Acta Agronómica
0120-2812
Universidad Nacional de Colombia
https://doi.org/10.15446/acag.v71n4.98032

Recibido: 30 de agosto de 2021; Aceptado: 8 de mayo de 2023

Principal component analysis of agronomic and yield traits of six tenera oil palm progenies in Southern Thailand

Análisis de los componentes principales de las características agronómicas y de rendimiento de seis progenies de la palma aceitera tenera en el sur de Tailandia

P. Popet, 1T. Eksomtramage, 1J. Anothai, 1T. Khomphet, 2

Prince of Songkla University, Hat Yai, Thailand.pilalak.gift@gmail.com; theera.e@psu.ac.th; jakarat.a@psu.ac.th Prince of Songkla University Hat Yai Thailand
School of Agricultural Technology and Food Industry, Walailak University, Tha Sala, Thailand.; tanetkie@gmail.com Walailak University School of Agricultural Technology and Food Industry Walailak University Tha Sala Thailand

Abstract

Agronomic and yield traits of oil palm progenies are regularly analyzed by plant breeders and farmers. The objectives of this study were to evaluate the agronomic and yield traits of six tenera oil palm progenies collected in Southern Thailand, and to group the progenies based on their agronomic and yield traits. The experiment used a completely randomized design with 6 treatments (progenies), where each treatment consisted of 3 replications. The agronomic and yield traits were analyzed for variances and principal components. The results found show that most agronomic and yield traits exhibited significant differences among the oil palm progenies. In the biplot of agronomic traits between PC1 and PC2 with two groups of oil palms, the first group dominated in petiole diameter, leaf dry weight, leaf length, rachis length, petiole width, and leaf area, while the second group dominated in leaf number and leaf width. In the biplot of yield traits between PC1 and PC2 with two groups of oil palms, the first group dominated in bunch number, kernels per fruit and bunch, and average kernel weight, while the second group dominated in amount of oil per fruit and bunch, average fruit weight, and oil yield.

Keywords:

multivariate analysis, African oil palm, Elaeis guineensis.

Resumen

Las características agronómicas y de rendimiento de las progenies de palma aceitera son analizadas regularmente por fitomejoradores y agricultores. Los objetivos de este estudio fueron evaluar las características agronómicas y de rendimiento de seis progenies de palma aceitera tenera recolectadas en el sur de Tailandia, y agrupar las progenies en función de sus características agronómicas y los componentes del racimo. El experimento utilizó un diseño completamente al azar con 6 tratamientos (progenies), donde cada tratamiento constó de 3 repeticiones. Se analizaron las características agronómicas y de rendimiento de las varianzas y componentes principales. Los resultados obtenidos muestran que hubo diferencias significativas entre las progenies de palma aceitera en la mayoría de las características agronómicas y de rendimiento. En el biplot de rasgos agronómicos entre PC1 y PC2 con dos grupos de palma aceitera, el primer grupo dominó en diámetro del pecíolo, peso seco de la hoja, largo de la hoja, largo del raquis, ancho del pecíolo y área foliar, mientras que el segundo grupo dominó en número de hojas y ancho de la hoja. En el biplot de los componentes del racimo entre PC1 y PC2 con dos grupos de palma aceitera, el primer grupo dominó en número de racimos, granos por fruto y racimo y peso promedio de los granos, mientras que el segundo grupo dominó en cantidad de aceite por fruto y racimo, peso promedio de los frutos y rendimiento del aceite.

Palabras clave:

análisis multivariable, aceite de palma africana, Elaeis guineensis.

Introduction

Oil palm, also called African oil palm, Elaeis guineensis Jacq., is one of the most important oil crops that has been used as a staple food going as far back as 5000 years (Mielke, 2018). Oil palm has a higher quality oil and a greater yield potential than other oil-producing crops such as soybean, sunflower, and rapeseed (Nomanbhay et al., 2017). In Thailand, oil palm plays an important role as an economic oil crop. In 2020, Thailand exported 298 million tons of palm oil, with a value of 193 million USD (Office of Agricultural Economics, 2020). In that year, Thailand had 940 000 hectares of oil palm under cultivation, of which 83.23 % was in the southern part of the country (Khomphet et al., 2021). The tenera oil palm - the F1 hybrid of the maternal dura type and the paternal pisifera type - is widely grown as a commercial plantation throughout Southern Thailand. The tenera fruit type has a thick mesocarp, thin endocarp (shell), and rings on the endocarp fiber (Babu et al., 2017).

