Agronomía Colombiana
0120-9965
Universidad Nacional de Colombia, Facultad de Agronomía
https://doi.org/10.15446/agron.colomb.v34n3.55565

Recibido: 2 de febrero de 2016; Aceptado: 30 de noviembre de 2016

Impacts of the dry season on the gas exchange of oil palm (Elaeis guineensis) and interspecific hybrid (Elaeis oleífera x Elaeis guineensis) progenies under field conditions in eastern Colombia

Impacto de la época seca sobre el intercambio de gases en progenies de palma de aceite (Elaeis guineensis) y del híbrido interespecífico (Elaeis oleifera x Elaeis guineensis) bajo condiciones de campo en la zona oriental de Colombia

C. Bayona-Rodríguez, 1I. Ochoa-Cadavid, 2H. Romero, 3

Oil Palm Biology and Breeding Research Program, Colombian Oil Palm Research Center (Cenipalma). Bogotá (Colombia). Colombian Oil Palm Research Center (Cenipalma) Bogotá Colombia
Unipalma de los Llanos S.A. Bogotá (Colombia). Unipalma de los Llanos S.A Bogotá Colombia
Oil Palm Biology and Breeding Research Program, Colombian Oil Palm Research Center (Cenipalma). Bogotá; Department of Biology, Faculty of Sci ences, Universidad Nacional de Colombia, Bogotá (Colombia). hmromeroa@unal.edu.co Universidad Nacional de Colombia Universidad Nacional de Colombia Bogotá Colombia

ABSTRACT

Elaeis guineensis palms and its interspecific hybrid (E. oleifera x E. guineensis) were planted in 2004 in the Cuernavaca farm of Unipalma S.A., located in the municipality of Paratebueno (Cundinamarca, Colombia). The palms were planted in two fields: Mecasaragua and Aurora. The first field has never been irrigated, and the second one (Aurora) has always been flood-irrigated during the dry season according to the parameters of the plantation. In this study, physiological parameters (gas exchange and water potential) were assessed in three seasons of the year 2013 (dry season, dry-to-wet transition season and wet season). Significant gas exchange differences were found among the seasons in the field with no irrigation (Mecasaragua). Likewise, differences between the genetic materials were observed during the dry season. For example, the photosyn thesis decreased by 75% compared with the palms planted in the irrigated field. No differences among seasons or materials were found in the irrigated field (Aurora). E. guineensis palms were more sensitive to water stress compared with the OxG interspecific hybrid. Both genetic materials responded rapidly to the first rains by leveling their photosynthetic rates and demonstrated an excellent capacity to recover from water stress.

Key words:

photosynthesis, transpiration, water deficit, Eastern Plains..

RESUMEN

En la hacienda Cuernavaca de la plantación Unipalma S.A. ubicada en el municipio de Paratebueno (Cundinamarca, Colombia) se encuentran sembradas desde el año 2004 palmas de la especie Elaeis guineensis y del híbrido interespecífico (E. guineensis x E. oleifera). Las palmas están ubicadas en dos lotes Mecasaragua y la Aurora, estos sitios han presentado la siguiente condición durante las épocas secas: el primero nunca ha tenido suministro de agua y el segundo siempre ha tenido riego por inundación de acuerdo a los parámetros de la plantación. En este trabajo se evaluaron parámetros fisiológicos (intercambio de gases y potenciales hídricos) en tres épocas del año 2013 (época seca, transición seca-húmeda y época húmeda). En el lote sin suministro de agua se encontraron diferencias en el intercambio de gases entre épocas, adicionalmente hubo diferencia entre materiales durante la época seca, periodo en el cual la fotosíntesis disminuyó hasta en un 75% comparada con palmas del lote con suministro de agua. En la Aurora no se encontraron diferencias entre épocas ni entre materiales. La especie E. guineensis mostró ser más sensible al efecto del déficit hídrico comparada con el híbrido interespecífico OxG. Ambos materiales, respondieron satisfactoriamente al inicio de lluvias nivelando sus tasas fotosintéticas evidenciando una excelente recuperación al evento estresante.

Palabras clave:

fotosíntesis, transpiración, déficit hídrico, Llanos orientales..

