Acta Biológica Colombiana
0120-548X
Universidad Nacional de Colombia, Facultad de Ciencias, Departamento de Biología
https://doi.org/10.15446/abc.v24n2.64771

Recibido: 10 de mayo de 2018; Revision Received: 2 de enero de 2019; Aceptado: 7 de enero de 2019

IMPACT OF CRUDE OIL ON FUNCTIONAL GROUPS OF CULTURABLE BACTERIA AND COLONIZATION OF SYMBIOTIC MICROORGANISMS IN THE Clitoria-Brachiaria RHIZOSPHERE GROWN IN MESOCOSMS

Impacto del petróleo crudo sobre grupos funcionales de bacterias cultivables y colonización de microorganismos simbióticos en la rizosfera de Clitoria-Brachiaria crecidas en mesocosmos

A. ALARCÓN, 1*M. GARCÍA-DÍAZ, 1L. HERNÁNDEZ-CUEVAS, 2R. ESQUIVEL-COTE, 1R. FERRERA-CERRATO, 1J. ALMARAZ-SUAREZ, 1O. FERRERA-RODRÍGUEZ, 3

Microbiología, Posgrado de Edafología, Campus Montecillo, Colegio de Postgraduados, Carretera México-Texcoco km 36,5. Montecillo 56230, Texcoco, Estado de México, México. Colegio de Postgraduados Colegio de Postgraduados Texcoco Estado de México Mexico
Centro de Investigación en Genética y Ambiente, Universidad Autónoma de Tlaxcala, Carretera Texmelucan-Tlaxcala km. 10,5, Ixtacuixtla 90120, Tlaxcala, México. Universidad Autónoma de Tlaxcala Universidad Autónoma de Tlaxcala Tlaxcala Mexico
Microbiología Ambiental, Red de Estudios Moleculares Avanzados, Instituto de Ecología, Carretera Antigua a Coatepec 351, El Haya, Xalapa 91070, Veracruz, México. Instituto de Ecología Instituto de Ecología Veracruz Mexico

For correspondence: aalarconcp@gmail.com

Todo el contenido de esta revista, excepto dónde está identificado, está bajo una Licencia Creative Commons

ABSTRACT

This research evaluated the changes on populations of culturable N-fixing free bacteria (NFFB) and P-solubilizing bacteria (PSB), as well as on the root nodulation by native rhizobia, the root colonization and spore number of arbuscular mycorrhizal fungi (AMF), in the rhizosphere of Clitoria ternatea and Brachiaria brizantha grown in mesocosms contaminated with crude oil (0, 3000, 6000, 9000, and 12000 mg kg-1), for 240 days. After 24 h of soil contamination, the highest populations of NFFB and PSB (5.5 and 4.9 LogUFC, respectively) were found in control, and the lowest populations were obtained at 12000 mg kg-1 (5.1 and 4.2 LogUFC, respectively). In contrast, at 60 and 240 days, the control showed lower populations of NFFB and PSB (5.4 and 4.8 LogUFC, respectively) than contaminated treatments. The highest number of root nodules in C. ternatea was quantified in control at 60 and 240 days (25 and 27 nodules, respectively) in comparison to those observed at the treatment with 12000 mg kg-1 (7 and 1 nodule, respectively). At 60 days, AMF colonization in both plant species, and the number of spores significantly decreased as the crude oil concentration increased; however, at 240 days, the highest number of AMF spores was recorded at treatments with 6000 and 12000 mg kg-1. The dry weight of both plant species significantly decreased as crude oil concentrations increased. Although C. ternatea was more susceptible to the toxic effects of crude oil, this plant species showed greater content of total chlorophyll than B. brizantha.

Keywords:

Arbuscular mycorrhizal fungi, crude oil, N-fixing free bacteria, P-solubilizing bacteria, root nodulation, soil contamination.

RESUMEN

Esta investigación evaluó los cambios en la población cultivable de bacterias de vida libre fijadoras de nitrógeno (BVLFN) y de bacterias solubilizadoras de fósforo (BSP), así como en la nodulación de raíces por rizobios nativos, y en la colonización y número de esporas de hongos micorrízicos arbusculares (HMA) en la rizósfera de Clitoria ternatea y Brachiaria brizantha cultivadas en mesocosmos contaminados con petróleo crudo (0, 3000, 6000, 9000 y 12000 mg kg-1), durante 240 días. A las 24 h de la contaminación del suelo, las poblaciones más altas de BVLFN y BSP (5,5 y 4,9 LogUFC, respectivamente) se encontraron en el control, mientras que las poblaciones más bajas se obtuvieron a 12000 mg kg-1 (5,1 y 4,2 LogUFC, respectivamente). En contraste, a los 60 y 240 días, el control mostró bajas poblaciones de BVLFN y BSP (5,4 y 4,8 LogUFC, respectivamente) que los tratamientos contaminados. El mayor número de nódulos en raíz de C. ternatea se cuantificó en el control a los 60 y 240 días (25 y 27 nódulos, respectivamente) en comparación con el tratamiento con 12000 mg kg-1 (7 y 1 nódulos, respectivamente). A los 60 días, la colonización de HMA en ambas especies vegetales y el número de esporas disminuyeron significativamente al aumentar la concentración de petróleo crudo; sin embargo, a los 240 días, se registró el mayor número de esporas de HMA en los tratamientos con 6000 y 12000 mg kg-1. El peso seco vegetal disminuyó significativamente al aumentar las concentraciones de petróleo crudo. Clitoria ternatea fue más susceptible a la toxicidad del petróleo, aunque esta especie vegetal mostró mayor contenido de clorofila total que B. brizantha.

Palabras clave:

Bacterias fijadoras de N de vida libre, bacterias solubilizadoras de P, contaminación de suelo, hongos micorrízicos arbusculares, nodulación en raíz.

INTRODUCTION

Plant rhizosphere harbors several microbial groups whose physiological activity significantly influences soil fertility, quality, and health properties (De Ridder-Duine et al., 2005; Sanon et al., 2009; Nie et al., 2011), and stimulates the proliferation and abundance of microorganisms able to detoxify or degrade soil contaminants (Sanon et al., 2009; Sun et al., 2015). This rhizosphere interaction not only benefits the microbial communities but also influences positively both plant growth and adaptation (Walker et al., 2003; Harrier and Watson, 2004; Hayat et al., 2010).

Soil microflora is mainly represented by bacteria and fungi (Dajoz et al., 2002; Weidmann et al., 2004). Bacteria may release organic compounds, some of them may establish symbiosis with plants, and others may inhibit the proliferation of plant pathogens due to secretion of antibiotic compounds (Barea, 1998; Ferrera-Cerrato and Alarcón, 2007; Mitter et al., 2013). Microorganisms play a significant role in nutrient cycling in soil such as biological atmospheric nitrogen fixation or solubilization of inorganic phosphates, whose deficiency typically impairs plant growth and development (Barea, 1998). Also, arbuscular mycorrhizal fungi (AMF) are obligated biotrophic symbionts that colonize cortical cells of roots of most of the extant terrestrial plants, and enhance plant nutrition and growth, as well as plant adaptation against stressful soil conditions, water deficiency, contamination, or pathogens (Linderman, 2000; Jeffries et al., 2003; Liu et al., 2004; Hernández-Ortega et al., 2012). These fungi have important effects during the phytoremediation of soils contaminated with petroleum hydrocarbons (Cabello, 2001) by enhancing plant adaptation, growth, nutrition or by stimulating the proliferation of petroleum-degrading microorganisms in the rhizosphere (Joner and Leyval, 2003; Alarcón et al., 2008; Hernández-Ortega et al., 2012). The later benefits highlight the crucial role of rhizosphere microorganisms by improving physical and chemical properties in the surrounding edaphic environment (Zhang et al., 2006; Bento et al., 2012).

