Agronomía Colombiana
0120-9965
Universidad Nacional de Colombia, Facultad de Agronomía
https://doi.org/10.15446/agron.colomb.v34n3.58791

Recibido: 1 de julio de 2016; Aceptado: 30 de noviembre de 2016

Effects of land use on soil C02 flux in the Paramo de Guerrero, Colombia

Efectos del uso del suelo sobre el flujo de C02 del suelo en el Páramo de Guerrero, Colombia

D. Peña-Quemba, 1Y. Rubiano-Sanabria, 2D. Riveros-Iregui, 3

Faculty of Agricultural Sciences, Universidad Nacional de Colombia. Bogotá (Colombia), dcpenaq@unal.edu.co Universidad Nacional de Colombia Faculty of Agricultural Sciences Universidad Nacional de Colombia Bogotá Colombia
Department of Agronomy, Faculty of Agricultural Sciences, Universidad Nacional de Colombia. Bogotá (Colombia). Universidad Nacional de Colombia Faculty of Agricultural Sciences Universidad Nacional de Colombia Bogotá Colombia
Department of Geography, University of North Carolina. Chapel Hill, NC (United States). University of North Carolina Department of Geography University of North Carolina Chapel Hill NC USA

ABSTRACT

The Andean paramo is an important global carbon sink and has a fundamental ecological function of capture, regulation and supply of water resources. The soil CO2 efflux is a natural process through which the carbon is released into the atmo sphere by molecular diffusion. The aim of this study was to establish the effect of different land use and soil managements practices over CO2 efflux in the Paramo de Guerrero, using the soil respiration chamber technique. We evaluated five differ ent land covers present in the Paramo de Guerrero (paramo vegetation, pasture, two tillage cover and potato crop). Our results show that soil respiration was lower in the paramo (0.42 g CO2 m-2 h-1) than in the others land uses, probably due to the higher moisture content (57.1% on average). The tillage practices showed a primary physical effect, continued by the increase of the velocity of biological and chemical processes drived by soil microorganisms, such as microbial respiration and organic matter mineralization. This study demostrates that moisture and soil temperature were not the main drivers of CO2 flux in the conditions of the Paramo de Guerrero, but the agricultural management and the land use affect differentially the accumulation and release dynamics of soil organic carbon to the atmosphere.

Key words:

agricultural soil management, carbon sinks, climate change, soil respiration, tillage..

RESUMEN

El páramo es un importante sumidero de carbono global y además tiene funciones ecológicas fundamentales de captura, regulación y suministro del recurso hídrico. El flujo de CO2 del suelo es un proceso natural a través del cual el carbono es libe rado a la atmosfera por difusión molecular. El objetivo de este trabajo fue establecer los efectos de diferentes usos y prácticas de manejo del suelo sobre el flujo de CO2 en las condiciones del Páramo de Guerrero, usando la técnica de cámara de respira ción portátil de suelo. Se evaluaron cinco diferentes coberturas del suelo presentes (vegetación de páramo, pastura, dos lotes arados recientemente y cultivo de papa). Nuestros resultados muestran que la respiración en suelo fue más baja en el páramo (0.42 g CO2 m-2 h-1) que en otros usos del suelo, probablemente debido al alto contenido de humedad (57,1% en promedio). Las prácticas de labranza mostraron un efecto físico principal, seguido por el aumento de la velocidad de procesos biológicos y químicos conducido por los microorganismos del suelo, tales como la respiración microbiana y la mineralización de la materia orgánica. Este estudio demuestra que la humedad y la temperatura del suelo no son los controladores principales del flujo de CO2 del suelo en condiciones del páramo de Guerrero, pero el manejo agrícola y los cambios del uso del suelo afectan diferencialmente la dinámica de acumulación y liberación del carbono orgánico del suelo a la atmósfera.

Palabras clave:

manejo agrícola del suelo, sumideros de carbono, cambio climático, respiración de suelos, arado..

Introduction

The dense alpine vegetation called the "Paramo" have a fundamental ecological function of capture, regulation and water resources provision as an important socio eco nomic service of water supply in the Andean ecosystem for different uses. However in the last decades, agricultural activities in these high mountain ecosystems have been dramatically intensified (Buytaert et al., 2006a), becom ing the main cause of paramos degradation (Poulenard y Podwojewski, 2000), altering and decreasing their potential for delivery of ecosystem services provision and regula tion. Agriculture at the paramos cause a damage in soil physical properties due to the breakdown and degradation of soil aggregates, which changes negatively the structure and the porosity, and generate a decreasing in the capac ity of water retention and CO2 capture, traits associated to high contents of organic matter, that play a key role in the function of water regulation (Buytaert et al., 2006b) and carbon sequestration.

