Acta Agronómica
0120-2812
Universidad Nacional de Colombia
https://doi.org/10.15446/acag.v71n2.88900

Recibido: 5 de julio de 2020; Aceptado: 12 de diciembre de 2022

Efecto del compost de residuos de flores sobre algunas propiedades físicas, químicas y biológicas del suelo

Effect of flower waste compost on some, physical, chemical, and biological properties of the soil

I. Garzón Marín, 1 E. Cruz, 1 A. Infante, 1 J. Cuervo, 1

Universidad Nacional de Colombia - Sede Bogotá. Bogotá, Colombia. igarzonm@unal.edu.co, eccruzmu@unal.edu.co, bainfanteh@unal.edu.co, jlcuervoa@unal.edu.co Universidad Nacional de Colombia Universidad Nacional de Colombia - Sede Bogotá Bogotá Colombia

Resumen

El objetivo de esta investigación fue evaluar el efecto de la aplicación de compost de flores sobre algunas propiedades físicas, químicas y biológicas del suelo. Los compost usados fueron de residuos 100% de Dianthus spp., 100 % de girasol y la mezcla (50-50 %), se incorporaron al suelo (Tapthic hapludand) a dosis de 8, 12, 16 kg.m-2 y un testigo sin aplicación. Se realizó un diseño experimental factorial de medidas repetidas en el tiempo con dos factores; el primero correspondió al tipo de compost, el segundo a las dosis. Se evaluó la densidad aparente, la porosidad total, el carbono orgánico (CO), la respiración del suelo y las unidades formadoras de colonia de bacterias solubilizadoras de fosfatos y fijadoras de nitrógeno. En los resultados obtenidos se observó que la densidad aparente del suelo disminuyó con la aplicación del compost de girasol y dianthus a dosis de 16 kg.m-2 en un 17 % y 25 %, respectivamente en comparación con el valor inicial (1.14 g.cm-3). En la dosis de 16 kg.m-2 la porosidad total incrementó con respecto al valor inicial un 8.1 % con el compost de girasol y un 10.5 % con la incorporación del compost mixto. El CO incrementó con respecto al valor inicial 2.33 % en el tratamiento mixto a dosis de 16 kg.m-2. La respiración no mostró diferencias estadísticas con respecto al control; en las bacterias solubilizadoras de fosfato, la dosis de 16 kg.m-2 mostró el mayor valor con 3.5 X 106 UFC/g de suelo para el compost mixto; y para las fijadoras de nitrógeno, los mayores valores se registraron a dosis de 16 kg.m-2 para mixto con promedio de 3.025 x 107 UFC/g de suelo. Con los resultados obtenidos se puede inferir que la incorporación al suelo de compost mixto a dosis de 16 kg.m-2 tiene un efecto positivo en las propiedades físicas, químicas y biológicas del suelo en el corto plazo.

Palabras clave:

bioinsumo, descomposición de residuos, enmienda orgánica, fertilizante orgánico, mejoramiento del suelo.

Abstract

The objective of this research was to evaluate the effect of the application of flower compost on some physical, chemical and biological properties of the soil. The composts used were 100 % Dianthus spp. residues, 100 % Sunflower, and a mixture of both (50-50 %). They were incorporated into the soil (Tapthic hapludand) at doses of 8, 12, and16 kg.m-2, and an unapplied witness. A factorial experimental design of repeated measures in time was carried out with two factors, the first corresponded to the type of compost, the second to the doses. Bulk density, total porosity, organic carbon (CO), soil respiration, and colony-forming units of phosphate solubilizing, and nitrogen- fixing bacteria were evaluated. In the results obtained, it was observed that the apparent density of the soil decreased with the application of sunflower and dianthus compost at a dose of 16 kg.m-2 by 17% and 25% respectively compared to the initial value (1.14 g.cm-3). In the dose of 16 kg.m-2, the total porosity increased with respect to the initial value by 8.1 % with the sunflower compost and 10.5 % with the incorporation of the mixed compost. The CO increased with respect to the initial value by 2.33 % in the mixed treatment at a dose of 16 kg.m-2. Respiration did not show statistical differences with respect to the control. In the phosphate solubilizing bacteria, the dose of 16 kg.m-2 showed the highest value with 3.5 X 106 CFU/g of soil for the mixed compost; and for the nitrogen fixers, the highest values were recorded at a dose of 16 kg.m-2 for mixed compost with an average of 3.025 x 107 CFU/g of soil. With the results obtained, it can be inferred that the incorporation of mixed compost into the soil at a dose of 16 kg.m-2 has a positive effect on the physical, chemical, and biological properties of the soil in the short term.

Key words:

bioinput, waste decomposition, organic amendment, organic fertilizer, soil improvement.