Soil pollution by accidental oil spills is an environmental issue that has received special attention worldwide. These contaminants modify soil properties by forming a layer covering the surface and the pore space, thus affecting oxygen diffusion (Franco et al., 2004; Nageswara-Rao et al., 2007; Sun et al., 2015). Likewise, hydrocarbons decrease water retention due to their hydrophobic properties, and significantly increase the amount of carbon, induce acidification processes, and decrease the cation exchange capacity (Li et al., 2000; Châineau et al., 2003; Rivera-Cruz et al., 2005; Nie et al., 2011).

When hydrocarbons accumulate in the rhizosphere the most affected physiological process in the plant is photosynthesis so that the chlorophyll content decreases in leaves (Adenipekun et al., 2008; Baruah et al., 2014) and the synthesis of proteins, sugars, and lipids are affected, thus, plant development is limited (Nageswara-Rao et al., 2007). These contaminants exert pressures on the floristic composition, favoring the selection of well-adapted plant species. Part of this adaptation consists in their association with soil microorganisms as a mechanism to withstand the adverse conditions caused by contaminants (Franco et al., 2004; Nageswara-Rao et al., 2007). Besides causing toxic effects to many microorganisms, some oil fractions are utilized as a source or carbon and energy for satisfying microbial growth (Franco et al., 2004; Gerdes et al., 2005, Labud et al., 2007; Essien et al., 2013; Dellagnezze et al., 2014). These are evident on culture-dependent microorganisms, by which is possible the characterization and the selection of microorganisms with potential use for bioremediation of soils contaminated with several compounds (Alkorta et al., 2004; Hubalek et al., 2007; Zhuang et al., 2007; Singh, 2008; Chibuike, 2013; Zhou et al., 2013; Dellagnezze et al., 2014; Ullah et al., 2015). Thus, certain physiological/ functional microbial groups have significance relevance under contaminated environments since they may contribute on nutrient cycling such as nitrogen (N), phosphorus (P) or more importantly on promoting plant growth (Ramirez-Elías et al., 2014; Morales-Guzmán et al., 2017; Alejandro-Córdova et al., 2017).

The responses of AMF to petroleum hydrocarbons are related to reducing root colonization. However, AMF may stimulate plant survival growing at contaminated conditions, and allow the proliferation of microorganisms able to degrade organic compounds (Binet et al., 2001; Liu et al., 2004; Franco-Ramírez et al., 2007; Labud et al., 2007; Alarcón et al., 2008; García et al., 2013; Kuo et al., 2014; Alejandro-Córdova et al., 2017).

The ability of plants to grow at contaminated media varies from one species to another, and this variation is the key for the remediation of soils contaminated with petroleum hydrocarbons (Akutam et al., 2014). Clitoria ternatea (L.), and Brachiaria brizantha (A. Rich) are plant species of tropical regions, easy to establish, resistant to drought, and tolerant to organic contaminants (Sangabriel et al., 2006; FAO, 2015). However, the rhizosphere microbial populations in both plant species under contaminated soils are not well studied.

Thus, the present study evaluated the effects of crude oil contaminated soil on the culture-dependent population of rhizosphere microorganisms, whose physiological activity is related to the incorporation of atmospheric nitrogen, the solubilization of inorganic phosphates in the soil, and the promotion of growth of two plant species established in mesocosms under greenhouse conditions.

MATERIALS AND METHODS

Soil collection and mesocosms establishment

The soil was collected from the municipality of Rodriguez Clara, Veracruz (Mexico) at coordinates 18°00' N and 95°24' W, 95 m.a.s.l., without the previous problem of petroleum hydrocarbon pollution. The soil sample was collected (20 cm depth), and analyzed to determine cation exchange capacity (CIC), organic matter content (OMC), and content of P, N, and C. The main soil physical and chemical characteristics were: sandy-loam texture (71 % sand, 17 % silt); 5.7 meq CEC, 1.5 % OMC, 0.07 % total N, 6 mg P kg-1 (Olsen), and 0.02 meq K L-1.

Eight kilograms of dry sieved soil (2 mm mesh) were placed in each of the 15 plastic containers (36 x 30 x 14 cm) used as mesocosms. The soil was artificially contaminated with crude oil at the following concentrations: 3000, 6000, 9000, and 12000 mg kg-1, respectively. A treatment without oil pollution was included as a control. The crude oil was dissolved with 300 mL of dichloromethane (Baker®) to reduce oil viscosity and facilitate the soil impregnation. This solvent is quickly volatilized (< 0.002 % of residue after evaporation) and do not exert significant effects on soil microorganisms (Alarcón et al., 2008); thus, there was no need to establish control with the application of this solvent.

One week after contamination, 15 seeds of Clitoria ternatea L. (Fabaceae) and 15 of Brachiaria brizantha (Hochst. ex Rich.) (Gramineae) were planted in combination in each mesocosm evenly distributed in the substrate at one-centimeter depth.

Throughout the experiment (240 days) under greenhouse conditions, the mesocosms were irrigated with tap water as needed. The temperature and relative humidity (maximum and minimum) prevailing during this research were 35.4+5.4 and 13.7+1.6 °C, and 82.9+7 and 28.8+ 11.1 %, respectively (Data logger WatchDog, model 450).

The population of functional groups of culturable bacteria and root colonization of symbiotic microorganisms

24 hours after soil contamination samples were taken to estimate the culturable bacterial populations as described in the following paragraph and to compare them with the two further sampling times (60 and 240 days) described as follow.

Soil sampling was collected at 60 and 240 days. For each mesocosm, a composite soil sample was prepared from five sampled points (300 g rhizosphere soil each). Thus, three composite samples per treatment were obtained. From these composite samples, 10 g of soil were used for determining culturable microorganisms according to serial dilutions and agar plate counting technique (Lorch et al., 1995) using the following growth media: combined carbon (Rennie, 1981) to assess the colony forming units (CFU) of nitrogen-fixing free-living bacteria (NFFLB), and Pikovskaya (Subba-Rao, 1993) to assess the total P-solubilizing bacteria (PSB). For C. ternatea, the number of root nodules formed by native rhizobia was evaluated.

The mycorrhizal colonization in both C. ternatea and B. brizantha (three plants of each species per treatment were harvested at each sampling time) was quantified through the root clearing and dyeing method (Phillips and Hayman, 1970). Once the roots were dyed and mounted on slides, the frequency of AMF structures (hyphae, vesicles, and arbuscules) in each root fragment was estimated using a clear field optical microscope (Reichert, Microstar Model 410) at 40 X magnification, and to calculate the percentage of colonization. The extraction ofAMF spores was performed by the wet sieving and decanting method (Gerdemann and Nicolson, 1963), followed by centrifugation in 70 % sucrose (Castillo et al., 2008). The undamaged spore counting was done under a stereomicroscope (Reichert, StereoStar Zoom), and results were expressed as a number of spores per 100 g dry soil.

