Revista Colombiana de Biotecnología
0123-3475
Instituto de Biotecnología, Universidad Nacional de Colombia
https://doi.org/10.15446/rev.colomb.biote.v20n2.68948

Recibido: 21 de noviembre de 2017; Aceptado: 10 de octubre de 2018

Efecto de antibióticos y un antimicrobiano sobre el control de bacterias acido lácticas en la fermentación alcohólica

Effect of antibiotics and an antimicrobial on the control of lactic acid bacteria in alcoholic fermentation

J. Orozco, *C. Martínez, **J. Cubillos-Hinojosa, ***

Microbióloga, Laboratorio de Microbiología, Universidad Popular del Cesar, johanaorozcodeavila@gmail.com. Universidad Popular del Cesar Laboratorio de Microbiología Universidad Popular del Cesar Colombia
Microbióloga, Laboratorio de Microbiología, Universidad Popular del Cesar, carlosandresmartinez1230@gmail.com. Universidad Popular del Cesar Laboratorio de Microbiología Universidad Popular del Cesar Colombia
Microbiólogo, Magister en Ciencias Agrarias, Doctorando en Ciencia del Suelo. Universidade Federal do Rio Grande do Sul, jcubillosh@gmail.com. Universidade Federal do Rio Grande do Sul Universidade Federal do Rio Grande do Sul Brazil

RESUMEN

El propósito de esta investigación fue evaluar el efecto de antibióticos y un antimicrobiano para el control de bacterias ácido lácticas (BAL) en etapa fermentativa de tres ingenios (A, B y C) productores de alcohol en el Valle del Cauca (Colombia). Se establecieron dos ensayos de fermentación a escala de laboratorio por separado, tratados con cuatro antibióticos (8, 15 y 30 ppm), dos cocteles (4, 8 y 15 ppm) y un antimicrobiano (15 y 30 ppm); en el primero se cuantificó la producción de ácido láctico (AL), la población y viabilidad de la levadura, y en el segundo se determinó el crecimiento de BAL. En el primer ensayo, los tratamientos que controlaron los niveles de AL en los ingenios fueron virginiamicina (VIR) 15 ppm, maduramicina (MAD) 15 ppm, penicilina (PEN) 30 ppm y lúpulo (LUP) (30 ppm). Adicionalmente, los tratamientos PEN a 30 ppm, VIR, el coctel estreptomicina-penicilina-virginiamicina-monensina (EPVM) y LUP a 15 ppm no afectaron a la levadura en las condiciones evaluadas. En el ensayo dos, todos los tratamientos lograron controlar BAL, presentando un mayor control a las 24 horas pos-tratamiento en el ingenio A. En el ingenio B, MAD, monensina (MON), los cocteles estreptomicina-penicilina-virginiamicina (EPV) y EPVM, controlaron el crecimiento de BAL durante las primeras 6 horas, mientras que LUP controló la población de BAL a las 24 horas. En el ingenio C, LUP, MON y EPV lograron controlar las BAL en todas las concentraciones, principalmente a las 24 horas. Por tanto, se infiere que VIR en el ingenio A, EPVM en los ingenios B y C y el antimicrobiano LUP en los tres ingenios son eficientes en el control de BAL.

Palabras claves:

bioetanol, antibiótico, contaminación, lúpulo, Saccharomyces cerevisiae.

ABSTRACT

The objective of this research was to evaluate the effect of antibiotics and an antimicrobial for the control of lactic acid bacteria (LAB) in the fermentative stage of three sugar mills producer (A, B and C), in "Valle del Cauca" (Colombia). Two fermentation assays on laboratory scale separately, treated with four antibiotics (8, 15 and 30 ppm), two cocktails (4, 8 and 15 ppm) and an antimicrobial (15 and 30 ppm) were established. In the first one, lactic acid (LA) production, population and yeast viability were quantified, and in the second the LAB growth was determined. In the first assay, the treatments that controlled LA levels in sugar mills were virginamicin (VIR) 15 ppm, maduramycin (MAD) 15 ppm, penicillin (PEN) 30 ppm and hop (HP) (30 ppm). Additionally, PEN treatments at 30 ppm, VIR, the streptomycin-penicillin-virginiamycin-monensin cocktail (SPVM) and HP at 15 ppm did not affect the yeast under the conditions evaluated. In the second assay, all treatments managed to control of LAB, with greater control at 24 hours in sugar mill A. In sugar mill B, MAD, monensin (MON), streptomycin-penicillin-virginiamycin (SPV) and SPVM cocktails controlled LAB growth during the first 6 hours, while HP controlled LAB population at 24 hours. In sugar mill C, HP, MON and EPV managed to control LAB in all concentrations mainly at 24 hours. Therefore, it is inferred that VIR in sugar mill A, SPVM in sugar mills B and C and HP antimicrobial in the three mills are efficient in LAB control.

Keywords:

bioethanol, antibiotic, contamination, hops, Saccharomyces cerevisiae.

INTRODUCCIÓN

El alcohol carburante es un biocombustible de origen vegetal, en la actualidad es el combustible renovable más común, derivado de granos de maíz utilizado como fuente de almidón o caña de azúcar como fuente de glucosa (Mesa, Martínez, et al., 2017). En Colombia, se ha observado un incremento en la demanda de etanol, aumentando a su vez el número de destilerías productoras, este desarrollo se inició a partir de la ley 693 de 2001, en el cual se decreta que la gasolina debe contener componentes oxigenados como alcohol carburante generando la disminución en el uso de combustibles fósiles, la emisión de gases de efecto invernadero y mejora de calidad de aire, cumpliendo con lo pactado en el protocolo de Kyoto (Velásquez et al., 2016).

El primer paso para la obtención de alcohol carburante es la fermentación, que inicia a partir de una cantidad de levadura previamente reproducida proveniente de un tanque llamado propagador. Posteriormente, pasa a un fermentador anaerobio, sin embargo, a través del mosto ingresa una pequeña cantidad de aire disuelto como producto de la agitación o bombeo, con el objetivo de permitir el proceso reproductivo de la levadura (De Oliva-Neto et al., 2013; Bravo et al., 2014).

En el proceso de fermentación es necesario mantener un control de variables como pH (5,0 - 5,5), nutrientes y temperatura (30 - 32 °C); la mayoría de los procesos utilizan un sistema denominado Melle Boinot o sistema de recuperación de levadura, en el cual la levadura se rescata por centrifugación separando el vino de la levadura. Seguidamente, el vino pasa por un proceso de destilación y la levadura pasa nuevamente a los pre-fermentadores, donde se realizara un proceso de eliminación de microorganismos contaminantes, mediante la adición de ácido sulfúrico, el cual no afecta la integridad de la levadura debido a la capacidad de resistir bajos niveles de pH, y finalmente se inicia nuevamente el proceso fermentativo (Bravo et al., 2014).

La problemática más común en las industrias de destilería es la contaminación bacteriana, generada durante el proceso fermentativo desde la llegada de la materia prima hasta la destilación, ocasionando pérdidas de los niveles de etanol. El uso de antibióticos como tratamiento para el control de la contaminación bacteriana durante la etapa fermentativa y producción de etanol ha sido ampliamente implementado, destacando el uso de la Penicilina (PEN) y Virginiamicina (VIR) (De Oliva-Neto et al., 2013; De Oliva-Neto & Yokoya, 1998; Bravo et al., 2014; Rich et al., 2011). Aquarone (1960), realizó el control de contaminación en fermentación alcohólica de melaza con el uso de penicilinas y tetraci-clinas, de la misma manera Bischoff et al., 2009, utilizó PEN y VIR para determinar la susceptibilidad de especies de Lactobacillus sp. aislados de una planta de etanol. Sin embargo, todavía se vienen presentando limitaciones en la eficiencia de estos antimicrobianos (Muthaiyan et al., 2011).

Con el propósito de generar nuevas alternativas para el control bacterias contaminantes en el proceso fermentativo, es necesaria la evaluación de diferentes antibióticos, sin que estos afecten la morfología, desarrollo y rendimiento de la levadura. Por tanto, el propósito de esta investigación fue evaluar el efecto de antibióticos y un antimicrobiano en diferentes concentraciones, como medida de control para bacterias contaminantes en etapa fermentativa de producción de alcohol carburante en tres ingenios productores del Valle del Cauca y observar los efectos de estos antibióticos sobre la viabilidad de la levadura.