Introduction

The African oil palm (Elaeis guineensis Jacq.) has become one of the most important industrial crops in Colombia and worldwide. Additionally, the interspecific hybrid [Elaeis oleifera (H.B.K.) Cortés x Elaeis guineensis Jacq. (OxG)] has gained importance over the last decade due to the advantages that it offers, especially those related to disease resistance (Zambrano and Amblard, 2007). Despite the high yield potential of both the hybrid and E. guineensis (Bastidas et al., 2007), it has been determined that the oil production is associated with soil nutrient and climate conditions, which have fluctuations throughout the year. This variation is reflected in the concentration of most of the harvest in short periods of time, largely associated with the rainfall patterns (Henson and Chai, 1998).

Water is the main factor involved in the biochemical pro cesses of photosynthesis and plays an essential role in the absorption and transport of nutrients from the soil (Cao et al., 2011). Photosynthesis may be inhibited during dry peri ods due to an increased vapor pressure deficit that forces the stomata closing (Dufrene and Saugier, 1993). Additionally, dry seasons are associated with higher temperatures, which may induce a reduction in the photochemical efficiency (Corley, 1982). However, according to Corley and Tinker (2008) high yields can still be obtain from palms that grow in suboptimal conditions due to the flexibility of this spe cies to withstand adverse conditions over extended periods.

In the Eastern Plains of Colombia, almost the entire an nual rainfall occurs during seven to eight months and a four-month dry season receives less than 50 mm of monthly rainfall (Rippstein et al., 2001). Considering that an adequate water supply and temperature are the most important factors that determine the performance of oil palms in the tropics and subtropics (Barrios et al., 2003; Corley et al., 1971), low rainfall, affects the oil production due to its effects on the fruit filling, abortion of inflores cences and sexual differentiation, among other processes (Corley and Tinker, 2008; Henson et al., 2005).

To avoid the adverse effects of dry seasons, growers use a variety of irrigation methods. Empirical methods are the most widely used, although they are not the most advisable (Lascano 1998). There are structured irrigation systems (gated pipe, spray, drip irrigation, etc.) that could be more expensive (Monroy 2010). Additionally, the irrigation practices depend on the increasingly limited availability of water (Domínguez et al., 2008), which makes harder watering the plantations. These situations lead basically to two options: finding materials tolerant to water deficit or the implementation of efficient, low-cost irrigation systems. Therefore, it is necessary to understand the physiological response of different materials to water deficit events.

Material and methods

Location

The research was conducted in the Mecasaragua and Aurora fields in the Cuernavaca estate of Unipalma S.A. plantation. This farm is located in the foothills of the eas tern plains (4°19" N and 73°13" W), in the municipality of Paratebueno (Cundinamarca, Colombia), at an altitude of 245 m a.s.l. The annual average temperature is 28°C, the annual rainfall is 2,800 mm and the relative humidity is 80%.

Plant material

Nine-year old E. guineensis and OxG interspecific hybrid palms (planted in 2004) were planted with at 9x9 m sta ggered spacing. Palms planted in the Aurora field were flood-irrigated during the dry seasons. Palms planted on the Mecasaragua field were maintained under rain-fed only conditions and were never artificially irrigated. Evaluation was performed over 16 palms per material type in each field during three seasons (wet season, dry season and dry-to-wet transition season). For the dry season, the assessments were performed after 70 d with no rain.

Plant water potential

The leaf water potential was determined by using a pressure chamber (Scholander pump, PMS Instrument, Albany, OR) (Bayona et al., 2007). The operating principle consists of introducing leaflets in an airtight chamber immediately after being cut; the lid has a small opening where the base of the leaf central vein is exposed; pressure is applied inside the chamber by injecting nitrogen gas to counteract the ne gative pressure of the water column on the leaf until a drop is observed in the exposed base of the vein. The pressure is recorded on a built-in pressure gauge. This measurement was performed between 4:00 and 6:00 h (predawn) to verify whether the plants were stressed.

Gas-exchange measurements

To quantify the gas exchange (photosynthesis, transpira tion and stomatal conductance) a portable photosynthesis meter was used (LiCor 6400XT, LI-COR Biosciences, Lincoln, NE) with the following benchmark parameters: 400 ppm CO2 and 1,000 µmol m-2 s-1 PAR radiation. The maximum photosynthesis was measured between 8:30 and 11:30 h. And the Instantaneous water-use efficiency to photosynthesis (WUEp) was determined by the ratio of PN to E.

