Acta Biológica Colombiana
0120-548X
Universidad Nacional de Colombia, Facultad de Ciencias, Departamento de Biología
https://doi.org/10.15446/abc.v22n3.62631

Recibido: 13 de febrero de 2017; Revision Received: 12 de abril de 2017; Aceptado: 1 de agosto de 2017

TOXICIDAD AGUDA DEL INSECTICIDA CIPERMETRINA (CYPERMON ® 20 EC) EN CUATRO ESPECIES DE ANUROS COLOMBIANOS

Acute Toxicity of the Insecticide Cypermethrin (CYPERMON ® 20 EC) on Four Species of Colombian Anurans

T. TRIANA VELASQUEZ, 1L. HENAO MUÑOZ, 1M. BERNAL BAUTISTA, 1*

Grupo de Herpetología, Eco-Fisiología y Etologia, Departamento de Biología, Universidad del Tolima, Altos de Santa Helena. Ibagué, Colombia Universidad del Tolima Grupo de Herpetología, Eco-Fisiología y Etologia Departamento de Biología Universidad del Tolima Ibagué Colombia

For correspondence. mhbernal@ut.edu.co
Los autores declaran que no existen conflictos de intereses.

RESUMEN

El insecticida cipermetrina (CY) es usado en la agricultura para el control de plagas; sin embargo, por su acción neurotóxica puede afectar organismos no blanco como los anuros. El objetivo del trabajo fue determinar la toxicidad (concentración letal media: CL50, y algunos efectos subletales: retrasos en el desarrollo, capacidad de natación y longitud total de las larvas) del insecticida CY (Cypermon® 20EC) expuesto durante 96 horas en embriones y renacuajos de cuatro especies de anuros bajo pruebas de laboratorio y microcosmos. Los embriones de Rhinella humboldti fueron los más sensibles en condiciones de laboratorio (CL50= 6,27 mg/L) y Boana xerophylla en microcosmos (CL50= 88,32 mg/ha), mientras que los de Engystomops pustulosus fueron los más resistentes (laboratorio: CL50= 1 1,80 mg/L; microcosmos: CL50= 1 12,37 mg/ha). Rhinella marina mostró una sensibilidad intermedia. En los renacuajos no fue posible calcular los valores CL50 debido a la alta mortalidad registrada en las concentraciones experimentales en laboratorio y microcosmos, las cuales fueron 40 y 122 veces menores al valor de aplicación del insecticida (500 mg/L y 1,52 mg/ha, respectivamente). Por otra parte, se encontró una reducción significante en la longitud total y la capacidad de natación de las larvas obtenidas de los embriones expuestos a la CY, pero no en el tiempo de desarrollo. En conclusión, la exposición a la cipermetrina provocó una letalidad alta en los renacuajos y efectos subletales en estadíos tempranos del desarrollo, por lo que a las concentraciones recomendadas de aplicación, este insecticida es tóxico para las especies de estudio.

Palabras clave:

anfibios, CL50, efectos subletales, piretroide.

ABSTRACT

The cypermethrin (CY) insecticide is used in agriculture for the control of pests; however, due to its neurological action can affect non-target organisms such as anurans. The aim of this study was to evaluate the toxicity (median lethal concentration: LC50, and some sublethal effects: developmental delays, swimming performance and total length of larvae) of the insecticide CY (Cypermon® 20EC) exposed during 96 hours to embryos and tadpoles of four anuran species under laboratory and microcosm tests. The embryos of Rhinella humboldti were the most sensitive in laboratory conditions (LC50= 6.27 mg/L) and Boana xerophylla in microcosms (LC50= 88.32 mg/ha), whereas Engystomops pustulosus (laboratory: LC50= 1 1.80 mg/L, microcosms: LC50= 1 12.37 mg/ha) was the most resistant species. Rhinella marina showed an intermediate sensitivity. It was not possible to calculate the tadpole LC50 values due to the high mortality recorded in the experimental concentrations, both in laboratory and microcosms, which were 40 and 122 times lower than the value suggested for the application of the insecticide in field (500 mg/L and 1.52 mg/ha, respectively). On the other hand, it was found a significant decreasing in the total length and swimming performance of the larvae obtained from the embryos exposed to CY, but not in the embryonic developmental time. In conclusion, the exposure to the cypermethrin produced a high tadpole lethality and sublethal effects on developing embryos; therefore, under the recommended concentrations of field exposition, this insecticide is toxic for the study species.

Keywords:

amphibians, LC50, pyrethroid, sublethal effects.

