Acta Biológica Colombiana
0120-548X
Universidad Nacional de Colombia, Facultad de Ciencias, Departamento de Biología
https://doi.org/10.15446/abc.v23n1.64962

Recibido: 24 de mayo de 2017; Revision Received: 15 de septiembre de 2017; Aceptado: 11 de noviembre de 2017

PHOTOSYNTHETIC RESPONSE TO LOW AND HIGH LIGHT OF CACAO GROWING WITHOUT SHADE IN AN AREA OF LOW EVAPORATIVE DEMAND

Respuestas fotosintéticas de cacao cultivado sin sombra a alta y baja radiación en áreas de baja demanda evaporativa

R. JAIMEZ, 1 2 4 7 * F. AMORES PUYUTAXI, 1 3 A. VASCO, 3 R. Gastón LOOR, 1 O. TARQUI, 1 G. QUIJANO, 1 J. JIMENEZ, 1 W. TEZARA, 5 6

Instituto Nacional de Investigaciones Agropecuarias, Estación Experimental Tropical Pichilingue. Quevedo, Ecuador. Instituto Nacional de Investigaciones Agropecuarias Quevedo Ecuador
Facultad de Ciencias Ambientales, Universidad Técnica Estatal de Quevedo. Quevedo, Ecuador. Universidad Técnica Estatal de Quevedo Facultad de Ciencias Ambientales Universidad Técnica Estatal de Quevedo Quevedo Ecuador
Facultad de Ciencias Agrícolas, Universidad Técnica Estatal de Quevedo. Quevedo, Ecuador. Universidad Técnica Estatal de Quevedo Facultad de Ciencias Agrícolas Universidad Técnica Estatal de Quevedo Quevedo Ecuador
Laboratorio Ecofisiología de Cultivo, Instituto de Investigaciones Agropecuarias, Universidad de Los Andes. Mérida, Venezuela. Universidad de Los Andes Instituto de Investigaciones Agropecuarias Universidad de Los Andes Mérida Venezuela
Facultad de Ciencias Agropecuarias y Ambientales, Universidad Técnica Luis Vargas Torres. Esmeraldas, Ecuador. Facultad de Ciencias Agropecuarias y Ambientales Universidad Técnica Luis Vargas Torres Esmeraldas Ecuador
Instituto de Biología Experimental, Facultad de Ciencias, Universidad Central de Venezuela. Caracas, Venezuela. Universidad Central de Venezuela Instituto de Biología Experimental Facultad de Ciencias Universidad Central de Venezuela Caracas Venezuela
Facultad de Ingeniería Agronomica, Universidad Técnica de Manabi. Manabi. Ecuador. Facultad de Ingeniería Agronomica Universidad Técnica de Manabi Manabi Ecuador

For correspondence. rjaimezarellano@gmail.com

ABSTRACT

Cacao (Theobroma cacao L.) breeding programmes in Ecuador have focused on obtaining high-yield clones with improved disease resistance. Cacao clones should also have photosynthetic characteristics which support increased productivity. Regarding the weather conditions at the coast of Ecuador, where most of the year there are overcasts and low air evaporative demand, there is the possibility to grow cacao without overhead shade. This study focused on the photosynthetic response at two different photosynthetic photon flux densities (PPFD) of Ecuadorian cacao clones. Seven-year old cacao clones were evaluated: eight clones of Nacional type and two commercial clones (CCN 51 and EET 103), used as controls. All clones showed an increase of 35 % on average in net photosynthetic rate (A)with increasing PPFD from the light saturation point for cacao (i.e. 400 μmol m-2 s-1) to high values (1000 μmol 2 s-1). Such light responsiveness in A has not been reported before. Higher A was associated with higher apparent electron transport rate, while high stomatal conductance was maintained under both PPFD conditions. Under high PPFD, low non-photochemical quenching values were found, suggesting low energy dissipation. All clones showed high maximum quantum yields of PSII (Fv/Fm), suggesting the absence of damage of the photochemical system.

Keywords:

cacao yield, chlorophyll fluorescence, CO2 assimilation rate, gas exchange.

RESUMEN

Los programas de mejoramiento de cacao (Theobroma cacao L.) en Ecuador se han centrado en la obtención de clones de alto rendimiento con mayor resistencia a las enfermedades. Estos clones también deben tener características fotosintéticas que apoyen una mayor productividad. En las condiciones climáticas en la costa de Ecuador, donde la mayor parte del año hay alta densidad de nubes y baja demanda evaporativa, existe la posibilidad de cultivar cacao sin sombra. Este estudio se centró en la respuesta fotosintética de clones de cacao del Ecuador en dos diferentes densidades de flujo de fotones fotosintéticos (PPFD). Se evaluaron diez clones de cacao de siete años de edad: ocho clones de tipo Nacional recientemente desarrollados por el Instituto Nacional de investigaciones Agropecuarias, y dos clones comerciales utilizados como controles (CCN 51 y EET 103). Todos los clones de cacao mostraron un aumento del 35 % en promedio en la tasa fotosintética neta (A) con el incremento del PPFD desde el punto de saturación de luz para el cacao (400 μmol m -2 s -1) hasta valores altos (1000 μmol m -2 s- 1). Dicha respuesta de A a estas condiciones de luz alta no se ha reportado en cacao. La tasa fotosintética neta se asoció con una mayor velocidad aparente de transporte de electrones (J), mientras que la alta conductancia estomática (gs) se mantuvo en ambas condiciones de PPFD. En condiciones de alto PPFD, se encontraron bajos valores del coeficiente de extinción no fotoquímico (NPQ), lo que sugiere una baja disipación de energía, además de presentarse altos rendimientos cuánticos máximos de PSII (Fv / Fm), indicando la ausencia de daño del sistema fotoquímico.