MATERIALES Y MÉTODOS

Se realizaron dos ensayos por separado en donde se llevaron a cabo procesos de fermentación a escala de laboratorio, utilizando la materia prima proveniente de tres ingenios productores de alcohol carburante (A, B y C) del departamento del Valle del Cauca y seguidamente fueron tratados con cuatro antibióticos, dos cocteles y un antimicrobiano para el control de bacterias contaminantes. Las fermentaciones y los análisis fueron realizados en un laboratorio de microbiología ubicado en Yumbo, Valle del Cauca (Colombia).

ENSAYO 1. Cuantificación de la producción de ácido láctico, población y viabilidad de la levadura.

El primer ensayo tuvo como propósito evaluar el efecto de cuatro antibióticos: penicilina, monensina, virginiamicina, y maduramicina, dos cocteles: EPV (estreptomicina, penicilina y virginiamicina) en proporción 1:1:1 y EPVM (estreptomicina, penicilina, virginiamicina y monensina) en proporción 1:1:1:1 y un antimicrobiano (lúpulo) en diferentes concentraciones (tabla 1), sobre los niveles de ácido láctico producido, población y viabilidad de la levadura al inicio (hora 0) y 24 horas postratamiento.

Tabla 1: Antibióticos y concentraciones evaluadas en la fermentación a escala de laboratorio.

Antibiótico/ Antimicrobiano Concentraciones (ppm)
Penicilina 0, 8, 15, 30
Maduramicina 0, 4, 8,15
Virginiamicina 0, 4, 8,15
Monensina 0, 4, 8, 15
EPV 0, 4, 8,15
EPVM 0, 4, 8,15
Lúpulo 0, 15, 30

Cultivo. En los procesos de fermentación a escala de laboratorio fue utilizada la levadura S. cerevisiae de la casa comercial Praj Industres LTDA que se encontraba cultivada en el propagador de cada uno de los ingenios productores (A, B y C).

Sustratos. Se tomaron muestras de crema, mezcla, vinaza y agua de los tubos conectados al fermentador de cada uno de los ingenios productores. Las muestras fueron transportadas en neveras de icopor con hielo gel (ThermoSafe, IE) hasta el laboratorio de Microbiología donde posteriormente fueron utilizadas para la producción de la fermentación.

Antibióticos y antimicrobiano. Se utilizaron seis antibióticos: penicilina (PEN), maduramicina (MAD), virginiamicina (VIR), monensina (MON), coctel de penicilina, virginiamicina y maduramicina (EPV), un coctel de penicilina virginiamicina, estreptomicina y monensina (EPVM) y un antimicrobiano lúpulo (LUP).

Se prepararon 100 ml de solución stock de cada antibiótico y antimicrobiano en balones aforados estériles a una concentración de 1000 ppm, utilizando como solvente agua destilada estéril para PEN, VIR, MAD, EPV y en alcohol 95% para MON, LUP y EPVM. Seguidamente se calculó la cantidad a ser adicionada al frasco fermentador mediante el cálculo de disolución C1xV1=C2xV2, siendo consideradas las concentraciones empleadas por cada uno de los ingenios en su histórico (tabla 1).

Producción. Se realizaron procesos de fermentación para cada uno de los ingenios por separado. En un frasco de 250 ml fueron adicionados los sustratos y el cultivo, siguiendo los protocolos de los ingenios y teniendo en cuenta las cantidades utilizadas para la escala de laboratorio. El volumen final de toda la mezcla fue de 150 ml y los cocteles fueron preparados en una proporción de 1:1:1 para EPV y 1:1:1:1 para EPVM. Las fermentaciones fueron realizadas por separado para cada tratamiento, lo que significa que las condiciones iniciales de fermentación en cuanto a población de levaduras y concentración de ácido láctico (AL) fueron diferentes para cada fermentación. Una vez realizadas las fermentaciones, fueron adicionadas las concentraciones de los antibióticos a evaluar (tabla 1) en sus respectivos frascos fermentadores, siendo incubados a 36 °C durante 24 horas y mantenidos en agitación en un shaker (DiEs) a 120 rpm. Se midió la concentración de AL producido, población y viabilidad de la levadura al inicio del proceso (horas 0) y 24 horas pos-tratamiento.

Diseño experimental. Para el ensayo de fermentación 1 de cada ingenio se siguió un diseño completamente aleatorio, donde se evaluaron 7 tratamientos (tabla 1) así: cuatro antibióticos, dos cocteles en cuatro concentraciones y un antimicrobiano con 3 concentraciones. Todos los tratamientos tuvieron tres repeticiones y la unidad experimental consistió en un frasco fermentador. Se tuvo un tratamiento control sin adición de antibióticos.

Las variables de respuesta evaluadas fueron: la concentración de ácido láctico, la población y viabilidad de las levaduras. La concentración de ácido láctico se midió al inicio y final del proceso por el método reflectométrico, utilizando tiras de ensayo Reflectoquant Test Ácido Láctico MERCK®, sumergiéndolas en una solución de la muestra diluida 1/100, seguidamente se retiró el exceso de líquido y se insertaron en el reflectómetro Reflectoquant RQflex plus 10 MERK®, registrando el valor obtenido en mg/l (Merck Millipore 2013). La población de levaduras se determinó al inicio y al final del ensayo;

para ello se realizó una dilución de 1/100 mi de agua destilada con la adición de azul de metileno (MERCK®) al 1% (p/v) para distinguir células vivas y muertas al microscopio. Posteriormente, una gota de la dilución fue vertida en un cuadrante de la Cámara de Neubauer BOECO® y se procedió con el conteo de 5 cuadrantes medianos (extremos y centro) en microscopio óptico de campo claro ZEISS® bajo el objetivo 40x . Se calculó la población de levaduras mediante la fórmula (Mayagüez, 2007):

Finalmente, la viabilidad de la levadura fue determinada al inicio y al final del ensayo a partir del recuento obtenido del total de levaduras, se calculó empleando la fórmula (Mayagüez, 2007):

Análisis estadístico. Los datos fueron organizados en hojas de cálculos Excel 2013 y posteriormente sometidos a la prueba de normalidad, homogeneidad de va-rianzas y se aplicó la prueba de comparación de medias de Tukey (P≤ 0,05), utilizando el paquete estadístico Minitab. En los casos donde no hubo normalidad se ajustaron con el algoritmo de Jhonsom y Box-Cox y se les aplicó la prueba de comparación no paramétricos de Kruskal-Wallis.

ENSAYO 2. Evaluación de la actividad antimicrobiana de los tratamientos en la inhibición de bacterias aci-dolácticas.

El segundo ensayo tuvo como propósito evaluar el efecto de los antibióticos en diferentes concentraciones (tabla 1) sobre control o inhibición del crecimiento de bacterias ácido lácticas (BAL) a través del tiempo (0, 4, 6 y 24 horas). Se utilizó la misma cepa de S. cerevisiae del ensayo 1, sin embargo, ésta fue tomada del propagador de acuerdo a la fecha a realizar la fermentación variando para cada uno de los ingenios productores (A, B y C).

La producción se realizó bajo el mismo protocolo del ensayo 1. Sin embargo, en este ensayo sólo se tuvo en cuenta la carga bacteriana contaminante inicial de BAL, la cual fue la misma pre-tratamiento con todos los antibióticos. Las bacterias contaminantes BAL fueron medidas a 0, 4, 6 y 24 pos-tratamiento con los antibióticos (Leite et al., 2013) y el análisis fue realizado por grupos de antibióticos que tenían las mismas concentraciones, con el propósito de comparar el efecto sobre las BAL.

Diseño experimental. Se siguió un diseño completamente aleatorio para los tres ingenios (A, B y C), correspondiente a siete tratamientos (cuatro antibióticos, dos cocteles, un antimicrobiano), 4 tiempos de medición del crecimiento y 4 concentraciones, a excepción del lúpulo al cual se le midieron 3 concentraciones. Todos los tratamientos tuvieron 3 repeticiones y la unidad experimental consistió en un frasco fermentador.

La variable de respuesta evaluada fue el recuento de bacterias ácido lácticas (BAL), medidas al inicio (0 horas) y a las 4, 6 y 24 horas pos-tratamiento. Para esto, se realizaron diluciones seriadas de cada uno de los ensayos en agua peptonada tamponada estéril MERCK® preparada al 0.1%. Posteriormente se realizaron siembras en profundidad de las diluciones 10-3 y 10-4 en cajas de Petri con agar MRS (MERCK®) que contenía 5 % (v/v) de azul de anilina Sigma Aldrich® preparada al 0.1% (p/v), y 5 % (v/v) de cicloheximida PanReacAppli-Chem® preparada al 1% (p/v). Las cajas fueron incubadas en condiciones de anaerobiosis para a 35 °C durante 72 horas. Transcurrido este tiempo, se procedió al recuento de las colonias, expresadas en UFC/ml.

