Revista Colombiana de Biotecnología
0123-3475
Instituto de Biotecnología, Universidad Nacional de Colombia
https://doi.org/10.15446/rev.colomb.biote.v21n1.68869

Estudio comparativo de la producción de biomasa en fermentación superficial y en estado líquido de macromicetos con diferentes fuentes nutrimentales

Comparative study of the production of biomass in surface fermentation and in the liquid state of macromycetes with different nutrient sources

D. Rubiano Flórez, * C. Chegwin-Angarita, ** O. Melo, *** I. Nieto-Ramírez, ****

MSc en Ciencias - Química. Universidad Nacional de Colombia, Carrera 45 # 26-85, Bogotá D.C. Colombia. dfrubianof@unal.edu.co Universidad Nacional de Colombia Universidad Nacional de Colombia Bogotá D.C Colombia
Ph.D en Ciencias - Química. Universidad Nacional de Colombia, Carrera 45 # 26-85, Bogotá D.C. Colombia. cchegwina@unal.edu.co Universidad Nacional de Colombia Universidad Nacional de Colombia Bogotá D.C Colombia
Ph.D en Estadística. Universidad Nacional de Colombia, Carrera 45 # 26-85, Bogotá D.C. Colombia. oomelom@unal.edu.co Universidad Nacional de Colombia Universidad Nacional de Colombia Bogotá D.C Colombia
Ph.D en Ciencias - Química. Universidad Nacional de Colombia, Carrera 45 # 26-85, Bogotá D.C. Colombia. ijnietor@unal.edu.co Universidad Nacional de Colombia Universidad Nacional de Colombia Bogotá D.C Colombia

Licencia Creative Commons:

RESUMEN

Los macromicetos han adquirido gran interés por su importancia alimenticia, terapéutica y económica, razón por la cual es necesario enfocar esfuerzos en la búsqueda de optimizar su producción de biomasa. El presente trabajo buscó determinar y comparar el efecto de la fermentación líquida (FEL) y superficial (FeSup) (medio solido) sobre la producción de biomasa de Flammulina velutipes, Hypsizigus tessulatus y Grifola frondosa empleando seis fuentes de nutrientes de bajo costo: harina de soja, trigo integral, maíz blanco, maíz amarillo precocido, salvado de trigo y semillas de linaza molida. Los resultados de la FeSup permitieron determinar que la especie de mayor crecimiento radial, indistintamente de la fuente de nutrientes, es F. velutipes seguida de H. tessulatus y por ultimo G. frondosa. Adicionalmente, la mayor producción de biomasa con FeSup se observa para F. velutipes y H. tessulatus (6,4480 g/L y 5,7320 g/L, respectivamente) Por el contrario, para la FEL, G. frondosa (11,4620 g/L) es la especie de mayor producción. La comparación en la producción de biomasa empleando FEL y FeSup, evidenció que los resultados son dependientes de la técnica de cultivo y que la FeSup no puede ser empleada para la selección preliminar de hongos macromicetos, enfocada en la producción de biomasa por FEL.

Palabras clave:

micelio, in-vitro, cultivo sumergido, harina.

ABSTRACT

Macromycetes have acquired great interest because of their nutritional, therapeutic and economic importance, which is why it is necessary to focus efforts in the search to optimize their biomass production. The present work sought to determine and compare the effect of liquid fermentation (FEL) and surface fermentation (FeSup) (solid medium) on the biomass production of Flammulina velutipes, Hypsizigus tessulatus and Grifola frondosa using six sources of low cost nutrients: soybeans, whole wheat, white corn, precooked yellow corn, wheat bran and ground flax seed. The results of the FeSup allowed to determine that the species with the highest radial growth, indistinctly from the nutrient source, is F. velutipes followed by H. tessulatus and finally G. frondosa. Additionally, the highest biomass production with FeSup is observed for F. velutipes and H. tessulatus (6.4480 g/L and 5.7320 g/L, respectively) On the contrary, for the FEL, G. frondosa (11.4620 g/L) is the species with the highest production. The comparison in the production of biomass using FEL and FeSup, showed that the results are dependent on the culture technique and that the FeSup cannot be used for the preliminary selection of fungi macromycetes, focused on the production of biomass by FEL.

Key words:

Mycelium, in-vitro, submerged culture, flour.

