Acta Biológica Colombiana
0120-548X
Universidad Nacional de Colombia, Facultad de Ciencias, Departamento de Biología
https://doi.org/10.15446/abc.v24n1.69333

Recibido: 9 de diciembre de 2017; Revision Received: 24 de julio de 2018; Aceptado: 10 de octubre de 2018

EFECTO BIOPLAGUICIDA DE EXTRACTOS VEGETALES PARA EL CONTROL DE Spodoptera frugiperda EN EL CULTIVO DE MAÍZ (Zea mays)

Bioplaguicide Effect of Vegetal Extracts to Control of Spodoptera frugiperda in Corn Crop (Zea mays)

A. FIGUEROA GUALTEROS, 1E. CASTRO TRIVIÑO, 1*H. CASTRO SALAZAR, 1

Programa de Ingeniería Ambiental, Facultad de Ingenierías, Corporación Universitaria del Huila. Calle 8 n.° 32-49. Prado Alto, Huila, Colombia. Corporación Universitaria del Huila Facultad de Ingenierías Corporación Universitaria del Huila Huila Colombia

For correspondence. hans.castro@corhuila.edu.co

Licencia Creative Commons.

RESUMEN

El maíz es el segundo cereal de mayor producción en Colombia con un 21,9 % de la superficie total. La plaga Spodoptera frugiperda ataca la planta desde las primeras semanas de crecimiento, devorando sus hojas, tallo y granos; disminuyendo el rendimiento de los cultivos. Esta plaga se controla con el uso indiscriminado de plaguicidas sintéticos como: carbofurano, clorpirifos y atrazina. En esta investigación, los extractos de Azadirachta indica, Piper nigrum, Petiveria alliacea y sus mezclas; y los extractos de Nicotiana tabacum, Lippia alba, Allium sativum y sus mezclas se aplicaron como bioplaguicidas en plantas de maíz amarillo tradicional. Después de la tercera semana de crecimiento, los tratamientos se aplicaron dos veces al día cada tres días durante siete semanas. Las variables estudiadas fueron número de larvas muertas, altura de las plantas y daño en hojas y tallos. Las plantas tratadas crecieron dos veces más y su grado de afectación, según la escala de Mihm, fue menor que las plantas del grupo testigo. Los porcentajes de eficacia de las seis especies vegetales y sus mezclas fueron representativos (>80 %), de acuerdo con Henderson y Tilton, demostrando que estos extractos vegetales son una alternativa viable para el control de S. frugiperda.

Palabras clave:

Agricultura alternativa, Clorpirifos, control de peste, larva.

ABSTRACT

The corn crop is the second largest cereal in Colombia with 21.9 % of the total area produced. The plague Spodoptera frugiperda, attacks the plant from the first weeks of growth, devouring its leaves, stalk and grains; decreasing crop yield. This pest is controlled by the non-controlled use of synthetic pesticides such as, carbofuran, chlorpyrifos and atrazine. In this research, the extracts of Azadirachta indica, Piper nigrum, Petiveria alliacea and their mixtures; and extracts of Nicotiana tabacum, Lippia alba, Allium sativum and their mixtures, were applied as bioplaguicides in corn plants. The application was performed twice a day each two days for seven weeks, after of third week of growth (when the larvae were first observed). The number of dead larvae, plant height and damage in leaves and stems were the study variables. The treated plants grew twice and their degree of affection, according to the Mihm scale, was lesser than plants in the control group. The efficiency percentages of the six plant species and its mixture were representative (>80 %), in according to Henderson and Tilton, resulting in these plant extracts are a viable alternative for pest control of S. frugiperda.

Keywords:

Alternative farming, Chlorpyrifos, larvae, pest control.

INTRODUCCIÓN

La importancia económica del maíz en el departamento del Huila está dada por su alta productividad, para el 2015 las áreas sembradas (has) de maíz amarillo tecnificado, amarillo tradicional, maíz blanco tecnificado y tradicional fueron 4410, 7550, 2050 y 3850 ha, respectivamente, ocupando los primeros renglones de la producción a nivel nacional (Federación Nacional de Cultivadores de Cereales y Leguminosas-FENALCE, 2016). El gusano cogollero (Spodoptera frugiperda), es una de las plagas que ha causado mayor impacto económico en el cultivo de maíz, ya que actúa como gusano trozador, destruyendo el tejido vegetal de las plantas, modificando su estructura y disminuyendo su crecimiento (Casmuz et al., 2010, Virla et al., 2013), causando grandes pérdidas para los agricultores.

En el control de plagas, malezas y enfermedades que afectan los cultivos de maíz, se usa indiscriminadamente gran cantidad de plaguicidas sintéticos, tales como el carbofurano, clorpirifos y la atrazina, lo cual se ha convertido en un verdadero problema de contaminación de los acuíferos de la región (Instituto Colombiano Agropecuario-ICA, 2016). Además, estos plaguicidas pueden atacar a los enemigos naturales de la S. frugiperda (Souza et al., 2013; 2014) y ser fitotóxico para el maíz y otras especies (Gvozdenac, 2013).