In general, the soil is an important carbon (C) sink and under the paramo conditions this storage capacity is high, due to the low redox potential, water content and humid climate. The carbon dioxide (CO2) flux is a natural process by which C is released into the atmosphere through soil respiration (Rs) (Fiener et al., 2012; Oyonarte et al., 2012; Pacific et al., 2008; Riveros-Iregui et al., 2008), which in cludes two components, autotrophic and heterotrophic res piration (Balthazar et al., 2015; Riveros-Iregui et al., 2008). Rs has a high spatial variability associated to changes in land use, geomorphological position and climate conditions (Davidson, 2006; Oyonarte et al., 2012). Few studies have researched the influence of geomorphological position as a determining factor in soil respiration (Fiener et al., 2012; Riveros-Iregui et al., 2008). Likewise, the effects of land use changes over CO2 flux have been rarely analyzed (Wang y Fang, 2009). Some authors report the influence of vegeta tion cover (Iqbal et al., 2008; Xiao-Zeng et al., 2013), and the effects of the land use change from natural vegetation to agriculture with different management practices alter ing the CO2 efflux (Liu et al., 2011; Motavalli et al., 2000; Oyonarte et al., 2012; Zhang et al., 2013). In the surround ing paramos from Bogota D.C., there are no studies that associate the soil respiration response to the different land use changes and soil management practices.

The aim of this study was to establish the effect of different land use and soil managements practices, as also edapho-climatics and geomorphologics conditions, on CO2 efflux in the Paramo de Guerrero located at the municipality of Tausa, department of Cundinamarca, Colombia. Thirty six measurement sites of Rs were taken in a watershed of ap proximately 1,500 ha, to answer the following questions: 1) Are the edaphoclimatic conditions and geomorphological position the main drivers of soil CO2 flux? and 2) Are the land cover change and use the main regulators of soil CO2 efflux and C in the Paramo de Guerrero?

Materials and methods

Location

This study was conducted in the watershed of Guandoque's river with a total extension of 1,508 ha. that fall into the Neusa reservoir located at 7 km to the southeast (Fig. 1). The watershed is located at 65 km to the north of Bogota in the municipality of Tausa, Cundinamarca department, Colombia. The climate is classified from a very cold to extremely cold, between semihumid, humid and very humid, with bioclimatic paramo's floor, low land paramo and andean highlands (IGAC, 1997).

Location of the study area: municipality of Tausa, Cundinamarca (Colombia).

FIGURE 1: Location of the study area: municipality of Tausa, Cundinamarca (Colombia).

We selected thirty six measuring sites in transects (Fig. 2) under five different vegetation covers based on cover and landuse classification map from the Guandoque's water shed (Peña, 2015). The cover presented in the study area included, clean pasture (Pennisetum clandestinum), potato crops (Solanum tuberosum), Paramo coverage (includes Espeletia sp., shrubland or dense grassland Cavendishia nitida, Clusia multiflora, Drimys granadensis. According to Morales et al. (2007) other species are presented in the area Miconia sp., Weinmannia sp., Clusia sp., Ilex kunthi-ana y Drimys granadensis. Two field plots with different soil preparation management were included in this study.

Topographic profiles of the measuring transect. A. Transect 1; B. Transect 2, and C. Transect 3.

FIGURE 2: Topographic profiles of the measuring transect. A. Transect 1; B. Transect 2, and C. Transect 3.

Transect 1 (T1): paramo coverage, without agricultural use.

Transect2 (T2): tillage field plot (with previous fallow cover age, soil tillage was done with 1 pass of disc plow to a depth of 30-40 cm when starting the experiment, followed by 1 rotavator pass to a depth of 10-20 cm approximately one month after), pasture and paramo coverage.

Transect 3 (T3): tillage field plot (with previous potato crop coverage, 1 pass of rotavator to a depth of 10-20 cm, about three months after the potato crop harvesting, and 1 month after the beginning), potato crop and pasture.

Reference plot: fragmented forest coverage without agricul tural intervention, situated in the same watershed and in the same altitudinal range of T2 and T3 (the reference plot was used just to compare the total organic carbon contents).