Assessment of phototoxicity of oil in Clitoria ternatea and Brachiaria brizantha

At the end of the experiment (240 days), the toxicity of the crude oil to plants was evaluated by quantifying the dry biomass and the total chlorophyll content in leaves of both species. The total dry weight of C. ternatea and B. brizantha was determined by harvesting three individuals per species of each mesocosm and then drying the harvested plant material at 70 °C for three days. The total chlorophyll content was determined by the method described by Dere et al., (1998). One leaf of C. ternatea, and two square centimeters of leaf tissue from B. brizantha were used for pigment extraction, from which the fresh weight was obtained. Leaf samples from each plant were placed in test tubes with 5 mL 80 % acetone and kept at 4 °C for one week. Subsequently, from the obtained solution, absorbance readings were taken, 470, 645, and 662 nm, in a spectrophotometer (Hewlett Packard, model 8453).

Experimental design and statistical analysis

The experiment consisted of five treatments with three replicates each, distributed in a completely randomized experimental design. Data obtained from each sampling (60 and 240 days) were analyzed using analysis of variance and the mean comparison test (LSD, α=0.05) using the SAS version 8 for Windows (SAS Institute, 2002). The percentages of mycorrhizal colonization were transformed to arcsine units, while the values from the quantification of bacterial CFU were transformed to log units for subsequent statistical analysis.

RESULTS

The population of functional groups of culturable bacteria and root colonization of symbiotic microorganisms

In response to crude oil concentrations, the NFFLB and PSB populations decreased significantly (p≤0.001) at the beginning of the experiment (time zero) in comparison to the control (Fig. 1a-b). After 60 days, a significant increase of NFFLB and PSB populations was detected due to the crude oil, in comparison to the control (Fig. 1a-b). At 240 days, the NFFLB population was significantly higher in treatments with 9000 and 12000 mg kg-1 than the control (Fig. 1a), while the PSB population was similar among treatments (Fig. 1b).

Populations of (a) N-fixing free-living bacteria (N2-FFLB) and (b) P-solubilizing bacteria in the rhizosphere of Clitoria ternatea and Brachiaria brizantha grown in mesocosms contaminated with four concentrations of crude oil, at an initial time (24 h after contamination), 60 and 240 days. Means ± standard error. Mean comparison test (LSD, α=0.05). n=5.

Figure 1: Populations of (a) N-fixing free-living bacteria (N2-FFLB) and (b) P-solubilizing bacteria in the rhizosphere of Clitoria ternatea and Brachiaria brizantha grown in mesocosms contaminated with four concentrations of crude oil, at an initial time (24 h after contamination), 60 and 240 days. Means ± standard error. Mean comparison test (LSD, α=0.05). n=5.

The number of nodules in C. ternatea significantly decreased (p≤0.001) at contaminated soils (Fig. 2a). At 60 days, control plants had in average 25 nodules, whereas at contaminated treatments, plants had in average four nodules (Fig. 2a). At 240 days, control plants showed 27 nodules, while concentrations of 3000 and 6000 mg kg-1 resulted in a low number of nodules (7) (Fig. 2a). In contrast, treatments with 9000 and 12000 mg kg-1, resulted in the lowest number of nodules (Fig. 2a).

Number of nodules formed by native rhizobia in roots of Clitoria ternatea (a), and number of spores (b) of arbuscular mycorrhizal fungi (AMF) in 100 g of dry soil collected from the rhizosphere of Clitoria ternatea and Brachiaria brizantha grown mesocosms contaminated with four concentrations of crude oil, after 60 and 240 days. Means ± standard error. Mean comparison test (LSD, α=0.05). n = 5.

Figure 2: Number of nodules formed by native rhizobia in roots of Clitoria ternatea (a), and number of spores (b) of arbuscular mycorrhizal fungi (AMF) in 100 g of dry soil collected from the rhizosphere of Clitoria ternatea and Brachiaria brizantha grown mesocosms contaminated with four concentrations of crude oil, after 60 and 240 days. Means ± standard error. Mean comparison test (LSD, α=0.05). n = 5.

Mycorrhizal colonization at 60 days in B. brizantha and C. ternatea grew at control treatment was 52.6 and 64 %, respectively, showing significant differences to treatments with crude oil (15 and 18 % colonization in average, for both plat species, respectively) (Fig. 3a-c). At 240 days, B. brizantha at control treatment showed high colonization (63.8 %), which significantly decreased as crude oil concentration increased, especially at 12000 mg kg-1 (Fig. 3b). At 240 days, C. ternatea grown at control treatment showed the highest colonization (53 %), but plants at 12000 mg kg-1 had mycorrhizal colonization as low as 10 % (Fig. 3d).

Arbuscular mycorrhizal colonization in roots of Clitoria ternatea and Brachiaria brizantha grown in mesocosms contaminated with four concentrations of crude oil, after 60 (a and c) and 240 (b and d) days. Means ± standard error. Mean comparison test (LSD, α=0.05). n=5.

Figure 3: Arbuscular mycorrhizal colonization in roots of Clitoria ternatea and Brachiaria brizantha grown in mesocosms contaminated with four concentrations of crude oil, after 60 (a and c) and 240 (b and d) days. Means ± standard error. Mean comparison test (LSD, α=0.05). n=5.

After 60 days, control treatment had the highest number of AMF spores (165 spores in 100g dry soil), but in contaminated treatments, the number of spores ranged from 55 to 28, without presenting statistical differences among treatments (Fig. 2b). In contrast, the number of spores at 240 days was significantly higher at the concentration of 6000 mg kg-1 (140 spores) than that from 3000 mg kg-1 (45 spores) (Fig. 2b).

Phytotoxic effects of crude oil on Clitoria ternatea and Brachiaria brizantha

The total dry weight of B. brizantha at 60 days was significantly higher in the treatment with 3000 mg kg-1 when compared to the control and the remaining contaminated treatments (Fig. 4a). At 240 days, the highest dry weight was obtained in control plants and the lowest in plants grown under 12000 mg kg-1 (Fig. 4b). For C. ternatea no significant differences were observed among treatments at 60 days (Fig. 4c), but at 240 days, the total plant dry weight decreased significantly (p≤0.001) as the crude oil concentrations increased (Fig. 4d).

Shoot dry mass of Brachiaria brizantha and Clitoria ternatea grew in mesocosms contaminated with four concentrations of crude oil, after 60 (a and c) and 240 (b and d) days. Means ± standard error. Mean comparison test (LSD, α=0.05). n=5.

Figure 4: Shoot dry mass of Brachiaria brizantha and Clitoria ternatea grew in mesocosms contaminated with four concentrations of crude oil, after 60 (a and c) and 240 (b and d) days. Means ± standard error. Mean comparison test (LSD, α=0.05). n=5.