Palabras clave:

Fluorescencia clorofila, intercambio gases, producción de cacao, tasa de asimilación de CO2.

INTRODUCTION

Ecuador is currently the largest producer of cacao (Theobroma cacao L.) in Latin America. In 2015, about 250 thousand tons of beans were produced in the country, which represents 6 % of a total of 4.1 million tons produced in the world (ICCO, 2016). The exported Ecuadorian Nacional cacao is classified as fine flavor and is worldwide known as cacao "sabor arriba". The world average of cacao yield ranges from 400 to 570 kg ha-1 (World Cocoa Foundation, 2014). However, yield varies depending on the cultivar, cultural management and environmental conditions. In South America, breeding programs have emphasized selection of genotypes with high productivity and resistance to major diseases. In Ecuador, additionally to plantations of Nacional clones (the EETs), plantations of CCN 51, an unrelated clone to the Nacional Cacao, have spread in the last two decades due to its disease resistance to witches' broom, precociousness and high yield (Boza et al., 2014). CCN 51 beans represents 36 % of the total cacao exported by Ecuador (Scott, 2016). However, recent selected clones have shown higher yield potential as compared to CCN 51 in several Ecuadorian regions and represent a new generation of Nacional type clones (Amores et al., 2011; INIAP, 2012).

Cacao is a shade tolerant species (Muller and Valle, 2012), with net photosynthetic rates (A) that saturate at low photosynthetic photon flux densities (PPFD) between 400 and 600 μπ-iol photons m-2 s-1 (Baligar et al., 2008; Almeida et al., 2014; Avila-Lovera et al., 2016; Tezara et al., 2016). The A and stomatal conductance (gs) reported for different cacao cultivars are low and range from 3 to 7 μmol CO2 m-2 s-1 and 50 to 120 mmol H2O m-2 s-1, respectively (Joly and Hahn, 1989; Baligar et al., 2008; Daymond et al., 2011; Araque et al., 2012; Acheampong et al., 2013). These characteristics explain why juvenile and mature cacao plants are able to grow under the shade of other trees in regions with high PPFD during most of the year (Somarriba and Beer, 2011; Jaimez et al., 2013). The weather conditions in the Ecuadorian coast are characterized by a high cloud density during most of the year, being greater during the dry season because of air masses originating in the Pacific (Vuille et al., 2000). Under this environment of relative low PPFD, high humidity and low evaporative demand, i.e. low vapor pressure deficit (VPD), many cacao plantations were established without shade.

While there is information on yield and resistance to major diseases of most Ecuadorian cacao clones, physiological information is scarce (Orchard, 1984; Tezara et al., 2015).

It is important to understand the relationship between yield and ecophysiological traits such as A, water use efficiency (WUE) and photoprotection mechanisms. Tezara et al. (2015) reported different responses of morphological traits and photochemical activity to different light regimes among Ecuadorian cacao clones. This suggests high genetic variability due to a large number of crossings for developing Ecuadorian clones. Likewise, the relationship between ecophysiological traits and yield for CCN 51 in several Ecuadorian and Colombian regions is unknown (Boza et al., 2014).

We hypothesized that in an environment oflow evaporative demand, which is characteristic of the central coast of Ecuador, the stomatal limitation to A is negligible, since gs is higher and thus a greater amount of CO2 diffuses enhanced carboxylation efficiency. This would allow Ecuadorian cacao clones to respond more efficiently to increases in PPFD compared to previously reported values for this crop. In Ecuador, cacao is cultivated under unshaded conditions, and therefore is subjected to high PPFD, suggesting that Ecuadorian cacao probably has been adapted to light exposure conditions. This study evaluated differences in gas exchange and photochemical activity measured at two different PPFD: 400 μmol m-2 s-1 previously reported as light saturation point (LSP) of A in cacao (Almeida and Valle, 2008; Avila et al., 2016; Tezara et al., 2016) and a high PPFD (1000 μmol m-2 s-1), where A should be saturated, among Ecuadorian Nacional clones cultivated without the shade of other trees.

MATERIALS AND METHODS

Experimental conditions and design

The experiment was carried out in an established seven-years old cacao plot at the Estación Experimental Tropical Pichilingue (EET Pichilingue) of Instituto Nacional de Investigaciones Agropecuarias, INIAP (1°4'33''S, 79°29'15''W, 110 m a.s.l.) in Quevedo, Ecuador. Twenty-eight clonal varieties of Nacional type cacao previously selected for high productivity were evaluated. Additionally, two clones were used as controls: EET103 (Nacional type) released by INIAP and grown in various regions of Ecuador for at least three decades but with lower yield than CCN 51 (Amores et al., 2011; Boza et al., 2014;); and CCN 51, developed in 1961 from crosses (ICS 95 x IMC 67) x Oriente 1 (Boza et al., 2014), which in previous experiments showed higher yield than the Nacional type (Amores et al., 2011; Boza et al., 2014;). The plants were established using a random block design with two replications. There were six plants/clone, constituting the experimental unit. The clones were previously propagated by grafting on IMC 67 cacao rootstock, obtained from open-pollinated seeds. To provide partial shading to cacao plants, Guava spp. trees were planted at a distance of 15 x 15 m. Due to excessive light competition, Guava trees were eliminated four years after planting. Cacao plants received a yearly fertilization of 200 g plant-1 of commercial formula NPK (10-30-10) and 100 g of urea. No chemical insecticide was applied. Manual weed control was carried out every three months from November to May (rainy season). From the second year, cacao plants were pruned and copper oxychloride fungicide was applied on cut surfaces to prevent fungi infection. For morphological and ecophysiological measurements of this study, eight clones coded by INIAP's Cacao and Coffee Breeding Programme as: T1, T8, T12, T14, T17, T23, T24 and T28 were selected based on yield and disease tolerance (INIAP, 2012). Additionally, two control clones (EET 103 and CCN 51) were included.

