Acta Biológica Colombiana
0120-548X
Universidad Nacional de Colombia, Facultad de Ciencias, Departamento de Biología
https://doi.org/10.15446/abc.v24n1.70275

Recibido: 7 de febrero de 2018; Revision Received: 8 de junio de 2018; Aceptado: 27 de agosto de 2018

AMAZONIAN ISOLATES OF Metarhizium ARE EFFECTIVE FOR KILLING Bactrocera carambolae (DIPTERA: TEPHRITIDAE)

Aislados Amazónicos de Metarhizium son efectivos para matar Bactrocera carambolae (Diptera: Tephritidae)

B. BRITO, 1A. LIMA, 2K. CRUZ, 3A. BARIANI, 2C. JESUS-BARROS, 2J. PEREIRA, 2R. ADAIME, 2*

Programa de Pós-Graduação em Biodiversidade Tropical, Universidade Federal do Amapá. Rodovia Juscelino Kubitschek, km 2, Jardim Marco Zero. Macapá, Amapá, Brazil. Universidade Federal do Amapá Universidade Federal do Amapá Macapá Amapá Brazil
Embrapa Amapá, Laboratório de Proteção de Plantas, Rodovia Juscelino Kubitscheck n° 2600, Universidade Macapá, Amapá, Brazil. Universidade Macapá Amapá Brazil
Faculdade de Macapá, Rodovia Duca Serra, Cabralzinho. Macapá, Amapá, Brazil. Faculdade de Macapá Faculdade de Macapá Macapá Amapá Brazil

For correspondence. ricardo.adaime@embrapa.br

Licencia Creative Commons.

ABSTRACT

Bactrocera carambolae Drew & Hancock is a quarantine pest present in Brazil and is the main phytosanitary barrier for the export of fresh fruits from that country. In this work, we evaluated the effect of Amazonian isolates of Metarhizium on kill larvae, pupae, and adults of B. carambolae in soil applications. The mortality of larvae and pupae in sterile soil treated with Metarhizium anisopliae was 70 %. In addition, 100 % of the adults that emerged from this substrate died up to five days later. This isolate caused the mortality of larvae and pupae in non-sterile soil, but its effect was more evident after adult emergence (70 % mortality up to ten days after emergence). Metarhizium robertsii was effective in killing larvae and pupae of the pest, especially in non-sterile soil, and caused a 60 % reduction in adult survival 50 days after emergence. These results indicated the possible use of these isolates for the control of B. carambolae, suggesting the possibility of using this biocontrol mode as another alternative in controlling this quarantine pest.

Keywords:

Biological control, carambola fruit fly, entomopathogenic fungi, fruit flies.

RESUMEN

Bactrocera carambolae Drew & Hancock es una plaga cuarentenaria presente en Brasil y es la principal barrera fitosanitaria para la exportación de frutas frescas de este país. En este trabajo, evaluamos el efecto de los aislados amazónicos de Metarhizium para matar larvas, pupas y adultos de B. carambolae en aplicaciones de suelo. La mortalidad de larvas y pupas en suelo estéril tratado con Metarhizium anisopliae fue del 70 %. Además, el 100 % de los adultos que emergieron de este sustrato murieron hasta cinco días después. Este aislado causó la mortalidad de larvas y pupas en suelo no estéril, pero su efecto fue más evidente después de la emergencia del adulto (70 % de mortalidad hasta diez días después de la emergencia). Metarhizium robertsii fue eficaz para matar larvas y pupas de la plaga, especialmente en suelos no estériles, y causó una reducción del 60 % en la supervivencia de los adultos 50 días después de la emergencia. Estos resultados indican que es posible el uso de estos aislados para el control de B. carambolae, lo que sugiere la posibilidad de utilizar este modo de control biológico como otra alternativa para controlar esta plaga cuarentenaria.

Palabras clave:

Control biológico, hongos entomopatógenos, moscas de la fruta, mosca de la Carambola.