Introducción

En Colombia la floricultura representa una de las actividades agrícolas más importantes, debido a que ocupa el segundo lugar después de Holanda como exportador de flores de corte, con participación en más de 100 mercados internacionales (Ceniflores, 2021). Por ello, el sector floricultor se ha transformado buscando generar un valor agregado a sus productos, incursionando en la comercialización de bouquet y convirtiéndose en el principal exportador de estos (Minagricultura, 2019; Barrientos et al., 2011).

En la elaboración de bouquets o ramos para exportación las flores son clasificadas, durante este proceso se deben retirar los tallos que tengan algún tipo de defecto como decoloración, maltrato, deformación, problemas fitosanitarios, torceduras, entre otros (Cámara de comercio de Bogotá, 2010). Estos tallos son desechados, lo que genera gran cantidad de residuos vegetales, que representan un 90 % de la totalidad de los residuos sólidos del proceso productivo de flores y se convierten en una amenaza ambiental, principalmente por la liberación de lixiviados que pueden contaminar el suelo y el agua (Asocolflores, 2002). Por ello se debe establecer un manejo adecuado de residuos que permita su aprovechamiento.

Una alternativa de manejo y aprovechamiento de estos residuos es a través del compostaje, el cual permite generar un producto estable llamado compost. Este producto proporciona al suelo materia orgánica que influye en propiedades como la estructura, la agregación, la densidad, incrementa los flujos de agua, aire y calor, y aumenta la capacidad de intercambio catiónico y la capacidad tampón (Walsh y McDonnell, 2012). Por esta razón es usado principalmente como enmienda o acondicionador de suelos.

El proceso de compostaje se lleva a cabo en diferentes etapas; durante las primeras los microorganismos mineralizan y metabolizan el carbono orgánico simple produciendo dióxido de carbono (CO2), amoniaco (NH3), agua, ácidos orgánicos y calor; este último permite una rápida descomposición de proteínas, grasas, celulosa y hemicelulosa contenidas en los residuos vegetales (Dinca et al., 2019); además, las altas temperaturas alcanzadas durante el proceso de compostaje (>45° C) permiten el crecimiento de microorganismos termotolerantes, que generalmente son antagonistas de microorganismos patógenos de plantas (FAO, 2003).

Con base en la importancia de los residuos de la floricultura como un biorecurso secundario con potencial de revalaorización y una utilidad como enmienda de suelos y con beneficios a las propiedades de este, el objetivo de la esta investigación fue demostrar el efecto de la adición de compost de flores sobre algunas propiedades físicas (densidad aparente y porosidad total), químicas (carbono orgánico) y biológicas (respiración del suelo).

Materiales y métodos

Área de estudio

El estudio se llevó a cabo en la finca El Agrado (4°56'11" N y 74°05’23" W) ubicada en el municipio de Tabio, Cundinamarca, a una altitud de 2569 m s. n. m, con temperatura promedio de 14° C y precipitación promedio anual de 825 mm.

Establecimiento del experimento

Los compost usados en el experimento se obtuvieron a partir de residuos de tallos, flores y raíces de las especies dianthus (Dianthus barbatus) y girasol (Helianthus annuus L.). Se estableció un diseño experimental de medidas repetidas en el tiempo con dos factores correspondientes al tipo de compost y la dosis. Se realizó incorporación al suelo de tres compost, 100 % dianthus, 100 % girasol y mixto 50 % (V/V) dianthus - girasol, a dosis de 0, 8, 12 y 16 kg.m-2, y tres réplicas, para un total de 10 tratamientos y 30 unidades experimentales con un área de 14.4 m2.

Muestreos

Se llevaron a cabo tres ciclos de cultivo de girasol var. Sunrich de 11 semanas, en los cuales al inicio de cada siembra se incorporó el compost. Los tratamientos fueron evaluados en cuatro tiempos con intervalos de 11 semanas correspondientes a: (I) antes de iniciar el experimento, (II) final del primer ciclo, (II) final segundo ciclo y (IV) final del tercer ciclo. Las submuestras del suelo se recolectaron en zig-zag, a una profundidad entre 10-20 cm, luego se mezclaron para obtener una muestra homogénea de cada tratamiento.

Variables

En cada muestreo se evaluaron la densidad aparente por el método del cilindro, la porosidad total calculada con la relación entre densidad aparente y la densidad real en el suelo (Jaramillo, 2002). El carbono orgánico oxidable se evaluó por el método de walkley-black (NTC 5403). Por su parte, la respiración del suelo se evaluó por el método de cámara hermética con la cuantificación de CO2 liberado en 24 horas (Ohlinger, 1995). Adicionalmente, se realizó conteo de unidades formadoras de colonia (UFC) de bacterias solubilizadoras de fosfato en medio Pikovskaya (Banerjee et al., 2010) y bacterias fijadoras de nitrógeno en agar Jensen libre de nitrógeno (Kayasth et al., 2014).