INTRODUCCIÓN

El interés actual de la comunidad científica en el estudio de los hongos macromicetos, se enfoca en las biológicas como antioxidante (Lee et al., 2003), citotóxica (Yang et al., 2007), anticancerígena (Yi et al., 2013), entre otras, atribuidas a los compuestos biosintetizados por estos, como son los polisacáridos, las proteínas y sus complejos, además de metabolitos de bajo peso molecular como fenoles, policétidos, triterpenoides, esteroides, alcaloides, nucleótidos, lactonas y ácidos grasos (Elisashvili, 2012).

Estas bioactividades han estimulado las investigaciones enfocadas en el desarrollo e implementación de técnicas que permitan incrementar la producción tanto de biomasa (micelio y fructificaciones) como de metabolitos. En el cultivo tradicional, del cual el producto final son los cuerpos fructíferos, la eficiencia del proceso es alta, en términos de la cantidad del organismo obtenida, sin embargo, los tiempos de producción son prolongados, por lo cual se ha empleado la fermentación, como herramienta para obtener mejor producción de biomasa en menor tiempo (Hsieh et al., 2008).

Dentro de las fermentaciones se encuentra la realizada en estado sólido (FES) que se caracteriza por el desarrollo del microorganismo en sustratos solidos húmedos, que además de ser utilizados como soporte del micelio, son fuente de nutrientes. Esta metodología tiene poco alcance para su aplicación en la producción de enzimas o metabolitos secundarios, debido a que presenta varios inconvenientes como son la dificultad en el control de los gradientes de temperatura, pH, humedad, oxígeno y concentración de nutrientes (Hölker et al., 2004). Es importante indicar que el cultivo en cajas de Petri, denominado en este trabajo fermentación superficial, se ha empleado como herramienta para seleccionar especies de hongos macromicetos teniendo en cuenta su producción de biomasa seca (Arana-Gabriel et al., 2014; Talamantes et al., 2017), sin embargo, no se reporta estudios que comparen la producción de estas técnicas. La FEL, exhibe como ventajas un control más exacto de las condiciones de cultivo y un menor tiempo del proceso, con una mayor producción de biomasa y metabolitos (Hsieh et al., 2008). Lo anterior se ve reflejado en el amplio uso que de esta tecnología se hace en la actualidad.

Uno de los parámetros que se puede variar en FEL es la fuente de nutrientes, lo cual ha demostrado que tiene un efecto preponderante en la producción de micelio y en su composición. La evaluación de dicho efecto se ha enfocado principalmente en los géneros Pleurotus (Papaspyridi et al., 2010; Nieto & Carolina 2013), Agaricus (Shu and Xu, 2007), Antrodia (Yang et al., 2003) y las especies Ganoderma lucidum (Xu et al., 2008; Tang et al., 2009), Cordyceps militaris (Mao et al., 2005), Morchella esculenta (Meng et al., 2010), dejando de lado el estudio de otras especies de hongos de interés comercial con comprobadas propiedades nutricionales y con metabolitos poseedores de bioactividad. Dentro de estos hongos se tienen Grifola frondosa, Flammulina velutipes e Hypsizygus tessulatus (Tan & Yong 2013; Tinao et al., 2015; Chowdhury et al., 2015.

A pesar de que el cultivo de hongos en Colombia, a diferencia de los países orientales e incluso de algunos de nuestra latitud, no ha tenido mucho desarrollo, el consumo de estos organismos se ha incrementado debido a que son fuente de proteína de excelente calidad, carbohidratos, vitaminas y minerales (Chowdhury et al., 2015). Sin embargo, las especies generalmente consumidas corresponden a los géneros Pleurotus sp. (orellanas), Agaricus sp (champiñón) y Lentinula edodes (Shiitake) (Chang and Buswell, 1996). Teniendo esto en cuenta, el estudio del efecto de fuentes de nutrientes de bajo costo, en la producción de hongos de reciente inclusión en el mercado nacional como son G. frondosa, F. velutipes e H. tessulatus, permitirá determinar las mejores condiciones de producción de biomasa.

Con base en lo anterior, el objetivo de este trabajo fue evaluar el efecto de la fuente de nutrientes sobre la producción de biomasa de estos tres hongos de hongos macromicetos comestibles, obtenidos por FEL y por fermentación superficial.