INTRODUCTION

The occurrence of the carambola fruit fly (Bactrocera carambolae Drew & Hancock) (Diptera: Tephritidae) is considered to be the main phytosanitary barrier for fruit exports worldwide, since there are quarantine restrictions imposed by importing countries on the purchase of products from regions where the pest occurs (Godoy et al., 2011; Ferreira and Rangel, 2015). In Brazil, the fly is classified as a current quarantine pest, with a distribution limited to the states of Amapá, Pará e Roraima, in the northern region of the country, and it is under official control coordinated by the Ministry of Agriculture, Livestock and Supply (Brasil, 2018; Morais et al., 2016). Nevertheless, the spread of the carambola fruit fly to fruit exporting regions of Northeast Brazil would result in losses of approximately USD 60 million, only for the mango crop, already in the fourth year after probable international embargo (Miranda et al., 2015).

The control of B. carambolae is based especially on the use of toxic baits containing insecticides and the attractive methyl eugenol. These methods are efficient, but it has become necessary to phase out the use of malathion, given the known environmental and toxicological impacts of organophosphates (Silva et al., 2016). Thus, there is a need to search for alternative control techniques that may be added to the management of B. carambolae (Midgarden et al., 2016).

Among these alternatives is biological control by entomopathogenic fungi, such as those of the genus Metarhizium Sorokin. These fungi live naturally in the soil, which allows the application/release of these biological control agents for the elimination of 3rd instar larvae and pupae of fruit flies (Ekesi et al., 2003; Maniania and Ekesi, 2016). In addition to its efficiency for some species of fruit flies, the use of fungi of the genus Metarhizium has shown to be promising for the control of a significant number of agricultural pests (Alves, 1998; Destéfano et al., 2005; Ekesi et al., 2005; Gul et al., 2015).

Silva et al. (2016) evaluated the potential of Amazonian isolates of Metarhizium anisopliae (Metsch.) Sorokin and Metarhizium robertsii JF Bisch., Rehner & Humber for killing larvae and pupae of B. carambolae and recorded a mean mortality of 36 and 14 % in sterile soil, respectively. The authors emphasized the potential of using the isolate of M. anisopliae as a mycoinsecticide in soil application to reduce the pest population.

Thus, the aim ofthis work was to evaluate the pathogenicity of the isolates used by Silva et al. (2016), M. anisopliae and M. robertsii, on larvae, pupae, and adults of B. carambolae under laboratory conditions.

MATERIALS AND METHODS

Obtaining insects

For the pathogenicity assays, 3rd instar larvae obtained from the breeding of B. carambolae were used in the Laboratory of Protection of Plants of Embrapa Amapá. For the breeding of the carambola fly in the laboratory, eggs of this pest species were collected from an artificial device (aromatized plastic cups) (for further details, see Bariani et al., 2016). Subsequently, these eggs were placed in petri dishes containing larval food. These plates were then packed in trays with vermiculite and stored in an air-conditioned room to obtain the puparia. The puparia formed were transferred to plastic pots containing vermiculite and held at 26 ± 2 °C and 12-hour photophase until the emergence of adults. After emergence, the adults were transferred to cages by generation and placed in a climatized room.

Isolates of Metarhizium

Two isolates of the entomopathogenic fungus Metarhizium were used in the present study, one of M. anisopliae (sensu strictu) (CPAFAP 3.8) and another of M. robertsii (CPAFAP 14.8). Isolates were identified at the Embrapa Genetic Resources & Biotechnology, in Brasília, Federal District, Brazil, using the mass spectrometry technique (MALDI-TOF) (Lopes et al., 2014). These species are stored at the Embrapa Amapá, as well as in lyophilized and cryopreserved forms in the Fungus Collection of Invertebrates of Embrapa Genetic Resources & Biotechnology under the codes CG1313 (M. anisopliae) and CG1314 (M. robertsii), registered in the Sistema Nacional de Gestão do Patrimônio Genético e do Conhecimento Tradicional Associado - SisGen under the number AB0FC87.