INTRODUCCIÓN

Los insecticidas son compuestos químicos utilizados para el control de insectos en la agricultura y la salud pública (Henao et al., 2005). Sin embargo, su efecto tóxico puede impactar organismos no blanco, como peces, aves, mamíferos y anfibios (Devine et al., 2008). En anfibios anuros, la exposición a insecticidas incide en la supervivencia al afectar directamente el sistema nervioso induciendo espasmos o parálisis que alteran la natación y la evasión de depredadores (Berrill et al., 1993). Otros efectos reportados en anuros son las reducciones en el tiempo de reabsorción de la cola en renacuajos de la especie Pseudacris regilla (Baird y Girard, 1852) cuando son expuestos al insecticida carbaril (Rumschlag et al., 2014); las disminuciones en el crecimiento, el tiempo de metamorfosis y el tamaño de los renacuajos de Hoplobatrachus rugulosus (Wiegmann, 1834) sobrevivientes a la aplicación del insecticida metomil (Trachantong et al., 2016); y los cambios en la respuesta inmune innata antiviral de los renacuajos de Xenopus laevis (Daudin, 1802) al ser expuestos al carbaril (Andino et al., 2017).

Específicamente, la cipermetrina (CY) es un insecticida de origen sintético y acción neurotóxica, perteneciente al grupo de los piretroides ciano-activos (Greulich y Pflugmacher, 2003), efectiva para el control de una amplia gama de insectos plaga encontrados en la agricultura, la producción animal y que afectan la salud humana (Cardona et al., 2011). Este insecticida produce alteraciones en el transporte de los iones de sodio prolongando la duración del estímulo nervioso, debido a la despolarización de la membrana celular de las neuronas (Yilmaz et al., 2008). Además, la exposición a la CY puede causar signos de intoxicación como hipersensibilidad, salivación profusa, coreoatetosis o contracciones involuntarias, temblor y parálisis (Edwards et al., 1986; Yilmaz et al., 2008). A través de varios estudios se ha determinado que la CYpuede afectar organismos como peces, anfibios, algunos artrópodos y en menor medida aves y mamíferos (Edwards et al., 1986; Greulich y Pflugmacher, 2003; Yilmaz et al., 2008; Sarikaya, 2009; Biga y Blaustein, 2013). Por ejemplo, algunos valores de concentración letal media (CL50) reportados en peces son: 9,43 Mg/L en Poecilia reticulata Peters, 1859 (Yilmaz et al., 2004) y 5,99 Mg/L en Oreochromis niloticus (Linnaeus, 1758) (Sarikaya, 2009).

De otra parte, para el caso de los anfibios se ha reportado un CL50 de 10 Mg/L en Rana arvalis Nilsson, 1842 (Greulich y Pflugmacher, 2003), 6,5 Mg/L en R. temporaria Linnaeus, 1758 (Paulov, 1990), y 3,34 Mg/L en Duttaphrynus melanostictus (Schneider, 1799) (David et al., 2012). Adicionalmente, Greulich y Pflugmacher (2003) han encontrado que la exposición de los renacuajos de R. arvalis a una concentración de 1 Mg/L de CY, retrasa la metamorfosis y el crecimiento. Así mismo, David et al. (2012) reportan que concentraciones subletales muy bajas del insecticida (0,33 Mg/L) generan contracciones corporales, nado errático, alteraciones en el intestino y deformidades en la parte axial del cuerpo y la cola en renacuajos de D. melanostictus.

En Colombia, la CY es empleada para el control de plagas en cultivos de arroz, maíz, algodón y papa (ICA, 2016); sin embargo, se conoce poco acerca del efecto de estas sustancias sobre organismos como los anuros, los cuales son sensibles a la presencia de contaminantes químicos en su medio (Egea et al., 2012). Por lo anterior, el objetivo de este trabajo fue determinar la toxicidad aguda de la aplicación del insecticida cipermetrina (Cypermon® 20 EC) en embriones y renacuajos de cuatro especies de anuros colombianos: Boana xerophylla (Duméril y Bibron, 1841), Engystomops pustulosus (Cope, 1864), Rhinella marina (Linnaeus, 1758) y Rhinella humboldti (Gallardo, 1965).

MATERIALES Y MÉTODOS

Insecticida empleado Cypermon ® 20 EC

Es un insecticida de contacto e ingestión efectivo para un amplio rango de insectos-plagas en varios cultivos (Laquinsa Andina S.A., 2016a). Este producto comercial es un concentrado emulsificable que contiene 200 g/L de CY (α- ciano-3-phenoxibenzyl (1RS)-cis, trans-3-(2,2-diclorovinil) -2,2-dimetil-ciclopropanecarboxilato) (Laquinsa Andina S.A., 2016b). Además, cuenta con un 8 % p/v de compuestos tensoactivos aniónicos y no aniónicos y un 70 % p/v de disolvente aromático (Solvesso 100) (Laquinsa Andina S.A., 2016b).