MATERIALES Y MÉTODOS

Material fúngico

Las cepas de los hongos Grifola frondosa, Hypsizygus tessulatus y Flammulina velutipes, fueron donadas por la empresa Setas Exóticas de Colombia S.A.S. Se activaron empleando medio PDA, oscuridad, pH 6,00, temperatura de 25°C durante 12 días, y posteriormente se mantuvieron a 4°C hasta su uso (cepas madre).

Cultivo por fermentación superficial (FeSup)

A partir de las cepas madre de cada especie, se tomaron inóculos de ~0,5 cm de diámetro, compuestos de agar y micelio, que fueron ubicados en el centro de una caja de Petri (Ø = 9 cm) en un medio con la siguiente composición (g/L): fuente de nutrientes 30; extracto de levadura 5, sacarosa 5 y agar 23,5. El pH se ajustó a 6,00 y se encubaron a 25°C en oscuridad. Las fuentes de nutrientes empleadas fueron: Harina de soja (HS), salvado de trigo (ST), harina de trigo integral (HTI), semillas de linaza molida (HL), harina de maíz blanco (HMB) y harina de maíz amarillo precocido (HMAP), todas ellas molidas y obtenidas en el mercado local. Se tomaron medidas diarias del crecimiento en cuatro radios marcados sobre la caja de Petri, hasta colonización total, con triplicados de cada tratamiento. Posteriormente se determina la biomasa seca, separando el medio de cultivo del micelio a través del calentamiento de 150 mL de agua destilada (92 °C), donde se diluye el agar separándose del micelio, para después emplear filtro de papel de 20 - 25 µm para filtración con bomba de vacío y eliminar posibles residuos realizando tres lavados con agua destilada. El micelio se sometió a un proceso de secado en horno a 45°C hasta peso constante, para determinación de su masa.

Cultivo por fermentación en estado líquido

Matraces de 100 mL con 25 mL de un medio compuesto por NaNO3 (80 mg/L), MgSO4.7H2O (20 mg/L), KH2PO4 (30 mg/L), KCl 10 (mg/L), fueron suplementados con 30 g/L de las fuentes de nutrientes indicadas, las cuales fueron llevadas a 92 °C y se hicieron pasar por un filtro de Nylon de ~0,5 mm de poro. Los medios de cultivo fueron equilibrados a pH 6,00 y posteriormente esterilizados. Como inóculo se utilizaron 8 discos de 0,5 cm de diámetro compuestos de micelio y agar. Los matraces se llevaron a un agitador orbital a 100 rpm, durante 11 días a 25°C, tiempo después del cual la biomasa se filtró (filtro de papel de 20 - 25 µm) y secó hasta peso constante.

Análisis estadístico.

Cada resultado fue expresado como el promedio de 3 réplicas, sometiendo los datos a un análisis de varianza (ANOVA) de una vía, empleando el programa estadístico R-project (R Development Core Team, 2017). Un valor de P < 0,05 se consideró como significante.

RESULTADOS Y DISCUSIÓN

Fermentación superficial

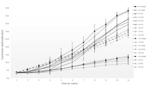
Los resultados obtenidos por FeSup, en lo que respecta al comportamiento de la especie sobre el crecimiento de micelio (figura 1), permite observar que G. frondosa, presenta menor crecimiento comparado con las demás, indistintamente de la fuente de nutrientes empleada. Lo anterior, puede ser explicado desde un punto de vista biológico, teniendo en cuenta que, aunque las especies estudiadas presentan la misma estrategia trófica de saprofitismo para la obtención de nutrientes, tienen un comportamiento característico debido a sus diferentes procesos de aclimatación al medio (Diamantopoulou et al., 2014), relacionado con variaciones genéticas entre especies (Zăgrean et al., 2016).

Efecto de la especie y de la fuente de nutrientes sobre el crecimiento radial. FV: Flammulina velutipes, HT: Hypsizygus tessulatus, GF: Grifola frondosa. HL: Linaza, HMAP: harina de maíz amarillo pre-cocido, HMB: harina maíz blanco, HS: harina de soya, HTI: harina de trigo integral y ST: salvado de trigo. n = 3

Figura 1: Efecto de la especie y de la fuente de nutrientes sobre el crecimiento radial. FV: Flammulina velutipes, HT: Hypsizygus tessulatus, GF: Grifola frondosa. HL: Linaza, HMAP: harina de maíz amarillo pre-cocido, HMB: harina maíz blanco, HS: harina de soya, HTI: harina de trigo integral y ST: salvado de trigo. n = 3

En cuanto al efecto de la fuente de nutrientes sobre el crecimiento radial de cada organismo, del análisis de la figura 1 se evidencia un efecto diferenciado, dependiente de la especie cultivada, ratificando el resultado discutido anteriormente, el cual es similar al obtenido por Zăgrean et al. (2016), donde incluso cuatro diferentes cepas de Pleurotus eryngii, cultivadas en el mismo medio, presentaron diferencias en el crecimiento.