Edaphoclimatic and geomorphological characteristics

Soil sampling and description was done by means of detai led observations on excavated holes of 50 cm (width) x 50 cm (high) x 50 cm (deep). The internal characteristics were described (Peña, 2015), and as a result we found majority of soil are derived from volcanic ashes, order Andisol. For the external characteristics of soil, the methodology proposed by the Instituto Geográfico Agustín Codazzi was followed (IGAC, 2014). The transect 1 (T1) was located in the highest elevation area of the watershed, in artesa relief type, with a difference in elevation of 30 m, approximately, among the different sampling sites, while for the transects T2 and T3 the differences among sampling sites were 140 and 100 m, respectively (Fig. 2), both transects in terraces relief type and fluvio-lacustrine hills. Although there are differences in elevation, T2 and T3 are located in the same climate, classified as very cold (temperature between 8 and 12°C), while transect T1, is located in an extremely cold weather (temperature between 4 and 8°C).

Field measurements

The experiment was conducted from January 12, 2014 until March 27, 2014. The Rs was measured in the 36 sampling sites with three replicates per plot, every measurement was taken every 2-7 d, for a total of 1,620 CO2 efflux data. Rs measurements were carried out with a portable infrared gas analyzer EGM-4 with a 0-2.000 ppm range (Environmental Gas Monitor, PP Systems, UK) and the soil respiration chamber SRC-1 with a calibration range of 0-9,99 g CO2 m-2 h-1 (PP Systems, UK). Measurements were performed after 120 s of CO2 concentration stabilization in the SRC-1 chamber with flux adjustment done by the quadratic re gression (Peña, 2015; Riveros-Iregui et al., 2008). On each monitored site the soil moisture (m3 m-3 x 100) was recorded with the Hydrosense II (Cambell Scientific) portable mea surement system and the soil temperature was registered at 12 cm depth (REOTEMP). The Rs was measured in the 36 sampling sites of 1x1 m approximately, marked with a colored ribbon to avoid disturbance.

Total organic carbon

In addition to the description, disturbed samples were collected to measure the total organic carbon (TOC) at different depths, 5, 20 and 50 cm, by using the dry total combustion method (elemental analyzer), the TOC was also quantifying for the forest fragmented cover use as reference.

Data Analysis

To contrast the null hypothesis, which states that the in dependent variable transects (geomorphological position) has no effect on the response variables (CO2 flux, soil temperature and soil moisture), the multivariate analysis of variance MANOVA was used as an extension of the analysis of variance (ANOVA) for some response variables (Peña, 2002). The Bonferroni test was used to calculate multiple comparison of means from different levels of multiple comparison of means from different levels of transect factor.

Results

Soil CO2 efflux variability associated with edaphoclimatic conditions.

In addition to the differences in altitude, the slopes re corded in T1 are lower than those of T2 and T3 (Fig. 3), these slope conditions acting together with climate gen erated the differences in soil moisture. The soil moisture content (Hs) and soil temperature (Ts) showed a strong negative linear correlation (-0.78), and the transect T1 was the one with the highest moisture and lowest tem perature (Fig. 3).

Soil moisture content variability, in relation to the slope of transects T1, T2 and T3 in the Paramo de Guerrero (Colombia).

FIGURE 3: Soil moisture content variability, in relation to the slope of transects T1, T2 and T3 in the Paramo de Guerrero (Colombia).

Soil CO2 efflux in T1 was lower (0.42 g CO2 m-2 h-1) than the flux of T2 and T3 (0.48 y 0.43 g CO2 m-2 h-1, respectively), also had the lowest variation coefficient (T1=30%, T2=46% and T3=43%), related with the homogeneity in cover type in T1, while T2 and T3 had 3 different covers (Fig. 4). Transect T1 registered the highest moisture content (57%) and the lowest average temperature (11.2 °C) between the three measuring transects. While the moisture recorded in transects T2 and T3 was 27% and 31% respectively and the averages temperature in both transects was 14°C.

The effect of the independent variable "transect" on the dependent variables CO2 efflux, Ts and Hs was significant, and based on the results of Wilks' Lambda and Pillai's Trace (Pr>F = <0.0001) test, the null hypothesis was rejected, which indicated the influence that geomorphological posi tion has on edafoclimatic conditions (Ts and Hs) for each site and CO2 efflux.

CO2 flux variability, soil moisture content and temperature in T1, T2 and T3 transects in the Páramo de Guerrero, Colombia.

FIGURE 4: CO2 flux variability, soil moisture content and temperature in T1, T2 and T3 transects in the Páramo de Guerrero, Colombia.