Análisis estadístico. Los datos fueron organizados en hojas de cálculos Excel 2013 y analizados de la misma manera como en el ensayo 1.

RESULTADOS Y DISCUSIÓN

Ensayo 1. Cuantificación de la producción de ácido láctico, población y viabilidad de la levadura.

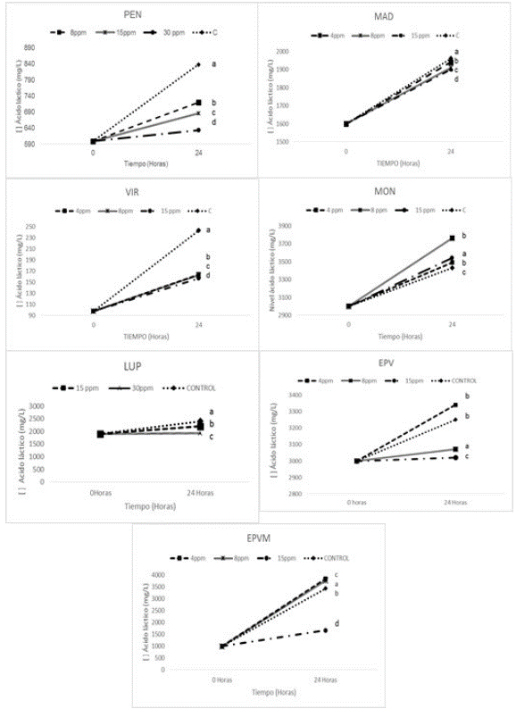
La figura 1 presenta los resultados de la producción de ácido láctico (AL) por bacterias contaminantes en etapa fermentativa con la materia prima del ingenio A, al adicionar los antibióticos y/o antimicrobiano (hora 0) y 24 horas pos-tratamiento. Los resultados obtenidos no evidenciaron un efecto a las 0 horas con los antibióticos y antimicrobiano. Sin embargo, se observó que todas las concentraciones de los antibióticos presentaron un efecto positivo controlando los niveles de concentración de AL producido en la etapa fermentativa postratamiento a las 24 horas, manteniendo la concentración de AL con valores cercanos a la concentración inicial, mostrando diferencias significativas (P≤ 0,05) en la prueba Tukey con respecto al control, donde se observó un aumento en la concentración de AL.

Producción de AL por bacterias contaminantes en la etapa fermentativa utilizando la materia prima del ingenio A, al adicionar los antibióticos y el antimicrobiano (hora 0) y 24 horas pos- tratamiento en las diferentes concentraciones.*Letras iguales no presentan diferencias significativas; n=3.

Figura 1: Producción de AL por bacterias contaminantes en la etapa fermentativa utilizando la materia prima del ingenio A, al adicionar los antibióticos y el antimicrobiano (hora 0) y 24 horas pos- tratamiento en las diferentes concentraciones.*Letras iguales no presentan diferencias significativas; n=3.

En el tratamiento PEN se presentó una reducción en producción de ácido láctico en las concentraciones 30, 15 y 8 ppm respectivamente; sin diferencias estadísticas entre las concentraciones de 8 y 15 ppm, pero con diferencias significativas respecto a los resultados obtenidos con 30 ppm, de acuerdo al test de Tukey (P<0,05). En un estudio realizado por Bayrock et al., 2003, utilizaron concentraciones de 2,475 U/L de penicilina G adicionados continuamente, y por choques cada 6 horas lograron una reducción de 4 g/l de ácido láctico después de 6 días.

En el tratamiento con MAD se observaron diferencias significativas con respecto al control en todas las concentraciones obteniendo mayor efecto en la producción de AL entre las concentraciones 15, 8 y 4 ppm respectivamente (P≤ 0,05). En VIR se encontraron diferencias entre las concentraciones 4, 8 y 15 ppm, sin embargo el mayor efecto se presenta en la mayor concentración 15ppm seguido de 8 y 4 ppm respectivamente (P≤ 0,05). Para MON presentó diferencia significativa entre todas las concentraciones y el control, sin embrago la concentración 15 ppm y las concentraciones 4 y 8 ppm (quienes no presentaron diferencias entre ellos) presentaron diferencias significativas entre ellos (P≤ 0,05). Estudios relacionados con el uso de la monensina como el realizado por Alcarde et al., (2001), evidenció que muestras tratadas a partir de una concentración de 3 ppm, pueden lograr la obtención de menores niveles de concentración de AL.

Para el caso del LUP se presentó menores niveles de AL en las concentraciones de 30 y 15 ppm respectivamente; presentándose diferencia significativa entre todas las concentraciones según la prueba de Tukey (P≤ 0,05).

Así mismo el tratamiento con EPV las concentraciones de 15, 8 y 4 ppm tuvieron un efecto positivo sobre el control y producción de AL presentando diferencias significativas entre ellas (P≤ 0,05) según Tukey. Para el tratamiento con EPVM las concentraciones utilizadas presentaron diferencias significativas entre ellas (P≤ 0,05) según Tukey, destacándose menor producción de AL en las concentraciones 15, 8 y 4 ppm respectivamente.

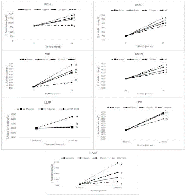
Por otra parte, no se evidenció cambios en la producción de ácido láctico con la materia prima provenientes del ingenio B a la hora 0 con los antibióticos y antimicrobiano evaluados (figura 2). Sin embargo, se evidenció que todas las concentraciones de PEN, VIR, MAD y LUP tuvieron un efecto sobre la concentración de AL producido en la etapa fermentativa pos-tratamiento a las 24 horas, manteniendo la concentración de AL con valores cercanos a la concentración inicial, mostrando diferencias significativas (P≤ 0,05) de acuerdo a la prueba de Tukey con respecto al control donde se presentó un aumento en la concentración de AL.

Comportamiento de la producción de ácido láctico del ingenio B en las 0 y 24 horas pos- tratamiento con las diferentes concentraciones de los antibióticos y antimicrobiano. *Letras iguales no presentan diferencias significativas; n=3.

Figura 2: Comportamiento de la producción de ácido láctico del ingenio B en las 0 y 24 horas pos- tratamiento con las diferentes concentraciones de los antibióticos y antimicrobiano. *Letras iguales no presentan diferencias significativas; n=3.

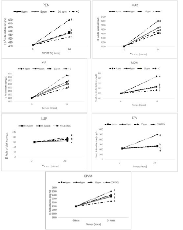
Los tratamientos en la producción de AL en etapa fermentativa con la materia prima del ingenio C no presentó cambios significativos a las 0 horas (figura 3.). Sin embargo, se observa que en la mayoría de las concentraciones de los antibióticos presentaron un efecto sobre la concentración de AL producido en la etapa fermentativa pos-tratamiento a las 24 horas, mostrando diferencias significativas (P≤ 0,05) según Tukey con respecto al control. Estos resultados permiten inferir que la mayoría de los antibióticos utilizados tiene un efecto sobre el control de producción de ácido láctico en el proceso de fermentación alcohólica en condiciones de laboratorio con la materia prima del ingenio C. para el caso de (PEN) los efectos se muestran en las concentraciones 30, 15 y 8 ppm respectivamente; presentándose diferencias entre todas las concentraciones. En (MAD) se obtiene efectos en concentración de 5 ppm, sin embargo, aunque se presentan diferencias entre todas las concentraciones estudiadas, la concentración de 4 ppm obtuvo mayor control de las concentraciones de AL comparado con los resultados obtenidos a 8 ppm. El cual demuestra la acción de una mayor concentración sobre los efectos causados por bacterias contaminantes. En VIR y MON se evidenciaron que existen diferencias significativas en cada una de las concentraciones evaluadas y en 15 ppm para ambos antibióticos.

Comportamiento de la producción de ácido láctico del ingenio C en las 0 y 24 horas pos- tratamiento con las diferentes concentraciones de los diferentes antibióticos. Letras iguales no presentan diferencias significativas; n=3.

Figura 3: Comportamiento de la producción de ácido láctico del ingenio C en las 0 y 24 horas pos- tratamiento con las diferentes concentraciones de los diferentes antibióticos. Letras iguales no presentan diferencias significativas; n=3.