The bunch analysis of oil palm is essential to evaluate its oil yield. Oil palm evaluation in growth and yield parameters is required for several purposes, for example, to select elite and superior tenera oil palms for tissue culture, to select maternal dura palms for high-quality seed production, to select dura and pisifera parental palms for specific hybrid combinations, and to compare oil palm progenies from various parental combinations (Mandal, 2008; Oberthur et al., 2012). For cultivation, several tenera oil palm progenies have been created by private companies and government departments. Each progeny is dominant in various agronomic and yield traits. The progeny which dominates several traits is usually selected for planting in commercial plantations.

The principal component analysis (PCA) is a multivariate statistical method used in the analysis of data tables in which observations are illustrated by various inter-correlated quantitative dependent variables (Abdi and Williams, 2010). The PCA has been used in several oil palm studies for assessment of genetic diversity and classification into different groups (Suzana et al., 2020). This analysis can help plant breeders in the selection process by dividing large datasets into smaller components by looking for groups that are strongly inter-correlated to a variable set. Each component is described as a percentage of variation of the total variability (Das et al., 2017). Hence, the objectives of this study were to assess the agronomic and yield traits of six tenera oil palm progenies collected in Southern Thailand, and to group the progenies based on these traits. The results from this study will be useful for plant breeders and seed producers in Thailand.

Materials and methods

This study was conducted at the Oil Palm Collection Center of The Chaipattana Foundation in Trang Province, Thailand. The oil palms were collected as germplasm from several companies and farms throughout Southern Thailand, then they were planted in a triangle-shaped space of 9 x 9 x 9 m in August 2015. This study site belongs to a tropical climate zone, where the lowest average temperature is 19.8 °C (December), and the hottest temperature is 38.4 °C (March). The average rainfall is 1923 mm per year, with the highest rainfall occurring between August and October. The relative humidity ranges between 71 % and 84 % (Thai Meteorological Department, 2020). The study area of the oil palm plantation was 15 hectares. To maintain soil fertility, chemical fertilizers are applied four times a year based on soil analysis and nutrient consumption of the oil palm. Organic fertilizer is applied two to three times a year for improving the physical and biological properties of the soil. Ripe bunches -orange color bunches- are harvested every 15-20 days, and the oil palm fronds are cut during the bunch harvest. Soil properties at depths of 0-30 and 31-60 cm were pH = 4.86 and 5.07, organic carbon = 1.3 % and 0.64 %, cation exchange capacity = 3.74 and 3.43 cmol kg- 1, total nitrogen = 0.08 % and 0.04 %, available phosphorus = 5.56 and 4.13 mg kg-1, and exchangeable potassium = 0.13 and 0.11 mg kg-1.

Experimental design

The experiment was arranged as a completely randomized design with 6 treatments. Each treatment consisted of 3 replications, whit a 4-year-old oil palm as experimental unit. Six commercial oil palm progenies were used for the treatments: Nongped (NP), Surat Thani 2 (ST), Golden Tenera (GT), Yangambi (YG), Sup-PSU 1 (PSU), and Univanich (UN).

Data collection

Each oil palm tree was measured in terms of agronomic and yield traits. For the agronomic traits, the plant height (PH), stem diameter (SD), leaf length (LL), leaf width (LW), leaf number (LN), rachis length (RL), petiole diameter (PD), and petiole width (PW) were measured in the field, while the leaf area (LA) and leaf dry weight (LDW) were estimated by the calculation methods reported by Corley et al. (1971). For the yield traits, the bunch number (BN) was counted in the field. The selected bunches were harvested and transferred to the laboratory for analysis. The fresh fruit bunches (FFB) were weighed, and their fruits separated to analyze the oil yield (OY), average fruit weight (AFW), average kernel weight (AKW), fruits per bunch (F/B), kernels per bunch (K/B), shell per fruit (S/F), kernels per fruit (K/F), oil per fruit (O/F), and oil per bunch (O/B), by the method described by Mandal (2008) and Corley (2018). The experiment was conducted between January 2019 and June 2020.