Adicionalmente se evidencia que para H. tessulatus y F. velutipes a partir del día 7, hay un cambio en la tendencia que hasta ese momento tenía el primero de ellos de presentar el mayor crecimiento radial, siendo finalmente la F. velutipes el hongo que mayor crecimiento tuvo indistintamente de la fuente de nutrientes.

La figura 2 permite ver claramente el comportamiento para todas las especies con cada fuente de nutrientes, de cuyo análisis se puede concluir que no hay un efecto marcado de éstas sobre el crecimiento en caja de Petri, a pesar de presentar diferencias en la composición de cada fuente de nutrientes. Tal es el caso del contenido proteico, una de las variables que se ha clasificado como determinante en los procesos de cultivo de cualquier organismo y de la cual se conoce, que para el caso particular de los hongos, un aumento de la misma en el medio incrementa la biomasa obtenida (Xu et al., 2008). La harina de soya y el salvado de trigo tienen contenidos proteicos de 41% y 16 % respectivamente (Instituto Colombiano de Bienestar Familiar, 2015), razón por la que se esperarían diferencias entre los crecimientos radiales, tendencia que no se da en este caso.

Efecto de la fuente de nutrientes sobre el crecimiento radial medio. HL (Linaza), HMAP (harina de maíz amarillo pre-cocido), HMB (harina maíz blanco), HS (harina de soya), HTI (harina de trigo integral) y ST (salvado de trigo). n = 3

Figura 2: Efecto de la fuente de nutrientes sobre el crecimiento radial medio. HL (Linaza), HMAP (harina de maíz amarillo pre-cocido), HMB (harina maíz blanco), HS (harina de soya), HTI (harina de trigo integral) y ST (salvado de trigo). n = 3

Otro fenómeno observado entre especies, es la variabilidad del crecimiento radial en cada uno de los días evaluados (figura 3), siendo F. velutipes la que presenta la mayor variabilidad. Este factor, llama la atención por el hecho de que hay un aumento de la misma en el transcurso del tiempo, llegando a un punto en el cual, no se observa diferencia estadística entre especies, comportamiento que permite optar por especies que presenten un crecimiento radial estable o con poca variabilidad dentro de las mediciones, como es el caso del H. tessulatus.

Variabilidad en el crecimiento radial de las especies observado por diagramas de cajas a lo largo de los 11 días según las fuentes de nutrientes. HL (Linaza), HMAP (harina de maíz amarillo pre-cocido), HMB (harina maíz blanco), HS (harina de soya), HTI (harina de trigo integral) y ST (salvado de trigo). n = 3

Figura 3: Variabilidad en el crecimiento radial de las especies observado por diagramas de cajas a lo largo de los 11 días según las fuentes de nutrientes. HL (Linaza), HMAP (harina de maíz amarillo pre-cocido), HMB (harina maíz blanco), HS (harina de soya), HTI (harina de trigo integral) y ST (salvado de trigo). n = 3

Biomasa obtenida por fermentación superficial

En la FeSup, el desarrollo del micelio por parte del hongo se puede dar de dos maneras: el micelio vegetativo, el cual se relaciona con la obtención de nutrientes del medio y es determinado por medio del crecimiento radial; y el micelio aéreo, desarrollado por algunas especies para favorecer el proceso respiratorio al incrementar la difusión del oxígeno y así generar la energía necesaria para mantener el metabolismo celular (Rahardjo et al., 2002). El desarrollo de micelio aéreo se observó en los tres hongos estudiados entonces medir el diámetro de crecimiento no sería una medida precisa del desarrollo de estos organismos en cada tratamiento, por tal motivo, la medición de la biomasa seca brinda información precisa de esta desarrollo.