Según la Agencia de Protección Ambiental de Estados Unidos-EPA (2016) estos plaguicidas son altamente tóxicos para cualquier organismo, lo que los convierte en un peligro para varios ecosistemas, ya que afectan microorganismos, polinizadores, organismos benéficos, peces, la calidad de agua y del suelo, así como la salud de las comunidades aledañas a las zonas afectadas, pese a ello, estas sustancias químicas se siguen utilizando en los países en vía de desarrollo, sin considerar las restricciones en su uso (García et al., 2012).

La implementación de una agricultura sostenible en el control de plagas de cultivos de maíz a partir de bioplaguicidas, permitirá el manejo y uso racional de los recursos naturales, seguridad alimentaria, estabilidad productiva, biodiversidad en los agroecosistemas y reducción de la contaminación con mejoras en la salud de la población (Lubell et al., 2011).

El uso de extractos vegetales en el control de plagas toma cada vez más relevancia en el ámbito científico. Un ejemplo de extractos vegetales usados en el control de S. frugiperda es el desarrollado por Lizarazo et al., (2008) usando Polygonum hydropiperoides, Solanum nigrum y Calliandra pittieri, el de Teixeira et al. (2003), que evaluaron la actividad biológica del extracto acuoso de las hojas de Azadirachta indica sobre S. frugiperda o el de Celis et al., (2008), que usaron extractos vegetales de la familia Piperaceae para el control de arvenses, plagas y enfermedades en el sector agrícola. Estos estudios presentaron resultados prometedores como bioplaguicidas; sin embargo, es necesario desarrollar nuevos sistemas de manejo integrado de cultivos, ajustados a las necesidades propias de los cultivos del Huila y del país.

El presente trabajo evaluó la actividad bioplaguicida de mezclas de los extractos vegetales obtenidos de A. indica (Meliaceae), Piper nigrum (Piperaceae), Petiveria alliacea (Petiveriaceae), Nicotiana tabacum (Solanaceae), Lippia alba (Verbenaceae) y Allium sativum (Allioideae), sobre S. frugiperda en un cultivo orgánico de maíz amarillo tradicional, a través de su aplicación por aspersión. Los tratamientos fueron aplicados durante varias semanas y la población de larvas fue monitoreada durante este tiempo. El grado de afectación de las plantas y el porcentaje de eficacia de los bioplaguicidas fue medido durante el estudio.

MATERIALES Y MÉTODOS

Esta investigación fue realizada en dos fases donde se aplicaron diferentes tratamientos. En la Fase 1 comprendida entre julio y septiembre del 2015 se aplicaron los tratamientos basados en los extractos vegetales de A. indica, P. nigrum, P. alliacea y sus mezclas en un cultivo de maíz amarillo tradicional de la finca el Encanto de la vereda Pueblo Nuevo (Neiva - Huila), con coordenadas 2°49'05'' N, 75°05'41" W y 1667 m s. n. m. Temperatura promedio de 26 °C. En la fase 2 comprendida entre marzo y mayo de 2016 se aplicaron tratamientos compuestos de extractos vegetales de N. tabacum, L. alba, A. sativum y sus mezclas, en La Finca CORHUILA, en el municipio de Rivera - Huila, con coordenadas 2°47'41"N y 75°17'39"W, altura de 524 m s. n. m. y temperatura promedio de 25°C.

Diseño experimental

En la fase 1 se estableció un cultivo de maíz amarillo tradicional conformado por 448 plantas (89,6 % porcentaje de germinación) en una parcela de 55 m2 aproximadamente, dividido en siete grupos experimentales para la aplicación de los seis tratamientos y un grupo como testigo. En la fase 2 se estableció un cultivo de maíz amarillo tradicional, conformado por 512 plantas (93,1 % porcentaje de germinación), distribuido en ocho grupos experimentales para la aplicación de los seis tratamientos, un grupo como testigo y otro para el testigo comercial (clorpirifos) en un terreno de 96 m2 aproximadamente. El diseño de las parcelas fue realizado en bloques completos al azar para incluir el error por heterogeneidad del suelo.

Preparación del terreno y siembra del maíz

La maleza presente en la zona de cultivo se eliminó manualmente, se hizo un rastreo manual para nivelar el terreno, se realizaron los surcos y se sembraron las semillas de maíz amarillo tradicional divididas en siete grupos. Cada grupo estuvo conformado por 64 plantas por parcela en cada fase del estudio, distribuidas en tres surcos, a una distancia de 15 cm entre plantas y 60 cm entre surcos.

Preparación de los tratamientos

Los extractos vegetales se prepararon usando hojas, bulbillos o semillas de las plantas mezcladas en agua destilada. Las hojas de A. indica (300 g), P. alliacea (300 g), L. alba (600 g) y N. tabacum (600 g) se recortaron en trozos de 2 cm, aproximadamente, se maceraron y mezclaron de forma separada en agua destilada (1-3 L) durante 24 h en ausencia de luz. Este mismo procedimiento se siguió para preparar el extracto de las semillas secas de P. nigrum (134 g) y de bulbillos de A. sativum (450 g). Adicionalmente, se prepararon mezclas de estos extractos en proporciones 1:1 para cada fase estudiada (Tabla 1). Los extractos y sus mezclas se filtraron antes de su aplicación por aspersión en los cultivos de maíz.

Tabla 1: Relación de los extractos usados y sus mezclas según cada fase para el control de Spodoptera frugiperda.