Especies de estudio

Para el desarrollo de este trabajo se emplearon embriones (estadío 10 de Gosner, 1960) y renacuajos (estadío 25 de Gosner, 1960) de cuatro especies de anuros: Boana xerophylla, Engystomops pustulosus, Rhinella marina y Rhinella humboldti. Las especies B. xerophylla y E. pustulosus se caracterizan por depositar sus huevos y llevar a cabo su metamorfosis en cuerpos de agua lénticos, mientras que R. marina y R. humboldti lo hacen tanto en aguas lóticas como lénticas. Además, estas especies fueron seleccionadas por no encontrarse en alguna categoría de amenaza, por hallarse comúnmente asociadas a áreas de cultivo de arroz asperjadas con el insecticida evaluado y por presentar un número promedio elevado de huevos por postura: R. marina= 15200; R. humboldti= 2795; E. pustulosus= 217; y B. xerophylla= 1488 (Guayara-Barragán y Bernal, 2012). Para la obtención de los embriones y renacuajos, entre las 7:00 y 8:00 am, a través del método de muestreo por encuentro visual (Crump y Scott, 1994), se colectaron de dos a cinco posturas de huevos en diferentes lugares del departamento del Tolima, Colombia: R. humboldti en los alrededores de la ciudad de Ibagué (04°26'38'' N 75°12'47'' W), R. marina en el municipio de San Luis (04°17'51'' N 75°05'48'' W), E. pustulosus y B. xerophylla en el corregimiento El Totumo, municipio de Ibagué (4°22'52" N 75°10'56" W). Estas posturas fueron inmediatamente transportadas en contenedores plásticos y con agua del lugar de colecta al laboratorio de Herpetología de la Universidad del Tolima, donde se mantuvieron en agua declorada, aireación continua y temperatura ambiente, hasta que los organismos alcanzaron los estadíos experimentales de estudio. Los individuos no fueron alimentados previamente ni durante los experimentos.

Pruebas de toxicidad

Para evaluar la toxicidad de la CY en los embriones y renacuajos de estudio, se midió la letalidad y algunos efectos subletales en experimentos realizados bajo condiciones controladas de laboratorio y en microcosmos. El efecto letal fue determinado mediante el cálculo de la concentración letal media (CL50) para cada especie, a través del método TSK Trimmed Spearman-Karber (Versión 1.5) (Hamilton et al., 1977), utilizando los datos de mortalidad acumulada a las 96 horas en cada una de las concentraciones de prueba y el control. Por su parte, entre los efectos subletales, definidos como aquellos que no generan la muerte inmediata pero disminuyen su viabilidad (Newman, 2014), se estudiaron los cambios en el desarrollo embrionario, en la longitud total y en la capacidad de desplazamiento de las larvas (obtenidas de los embriones expuestos durante 96 horas a la CY) y de los renacuajos experimentales.

Pruebas de letalidad bajo condiciones de laboratorio

Los embriones y renacuajos de cada especie fueron expuestos de forma separada a cada uno de cinco tratamientos de CY: 2,4; 4,8; 9,6; 19,2 y 38,4 mg/L, y un control negativo (agua declorada), en peceras de vidrio con una capacidad de 2 litros que contenían un litro de la solución experimental. El agua utilizada para preparar estas soluciones fue previamente declorada por aireación. Las soluciones experimentales fueron renovadas cada 24 horas pero antes y después de realizado el recambio fueron medidos los parámetros fisicoquímicos de oxígeno disuelto (Oxímetro Hanna Ref. HI 9146), pH (pHmetro Hanna Ref. HI 9126), conductividad y temperatura (Multiparámetros Consort Ref. C 5020) (Tabla 1). Durante 96 horas, 25 embriones y diez renacuajos fueron expuestos independientemente a cada tratamiento, más su respectiva réplica, para un total de 50 embriones y 20 renacuajos por concentración. Las peceras fueron ubicadas en un área del laboratorio bajo condiciones controladas de temperatura (23 ± 2°C) y un ciclo de luz-oscuridad de 12:12 horas, mantenido con lámparas de luz blanca (Phillips TLT 20W / 54RS) y un temporizador digital (General Electric PM621, China).

Tabla 1: Media y desviación estándar de los parámetros fisicoquímicos registrados en las soluciones experimentales de las pruebas de laboratorio y microcosmos.

Pruebas de letalidad bajo condiciones de microcosmos

Los microcosmos son montajes experimentales diseñados para estudios ecológicos y toxicológicos que simulan algunos componentes del ecosistema y pueden ser llevados a cabo en laboratorio (Caquet, 2013; Newman, 2014). Para esto, seis recipientes plásticos circulares de 70 cm de diámetro y 13 cm de profundidad (área= 0,1520 m2) fueron colocados en un área ventilada del laboratorio de Herpetología de la Universidad del Tolima, con una temperatura ambiental promedio de 25 ± 2°C y un fotoperiodo fluctuante de 12 horas luz-12 horas oscuridad. A cada recipiente se le adicionó 500 g de tierra y 500 g de arena, y fueron cubiertos en el fondo con una tela blanca (muselina), sujetada con tres piedras (100 g cada una, aproximadamente), con el propósito de facilitar la observación de los individuos para su posterior conteo. Adicionalmente, se le agregó 10 L de agua declorada, dos hojas secas y una macrófita (Pistia stratiotes L.). En cada microcosmos fueron expuestos de manera independientes 50 embriones y 25 renacuajos más su réplica, para un total de 100 embriones y 50 renacuajos por concentración y grupo control. Luego, cada microcosmos fue asperjado una única vez con 150 mL de una de cinco soluciones experimentales de CY: 9,37; 18,75; 37,5; 75 y 150 mg/ha, a una altura de 30 cm, con la ayuda de una bomba de aspersión manual (Jardinera Lhaura 1.5 L Ref. 10505). Al igual que en los experimentos en condiciones de laboratorio, se incluyó un control negativo (agua declorada) y la exposición tuvo una duración de 96 horas, aunque bajo condiciones estáticas, sin recambio de las soluciones. Los parámetros fisicoquímicos de pH, oxígeno disuelto, conductividad y temperatura fueron medidos cada 24 horas hasta finalizar las pruebas (Tabla 1).