La cantidad de biomasa obtenida se muestra en la figura 4A y de su análisis se puede evidenciar que G. frondosa, independiente de la fuente de nutrientes, es la especie de menor producción, concordante con el crecimiento radial antes analizado. Las fuentes de nutrientes de mayor producción son harina de maíz blanco para F. velutipes (HMB.FV) y harina de soya para H. tessulatus (SY.HT). Para los demás casos no hay un comportamiento diferente. De igual forma es importante resaltar que en fermentación superficial y para las especies estudiadas, la producción de biomasa no presenta un patrón dependiente de la fuente de nutrientes.

Variación de la producción de biomasa seca (g/L) con diferentes fuentes de nutrientes y las especies Flammulina velutipes, Grifola frondosa e Hypsizygus tessulatus empleando: (A) fermentación en estado superficial y (B) fermentación líquida. HMAP (harina de maíz amarillo pre-cocido), HMB (harina maíz blanco), HTI (harina de trigo integral) HL (Linaza), ST (salvado de trigo) y HS (harina de soya). n=3

Figura 4: Variación de la producción de biomasa seca (g/L) con diferentes fuentes de nutrientes y las especies Flammulina velutipes, Grifola frondosa e Hypsizygus tessulatus empleando: (A) fermentación en estado superficial y (B) fermentación líquida. HMAP (harina de maíz amarillo pre-cocido), HMB (harina maíz blanco), HTI (harina de trigo integral) HL (Linaza), ST (salvado de trigo) y HS (harina de soya). n=3

Fermentación en estado líquido

A diferencia del resultado obtenido con fermentación superficial, la biomasa producida a partir de la FEL (figura 4B), no muestra un comportamiento diferencial entre los hongos. Asimismo, se evidencia para todos los organismos un aumento en la producción de micelio, particularmente con G. frondosa, mostrando un claro efecto negativo al emplear FeSup sobre su producción de biomasa, bajo las condiciones evaluadas.

Los tratamientos de mayor producción de biomasa se obtienen al emplear harina de soya para G. frondosa (SY.GF) e H. tessulatus (SY.HT). Por otro lado, las fuentes de nutrientes de menor producción fueron linaza y salvado de trigo para las tres especies, exceptuando linaza en G. frondosa (LZ.GF), la cual se encuentra agrupada en los demás tratamientos de media producción.

La alta producción de biomasa obtenida al emplear la soya, puede estar relacionada con el alto contenido de proteína de esta harina (Instituto Colombiano de Bienestar Familiar, 2015), que permitirá mayor disponibilidad de nitrógeno en el medio para el crecimiento de las especies, y que como se mencionó anteriormente, es un parámetro ya reportado por otros autores como determinante para un cultivo fúngico.

Finalmente, comparando la cantidad de biomasa obtenida por FEL vs FeSup, no hay una similitud entre los resultados obtenidos con estas dos técnicas, resultando ser la FEL más eficiente. Lo anterior puede atribuirse a la fuerte influencia de los parámetros del cultivo sobre la producción de biomasa, ya reportada por otros autores, (Diamantopoulou et al., 2014), así como la disponibilidad de nutrientes y oxígeno (Zhong and Tang, 2004).

En consecuencia, la agitación empleada en la FEL permitiría mejorar la disponibilidad, no solo de los nutrientes, sino del oxígeno, situación que no ocurre en la fermentación superficial, obteniendo así comportamientos particulares de una técnica a otra. Por tal razón se recomienda el empleo de la FEL, como la técnica biotecnológica, para la obtención y evaluación de la producción de biomasa de hongos macromicetos.

CONCLUSIONES

Dependiendo del tipo de fermentación empleada, las especies tendrán un comportamiento diferenciado en relación a la producción de biomasa.

El empleo de la fermentación líquida permitió obtener mayor producción de biomasa al emplear harina de soya, asociado al mayor contenido de nitrógeno dentro de las fuentes de nutrientes evaluadas, resultando en la fuente más promisoria para la producción de biomasa.

El empleo de la fermentación superficial no es una herramienta idónea que permita la selección de una fuente de nutrientes apropiada para el cultivo de Flammulina velutipes, Grifola frondosa e Hypsizigus tessulatus, se debe evaluar si se relaciona con una baja disponibilidad de nutrientes u oxígeno en el medio, comparada con la fermentación líquida.

Acknowledgements

Agradecimientos

Los autores agradecen a la Universidad Nacional de Colombia por la financiación de esta investigación.