Resultados

Densidad aparente

Los resultados obtenidos mostraron que el suelo sometido a los tratamientos presentó una tendencia a disminuir la densidad aparente a través del tiempo con respecto al valor inicial correspondiente a 1.14 g.cm3. Es importante resaltar que para el último tiempo, todos los tratamientos presentaron diferencia significativa (p<0.01) con respecto al testigo (Figura 1), lo que indica que los compost influyeron directamente en esta variable. Las mayores dosis aplicadas de los diferentes compost presentaron los menores valores de densidad aparente, siendo el suelo con aplicación de compost de dianthus a dosis de 12 kg.m-2 el que presentó el menor valor, con un promedio de 0.84 g. cm-3, lo que representa una disminución del 27 % del valor inicial correspondiente a 1.14 kg.m-2, seguido del suelo con aplicación de compost de girasol a dosis de 16 kg.m-2 con promedio de 0.95 g.cm-3, que representa una disminución del 25 % con respecto a 1.14 kg.m-2 del valor inicial (Figura 1).

Tendencia general de la densidad aparente del suelo con la incorporación de los diferentes compost en los cuatro tiempos y comparación entre dosis del mismo compost, n = 120. Letras distintas presentan diferencia significativa p<0.01. Barras desviasión estándar.

Figura 1: Tendencia general de la densidad aparente del suelo con la incorporación de los diferentes compost en los cuatro tiempos y comparación entre dosis del mismo compost, n = 120. Letras distintas presentan diferencia significativa p<0.01. Barras desviasión estándar.

Porosidad total

En la Tabla 1 se muestra que para el último tiempo el suelo con la incorporación de los tratamientos presentó diferencia significativa (p<0.01) con respecto al testigo, siendo el suelo con tratamiento de dianthus a dosis de 16 kg.m-2 el que presentó el mayor valor con incremento del 19 %, seguido del suelo con dianthus a dosis de 12 kg.m-2 con un incremento del 18 % con respecto al testigo. En la comparación entre dosis del mismo compost no se presentaron diferencias significativas.

Tabla 1: Promedio y desviasión estándar de la porosidad total del suelo con la incorporación de los diferentes compost evaluados

Letras distintas muestran diferencia significativa (P< 0.01); letras iguales no diferencia, n= 120. El tiempo 1 corresponde a una sola muestra para todos los tratamientos al ser inicial antes de la incorporación.

En comparación con el tiempo 1 al final del experimento el suelo con compost de dianthus a dosis de 16 kg.m-2 incrementó 23 %, el de dianthus a dosis de 12 kg.m-2 incrementó el 22 % de la porosidad, lo que conincide con los menores valores de densidad aparente reportados.

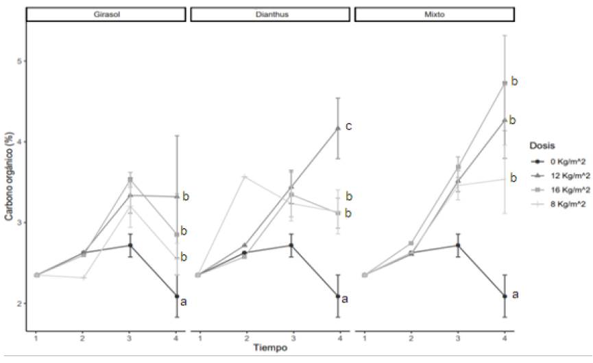
Carbono orgánico

El CO del suelo con la incorporación de los tres compost evaluados presentó diferencias significativas (p<0.01) con respecto al testigo para el tiempo 4, como se muestra en la Figura 2, indicando que la incorporación al suelo de materiares orgánicos como el compost permiten incrementar el carbono. En la comparación entre dosis del mismo compost se presentó diferencia significativa (p<0.01) únicamente en el suelo con incorporación de compost de dianthus, en la que los mayores resultados los mostró la dosis de 12 kg.m-2 con promedio de 4.2%, lo cual representa un incremento del 35 % con respecto a las dosis de 16 y 8 kg.m-2.

Tendencia general del carbono orgánico del suelo, comparación entre compost y dosis por tiempo, n = 120. Letras iguales no presentan diferencia significativa; letras distintas presentan diferencia significativa p< 0.01. Barras desviación estándar.

Figura 2: Tendencia general del carbono orgánico del suelo, comparación entre compost y dosis por tiempo, n = 120. Letras iguales no presentan diferencia significativa; letras distintas presentan diferencia significativa p< 0.01. Barras desviación estándar.