Determinación de efectos subletales

Finalizada la exposición, se tomaron entre 15 y 20 organismos (dependiendo del número de supervivientes) del control y las concentraciones experimentales inferiores al valor CL50. Para el caso del desarrollo embrionario, se registró el estadío alcanzado por los embriones expuestos a las 96 horas de experimentación, según la tabla de Gosner (1960), los cuales se compararon a través de análisis de varianza (Anova) para cada especie. Para la medición de la longitud total, los individuos supervivientes fueron fotografiados sobre un papel milimetrado y mediante el programa ImageJ se midió la distancia entre la punta del hocico y el final de la cola. Estos datos se compararon entre los tratamientos, incluido el control, mediante análisis de varianza factoriales (Anova: concentraciones x especies). Finalmente, estos mismos individuos fueron sometidos a una prueba de natación, la cual consistió en estimular con un pincel la parte posterior de la cola del individuo hasta que se desplazara a través de una pista de 50 cm de largo x 1 cm de ancho x 1 cm de alto, la cual contenía agua (utilizada en el control) a una temperatura de 24 ± 1°C. Por cada organismo se realizaron tres pruebas de natación de las cuales se escogió la máxima distancia recorrida. Estos datos fueron comparados a través de Análisis de covarianza factoriales (Ancova: concentraciones x especies), en donde se incluyó la longitud total como co-variable. Todos los análisis estadísticos se llevaron a cabo en el programa InfoStat (Di Rienzo et al., 2015).

RESULTADOS

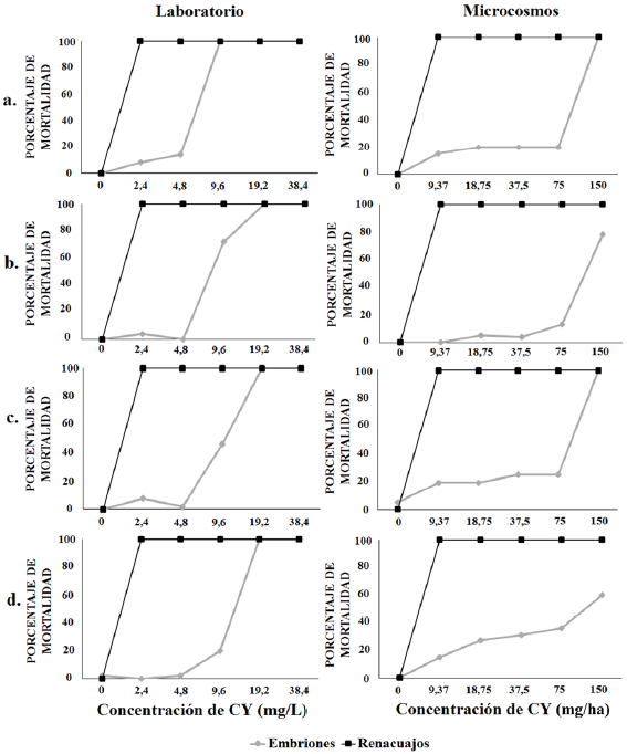
En los experimentos con los embriones expuestos a la CY, la especie más sensible fue R. humboldti (CL50= 6,27 mg/L) en laboratorio, y B. xerophylla (CL50= 88,32 mg/ha) en microcosmos, mientras que E. pustulosus fue la menos sensible en las dos condiciones experimentales (laboratorio: CL50= 11,80 mg/L; microcosmos: CL50= 112,37 mg/ha) (Tabla 2, Fig. 1). Por su parte, en los experimentos con los renacuajos, en las cuatro especies de estudio se presentó una mortalidad total (100 %) a las diferentes concentraciones del insecticida (Fig. 1), en contraste con el control en donde la mortalidad fue nula.

Tabla 2: Valores de toxicidad (CL50) e intervalos de confianza (95 %) en los embriones de anuros expuestos a la aplicación del insecticida cipermetrina (Cypermon® 20 EC) en condiciones de laboratorio y microcosmos.

Porcentajes de mortalidad en embriones y renacuajos de: a) R. humboldti; b) R. marina; c) B. xerophylla; y d) E. pustulosus, expuestos a la aplicación del insecticida cipermetrina (Cypermon® 20 EC) en condiciones de laboratorio y microcosmos.