Isolates and preparation of suspension of conidia

The M. anisopliae isolate was grown in Sabouroud dextrose agar (SDA) medium, where an agar potato dextrose (BDA) culture medium was used for M. robertsii. For growth, both isolates were kept at 26 ± 2 °C and 12-hour photophase for 28 days.

The suspensions of M. anisopliae and M. robertsii used for the pathogenicity test were prepared according to a method adapted from Ekesi et al. (2002). Accordingly, after the growth period of the entomopathogens, 15 mL of sterilized distilled water (SDW) containing 0.1 % Tween 80 were added to each plate, and all plates were then scraped to recover the conidia, where their contents were combined to form a single suspension.

After obtaining the initial suspension, the conidia were counted in a Neubauer chamber and adjusted to 1x108 conidia mL-1, the working suspension. The working suspension contained 0.1 % Tween 80 and 2 % adhesive spreader (AGRAL®). The solution used for controls (control) contained only SDW with 0.1 % Tween 80 and 2 % adhesive spreader (AGRAL®).

Pathogenicity of Metarhizium isolates against larvae, pupae, and adults of B. carambolae

The soil (Dystrophic Yellow Latosol - Xantic Hapludox) used as substrate for the pathogenicity assays was obtained from an urban orchard in the city of Macapá, Amapá State, Brazil.

Prior to use, the soil was sieved, and part was autoclaved at 120°C for 20 minutes to serve as the sterile soil treatments. Thirty Gerboxes (11x11x3 cm) were used for the experiment: five for treatment with M. anisopliae in sterile soil and five in non-sterile soil; five for treatment with M. robertsii in sterile soil and five in non-sterile soil; and the other ten boxes were for the controls in sterile and non-sterile soils. Each Gerbox contained 100 g of sterile or non-sterile soil.

A volume of 10 mL of the conidial suspensions (1x108 conidia mL-1) of the Metarhizium isolates was sprayed on the soil of the Gerboxes corresponding to the treatments with the entomopathogens. After spraying the conidial suspensions, 10 3rd instar larvae of B. carambolae were distributed on the soil of each of the boxes. In the controls, we sprayed only SDW solution containing 0.1 % Tween 80 and 2 % AGRAL® adhesive spreader. Each Gerbox was then transferred to a climatized room (26 ± 2 °C, without photoperiod). Every day, the Gerboxes were inspected and moistened with SDW.

Starting on the fifth day after the start of the pathogenicity assay, we recorded the numbers of emerged adults from the soils treated with Metarhizium isolates and the untreated (control) soils. All adults that emerged from the treated and untreated soils were placed singly in cages (500 mL plastic pots, with an open lid covered with organza fabric), where water (in a plant tissue-type sponge) and food were made available (yeast extract Bionis® YE MF and refined sugar, 1: 3 ratio, supplied on cotton in Petri dishes). The insects were checked daily until the death ofall ofthem. To confirm infection by Metarhzium spp., non-emerged pupae and dead adults in the cages were disinfested externally with 1.5 % sodium hypochlorite solution and incubated in a humid chamber to expose the characteristic signs of entomopathogens.

Statistical Analysis

The data of larval and pupal mortality of B. carambolae were transformed into arcsine square-root to homogenize the variances before the analysis of variance and the means were compared using the Tukey test at 5 % probability. The survival analysis of B. carambolae adults was performed using the parametric method based on quantitative data using the Kaplan-Meier model. BioStat 5.3 software was used for the statistical analyses (Ayres et al., 2007).

RESULTS

Our results demonstrated the pathogenicity of the Amazonian isolates of M. anisopliae and M. robertsii to larvae and pupae of B. carambolae in soil. This was more pronounced in sterile soil, where M. anisopliae caused 70 % mortality, which was superior to the treatment with M. robertsii (36 %) and control 12 % (Table 1).

Table 1: Mortality (%) of larvae and pupae of B. carambolae in sterile and non-sterile soils treated with M. anisopliae and M. robertsii.

*Mean values followed by the same lowercase letter in the same row or the same uppercase letter in the same column do not differ significantly, based on

Tukey test at 5 % probability.