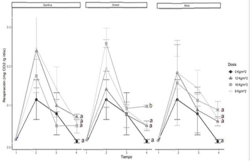
Respiración en el suelo

En la Figura 4 se observa el efecto en el suelo de la incorporación de los diferentes compost sobre la respiración a través del tiempo. En el tiempo 4 no se observaron diferencias significativas (p<0.01) entre los tratamientos con respecto al control, el cual registró en promedio 0.015 mgCO2. g"1.día_1. En la comparación entre dosis del mismo compost, no se presentaron diferencias significativas (p<0.01) en dianthus y mixto, mientras que en girasol la dosis de 16 kg.m-2 con un promedio de 0.08 mgCO2. g-1.día-1 presentó diferencia significativa con respecto a las dosis de 8 kg.m-2 y 12 kg.m-2 con un valor de 0.06 mgCO2.g-1.día-1, lo que indica un incremento del 33 % en la respiración.

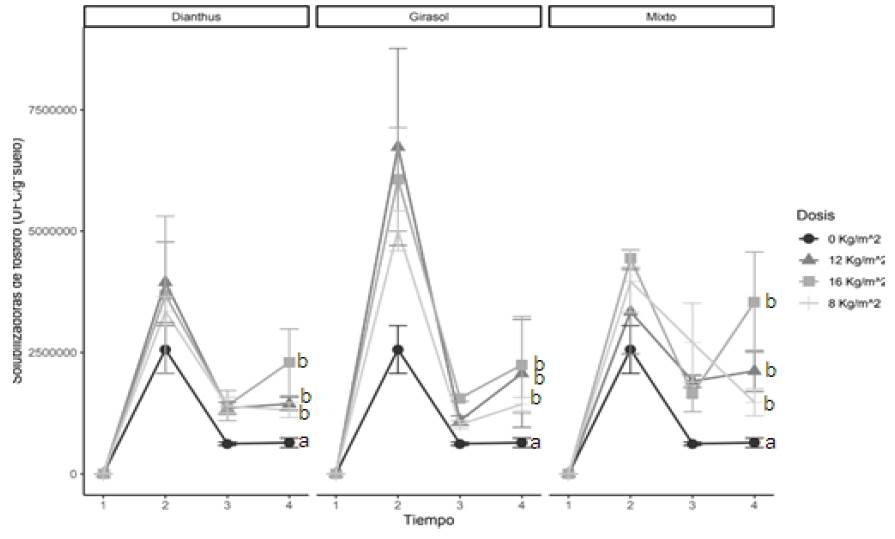
Tendencia general de las UFC de bacterias solubilizadoras de fosfatos, n=120. Letras iguales no presentan diferencias significativas; letras distintas presentan diferencia significativa p<0.01. Barras desviación estándar.

Figura 4: Tendencia general de las UFC de bacterias solubilizadoras de fosfatos, n=120. Letras iguales no presentan diferencias significativas; letras distintas presentan diferencia significativa p<0.01. Barras desviación estándar.

Bacterias solubilizadoras de fosfatos y fijadoras de nitrógeno: En la Figura 4 se observa el efecto de los diferentes tratamientos sobre las UFC de bacterias solubilizadoras de fosfato. Todos los tratamientos en el tiempo 4 mostraron diferencias significativas (p<0.01) con respecto al testigo, el cual presentó promedio de 0.64 X 106 UFC.g-1 suelo. En la comparación entre dosis del mismo compost no se presentaron diferencias significativas (p<0.01). No obstante, en el tiempo 4 la incorporación de los tres compost a la dosis de 16 kg.m-2 mostraron los mayores valores, con promedio de 3.5 X 106, 2.24 X 106 y 2.29 X 106 UFC.g-1 suelo para mixto, dianthus y girasol, respectivamente.

Las UFC de bacterias solubilizadoras de fosfatos, evidencian una tendencia a incrementar entre el tiempo 1 y 2, mientras que entre el tiempo 2 y 3 hay una tendencia de disminución y entre el tiempo 3 y 4 incrementa nuevamente, a excepción del dianthus y mixto de 8 kg.m-2 (Figura 4).