Para el ensayo realizado con lúpulo (LUP) se encontró que no existen diferencias entre las concentraciones evaluadas 15 y 30 ppm. Los resultados demuestran que los cocteles de antibióticos (EPV) logran mantener la concentración de AL con valores cercanos a la concentración inicial de AL, por lo tanto su efecto no es efectivo para el control de bacterias productoras de ácido láctico; EPVM presentó diferencias entre las concentraciones 4, 8 y 15 ppm, demostrando mayor efectividad 15 ppm, según la prueba de Tukey (P≤ 0,05).

El estudio de las concentraciones de AL a través de técnicas rápidas permitió observar los posibles niveles de contaminación presentes en la muestras antes y después del tratamiento, así mismo se pudo observar el efecto de los tratamientos para el control de las concentraciones de ácidos producidos por las bacterias contaminantes, tal como lo expresa Skinner et al., 2007 las industrias han desarrollado sistemas de monitoreo por medio del cual realizan mediciones prácticas de ácido láctico y acético que permiten conceptuar los niveles de contaminación. Estudios similares fueron realizados por Carvalho et al., 2011, evidenciaron que los niveles de acidez y contaminación bacteriana afectaban el rendimiento fermentativo, concentraciones bacterianas de 106 tenían influencia directa en el aumento de la acidez y afectaban la levadura generando caídas en el rendimiento fermentativo. Según Ribeiro (2010), la disminución en el rendimiento del proceso se puede dar cuando la levadura se enfrenta a condiciones de acidez durante la fermentación con niveles de contaminación en tanques entre 105 - 106/ml.

Las diferencias en los resultados obtenidos de la concentración de ácido láctico para los tres ingenios con los antibióticos sobre el control puede deberse a la variedad microbiológica presentes en la contaminación durante la etapa fermentativa de cada uno. En estudios realizados por Bayona et al., (2002) apartir de técnicas de aislamiento e identificación microbiana ejecutados en una planta productora de alcohol carburante en las etapas de dilución de melaza, propagación de la levadura y fermentación, predomino Zymomonas mobilis y Lactobacillus sp; adicionalmente, este trabajo realizó inóculos de penicilina sobre Lactobacillus logrando el control de sobre este microorganismo. Otros estudios mencionan a Lactobacillus amylovorus, L. fermentum y L. vaginalis como los microorganismos más abundantes aislados en una planta de etanol (Skinner et al., 2007). Lucena et al., 2010, realizaron aislamientos de un proceso de bioetanol en 4 destilerías de Brasil entre el periodo del 2007 y 2008, donde predominaron L. fermentum y L. vini, sin embargo encontraron otro tipo de BAL como el caso de L. plantarum, con crecimiento en los 30 primeros días del proceso.

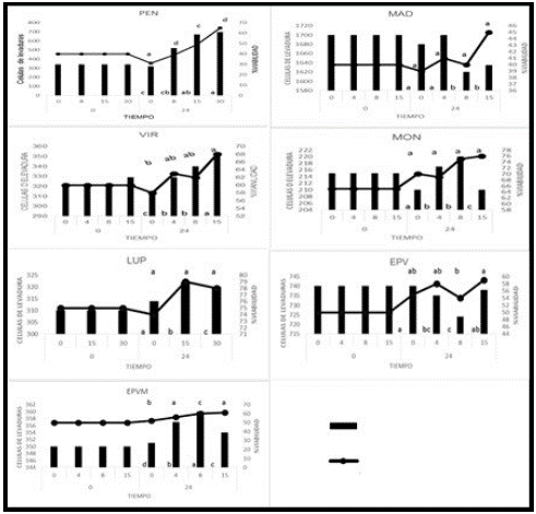
Efecto de las diferentes concentraciones de los antibióticos y antimicrobiano sobre la población y viabilidad de Saccharomyces cerevisiae en etapa fermentativa.

Con base en los resultados obtenidos de los de antibióticos y el antimicrobiano evaluado en cuanto a la población y viabilidad de la levadura, se observó que las 0 horas no hubo cambio en ninguno de los montajes con las concentraciones, manteniéndose sobre la misma viabilidad en cuanto a la muestra control, transcurridas las 24 horas se observan cambios en los antibióticos; PEN y VIR demostraron un mayor efecto en el aumento exponencial, MAN, LUP, EPV y EPVM demostraron variabilidad según las concentraciones utilizadas (figura 4). Por lo tanto se observó que los antibióticos ejercieron efecto transcurrido las 24 horas, sin embargo la diferencia existente entre los porcentajes de viabilidad de acuerdo al test de tukey (P≤ 0,05), son atribuidos al efecto que ocasionan los antibióticos a diferentes concentraciones según la cantidad del componente activo que genere un efecto en la fermentación.

Población y viabilidad de la levadura con la materia prima del ingenio A en las 0 y 24 horas pos- tratamiento con las diferentes concentraciones de los diferentes antibióticos. *Letras iguales no presentan diferencias significativas; n=3.

Figura 4: Población y viabilidad de la levadura con la materia prima del ingenio A en las 0 y 24 horas pos- tratamiento con las diferentes concentraciones de los diferentes antibióticos. *Letras iguales no presentan diferencias significativas; n=3.

Para el caso de PEN se observan diferencias a partir de las 24 horas, las concentraciones 4 y 8 ppm presentan similitud en cuanto al promedio del porcentaje de viabilidad según el test de tukey (P≤ 0,05), sin embargo, se observa un crecimiento entre el promedio de población de levadura con respecto al aumento de la concentración del antibiótico. Por lo anterior se infiere que el uso de PEN no afecta la viabilidad de la levadura, concordando con lo expresado por Bayrock y colaboradores (2003), donde la viabilidad de la levadura con adición por choque o continuo de penicilina superó las células viables sin antibiótico en estado estacionario. Los tratamientos con MAD transcurrida las 24 horas tuvieron un efecto sobre el promedio de población de levadura. Las concentraciones de VIR a las 24 horas muestra que la población de levadura y promedio de viabilidad de levadura, 4 y 8 ppm son similares, sin embargo 0 y 15 presentan diferencias entre ellas (P≤ 0,05).Los resultados obtenidos con MON evidencian que el promedio de viabilidad todas las concentraciones 0, 4,8 y 15 ppm no presentan diferencias, sin embargo en el promedio de población de levadura 0 y 15 ppm son diferentes, y las concentraciones 4 y 8 ppm son iguales de acuerdo a la prueba de Tukey (P≤ 0,05). Estudios realizado por Leite et al. (2013), se observó que a concentraciones de 46 ppm de MON la viabilidad de la levadura disminuye. En el tratamiento con LUP las concentraciones utilizadas 0,15 y 30 ppm en el promedio de viabilidad las variables no tuvieron diferencias estadísticas (P≤ 0,05) y en cuanto a la población de levadura se expresan de manera diferentes, obteniéndose en la concentración 15 ppm un incremento, contrario a los expresado por Leite et. al., (2013), donde la viabilidad de la levadura disminuyó durante el proceso fermentativo. El EPV presentó similaridad en la viabilidad en las concentraciones 0 y 4 ppm y en 8 y 15 ppm se observaron diferencias entre ellas.

La figura 5 presenta el comportamiento de la levadura en etapa fermentativa con la materia prima del ingenio B, en las horas 0 y 24 pos-tratamiento con las diferentes concentraciones de antibióticos y antimicrobiano. El efecto de los antibióticos y antimicrobiano evaluados, en cuanto a la población y viabilidad de la levadura, se observaron que las 0 horas no hubo cambio en ninguno de los montajes con las concentraciones evaluadas, manteniéndose la misma viabilidad y población de la muestra control, transcurridas las 24 horas se efectúa un cambio significativo en cuanto a la población de levaduras, para el caso de los tratamientos con PEN se presentó un aumento de población, los tratamientos VIR, EPV y LUP se evidencia diferencia estadísticas significativas comparadas con el contro, sin embargo, la población del control es mayor al de las muestras tratadas, para el caso de MAD, MON y EPVM, no se evidencia diferencias significativas con el control de acuerdo al test de tukey (P≤ 0,05). Así mismo transcurrido las 24 horas se evidenció que los tratamientos con PEN, MAD y LUP presentaron un efecto positivo sobre la viabilidad de la levadura debido a que se logró promover el aumento de esta misma obteniendo mayores índices que los iniciales, lo anterior no se refleja con los tratamientos con VIR, MON EPV y EPVM, en los cuales la viabilidad fue menor que el control de acuerdo al test de tukey (P≤ 0,05).