Treatments: F = 11.46; df = 2, 24; p = 0.120

Substrates: F = 2.60; df = 1, 24; p < 0.001

Treatments*Substrates: F = 6.69; df = 2, 24; p = 0.005

In non-sterile soil, the M. robertsii isolate caused higher mortality than in control. Curiously, the mortality caused by the M. anisopliae isolate in non-sterile soil was only 28 %, which was not significantly different in relation to the control treatment. This difference was also not observed when comparing the mortality caused by the two Metarhzium isolates in non-sterile soil (Table 1).

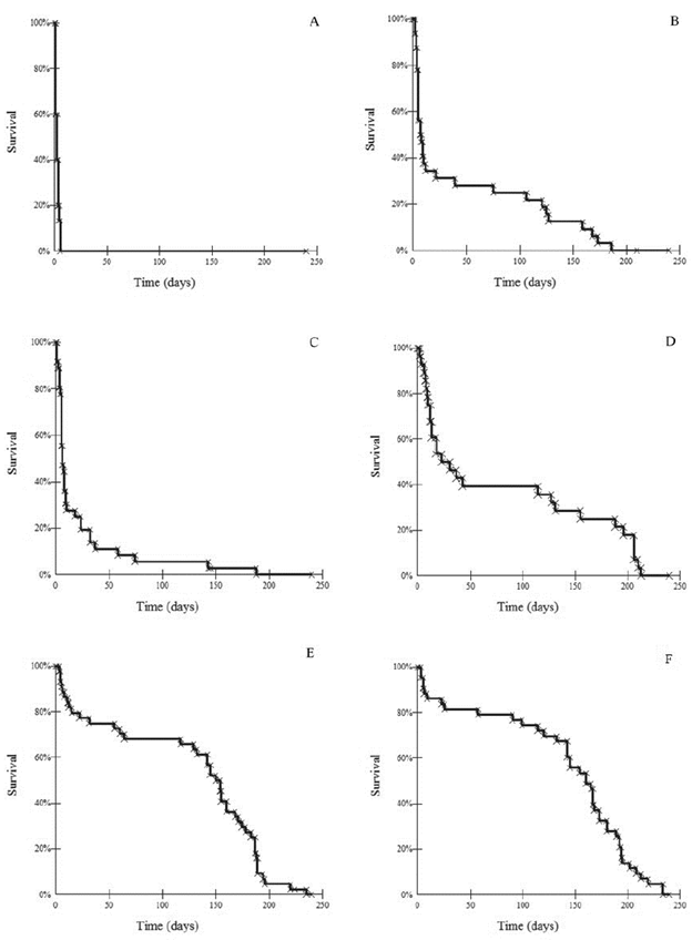
In addition to causing an effect on pupal mortality, the isolates M. anisopliae and M. robertsii had notable effect on the survival of B. carambolae adults (Fig. 1). The reduction in survival of adults that emerged from M. anisopliae-infected larvae was substantial in both sterile and non-sterile soil. After five days of emergence, all flies that emerged from sterile soil treated with this isolate died (Fig. 1A). In non-sterile soil, M. anisopliae also reduced considerably the survival of B. carambolae adults. Survival decreased by approximately 70 % in only ten days after the emergence of adults (Fig. 1C). It is also worth mentioning that there was a 90 % reduction in adult survival in non-sterile soil treated with M. anisopliae (Fig. 1C) 50 days after emergence.

Adult survival of B. carambolae. (A) Sterile soil treated with M. anisopliae; (B) Sterile soil treated with M. robertsii; (C) Non-sterile soil treated with M. anisopliae; (D) Non-sterile soil treated with M. robertsii; (E) Sterile soil not treated with entomopathogens; and (F) Non-sterile soil not treated with entomopathogens. (Kaplan-Meier model).

Figure 1: Adult survival of B. carambolae. (A) Sterile soil treated with M. anisopliae; (B) Sterile soil treated with M. robertsii; (C) Non-sterile soil treated with M. anisopliae; (D) Non-sterile soil treated with M. robertsii; (E) Sterile soil not treated with entomopathogens; and (F) Non-sterile soil not treated with entomopathogens. (Kaplan-Meier model).