With the Bonferroni test the effects among transects were contrasted for each soil variable. Table 1 shows that CO2 flux in T1 transect had significant differences with the T2 transect, but not with the T3 transect, while T2 showed significant differences with T3 (Fig. 4). In Table 2 it was observed that there were significant difference regarding moisture content among transects, while Tab. 3, shows that there were only significant differences in soil tem perature between T1 and the other two transects (Fig. 4), nevertheless, there was no difference in Ts between T2 and T3 transects.

TABLE 1: Bonferroni test for Contrast among transects for CO2 flux va riable.

TABLE 2: Bonferroni test for contrast among transects for Hs variable.

TABLE 3: Bonferroni test for contrast among transects for Ts variable.

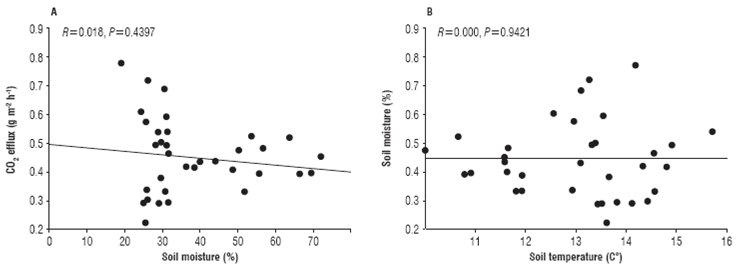
Although there were significant differences regarding the edaphoclimatic conditions among transects, the moisture (P=0.4397) and temperature (P=0.9421) variables did not show any linear relation with the CO2 flux variable (Fig. 5).

Non significant linear regression of CO2 flux with soil moisture in the three transects. A. no significant linear regression between CO2 flux and B. Temperature in the three transects.

FIGURE 5: Non significant linear regression of CO2 flux with soil moisture in the three transects. A. no significant linear regression between CO2 flux and B. Temperature in the three transects.

Effect of land use and cover

There were not found significant differences in CO2 flux among covers, although the emissions ranges might have showed a CO2 flux variability between them (Fig. 6). Fallow coverage in T2 was the one that registered a greatest CO2 flux (0.59 g CO2 m-2 h-1), while the Paramo cover in T2 re corded the lowest CO2 flux (0.31 g CO2 m-2 h-1). The pasture cover in T2 and T3, did not have significant differences in CO2 flux. The tillage field plots in T2 and T3 (0.34 g CO2 m-2 h-1) reported contrasting results of CO2 flux despite the similarity in external conditions of the plots (bared soils), but had differences.

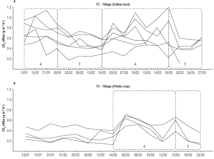
As the tow tillage plots has two different background agro nomic management systems, was possible to identify two different periods of the CO2 flux behavior, after each soil tillage practices, with both tillage instrument (Fig. 7). The A (raising) period corresponded to the significant increase in the CO2 flux, after some tillage practice was applied, and period E (stabilization) shows a CO2 flux reduction and regulation. In T2 disk plowing (fallow) it was identifying two A periods of significant CO2 flux raise, and two E pe riods following the A periods of CO2 flux increase (Figure 7a), that coincide with the two tillage pass done on this plot. On the other hand, in the disk plow plot apply after potato in T3 there was only one considerable A period CO2 flux, associated to the tillage event, followed by an E period at the end of the study (Fig. 7b).

Soil CO2 flux variability for each cover. A. Transect T1; B. Transect T2 and C. Transect T3 at the Guerrero's Páramo.

FIGURE 6: Soil CO2 flux variability for each cover. A. Transect T1; B. Transect T2 and C. Transect T3 at the Guerrero's Páramo.

Effects of soil management on CO2 flux in T2 transects, two tillage labors with a disk plowing after a fallow cover, and the effects of one tillage labor on T3, in the Paramo de Guerrero. Each labor represents a raising period (A) of CO2 efflux. Every line represents the CO2 efflux through all the experiment for each plot with tillage cover. A. T1 and B. T2.

FIGURE 7: Effects of soil management on CO2 flux in T2 transects, two tillage labors with a disk plowing after a fallow cover, and the effects of one tillage labor on T3, in the Paramo de Guerrero. Each labor represents a raising period (A) of CO2 efflux. Every line represents the CO2 efflux through all the experiment for each plot with tillage cover. A. T1 and B. T2.

During the first A period there was a maximum C02 total flux between 2 and 4 kg ha-1 h-1 in T2 after the first disk plow coming from a long period of rest from agricultural activity. Otherwise, after the second tillage, the maximum increase of CO2 flux was lower (1-3 kg ha-1 h-1 of CO2). In T3, after the first tillage, the maximum CO2 flux was lower (2 to 3 kg ha-1 h-1 CO2) compared to T2.