Población y viabilidad de la levadura con la materia prima del ingenio B en las 0 y 24 horas pos- tratamiento con las diferentes concentraciones de los antibióticos y antimicrobiano. *Letras iguales no presentan diferencias significativas; n=3

Figura 5: Población y viabilidad de la levadura con la materia prima del ingenio B en las 0 y 24 horas pos- tratamiento con las diferentes concentraciones de los antibióticos y antimicrobiano. *Letras iguales no presentan diferencias significativas; n=3

El uso de MON presenta una diferencia a nivel de población entre 8 ppm y las concentraciones de 4, 15 ppm (no presentaron diferencias entre ellos), sin embargo, no se presenta una diferencia significativa entre las concentraciones según el test de tukey (P≤ 0,05).

Por otra parte los tratamientos con LUP, la población no mostraron diferencias significativas entre las concentraciones estudiadas, sin embargo si se dio dicha diferencia con la viabilidad siendo mejor 15 y 30 ppm respectivamente de acuerdo a la prueba de Tukey (P<0,05).

Los tratamientos con EPV y EPVM, no mostraron diferencias significativas de viabilidad en todas las concentraciones, sin embargo, se presentó diferencias significativas en la población para las muestras con EPV, con resultados a 15, 4 y 8 ppm respectivamente y para el caso de EPVM, la población tuvo resultado a 8 15 y 4 ppm respectivamente.

La figura 6 presenta la viabilidad y población de la levadura en etapa fermentativa del ingenio C, en las 0 y 24 horas pos-tratamiento con las diferentes concentraciones de los antibióticos y antimicrobiano. El efecto de los antibióticos y antimicrobiano evaluados en cuanto a la población y viabilidad de la levadura, se observaron que las 0 horas no se presentó cambio en los montajes con ninguna de las concentraciones, manteniéndose sobre la misma viabilidad y población de la muestra control, a la hora 24 se da un cambio significativo de viabilidad entre las concentraciones y el control de penicilina y EPVM, para el caso de la población estas diferencias se dan con PEN, VIG, LUP y EPV, los demás antibióticos en ambas variables no presentaron diferencias significativas con respecto al control según el test de tukey (P≤ 0,05).

Población y viabilidad de la levadura con la materia prima del ingenio C en las 0 y 24 horas pos- tratamiento con las diferentes concentraciones de los antibióticos y antimicrobiano. *Letras iguales no presentan diferencias significativas; n=3.

Figura 6: Población y viabilidad de la levadura con la materia prima del ingenio C en las 0 y 24 horas pos- tratamiento con las diferentes concentraciones de los antibióticos y antimicrobiano. *Letras iguales no presentan diferencias significativas; n=3.

Estos resultados permiten inferir que para el ingenio C, el uso de PEN no afecta la viabilidad ni la población, para el caso de los otros antibióticos aunque tampoco se da dicha afectación estas concentraciones de antibiótico actúan igual que el control. Los tratamientos con PEN para todos los ingenios tuvieron una diferencia significativa en cuanto a la población con respecto a la muestra control, sin embargo los niveles de viabilidad fueron iguales en las tres concentraciones de acuerdo al test de Tukey (P≤ 0,05). Esto permite inferir que a pesar que se presenta un incremento en la población en concentraciones de 30, 15 y 8 ppm respectivamente, la viabilidad se maneja igual independientemente de la concentración.

Por otro lado, los tratamientos con MAD no presentaron diferencias significativas en cuanto a la viabilidad, sin embargo la población incremento a concentraciones 4, 15 y 8 ppm respectivamente, de acuerdo al test de Tukey (P≤ 0,05). El uso de VIR no presentó diferencias significativas a nivel de viabilidad, sin embargo la población tuvo efectos en concentraciones de 15, 8 y 4 respectivamente según Tukey (P≤ 0,05), estos resultados son similares a los obtenidos en estudios por (Zia, Asghar, & Bhatti, 2011) en donde las concentraciones de 0.5, 1.0, 2.0 y 2.5 ppm de virginiamicina (lactrol), no presentaron diferencias significativas con la muestra control. Para el caso de MON se presentan diferencias significativas a las 24 horas donde se observó un efecto sobre la población de levadura sin diferencias significativas en las concentraciones de 4 y 15 ppm; no obstante en el promedio del porcentaje de viabilidad 0, 4 ppm no demuestran diferencias entre ellas y 8 ppm tuvo similitud con los resultados obtenidos entre 4 y 15, según el test de Tukey (P≤ 0,05). Los resultados con LUP y EPV no presentan diferencias significativas en el promedio de porcentaje de viabilidad, sin embargo el promedio de población presenta diferencias significativas entre todas las concentraciones según tukey (P≤ 0,05). EPVM presentó diferencias significativas en el promedio de población de levadura, sin embargo el porcentaje de viabilidad no presentó diferencias significativas entre las concentraciones 4, 8 y 15 ppm según el test de Tukey (P<0,05).

De los anteriores resultados presentados para cada ingenio se infiere que aquellos tratamientos en donde los niveles de viabilidad eran mayores que el control, se promueven el aumento de la población y porcentaje de viabilidad de S. cerevisiae, lo cual puede estar relacionado con el control que ejercen estos antibióticos sobre los niveles de AL presentes en la muestra, como lo expresa los estudios realizados por Calvaho et al., 2011, donde los niveles de ácido producidos por la síntesis bacteriana afectaron directamente el proceso de fermentación relacionando esto con la viabilidad de la levadura. En otros estudios Brexó et al., (2017), recolectaron información referente a como algunas sustancias liberadas por las bacterias contaminantes de los sistemas fermentativos en especial aquella de tipo ácido láctico, afectan el crecimiento de la levadura generando inhibiciones en la producción de etanol, en este estudio se habla a su vez de la posible dependencia de los niveles de ácido láctico a los nutrientes derivados de la levadura, por tal motivo es importante el control de bacterias contaminantes al mismo tiempo que los productos generados por estos, especialmente de BAL que son más recurrentes y abundantes en este proceso (Basso et al., 2014).

ENSAYO 2. FERMENTACION A ESCALA DE LABORATORIO

Efecto de las diferentes concentraciones de antibióticos sobre el crecimiento bacterias acido lácticas durante la fermentación

En la figura 7, se presenta el comportamiento (UFC/ml) de las bacterias ácido lácticas durante la producción en etapa fermentativa con material prima proveniente del ingenio A en las horas 0, 4, 6 y 24 pos-tratamiento con las diferentes concentraciones de los antibióticos y antimicrobiano.

Crecimiento de bacterias acido lácticas (UFC/ml) del ingenio A en las 0, 4, 6 y 24 horas pos- tratamiento con las diferentes concentraciones de los antibióticos y antimicrobiano.

Figura 7: Crecimiento de bacterias acido lácticas (UFC/ml) del ingenio A en las 0, 4, 6 y 24 horas pos- tratamiento con las diferentes concentraciones de los antibióticos y antimicrobiano.

Penicilina. En la gráfica se observa que en el tiempo cero no presentan cambios en la población de bacterias AL con respecto al control. Al transcurrir las 4 horas se observa una disminución en la población de bacterias en todos los tratamientos, incluyendo el control; sin embargo no se encuentran diferencias entre las concentraciones de antibióticos con respecto al control según la prueba de kruskal-wallys (P< 0.05). A las 6 horas se presenta un aumento en la población en la concentración 8 ppm y el control, mientras que en las concentraciones 15 y 30 ppm se mantiene la población similar a las 4 horas, presentando diferencias con respecto al control según la prueba de kruskal-wallys (P< 0.05). Luego a las 24 horas se observa una disminución en la población para los tratamientos 8, 15 y 30 ppm y no en el control, presentando diferencias significativas entre el control y los tratamientos según la prueba de kruskal-wallys (P< 0.05). Resultados similares fueron reportados por Bayrock et al., (2003), donde se obtuvo un la disminución de bacterias AL con penicilina G adicionada por choques y/o continua a concentraciones de 2.475 U/l.

Maduramicina. Los resultados obtenidos en cuanto a las concentraciones evaluadas muestran en el tiempo 0 no evidencian diferencias significativas con respecto al control, transcurrida las 4 horas se observa una disminución en la población de bacterias AL incluyendo la muestra control, sin diferencias significativas entre las concentraciones 0, 8 , 15 y 30 ppm según la prueba de kruskal-wallys (P< 0.05). A las 6 horas se presenta un aumento en la población en las concentraciones 0, 8, 15 y 30 ppm, entre las cuales no se presenta diferencias significativas según kruskal-wallys (P< 0.05). A las 24 horas se observa una disminución en la población para los tratamientos 8, 15 y 30 ppm y en el control, sin presentar diferencias significativas entre el control y los tratamientos según la prueba de kruskal-wallys (P<0.05).