M. robertsii also caused a reduction in the survival of B. carambolae adults in both sterile and non-sterile soil. The reduction was lower than that caused by M. anisopliae, but it can be considered relevant, since at 50 days after emergence, there was a decrease in survival of approximately 70 % in sterile soil (Fig. 1B) and 60 % in non-sterile soil (Fig. 1D).

In the control treatments with sterile and non-sterile soil, the reduction in B. carambolae survival was gradual, with 50 % of adults still alive at 150 days after emergence (Figs. 1E and 1F).

DISCUSSION

The effect ofthe Amazonian isolates ofthe entomopatho-genic fungi M. anisopliae and M. robertsii on the mortality of B. carambolae in laboratory was evident. There was a significant difference in mortality among treatments, reaching the highest values in sterile soil treated with M. anisopliae. This can be explained by the fact that in the sterile soil there are no competing microorganisms with the biological control agent. In our study, the percentages of mortality of larvae and pupae of B. carambolae were greater than those obtained by Silva et al., (2016), with the same isolates of Metarhizium, for the control of this pest in sterile soil. Those authors reported mortality rates of 36 and 14 % for M. anisopliae and M. robertsii, respectively. In our study, the values obtained were 70 and 36 % (Table 1). These differences in results may be associated with adaptations in the methods employed. To approximate as much as possible, the laboratory conditions to the field conditions, we used a smaller volume of soil and a larger volume of conidial suspension than those used by Silva et al., (2016).

Despite the importance of this group of natural enemies in the biological control of Bactrocera spp., there are still few related studies. Gul et al., (2015), in Multan, Pakistan, evaluated the potential of the entomopathogenic fungus M. anisopliae for the control of Bactrocera zonata (Saunders) in sterile soil. Conidial suspensions of 1x, 2x and 3x108 conidia mL-1 were used, and later the emergence of adults from infected pupae was evaluated. At a concentration of 1x108 conidia mL-1, the emergence of adults was 95 %, whereas at concentrations of 2x and 3x108 conidia mL-1, emergence was around 80 %. Even using different concentrations, these results showed considerably lower effects than those obtained in the present study, since M. anisopliae treatment in sterile soil reduced the emergence of adults by 70 % (Table 1). In addition, it should be considered that the concentration of M. anisopliae used in our study was only 1*108 conidia mL-1.

Sterilized soil was also used as a substrate to evaluate the effect of Metarhizium brunneum Petch on Bactrocera oleae (Rossi), in Córdoba, Spain (Yousef et al., 2013). The substrate treated with the entomopathogen had a significant effect on B. oleae mortality, since 82.27 % of the especimens did not reach adulthood, while 64.55 % reached this stage in the control treatment. In the Spanish study, larvae and pupae mortality in the control treatment was high (35.45 %) compared to our study (12 %). This makes the reduction in adult emergence of B. carambolae by M. anisopliae (70 %) in the present work greater in absolute percentage compared to that obtained by these cited authors, since they reached a reduction in emergence of 47 %, while we found decrease of 58 %.

Sookar et al., (2010) evaluated the potential of M. anisopliae isolates for the control of B. zonata and Bactrocera cucurbitae (Coquillett), considered the main fruit pests in Mauritius, Africa. The authors used a conidial concentration and soil volume similar to those used in the present study and observed emergence from treated soils of 60-93 % and 5292 % for B. zonata and B. cucurbitae, respectively. In our study, the maximum percentage of emergence of B. carambolae in sterile soil treated with M. anisopliae was 30 %, whereas for M. robertsii the emergence rate in non-sterile treated soil was 56 %. These results attest to the technical viability of the use of Amazonian isolates for the control of B. carambolae, especially considering that in our study the application of conidia was only on the soil surface. However, the above cited authors applied the conidia to the soil with subsequent mixing to facilitate the contact of the entomopathogenic propagules with fruit fly larvae, which is not feasible under field conditions.