The intensive tillage in annual and semi-annual crops accelerate the process of physical, chemical and biological soil degradation, reducing the carbon stock due to the soil loss caused by the different types of erosion and oxidation (mineralization), especially in tropical and subtropical ar eas (Silva et al., 1994; Souza et al., 2014). The different types of cover had an effect on the total organic carbon content (Fig. 8), the reference cover, which not have any kind of severe anthropogenic disturbance, was used to compare the effect of land use changes on total organic carbon content.

In figure 8, TOC contents of T1, T2 and T3 transects were observed for each of the measuring sites, the missing bars refer to sites in which the sampling could not be performed (due to plot conditions, plot close to crop (T2-8) or the soil from the sampling site did not have the requirement depth). It was observed that the TOC contents in T1 (26.25% aver age) were higher than those recorded in T2 (18.28% aver age) and T3 (17.37% average), and even higher than those obtained in the reference plot, which could be related to the different covers and management practices, and also with the edaphoclimatic conditions of each site, in areas that presented higher moisture content at 5 and 20 cm depth the organic matter accumulation processes are preferred over the mineralization processes (Fig. 9).

Effects of the type of soil management on total organic carbon content in the T1, T2 and T3 transect, with forest reference in the Paramo de Guerrero (Control).

FIGURE 8: Effects of the type of soil management on total organic carbon content in the T1, T2 and T3 transect, with forest reference in the Paramo de Guerrero (Control).

Relationship between the Hs and the TOC to the 5 cm (A) and 20 cm depth (B).

FIGURE 9: Relationship between the Hs and the TOC to the 5 cm (A) and 20 cm depth (B).

The cover change effects and management in T1 and T2 transect caused a TOC estimated loss of 5% for the first 5 cm depth, however to 20 cm depth TOC losses are highest, and reach an mean of 8% (Fig. 8) compared with the refer ence plot. In 50 cm depth, the TOC contents were similar in T2, T3 and the reference.

Discussion

Although different authors report that the soil mois ture content is the most important controlling CO2 flux factor (Pacific et al., 2008; Riveros-Iregui et al., 2008; Riveros-Iregui et al., 2008) and others indicated that tem perature is the main driver of this process (Campos, 2006; Iqbal et al., 2008; Subke y Bahn, 2010). In the present study no linear or polynomial relation between CO2 flux with Hs or Ts was found. But, it was observed that in wet conditions and low soil temperatures there was a positive relation (Fig. 9) between the moisture content and the TOC accumula tion. The results endorsed the common knowledge that the Paramo is a carbon storage ecosystem, which needs to be protected and preservate in order to help mitigate the effects of climate change.

The investigation showed no significant difference in the CO2 flux among the transects. The results of CO2 flux are similar to those reported by Shahidi et al. (2014) in two agricultural soils (Alfisol and Mollisol) with ranges of 0.4 to 1.2 g CO2 m-2 h-1 under conventional tillage systems and non till, the greatest flows were obtained in the Mollisol order probably due to the highest content of organic carbon, compared to the Alfisol order. Liu et al. (2011) also reported similar values in an Oxisol order of a bamboo plantations in the subtropical region of China.

Transects T1 and T2 have the same paramo cover, without any human intervention. The difference found between the CO2 flux values (Fig. 6), are explained based on the differences in geomorphological traits and slope in T2. In the paramo cover of transect T1, the slopes are lower than 25% and soils are moderately deep, greater than 50 cm, compared to the paramo cover existing in the T2 transect, where slopes between 25% and 50% were found, with sur face soils with less than 50 cm thickness. These conditions affect the process of organic materials accumulation (main input in CO2 flux).

The immediate increases in CO2 flux after conventional tillage practices are the result of CO2 physical release (Fig. 7) stored in the pores of the soil as a result of microbial activity, these increases in the release of CO2 are the evi dence of the land use change and management practices (Álvaro-Fuentes et al., 2007). The increased accumulation of CO2 fluxeswere greater than the reported by Ellert y Janzen (1999) who obtained increases of 3.3 kg ha-1 h-1 of CO2, during the first 6 hours after tillage and increases of 0 to 0.5 kg ha-1 h-1 of CO2 during the first week of moni tored, related to aeration and residual mixture that increase microbial activity in the rhizosphere and soil aggregates. During these stages on which microbial activity is favored, the increase of CO2 flux is mediated by the Rh on the Ra (Shahidi et al., 2014).