P.a - P.n = P. alliacea + P. nigrum; P.n - A.i = P. nigrum + A. indica; A.i - P.a = A. indica + P. alliacea; N.t - L.a = N. tabacum + L. alba A.s - N.t = A. sativum + N. tabacum; L.a - A.s = L. alba + A. sativum.

Aplicación de los tratamientos

Mientras que la aplicación de los tratamientos de la fase 1 a los siete grupos experimentales inició en el mes de agosto de 2015, la fase 2 empezó en el mes de abril de 2016 para los ocho grupos experimentales (incluyendo el clorpirifos). Las aplicaciones se hicieron en la tercera semana de crecimiento vegetativo del maíz durante siete semanas, considerando el crecimiento adecuado de las plantas y el ataque de la plaga (Negrete y Angulo, 2003). La aplicación de los extractos se realizó dos veces al día por aspersión, utilizando una bomba manual de 2 L de capacidad, sobre el cogollo y hojas de cada una de las plantas, cada tres días a partir de la primera aplicación de los tratamientos y la aplicación del clorpirifos se hizo cada 15 días.

Variables estudiadas

Cada semana se hizo seguimiento a las siguientes variables:

Altura de planta (A.P). La altura de la planta se midió desde la primera aplicación de los tratamientos cada semana. La medición se hizo desde el suelo hasta la base de la lámina de la última hoja formada y los datos fueron promediados para cada grupo experimental.

Daño (Da). El daño fue cuantificado para cada planta utilizando la escala de daño propuesta por Mihm (1983), considerando como cero (0) al daño de agujero de alfiler leve y nueve (9) a la planta muerta. Los datos fueron promediados para cada grupo experimental. El daño fue estimado al principio (tercera semana) y al final (novena semana) de la aplicación del tratamiento.

Grado de eficacia (%) de los tratamientos (Ef). El grado de eficacia fue determinado considerando la relación matemática de Henderson y Tilton (1955), descrita a continuación:

Dónde:

N t = Población de larvas en grupo testigo antes del tratamiento.

N o = Población de larvas en grupo testigo después del tratamiento.

M t = Población de larvas en grupo experimental antes del tratamiento.

M o = Población de larvas en grupo experimental después del tratamiento.

Efecto antialimentario o insecticida (Ei). Está definida por la diferencia en el número de larvas de S. frugiperda presentes en el cultivo antes y después de la aplicación de los tratamientos.

Análisis estadístico. La parametrización de los datos fue evaluada mediante la prueba de Barlett (p >0,05). El análisis estadístico de los resultados incluyó un factor con tres niveles mediante un análisis de varianza (Anova) (p>0,05), usando el paquete estadístico IBM SPSS Statistics, considerando la altura de la planta el factor a evaluar.

i. Se analizaron las diferencias en la variable de crecimiento de las plantas (AP) usando diferentes tratamientos con la Ho = donde si existen diferencias significativas entre los tratamientos.

Donde n=55, las plantas a medir fueron tomadas al azar considerando la Figura 1.

Diagrama de las parcelas utilizadas para el cultivo de Zea mays.

Fig. 1: Diagrama de las parcelas utilizadas para el cultivo de Zea mays.

ii. Para evaluar significativamente las diferencias entre el tratamiento y el control se realizó la prueba de Fisher (F)

Dónde:

S2 t = la varianza de los tratamientos por separado

S2 c = la varianza del grupo control

RESULTADOS

Altura de la planta (AP)