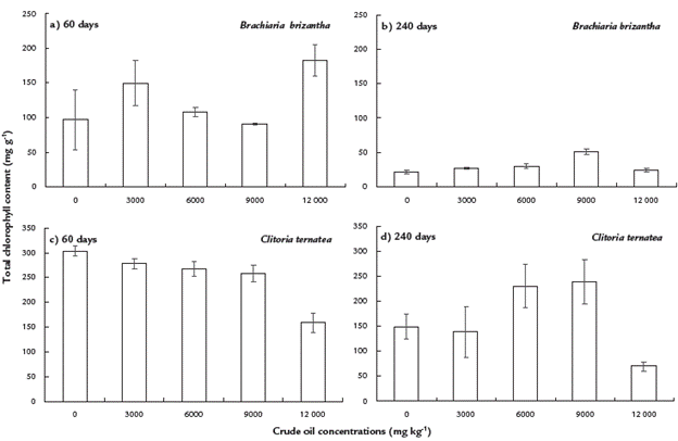
For B. brizantha, total chlorophyll content at 60 days was significantly higher in the treatment with 12000 mg kg-1 when compared to the remaining treatments (a). However, after 240 days, the total chlorophyll content significantly decreased in all treatments, although the significant highest content was obtained in plants exposed to 9000 mg kg-1 (Fig. 5b). For C. ternatea, at 60 days, chlorophyll content decreased significantly as the crude oil concentration increased (Fig. 5c). In contrast, at 240 days, plants grown in treatments with 6000 and 9000 mg kg-1 had significantly higher chlorophyll content than the remaining treatments (Fig. 5d).

Total chlorophyll content in leaves of Brachiaria brizantha and Clitoria ternatea grew in mesocosms contaminated the soil with four concentrations of crude oil, after 60 (a and c) and 240 (b and d) days. Means ± standard error. Mean comparison test (LSD, H=0.05). n=5.

Figure 5: Total chlorophyll content in leaves of Brachiaria brizantha and Clitoria ternatea grew in mesocosms contaminated the soil with four concentrations of crude oil, after 60 (a and c) and 240 (b and d) days. Means ± standard error. Mean comparison test (LSD, H=0.05). n=5.

DISCUSSION

Increasing concentrations of crude oil caused significant reduction of bacterial populations at initial sampling time, thus, proving the negative effects of this contaminant, which also acts as a selective toxic agent. Chikere et al., (2009) indicated that the reduction of bacterial populations is an adaptive response to petroleum hydrocarbons because of their hydrophobic properties that reduce the enzyme activity and the ability of plants and microorganisms to absorb water and nutrients (Van Hamme et al., 2003; Osuji and Nwoye, 2007; Nie et al., 2011). Also, microorganisms compete for available nutrients and energy sources; thereby the microbial population is restricted (Miranda-Martínez et al., 2007). Nevertheless, after 60 days, the recovery of NFFLB and PSB was observed since their populations were higher than the control. The growth of bacterial populations may be due to the selective effects of crude oil on soil microorganisms, favoring those with the ability to degrade or utilize petroleum hydrocarbons as a source of carbon and energy (Delille et al., 2003; García et al., 2013; Trujillo-Narcia et al., 2014) which prevailed over time. For example, Proteobacteria and Actinobacteria are dominant bacterial groups in contaminated soils and able to metabolize hydrocarbons (Yang et al., 2014). Delille et al., (2003) and Kaplan and Kitts, (2004) mentioned that when an event of oil pollution occurs there is a first microbial process of fast degradation of labile or less toxic fractions of hydrocarbons; as these fractions are consumed, a second degradation phase starts in which the remaining toxic compounds are attacked.

Furthermore, these processes are regulated by both physicochemical properties of hydrocarbons and environmental conditions (Stroud et al., 2007). Although no analyses of hydrocarbon degradation were performed, the described microbial processes explain in part the significant recovery of bacterial populations after 60 days.

Undoubtedly, tap water irrigation may contribute with the addition of some microorganisms to mesocosms, but petroleum hydrocarbons acted as a selective agent from the beginning of experimentation, so at the end time (240 days), this contaminant acted on the recovery and stabilization of well-adapted NFFLB and PSB populations, and on the increased colonization of AMF and nodule-forming rhizobacteria. This phenomenon was described by Liste and Felgentreu, (2006) with legumes and grasses in fields exposed to petroleum hydrocarbons.

Crude oil significantly affected the formation of nodules by native rhizobia in roots of C. ternatea. Few studies have described the negative effects of petroleum hydrocarbons on rhizobial nodulation; overall nodulation decreases in those legumes exposed to petroleum hydrocarbons, either at controlled or natural conditions (Lindström et al., 2003; Rivera-Cruz et al., 2005; De Farias et al., 2009). At 240 days, nodulation in Clitoria plants showed certain recovery at 6000 mg kg-1. In this regard, petroleum hydrocarbons may promote the N-fixation by rhizobial nodules in legumes grown in contaminated boreal soils (Yan et al., 2015); however, further studies are needed to evaluate the effects of hydrocarbons on the nitrogenase activity under petroleum contamination. In this regard, the functionality of nodules in terms of leghemoglobin content (pink coloration) or nitrogenase activity was considered in the present study since the aim of this research was focused on the expression of nodules in roots due to the recovery of native rhizobia in the soil.

Either AMF colonization or number of spores decreased significantly as crude oil concentrations increased, which concurs with negative effects of petroleum hydrocarbons on AMF (Cabello, 1997; Gaspar et al., 2002; Franco-Ramírez et al., 2007; Bento et al., 2012; García et al., 2013; Driai et al., 2015). However, our results denote that AMF sporulation showed a recovery at 240 days (Figure 2b), and AMF colonization also increased in roots of Brachiaria when grown in treatments with 6000 to 12000 mg kg-1, at 240 days (Figure 3 b). The sporulation represents an AMF strategy to ensure their progeny under environmentally stressful conditions; moreover, AMF colonization may increase plant resistance to abiotic stresses (Harrier and Watson, 2004).

Phytotoxicity of crude oil resulted in decreased dry biomass of Brachiaria, and more dramatically in Clitoria, which was more susceptible to contamination, excepting at 60 days at 3000 mg kg-1 when its biomass increased, probably due to the nutrient availability provided for the proliferation of PSB, for instance. Excepting this, the results concur to those effects described for several plant species including non-legume or legume species under contaminated soils at greenhouse conditions (Adenipekun et al., 2008; Bento et al., 2012; Baruah et al., 2014; Kuo et al., 2014). Furthermore, legumes have been described as highly sensitive species than grasses to organic contaminants (Spiares et al., 2001; Pilon-Smits, 2005). Moreover, the presence of AMF and rhizobia in roots of legume species allows better tolerance and growth when grown under oil-contaminated soil, showing high AMF colonization and number of nodules. Our results suggest that effects of crude oil on microbial populations in the rhizosphere of grasses and legumes are time depending, because meanwhile the NFFLB, PSB, and AMF showed a stabilization and recovery tendencies along experimentation, but the nodule formation for rhizobia was depressed at 240 days.

Moreover, petroleum hydrocarbons result in positive impacts on symbiotic microorganisms in plants. The beneficial effects of culturable bacteria and symbiotic microorganisms on plant species also resulted in diminishing the content of petroleum hydrocarbons in mesocosms. Overall, petroleum degradation in the mesocosms ranged from 53 % at mesocosms contaminated with 3000 mg kg-1 to ~ 33 % in average for mesocosms with 9000 and 12000 mg kg-1, at the end of experimentation (data not shown).