Statistical analysis

The variables of agronomic and yield traits were analyzed, with the significant variables calculated as the principal component analysis. The variables were analysed by the R software for data analysis (version 3.6.1) with the agricolae, devtool, and factoextra packages (de Mendiburu, 2019; Wickham et al., 2020; Kassambara and Mundt, 2020).

Results

Analyses of variables of agronomic and yield traits

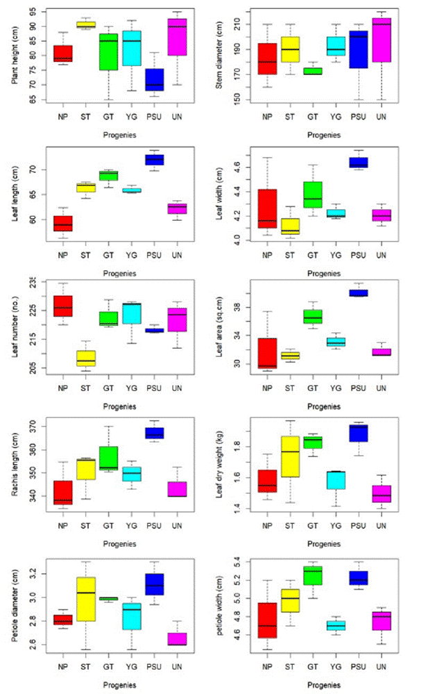
The results of the analysis of variance (ANOVA) of the agronomic traits of hybrid tenera oil palms are illustrated in Table 1 and the boxplot on the agronomic traits of six tenera oil palm progenies is presented in Figure 1. Most agronomic traits (LL, LW, LN, LA, RL, LDW, PD, and PW) were significantly different among the various oil palm progenies at p < 0.05 or 0.01. Only PH and PD were not significantly different among the various oil palm cultivars. The highest coefficient of variation (CV) was obtained from LW (35.84 %) and LA (35.84 %), and the lowest CV was obtained from RL (2.46 %).

Table 1: Analysis of variance of agronomic traits of six tenera oil palm progenies

Note: ns: non-significant difference, *, **: significant difference at p < 0.05 and 0.01, respectively. MSTr: mean square treatment, MSE: mean square error, CV: coefficient of variation, PH: plant height, SD: stem diameter, LL: leaf length, LW: leaf width, LN: leaf number, LA: leaf area, RL: rachis length, LDW: leaf dry weight, PD: petiole diameter, PW: petiole width.

Boxplot on agronomic traits of six tenera oil palm progenies. Means are illustrated as the black horizontal lines in each box. The upper and lower boundaries of the boxes indicate the 75th and 25th percentiles of data. The upper and lower whiskers indicate the maximum and minimum data points. NP: Nongped, ST: Surat Thani 2, GT: Golden Tenera, YG: Yangambi, PSU: Sup-PSU 1, UN: Univanich.

Figure 1: Boxplot on agronomic traits of six tenera oil palm progenies. Means are illustrated as the black horizontal lines in each box. The upper and lower boundaries of the boxes indicate the 75th and 25th percentiles of data. The upper and lower whiskers indicate the maximum and minimum data points. NP: Nongped, ST: Surat Thani 2, GT: Golden Tenera, YG: Yangambi, PSU: Sup-PSU 1, UN: Univanich.

The results of the analysis of variance of the yield traits of hybrid tenera oil palms are illustrated in Table 2 and the boxplot on the yield traits of six tenera oil palm progenies is presented in Figure 2. BN, OY, AFW, AKW, K/F, O/F, O/B, and K/B were significantly different among the oil palm progenies at p < 0.05 or 0.01, while FFB, F/B, and S/F were not significantly different among the oil palm cultivars. The highest CV was obtained from AFW (43.40 %), and the lowest CV was obtained from F/B (3.90 %). The significantly different agronomic and yield traits were calculated as principal component analysis to classify their groups and to find relationships between certain oil palm cultivars and their agronomic, and yield traits.