Figura 1: Porcentajes de mortalidad en embriones y renacuajos de: a) R. humboldti; b) R. marina; c) B. xerophylla; y d) E. pustulosus, expuestos a la aplicación del insecticida cipermetrina (Cypermon® 20 EC) en condiciones de laboratorio y microcosmos.

Con respecto a los efectos subletales, la exposición al insecticida sólo generó retrasos en el desarrollo de los embriones de E. pustulosus bajo condiciones de microcosmos (Anova, F= 75,04; p< 0,0001). Para el caso de la longitud total, las larvas mostraron cambios significativos tanto en las condiciones de laboratorio (F= 4,10; p= 0,0178) como en los microcosmos (F= 13,23; p< 0,0001), en donde los organismos del grupo control fueron en general más grandes que los expuestos a la CY (Fig. 2). Finalmente, la capacidad de natación de las larvas experimentales fue notablemente afectada desde la concentración más baja de exposición (2,4 mg/L en laboratorio y 9,37 mg/ha en microcosmos), ya que el 100 % de los individuos no fueron capaces de desplazarse a través de la pista como respuesta al estímulo, en comparación con los organismos del grupo control que si lo hicieron (100 %). En el caso de los experimentos con los renacuajos, no fue posible la evaluación de los efectos subletales debido a la alta mortalidad presentada en los diferentes tratamientos con CY.

Valor promedio de la longitud total de las larvas a las 96 horas de exposición al insecticida cipermetrina (Cypermon® 20 EC) bajo condiciones de laboratorio y microcosmos.

Figura 2: Valor promedio de la longitud total de las larvas a las 96 horas de exposición al insecticida cipermetrina (Cypermon® 20 EC) bajo condiciones de laboratorio y microcosmos.

DISCUSIÓN

La implementación de piretroides para el control de insectos en cultivos de interés económico, como la CY, ha incrementado desde los años 80. Sin embargo, se ha reportado que organismos no blanco, como por ejemplo los anuros, podrían verse afectados por la presencia del insecticida en su hábitat y amenazar la permanencia de sus poblaciones (Svartz et al., 2015). Según los resultados de este trabajo, el insecticida CY resulta letal para los embriones de las especies de estudio en laboratorio, donde los valores CL50 obtenidos para los individuos expuestos desde estadío 10 fueron menores a la concentración sugerida de aplicación (500 mg/L). Esto concuerdan con lo reportado por Svartz et al. (2015), quienes encontraron que la exposición al insecticida también resultó tóxica para embriones de R. arenarum (Hensel, 1867) (CL50= 11,20 mg/L) en condiciones de laboratorio, en las cuales la concentración del agente activo se mantiene constante.

La alta mortalidad registrada en los renacuajos (estadío 25) expuestos a concentraciones experimentales 40 veces menores a la concentración sugerida de aplicación en campo (500 mg/L), muestra su gran sensibilidad al insecticida CY, como ha sido reportada en renacuajos de otras especies de anuros (Agostini et al., 2010; Palmquist et al., 2012). Esta notable sensibilidad podría estar relacionada con el efecto tóxico que tiene dicho compuesto sobre el sistema nervioso (Yilmaz et al., 2008), el cual ya se encuentra diferenciado en los renacuajos (Sanes et al., 2011). De otra parte, la menor toxicidad en los embriones a la CY en comparación con los renacuajos, es un resultado similar al obtenido en estas especies ante herbicidas como el glifosato (Henao et al., 2015) y propanil (Triana et al., 2016), que podría atribuirse a la presencia de una matriz gelatinosa que recubre a estos embriones y les puede conferir una mayor tolerancia ante los plaguicidas.

En las pruebas de microcosmos, los valores CL50 obtenidos para los embriones fueron superiores a la concentración recomendada de uso de la CY en campo (1,52 mg/ha). Particularmente, el valor CL50 de los embriones de B. xerophylla, que fueron los más sensibles, resultó 58 veces mayor que la concentración sugerida, lo que indica que el insecticida no resulta letal para los embriones de estos anuros en microcosmos. Una disminución de la toxicidad de la Permetrina, un piretroide de la familia de la CY, en montajes experimentales que simulan las condiciones de campo (mesocosmos), fue reportada por Boone (2008) quien atribuye dicho efecto a la presencia de organismos como algas o pequeños invertebrados presentes en el medio de exposición. Adicionalmente, Lajmanovich et al. (2003) sugieren que la presencia de la planta acuática Salvinia herzogii (de la Sota) disminuye la mortalidad de la CY en larvas de Physalaemus biligonigerus (Cope, 1861), debido a que podrían participar de la degradación de los agroquímicos. Al igual que en las pruebas de laboratorio, la exposición de los renacuajos al insecticida resultó altamente letal bajo las condiciones de microcosmos, con un 100 % de mortalidad en concentraciones 122 veces más bajas que la sugerida de aplicación en campo (1,52 mg/ha) (Fig. 1). Este resultado respalda lo reportado por Svartz et al. (2015), quienes mencionan que la contaminación de los ecosistemas acuáticos con CY podría generar efectos adversos en el desarrollo de los renacuajos de R. arenarum y amenazar el equilibrio de las poblaciones nativas de anfibios.