Conversely, the total chlorophyll content was higher in Clitoria when compared to Brachiaria, denoting that Clitoria despite being highly sensitive to contamination, establishes symbiosis with rhizobia by which both N-assimilation and total chlorophyll content are improved, especially at concentrations below 12000 mg kg-1. Although the biomass of Brachiaria was greater than that achieved for Clitoria, the high content of total chlorophyll in this legume may be in part explained due to the accumulation of this photosynthetic pigment in reduced leaf area, whereas in Brachiaria this accumulation may be diluted in greater leaf area. In this regard, the symbiosis between nitrogen-fixers may promote the growth of legumes in contaminated soils with crude oil, in which the C/N ratio is generally high (Adam and Duncan, 2003). This bacterial benefit was additionally improved by AMF colonization over time, which could contribute on improving N and P plant uptake and consequently on plant growth (Tang et al., 2009; Wang et al., 2017). The chlorophyll content is a critical parameter used as an indicator of plant stress under adverse conditions (Dai et al., 2009). Nevertheless, total chlorophyll content may not be a suitable indicator of plant toxicity, but some reports indicate that organic contaminants may affect the content of photosynthetic pigments in plant species from terrestrial and marine ecosystems (Odjegba and Sadiq, 2002; Catriona et al., 2003; Njoku et al., 2008; Tanee and Akonye, 2009; Naidoo et al., 2010; Bento et al., 2012). However, crude oil concentrations impaired growth of both plant species.

CONCLUSIONS

The crude oil did not modify the populations of NFB and PSB along experimentation until 240 days. In contrast, at the beginning of the experiment, the contaminant significantly decreased the population of both rhizobia and AMF in the rhizosphere of C. ternatea and B. brizantha, but these microorganisms showed significant recovery at 240 days. Also, crude oil induced phytotoxic effects in both plant species, then limiting their growth. All microbial populations assessed in this research tend to increase over time, to show certain resilience to the contaminant, and thus, to sustain plant growth and fitness under these stressful conditions.

Acknowledgements

ACKNOWLEDGMENT

This work was financed by the grant SEP-CONACYT 79456. MG-D thanks the Mexican Council of Science and Technology (CONACYT) for financial support during his master studies. Special thanks to Dr. Gabriela Sánchez-Viveros for providing soils utilized in this research. Authors thank all the comments and suggestions provided by two anonymous reviewers.