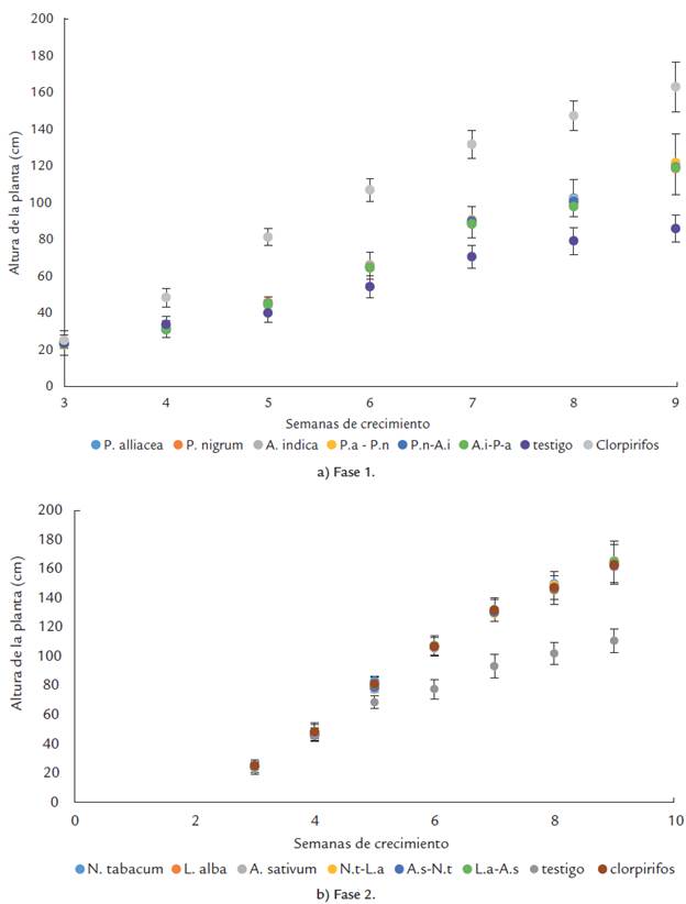
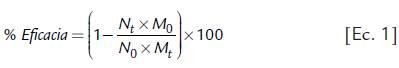
Los datos de AP promedio obtenidos para los cultivos de la fase 1 se registran en la Figura 2a. En esta Figura se observa que mientras que la máxima altura promedio de las plantas tratadas con los extractos y sus mezclas estuvieron entre 118,5 ± 14,4 y 121,7 ± 13,0 cm; la altura del grupo testigo fue de 85,8 ± 7,4 cm, lo que representa una diferencia de 34,9 cm. Los valores de AP de las plantas tratadas con los diferentes extractos y mezclas en la última semana no tuvieron diferencias significativas entre sí (p>0,05). Algo similar se presentó durante la fase 2 con las plantas sometidas a otros tratamientos (véase Fig. 2b), donde se observa que mientras las máximas alturas promedios de las plantas tratadas estuvieron de igual manera entre 161,7 ± 17,2 y 165,6 ± 13,8 cm; la máxima altura del grupo testigo fue de 110,7 ±7,9 cm. No hubo diferencia significativa (p>0,05) en las AP tratadas con los bioplaguicidas entre sí y las tratadas con clorpirifos; sin embargo, si hubo diferencia comparada con el grupo testigo lo que indica la efectividad de los biotratamientos. Las plantas tratadas para cada fase crecieron proporcionalmente en función del aumento de las semanas. El crecimiento de las plantas de los grupos testigos siempre estuvo por debajo de las plantas tratadas con los extractos vegetales y el clorpirifos.

Crecimiento promedio semanal de las plantas de maíz para cada uno de los tratamientos aplicados para cada fase, sus testigos y su control. a) Fase 1. b) Fase 2.

Fig. 2: Crecimiento promedio semanal de las plantas de maíz para cada uno de los tratamientos aplicados para cada fase, sus testigos y su control. a) Fase 1. b) Fase 2.

Todos los tratamientos presentaron diferencia significativa respecto al control. S2 P.a = 271,7; S2 A.i = 208,6; S2 P.n = 230,3; S2 P.a - P.n = 174,9; S2 A.i - P-n = 228,4; S2 P.a - A.i = 196,0; S2 control = 54,4; F P.a-control = 4,99; F A.i-Control = 3,83; F P.n-control = 4,23; F (P.a-P.n) -control = 3,21; F (A.i-P.n)-Control = 4,20; F (P.n-P.a)-control = 3,60. S2 N.t = 204,6; S2 L.a = 295,0; S2 A.s = 191,6; S2 clorpirifos = 188,2; S2 N.t - L.a = 162,9; S2 A.s - N.t = 251,7; S2 L.a - A.s = 214,1; S2 control = 61,7; F N.t -control = 3,31; F L.a - Control = 4,78; F N.t - control = 3,10; F clorpirifos - control = 3.05; F (N.t - L.a) -control = 2,64; F (A.s - N.t)-Control = 4,08; F (L.a - A.s)-control = 3,47.

Daño de la planta (Da)

El nivel de daño en el grupo testigo afectado por larvas de S. frugiperda, alcanzó el mayor valor en la escala de daño (9) en la novena semana de crecimiento, finalmente las plantas dejaron de crecer y murieron como consecuencia del ataque de la plaga (Tabla 2); por el contrario, los demás grupos experimentales mostraron una disminución progresiva en el daño de las hojas durante la aplicación de los tratamientos y se mantuvieron en un nivel de daño de 1 a 5. El daño en las plantas de maíz afectado por larvas de S. frugiperda en el grupo testigo, de la fase dos, fue de siete (escala de Mihm), mostrando diversas lesiones alargadas y partes carcomidas en varios verticilos, así que finalmente las plantas dejaron de crecer sin desarrollarse de forma apropiada; por el contrario, los demás grupos experimentales de esta fase mostraron una disminución progresiva en el daño de las hojas durante la aplicación de los tratamientos y se mantuvieron en un nivel de daño de 1.

Tabla 2: Ef, grado de defoliación de las plantas y número de larvas de Spodoptera frugiperda presentes, antes y después de los tratamientos para cada fase.

Todos los tratamientos presentaron diferencia significativa respecto al control.

Las imágenes del Da de las plantas durante las dos fases se muestran en la (Fig. 3). A pesar que el Da en las plantas en algunos casos alcanzó hasta un valor de 5, las plantas lograron recuperarse después de los tratamientos.

Escala de Da en las grupos experimentales provocados por el ataque de Spodoptera frugiperda. a) Fase 1 b) Fase 2.

Fig. 3: Escala de Da en las grupos experimentales provocados por el ataque de Spodoptera frugiperda. a) Fase 1 b) Fase 2.