Chlorophyll fluorescence

The chlorophyll fluorescence was determined using a por table photosynthesis system with an integrated fluorescen ce chamber (6400-40) LiCor 6400XT (LI-COR Biosciences, Lincoln, NE); Suresh et al. (2010) methodology was used with some modifications over time to adapt to darkness and saturating light pulse. We recorded the parameters of the maximum quantum yield (Fv/Fm), the photochemical efficiency of photosystem II (cpPSII) and the electron trans fer rate (ETR). Three leaflets from leaf 17 were taken from each palm and adapted to the darkness for 2 h; the Fv/Fm was measured; the leaflet was then saturated with 3,000 φimol m-2 s-1 radiation for 1 min, after which time the ETR and φPSII data were recorded. The measurements were performed only during the dry and wet seasons.

Statistical analysis

The information was obtained by sampling, in a completely randomized design, and analyzed using the SAS software. We performed an analysis of variance and a comparison of means with the Tukey test.

Results

Water potential

Figure 1 shows the predawn water potential of the palms evaluated in different seasons. Significant differences were found between the dry season and the dry-to-wet transi tion season in the hybrid material planted in the field with irrigation; the recorded values in each season were -51±13 KPa and -118±35 KPa, respectively. In the field with no irrigation, the water potential pattern was different and showed more negative values during the dry and dry-to-wet transition seasons compared with the wet season. However, no statistically differences were found in this field, where the reported values were -143±100 KPa, -160±52 KPa and -84±53 KPa, respectively. E. guineensis palms recorded the most negative values during the dry season in the field with no irrigation (-509±95 KPa), which indicates a severe stress. These values showed significant differences with respect to the seasons and the other groups evaluated.

Predawn leaf water potential (Ff) of the oil palm E. guineensis and the E. oleifera x E. guineensis hybrid in contrasting seasons. Means marked with * indicate significant differences according to the Tukey test (P<0.05). Vertical bars represent SD for n = 16.

FIGURE 1: Predawn leaf water potential (Ff) of the oil palm E. guineensis and the E. oleifera x E. guineensis hybrid in contrasting seasons. Means marked with * indicate significant differences according to the Tukey test (P<0.05). Vertical bars represent SD for n = 16.

Gas exchange

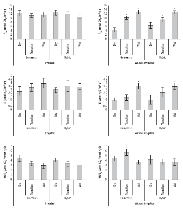
Figure 2 shows the behavior of the materials evaluated in the two fields (irrigated and non-irrigated) over time during three different seasons (dry, transitional and wet seasons) with respect to photosynthesis (Asat) and water-use effi ciency to photosynthesis (WUEp). Significant differences in photosynthesis were found between the irrigated and non-irrigated treatments in the dry season for both E. guineensis and the hybrid. During the transitional season there were also differences in the hybrid but not in E. guineensis. No differences were found between the two treatments during the wet season. In a separate evaluation of the two fields, with an average Asat of 11.81±2.4 vmol CO2 m-2 s-1 for E. guineensis and 11.64±2.3 |imol CO2 mf2 s-1 for the hybrid, no significant differences between materials over time were found in the irrigated field. However, significant differences were found among seasons in the field without irrigation. The Asat averages reported for E. guineensis were 4.52±1.08; 10.41±0.86 and 13.14±0.99 µmol CO2 m-2 s-1, in the dry, transitional and wet seasons, respectively, and 6.52± 1.45; 9.44±1.07 and 12.98±0.89 on average for the hybrid during the same seasons. However, no statistical significant diffe rences were found between the two materials.

Response of the gas exchange, maximum photosynthesis (Asat), transpiration rate (E), and water-use efficiency to photosynthesis (WUEp) in the oil palm E. guineensis and the E. oleiferax E. guineensis hybrid in contrasting seasons. Means marked with * indicate significant differences according to the Tukey test (P<0.05). Vertical bars represent SD for n = 16.

FIGURE 2: Response of the gas exchange, maximum photosynthesis (Asat), transpiration rate (E), and water-use efficiency to photosynthesis (WUEp) in the oil palm E. guineensis and the E. oleiferax E. guineensis hybrid in contrasting seasons. Means marked with * indicate significant differences according to the Tukey test (P<0.05). Vertical bars represent SD for n = 16.