REFERENCIAS

  1. Arana-Gabriel, Y., Burrola-Aguilar, C., Garibay-Orijel, R., & Franco-Maass, S. (2014). Obtención de cepas y producción de inóculo de cinco especies de hongos silvestres comestibles de alta montaña en el centro de México. Revista Chapingo. Serie Ciencias Forestales y del Ambiente, 20(3), 213-226. 🠔
  2. Chang, S. T., & Buswell, J. A. (1996). Mushroom nutriceuticals. World Journal of Microbiology and Biotechnology, 12(5), 473-476. doi: 10.1007/BF00419460. [DOI] 🠔
  3. Chowdhury, M. M. H., Kubra, K., & Ahmed, S. R. (2015). Screening of antimicrobial, antioxidant properties and bioactive compounds of some edible mushrooms cultivated in Bangladesh. Annals of Clinical Microbiology and Antimicrobials, 14(1), 8. doi: 10.1186/s12941-015-0067-3. [DOI] 🠔
  4. Diamantopoulou, P., Papanikolaou, S., Komaitis, M., Aggelis, G., & Philippoussis, A. (2014). Patterns of major metabolites biosynthesis by different mushroom fungi grown on glucose-based submerged cultures. Bioprocess and Biosystems Engineering, 37(7), 1385-1400. doi: 10.1007/s00449-013-1112-2. [DOI] 🠔
  5. Elisashvili, V. (2012). Submerged cultivation of medicinal mushrooms: bioprocesses and products (Review). International Journal of Medicinal Mushrooms, 14(3), 211. doi: 10.1615/IntJMedMushr.v14.i3.10. [DOI] 🠔
  6. Hölker, U., Höfer, M., & Lenz, J. (2004). Biotechnological advantages of laboratory-scale solid-state fermentation with fungi. Applied Microbiology and Biotechnology, 64(2), 175-186. doi: 10.1007/s00253-003-1504-3. [DOI] 🠔
  7. Hsieh, C., Wang, H. L., Chen, C. C., Hsu, T. H., & Tseng, M. H. (2008). Effect of plant oil and surfactant on the production of mycelial biomass and polysaccharides in submerged culture of Grifola frondosa. Biochemical Engineering Journal, 38(2), 198-205. doi: 10.1016/j.bej.2007.07.001. [DOI] 🠔
  8. Instituto Colombiano de Bienestar Familiar, I. (2015) Tabla de composición de alimentos colombianos. 🠔
  9. Lee, B. C., Bae, J. T., Pyo, H. B., Choe, T. B., Kim, S. W., Hwang, H. J., & Yun, J. W. (2003). Biological activities of the polysaccharides produced from submerged culture of the edible Basidiomycete Grifola frondosa. Enzyme and Microbial Technology, 32(5), 574-581. doi: 10.1016/S0141-0229(03)00026-7. [DOI] 🠔
  10. Mao, X. B., Eksriwong, T., Chauvatcharin, S., & Zhong, J. J. (2005). Optimization of carbon source and carbon/nitrogen ratio for cordycepin production by submerged cultivation of medicinal mushroom Cordyceps militaris. Process Biochemistry, 40(5), 1667-1672. doi: 10.1016/j.procbio.2004.06.046. [DOI] 🠔
  11. Meng, F., Liu, X., Jia, L., Song, Z., Deng, P., & Fan, K. (2010). Optimization for the production of exopolysaccharides from Morchella esculenta SO-02 in submerged culture and its antioxidant activities in vitro. Carbohydrate Polymers, 79(3), 700-704. doi: 10.1016/j.carbpol.2009.09.032. [DOI] 🠔
  12. Nieto, I. J., & Chegwin A, C. (2013). The effect of different substrates on triterpenoids and fatty acids in fungi of the genus pleurotus. Journal of the Chilean Chemical Society, 58(1), 1580-1583. doi: 10.4067/S0717-97072013000100017. [DOI] 🠔
  13. Papaspyridi, L. M., Katapodis, P., Gonou-Zagou, Z., Kapsanaki-Gotsi, E., & Christakopoulos, P. (2010). Optimization of biomass production with enhanced glucan and dietary fibres content by Pleurotus ostreatus ATHUM 4438 under submerged culture. Biochemical Engineering Journal, 50(3), 131-138. doi: 10.1016/j.bej.2010.04.008. [DOI] 🠔