Table 2: Analysis of variance of yield traits of six tenera oil palm progenies

Note: ns: non-significant difference, *, **: significant difference at p < 0.05 and 0.01, respectively. MSTr: mean square treatment, MSE: mean square error, CV: coefficient of variation, FFB: fresh fruit bunch, BN: bunch number, OY: oil yield, AFW: average fruit weight, AKW: average kernel weight, F/B: fruits per bunch, K/B: kernels per bunch, S/F: shell per fruit, K/F: kernels per fruit, O/F: oil per fruit, and O/B: oil per bunch.

Boxplot on yield traits of six tenera oil palm progenies. Means are illustrated as the black horizontal lines in each box. The upper and lower boundaries of the boxes indicate the 75th and 25th percentiles of data. The upper and lower whiskers indicate the maximum and minimum data points. NP: Nongped, ST: Surat Thani 2, GT: Golden Tenera, YG: Yangambi, PSU: Sup-PSU 1, UN: Univanich.

Figure 2: Boxplot on yield traits of six tenera oil palm progenies. Means are illustrated as the black horizontal lines in each box. The upper and lower boundaries of the boxes indicate the 75th and 25th percentiles of data. The upper and lower whiskers indicate the maximum and minimum data points. NP: Nongped, ST: Surat Thani 2, GT: Golden Tenera, YG: Yangambi, PSU: Sup-PSU 1, UN: Univanich.

Principal component analyses of agronomic and yield traits

The details of eight components of agronomic traits are presented in Table 3. The eigenvalues of PC1 to PC3 are 4.70, 1.33, and 1.12, respectively, and their variances are 58.78 %, 16.61 %, and 13.99 %, respectively, representing 89.38 % of the components.

Table 3: Details of eight components of agronomic traits

The biplot between PC1 and PC2 of six tenera oil palm progenies and their agronomic traits is shown in Figure 3. This biplot illustrates two groups of oil palm samples according to their respective dominant agronomic traits. The first group (UN-1, UN-2, UN-3, PSU-1, PSU-2, and PSU-3) dominated in PD, LDW, LL, RL, PW, and LA, while the second group (GT-1 and ST-2) dominated in LN and LW.

Biplot between PC1 and PC2 of six tenera oil palm progenies and their agronomic traits. NP: Nongped, ST: Surat Thani 2, GT: Golden Tenera, YG: Yangambi, PSU: Sup-PSU 1, UN: Univanich, PH: plant height, SD: stem diameter, LL: leaf length, LW: leaf width, LN: leaf number, LA: leaf area, RL: rachis length, LDW: leaf dry weight, PD: petiole diameter, PW: petiole width.

Figure 3: Biplot between PC1 and PC2 of six tenera oil palm progenies and their agronomic traits. NP: Nongped, ST: Surat Thani 2, GT: Golden Tenera, YG: Yangambi, PSU: Sup-PSU 1, UN: Univanich, PH: plant height, SD: stem diameter, LL: leaf length, LW: leaf width, LN: leaf number, LA: leaf area, RL: rachis length, LDW: leaf dry weight, PD: petiole diameter, PW: petiole width.

The details of eight components of yield traits are presented in Table 4. The eigenvalues of PC1 to PC3 were 3.34, 1.87, and 1.38, respectively, and their variances were 41.75 %, 23.21 %, and 17.30 %, respectively, representing 82.37 % of the components. The biplot between PC1 and PC2 of six tenera oil palm progenies and their yield traits is shown in Figure 4. This biplot illustrates two groups of oil palm samples according to their respective dominant yield traits. The first group (PSU-1, PSU-2, YG-2, YG-3, NP-2, and ST-1) dominated in BN, K/F, K/B, and AKW, while the second group (PSU-3, UP-1, UP-3, and UN-1) dominated in O/F, O/B, AFW, and OY.

Table 4: Details of eight components of yield traits

Biplot between PC1 and PC2 of six tenera oil palm progenies and their yield traits. NP: Nongped, ST: Surat Thani 2, GT: Golden Tenera, YG: Yangambi, PSU: Sup-PSU 1, UN: Univanich, PH: plant height, SD: stem diameter, LL: leaf length, LW: leaf width, LN: leaf number, LA: leaf area, RL: rachis length, LDW: leaf dry weight, PD: petiole diameter, PW: petiole width.