From August 2008 to July 2015, the monthly average air temperature and relative humidity were 24°C and 82 %, respectively. Considering monthly means, the maximum and minimum air temperature and relative humidity were 26 and 23 °C and 90 % and 76 %, respectively. During the rainy season, the total rainfall average is 2124 mm, whereas during the dry season, from June to October, the average is about 86 mm. The annual precipitation average was 2210 mm (data obtained from Pichilingue weather station from the National Institute of Meteorology and Hydrology, INAMHI). The soil of plots is a volcanic loam of the Andisols order with 32 %, 54 % and 14 % sand, silt and clay, respectively, pH 5.8 and N and P content of 11 and 24 μmol mol-1, respectively. Potassium, Ca and Mg concentrations were 0.70, 7.0 and 1.4 cmolc dm-3. During days of measurements mean daily temperature and RH between 06:00-19:00 h was 25.6 oC and 84.4 %, respectively, while the mean night temperature and RH was 24.7 o C y 93.2 %. Maximum air vapor pressure deficit (VPD) fluctuated between 0.9 and 1.2 KPa around 14:30 to 16: 30 h while the minimum VPD (0.16 kPa) occurred during the initial hours of the day The PPFD varied between 50 to 1600 μmol m-2 s-1.

Leaf gas exchange and leaf chlorophyll fluorescence

Instantaneous measurements of A, transpiration rate (E), gs and water use efficiency (WUE) at two PPFDs (400 and 1000 μmol m-2 s-1) were performed using a portable infrared gas analyzer (CIRAS 2 Hitchin, Pp Systems, UK) attached to a PLC (Pp PLC) and a LED type source. Measurements of gas exchange were made under an external CO2 concentration (Ca) of400 ± 10 μmol mol-1, leaf temperatures of 27.1 ± 0.1oC and 27.8 ± 0.1 for 400 and 1000 μmol m-2 s-1, respectively and VPD between 1.0 and 1.6 kPa in both PPDFS. During measurements, the microclimatic conditions in the chamber were established to keep these variables similar to the natural diurnal conditions in which plants growed. All measurements were performed in mature leaves positioned at the third or fourth node in 6 different plants per clone (n= 6, three plants per plot). One leaf per plant at the same physiological age and positioned at 2 m above ground level were used. The measurements were first conducted at 400 μmol m-2 s-1 and later at high PPFD. The measurements were made between 10:00 and 12:00 h in September 2015. This interval was chosen because of the highest values of gs (Orchard, 1984), when the highest leaf gas exchange may be achieved.

Chlorophyll fluorescence measurements were taken using a portable fluorimeter (PAM 2100, Heinz Walz GmbH, Germany). Measurements of maximum quantum yield of PSII (Fv/Fm) were evaluated at predawn. The Fv/Fm was calculated as (Fm-Fo)/Fm ratio, where Fm and Fo correspond to the maximum and minimum fluorescence of dark-adapted leaves. The leaf chlorophyll fluorescence and gas Exchange were evaluated simultaneously, using the same six plants per clone under the two PPFD of measurements (400 and 1000 μmol m-2 s-1). Fluorescence parameters were determined after the protocol described by Genty et al. (1989): relative quantum yield of electron transport of PSII (ΦPSII) = (Fm’-Fs)/Fm, where Fm’ and Fs are the maximum and steadystate fluorescence in light-adapted leaves, respectively. Electron transport rate (J) = PPFD* ΦPSII * a * 0.5, where “a” is the fraction of incident PPFD absorbed by the leaf (0.84) (Krall and Edwards, 1992). The photochemical (qP) and non-photochemical (NPQ) quenching coefficients were calculated as qP = (Fm´-Fs)/ (Fm-Fo) and NPQ = Fv-(Fv’/Fv), where Fv’ is the maximum variable fluorescence in any light adapted state and Fv is the maximum variable fluorescence when all non-photochemical process are minimum.

Crop yield and specific leaf area

Yield data were obtained from the Cacao and Coffee National Programme at the EET Pichilingue Station. The mean annual yield, number of healthy pods, fresh bean weight (FW) and pod index (PI, number of pods to get one kilogram of dried cacao), were determined from 2010 to 2014. Measurements of specific leaf area (SLA) were done using adjacent leaves from those used for gas exchange and chlorophyll fluorescence measurements. Six plants per clone were sampled. Leaf area was determined using a leaf area meter (LI-3100, Licor Inc., USA). Samples were oven-dried at 60 °C for 78 h and weighted. SLA values were estimated by dividing the onesided leaf area of the fresh leaf by the leaf dry weight.

Statistical analysis

Two-way ANOVA was performed to detect differences between clones, with causes ofvariance (factors) being clones and light conditions. Tukey test (p<0.05) was performed to compare mean values, when significance was detected. Test T test (p<0.05) was performed to compare mean values of light condition for each clone. Statistical analyses were performed using the InfoStat software version 2014 (Di Rienzo et al., 2014). Relationships between gs and WUE; gs and A, and ETR and A were analyzed by linear regression.

RESULTS

Gas exchange

At high PPFD (1000 μmol m-2 s-1) clones T8, T14 and T28 showed significantly greater g with respect to obtained at low PPFD (400 μmol m-2 s-1). At low PPFD all clones showed gs between 170- 300 mmol H2O m-2 s-1 except CCN 51 with a greater gs (383 mmol H2O m-2 s-1) (Fig. 1A). Clones T8, T14, T24 and T28 showed gs above 300 mmol H20 m-2 s-1 (Fig. 1A).

