. Pereira, R.C., Santos, N.S., Bustamante, F.O., Mittelmann, A., & Techio, V.H. (2017). Stability in chromosome number and DNA content in synthetic tetraploids of Lolium multiflorum after two generations of selection. Ciência Rural, 47(2), e20150767. http://dx.doi.org/10.1590/0103-8478cr20150767 [URL] 🠔
  19. Peri, P.L., Brown, H.E., & Mckenzie, B.A. (2000). The effect of sowing depth on the emergence and early development of six pasture species. Agronomy Journal, 30, 45-52. https://www.researchgate.net/publication/260164762_The_effect_of_sowing_depth_on_the_emergence_and_early_development_of_six_pasture_species [URL] 🠔
  20. Pontes, S., Nabinger, C., Carvalho, P.C.F., Trindade, J.K., Montardo, D.P., & Santos, R.J. (2003). Variáveis morfogênicas e estruturais de azevém anual (Lolium multiflorum lam.) manejado em diferentes alturas. Revista Brasileira de Zootecnia, 32(4), 814-820. https://doi.org/10.1590/S1516-35982006000500007 [URL] 🠔
  21. Rios, E.F., Kenworthy, K.E., Gezan, S.A., & Munoz, P.R. (2019). Genetic parameters for phenotypic traits in annual ryegrass. Crop Science, 59(5), 2128-2140. https://doi.org/10.2135/cropsci2019.02.0126 [URL] 🠔
  22. Shapiro, S.S., & Wilk, M.B. (1965). An analisys of variance test for nomality (complete samples). Biometriks, 52(3/4), 591-611. https://doi.org/10.2307/2333709 [URL] 🠔
  23. Sugiyama, S. (1998). Differentiation in competitive ability and cold tolerance between diploid and tetraploid cultivars in Lolium perenne. Euphytica, 103, 55-59. https://doi.org/10.1023/A:1018322821118 [URL] 🠔
  24. Sugiyama, S. (2006). Responses of shoot growth and survival to water stress gradient in diploid and tetraploid populations of Lolium multiflorum and L. perenne. Grassland Science, 52(4), 155-160. https://onlinelibrary.wiley.com/doi/10.1111/j.1744-697X.2006.00062.x [URL] 🠔
  25. Vučković, S., Simić, A., Ćupina, B., Stojanović, I., & Stanisavljević, R. (2003). The effect of vegetation area size on grass seed yield. Journal of Agricultural Science, 48(1), 125-134. https://www.researchgate.net/publication/47657856_The_effect_of_vegetation_area_size_on_grass_seed_yield [URL] 🠔