REFERENCES

  1. Adam G, Duncan H. The effect of diesel fuel on common vetch (Vicia sativa L.) plants. Environ Geochem Health. 2003;25(1):123-130. Doi: http://dx.doi.org/10.1023/A:1021228327540 [URL] 🠔
  2. Adenipekun CO, Oyetunji OJ, Kassim LS. Effect of spent engine oil on the growth parameters and chlorophyll content of Corchorus olitorius Linn. Environ. 2008;28(4):446-450. Doi: https://dx.doi.org/10.1007/s10669-008-9165-5 [URL] 🠔
  3. Akutam A, Pappoe ANM, Armah FA, Enu-Kwesi L. Phytoremediation potential of indigenous Ghanaian grass and grass-like species grown on used motor oil contaminated soils. J Ecol Environ. 2014;37(2):41-51. Doi: https://dx.doi.org/10.5141/ecoenv.2014.006 [URL] 🠔
  4. Alejandro-Córdova A, Rivera-Cruz MC, Hernández-Cuevas LV, Alarcón A, Trujillo-Narcía A, García-de la Cruz R. Responses of arbuscular mycorrhizal fungi and grass Leersia hexandra Swartz exposed to soil with crude oil. Water Air Soil Pollut. 2017;228(65):1-12. Doi: https://dx.doi.org/10.1007/s11270-017-3247-2 [URL] 🠔
  5. Alarcón A, Davies FT, Autenrieth, RL, Zuberer DA. Arbuscular mycorrhiza and petroleum-degrading microorganisms enhanced phytoremediation of petroleum-contaminated soil. Int J Phytorem. 2008;10(4):251-263. Doi: https://dx.doi.org/10.1080/15226510802096002 [URL] 🠔
  6. Alkorta I, Hernández-Allica J, Becerril JM, Amezaga I, Albizu I, Garbisu C. Recent findings on the phytoremediation of soils contaminated with environmentally toxic heavy metals and metalloids such as zinc, cadmium, lead, and arsenic. Rev Environ Sci BioTechnol. 2004;3(1):71-90. Doi: https://dx.doi.org/10.1023/B:RESB.0000040059.70899.3d [URL] 🠔
  7. Barea JM. Biología de la rizosfera. Inv Ciencia. 1998;256:74-81. 🠔
  8. Baruah P, Saikia RR, Baruah PP, Deka S. Effect of crude oil contamination on the chlorophyll content and morpho-anatomy of Cyperus brevifolius (Rottb.) Hassk. Environ Sci Pollut Res Int. 2014;21(21):12530-12538. Doi: https://dx.doi.org/10.1007/s1 1356-014-3195-y [URL] 🠔
  9. Bento RA, Saggin-Júnior OJ, Pitard RM, Straliotto R, Ribeiro SEM, De Lucena-Tavares SR et al. Selection of leguminous trees associated with symbiont microorganisms for phytoremediation of petroleum-contaminated soil. Water Air Soil Pollut. 2012;223(9):5659-5671. Doi: https://dx.doi.org/10.1007/s1 1270-012-1305-3 [URL] 🠔
  10. Binet P, Portal JM, Leyval C. Application of GC±MS to the study of anthracene disappearance in the rhizosphere of ryegrass. Org Geochem. 2001;32(2):217-222. Doi: https://dx.doi.org/10.1016/S0146-6380(00)00168-6 [URL] 🠔
  11. Cabello MN. Hydrocarbon pollution: its effect on native arbuscular mycorrhizal fungi (AMF). FEMS Microbiol Ecol. 1997;22(3):233-236. Doi: https://dx.doi.org/10.1111/j.1574-6941.1997.tb00375.x [URL] 🠔
  12. Cabello MN. Mycorrhizas and hydrocarbons. In: Fungi in Bioremediation, Gadd GM Editors. Surrey: British Mycological Society; 2001; p. 456-471. 🠔
  13. Castillo C, Astroza I, Borie F, Rubio R. Efecto de cultivos hospederos y no hospederos sobre propágulos micorrízicos arbusculares. Rev Cienc Suelo NutrVeg. 2008;8(1):37-54. Doi: https://dx.doi.org/10.4067/S0718-27912008000100004 [URL] 🠔
  14. Catriona MO, Macinnis-Ng P, Ralph J. In situ impact of petrochemicals on the photosynthesis of the seagrass Zostera capricorni. Mar Pollut Bull. 2003;46(11):1395-1407. Doi: https://dx.doi.org/10.1016/S0025-326X(03)00290-X [URL] 🠔
  15. Châineau CH, Yepremian C, Vidalie JF, Ducreux J, Ballerini D. Bioremediation ofa crude oil-polluted soil: biodegradation, leaching and toxicity assessments. Water Air Soil Poll. 2003;144(1):419-440. Doi: https://dx.doi.org/10.1023/A:1022935600698 [URL] 🠔
  16. Chibuike GU. Use of mycorrhiza in soil remediation: A review. Sci Res Essays. 2013;8(35):1679-1687. Doi: https://dx.doi.org/10.5897/SRE2013.5605 [URL] 🠔
  17. Chikere CB, Okpokwasili GC, Chikere BO. Bacterial diversity in a tropical crude oil-polluted soil undergoing bioremediation. African J Biotechnol. 2009;8(11):2535-2540. 🠔
  18. Dai Y, Shen Z, Liu Y, Wanga L, Hannaway D, Lu H. Effects of shade treatments on the photosynthetic capacity, chlorophyll fluorescence, and chlorophyll content of Tetrastigma hemsleyanum Diels et Gilg. Environ Exp Bot. 2009;65(2-3):177-182. Doi: https://dx.doi.org/10.1016/j.envexpbot.2008.12.008 [URL] 🠔
  19. Dajoz R, Leiva-Morales MJ. Tratado de ecología. 2a ed. Madrid: Mundi Prensa; 2002. 600 p. 🠔
  20. De Farias V, Maranho LT, Carvalho De Vasconcelos E, Da Silva Carvalho FA, Lacerda LG, Menegassi-Azevedo JÁ et al.. Phytodegradation potential of Erythrina cristagalli L., Fabaceae, in petroleum-contaminated soil. Appl Biochem Biotechnol. 2009; 157(1):10-22. Doi: https://dx.doi.org/10.1007/s12010-009-8531-1 [URL] 🠔
  21. De Ridder-Duine AS, Kowalchuk GA, Klein-Gunnewiek PJA, Gunnewiek K, Smant W, Van Veen JA et al. Rhizosphere bacterial community composition in natural stands of Carex arenaria (sand sedge) is determined by bulk soil community composition. Soil Biol Biochem. 2005;37(2):349-357. Doi: https://dx.doi.org/10.1016/j.soilbio.2004.08.005 [URL] 🠔
  22. Delille D, Pelletier E, Delille B, Coulon F. Effect of nutrients enrichment on the bacterial assemblage of Antarctic soils contaminated by diesel or crude oil. Polar Record. 2003;39(4):1-10. Doi: https://dx.doi.org/10.1017/S0032247402002863 [URL] 🠔
  23. Dellagnezze BM, Vasconcelos SG, Lopes ML, Ferreira DD, Limache EEG, Pantaroto VS et al. Bioremediation potential of microorganisms derived from petroleum reservoirs. Mar Pollut Bull. 2014;89(1-2):191-200. Doi: https://dx.doi.org/10.1016/j.marpolbul.2014.10.003 [URL] 🠔
  24. Dere S, Günes T, Sivaci R. Spectrophotometric determination of chlorophyll -a, b and total carotenoid contents of some algae species using different solvents. Tr J Bot. 1998;22:13-17. 🠔
  25. Driai S, Verdin A, Laruelle F, Beddiar A, Sahraoui AL-H. Is the arbuscular mycorrhizal fungus Rhizophagus irregularis able to fulfil its life cycle in the presence of diesel pollution? Int Biodeter Biodegr. 2015;105:58-65. Doi: https://doi.org/10.1016/j.ibiod.2015.08.012 [URL] 🠔
  26. Essien J, Udoukpo F, Etesin U, Etuk H. Activities of hydrocarbon-utilizing and diazotrophic bacteria in crude oil impacted mangrove sediments of the Qua Iboe Estuary, Nigeria. Geosyst Engineer. 2013;16(2):165-174. Doi: http://dx.doi.org/10.1080/12269328.2013.805026 [URL] 🠔
  27. Ferrera-Cerrato R, Alarcón A. Rizosfera: Interacción suelo, planta y microorganismos. In: Ecología de la raíz, Fuentes-Dávila G, Ferrera-Cerrato R, editor(s). 2a ed. Ciudad Obregón: Sociedad Mexicana de Fitopatología, A.C.; 2007. p. 1-26. 🠔
  28. Franco I, Contin M, Bragato G, De Nobili M. Microbiological resilience of soils contaminated with crude oil. Geoderma. 2004;121(1-2):17-30. Doi: https://dx.doi.org/10.1016/j.geoderma.2003.10.002 [URL] 🠔