Eficacia de los tratamientos (Ef)

Las Ef de los tratamientos aplicados al cultivo orgánico de maíz amarillo tradicional usados en el estudio se presentan en la Tabla 2. El tratamiento con menor eficacia fue el de L. alba (74,9 %) y el de mayor fue el P. nigrum (84,5 %), superando incluso el tratamiento usado con clorpirifos (82,4 %). Mientras la mayoría de las mezclas presentaron una menor eficacia que los tratamientos independientes; la mezcla L.a - A.s (82,8 %) presentó un efecto de sinergismo.

Efecto antialimentario o insecticida (Ei).

El registro del número de larvas encontradas en el cultivo antes y después de la aplicación de los tratamientos se presenta en la Tabla 2. En todos los grupos experimentales se observó una disminución de la población de las larvas después de los tratamientos, contrario a los grupos testigo que mostraron un gran aumento en la población de S. frugiperda. Esto podría sugerir que los tratamientos usados no sólo presentan actividad biológica contra las larvas de S. frugiperda, sino también evitaron que los huevos eclosionaran. A pesar de que las condiciones de campo hacen difícil medir un Ei de las larvas, si se pudo observar una recuperación de las hojas de las plantas tratadas y una disminución de las larvas.

DISCUSIÓN

La primera fase de estudio se caracterizó (julio de 2015) por una temporada de sequía, con un aumento de la temperatura de hasta 44 °C en los meses de julio, agosto y septiembre, según los reportes del Instituto de Hidrología, Meteorología y Estudios Ambientales-IDEAM (2015). La sequía incidió significativamente en la proliferación de la plaga, haciendo que el daño a las plantas fuera mayor en esta fase del estudio. En consecuencia, las plantas de la segunda fase alcanzaron una mayor altura en comparación con las de la etapa uno. Esto ya había sido reportado previamente por Gutiérrez et al., (2010), quienes discutieron sobre la protección nula de la A. indica en cultivos de maíz, posiblemente debido a las altas temperaturas presentadas durante el estudio (25 - 40 °C); que incidieron en el mejor desarrollo de S. frugiperda, en un mayor daño en el maíz y en la degradación de los compuestos naturales de A. indica.

Uno de los principales problemas durante la Fase 1, fue la presencia de la plaga en el cultivo en la tercera semana, contrario a lo que se reporta en el documento escrito por Negrete y Angulo (2003). En esta semana, las plantas están empezando su desarrollo vegetativo (seis hojas en adelante), por lo que el daño se limita al cogollo y la larva actúa cortando la planta cerca del suelo o defoliándola parcial o totalmente, lo que podría causar su muerte. El grado de afectación de las plantas como lo describe la escala de Mihm para los valores de 4 y 5 (diversas lesiones alargadas y partes carcomidas en el tejido vegetal) impidió la recuperación total de éstas, influyendo en el crecimiento adecuado de las plantas afectadas.

El Ef del extracto de A. indica mostró un valor de 81,5 %, lo que representa su actividad biológica contra S. frugiperda en el cultivo de maíz; esto coincide con lo descrito por otros autores (Lima et al.,2010; Mazzonetto et al., 2013; Zapata, et al., 2013), quienes señalan la actividad bioinsecticida de esta especie, en el control de más de 400 especies de insectos, arañas y nematodos, debido a que la composición química de la A. indica que afecta la alimentación, el crecimiento, la metamorfosis, la fecundidad, la esterilidad de los huevos, la oviposición, la longevidad, las conductas de cortejo y el apareamiento. Así mismo, se puede establecer un análisis para los demás extractos usados que tuvieron una actividad igual que el plaguicida usado comercialmente. Lo que incide en las ventajas del uso de los extractos vegetales (bioplaguicidas) como sustitutos de los plaguicidas sintéticos, y de esta manera, mitigar los impactos ambientales, sociales y económicos originados por el uso intensivo en los cultivos del Huila.

De acuerdo con los resultados obtenidos por García et al., (2012), sobre los bioplaguicidas como una opción para el control biológico de plagas, sugieren que por su naturaleza, estos productos pueden usarse con seguridad en una agricultura sustentable.

En la literatura se han reportado diferentes compuestos con propiedades antioxidantes o biológicas, tales como flavonoides, alcaloides, taninos, polifenoles, terpenos y sesquiterpenos obtenidos de extractos acuosos de Piper nigrum (Babu et al., 2010; Zarai et al., 2013), Nicotiana tabacum (Shen et al., 2016), A indica (Boeke et al., 2004; Zarai et al., 2013), Allivum sativum (Sulaiman et al., 2014), petiveria alliacea (Flota-Burgos et al., 2017) y Lippia alba (Gazola et al., 2004). Adicionalmente, otros estudios han reportado compuestos de interés, como fenilpropranoides o inositoles en Lippia alba (Neto et al., 2010); esteroides, saponinas, coumarinas y dos compuestos azufrados (dibencil disulfuro y dibencil trisulfuro) extraídos de hojas y tallos de Petiveria alliacea (Rosado-Aguilar et al., 2010; García et al., 2018; 2017); ácidos fenólicos, saponinas, carbohidratos, glucósidos y un compuesto azufrado como la alicina en extractos de Allivum sativum (Abid-Essefi et al., 2010; Meriga et al., 2012; Chen et al., 2018); nimbaflavona en el extracto de A. indica (Nagar et al., 2018); nicotina, ácidos grasos, fenilpropanoides, cromanonas, bifenilos e isocoumarinas en extractos acuosos de Nicotiana tabacum (Bhawsar et al., 2015; Shen et al., 2016) y piperina en Piper nigrum (Subramanian et al., 2011).