En sólo una especie (E. pustulosus) se observó un retraso en el desarrollo embrionario bajo condiciones de microcosmos; sin embargo, esta tendencia no fue generalizada probablemente porque la susceptibilidad ante contaminantes varía dependiendo de las características propias de cada especie (Lajmanovich et al., 2010). De otro lado, la disminución en la longitud total de las larvas supervivientes a la aplicación de la CY coincide con lo reportado por Greulich y Pflugmacher (2003), y Agostini et al. (2010), quienes encontraron una reducción en el tamaño de los renacuajos de R. arvalis e H. pulchellus (Duméril y Bibron, 1841) expuestos a este insecticida. Es posible que la presencia del químico en el medio genere un gasto de energía adicional para la desintoxicación del plaguicida (Greulich y Pflugmacher, 2003), lo que podría retrasar procesos como el crecimiento y desarrollo provocando una reducción en el tamaño de los renacuajos, que a su vez puede posteriormente afectar aspectos biológicos claves de los adultos, como la reproducción y la competencia por recursos (Hayes et al., 2006). Finalmente, la disminución en la capacidad de natación de las larvas, así como la presencia de contracciones musculares y nado errático observados en los individuos supervivientes, ha sido anteriormente reportada en renacuajos de R. temporaria, D. melanostictus y P. regilla expuestos a CY (Edwards et al., 1986; David et al., 2012; Biga y Blaustein, 2013), y se han considerado como signos comunes en la intoxicación con piretroides (Berrill et al., 1993). Dichas alteraciones podrían estar relacionadas con la acción del insecticida sobre el sistema nervioso (Yilmaz et al., 2008), que incidiría negativamente en la capacidad de natación de las larvas incrementando su vulnerabilidad a la depredación (Greulich y Pflugmacher, 2003).

De manera general, los parámetros fisicoquímicos presentaron algunas variaciones a lo largo de los experimentos (Tabla 1), siendo la concentración de oxígeno disuelto, en condiciones de microcosmos, la variable que más cambió. Este parámetro disminuyó de 7,25 ± 0,74 (al inicio de los experimentos) a 5,97 ± 0,48 ppm (a las 96 horas), lo cual podría estar relacionado con la falta de renovación de las soluciones en esta condición experimental. Sin embargo, estos valores de oxígeno disuelto se encuentran dentro del rango tolerante para algunas especies de anuros (Seymour et al., 2000; Bernal et al., 2011), por lo que probablemente no serían un agente causal de la mortalidad de los embriones y renacuajos ante la CY, aunque el efecto interactivo entre la hipoxia acuática y los agroquímicos es un estudio que queda por realizar.

CONCLUSIONES

El insecticida cipermetrina (CY) en su presentación comercial Cypermon® 20 EC, tal y como es empleado en la agricultura, tiene un efecto letal en los renacuajos de las especies de estudio. También genera efectos subletales en los embriones, que pueden posteriormente disminuir su capacidad de supervivencia. Por lo tanto, la cipermetrina (CY) es un insecticida tóxico para las especies evaluadas, y posiblemente para muchas otras especies de anuros.

Acknowledgements

AGRADECIMIENTOS

Los autores agradecen al programa Jóvenes Investigadores e Innovadores de Colciencias por la beca pasantía otorgada a Teófila María Triana y Liliana Marcela Henao durante la cual se realizó la presente investigación. Este trabajo fue financiado por la Oficina de Investigaciones y Desarrollo Científico de la Universidad del Tolima, mediante el Proyecto "Estrategia para Optimizar las Capacidades Científicas y Tecnológicas del Departamento del Tolima", código 80220516, y contó con la aprobación del Comité de Bioética de la Universidad del Tolima (Acta número 5 de 2015).