A Stomatal conductance (gs); B Transpiration (E), C, net photosynthetic rate (A), D water use efficiency (WUE) in seven year old of Ecuadorian cacao clones under two PPFD conditions: 400 (grey bars) and 1000 (white bars) μmol photons m-2 s-1 in the tropical station Pichilingue, Ecuador. Each bar represents the mean of six plants ± SE. Different lower case letters represent significant differences between clones at low PPFD; different capital letters represent significant differences between clones at high PPFD. Asterisks (*) represent interaction and significant differences between light conditions for the same clone. Significance of means was obtained using Tukey test (p< 0.05).

Figure 1: A Stomatal conductance (gs); B Transpiration (E), C, net photosynthetic rate (A), D water use efficiency (WUE) in seven year old of Ecuadorian cacao clones under two PPFD conditions: 400 (grey bars) and 1000 (white bars) μmol photons m-2 s-1 in the tropical station Pichilingue, Ecuador. Each bar represents the mean of six plants ± SE. Different lower case letters represent significant differences between clones at low PPFD; different capital letters represent significant differences between clones at high PPFD. Asterisks (*) represent interaction and significant differences between light conditions for the same clone. Significance of means was obtained using Tukey test (p< 0.05).

The mean gs of all clones was significantly higher (333 mmol H2O m-2 s-1) at high PPFD compared to that obtained at low PPFD (243 mmol H2O m-2 s-1 ) (p < 0.05). In E, clones showed values ranging from 3.8 to 6 mmol H2O m-2 s-1 (Fig. 1B); only CCN 51 and T23 showed significant differences between low and high PPFD. The Clones T1, T8, T23, T24, EET 103 and CCN 51 showed significantly greater values of A when exposed to high PPFD. The mean A value of all clones was 5.4 μmol CO2 m-2 s-1 at low PPFD whereas at high PPFD the mean was 8.5 μmol CO2 m2 s-1 representing a significant increase of 35 % (p < 0.05). Clone T14 had a significantly lower A compared to T8 and T24 clones at high PPFD (p < 0.05) while at low PPFD all clones showed similar A values (Fig. 1C). Clones T1, T23, T24, EET 103 and CCN 51 showed significantly greater WUE values when exposed to high PPFD. At low PPFD clone T12 showed the highest value (Fig. 1D) and clones T23 and CCN 51 had significantly lower WUE values compared to T12. At high PPFD, CCN 51 and EET 103 showed significantly higher WUE values than T14 and T28. Mean values of all clones obtained at high PPFD (2.03 mmol CO2 mol H2O-1) were significantly higher than the values obtained at low PPFD (1.23 mmol CO2 mol H2O-1) (p < 0.05).

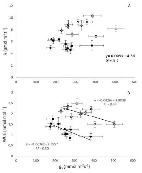
A low positive correlation between A and g was found (R2 = 0.2) (Fig. 2A). Under high and low PPFD, WUE and gs showed a negative linear relationship (R2= 0.44 and 0.50, respectively) (Fig. 2B).

A, Relationship between stomatal conductance (g ) and CO2 assimilation rate (A), The equation includes data in two PFFD conditions: 400 (•) and 1000 (o) μmol m-2 s-1 in . B, Relationship between stomatal conductance (g ) and water use efficiency (WUE) under two PPFD conditions in Ecuadorian cacao clones. Equations for g and WUE represent the relation for each PPFD condition. Each point represents the mean of 6 plants per clone ± SE.

Figure 2: A, Relationship between stomatal conductance (g ) and CO2 assimilation rate (A), The equation includes data in two PFFD conditions: 400 (•) and 1000 (o) μmol m-2 s-1 in . B, Relationship between stomatal conductance (g ) and water use efficiency (WUE) under two PPFD conditions in Ecuadorian cacao clones. Equations for g and WUE represent the relation for each PPFD condition. Each point represents the mean of 6 plants per clone ± SE.

Photochemical activity

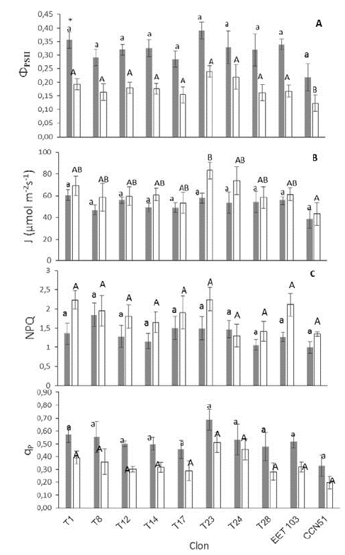
No significant differences between the clones at both high and low PPFD were found for ΦPSII, J, NPQ and qP. In general, all clones showed lower values of ΦPSII and qP in high

PPFD compared to those obtained in low PPFD, whereas greater NPQ and J where found under high PPFD. For ΦPSII, CCN 51 had significantly low values compared to the clone T23 at high PPFD. At low PPFD clones showed no significant differences (Fig. 3 A). CCN 51 also showed significantly low J at high light condition compared to the clone T23 (Figure 3B). All other clones exhibited similar J at low PPFD. NPQ and qP were similar between clones at both PPFD conditions. The Fv/Fm value ranged between 0.77 and 0.81 without significant differences between clones (Fig. 4A). A linear positive relationship between A and J was also found (R2 = 0.27; Fig. 4B).