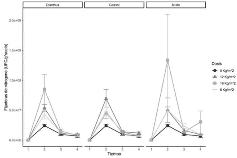
En la Figura 5 se observa el efecto de los tratamientos sobre las UFC de bacterias fijadoras de nitrógeno. En el tiempo 4, todos los tratamientos presentaron diferencias significativas (p<0.01) con respecto al testigo, el cual mostró un promedio de 6.8 x 106 UFC.g-1 suelo. En la comparación entre dosis del mismo compost se presentaron diferencias significativas así: en dianthus, la dosis de 12 kg.m-2 (1.189 x 107 UFC.g-1 suelo) con respecto a 8 kg.m-2 (7.87 x 106 UFC.g-1 suelo) y 16 kg.m-2 (7.73 x 106 UFC.g-1 suelo). En girasol, la dosis de 12 kg.m-2 (9.194 x 106 UFC.g-1 suelo) con respecto a 8 kg.m-2 (7.47 x 106 UFC.g-1 suelo) y 16 kg.m-2 (7.66 x 106 UFC.g-1 suelo). En mixto, la dosis de 16 kg.m-2 (3.025 x 107 UFC.g-1 suelo) con respecto a 8 kg.m-2 (8.31 x 106 UFC.g-1 suelo) y 12 kg.m-2 (9.39 x 106 UFC.g-1 suelo).

Tendencia general de las UFC de bacterias fijadoras de nitrógeno, n = 120. Barras desviación estándar.

Figura 5: Tendencia general de las UFC de bacterias fijadoras de nitrógeno, n = 120. Barras desviación estándar.

Discusión

La incorporación de compost al suelo permite mejorar las propiedades de este y se ha reportado que con esta práctica se puede reducir la densidad aparente, incrementar la tasa de infiltración, la conductividad hidráulica, el contenido de agua, la estabilidad estructural y la porosidad (Kranz, McLaughlin, Johnson, Miller y Heitman, 2020). Esto se debe principalmente al aporte de materia orgánica y al incremento de la actividad de microorganismos en el suelo (Delgado, Mendoza, González, Tadeo y Martín, 2019). Es importante resaltar que la materia orgánica está compuesta principalmente de carbono orgánico, representado en un 60% en masa (FAO, 2017).

El carbono orgánico tiene influencia importante en la física del suelo debido a la relación existente con los agregados del suelo. La incorporación de materia orgánica al suelo permite un incremento de los poros de mayor tamaño, lo que contribuye a disminuir la densidad aparente y a incrementar la porosidad (Martínez et al., 2008); autores como Carter et al. (2004) demostraron que después de un año de aplicación de compost, se presenta un aumento en el volumen de macroporos (> 50 μm) en comparación con el suelo sin aplicación de compost, lo cual permite un mejor establecimiento de las raíces de las plantas.

Los resultados de la densidad aparente y la porosidad obtenidos en la presente investigación coinciden con los de Cuevas et al. (2006), quienes evaluaron diferentes dosis de aplicación de compost de lodos de plantas de tratamiento de aguas residuales. Los autores reportaron que a medida que incrementa la dosis del compost, disminuye la densidad aparente, lo cual es atribuido a que se genera una mayor macroporosidad por la materia orgánica incorporada, además de mayor agregación e incremento en la retención de humedad y la porosidad. El incremento de la materia orgánica permite generar mayor actividad de microorganismos, la cual está asociada a la estabilización de los agregados del suelo y al incremento de los espacios porosos (Kumar, Kaushal, Kaur y Gulati, 2020). Generalmente los microorganismos como hongos y bacterias permiten generar complejos estables entre las arcillas y la materia orgánica por la acción de los polisacáridos y la degradación de materiales húmicos (Umer y Rajab, 2012).

Otros autores como Pérez et al. (2017) evaluaron el efecto de diferentes dosis de compost elaborados a partir de residuos de caña de azúcar sobre algunas propiedades del suelo. Los autores reportaron que el suelo con mayor dosis de aplicación (15 ton.ha- 1) presentó la menor densidad aparente, con una disminución del 13 % comparado con el testigo sin aplicación. Igualmente, los autores indican que al disminuir la densidad aparente también lo hace la compactación, lo cual genera una mayor agregación y aireación en el suelo.

Al incrementar la materia orgánica del suelo, también lo hace el carbono orgánico, el cual es esencial para la actividad biológica del suelo, usado principalmente por los microorganismos como fuente de energía (Martínez et al., 2008). Los resultados expuestos en esta investigación demuestran que el aporte del compost a las dosis evaluadas incrementa el carbono orgánico sin importar el tipo de material y la cantidad incorporada al suelo, sin embargo, este aporte de CO es lábil, por lo cual se mineraliza rápido y posiblemente una pequeña fracción llegue a humus luego de mucho tiempo (FAO, 2003). Cuando se incorporan materiales orgánicos al suelo se forma el humus lábil que funciona principalmente como alimento para los microorganimos. Se sabe que aproximadamente el 25 % del humus es lábil, lo cual permite mejorar la estructuración del suelo y la actividad biológica de este (Julca, Meneses, Blas y Bello, 2006).