REFERENCIAS

  1. Agostini MG, Natale GS, Ronco AE. Lethal and sublethal effects of cypermethrin to Hypsiboas pulchellus tadpoles. Ecotoxicology. 2010; 19(8); 1545-1550. Doi: 10.1007/s10646-010-0539-3. [DOI] 🠔
  2. Andino FDJ, Lawrence BP, Robert J. Long term effects of carbaryl exposure on antiviral immune responses in Xenopus laevis. Chemosphere. 2017; 170; 169-175. Doi:10.1016/j.chemosphere.2016.12.018. [DOI] 🠔
  3. Bernal MH, Alton LA, Cramp RL, Franklin CE. Does simultaneous UV-B exposure enhance the lethal and sublethal effects of aquatic hypoxia on developing anuran embryos and larvae? J Comp Physiol. 2011; 181(7); 973-980. Doi: 10.1007/s00360-011-0581-3. [DOI] 🠔
  4. Berrill M, Bertram S, Wilson A, Louis S, Brigham D, Stromberg C. Lethal and sublethal impacts of pyrethroid insecticides on amphibian embryos and tadpoles. Environ Toxicol Chem. 1993; 12(3); 525-539. Doi: 10.1002/etc.5620120313. [DOI] 🠔
  5. Boone MD. Examining the single and interactive effects of three insecticides on amphibian metamorphosis. Environ Toxicol Chem. 2008; 27(7); 1561-1568. Doi: 10.1897/07-520. [DOI] 🠔
  6. Biga LM, Blaustein AR. Variations in lethal and sublethal effects of cypermethrin among aquatic stages and species of anuran amphibians. Environ Toxicol Chem. 2013; 32(12); 2855-2860. Doi:10.1002/etc.2379. [DOI] 🠔
  7. Cardona Y, Chaparro AL, Calderón LS, Peláez MJ, García CH. Estandarización de un método analítico para extracción y cuantificación de cipermetrina en pastos. Rev Colomb Quim. 2011; 40(2); 211. 🠔
  8. Caquet T. Aquatic mesocosms in ecotoxicology. In: Férard JF, Blaise C, editors. Encyclopedia of Aquatic Ecotoxicology. Netherlands: Springer; 2013. p. 99-108. 🠔
  9. Crump ML, Scott NJ. Visual Encounter Surveys. In: Heyer WM, Donnelly A, McDiarmid RA, Hayec LC, Foster MC, editors. Measuring and Monitoring Biological Diversity. Standard Method for Amphibians. Washington and London: Smithsonian Institution Press; 1994. p. 84-92. 🠔
  10. David M, Marigoudar SR, Patil VK, Halappa R. Behavioral, morphological deformities and biomarkers of oxidative damage as indicators of sublethal cypermethrin intoxication on the tadpoles of D. melanostictus (Schneider, 1799). Pestic Biochem Phys. 2012; 103; 127-134. Doi:10.1016/j.pestbp.2012.04.009. [DOI] 🠔
  11. Devine GJ, Eza D, Ogusuku E, Furlong MJ. Uso de insecticidas: contexto y consecuencias ecológicas. Rev Peru Med Exp Salud Publica. 2008; 25(1); 74-100. 🠔
  12. Di Rienzo JA, Casanoves F, Balzarini MG, Gonzalez L, Tablada M, Robledo CW. InfoStat versión 2015. Grupo InfoStat, FCA, Universidad Nacional de Córdoba, Argentina. Available from: http://www.infostat.com.ar. [URL] 🠔
  13. Edwards R, Millburn P, Hutson DH. Comparative toxicity of cis-cypermethrin in Rainbow Trout, Frog, Mouse and Quail. Toxicol Appl Pharm. 1986; 84; 512-522. 🠔
  14. Egea-Serrano A, Relyea RA, Tejedo M, Torralva M. Understanding of the impact of chemicals on amphibians: A meta-analytic review. Ecol Evol. 2012; 2(7); 1382-1397. Doi:10.1002/ece3.249 [DOI] 🠔
  15. Gosner KL. A simplified table for staging anuran embryos and larvae with notes on identification. Herpetologica. 1960; 16; 183-190. 🠔
  16. Greulich K, Pflugmacher S. Differences in susceptibility of various life stages of amphibians to pesticide exposure. Aquat Toxicol. 2003; 65; 329-336. Doi: 10.1016/S0166-445X(03)00153-X. [DOI] 🠔
  17. Guayara-Barragán MG, Bernal MH. Fecundidad y fertilidad en once especies de anuros colombianos con diferentes modos reproductivos. Caldasia. 2012; 34(2); 483-496. 🠔
  18. Hamilton MA, Russo RC, Thurston RV. Trimmed Spearman-Karber method for estimating median lethal concentrations in toxicity bioassays. Environ Sci Technol. 1977; 11(7); 714-719. Doi: 10.1021/es60130a004. [DOI] 🠔
  19. Hayes TB, Case P, Chui S, Chung D, Haeffele C, Haston K, Lee M, Phoung Mai V, Marj uoa Y, Parker J, Tsui M. Pesticide mixtures, endocrine disruption, and amphibian declines: are we underestimating the impact?. Environ Health Persp. 2006; 114; 40-50. Doi: 10.1289/ehp.8051. [DOI] 🠔
  20. Henao B, Palacio JM, Camargo M. Evaluación genotóxica de los plaguicidas cipermetrina y diazinón en Tilapia Roja (Oreochromis sp.). Act Biol. 2005; 27(82); 43-55. 🠔