The effectiveness of the application of M. anisopliae in the soil combined with the use of spinosad-based bait was evaluated for the control of Bactrocera dorsalis (Hendel) in Nthagaiya, Kenya (Ekesi et al., 2011). The authors reported a significant reduction in the pest population when the two strategies were used together. In addition, laboratory studies using soil treated with the entomopathogen indicated emergence rates of B. dorsalis adults on the order of 25-36 %, while the emergence obtained with untreated soil was 80-82 %.

In addition to larvae and pupae mortality, the effect of the isolates evaluated in this study on the survival of B. carambolae adults should be highlighted. The longevity of flies that emerged from larvae infected by M. anisopliae and M. robertsii on sterile and non-sterile soil was considerably affected. Flies that had no contact with entomopathogenic fungi (Figs. 1E and 1F) showed a maximum longevity of 240 days. Silva et al., (2016) indicated that adults emerging from soils treated with M. anisopliae and M. robertsii isolates had a very short life but did not evaluate survival.

Thus, it is important to emphasize the novelty of this study regarding the evaluation of the survival of adults of the carambola fruit fly emerging from soil treated with entomopathogens, since most of the studies consider only the decrease in emerging adults, without evaluating the subsequent adult mortality caused by the infection of larvae and pupae still in the soil. In our study, the longevity of B. carambolae adults in sterile soil was very low, around five days for 100 % of adults emerging from M. anisopliae-treated soil (Fig. 1A) and 50 days for 70 % of adults from soil treated with M. robertsii (Fig. 1B). These results demonstrate the ability of the two isolates to infect larvae and pupae of carambola fruit fly in the soil under laboratory conditions. However, in nature the conditions of sterile soil cannot be replicated. For non-sterile soil conditions, the longevity of B. carambolae adults was ten days for approximately 70 % of the individuals that emerged from M. anisopliae-treated soil (Fig. 1C). M. robertisii also caused significant adult mortality, on the order of 60 % at 50 days after emergence (Fig. 1D). These results are extremely encouraging and present new perspectives for the control of B. carambolae under field conditions. In Brazil, Jesus-Barros et al., (2017) evaluated the fecundity of B. carambolae in the laboratory and recorded that the pre-reproductive period was on average 25 days. Thus, the isolates studied caused high adult mortality before the beginning of the oviposition period of the females, showing a direct effect on population reduction of the next generations of B. carambolae.

Another practical implication is the possibility of adults emerging from soil treated with Metarhizium isolates to actively transport the infective (conidia) parasitic entomopathogens to the pest concentration niches, causing healthy individuals to be infected (horizontal transfer), especially during copulation. However, studies on the daily behavior of B. carambolae individuals treated and not treated with the isolates need to be performed.

Our results suggest that we can consider the possibility of using biological control with entomopathogenic fungi as an alternative strategy to control B. carambolae in Brazil. Studies that examine the isolates under field conditions are needed to further evaluate the fungi as potential control agents for the fly. One of these actions is the development of suitable formulations that allow greater viability of the bioinsecticide propagules, as well as guaranteeing their activity in conditions of high soil moisture, since their use for the control of the carambola fruit fly will occur in regions of the Amazon subjected to high rainfall in the first six months of the year.

CONCLUSIONS

The Amazonian isolates of M. anisopliae and M. robertsii are effective in causing mortality of larvae and B. carambolae pupae under conditions of sterile and non-sterile soil, respectively. In non-sterile soil, a condition similar to that found in the field, the M. anisopliae isolate caused a high mortality of B. carambolae adults after emergence. Our results indicate the possibility of using these Amazonian isolates for the biological control of carambola fruit fly, an important quarantine pest present in Brazil. This initiative would be of great importance to prevent the dispersion of the pest to other regions of Brazil and other countries of South America.

Acknowledgements

ACKNOWLEDGMENT

We thank the Brazilian Council for Scientific and Technological Development (CNPq) for the Research Productivity Fellowship granted to R. Adaime, and the Brazilian Ministry of Agriculture and Food Supply for authorizing the publication of data on carambola fruit flies, as provided under Normative Rule No. 52/2007. We thank Maria do Socorro Miranda de Sousa for the critical review of this manuscript. Dr. A. Leyva (USA) helped with English translation and editing of the manuscript.