A, Relative quantum yield of PSII (ΦPSII); B, electron transport rate (J); C, non- photochemical quenching coefficient (NPQ); D, quenching coefficient (qp), measured in 7 years old plant of Ecuadorian cacao clones in two PPFD conditions: 400 (grey bars) and 1000 μmol photons m-2 s-1 (white bars) in the tropical station Pichilingue, Ecuador. Each bar represents the mean of 6 plants ± SE. Different lower case letters represent significant differences between clones at low PPFD; different capital letters represent significant differences between clones at high PPFD. Asterisks (*) represent interaction and significant differences between light conditions for the same clone. Significance of means was obtained using Tukey test (p< 0.05).

Figure 3: A, Relative quantum yield of PSII (ΦPSII); B, electron transport rate (J); C, non- photochemical quenching coefficient (NPQ); D, quenching coefficient (qp), measured in 7 years old plant of Ecuadorian cacao clones in two PPFD conditions: 400 (grey bars) and 1000 μmol photons m-2 s-1 (white bars) in the tropical station Pichilingue, Ecuador. Each bar represents the mean of 6 plants ± SE. Different lower case letters represent significant differences between clones at low PPFD; different capital letters represent significant differences between clones at high PPFD. Asterisks (*) represent interaction and significant differences between light conditions for the same clone. Significance of means was obtained using Tukey test (p< 0.05).

A, maximum quantum yield of PSII (Fv/Fm) and B, relationship between electron transport rate (J) and net photosynthetic rate (A) in two PFFD conditions 400 (•) and 1000 (o) μmol photons m-2 s-1 in Ecuadorian cacao clones. Each bar and point represents means of six plants± SE.

Figure 4: A, maximum quantum yield of PSII (Fv/Fm) and B, relationship between electron transport rate (J) and net photosynthetic rate (A) in two PFFD conditions 400 (•) and 1000 (o) μmol photons m-2 s-1 in Ecuadorian cacao clones. Each bar and point represents means of six plants± SE.

Yield and Specific leaf area

Clones T1, T23 and T24 showed a greater (p<0.05) number of pods compared with CCN 51 and EET103 (Table 1). However, bean fresh weight per plant obtained from these clones were similar to CCN 51 (p<0.05). The T14, T12 and CCN 51 clones had the lowest PI (12.8, 15.8 and 15.2, respectively), while T28 and T23 were the highest (22.8 and 21.8 respectively) (p<0.05). The SLA varied between 148 and 111 cm2 g-1. T1 showed a significantly higher SLA value compared to the T12 (Table 1). No correlation was found between yield and A (p<0.05), neither between SLA and A (p<0.05).

Table 1: Traits associated with potential yield and specific leaf area for Ecuadorian Nacional cacao type clones and CCN51 cacao clone in a trial conducted at the Estación Experimental Tropical Pichilingue. Los Rios Province. Quevedo Ecuador. Values for yield variables are means ± SE of 4 years. Mean ± SE values for specific leaf area were obtained from six plants per clone.

Clone Number of healthy pods year-1 plant-1 Fresh weight g plant-1 year-1 Pod index Specific leaf area cm2 g-1
T1 38 ± 3.6 ab 5008 ± 530 a 19.1± 1.1 abc 148 ± 9.6 a
T8 27 ± 3.6 abc 3961 ± 536 ab 17.0 ± 0.8 bc 120 ± 5.4 ab
T12 25 ± 2.8 bc 3161 ± 502 ab 15.8 ± 0.4 cd 111 ± 4.0 b
T14 18 ± 2.0 c 3570 ± 469 ab 12.8 ± 0.7 d 139 ± 6.3 ab
T17 27 ± 3.9 abc 3514 ± 472 ab 18.9 ± 0.9 abc 119 ± 6.7 ab
T23 44 ± 6.0 a 4914 ± 720 a 22.8 ± 1.3 ab 126 ± 4.7 ab
T24 39 ± 2.9 ab 4541 ± 470 a 21.8 ± 0.8 ab 128 ± 11.3 ab
T28 15 ± 5.3 c 1606 ± 510b 22.8 ± 1.7 a 138 ± 4.9 ab
EET130 13 ± 1.9 c 1523 ±225b 21.4 ± 1.6 ab 129 ± 13.8 ab
CCN51 18 ± 2.5 c 2998 ± 419 ab 15.2 ± 0.6 cd 116 ± 5.7 ab

Similar letters in the same column are not significant p <0.05 according to Tukey's test.

DISCUSSION

Six of the Ecuadorian cacao clones showed a significant higher A under high PPFD, providing a greater availability of photoassimilates. Greater yields obtained in the clones evaluated could be partially explained by a higher proportion of photoassimilates mobilized to the seeds. Clones showed greater A under high PPFD (1000 μmol m-2 s-1), contrasting to what has been previously reported for this crop ( Araque et al., 2012; Acheampong et al., 2013; Almeida et al., 2014; Tezara et al., 2016;). The result of breeding programmes carried out by INIAP during the last decade have displayed new Nacional type cacao clones (T1 T23, T24) with higher yield than those reported for CCN 51.

Gas exchange

The gs values observed in this study were higher than 180 mmol H2O m-2 s-1. In studies with other cacao cultivars, the gs values were lower than 150 mmol H2O m-2s-1 (Baligar et al., 2008; Almeida et al., 2014; Avila-Lovera et al., 2016; Tezara et al., 2016). High values of gs result in a greater availability of CO2 for carboxylation by RUBISCO during the Calvin cycle, and therefore, higher A and carbohydrate production. In coffee, gs values below 146 mmol H2O m-2 s-1 are often observed irrespective of light level (Martins et al., 2014; Rodriguez et al., 2014). In Ecuador, similar gs have been reported during the dry season, probably due to low VPD (less than 1.4 KPa) and high RH (Orchard, 1984) suggesting that stomatal regulation depends on the response of each clone or hybrid to the environmental conditions where they are grown.