Virginiamicina. Se realizó la prueba de kruskal-wallys para establecer las diferencias entre los tratamientos donde no se evidenciaron diferencias significativas entre la muestra control y las concentraciones evaluadas en el tiempo 0. A las 4 horas se evidenció una disminución en la población de bacterias AL incluyendo la muestra control, sin embargo se determinó diferencias significativas entre la concentración de 15 ppm y las concentraciones de 4 y 8 ppm (no presentaron diferencias significativas entre ellos y la muestra control), según la prueba de kruskal-wallys (P< 0.05); transcurrida las 6 horas se presentó un aumento en la población bacteriana, observándose diferencias significativas entre 4 y las concentraciones de 8 y 15 ppm (quienes no muestran diferencia significativa entre ellas), como lo evidencia la prueba de kruskal-wallys (P< 0.05); a las 24 horas se observó una mayor disminución en la población incluyendo a la muestra control, en donde se presentan diferencias significativas entre las concentraciones de 4; 8 ppm y la concentración 15 ppm (no muestra diferencia significativa con el control) según la prueba de kruskal-wallys (P< 0.05). Estudios realizados por Rich et al., (2011), informó el efecto inhibidor de virginiamicina a concentraciones de 2 Mg/ml y 32 Mg/ml, sobre 8 de 10 aislamientos en ensayos rápidos de placas que contenían el antibiótico.

Monensina. En los tratamientos con MON, no se evidencia diferencias significativas en el tiempo 0 para cada una de las concentraciones utilizadas y el control según la prueba de kruskal-wallys. A las 4 horas se observó una disminución en el crecimiento de las bacterias AL en las concentraciones de 0, 4, 8 y 15 ppm, con diferencia significativas entre las concentraciones 4 , 8 y 15 ppm ( no presentó diferencias con la muestra control), a las 6 horas se evidenció un aumento en el crecimiento poblacional de las bacterias en las concentraciones de 0, 4 y 8 ppm, sin embargo se da una disminución en la concentración de 15 ppm, mostrando diferencias significativas entre 8, 15 y la concentración de 4 ppm ( no muestra diferencia con el control), según la prueba de kruskal-wallys, al paso de las 24 horas se da una disminución en el crecimiento de las bacterias en todas las concentraciones incluyendo la muestra control, se presentó diferencia significativa entre la concentración de 15 ppm y las concentraciones de 4 y 8 ppm (no presentaron diferencias con la muestra control) según la prueba de kruskal-wallys (P< 0.05). Alcarde et al. (2001), logró disminuir en 12 horas la contaminación de muestras tomadas de un proceso fermentativo con el uso de Kamoran HJ a concentraciones de 3 ppm.

Lúpulo. Los resultados obtenidos según la prueba de kruskal-wallys (P< 0.05) no presentaron diferencias significativas entre las concentraciones utilizadas en los tratamientos y la muestra control en el tiempo 0, a las 4 horas se evidencia que la concentración 15 y 30 ppm se encuentran por encima del control, a las 6 horas se observó que la concentración de 30 ppm y 15 ppm (no presenta diferencias con la muestra control) presentan diferencias significativas con respecto al control, sin embargo 15 y 30 ppm se encontraban por encima de la muestra control; transcurridas las 24 horas se observa que las concentraciones de 15 y 30 ppm presentan diferencias significativas comparado a la muestra control según la prueba de kruskal-wallys (P< 0.05). Estudios realizados por Leite et al. (2013), informó que a concentraciones de 46 mg/L el extracto de lúpulo ß-BIO 45 es efectivo contra contaminación mixta de bacterias presentes en la etapa fermentativa.

EPV. Según la prueba de kruskal-wallys (P< 0.05), se observa que en el tiempo 0 no hubo diferencias significativas en cada una de las concentraciones utilizadas, transcurridas las 4 horas se observa la disminución en el crecimiento de las bacterias AL en todas las concentraciones incluyendo la muestra control, sin embargo las concentraciones de 4, 8 y 15 ppm se encontraron por encima del control, a las 6 horas se evidencia un incremento en la muestra control y disminución en las concentraciones de 4, 8 y 15 ppm presentándose diferencias significativas entre las concentraciones 15 y 4 8 ppm (no presentan diferencias entre ellos); a las 24 horas se observa disminución en la población bacteriana en todas las concentraciones incluyendo control, mostrando diferencias significativas entre la concentración de 8 ppm y las concentraciones de 4 y15 ppm (no presentan diferencias significativas entre ellas) con respecto a la muestra control.

EPVM. los tratamientos efectuados con EPVM, según la prueba de kruskal-wallys (P< 0.05) demostraron que en el tiempo 0 no existen diferencias entre la concentraciones utilizadas, transcurrida las 4 horas se observó la disminución del crecimiento de las bacterias AL incluyendo el control; presentado diferencias significativas la concentración de 15 ppm y las concentraciones de 4 y 8 ppm (no presentan diferencias entre ellos y la muestra control), a las 6 horas se evidencia un aumento en el crecimiento de las bacterias a concentraciones de 0, 4 y 8 ppm y disminución en 15 ppm, presentando diferencias significativas las concentraciones 4, 8 y 15 ppm con respecto a la muestra control; en las 24 horas se observó disminución en el crecimiento de bacterias incluyendo la muestra control, presentando diferencias significativas entre las concentraciones de 8 y15 ppm y la concentración de 4 ppm ( no presento diferencia con el control).

En la figura 8 se presenta el crecimiento (UFC/ml) de las bacterias AL en etapa fermentativa del ingenio B en las horas 0, 4, 6 y 24 pos-tratamiento con las diferentes concentraciones de antibióticos y antimicrobiano.

Crecimiento de bacterias acido lácticas (UFC/ml) del ingenio B a las 0, 4, 6 y 24 horas pos- tratamiento con las diferentes concentraciones de antibióticos y antimicrobiano.

Figura 8: Crecimiento de bacterias acido lácticas (UFC/ml) del ingenio B a las 0, 4, 6 y 24 horas pos- tratamiento con las diferentes concentraciones de antibióticos y antimicrobiano.

Penicilina. Los resultados obtenidos no demostraron diferencias entre las concentraciones evaluadas y el control en el tiempo 0, según la prueba de kruskal-wallys (P< 0.05), transcurrido las 4 y 6 horas no se presentan diferencias significativas entre las concentraciones y la muestra control, e la hora 24 se observó diferencias significativas entre la concentración de 30 ppm y las concentraciones de 8; 15 ppm (no presentaron diferencias entre ellas y la muestra control) según estudios publicados, el uso frecuente de antibióticos promueve el potencial para el surgimiento de nuevas cepas resistentes a los antibióticos, encontrando a bacterias AL resistente a la inhibición de la síntesis de la pared celular, efecto causado en las bacterias por el uso de penicilinas y ampicilinas (Alós et al., 2015).

Maduramicina. Según la prueba de kruskal-wallys (P< 0.05) se encontró que los tratamientos con el antibiótico en el tiempo 0 no presentan diferencias significativas entre sí, al paso de las 4 horas se evidenció una disminución en el crecimiento de las bacterias AL incluyendo la muestra control, presentando diferencias significativas entre las concentraciones de 8 y 15 ppm y la concentración de 4 ppm (no presento diferencia con el control), transcurridas 6 horas se observó una mayor disminución del crecimiento de las bacterias AL en donde las concentraciones 4, 8 y 15 ppm presentaron diferencias significativas con la muestra control, posteriormente a las 24 horas se evidenció un aumento en las concentraciones 4, 8 y 15 ppm y una disminución en la muestra control, lo que permite deducir que el efecto residual del antibiótico MAD es muy corto.

Virginiamicina. Los resultados obtenidos con VIR según la prueba kruskal-wallys (P< 0.05) no existen diferencias significativas en el tiempo 0 para cada una de las concentraciones utilizadas y el control, posterior a las 4 horas se observa una pequeña disminución en el crecimiento bacteriano, sin embargo se presentan diferencias significativas entre la concentración de 15 ppm y las concentraciones de 4 y 8 ppm (no presentan diferencias entre ellas), transcurridas las 6 horas se observa diferencias significativas en las concentraciones de 4 y 15 ppm y la concentración de 8 ppm (no presenta diferencia con el control), a las 24 horas se evidenció una disminución en el crecimiento de BAL con diferencias significativas entre la concentración de 15 ppm y las concentraciones de 4 y 8 ppm (no presentaron diferencias con la muestra control). Contrario a estos resultados fueron encontrados por Ledesma (2013), donde se observó el efecto inhibidor sobre las bacterias acido lácticas en tiempos de 6 y 12 horas con el uso de VIR a 3 ppm. Sin embargo Murphree et al., 2014, informó altos niveles de resistencia a VIR especialmente en los ensayos fenotípicos en donde se observó mecanismos de inactivación de antibióticos.