The effects of tillage practices were also reflected in the TOC content in T2 and T3 transects (Fig. 8) with an his tory of agricultural management, compared to T1 and the reference plot without agricultural intervention. The reduction in TOC content is related mainly to the annual and semester crops, such as potatoes (Solanum tuberosum) and some vegetables, or rotation such as pasture or fallow (Wang et al., 2006). The different types of land use and management produced losses in the TOC contents. This results are corroborated by Lal (2003) who found that the management practices that commonly control the organic C storage are tillage, chemical fertilization, crop rotation and crop density. The reductions in the TOC content were found at depths of 5 and 20 cm, associated with the direct influence of the different tillage practices, since the optimum depth for crop development, especially potatoes is 20 to 30 cm.

The reduction in TOC content is in the range of 5% to 5 cm deep and 8% at 20 cm depth (Fig. 8), compared to the reference fragmented forest cover. The reductions in the TOC are lower than those reported by Motavalli et al. (2000) who found losses between 20 and 40% of the organic carbon in soils in which forest cover was change to agricultural crops. Similar results were reported by Dube et al. (2009) with losses of 44% of the organic carbon content in 10 cm soil surface, when natural forest was change to pine plantations. Constant tillage techniques, particularly the use of moldboard plow in association with other types of plow (chisel, disk, rigid chisel), may have greatest negative impact on several soil quality indica tors, in particular those associated with TOC (Karlen et al., 2013). After tillage, the mineralization of the organic matter increased rapidly due to changes in the amount of water, air and temperature effects in soil. A reduction in TOC concentrations minimizes soil resilience, decreases its quality, reduces its productivity and buffering capacity (Lal y Bruce, 1999). When tillage practices are applied to fresh plant material with some degree of decomposition is incorporated into the soil, during oxygenation phase generated by the rupture and exposure of aggregates in the surface horizons, the process of organic matter miner alization is favored, allowing higher release of greenhouse gases (GEI) (CO2, CH4 and N2O) (Álvaro-Fuentes et al., 2007; Datta et al., 2013; Kutsch et al., 2010). The optimi zation of fertilizer management, irrigation and tillage operations or the adoption of non-till practices could contribute to reducing GHG emissions and the recovery of 60 to 70% of the organic matter content that has been lost from soil (Chen et al., 2015; Datta et al., 2013).

Conclusions

This investigation showed that moisture and soil tempera ture were not the main drivers of CO2 efflux in the climatic and edaphoclimatic conditions of the Paramo de Guerrero. Nevertheless, the slope and the geomorphological position did contribute in the soil moisture content and tempera ture. Although moisture content was positively related with the TOC storage, this not affected the C dynamics emis sion into the atmosphere as CO2, on the contrary high soil moisture means more C accumulation on soil, and high soil moisture is one of the principal characteristics of Andean paramos, converting them in big sink of C in soil.

The effects of land use and cover change on soil CO2 flux into the atmosphere indicated that conventional tillage practices, the tillage intensity and the management back ground, physically affected the CO2 releases previously stored by microbiological processes in the soil pores, be sides of increasing the microorganism's activity on newly added organic materials or on the organic material stored in the soil.

Acknowledgements

Acknowledgments

To the Department of Administrative Science, Technology and Innovation of Colombia (Colciencias), for financing this study. To the Universidad Nacional de Colombia and the University of North Caroline at Chapel Hill.