Resultados similares a los presentados en esta investigación fueron reportados por Chen et al. (2018), quienes evidenciaron cambios a largo plazo sobre el CO después de la adición de enmiendas orgánicas, registrando incrementos en el contenido final del 49 % en comparación con el control no fertilizado. Los autores atributeron este resultado a las variaciones de los contenidos de CO iniciales del suelo, al clima y a la textura. Por otro lado (Eldrige et al., 2018) demostraron incrementos superiores al 30 % de CO luego de adiciones de compost al suelo con respecto a prácticas de manejos tradicionales de cultivos, como la aplicación de fertilizantes de síntesis, por ejemplo la urea.

Como se mencionó, el carbono orgánico aportado por el compost influye sobre la actividad biológica, la cual se evidencia por la respiración en el suelo, que está relacionada directamente con la actividad de microorganismos y su tasa de crecimiento (Guerrero et al., 2012). Autores como Borken et al. (2002) reportan que la tasa de respiración en los primeros 20 cm de suelos forestales tratados con compost aumenta a lo largo de dos años, pero en determinados momentos disminuye como consecuencia de la estabilización de la respuesta al tratamiento y de variaciones de temperatura y humedad. La respiración también está influenciada por variables como la composición del material vegetal compostado, la relación C/N del compost, el suelo y la concentración de nutrientes como el fósforo, el potasio y el calcio (Kebler, 2010).

La humedad del suelo juega un papel importante en la respiración, y para esta investigación se evidenció una disminución de esta variable entre los tiempos 2 y 3 (Figura 3), debido, posiblemente, al manejo de la humedad que se le da al cultivo de girasol, el cual, a partir de la semana 6 después de siembra, se reduce, registrando valores de 10-12 Cbar hasta terminar el ciclo de producción, hecho que puede estar afectando la actividad microbiana por falta de humedad, llevando a una disminución en la respiración.

Tendencia general de la respiración en el suelo, comparación de compost y dosis en los diferentes tiempos de muestreo, n=120. Letras iguales no presentan diferencia significativa; letras distintas presentan diferencia significativa p≤0.01. Barras desviación estándar.

Figura 3: Tendencia general de la respiración en el suelo, comparación de compost y dosis en los diferentes tiempos de muestreo, n=120. Letras iguales no presentan diferencia significativa; letras distintas presentan diferencia significativa p≤0.01. Barras desviación estándar.

El compost también influye sobre la composición de la comunidad bacteriana en el suelo como resultado de la interacción entre dos mecanismos: la transferencia de nutrientes que estimulan el microbiota ya presente en el suelo y la transferencia de bacterias (Borken et al., 2002). Autores como Yang et al. (2019) reportan que, con el ingreso de microorganismos al suelo por medio del compost, se favorecen procesos de mineralización, solubilización y disposición de nutrientes. Adicionalmente, el aumento de la densidad microbiana se relaciona con el fortalecimiento de las relaciones entre los microorganismos, como la competencia y el antagonismo, que son de especial interés en el control de posibles patógenos presentes en el suelo (Piquerez et al., 2006).

El aumento de la densidad de bacterias solubilizadores de fosfato y fijadoras de nitrógeno está relacionado con el hecho de que, con esta actividad, algunos grupos participan en los procesos de descomposición de la materia orgánica en el compostaje y llegan al suelo tras la aplicación del producto, aumentando así la densidad y diversidad microbiana (Nozhevnikova et al., 2019). Adicionalmente, otros microorganismos con estas actividades, que posiblemente se encuentren naturalmente en el suelo, pueden aumentar su número y, en consecuencia, incrementar la disponibilidad de nutrientes (Borken et al., 2002).

Los efectos de la aplicación de compost en el suelo sobre la densidad bacteriana pueden ser observados en el corto plazo, como lo reportado por Piquerez et al. (2006) en el estudio del efecto de diversos compost sobre la comunidad microbiana por medio del análisis sobre la respiración del suelo, conteos de UFC y actividades enzimáticas. En otros casos estos efectos son más visibles al mediano plazo, como lo reportado por Borken et al. (2002), que registraron variaciones a lo largo de dos años; o al largo plazo, según lo observado por Hartmann et al. (2015), tras quince años de estudio en comparación con suelos tratados con fertilizantes de síntesis química.

Conclusiones

La incorporación de compost al suelo mostró beneficios en las propiedades químicas, físicas y biológicas, aumentando el contenido de CO, disminuyendo la densidad aparente e incrementando la presencia de bacterias solubilizadoras de fosfato y fijadoras de nitrógeno.

Por otro lado, los residuos de flores son un potencial recurso vegetal para el proceso de compostaje, ya que resulta en un producto estable para ser usado como enmienda del suelo y para mejorar sus propiedades.