  29. Franco-Ramírez A, Ferrera-Cerrato R, Varela-Fregoso L, Pérez-Moreno J, Alarcón A. Arbuscular mycorrhizal fungi in chronically petroleum contaminated soils in Mexico and the effects of petroleum hydrocarbons on spore germination. J Basic Microbiol. 2007;47(5):378-383. Doi: https://dx.dor.org/10.1002/jobm.200610293 [URL] 🠔
  30. García E, Ferrera-Cerrato R, Almaráz JJ, Rodríguez R, García E. Biodegradación de queroseno en la rizósfera de gramíneas en condiciones de invernadero. Agron Costarricense. 2013;37(2):125-134. 🠔
  31. Gaspar ML, Cabello MN, Cazau MC, Pollero RJ. Effect of phenanthrene and Rhodotorula glutinis on arbuscular mycorrhizal fungus colonization of maize roots. Mycorrhiza. 2002; 12(2):55-59. Doi: https://dx.doi.org/10.1007/s00572-001-0147-4 [URL] 🠔
  32. Gerdemann JW, Nicolson TH. Spores of mycorrhizal endogone species extracted from soil by wet sieving and decanting. Trans Br Mycol Soc. 1963;46(2):235-244. Doi: https://dx.doi.org/10.1016/S0007-1536(63)80079-0 [URL] 🠔
  33. Gerdes B, Brinkmeyer R, Dieckmann G, Helmke E. Influence of crude oil on changes of bacterial communities in Arctic sea-ice. FEMS Microbiol Ecol. 2005;53(1):129-139. Doi: https://dx.doi.org/10.1016/j.femsec.2004.11.010 [URL] 🠔
  34. Harrier LA, Watson CA. The potential role of arbuscular mycorrhizal (AM) fungi in the bioprotection of plants against soilborne pathogens in organic and/or other sustainable farming systems. Pest Manage Sci. 2004;60(2):149-157. Doi: https://dx.doi.org/10.1002/ps.820 [URL] 🠔
  35. Hayat R, Ali S, Amara U, Khalid R, Ahmed I. Soil beneficial bacteria and their role in plant growth promotion: a review. Ann Microbiol. 2010;60(4):579-598. Doi: https://dx.doi.org/10.1007/s13213-010-0117-1 [URL] 🠔
  36. Hernández-Ortega HA, Alarcón A, Ferrera-Cerrato R, Zavaleta-Mancera HA, López-Delgado HA, Mendoza-López MR. Arbuscular mycorrhizal fungi on growth, nutrient status, and total antioxidant activity of Melilotus albus during phytoremediation of a diesel-contaminated substrate. J Environ Manage. 2012;95:S319-324. Doi: https://dx.doi.org/10.1016/j.jenvman.2011.02.015 [URL] 🠔
  37. Hubalek T, Vosáhlová S, Matêju V, Kovácová N, Novotny C. Ecotoxicity monitoring of hydrocarbon-contaminated soil during bioremediation: a case study. Arch Environ Contam Toxicol. 2007;52(1):1-7. Doi: https://dx.doi.org/10.1007/s00244-006-0030-6 [URL] 🠔
  38. Jeffries P, Gianinazzi S, Perotto S, Turnau K, Barea J-M. The contribution of arbuscular mycorrhizal fungi in sustainable maintenance of plant health and soil fertility. Biol Fertil Soils. 2003;37(1):1-16. Doi: https://dx.doi.org/10.1007/s00374-002-0546-5 [URL] 🠔
  39. Joner EJ, Leyval C. Phytoremediation of organic pollutants using mycorrhizal plants: A new aspect of rhizosphere interactions. Agronomie 2003;23(5):495-502. Doi: https://dx.doi.org/10.1051/agro:2003021 [URL] 🠔
  40. Kaplan CW, Kitts CL. Bacterial succession in a petroleum land treatment unit. Appl Environ Microbiol. 2004;70(3):1777-1786. Doi: https://dx.doi.org/10.1128/AEM.70.3.1777-1786.2004 [URL] 🠔
  41. Kuo HC, Juang DF, Yang L, Kuo W-C, Wu Y-M. Phytoremediation of soil contaminated by heavy oil with plants colonized by mycorrhizal fungi. Int J Environ Sci Technol 2014;11(6):1661-1668. Doi: https://dx.doi.org/10.1007/s13762-013-0353-6 [URL] 🠔
  42. Labud V, Garcia C, Hernandez T. Effect of hydrocarbon pollution on the microbial properties of a sandy and a clay soil. Chemosphere 2007;66(10):1863-1871. Doi: https://dx.doi.org/10.1016/j.chemosphere.2006.08.021 [URL] 🠔
  43. Li G, Huang W, Lerner DN, Zhang X. Enrichment of degrading microbes and bioremediation ofpetrochemical contaminants in polluted soil. Water Res. 2000;34(15):3845-3853. Doi: https://dx.doi.org/10.1016/S0043-1354(00)00134-2 [URL] 🠔
  44. Linderman RG. Effects of mycorrhizas on plant diseases. In: Kapulnick Y, Douds DD editor(s). Arbuscular mycorrhizas: physiology and function. Amsterdam: Kluwer Academic Press; 2000. p. 345-366. 🠔
  45. Lindström K, Jussila MM, Hintsa H, Kaksonen A, Mokelke L, Mäkeläinen K et al. Potential of the Galega-Rhizobium galegae system for bioremediation of oil-contaminated soil. Food Technol Biotechnol. 2003;41(1):11-16. 🠔
  46. Liste HH, Felgentreu D. Crop growth, culturable bacteria and degradation of petrol hydrocarbons (PHCs) in a long-term contaminated field soil. Appl Soil Ecol. 2006;31(1-2):43-52. Doi: https://dx.doi.org/10.1016/j.apsoil.2005.04.006 [URL] 🠔
  47. Liu SL, Luo YM, Cao ZH, Wu LH, Ding KQ, Christie P. Degradation of benzo[a]pyrene in soil with arbuscular mycorrhizal alfalfa. Environ Geochem Health 2004;26(2):285-293. Doi: https://dx.doi.org/10.1023/B:EGAH.0000039592.80489.e5 [URL] 🠔
  48. Lorch HJ, Benckieser G, Ottow JCG. Basic methods for counting microorganisms in soil and water. In: Methods in applied soil microbiology and biochemistry, Alef K, Nannipieri P, editor(s). New York: Academic Press; 1995. p. 146-161. 🠔
  49. Miranda-Martínez R, Delgadillo-Martínez J, Alarcón A, Ferrera-Cerrato R. Degradación de fenantreno por microorganismos en la rizosfera del pasto alemán. Terra Latinoamer. 2007;25(1):25-33. 🠔
  50. Mitter B, Brader G, Afzal M, Compant S, Naveed M, Trognitz F et al. Chapter seven - Advances in elucidating beneficial interactions between plants, soil, and bacteria. Adv Agron. 2013;121:381-445. Doi: https://dx.doi.org/10.1016/B978-0-12-407685-3.00007-4 [URL] 🠔
  51. Morales-Guzmán G, Ferrera-Cerrato R, Rivera-Cruz MC, Torres-Bustillos LG, Arteaga-Garibay RI, Mendoza-López MR et al. A. Diesel degradation by emulsifying bacteria isolated from soils polluted with weathered petroleum hydrocarbons. Appl Soil Ecol. 2017;121:127-134. Doi: https://dx.doi.org/10.1016/j.apsoil.2017.10.003 [URL] 🠔
  52. Nageswara-Rao CV, Afzal M, Malallah G, Kurian M, Gulshan S. Hydrocarbon uptake by roots of Vicia faba (Fabaceae). Environ Monitor Assessment 2007;132(1-3):439-443. Doi: https://dx.doi.org/10.1007/s10661-006-9546-5 [URL] 🠔
  53. Naidoo G, Naidoo Y, Achar P. Responses of the mangroves Avicennia marina and Bruguiera gymnorrhiza to oil contamination. Flora. 2010;205(5):357-362. Doi: https://dx.doi.org/10.1016/j.flora.2009.12.033 [URL] 🠔
  54. Nie M, WangY, YuJ, Xiao M, Jiang L, Yang J et al. Understanding plant-microbe interactions for phytoremediation of petroleum polluted soil. Plos One 2011;6:e17961. Doi: https://dx.doi.org/10.1371/journal.pone.0017961 [URL] 🠔
  55. Njoku KL, Akinola MO, Oboh BO. Growth and performance ofGlycine max L. (Merrill) grown in crude oil contaminated soil augmented with cow dung. Life Sci J. 2008;5(3):48-56. 🠔
  56. Odjegba VJ, Sadiq AO. Effects of spent engine oil on the growth parameters, chlorophyll and protein levels of Amaranthus hybridus L. The Environ. 2002;22(1):23-28. Doi: https://dx.doi.org/10.1023/A:1014515924037 [URL] 🠔