Literature cited

  1. Álvaro-Fuentes, J., C. Cantero-Martínez, M.V. López, and J.L. Arrúe. 2007. Soil carbon dioxide fluxes following tillage in semiarid Mediterranean agroecosystems. Soil Tillage Res. 96, 331-341. Doi: 10.1016/j.still.2007.08.003 [DOI] 🠔
  2. Balthazar, V., V. Vanacker, A. Molina, and E.F. Lambin. 2015. Impacts of forest cover change on ecosystem services in high Andean mountains. Ecol. Indic. 48, 63-75. Doi: 10.1016/j.ecolind.2014.07.043 [DOI] 🠔
  3. Buytaert, W., J. Deckers, and G. Wyseure. 2006a. Description and classification of nonallophanic Andosols in south Ecuadorian alpine grasslands (páramo). Geomorphol. 73, 207-221. Doi: 10.1016/j.geomorph.2005.06.012 [DOI] 🠔
  4. Buytaert, W., R. Célleri, R., B. De Biévre, F. Cisneros, F., Wyseure, G., Deckers, J., and R. Hofstede. 2006b. Human impact on the hydrology of the Andean páramos. Earth-Sci. Rev. 79, 53-72. Doi: 10.1016/j.earscirev.2006.06.002 [DOI] 🠔
  5. Campos, A.C. 2006. Response of soil surface CO2-C flux to land use changes in a tropical cloud forest (Mexico). For. Ecol. Manag. 234, 305-312. Doi: 10.1016/j.foreco.2006.07.012 [DOI] 🠔
  6. Chen, Z.-D., S.B. Dikgwatlhe, J.-F. Xue, H.-L. Zhang, F. Chen, and X.-P. Xiao. 2015. Tillage impacts on net carbon flux in paddy soil of the Southern China. J. Cleaner Prod. 103, 70-76. Doi: 10.1016/j.jclepro.2014.05.014 [DOI] 🠔
  7. Datta, A., P. Smith, and R. Lal. 2013. Effects of long-term tillage and drainage treatments on greenhouse gas fluxes from a corn field during the fallow period. Agric. Ecosyst. Environ. 171, 112-123. Doi: 10.1016/j.agee.2013.03.014 [DOI] 🠔
  8. Davidson, E.A., I.A. Janssens, and Y. Luo. 2006. On the vari ability of respiration in terrestrial ecosystems mov ing beyond Q10. Global Change Biol. 12, 154-164. Doi: 10.1111/j.1365-2486.2005.01065.x [DOI] 🠔
  9. Dube, F., E. Zagal, N. Stolpe, and M. Espinosa. 2009. The influ ence of land-use change on the organic carbon distribution and microbial respiration in a volcanic soil of the Chilean Patagonia. For. Ecol. Manag. 257, 1695-1704. Doi: 10.1016/j..2009.01.044 [DOI] 🠔
  10. Ellert, B.H. and H.H. Janzen. 1999. Short-term influence of tillage on CO2 fluxes from a semi-arid soil on the Canadian Prairies. Soil Tillage Res. 50, 21-32. Doi: 10.1016/S0167-1987(98)00188-3 [DOI] 🠔
  11. Fiener, P., V. Dlugofi, W. Korres, and K. Schneider. 2012. Spatial variability of soil respiration in a small agricultural watershed - Are patterns of soil redistribution important? Catena 94, 3-16. Doi: 10.1016/j.catena.2011.05.014 [DOI] 🠔
  12. IGAC. 1997. Plan de ordenamiento territorial municipio de Tausa, Cundinamarca. Instituto Geográfico Agustín Codazzi, Bogotá. 🠔
  13. IGAC. 2014. Códigos para los Levantamientos de Suelos. 92. Instituto Geográfico Agustín Codazzi, Bogotá. 🠔
  14. Iqbal, J., H. Ronggui, D. Lijun, L. D., Lan, L. Shan, C. Tao, and R. Leilei. 2008. Differences in soil CO2 flux between different land use types in mid-subtropical China. Soil Biol. Biochem. 40, 2324-2333. Doi: 10.1016/j.soilbio.2008.05.010 [DOI] 🠔
  15. Karlen, D.L., C.A. Cambardella, J.L. Kovar, and T.S. Colvin. 2013. Soil quality response to long-term tillage and crop rotation practices. Soil Tillage Res. 133, 54-64. Doi: 10.1016/j.still.2013.05.013 [DOI] 🠔
  16. Kutsch, W.L., M. Bahn, and A. Heinemeyer. 2010. Soil carbon dy namics: an integrated methodology. Cambridge University Press, New York, NY. Doi: 10.1017/CBO9780511711794 [DOI] 🠔
  17. Lal, R. 2003. Soil erosion and the global carbon budget. Environ. Int. 29, 437-450. Doi: 10.1016/S0160-4120(02)00192-7 [DOI] 🠔
  18. Lal, R. and J.P. Bruce. 1999. The potential of world cropland soils to sequester C and mitigate the greenhouse effect. Environ. Sci. Policy 2, 177-185. Doi: 10.1016/S1462-9011(99)00012-X [DOI] 🠔