El uso de los bioplaguicidas en el mundo ha tenido un incremento del 16 % en el último año y la tendencia de crecimiento se ha mantenido en los últimos 10 años, comparado con otras técnicas no convencionales, tal como uso de cepas de virus, las cuales son más costosas y de difícil manejo (Ruiz et al., 2015) o el desarrollo de diferentes especies transgénicas de maíz resistentes a la Spodoptera frugiperda (Rocha, 2015) que a pesar de haber presentado efectividad contra la plaga, la alteración de los ecosistemas a partir de estos cultivos sigue estando en discusión (Cristian, 2006). Aunque la efectividad de los bioplaguicidas puede no alcanzar una eficiencia del 100 %, su aplicación unida a otros métodos de manejo integrado de plagas permitirá obtener rendimientos satisfactorios que garanticen la producción agrícola, mientras se preserva la biodiversidad y servicios ecosistémicos (Pavela, 2016).

CONCLUSIONES

Los extractos usados durante el proyecto mostraron ser eficaces en el control de la S. frugiperda. Se lograron resultados en promedio mayores al 80 %, en donde no se evidenciaron diferencias significativas entre dichos extractos y el plaguicida comercial utilizado, siendo el extracto de P. nigrum el más eficaz (84,5 %).

Todos los tratamientos usados en este estudio tuvieron actividad biológica contra la plaga de S. frugiperda. La importancia de este resultado ampliará el interés de investigadores de la región en incursionar en la búsqueda de nuevos bioplaguicidas y poder escalar los estudios a nivel industrial. Esta práctica será de gran importancia para el departamento del Huila, considerando que su principal economía de sustento proviene de la agricultura. Asimismo, la implementación de estos bioplaguicidas en los cultivos de la región contribuirá al desarrollo de una agricultura sostenible.

Acknowledgements

AGRADECIMIENTOS

Los autores agradecen al Centro de Investigaciones de la CORHUILA por la financiación de este proyecto.