Monensina. Según la prueba de kruskal-wallys (P< 0.05) se evidenció que no existen diferencias significativas en el nivel de bacterias acido lácticas en las concentraciones evaluadas para el tiempo 0, en las 4 horas se observó disminución en el crecimiento de BAL presentando diferencias significativas entre las concentraciones de 4, 8 y 15 ppm y el control, pasadas las 6 horas se da una disminución en la concentración de 15 ppm presentando diferencias significativas con las concentraciones 4 y 8 ppm y el control. A las 24 horas se muestra menor crecimiento entre las concentraciones 8 y 15 ppm que la concentración de 4 ppm, sin embargo solo se muestra una tendencia, sin mostrar diferencias significativas según kruskal-wallys (P< 0.05). Estudios realizados por Góis et al., 2013, mostraron un efecto sobre la reducción de Lactobacillus sp con el uso de Kamoran en concentraciones de 10 ppm en un proceso fermentativo de una planta de etanol de Brasil.

Lúpulo. Los resultados obtenidos según la prueba de kruskal-wallys (P< 0.05) demuestran que en el tiempo 0 para cada una de las concentraciones utilizadas no se presentan diferencias significativas, a las 4 y 6 horas se observa un pequeño aumento en la población de BAL sin presentar diferencias significativas entre las concentraciones de 15 y 30 ppm, transcurrida las 24 horas se observó una disminución en el crecimiento de las bacterias incluyendo la muestra control, presentando diferencias significativas entre las concentraciones de 15 y 30 ppm con la muestra control. Resultados similares han sido reportados por Leite et al., (2013), en donde se demostró el efecto inhibidor de los aceites de lúpulo sobre las bacterias acido lácticas en concentraciones de 46 ppm.

EPV. Teniendo en cuenta los resultados obtenidos, según la prueba de kruskal-wallys (P< 0.05) en el tiempo 0 no se observan diferencias significativas para el caso de cada una de las concentraciones evaluadas y la muestra control, en las 4 horas se evidencia una disminución en las concentraciones 4, 8 y 15 ppm, mostrando diferencias significativas con la muestra control, a las 6 horas se da otra pequeña disminución en el crecimiento de las bacterias AL, se observó diferencias significativas entre 15 y las concentraciones de 4 y 8 ppm (no presentaron diferencias entre ellos), a las 24 horas se evidenció un aumento en la concentración poblacional tratada a 4 ppm y una disminución con las concentraciones de 8 y 15 ppm, presentando diferencias significativas entre todas las concentraciones y la muestra control.

EPVM. Según la prueba de kruskal-wallys (P< 0.05) se evidencia que en el tiempo 0 no existen diferencias entre las concentraciones utilizadas y el control, a las 4 horas se observó una disminución en el crecimiento presentándose diferencias significativas entre la concentración de 8 ppm y las concentraciones de 4 y 15 ppm (no demuestran diferencias entre ellos), transcurridas las 6 horas se evidenció diferencias significativas entre todas las concentraciones y la muestra control, a las 24 horas se determinan diferencias entre las concentraciones 4, 8 y 15 ppm; sin embargo el crecimiento poblacional de bacterias AL es mayor en 15 ppm que en la concentración de 8 ppm.

En la figura 9 se presenta el comportamiento (UFC/ml) de las bacterias AL producción en etapa fermentativa del ingenio C en las horas 0, 4, 6 y 24 pos-tratamiento con las diferentes concentraciones de antibióticos y antimicrobiano.

Crecimiento de bacterias acido lácticas (UFC/ml) del ingenio C en las 0, 4, 6 y 24 horas pos- tratamiento con las diferentes concentraciones de antibióticos y antimicrobiano.

Figura 9: Crecimiento de bacterias acido lácticas (UFC/ml) del ingenio C en las 0, 4, 6 y 24 horas pos- tratamiento con las diferentes concentraciones de antibióticos y antimicrobiano.

Penicilina. Los resultados obtenidos en el tiempo 0 no existen diferencias entre las concentraciones evaluadas según la prueba de kruskal-wallys (P< 0.05); a las 4 horas se observó que las concentraciones de 8 y 15 ppm son similares a la muestra control y la concentración de 30 ppm se encuentra por encima del control; en las 6 horas se observa diferencia entre los niveles de bacterias AL, mostrando diferencias en cada una de las concentraciones, sin embargo los datos son estadísticamente similares entre ellos; al paso de las 24 horas se evidenció una disminución de la población bacteriana menor al control en las concentraciones de 8, 15 y 30 presentándose una tendencia y diferencia significativa con la muestra control. En un estudio realizado por Stoppa et al., (2000), se logró disminuir durante 23 horas el crecimiento de cepas de Bacillus y Lactobacillus con el uso de penicilina, sin embargo posterior a este tiempo se presentó crecimiento con la cepa de Bacillus, infiriendo que el uso de penicilina tiene mayor efectivo en periodos de contacto cortos.

Maduramicina. Los resultados obtenidos según la prueba de kruskal-wallys (P< 0.05) arrojaron que en el tiempo 0 no existen diferencias entre las concentraciones y el control, a las 4 y 6 horas no se presentan diferencias significativas; a las 24 horas se observa una disminución de los valores de la población, sin embargo, las concentraciones 4, 8 y 15 ppm no presentan diferencias estadísticas.

Virginiamicina. En este caso, los resultados presentaron que para el tiempo cero no existen diferencias entre las concentraciones utilizadas, según la prueba de kruskal-wallys (P< 0.05). Transcurridas 4 horas se observa que 4, 8 y 15 ppm son similares entre sí, y 15 ppm se presenta por encima del control, a las 6 horas los valores son diferentes a la muestra control, pero son semejantes entre sí, luego de las 24 horas no se evidencia diferencias significativas entre las concentraciones y el control. Hamdy et al.,(1996), informó que a concentraciones de 2 ppm de virginiamicina no se presentaron diferencias significativas con el control, sin embargo, logro reducir el crecimiento de Micrococcus luteus a 20 ppm, seguimiento realizado por 96 horas en fermentadores de 24 litros a 30° C, contrario a lo reportado por Muhammad et al., (2011), el cual logro reducir a partir de 0.5 ppm y con mayor efecto en la concentración de 2 ppm, con la cual no hubo crecimiento de bacteria contaminante y los niveles de alcohol aumentaron.

Monensina. Los resultados obtenidos según la prueba de kruskal-wallys (P< 0.05) mostraron que a la hora 0 no existen diferencias entre las concentraciones y el control, a las 4 horas se evidenció que 8 y 15 ppm son similares entre ellos, manteniéndose por debajo de la muestra control, en la hora 6 se observó que no existen diferencias entre las concentraciones 4, 8 y 15 ppm, 24 horas después se determinó que 4 y 15 ppm son diferentes entre ellos por debajo del control. Alcarde et al., (2001), informó el efecto de kamoran HJ sobre bacterias contaminantes presente en mosto de caña de azúcar, reduciendo los niveles de contaminación con concentraciones de 3 ppm.

Lúpulo. El tratamiento con LUP demuestra según la prueba de kruskal-wallys (P< 0.05) en el tiempo 0 que no hay diferencias entra las concentraciones usadas, en las 4 horas las concentraciones 15 y 30 ppm son iguales, a las 6 horas 15 y 30 ppm son diferentes entre sí sin embargo, se encontró por encima del control, pasadas las 24 horas 15 y 30 ppm muestran diferencias significativas por debajo del control, indicando la eficacia del antimicrobiano cuando hay más horas de contacto. Rückel et al., (2006), informó en su estudio la acción de ácidos de lúpulo con el uso de LactoStab e IsoStab, los cuales frenaron el crecimiento de las bacterias contaminantes a concentraciones entre 18 y 48 ppm, logrando mayor sensibilidad con L. fermentum comparado con L. brevis, posterior a las 60 horas.