The transpiration rate (E) of the materials showed a similar pattern. Statistically significant differences were found for E. guineensis between the dry season and the transitional season, while for the hybrid, differences between fields were found only during the dry season. In a separate analysis of the two fields, no statistically significant differences were found between materials over time in the field with irrigation, with an average transpiration rate of 3.37±0.58 mmol H2O m-2 s-1 for E. guineensis and 3.34±0.33 mmol H2O m-2 s-1 for the hybrid. In the field without irrigation, no differences were found for E. guineensis between the dry and the transition seasons, where the transpiration rate raised to 1.67±0.23 mmol H2O m-2 s-1. Instead, dur ing the wet season, the transpiration rate was 3.54±0 64 mmol H2O m-2 s-1. The transpiration rate of the hybrid showed an interesting pattern because significant differ ences were found between the dry and wet seasons, but with an intermediate transpiration rate values during the dry-to-wet transition season. The values reported for the dry, transitional and wet seasons were 1.52±0.67; 2.62±0.70 and 3.53±0.48 mmol H2O m-2 s-1, respectively.

The ratio of the photosynthetic rate to the transpiration rate determines the efficient use of water by the process of photosynthesis (WUEp; Blum, 2009). This ratio is basically the ratio of the water released by the plant to fix a given amount of CO2. Therefore, a higher WUEp value means a greater efficiency in the use of water for photosynthesis.

In the field with irrigation, significant differences in both materials were found between the dry and wet seasons, with values of 4.47±0.68 and 2.96±0.60 µmol CO2 /mmol H2O, respectively. Instead, the transition season showed intermediate values. No significant differences were found between the materials, which during the dry season were more efficient in the use of water. The field without irriga tion showed different responses. No significant differences were found for the hybrid with respect to the WUEp over time, with an average value of 3.89±0.78 µmol CO2/mmol H2O. However, the WUEp of E. guineensis decreased sig nificantly in the wet season.

Chlorophyll fluorescence

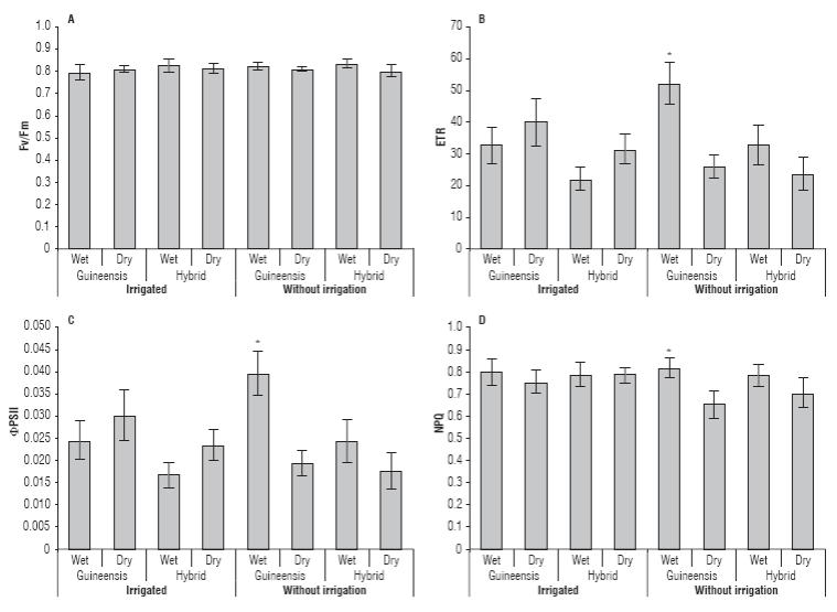
The maximum quantum efficiency (Fv/Fm) showed no sig nificant differences in any of the comparisons (Fig. 3). The average value was 0.81±0.02, and no trends related to the field or the seasons were found. In the field with irrigation, the non-photochemical quenching (NPQ) of the palms showed no significant variations and was slightly higher in both materials during the wet season. However, the NPQ differences among seasons were found in the field with no irrigation for both materials and reached the highest values during the wet season. The photochemical efficiency of photosystem II (0PII) and the electron transfer rate (ETR) responded similarly. These variables are closely related and no significant differences were found among seasons for E. guineensis in the field with irrigation. However, the values for the wet season were lower than those found in the dry season.