There was a significantly 35 % increase in the mean of A in all clones measured at 1000 μmol m-2 s-1 of PPFD. It seems that cacao plants growing in the coast of Ecuador are able to use more efficiently the PPFD. This trait represents a significant genetic gain that could support future breeding studies. Acheampong et al. (2013) found greater A under shade conditions, of about 30 %, a decreasing as shaded increased. Consequently, it is important to evaluate the response of cacao to light under field conditions when overcast is present. Further work involving measurements of integrated A (daily courses) at different seasons of the year and integrated net carbon balance is required to obtain an annual average and evaluate the relationship between integrated A and the average annual yield. In order to gain information about the adaptation of Ecuadorian clones to light, it is necessary to evaluate the response of A to several intensities of PPFD (i.e. A vs PPFD curves) to know the LSP of A, dark respiration (Rd), and light compensation point (LCP) of the clones evaluated. Also, it is important to conduct studies on the distribution of photoassimilates and their impact on yield. The evidence of high A at high PPFD could explain higher yields compared with those reported in other types of cacao subjected to similar light conditions (Daymond et al., 2002; Somarriba and Beer, 2011). The A of these new clones were similar to those obtained in clone CCN 51. However, lower A have been reported (<3 μmol CO2 m-2 s-1) in six months old CCN 51 grown in pots where root growth limitations were unconsidered (Baligar et al., 2008). Variations in A have been reported in the Theobroma genus, with the maximum value found in Theobroma speciosum (9.4 μmol CO2 m-2 s-1 ) and a LSP of 400 μmol photons m-2 s-1 (Almeida et al., 2014). Da Matta et al. (2001) reported for cacao greater values of maximum A (14.7 μmol CO2 m-2 s-1) than the ones reported in the present study, but A was measured at saturating light and CO2 conditions.

High WUE observed in the evaluated Nacional clones, in the weather conditions of the Ecuadorian coast, open the possibility of growing cacao without shade in this region. The gs was negatively correlated to WUE under low and high PPFD. These results have also been reported in criollo cultivars (Avila-Lovera et al., 2016). High WUE does not always imply higher photosynthetic capacity, since it is the net photosynthetic rate to transpiration ratio (A/E), so we can obtained high WUE by a maintenance in A and decrease in gs and therefore low water loss by E. The low gs characteristic of the Theobroma genus, is still a limitation to achieving higher A Similar results have been found in coffee, which is also tolerant to shade (Martins et al., 2014) and in Criollo and Forastero old cacao trees, fact that was supported by the high values (46 %) of the relative stomatal limitation of A due a gs (Tezara et al., 2016). Contrary, have been reported in young Criollo cacao values of stomatal limitation of 23 % (Ávila-Lovera et al., 2016).

Chlorophyll fluorescence

The lower ΦPSII of the Nacional cacao clones under high PPFD indicates a low energy transfer capacity. Similar results were reported in other shade tolerant species (Matos et al., 2009). Results of higher A at 1000 μmol m-2 s-1 of PPFD were also related to higher J, which provides the amounts of ATP and NADPH available for use in the Calvin cycle. Physiological responses to different intensities of PPFD and their effects on growth vary among cacao cultivars (Daymond et al., 2011; Acheampong et al., 2013; Avila-Lovera et. al., 2016; Tezara et al., 2016). When the cacao is exposed to high PPFD, the amount of intercepted light energy may exceed the capacity of the photosynthetic machinery, and could result in photoinhibition, a condition characterized by a decrease in maximum quantum efficiency of PSII (Fv/Fm) and A (Osmond, 1994). In this study, the high values of Fv/Fm obtained in all clones studied, suggest no damage in the photochemical activity of PSII due to photoinhibition. Intermediate values of NPQ at high PPFD suggest that high levels of photoprotection mechanisms associated with increased xanthophyll's cycle were not required. Studies in coffee leaves exposed to high PPFD showed higher NPQ compared with values obtained in this study, indicating a high protective use of the xanthophyll's cycle (Matos et al., 2009).

Yield

One achievement obtained through the process of cacao breeding during the past 10 years is a significant increase of healthy pods per plant (T1, T23 and T24 clones) compared to the CCN 51 and the EET 103. Higher yields have been reported (between 900-1300 kg ha-1) in both, shaded and fully exposed conditions (Somarriba and Beer, 2011; Koko et al., 2012). It seems that the greater number of pods obtained in the weather conditions of the Ecuadorian coast could be related to greater self-pollination, which allows more flowers to be pollinated at the same time and thus avoid competition for assimilates by pods at different stages of growth which increases cherelles wilt (Muller and Valle, 2012). The strategy of selecting trees for their higher production of healthy pods in different crosses in cacao has been an effective method for the selection ofhigh productive clones. A similar strategy was used in Brazil (Dos Santos and Kageyama, 1998). The breeding programme should focus on increasing seed weight per pod; e.g., the clone T14 has this trait, despite having a significant lower number of pods. This would imply greater distribution of assimilates to seed and less for growth of other parts of fruit.

Specific leaf area

The mean SLA was 130 cm2 g-1 similar to those reported for Nacional Ecuadorian cacao grown in full sunlight in the region of Esmeraldas, Ecuador (Tezara et al., 2015) and lower than the SLA (170 and 239 cm2 g-1) reported by Daymond et al., (2011) and Da Matta et al., (2001).

However, more research in order to know the relationship between environmental conditions and SLA along the north and central of the Ecuadorian coast is necessary.