  14. R Development Core Team (2017) R: A Language and Environment for Statistical Computing, R Foundation for Statistical Computing. Vienna, Austria. Available at: http://www.r-project.org. [URL] 🠔
  15. Rahardjo, Y. S., Weber, F. J., Le Comte, E. P., Tramper, J., & Rinzema, A. (2002). Contribution of aerial hyphae of Aspergillus oryzae to respiration in a model solid‐state fermentation system. Biotechnology and Bioengineering, 78(5), 539-544. doi: 10.1002/bit.10222. [DOI] 🠔
  16. Shu, C. H., & Xu, C. J. (2007). Medium optimization for producing bioactive exopolysaccharides by Agaricus brasiliensis S. Wasser et al. (= A. blazei Murrill ss. Heinem) in submerged culture. Food Technology and Biotechnology, 45(3), 327-333. 🠔
  17. Talamantes, C., Burrola-Aguilar, C., Aguilar-Miguel, X., & Mata, G. (2017). Crecimiento miceliar in vitro de hongos comestibles silvestres de alta montaña en el centro de México. Revista Chapingo Serie Ciencias Forestales y del Ambiente, 23(3), 369-383. doi: 10.5154/r.rchscfa.2016.12.067. [DOI] 🠔
  18. Tang, Y. J., Zhang, W., & Zhong, J. J. (2009). Performance analyses of a pH-shift and DOT-shift integrated fed-batch fermentation process for the production of ganoderic acid and Ganoderma polysaccharides by medicinal mushroom Ganoderma lucidum. Bioresource Technology, 100(5), 1852-1859. doi: 10.1016/j.biortech.2008.10.005. [DOI] 🠔
  19. Tinao, M. J. M., Miranda, H. P., Sumulong, E. L. L., & Medalla, A. P. (2015). Cultural and antibacterial studies of Hypsizygus tessulatus (Buna-shimeji), International Journal of Microbiology, 1(3), 1-5. 🠔
  20. Wong, F. C., Chai, T. T., Tan, S. L., & Yong, A. L. (2013). Evaluation of bioactivities and phenolic content of selected edible mushrooms in Malaysia. Tropical Journal of Pharmaceutical Research, 12(6), 1011-1016. 🠔
  21. Xu, P., Ding, Z. Y., Qian, Z., Zhao, C. X., & Zhang, K. C. (2008). Improved production of mycelial biomass and ganoderic acid by submerged culture of Ganoderma lucidum SB97 using complex media. Enzyme and Microbial Technology, 42(4), 325-331. doi: 10.1016/j.enzmictec.2007.10.016. [DOI] 🠔
  22. Yang, B. K., Gu, Y. A., Jeong, Y. T., Jeong, H., & Song, C. H. (2007). Chemical characteristics and immuno-modulating activities of exo-biopolymers produced by Grifola frondosa during submerged fermentation process. International Journal of Biological Macromolecules, 41(3), 227-233. doi: 10.1016/j.ijbiomac.2007.02.012. [DOI] 🠔
  23. Yang, F. C., Huang, H. C. & Yang, M. J. (2003) The influence of environmental conditions on the mycelial growth of Antrodia cinnamomea in submerged cultures, Enzyme and Microbial Technology, 395-402. doi: 10.1016/S0141-0229(03)00136-4. [DOI] 🠔
  24. Yi, C., Sun, C., Tong, S., Cao, X., Feng, Y., Firempong, C. K., ... & Yu, J. (2013). Cytotoxic effect of novel Flammulina velutipes sterols and its oral bioavailability via mixed micellar nanoformulation. International Journal of Pharmaceutics, 448(1), 44-50. doi: 10.1016/j.ijpharm.2013.03.020. [DOI] 🠔
  25. Zăgrean, V., Sbîrciog, G., Buzatu, M. A., & Mândru, I. (2016). Effect of Nutritive Media and pH on Mycelial Growth of some Pleurotus eryngii Strains in vitro. Bulletin of the University of Agricultural Sciences & Veterinary Medicine Cluj-Napoca. Horticulture, 73(2), 1-3. doi: 10.15835/buasvmcn-hort. [DOI] 🠔
  26. Zhong, J.-J. & Tang, Y.-J. (2004) Submerged cultivation of medicinal mushrooms for production of valuable bioactive metabolites, Adv Biochem Engin/Biotechnol, (87), 25-59. doi: 10.1007/b94367. [DOI] 🠔