A. Maximum quantum efficiency (Fv/Fm); B. Electron transfer rate (ETR); C. Photochemical efficiency of photosystem II (cPPSII); D. Non-photochemical quenching (NPQ) in the oil palm E. guineensis and the E. oleiferax E. guineensis hybrid in two contrasting seasons. Means marked with * indicate significant differences according to the Tukey test (P<0.05). Vertical bars represent SD for n = 16.

FIGURE 3: A. Maximum quantum efficiency (Fv/Fm); B. Electron transfer rate (ETR); C. Photochemical efficiency of photosystem II (cPPSII); D. Non-photochemical quenching (NPQ) in the oil palm E. guineensis and the E. oleiferax E. guineensis hybrid in two contrasting seasons. Means marked with * indicate significant differences according to the Tukey test (P<0.05). Vertical bars represent SD for n = 16.

Discussion

The carbon dioxide fixation by palms planted in Aurora field (irrigated) did not change with respect to the season of the year or the rainfall rate. Under optimal conditions for healthy, well-irrigated palms, the CO2 fixation rate showed a tendency to increase during the dry season, which suggests that the water supplied by irrigation not only offsets the lack of rain but also creates a synergy with the weather conditions that stimulate the gas exchange. Henson and Mohd Hanif (2005) confirmed that, during the dry season, the most immediate response is the sto-matal closure and thus the reduction of the transpiration rates. However, as shown in figure 2, although there is a decrease in the transpiration rates during the dry season, there were no significant differences among seasons for both E. guineensis and the hybrid. With an efficient ir rigation system, the plants had enough water available to keep the stomata open and prevent a reduction in the photosynthesis. This outcome is reinforced by the increase in the proportion of absorbed energy for the photosynthetic process with an increased Í>PSII (Fig. 3). Additionally, the maximum variable fluorescence of chlorophyll (Fv/Fm) re mained unchanged, which suggests that the dry season did not create stress on the palms in the field with irrigation. However, the availability of water during the dry season led to a significant increase in the efficient use of water for photosynthesis, which had previously been reported for other species in which the WUEp increases with irrigation during droughts (Avola et al., 2008; Kiziloglu et al., 2009; Singh and Reddy, 2011). Moreover, the water potential data showed that, with flood irrigation, the water potential re mained similar between materials and sampling periods, which suggest that, during the dry season, the plants did not experience water deficit stress.

In the field with no irrigation (Mecasaragua), the lack of water available during the dry season had a strong impact on the physiology of the palms. The gas exchange was heavily affected, and the leaf water potential significantly decreased, particularly in E. guineensis. The photosynthetic rates were reduced by 66% in the non-irrigated field com pared with the irrigated field, and the photosynthesis rate decreased by 70% compared with the palms of that same field during the wet season. Similar results had been ob tained in nursery plants under water deficit, in E. guineensis progenies (Jazayeri et al., 2015) and interspecific OxG hybrids (Rivera et al., 2013). However, the Fv/Fm had no significant changes, which suggest that the palms may have adaptive or early recovery mechanisms in the photosystem II, which was not affected by the water stress.

Furthermore, the amount of energy received during the dry season cannot be used by palms in the same way in which well-irrigated palms use it, especially because of the effects that the water stress can have on the cellular biochemistry (Silva et al., 2013). Therefore, there is a significant decrease in the i>PSII (Fig. 3) related to problems in the electron transfer rate (ETR). This decline is closely related to the stomatal closure because the transpiration rate went from 3.8 mmol m-2 s-1 in the wet season to 1.5 mmol m-2 s-1 dur ing the dry season.

The dry-to-wet transition season is a reflection of the metabolic plasticity of the palms in their rehydration process. The recovery of the photosynthesis and transpi ration levels in the field without irrigation suggests the presence of biochemical mechanisms that allow the cells to rapidly return to their normal state after water stress events. These results had been observed in young palms (Suresh et al., 2010) and other species such as olives (Sofo et al., 2009) that were subjected to water stress and then returned to an appropriate level of soil moisture. Under these conditions cases an excellent recovery of the plants after a severe stress was observed and the plants reached normal levels of the different variables measured in a short period of time.