EPV. según la prueba de kruskal-wallys (P< 0.05) se evidenció que en el tiempo 0 no hay diferencias entre las concentraciones a las 4 horas se observó que 4 y 15 ppm son similares entre ellos, 8 ppm demostró resultados al mantenerse significativamente por debajo del control, en la hora 6, 8 y 15 ppm tienen similitud entre ellos, al paso de las 24 horas se observa que las variables no presentan diferencias significativas entre ellos, sin embargo, se mantienen por debajo de la muestra control.

EPVM. Los datos obtenidos de acuerdo con la prueba de kruskal-wallys (P< 0.05) en el tiempo 0 no hay diferencias significativas entre las concentraciones utilizadas y el control, a las 4 horas se determinó que 15 y 4 ppm son iguales entre ellos y 8 ppm no muestra diferencia con respecto al control, en la hora 6 se evidencio que 8 y 15 ppm son similares entre ellos y 4 ppm mostro mayor diferencia con respecto a 8 y 15 ppm manteniéndose por debajo del control, a las 24 horas 4 y 8 ppm presentan similitud entre ellos y 4 y 15 ppm diferencias entre sus valores.

CONCLUSIONES

Los antibióticos, VIR en el ingenio A, EPVM en el ingenio B y el antimicrobiano LUP en los tres ingenios, son eficientes en el control de bacterias contaminantes siendo mayor el efecto en los antibióticos cuando se utilizan en altas concentraciones (15 ppm) y en el antimicrobiano la menor concentración (15 ppm). Los niveles de producción de AL en la etapa fermentativa del ingenio A se reducen con todos los antibióticos en las diferentes concentraciones, lográndose un mayor efecto cuando se utilizan las concentraciones más altas. En el ingenio B la PEN, MAD, VIR y LUP fueron los más eficientes en la mayor concentración. En el ingenio C, los niveles de concentración de AL se reducen con la mayoría de los antibióticos excepto EPV, el mayor efecto se dio utilizando las concentraciones más altas.

El crecimiento de la población la levadura en la etapa fermentativa con la materia prima del ingenio A aumenta cuando se utilizan las concentraciones más altas de PEN y VIR, caso contrario con LUP, EPVM, MAD y MON donde a menor concentración. Así mismo, todos los antibióticos presentaron un efecto sobre la viabilidad de la levadura con excepción del EPV a 8 ppm. Con la materia prima del ingenio B, la PEN, LUP y EPVM tienen un efecto sobre la población y la viabilidad de la levadura en todas las concentraciones y con el ingenio C la población de la levadura incrementa con la adición de PEN, MAD y VIR, así como también la PEN, MAD y EPVM tiene un efecto en la viabilidad de la levadura. El antimicrobiano LUP en los tres ingenios tiene estimula la población de la levadura y su viabilidad principalmente cuando se utiliza en una menor concentración.

El efecto sobre control del crecimiento de BAL en el ingenio A varía conforme el tiempo de acción y no por el tipo de antibiótico y su concentración, siendo más eficientes a las 24 horas. En el ingenio B, varía conforme al tiempo de acción y antibióticos o antimicrobiano obteniendo un mayor control con el uso de MAD, MON, EPV y EPVM a las 6 horas y LUP a las 24 horas, mientras en el ingenio C con MON y LUP.

REFERENCIAS BIBLIOGRÁFICAS

  1. Alcarde, A. R., Walder, J. M. M., & Horii, J. (2001). Comparison between gamma radiation and kamoran hj in the decontamination of sugarcane must. Journal of Food Processing and Preservation, 25 (2), 137 - 147. doi:10.1111/j.1745-4549.2001.tb00449.x. [DOI] 🠔
  2. Alós, J .-I. (2015). Resistencia bacteriana a los antibióticos: una crisis global. Enfermedades infecciosas y microbiología clínica, 33(10), 692-699. doi:10.1016/j.eimc.2014.10.004. [DOI] 🠔
  3. Aquarone, E. (1960). Penicillin and tetracycline as contamination control agents in alcoholic fermentation of sugar cane molasses. Applied Microbiology, 8(5), 263-8. 🠔
  4. Bayona, M., Ardila, M., Castellanos, O., & Rojas, M. (2002). Determinación de bacterias contaminantes en el proceso de producción de alcohol etílico y su relación con la floculación de Saccharomyces cerevisiae. Revista Colombiana de Biotecnología, 4(2), 64-71. 🠔
  5. Bischoff, K. M., Liu, S., Leathers, T. D., Worthington, R. E., & Rich, J. O. (2009). Modeling bacterial contamination of fuel ethanol fermentation. Biotechnology and Bioengineering, 703(1), 117-122. doi:10.1002/bit.22244. [DOI] 🠔
  6. Bravo, C. G., Acevedo, J., & Jaramillo, C. P. (2014). Aislamiento y caracterización de una levadura floculante para producir etanol del banano de rechazo. Biotecnología en el Sector Agropecuario y Agroindustrial: BSAA, 72(2), 151-159. 🠔
  7. Oliva-Neto, P., Dorta, C., Carvalho, A. F. A., Lima, V. M. G., & Silva, D. F. (2013). The Brazilian technology of fuel ethanol fermentation-yeast inhibition factors and new perspectives to improve the technology. Materials and Processes for Energy: Communicating Current Research and Technological Developments, 7, 371-379. 🠔
  8. De Oliva-Neto, P., & Yokoya, F. (1998). Effect of 3,4,4'-trichlorocarbanilide on growth of lactic acid bacteria contaminants in alcoholic fermentation. Bioresource Technology, 63 (1), 17-21. doi:10.1016/S0960-8524(97)00092-8. [DOI] 🠔
  9. Góis, C. G. M., Lopes-Santos, L., de Oliveira Beranger, J. P., de Oliveira, A. G., Spago, F. R., & Andrade, G. (2013). The control of Lactobacillus sp. by extracellular compound produced by Pseudomonas aeruginosa in the fermentation process of fuel ethanol industry in Brazil. Journal of Sustainable Bioenergy Systems, 3(03), 194. doi:10.4236/jsbs.2013.33027. [DOI] 🠔
  10. Ledesma, L. (2013). Efecto de la virginiamicina sobre el crecimiento de bacterias ácido lácticas durante la producción de etanol de la empresa Cartavio S.A.A. Universidad Nacional de Trujillo, Trujillo, Perú. 🠔
  11. Leite, I. R., Faria, J. R., Marquez, L. D. S., Reis, M. H. M., De Resende, M. M., Ribeiro, E. J., & Cardoso, V. L. (2013). Evaluation of hop extract as a natural antibacterial agent in contaminated fuel ethanol fermentations. Fuel Processing Technology, 706, 611-618. doi:10.1016/j.fuproc.2012.09.050. [DOI] 🠔
  12. Mesa, L., Martínez, Y., Barrio, E., & González, E. (2017). Desirability function for optimization of Dilute Acid pretreatment of sugarcane straw for ethanol production and preliminary economic analysis based in three fermentation configurations. Applied Energy, 198, 299-311. doi:10.1016/j.apenergy.2017.03.018. [DOI] 🠔
  13. Muthaiyan, A., Limayem, A., & Ricke, S. C. (2011). Antimicrobial strategies for limiting bacterial contaminants in fuel bioethanol fermentations. Progress in Energy and Combustion Science, 37(3), 351-370. doi:10.1016/j.pecs.2010.06.005. [DOI] 🠔
  14. Ribeiro, E. J. (2010). Fermentação Alcoólica. Apostila do Módulo II. Processamento na Indústria Sucroalcooleira. Uberaba: FAZU. 🠔
  15. Rich, J. O., Leathers, T. D., Nunnally, M. S., & Bischoff, K. M. (2011). Rapid evaluation of the antibiotic susceptibility of fuel ethanol contaminant biofilms. Bioresource Technology, 102(2), 1124-1130. 🠔
  16. Rückle, L., & Senn, T. (2006). Hop acids as natural antibacterials can efficiently replace antibiotics in ethanol production. BetaTec Hopfenprodukte GmbH, Freiligrathstr, 108, 139-147. doi:10.1016/j.biortech.2010.08.118. [DOI] 🠔
  17. Velásquez Riascos, Y. D. C., & López, J. E. (2016). Estudio de prefactibilidad para el diseño de una planta de etanol a partir de residuos de cosecha de caña de azúcar. Revista Mutis, 6(2), 74-81. doi:10.21789/22561498.1152. [DOI] 🠔
  18. Zia, M. A., Asghar, M., & Bhatti, H. (2011). Improving bio-ethanol yield: Using virginiamycin and sodium flouride at a Pakistani distillery. African Journal of Biotechnology, 10(53), 11071-11074. doi:10.5897/AJB09.1273. [URL] 🠔