  19. Liu, J., P. Jiang, H. Wang, G. Zhou, J. Wu, F. Yang, and X. Qian, X. 2011. Seasonal soil CO2 efflux dynamics after land use change from a natural forest to Moso bamboo plantations in subtropical China. For. Ecol. Manag. 262, 1131-1137. Doi: 10.1016/j.foreco.2011.06.015 [DOI] 🠔
  20. Morales, M., J. Otero, T. Van der Hammen, A. Torres, C. Cadena, C. Pedraza, N. Rodríguez, C. Franco, J.C. Betancourth, E. Olaya, E. Posada, and L. Cárdenas, L. 2007. Atlas de páramos de Colombia. Ed. IAVH, Bogotá. 🠔
  21. Motavalli, P.P., H. Discekici, and J. Kuhn. 2000. The impact of land clearing and agricultural practices on soil organic C fractions and CO2 efflux in the Northern Guam aquifer. Agric. Ecosyst. Environ. 79, 17-27. Doi: 10.1016/S0167-8809(99)00139-5 [DOI] 🠔
  22. Oyonarte, C., A. Rey, J. Raimundo, I. Miralles, and P. Escribano. 2012. The use of soil respiration as an ecological indicator in arid ecosystems of the SE of Spain: Spatial variability and controlling factors. Ecol. Indic. 14, 40-49. Doi: 10.1016/j.ecolind.2011.08.013 [DOI] 🠔
  23. Pacific, V.J., B.L. McGlynn, D.A. Riveros-Iregui, D.L. Welsch, and H.E. Epstein. 2008. Variability in soil respiration across riparian-hillslope transitions. Biogeochem. 91, 51-70. Doi: 10.1007/s10533-008-9258-8 [DOI] 🠔
  24. Peña, D.C. 2015. Variabilidad del flujo de CO2 del suelo bajo dife rentes coberturas vegetales en el páramo de Guerrero. Tesis de maestría. Facultad de Ciencias Agrarias, Universidad Nacional de Colombia, Bogotá. 🠔
  25. Poulenard, J. and P. Podwojewski. 2000. La degradación de los sue los de los páramos. En: Los Suelos del Páramo. Serie Páramo 5(5), 27-36. 🠔
  26. Riveros-Iregui, D.A., B.L. McGlynn, H.E. Epstein, and D.L. Welsch. 2008. Interpretation and evaluation of combined measurement techniques for soil CO2 efflux: Discrete surface chambers and continuous soil CO2 concentration probes. J. Geophys. Res 113, G04027. Doi: 10.1029/2008JG000811 [DOI] 🠔
  27. Shahidi, B.M.R., M. Dyck, and S.S. Malhi. 2014. Carbon diox ide emissions from tillage of two long-term no-till Cana dian prairie soils. Soil Tillage Res. 144, 72-82. Doi: 10.1016/j.still.2014.07.008 [DOI] 🠔
  28. Silva, J.E., J. Lemanski, and D.V.S. Resck. 1994. Perdas de materia orgánica e suas relacöes com a capacidade de troca de catiónica em solos da regiäo de Cerrados do oeste baiano. Rev. Bras. Ciènc. Solo 18, 541-547. 🠔
  29. Souza, E.D., S.E.V.G.A. Costa, I. Anghinoni, M.A.C. Carneiro, A.P. Martins, and C. Bayer. 2014. Soil quality indicators in a Rhodic Paleudult under long term tillage systems. Soil Tillage Res. 139, 28-36. Doi: 10.1016/j.still.2014.02.001 [DOI] 🠔
  30. Subke, J.-A. and M. Bahn. 2010. On the 'temperature sensitivity' of soil respiration: Can we use the immeasurable to predict the unknown? Soil Biol. Biochem. 42, 1653-1656. Doi: 10.1016/j.soilbio.2010.05.026 [DOI] 🠔
  31. Wang, C.K., J.Y. Yang, and Q.Z. Zhang. 2006. Soil respiration in six temperate forests in China. Global Change Biol. 12, 2103-2114. Doi: 10.1111/j.1365-2486.2006.01234.x [DOI] 🠔
  32. Wang, W. and J. Fang. 2009. Soil respiration and human effects on global grasslands. Global Planetary Change 67, 20-28. Doi: 10.1016/j.gloplacha.2008.12.011 [DOI] 🠔
  33. Xiao-Zeng, H., H.-B. Li, and W.R. Horwath. 2013. Temporal varia tions in soil CO2 efflux under different land use types in the black soil zone of Northeast China. Pedosphere 23, 636-650. Doi: 10.1016/S1002-0160(13)60056-9 [DOI] 🠔
  34. Zhang, T., Y. Li, S.X. Chang, P. Jiang, G. Zhou, J. Zhang, and J. Liu, J. 2013. Responses of seasonal and diurnal soil CO2 effluxes to land-use change from paddy fields to Lei bamboo (Phyl-lostachyspraecox) stands. Atmospheric Environ. 77, 856-864. Doi: 10.1016/j.atmosenv.2013.06.011 [DOI] 🠔