Referencias

  1. Asocolflores. (2002). Guía ambiental para la floricultura. https://repository.agrosavia.co/handle/20.500.12324/13087 [URL] 🠔
  2. Barrientos, F.; Alvarado, M. y Flores, J. (2011). Cálculo de costos de producción de rosas de corte en invernadero en la sabana de Bogotá. En: V. Flórez (Ed.), Sustratos, manejo del clima, automatización y control en sistemas de cultivo sin suelo (pp. 15-36). Bogotá: Editorial Universidad Nacional de Colombia 🠔
  3. Banerjee, S.; Palit, R.; Sengupta, C. y Standing, D. (2010). Stress induced phosphate solubilization; Arthrobacter Sp. and Bacillus sp. isolated from tomato rhizosphere. Australian Journal of crop science, 4(6), 378. https://search.informit.org/doi/abs/10.3316/informit.414789554792811 [URL] 🠔
  4. Borken, W.; Muhs, A.; y Beese, F. (2002). Application of compost in spruce forests: Effects on soil respiration, basal respiration and microbial biomass. Forest Ecology and Management, 159(1-2), 49-58. https://doi.org/10.1016/S0378-1127(01)00709-5 [URL] 🠔
  5. Cámara de comercio de Bogotá. (2010). Protocolo técnico y logístico flores. Proyecto Merlin. https://bibliotecadigital.ccb.org.co/handle/11520/20423. [URL] 🠔
  6. Carter, M.; Sanderson, J. y MacLeod, J. (2004). Influence of compost on the physical properties and organic matter fractions of a fine sandy loam throughout the cycle of a potato rotation. Canadian Journal of Soil Science, 84, 211-218. https://doi.org/10.4141/S03-058 [URL] 🠔
  7. Ceniflores. (2021). Sector floricultor. https://ceniflores.org/sector-floricultor/ [URL] 🠔
  8. Chen, Y; Camps-Arbestain, M.; Shen, Q.; Singh, B. y Cayuela, M. (2018). The long-term role of organic amendments in building soil nutrient fertility: A meta-analysis and review. Nutrient Cycling in Agroecosystems, 111(2-3), 103-125. https://doi.org/10.1007/s10705-017-9903-5 [URL] 🠔
  9. Cuevas, J.; Seguel, O.; Ellies, A. y Dorner J. (2006). Efectos de las enmiendas orgánicas sobre las propiedades físicas del suelo con especial referencias a la adición de lodos urbanos. Revista de la Ciencia del Suelo y Nutrición Vegetal, 6(2),1-12. http://dx.doi.org/10.4067/S0718-27912006000200001 [URL] 🠔
  10. Dinca, M.; Ferdes, M.; Paraschiv, G.; Ungureanu, N.; Zabava, B.; Ionescu, M. y Moiceanu, G. (2019). Recovery of organic waste through composting process. Acta Technicacorviniensis - Bulletin of Engineering, 12(1), 119-122. https://acta.fih.upt.ro/pdf/2019-1/ACTA-2019-1-24.pdf [URL] 🠔
  11. Delgado, D. (2017). Aplicación de enmiendas orgánicas para la recuperación de propiedades físicas del suelo asociadas a la erosión hídrica. Lámpsakos, 17, 77-82. https://doi.org/10.21501/21454086.1907 [URL] 🠔
  12. Delgado, M.; Mendoza, K. L.; González, M. I.; Tadeo, J. L. y Martín, J. V. (2019). Evaluación del proceso de compostaje de residuos avícolas empleando diferentes mezclas de sustratos. Revista Internacional de Contaminación Ambiental, 35(4), 965-977. https://doi.org/10.20937/rica.2019.35.04.15 [URL] 🠔
  13. Eldridge, S. M.; Yin-Chan, K.; Donovan, N. J.; Saleh, F.; Orr, L. y Barchia, I.. (2018). Agronomic and economic benefits of green-waste compost for peri-urban vegetable production: Implications for food security. Nutrient Cycling in Agroecosystems , 111(2-3), 155-174. https://doi.org/10.1007/s10705-018-9931-9 [URL] 🠔
  14. FAO. (2003). On farm composting methods. Land and water discussion paper. Roma. https://vtechworks.lib.vt.edu/bitstream/handle/10919/65466/398_on_farm_composting.pdf?sequence=1 [URL] 🠔
  15. FAO. (2017). Carbono orgánico del suelo el potencial oculto. Organización de las Naciones Unidas para la Alimentación y Agricultura, Roma, Italia. https://www.fao.org/3/i6937s/i6937s.pdf [URL] 🠔