REFERENCIAS

  1. Abid-Essefi S, Zaied C, Bouaziz C, Salem IB, Kaderi R, Bacha H. Protective effect of aqueous extract of Allium sativum against zearalenone toxicity mediated by oxidative stress, Exp Toxicol Pathol. 2012;64 (7-8): 689-695. Doi: 10.1016/j.etp.2010.12.012. [DOI] 🠔
  2. Ayala OR, Navarro F, Virla EG. Evaluación de las tasas de ataque y el nivel de daños por el gusano cogollero del maíz, Spodoptera frugiperda (Lepidoptera: Noctuidae), en el noreste de Argentina. Rev Fca Uncuyo. 2013;45(2):1-12. 🠔
  3. Babu N, Hemalatha R, Satyanarayana U, Shujauddin Md, Himaja N, Bhaskarachary K, et al. Phytochemicals, polyphenols, prebiotic effect of Ocimun sanctum, Zingiber officinale, Piper nigrum extracts, J Herb Med. 2018. In press. Doi: 10.1016/j.hermed.2018.05.001. [DOI] 🠔
  4. Bhawsar J, Jain PK, Jain P. Experimental and computational studies of Nicotiana tabacum leaves extract as green corrosion inhibitor for mild steel in acid medium, Alexandria Eng J. 2015;54 (3): 2015:769-775. Doi: 10.1016/j.aej.2015.03.022. [DOI] 🠔
  5. Boeke SJ, Boersma MG, Alink GM, van Loon JJA, Huis Av, Dicke M et al. Safety evaluation ofneem (Azadirachta indica) derived pesticides, J Ethnopharmacol. 2004;94(1): 25μmax41. Doi: 10.1016/j.jep.2004.05.011. [DOI] 🠔
  6. Casmuz A, Juárez ML, Socías MG, Murúa MG, Prieto S, Medina S, et al. Revisión de los hospederos del gusano cogollero del maíz Spodoptera frugiperda (Lepidoptera: Noctuidae), Rev Soc Entomol Argent. 2010;69(3-4):209-231. 🠔
  7. Celis A, Mendoza C, Pachón M, Cardona J, Delgado W, Cuca LE. Extractos vegetales utilizados como biocontroladores con énfasis en la familia Piperaceae. Una revisión. Agron Colomb. 2008;26(1):97-106. Doi: 10.15446/agron.colomb. [DOI] 🠔
  8. Chen C, Liu CH, Cai J, Zhang W, Qi WL, Wang Z et al. Broad-spectrum antimicrobial activity, chemical composition and mechanism of action of garlic (Allium sativum) extracts. Food Control. 2018;86:117-125. DOI: 10.1016/j.foodcont.2017.11.015. [DOI] 🠔
  9. Enviroment Protection Agency. Revised Human Health Risk Assessment on Chlropyrifos, in Enviromental Protection Agency. Available in: Available in: https://www.epa.gov/ingredients-used-pesticide-products/revised-human-health-risk-assessment-chlorpyrifos . Cited: 20 Sept 2016. [URL] 🠔
  10. La Federación Nacional de Cultivadores de Cereales y Leguminosas. Área, Producción y Rendimiento Cereales y Leguminosas 2016. Disponible en: Disponible en: http://www.fenalce.org/nueva/plantillas/arch_web/APR_2016_Marzo.pdf . Consulta: 14 mayo de 2016. [URL] 🠔
  11. García GC, Nava PE, Camacho BJR, Vázquez MEL. Bioplaguicidas: una opción para el control biológico de plagas. Ra Ximhai. 2012;8:17-29. 🠔
  12. García ME, Castillo AA, Lores OF, Batista A, Lemus Z. Toxicological evaluation of an aqueous suspension from leaves and stems of Petiveria alliacea L. (Phytolaccaceae), J Ethnopharmacol. 2018;211:29-37. doi: 10.1016/j.jep.2017.09.022. [DOI] 🠔
  13. Gazola R, Machado D, Ruggiero C, Singi G. Lippia alba, Melissa officianlis and Cymbogon citratus: effects of the aqueous extracts on the isolated hearts of rats, Pharmacol Res. 2004;50 (5):477-480. Doi: 10.1016/j.phrs.2004.01.012. [DOI] 🠔
  14. Govozdenac S, Indic D, Vukovic S. Phytotoxicity of Chlorpyrifos to White Mustard (Sinapsis alba L.) and Maize (Zea mays L.): Potential indicators of insecticide presence in water. Pestic Fitomed. 2013;28(4):265-271. Doi: 10.2298/PIF1304265G. [DOI] 🠔
  15. Henderson CF, Tilton EW. Tests with Acaricides against the Brown Wheat Mite. J Econ Entomol. 1955;48(2):157-161. Doi: 10.1093/jee/48.2.157. [DOI] 🠔
  16. Instituto Colombiano Agropecuario-[ICA]. Plaguicidas quimicos. [En línea] 2016. Disponible en Disponible en http://www.ica.gov.co/getdoc/2dae6093-c021-49d1-8b29-c9dfebce 2757/REGISTROS-DE-VENTA--PQA-24-01-09.aspx Consulta: enero, 2016. [URL] 🠔
  17. Instituto de Hidrología, Meteorología y Estudios Ambientales- [IDEAM]. Boletín agroclimático No. 06, 07 y 08. [En línea] 2015. Disponible en Disponible en http://www.ideam.gov.co Consultado: enero, 2016. [URL] 🠔
  18. Flota-Burgos GJ, Rosado-Aguilar JA, Rodríguez-Vivas RI, Arjona-Cambranes KA. Anthelminthic activity of metanol extracts of Diospyros anisandra and Petiveria alliacea on cyathostomin (Nematoda: cyathostominae) larval development and egg hatching, Vet Parasitol. 2017;248: 74-79. Doi: 10.1016/j.vetpar.2017.10.016. [DOI] 🠔
  19. Lima MS, Silva PSL, Oliveira OF, Silva KMB, Feitas FCL. Corn yield response to weed and fall armyword control. Planta Daninha. 2010;28(1):103-11. Doi: 10.1590/S0100-83582010000100013. [DOI] 🠔
  20. Lizarazo HK, Mendoza FC, Carrero SR. Efecto de extractos vegetales de Polygonum hydropiperoides, Solanum nigrum y Calliandra pittieri sobre el gusano cogollero (Spodoptera frugiperda). Agron Colomb. 2008;6(3):427-434. Doi:10.15446/agron.colomb. [DOI] 🠔
  21. Lubell M, Hillis V, Hoffman M. Innovation, cooperation, and the perceived benefits and cost of sustainable agriculture practices. Ecol Soc. 2011;16(4):1-12. Doi: 10.5751/ES-04389-160423. [DOI] 🠔