These findings support the need for irrigation to prevent palms from being affected by the lack of rain. Kallarackal et al. (2004) found that regardless of the microclimate observed in three oil palm-growing regions of India, ir rigation prevented a negative effect on the production dur ing dry periods. However, determining the best irrigation system has been a widely discussed topic. For example, a review of 15 years of irrigation in southern Thailand (Tit-tinutchanon et al., 2008) showed no differences among four irrigation systems. Moreover, favoring any type of irrigation is associated with the cost of implementation. Hence, irrigation must always be aimed at increasing the production potential of oil palms (Mejia 2000).

Conclusions

The comparison of the gas exchange in the fields with and without irrigation in three contrasting seasons showed the drastic impact of the dry season on the photosynthesis rate in both the hybrids and E. guineensis, with a reduction of up to 70%. In addition, the capacity of the palms to recover after a period of water deficit stress was confirmed. Consid ering these results, it is recommended to supply irrigation to avoid a drastic reduction in the carbon sequestration. Future works may study the impact of irrigation on the bunch production to quantify the fruit loss caused by periods of water stress.

Literature cited

  1. Avola, G., V. Cavallaro, C. Patané, and E. Riggi. 2008. Gas exchange and photosynthetic water use efficiency in response to light, CO2 concentration and temperature in Vicia faba. J. Plant Physiol. 165, 796-804. Doi: 10.1016/j.jplph.2007.09.004 [DOI] 🠔
  2. Barrios, R, A. Arteaga,. A. Florentino, and G. Amaya. 2003. Evalu ación de sistemas de subirrigación y de aspersión en suelos cultivados con palma aceitera. Rev. Multidiscipl. Esc. Ing. Agron. Univ. Oriente 3, 39-46. 🠔
  3. Bastidas, S., E. Peña, R. Reyes, J. Pérez, and W. Tolosa. 2007. Com portamiento agronómico del cultivar híbrido RC1 de palma de aceite (Elaeis guineensis Jacq.) Corpoica Cienc. Tecnol. Agropecu. 8, 5-11. Doi: 10.21930/rcta.vol8_num1_art:77 [DOI] 🠔
  4. Bayona, C.J., I.M. Ayala, and H.M. Romero. 2007. Relaciones hídricas en ocho materiales de palma de aceite en el Campo Experi mental Palmar de la Vizcaína. Ceniavances 1-4. 🠔
  5. Cao, H., C. Sun, H. Shao, and X. Lei. 2011 Effects of low temperature and drought on the physiological and growth changes in oil palm seedlings. Afr. J. Biotechnol. 10, 2630-2637. Doi:10.5897/AJB10.1272 [DOI] 🠔
  6. Corley, R.H.V. 1982. Germination and seedling growth. pp. 23-26. In: Corley, R.H.V., J.J. Hardon, and B.J. Woods (eds.) Oil palm research. Elsevier Scientific Publishing, Amsterdam, The Netherlands. 🠔
  7. Corley, R.H.V. and P.B. Tinker. 2008. The oil palm. 4th ed. Blackwell Science, Oxford, UK. 🠔
  8. Corley, R.H.V., J.J. Hardon, and Y. Tang. 1971. Analysis of growth of the oil palm (Elaeis guineensis Jacq.) I. Estimation of growth parameters and application in breeding. Euphytica 20, 307-315. Doi: 10.1007/BF00056093 [DOI] 🠔
  9. Domínguez, E., H.G. Rivera, R. Vanegas, and P. Moreno. 2008. Re laciones demanda-oferta de agua y el índice de escasez de agua como herramientas de evaluación del recurso hídrico colom biano. Rev. Acad. Colomb. Cienc. Exact. Fís. Nat. 32,195-212. 🠔
  10. Dufréne, E. and B. Saugier. 1993. Gas exchange of oil palm in rela tion to light, vapour pressure deficit, temperature and leaf age. Funct. Ecol. 7(1), 97-104. Doi: 10.2307/2389872 [DOI] 🠔