REFERENCES

  1. Alves SB. Fungos entomopatogênicos. In: Alves SB, editor. Controle Microbiano de insetos. Piracicaba: FEALQ, 1998. p. 289-382. 🠔
  2. Ayres M, AyresJúnior M, Ayres DL, Santos AA, editors. BIOESTAT- Aplicações estatísticas nas áreas das ciências biomédicas. Belém: Sociedade Civil Mamirauá; 2007. 364 p. 🠔
  3. Bariani A, Jesus-Barros CR, Carvalho JP, Mota-Júnior LO, Nascimento PR, Cruz KR, Facundes VS. Técnicas para criação da mosca-da-carambola (Bactrocera carambolae Drew & Hancock) em laboratório para pesquisa científica. Macapá: Embrapa Amapá; 2016. 31 p. 🠔
  4. Brasil. Instrução Normativa N.° 38, de 1 de outubro de 2018. Diário Oficial [da] União;, Brasília, DF. 2018, Seção 1:14. Available in: Available in: http://www.in.gov.br/materia/-/asset_publisher/Kujrw0TZC2Mb/content/id/43461167/do1-2018-10-02-instrucao-normativa-n-38-de-1-de-outubro-de-2018-43461024 . Cited: 05 Dec 2018. [URL] 🠔
  5. Destefano RHR, Bechara IJ, Messias CL, Piedrabuena AE. Effectiveness of Metarhizium anisopliae against immature stages of Anastrepha fraterculus fruit fly(Diptera: Tephritidae). Braz J Microbiol. 2005;36(1):94-99. Doi:10.1590/S151783822005000100018 [DOI] 🠔
  6. Ekesi S, Maniania NK, Lux SA. Effect of soil temperature and moisture on survival and infectivity of Metarhizium anisopliae to four tephritidae fruit fly puparia. J Invertebr Pathol. 2003;83(2):157-167. Doi:10.1016/S0022-2011(03)00069-7 [DOI] 🠔
  7. Ekesi S, Maniania NK, Lux SA. Mortality in three African tephritidae fruit fly puparia and adults caused by the entomopathogenic fungi, Metarhizium anisopliae and Beauveria bassiana. Biocontrol Sci Technol. 2002;12(1):7-17. Doi:10.1080/09583150120093077 [DOI] 🠔
  8. Ekesi S, Maniania NK, Mohamed SA, Lux SA. Effect of soil application of different formulations of Metarhizium anisopliae on African tephritid fruit flies and their associated endoparasitoids. Biol Control. 2005;35(1):83-91. Doi:10.1016/j.biocontrol.2005.06.010 [DOI] 🠔
  9. Ekesi S, Maniania NK, Mohamed SA. Efficacy of soil application of Metarhizium anisopliae and the use of GF-120 spinosad bait spray for suppression of Bactrocera invadens (Diptera: Tephritidae) in mango orchards. Biocontrol Sci Technol. 2011;2(3):299-316. Doi:10.1080/09583157.2010.545871 [DOI] 🠔
  10. Ferreira ME, Rangel PHN. Melhoramento genético preventivo: obtenção de estoques genéticos resistentes a pragas quarentenárias de alto risco para a agricultura brasileira. In: Sugayama RL, Silva ML, Silva SXB, Rangel LEP, editor (es). Defesa vegetal: fundamentos, ferramentas, políticas e perspectivas. Belo Horizonte: Sociedade Brasileira de Defesa Agropecuária; 2015. p. 275-292. 🠔
  11. Godoy MJS, Pacheco WSP, Portal RR, Pires Filho JM, Moraes LMM, Programa Nacional de Erradicação da Mosca-da-Carambola. In: Silva RA, Lemos WP, Zucchi RA, editor (es). Moscas-das-frutas na Amazónia brasileira: diversidade, hospedeiros e inimigos naturais. Embrapa: Macapá; 2011. p.134-158. 🠔