  57. Osuji LC, Nwoye I. An appraisal of the impact of petroleum hydrocarbons on soil fertility: the Ozawa experience. Afr J Agric Res. 2007;2(7)318-324. 🠔
  58. Phillips JM, Hayman DS. Improved procedures for clearing roots and staining parasitic and vesicular-arbuscular mycorrhizal fungi for rapid assessment of infection. Trans Br Mycol Soc. 1970;55(1):158-161. Doi: https://dx.doi.org/10.1016/S0007-1536(70)80110-3 [URL] 🠔
  59. Pilon-Smits E. Phytoremediation. Annu. Rev Plant Biol. 2005;56:15-39. Doi: https://dx.doi.org/10.1146/annurev.arplant.56.032604.144214 [URL] 🠔
  60. Ramírez-Elías MA, Ferrera-Cerrato R, Alarcón A, Almaraz JJ, Ramírez-Valverde G, de-Bashan LE et al. Identification of culturable microbial functional groups isolated from the rhizosphere of four species of mangroves and their biotechnological potential. Appl Soil Ecol. 2014;82:1-10. Doi: https://dx.doi.org/10.1016/j.apsoil.2014.05.001 [URL] 🠔
  61. Rennie RJ. A single medium for the isolation ofacetylene reducing (dinitrogen-fixing) bacteria from soils. Can J Microbiol. 1981;27(1):8-14. Doi: https://dx.doi.org/10.1139/m81-002 [URL] 🠔
  62. Rivera-Cruz MC, Trujillo-Narcia A, Miranda De La Cruz MA, Maldonado Chávez E. Evaluación toxicological de suelos contaminados con petróleos nuevo e intemperizado mediante ensayos con leguminosas. Interciencia. 2005;30(6):326-331. 🠔
  63. Sangabriel W, Ferrera-Cerrato R, Trejo-Aguilar D, Mendoza-López MR, Cruz-Sánchez JS, López-Ortiz C et al. Tolerancia y capacidad de fitorremediación de combustóleo en el suelo por seis species vegetales. Rev Int Contam Ambien. 2006;22(2):63-73. 🠔
  64. Sanon A, Andrianjaka ZN, Prin Y, Bally R, Thioulouse J, Comte G et al. Rhizosphere microbiota interfers with plant-plant interactions. Plant Soil. 2009;321(1-2):259-278. Doi: https://dx.doi.org/10.1007/s11104-009-0010-5 [URL] 🠔
  65. SAS Institute Inc. The SAS system for windows, ver. 9.0. North Carolina: SAS Institute Inc.; 2002. 🠔
  66. Singh DK. Biodegradation and bioremediation of pesticide in soil: concept, method and recent developments. Indian J Microbiol. 2008;48(1):35-40. Doi: https://doi.org/10.1007/s12088-008-0004-7 [URL] 🠔
  67. Spiares JD, Kenworthy KE, Rhykerd RL. Root and shoot biomass of plants seeded in crude oil contaminated soil. Texas J Agric Nat Res. 2001;14:117-124. 🠔
  68. Stroud JL, Paton GI, Semple KT. Microbe-aliphatic hydrocarbon interactions in soil: implications for biodegradation and bioremediation. J Appl Microbiol. 2007;102:1239-1253. Doi: https://dx.doi.org/10.1111/j.1365-2672.2007.03401.x [URL] 🠔
  69. Subba-Rao NS. Biofertilizers in Agriculture. New Delhi: Oxford and IBH Publishing; 1993. 208 p. 🠔
  70. Sun W, Dong Y, Gao P, Fu M, Ta K, LI J. Microbial communities inhabiting oil-contaminated soils from two major oilfields in Northern China: implications for active petroleum-degrading capacity. J Microbiol. 2015;53(6):371-378. Doi: https://dx.doi.org/10.1007/s12275-015-5023-6 [URL] 🠔
  71. Tanee FBG, Akonye LA. Effectiveness of Vigna unguiculata as a phytoremediation plant in the remediation of crude oil polluted soil for Cassava (Manihot esculenta; Crantz) cultivation. J Appl Sci Environ Manag. 2009;13(1):43-47. Doi: https://dx.doi.org/10.4314/jasem.v13i1.55263 [URL] 🠔
  72. Tang M, Chen H, Huang JC, Tian ZQ. AM fungi effects on the growth and physiology of Zea mays seedlings under diesel stress. Soil Biol Biochem. 2009;41(5):936-940. Doi: https://doi.org/10.1016/j.soilbio.2008.11.007 [URL] 🠔
  73. Trujillo-Narcia A, Rivera-Cruz M, Lagunes-Espinoza LC, Palma-López DJ, Sánchez-Soto S, Ramírez-Valverde G. Uso de fertilizantes orgánicos en la enmendación de un fluvisol restaurado tras la contaminación con petróleo. Interciencia 2014;39(4):266-273. 🠔
  74. Ullah A, Mushtaq H, Ali H, Munis MF, Javed MT, Chaudhary HJ. Diazotrophs-assisted phytoremediation of heavy metals: a novel approach. Environ Sci Pollut Res. 2015;22(4):2505-2514. Doi: https://dx.doi.org/10.1007/s11356-014-3699-5 [URL] 🠔
  75. Van Hamme JD, Singh A, Ward O. Recent advances in petroleum microbiology. Microbiol Molec Biol Rev. 2003;67(4):503-549. Doi: https://dx.doi.org/10.1128/MMBR.67.4.503-549.2003 [URL] 🠔
  76. Walker TS, Bais HP, Grotewold E, Vivanco JM. Root exudation and rhizosphere biology. Plant Physiol. 2003;132:44-51. Doi: https://dx.doi.org/10.1104/pp.102.019661 [URL] 🠔
  77. Wang W, Shi J, Xie Q, Jiang Y, Yu N, Wang E. Nutrient exchange and regulation in arbuscular mycorrhizal symbiosis. Molecular Plant. 2017;10(9):1147-1158. Doi: https://dx.doi.org/10.1016/j.molp.2017.07.012 [URL] 🠔
  78. Weidmann S, Sánchez L, Descombin J, Chatagnier O, Gianinazzi S, Gianinazzi-Pearson V. Fungal elicitation of signal transduction-related plant genes precedes mycorrhiza establishment and requires the dmi3 gene in Medicago truncatula. Mol Plant-Microbe Interact. 2004;17(12):1385-1393. Doi: https://dx.doi.org/10.1094/MPMI.2004.17.12.1385 [URL] 🠔
  79. Yan L, Penttinen P, Stoddard FL, Lindström K. Perennial crop growth in oil-contaminated soil in a boreal climate. Sci Total Environ. 2015;532:752-761. Doi: https://dx.doi.org/10.1016/j.scitotenv.2015.06.052 [URL] 🠔
  80. Yang S, Wen X, Zhao L, Shi Y, Jin H. Crude oil treatment leads to shift of bacterial communities in soils from the deep active layer and upper permafrost along the China-Russia crude oil pipeline route. PlosOne. 2014;9:e96552. Doi: https://dx.doi.org/10.1371/journal.pone.0096552 [URL] 🠔
  81. Zhang Q, Zhou Q, Ren L, Zhu YG, Sun SL. Ecological effects of crude oil residues on the functional diversity of soil microorganism in three weed rhizospheres. J Environ Sci. 2006;18(6):1101-1106. Doi: https://dx.doi.org/10.1016/S1001-0742(06)60046-6 [URL] 🠔
  82. Zhou G, Wang Y, Zhai S, Ge F, Liu ZH, Dai YJ et al. Biodegradation of the neonicotinoid insecticide thiamethoxam by the nitrogen-fixing and plant-growth-promoting rhizobacterium Ensifer adhaerens strain TMX-23. Appl Microbiol Biotechnol. 2013;97(9):4065-4074. Doi: https://dx.doi.org/10.1007/s00253-012-4638-3 [URL] 🠔
  83. Zhuang X, Chen J, Shim H, Bai Z. New advances in plant growth-promoting rhizobacteria for bioremediation. Environ Int. 2007;33(3):406-413. Doi: https://dx.doi.org/10.1016/j.envint.2006.12.005. [URL] 🠔
Juan F. González.
Alarcón A, García-Díaz M, Hernández-Cuevas L V, Esquivel-Cote R, Ferrera-Cerrato R, Almaraz-Suarez J J, Ferrera-Rodríguez O. Impact of crude oil on functional groups of culturable bacteria and colonization of symbiotic microorganisms in the Clitoria-Brachiaria rhizosphere grown in mesocosms. Acta biol. Colomb. 2019;24(2):343-353. DOI: http://dx.doi.org/10.15446/abc.v24n2.64771
The authors declare that they have no conflict of interest.