  16. Guerrero, P.; Quintero, R.; Espinoza, V.; Benedicto, G. y Sánchez, M. (2012). Respiración de CO2 como indicador de la actividad microbiana en abonos organicos de Lupinus. Terra Latinoamericana, 30(4), 355-362. https://www.redalyc.org/articulo.oa?id=57325814007 [URL] 🠔
  17. Jaramillo, D. (2002). Introducción a la ciencia del suelo. Medellín: Universidad Nacional de Colombia - Facultad de Ciencias. 🠔
  18. Julca, A.; Meneses, L.; Blas, S. R. y Bello, S. (2006). La materia orgánica, importancia y experiencias de su uso en la agricultura. Idesia, 24(1), 49-61. doi:http://dx.doi.org/10.4067/S0718-34292006000100009 [URL] 🠔
  19. Kayasth, M.; Gera, R.; Dudeja, S. S.; Sharma, P. K. y Kumar, V. (2014). Studies on salinization in Haryana soils on free-living nitrogen-fixing bacterial populations and their activity. Journal of Basic Microbiology, 54(3), 170-179. https://doi.org/10.1002/jobm.201200158 [URL] 🠔
  20. Kebler, M. (2010). What is recalcitrant soil organic matter? Environmental Chemistry, 7(4), 320-332. https://doi.org/10.1071/EN10006 [URL] 🠔
  21. Kranz, C. N.; McLaughlin, R. A.; Johnson, A.; Miller, G. y Heitman, J. L. (2020). The effects of compost incorporation on soil physical properties in urban soils: A concise review. Journal of Environmental Management, 201. doi:https://doi.org/10.1016/j.jenvman.2020.110209 [URL] 🠔
  22. Kumar, Y.; Kaushal, D.; Kaur, G. y Gulati, D. (2020). Effect of soil organic matter on physical properties of soil. Just Agriculture, 1(2), 25-30. https://www.researchgate.net/publication/360560644_Effect_of_soil_organic_matter_on_physical_properties_of_soil [URL] 🠔
  23. Ministerio de Agricultura y Desarrollo Rural. (2019). Cadena de flores. Dirección de cadenas agrícolas y forestales. https://sioc.minagricultura.gov.co/Flores/Documentos/2019-060%20Cifras%20Sectoriales.pdf [URL] 🠔
  24. Martínez, E.; Fuentes, J. y Acevedo, E. (2008). Carbono orgánico y propiedades del suelo. Revista de la Ciencia del Suelo y Nutrición Vegetal , 8(1),68-96. http://dx.doi.org/10.4067/S0718-27912008000100006 [URL] 🠔
  25. Nozhevnikova, A. N.; Mironov, V. V.; Botchkova, E. A.; Litti, Y. V. y Russkova, Y. I. (2019). Composition of a microbial community at different stages of composting and the prospects for compost production from municipal organic waste. Applied Biochemistry and Microbiology, 55(3), 199-208. https://doi.org/10.1134/S0003683819030104 [URL] 🠔
  26. Öhlinger, R. (1995). Soil respiration by titration. En: Methods in soil biology (pp. 95-98). Berlín: Springer. 🠔
  27. Pérez, H.; Rodríguez, I.; Moreno, A. y Jara, W. (2017). Efecto del compost con propiedades físico-químicas en un suelo dedicado al cultivo de caña de azúcar en el ingenio Valdéz, Ecuador. Revista Científica Agroecosistemas, 5(2), 55-65. https://doi.org/10.48190/cumbres.v3n1a15 [URL] 🠔
  28. Piquerez, A.; Edel-Hermann, V.; Alabouvette, C. y Steinberg, C. (2006). Response of soil microbial communities to compost amendments. Soil Biology and Biochemistry, 38(3), 460-470. https://doi.org/10.1016/j.soilbio.2005.05.025 [URL] 🠔
  29. Umer, M. I. y Rajab, S. M. (2012). Correlation between aggregate stability and microbiological activity in two Russian soil types. Eurasian Journal of Soil Science, 1, 45-50. https://dergipark.org.tr/tr/download/article-file/62778 [URL] 🠔
  30. Walsh, E. y McDonnell, K. (2012). The influence of added organic matter on soil physical, chemical, and biological properties: A small-scale and short-time experiment using straw. Archives of Agronomy and Soil Science, 58(1), S201-S205. https://doi.org/10.1080/03650340.2012.697999 [URL] 🠔
  31. Yang, W.; Yang, Z.; Guan, Y.; Zhai, C., Shi, D.; Chen, J. y Gu, S. (2019). Dose- dependent effect of compost amendment on soil bacterial community composition and co-occurrence network patterns in soybean agroecosystem. Archives of Agronomy and Soil Science , 66(8), 1027-1041. https://doi.org/10.1080/03650340.2019.1651450 [URL] 🠔