CONCLUSIONS

Ecuadorian Nacional type cacao grown without shade under the weather conditions of the coast of Ecuador has higher A and gs values compared to those reported in the literature (A <6 μmol CO2 m-2 s-1 and gs <150 mmol H2O m 2 s-1), which is an important genetic gain in achieving higher yields. At higher PPFD, high A were associated with increased J, while gs remained higher than 250 mmol H2O m-2 s-1 regardless of PPFD. These results suggest that in the Ecuadorian Nacional cacaos stomatal aperture still imposes limitation to CO2 uptake and thus to obtain higher A. However, it is necessary to evaluate the response A to intercellular CO2 concentration and determined know relative stomatal and metabolic limitations to scope a conclusive results in Ecuadorian cacaos. Higher J in high PPFD is a trait that should be considered in breeding programmes as a characteristic that has the potential to increase rates of CO2 assimilation. Also, our results suggest that in the climatic conditions of the Ecuadorian coast, characterized by a low evaporative demand, investment in photoprotection mechanisms in cacao clones are lower compared with other cacao cultivars, in other cacao growing regions. This partially explains the more efficient photosynthetic system observed in Ecuadorian cacao cultivars.

The Ecuadorian breeding programme of Nacional cacao type obtained new clones with higher yields than CCN 51 and the intrinsic desirable organoleptic characteristics of the "sabor arriba" cacao. It is therefore assumed that in the near future Ecuador will increase its Nacional type cacao production.

Acknowledgements

ACKNOWLEDGEMENTS

The authors are grateful to the Prometeo Project of the Ministry of Higher Education, Science, Technology and Innovation (SENESCYT) of the Republic of Ecuador for its sponsorship and funding in this work. The authors are also grateful for the logistical support provided by the staff of the cacao and coffee programme at INIAP Estación Experimental Tropical Pichilingue, Ecuador. We thank Dr. Consuelo Diaz INIAP, for the field support. We also appreciate Drs. D. Vera, A. Pieters and R. Urich for editing the English version.