  21. Henao LM, Montes CM, Bernal MH. Acute toxicity and sublethal effects of the mixture glyphosate (Roundup® Active) and Cosmo-Flux® 411F to anuran embryos and tadpoles of four Colombian species. Rev Biol Trop. 2015; 63(1); 223-233. Doi:10.15517/rbt.v63i1.12893. [DOI] 🠔
  22. ICA. Registros de Venta de Plaguicidas Químicos de Uso Agrícola -Agosto 31 de 2016 [Internet]. 2016. Available in: Available in: http://www.ica.gov.co/getdoc/2dae6093-c021-49d1-8b29-c9dfebce2757/REGISTROS-DE-VENTA-PQA-24-01-09.aspx03/10/2016 . Cited: 10 Nov 2016. [URL] 🠔
  23. Lajmanovich R, Lorenzatti E, De la Sierra P, Marino F, Stringhini G, Peltzer P. Reduction in the mortality of tadpoles (Physalaemus biligonigerus, Amphibia: Leptodactylidae) exposed to cypermethrin: uptake by aquatic ferns. Fresen Environ Bull. 2003; 12; 1558-1561. 🠔
  24. Lajmanovich RC, Peltzer PM, Junges CM, Attademo AM, Sanchez LC, Basso A. Activity levels of B-esterases in the tadpoles of 11 species of frogs in the middle Paraná River floodplain: Implication for ecological risk assessment of soybean crops. Ecotox Environ Safe. 2010; 73; 1517-1524. Doi:10.1016/j.ecoenv.2010.07.047. [DOI] 🠔
  25. Laquinsa Andina S. A. Ficha técnica Cypermon® 20 EC (Cipermetrina) [Internet]. 2013a. Available in: Available in: http://oktopushosting.com/agroproductiva/productos/pdf/11_ficha.pdf03/10/2016 . Cited: 10 Nov 2016. [URL] 🠔
  26. Laquinsa Andina S. A. Hoja de datos de seguridad Cypermon® 20 EC (Cipermetrina) [Internet]. 2013b. Available in: Available in: http://oktopuscali.com/agroproductiva/productos/pdf/11_seg.pdf03/10/2016 . Cited: 10 Nov 2016. [URL] 🠔
  27. Newman MC. Fundamentals of ecotoxicology: the science of pollution. 4a ed. Florida, EUA: CRC press; 2014. p. 235. 🠔
  28. Palmquist K, Fairbrother A, Salatas J. Pyrethroid insecticides: use, environmental fate, and ecotoxicology. In: Perveen F, editor. Insecticides-Advances in Integrated Pest Management. Rijeka, Croacia: INTECH Open Access Publisher; 2012. p. 251-278. 🠔
  29. Paulov S. Potential impact of pyrethroids (cypermethrin) on the model amphibians (Rana temporaria). Biologia (Bratisl). 1990; 45(2); 133-140. 🠔
  30. Rumschlag SL, Boone MD, Fellers G. The effects of the amphibian chytrid fungus, insecticide exposure, and temperature on larval anuran development and survival. Environ Toxicol Chem. 2014; 33(11); 2545-2550. Doi: 10.1002/etc.2707. [DOI] 🠔
  31. Sanes DH, Reh TA, Harris WA. Development of the nervous system. 2a ed. Burlington, EUA: Elsevier Academic Press; 2011. p. 67. 🠔
  32. Sarikaya R. Investigation of acute toxicity of alpha-cypermethrin on adult nile tilapia (Oreochromis niloticus L.). Turk J Fish Aquat Sci. 2009; 9; 85-89. 🠔
  33. Svartz G, Aronzon C, Coll CP. Comparative sensitivity among early life stages of the South American toad to cypermethrin-based pesticide. Environ Sci Pollut R. 2015; 23(3); 2906-2913. Doi: 10.1007/s11356-015-5547-7. [DOI] 🠔
  34. Seymour RG, Roberts JD, Mitchell NJ, Blaylock AJ. Influence of environmental oxygen on development and hatching of aquatic eggs of the Australian frog, Crinia georgiana. Physiol Biochem Zool. 2000; 73(4); 501-507. Doi: 10.1086/317739. [DOI] 🠔
  35. Trachantong W, Saenphet S, Saenphet K, Chaiyapo M. Lethal and sublethal effects of a methomyl-based insecticide in Hoplobatrachus rugulosus. J Toxicol Pathol. 2016;30(1);15-24. Doi: 10.1293/tox.2016-0039. [DOI] 🠔
  36. Triana TM, Henao LM, Bernal MH. Toxicidad del herbicida propanil (Propanil Trust® 500EC) en embriones y renacuajos de tres especies de anuros. Acta Biol Colomb. 2016; 21(3); 627-634. Doi: 10.15446/abc.v21n3.54845 [DOI] 🠔
  37. Yilmaz M, Gül A, Erbaşli K. Acute toxicity of alpha-cypermethrin to guppy (Poecilia reticulata, Pallas, 1859). Chemosphere. 2004; 56(4); 381-385. Doi: 10.1016j.chemosphere.2004.02.034. [DOI] 🠔
  38. Yilmaz Ş, Çömelekoğlu Ü, Coşkun B, Balli E, Özge A. Effects of cypermethrin on isolated frog sciatic nerve: An ultrastructural study. Turk J Med Sci 2008; 38(2); 121-125. 🠔
Martha Ramírez Pinilla.
Triana Velásquez TM, Henao Muñoz LM, Bernal MH. Toxicidad aguda del insecticida cipermetrina (Cypermon® 20 EC) en cuatro especies de anuros colombianos. Acta biol. Colomb. 2017;22(3):340-347. DOI: http://dx.doi.org/10.15446/abc.v22n3.62631