Figure 4: Biplot between PC1 and PC2 of six tenera oil palm progenies and their yield traits. NP: Nongped, ST: Surat Thani 2, GT: Golden Tenera, YG: Yangambi, PSU: Sup-PSU 1, UN: Univanich, PH: plant height, SD: stem diameter, LL: leaf length, LW: leaf width, LN: leaf number, LA: leaf area, RL: rachis length, LDW: leaf dry weight, PD: petiole diameter, PW: petiole width.

Discussion

PCA is a useful tool for oil palm cluster analysis and has been used in several studies on oil palm (Khomphet et al., 2018). PCA measures the importance of each component and their contribution to the total variance. The components making a large contribution may assist plant breeders in identifying limiting traits that can be utilized in hybridization and selection processes (Sapey et al., 2017). The first three PCs are the most important in reflecting the variation patterns among variables, and the characteristics associated with these are more useful in differentiating the variables (Das et al., 2017). In this study, the tenera oil palm progenies were classified into few groups according to their agronomic and yield traits.

In Thailand, commercial oil palm progenies are produced by only a few companies, and the parent plants in breeding programs are obtained from the same genetic sources (Khomphet et al., 2017). Hence, the progenies from different companies might have the same genetic materials.

Conclusions

The analysis of variance presented here indicates that most agronomic and yield traits are significantly different among the various oil palm progenies. The biplot of agronomic traits between PC1 and PC2 illustrates two groups of oil palms. The first group dominated in petiole diameter, leaf dry weight, leaf length, rachis length, petiole width, and leaf area, while the second group dominated in leaf number and leaf width. The biplot between PC1 and PC2 of yield traits illustrates two groups of oil palms. The first group dominated in bunch number, kernels per fruit, kernels per bunch, and average kernel weight, while the second group dominated in oil per fruit, oil per bunch, average fruit weight, and oil yield. Principal component analysis is the useful tool for classifying oil palm tree according to their traits. The results can be used as a parental selection in oil palm breeding program.

Acknowledgements

Acknowledgements

We would like to thank to the Oil Palm Collection Center of The Chaipattana Foundation in Trang Province, Thailand, for supporting the oil palm materials.