  11. Henson. I.A., M.N.M. Roslan, M.H. Harun, Z. Yahya, and A.M.S. Nor. 2005. Stress development and its detection in young oil palms in north kedah, malaysia. J. Oil Palm Res. 17, 11-26. 🠔
  12. Henson, I.E. and S.H. Chai. 1998. Analysis of oil palm productivity. III. Seasonal variation in assimilate requirements, assimilation capacity, assimilation late storage and apparent photosynthetic conversion efficiency. J. Oil Palm Res. 10, 35-51. 🠔
  13. Jazayeri, S.M., Y.D. Rivera, J.E. Camperos-Reyes, and H.M. Romero. 2015. Physiological effects of water deficit on two oil palm (Elaeis guineensis Jacq.) genotypes. Agron. Colombia. 33(2), 164-173. Doi: 10.15446/agron.colomb.v33n2.49846 [DOI] 🠔
  14. Kallarackal, J., P. Jeyakumar, and S.J. George. 2004. Water use of irrigated oil palm at three different arid locations in peninsular India. J. Oil Palm Res. 16, 45-53. 🠔
  15. Kiziloglu, F.M., U. Sahin, Y. Kuslu, and T. Tunc. 2009. Determining water-yield relationship, water use efficiency, crop and pan coefficients for silage maize in a semiarid region. Irrig. Sci. 27, 129-137. Doi:10.1007/s00271-008-0127-y [DOI] 🠔
  16. Lascano, R. 1998. Bases tecnológicas para el riego en palma de aceite. Rev. Palmas 19, 229-241. 🠔
  17. Mejía, J. 2000. Consumo de agua por la palma de aceite y efectos del riego sobre la producción de racimos: una revisión de literatura. Rev. Palmas 21, 51-58. 🠔
  18. Monroy, J.J. 2010. Sistema de riego por superficie mediante el metodo de tuberia de ventanas en palma de aceite (Elaeis guineensis Jacq.). Rev. Palmas 31, 36-44. 🠔
  19. Rippstein, G., G. Escobar, and F. Motta. 2001. Agroecología y biodi-versidad de las sabanas en los Llanos orientales de Colombia. Centro Internacional de Agricultura Tropical (CIAT), Cali, Colombia. 🠔
  20. Rivera, Y.D., D.G. Cayón, and J.E. López. 2013. Physiological and morphological characterization of american oil palms (Elaeis oleifera HBK Cortes) and their hybrids (Elaeis oleifera x Elaeis guineensis) on the Indupalma plantation. Agron. Colomb. 31(3), 314-323. 🠔
  21. Singh, S.K. and K.R. Reddy. 2011. Regulation of photosynthesis, fluorescence, stomatal conductance and water-use efficiency of cowpea (Vigna unguiculata [L.] Walp.) under drought. J. Photochem. Photobiol. B Biol. 105, 40-50. Doi: 10.1016/j.jphotobiol.2011.07.001 [DOI] 🠔
  22. Silva, M. de A., J.L. Jifon, C.M. dos Santos, C.J. Jadoski, and J.A.G. da Silva. 2013. Photosynthetic capacity and water use efficiency in sugarcane genotypes subject to water deficit during early growth phase. Braz. Arch. Biol. Technol. 56, 735-748. Doi: 10.1590/S1516-89132013000500004 [DOI] 🠔
  23. Sofo, A., B. Dichio, G. Montanaro, and C. Xiloyannis. 2009. Shade effect on photosynthesis and photoinhibition in olive during drought and rewatering. Agric. Water Manag. 96, 1201-1206. Doi:10.1016/j.agwat.2009.03.004 [DOI] 🠔
  24. Suresh, K., C. Nagamani, K. Ramachandrudu, and R.K. Mathur. 2010. Gas-exchange characteristics, leaf water potential and chlorophyll a fluorescence in oil palm (Elaeis guineensis Jacq.) seedlings under water stress and recovery. Photosynthetica 48, 430-436. Doi:10.1007/s11099-010-0056-x [DOI] 🠔
  25. Tittinutchanon, P., C. Nakharin, J.H. Clendon, and R.H.V. Corley. 2008. A review of 15 years of oil palm irrigation research in Southern Thailand. Planter 84(989), 537-546. 🠔
  26. Zambrano, J.E. and P. Amblard. 2007. Resultados de los primeros ensayos del cultivo de híbrido interespecifico de Elaeis oleifera x Elaeis guineensis en el piedemonte llanero colombiano (Ha cienda la Cabaña S.A.). Rev. Palmas 28, 234-240. 🠔