REFERENCES

  1. Acheampong K, Hadley P, Daymond AJ. Photosynthetic activity and early growth of four cacao genotypes as influenced by different shade regimes under West African dry and wet season conditions. Exp Agr. 2013;49(1):31-42. Doi:10.1017/S0014479712001007 [DOI] 🠔
  2. Almeida AAF, Gomes F, Araujo R, Santos RC, Valle R. Leaf gas exchange in species of the Theobroma genus. Photosynthetica. 2014;52(1):16-21. Doi:10.1007/s11099-013-0048-8 [DOI] 🠔
  3. Almeida AAF, Valle RR. Ecophysiology of the cacao tree. Braz J Plant Physiol. 2007;19(4):425-448. Doi:10.1590/S1677-04202007000400011 [DOI] 🠔
  4. Amores FM, Vasco SA, Eskes AB, Suares C, Quiroz J, Loor R, Jimenez JC, Zambrano J, Bolaños M, Rynel V, Teran M, Quijano G. On-farm and on-station selection of new cacao varieties in Ecuador. In: Eskes AB, editor. Collaborative and participatory approaches to cacao variety improvement. Final report of the CFC/ICCO/ Biodiversity International project on cacao productivity and quality improvement: A participatory approach 2004-2010. Common Fund for Commodities CFC Amsterdam The Netherlands; Intl. Cacao Organization ICCO London UK; Biodiversity Intl. Rome Italy 2011 p.59-72. 🠔
  5. Araque O, Jaimez R, Tezara W, Coronel I, Urich R, Espinosa W. Comparative photosynthesis water relations growth and survival rates in juvenile Criollo cacao cultivars Theobroma cacao during dry and wet seasons. Exp Agr. 2012;48(4):513-522Doi:10.1017/S0014479712000427 [DOI] 🠔
  6. Ávila-Lovera E, Coronel I, Jaimez R, Urich R, Pereyra P, Araque O, Chacón I, Tezara W. Ecophysiological traits of adult trees of Criollo cacao cultivars Theobroma cacao L. from a germplasm bank. Exp Agr. 2016;52(1):137-153. Doi:10.1017/S0014479714000593 [DOI] 🠔
  7. Baligar VC, Bunce JA., Machado RCR, Elson MK. Photosynthetic photon flux density carbon dioxide concentration and vapor pressure deficit effects on photosynthesis in cacao seedlings. Photosynthetica. 2008;46(2):216-221. Doi:10.1007/s11099-008-00357 [DOI] 🠔
  8. Boza E, Motamayor J, Amores F, Cedeño A, Tondo C, Livingstone D, Schnell J. Genetics characterization of the cacao cultivar CCN 51: Its impact and significance on global cacao improvement and production. J Am Soc Hortic Sci. 2014;139(2):219-224. 🠔
  9. Da Matta F, Loos R, Rodrigues R, Barros R. Actual and potential photosynthetic rates of tropical crop species. Rev Bras Fisiol Veg. 2001;(1):13:24-32. Doi:10.1590/S0103-31312001000100003 [DOI] 🠔
  10. Daymond A J, Tricker P, Hadley P. Genotypic variation in photosynthesis in cacao is correlated with stomatal conductance and leaf nitrogen. Biol Plantarum. 2011(1);55(1):99-104. Doi:10.1007/s10535-011-0013-y [DOI] 🠔
  11. Daymond AJ, Hadley P, Machado R, Ng E. Genetic variability in partitioning to the yield component of cacao Theobroma cacao L. HortScience. 2002;37(2005):799-801. 🠔
  12. Dos Santos LA, Kageyama PY. Repeatability and minimum harvest period of cacao Theobroma cacao L, in Southern Bahia. Euphytica. 1998;102(1):29-30. Doi:10.1023/A:10183732 [DOI] 🠔
  13. Di Rienzo JA, Casanoves F, Balzarini MG. 2014. InfoStat versión, Grupo InfoStat FCA Universidad Nacional de Córdoba Argentina. Available in: http://www,infostat,com,ar [URL] 🠔
  14. Genty B, Briantais JM, Baker NR. The relationships between the quantum yield of photosynthetic electron transport and quenching of chlorophyll fluorescence. Biochim Biophys Acta. 1989;990(1):87-92. Doi: 10.1016/S0304-4165(89)80016-9 [DOI] 🠔
  15. ICCO. 2016. Quarterly Bulletin of Cocoa Statistics. Available in: http://www,iico,org [URL] 🠔
  16. INIAP Informe Técnico anual Programa de cacao 2008-2011. Estación Experimental Pichilingue, Quevedo Los Ríos Ecuador; 2012. p. 21. 🠔
  17. Jaimez R, Araque O, Guzmán D, Mora A, Espinoza W, Tezara W. Agroforestry systems of timber species and cacao: survival and growth during the early stages. J Agr Rural Dev Trop. 2013;114(1):1-11. 🠔
  18. Joly R, Hahn D. Net assimilation of cacao seedlings during periods of plant water deficit. Photosynth Res. 1989;21(3):151-159. Doi:10.1007/BF00037179 [DOI] 🠔
  19. Koko LK, Snoeck D, Thierry DT, Assiri A. Cacao-fruit tree intercropping effects on cacao yield plant vigour and light interception in Côte d'Ivoire. Agroforest Syst. 2012;87(5):1043-1052. Doi:10.1007/s10457-013-9619-8 [DOI] 🠔
  20. Krall JP, Edwards GE. Relationship between photosystem II activity and CO2 fixation in leaves. Physiol Plantarum. 1992;86(1):180-187. Doi:10.1111/j.1399-3054.1992.tb01328.x. [DOI] 🠔
  21. Martins S, Galmés J, Cavatte P, Ventrella M, Da Matta F. Understanding the low photosynthetic rates of sun and shade coffee leaves: Bridging the gap on the relative roles of hydraulic diffusive and biochemical constraints to Photosynthesis, PLoS One. 2014;94:e95571. Doi:10,1371/journal,pone,0095571 [DOI] 🠔
  22. Matos F, Wolfgramm R, Goncalves V, Cavatte P, Ventrella M, Da Matta F. Phenotypic plasticity in response to light in the coffee tree. Environ Exp Bot. 2009(2);67:421-427. Doi:10.1016/j.envexpbot.2009.06.018 [DOI] 🠔
  23. Muller W, Valle R. Ecofisiologia do cultivo do cacaueiro. In: Valle R, editor. Ciência Tecnologia e manejo do cacaueiro. MAPA: CEPLAC Brasil; 2012. p. 31-66. 🠔
  24. Orchard J E. The effect of the dry season on the water status of T. cacao in Ecuador. In: Proceedings of the 9th International Cacao Research Conference Lomé Togo February. 1984. p. 103-109. 1985. 🠔
  25. Osmond C. What is photoinhibition? Some insights from comparisons of shade and sun plants. In: Baker N, Bowyer J, editors. Photoinhibition of Photosynthesis: from molecular Mechanisms to the Field. BIOS Scientific Publishers Oxford; 1994. p.1-24. 🠔
  26. Rodriguez N, Martins S, Cavatte P, Silva P, Morais L, Pereira L, Reis J, Ávila R, Godoy A, Lavinski A, DaMatta F. Morphological and physiological acclimations of coffee seedlings to growth over a range of fixed or changing light supplies. Environ Exp Bot. 2014;102:1-10. Doi:10.1016/j.envexpbot.2014.01.008 [DOI] 🠔
  27. Scott G. Growing money on trees in Latin America: Growth rates for cocoa 1961-2013 and their implications for industry American-Eurasian. J Agri Envir Sci. 2016;161(1):1-19. 🠔
  28. Somarriba E, Beer J. Productivity of Theobroma cacao agroforestry systems with timber or legume service shade tree. Agroforest Syst. 2011;81(2):109-121. Doi:10.1007/s10457-010-9364-1 [DOI] 🠔
  29. Tezara W, Urich R, Jaimez R, Coronel I, Araque O, Azocar C, Chacón I. Does Criollo cocoa have the same ecophysiological characteristics as Forastero?. Bot Sci. 2016;94(3):563-574. Doi:10.17129/botsci.552 [DOI] 🠔
  30. Tezara W, De Almeida J, Valencia E, Cortez J, Bolaños M. Actividad fotoquímica de clones élites de cacao Theobroma cacao L, ecuatoriano en el norte de la provincia Esmeraldas. Invest Saberes. 2015;IV(3):37-52. 🠔
  31. Vuille MB, Raymond S, Keimig F. Climate variability in the Andes of Ecuador and its relation to tropical Pacific and Atlantic sea surface temperature anomalies. J Clim. 2000;1 (14):2520-2535. Doi:10.1175/1520-0442(2000)013<2520:CVITAO>2.0.CO;2 [DOI] 🠔
  32. World Cocoa Foundation. 2014. Cocoa market updates. Available in: http://www,worldcocoafoundation,org/ [URL] 🠔
Hernán Romero.
Jaimez RE, Amores Puyutaxi F, Vasco A, Loor RG, Tarqui O, Quijano G, Jimenez JC, Tezara W. Photosynthetic response to low and high light of cacao growing without shade in an area of low evaporative demand. Acta biol. Colomb. 2018;23(1):95-103. DOI: http://dx.doi.org/10.15446/abc.v23n1.64962
The authors declare that there is no conflict of interest.