References

  1. Abdi, H. and Williams, L. J. (2010). Principal component analysis. WIREs Computational Statistics, 2(4), 433-459. https://doi.org/10.1002/wics.101 [URL] 🠔
  2. Babu, B. K.; Mathur, R. K.; Kumar, P. N.; Ramajayam, D.; Ravichandran, G.; Venu, M. V. B. and Babu, S. S. (2017). Development, identification, and validation of CAPS marker for SHELL trait which governs dura, pisifera and tenera fruit forms in oil palm (Elaeis guineensis Jacq.). PLoS ONE, 12, e0171933. https://doi.org/10.1371/journal.pone.0171933 [URL] 🠔
  3. Corley, R. H. V. (2018). Study of bunch analysis 1 - variation within and between palms. Journal of Oil Palm Research, 30(2), 196-205. https://doi.org/10.21894/jopr.2018.0018 [URL] 🠔
  4. Corley, R. H. V.; Hardon, J. J. and Tan, G. Y. (1971). Analysis of growth of the oil palm (Elaeis guineensis Jacq.) I. Estimation of growth parameters and application in breeding. Euphytica, 20, 307-315. https://doi.org/10.1007/BF00056093 [URL] 🠔
  5. Das, S.; Das, S. S.; Chakraborty, I.; Roy, N.; Nath, M. K. and Sarma, D. (2017). Principal component analysis in plant breeding. Biomolecule Reports, 3, 1-3. https://www.researchgate.net/publication/327040954_Principal_Component_Analysis_in_Plant_Breeding#:~:text=30%2C31%5D.-PCA%20is%20also%20used%20to%20estimate%20the%20most%20infuential%20%20traits,of%20various%20traits.%20 [URL] 🠔
  6. De Mendiburu, F. (October 18, 2019). Agricolae: Statistical Procedures for Agricultural Research. https://cran.r-project.org/web/packages/agricolae/index.html [URL] 🠔
  7. Kassambara, A. and Mundt, F. (December 21, 2020). Factoextra: Extract and Visualize the Results of Multivariate Data Analyses. https://cran.r-project.org/web/packages/factoextra/index.html [URL] 🠔
  8. Khomphet, T.; Eksomtramage, T. and Duangpan S. (2017). Assesment of genetic variability of open-pollinated oil palm in Southern Thailand using SSR markers. Pakistan Journal of Biotechnology, 14(3), 292-298. https://www.pjbt.org/index.php/pjbt/article/view/526 [URL] 🠔
  9. Khomphet, T.; Eksomtramage, T. and Duangpan S. (2018). Genetic variation of improved oil palm Tenera hybrid populations using morphological and SSR markers. Songklanakarin Journal of Science and Technology, 40(6), 1329-1335. https://www.researchgate.net/publication/331997433_Genetic_variation_of_improved_oil_palm_tenera_hybrid_populations_using_morphological_and_SSR_markers [URL] 🠔
  10. Khomphet, T.; Eksomtramage, T.; Anothai, J. and Popet, P. (2021). Effects of perennial intercrops on oil palm agronomic and yield traits. Indian Journal of Agricultural Research, 55(3), 317-322. https://doi.org/10.18805/IJARe.A-610 [URL] 🠔
  11. Mandal, P. K. (2008). Bunch Analysis of Oil Palm. National Research Centre for Oil Palm. https://krishi.icar.gov.in/jspui/bitstream/123456789/3911/1/Bunch%20Analysis%20of%20 Oil%20Palm.pdf [URL] 🠔
  12. Mielke, T. (2018). Oil World Annual. ISTA Mielke GmbH. https://www.oilworld.biz/t/publications/annual [URL] 🠔
  13. Nomanbhay, S.; Salman, B.; Hussain, R. and Ong, M. Y. (2017). Microwave pyrolysis of lignocellulosic biomass - a contribution to power Africa. Energy, Sustainability and Society, 7(1), 1-23. https://doi.org/10.1186/s13705-017-0126-z [URL] 🠔
  14. Oberthür, T.; Donough, C. R.; Indrasuara, K.; Dolong, T. and Abdurrohim, G. (2012). Successful intensification of oil palm plantations with best management practices: impacts on fresh fruit bunch and oil yield. Conference: International Planters Conference, Kuala Lumpur, Malaysia. https://www.researchgate.net/publication/271854203_Successful_Intensification_of_Oil_Palm_Plantations_with_Best_Management_Practices_Impacts_on_Fresh_Fruit_Bunch_and_Oil_Yield [URL] 🠔
  15. Office of Agricultural Economics. (March 17, 2020). Statistical export of oil palm. https://www.oae.go.th/view/1/%E0%B8%AB%E0%B8%99%E0%B9%89%E0%B8%B2%E0%B9%81%E0%B8% A3%E0%B8%81/TH-TH [URL] 🠔
  16. Sapey, E.; Adusei-Fosu, K.; Darkwah, D. O. and Agyei-Dwarko, D. (2017). Multivariate analysis of bunch yield and vegetative traits of oil palm germplasm conserved at Oil Palm Research Institute (OPRI), Ghana. Journal of Plant Breeding and Crop Science, 4, 231-236. https://www.semanticscholar.org/paper/Multivariate-Analysis-of-Bunch-Yield-and-Vegetative-Sapey-Adusei-Fosu/9e4c0c1eb93bfcb236d97f80d9757722bb5a8691 [URL] 🠔
  17. Suzana, M.; Zulkifli, Y.; Marhalil, M.; Rajanaidu, N. and Ong- Abdullah, M. (2020). Principal component and cluster analyses on Tanzania oil palm Elaeis guineensis Jacq. germplasm. Journal of Oil Palm Research , 32(1), 24-33. https://doi.org/10.21894/jopr.2020.0016 [URL] 🠔
  18. Thai Meteorological Department. (December 25, 2020). Provincial Climate. https://www.tmd.go.th/province.php?id=77 [URL] 🠔
  19. Wickham, H.; Hester, J.; Chang, W. and Bryan, J. (December 18, 2020). Devtools: Tools to make developing R packages easier. https://cran.r-project.org/web/packages/devtools/index.htm [URL] 🠔