  12. Gul HT, Freed S, Akmal M, Malik MN. Vulnerability of different life stages of Bactrocerazonata (Tephritidae: Diptera) against entomogenous fungi. Pak J Zool. 2015;47(2):307-317. 🠔
  13. Jesus-Barros CR, MotaJunior LO, Costa AES, Pasinato J, Adaime R. Fecundidade e longevidade de Bactrocera carambolae Drew & Hancock (Diptera: Tephritidae). Biotemas 2017;30(4):7-13. Doi:10.5007/2175-7925.2017v30n4p7 [DOI] 🠔
  14. Lopes RB, Faria M, Souza DA, Bloch C Jr, Silva LP, Humber RA. MALDI-TOF mass spectrometry applied to identifying species of insect-pathogenic fungi from the Metarhizium anisopliae complex. Mycologia. 2014;106(4):865-878. Doi:10.3852/13-401 [DOI] 🠔
  15. Maniania JNK, Ekesi S. Development and Application of Mycoinsecticides for the Management of Fruit Flies in Africa. In: Ekesi S, Mohamed SA, Meyer M, editor (es). Fruit Fly Research and Development in Africa - Towards a Sustainable Management Strategy to Improve Horticulture. Switzerland: Springer; 2016. p. 307-324. 🠔
  16. Midgarden D, Van Sauers-Muller A, Godoy MJS, Vayssières JF. Overview of the Programme to Eradicate Bactrocera carambolae in South America. In: Ekesi S, Mohamed SA, Meyer M, editor (es). Fruit Fly Research and Development in Africa - Towards a Sustainable Management Strategy to Improve Horticulture. Switzerland: Springer ; 2016. p. 705-736. 🠔
  17. Miranda SHG, Nascimento AM, Ximenes VP. Potenciais impactos socioeconómicos da expansão da mosca-da-carambola. In: Vilela EF, Zucchi RA, editor (es). Pragas introduzidas no Brasil: insetos e ácaros. FEALQ Piracicaba: São Paulo, Brazil; 2015. p. 132-149. 🠔
  18. Morais EGF, Jesus-Barros CR, Adaime R, Lima AL, Navia D. Pragas de expressão quarentenária na Amazónia. In: Silva NM, Adaime R, Zucchi RA, editor (es). Pragas Agrícolas e Florestais na Amazónia. Embrapa: Brasília; 2016. p. 521-559. 🠔
  19. Silva TL, Lima AL, Sousa MSM, Jesus-Barros CR, Bariani A, Pereira JF, Adaime R. Potential of Amazonian isolates of Metarhizium to control immatures of Bactrocera carambolae (Diptera: Tephritidae). Fla Entomol. 2016;99(4):788-789. Doi:10.1653/024.099.0436 [DOI] 🠔
  20. Sookar P, Bhagwant S, Allymamod MN. Mortality in Tephritid Fruit Fry Puparia and Adults Caused by Metarhizium anisopliae, Paecilomyces fumosoroseus and Beauveria bassiana. Univ Res J Univ.Mauritius 16. 2010. Available in: Available in: http://ucampus.uom.ac.mu/rci/resjournal/pastissue.php?ujid=25 . Cited: 3 Mar 2017. [URL] 🠔
  21. Yousef M, Lozano-Tovar MD, Garrido-Jurado I, Quesada-Moraga E. Biocontrol of Bactrocera oleae (Diptera: Tephritidae) with Metarhizium brunneum and its extracts. J Econ Entomol. 2013;106(3):1118-1 125. Doi:10.1603/EC12489 [DOI] 🠔
Geraldo Andrade-Carvalho.
Brito BD, Lima AL, Cruz KR, Bariani A, Jesus-Barros CR, Pereira JF, Adaime R. Amazonian Isolates of Metarhizium are Effective for Killing Bactrocera carambolae (Diptera: Tephritidae). Acta biol. Colomb. 2019;24(1):118-124. DOI: http://dx.doi.org/10.15446/abc.v24n1.70275
The authors declare that there is no conflict of interest.