  22. Mazzonetto F, Coradini F, Zapparoli CR, Barcellos DA. Ação de insecticidas botánicos sobre a preferencia alimentar e sobre posturas de Spodoptera frugiperda (J.E. Smith) (Lepidoptera: Noctuidade) em Milho. Entomo Bras. 2013;6(1):34-38. Doi: 10.12741/ebrasilis.v6i1.261. [DOI] 🠔
  23. Meriga B, Mopuri R, MuraliKrishna T. Insecticidal, antimicrobial and antioxidant activities of bulb extracts of Allium sativum, Asian Pac J Trop Med. 2012;5(5):391-395. Doi: 10.1016/S1995-7645(12)60065-0. [DOI] 🠔
  24. Mihm JA. Efficient mass-rearing and infestation techniques to screen for host plant resistance to fall Armyworm, Spodoptera frugiperda. London: International Maize and Wheat Improvement Center. 1983. 16 p. 🠔
  25. Mulder C, Wouterse M, Raubuch M, Roelofs W, Rutgers M. Can transgenic maize affect soil microbial communities? Plos Comput Biol. 2006;2(9):1165-1172. Doi: 10.1371/journal.pcbi.0020128. [DOI] 🠔
  26. Nagar N, Devra V. Green synthesis and characterization of copper nanoparticles using Azadirachta indica leaves, Mater Chem Phys. 2018;21:44-51. Doi: 10.1016/j.matchemphys.2018.04.007. [DOI] 🠔
  27. Negrete FB, Angulo JM. El gusano cogollero del maíz (Spodoptera frugiperda. Smith). Disponible en: Disponible en: http://bibliotecadigital.agronet.gov.co/bitstream/11348/4870/2/20061127153058_El%20gusano%20 cogollero%20del%20maiz.pdf . Consulta: 10 agosto de 2017. [URL] 🠔
  28. Neto AC, Netto JC, Pereira PS, Pereira AMS, Taleb-Contini SH, França SZ et al. The role of polar phytocomplexes on anticonvulsant effects of leaf extracts of Lippia alba (Mill) N.E Brown chemotypes, J Pharm Pharmacol. 2010;61(7): 933-939. Doi: 10.1211/jpp/61.07.0013. [DOI] 🠔
  29. Pavela R, Benelli G. Essential oils as ecofriendly biopesticides? Challenges and constraints. Trends Plant Sci. 2016; 21(12):1000-1007. Doi: https://doi.org/10.1016/j.tplants.2016.10.005. [URL] 🠔
  30. Rocha A, Luiz A, Ayres ME. Resistance of conventional and isogenic transgenic maize hybrids to Spodoptera frugiperda (Lepidoptera: Noctuidae). Bragantia. 2015;74(1):50-57. Doi: 10.1590/1678-4499.0367. [DOI] 🠔
  31. Rosado-Aguilar JA, Aguilar-Caballero A, Rodríguez-Vivas RI, Borges-Argaez R, García-Vázquez Z, Méndez-González M. Acaricidal activity of extracts from Petiveria alliacea (Phytolaccaceae) against the cattle tick, Rhipicephalus (Boophilus) microplus (Acari: ixodidae), Vet Parasitol. 2010;168: 299-303. Doi: 10.1016/j.vetpar.2009.11.022. [DOI] 🠔
  32. Ruiz C, Gómez VJ, Chaparro M, Sotelo P, Villamizar L. Adjusting the conditions of a system for the in vivo production of a nucleopolyhedrovirus of Spodoptera frugiperda (Lepidoptera: Noctuidae). Biotecnol Apl. 2015;32(4):4311-4316. 🠔
  33. Shen QP, Xu XM, Li L, Zhao W, Xiang NJ, Yang GY et al. Sesquiterpenes from the leaves of Nicotiana tabacum and their anti-tobacco mosaic virus activity, Chinese Chem Lett. 2016;27(5):753-756. Doi: 10.1016/j.cclet.2016.01.048. [DOI] 🠔
  34. Souza JR, Carvalho GA, Moura AP, Couto MHG, Maia JB. Impact of insecticide used to control Spodoptera frugiperda (J.E. Smith) in corn on survival, sex ratio, and reproduction of Trichogramma pretiosum. Riley offspring. Chil J Agr Res. 2013;73(2):122:127. Doi: 10.4067/S0718-58392013000200006. [DOI] 🠔
  35. Souza JR, Carvalho GA, Moura AP, Couto MHG, Maia JB. Toxicity of some insecticides used in maize crop on Trichogramma pretiosum (Hymenoptera, Trichogrammatidae) immature stages. Chil J Agr Res. 2014;74(2):234-239. Doi:10.4067/S0718-58392014000200016. [DOI] 🠔
  36. Subramanian R, Subbramaniyan P, Noorul J, Raj V. Double bypasses soxhlet apparatus for extraction of piperine from Piper nigrum, Arab J Chem. 2016;9:S537-S540. Doi: 10.1016/j.arabjc.2011.06.022. [DOI] 🠔
  37. Sulaiman FA, Kazeem MO, Waheed AM, Temowo SO, Azeez IO, Zubair FI et al. Antimicrobial and toxic potential of aqueous extracts of Allium sativum, Hibiscus sabdariffa and Zingiber officinale in Wistar rats, J Taibah Univ Sci. 2014;8(4):315-322. Doi: 10.1016/j.jtusci.2014.05.004. [DOI] 🠔
  38. Teixeira PH, Afonso VP, Magid WJ. Atividade de extrato aquoso de folhas de nim (Azadirachta indica) sobre Spodoptera frugiperda. Pesq Agropec Bras. 2003;38(3):437- 439. 🠔
  39. Zapata SR, González AC, Mosquera CL, Usuga TI, Polanco ED, Araque MP. Actividad antihelmíntica in vitro de extractos oleosos de Azadirachta indica y extractos acuosos de Nicotiana tabacum sobre nematodos gastrointestinales de cabras. Rev Med Vet. 2013;(26):25-36. 🠔
  40. Zarai Z, Boujelbene E, Salem NB, Garbouri Y, Sayari A. Antioxidant and antimicrobial activities of various solvent extracts, piperine and piperic acid from Piper nigrum, Food Sci Technol. 2013;50(2):634-641. Doi: 10.1016/j.lwt.2012.07.036. [DOI] 🠔
Figueroa Gualteros AM, Castro Triviño EA, Castro Salazar, HT. Efecto bioplaguicida de extractos vegetales para el control de Spodoptera frugiperda en el cultivo de maíz (Zea mays). Acta biol. Colomb. 2019;24(1):58-66. DOI: http://dx.doi.org/10.15446/abc.v24n1.69333
Geraldo Andrade Carvalho.
Los autores declaran que no existen conflicto de intereses.