Revista Colombiana de Biotecnología
0123-3475
Instituto de Biotecnología, Universidad Nacional de Colombia
https://doi.org/10.15446/rev.colomb.biote.v19n2.70168

Recibido: 16 de marzo de 2017; Aceptado: 15 de diciembre de 2017

Manejo biológico del tamo de arroz bajo diferentes relaciones C:N empleando consorcios microbianos y promotores de crecimiento vegetal

Bio-based management of rice straw under different C:N ratios using microbial consortia and plant growth promoters

C. Cruz Ramírez, *L. Gómez Ramírez, **D. Uribe-Vélez, ***

Biólogo, M.Sc en Microbiología. Ph.D. Ciencias-Biología; Laboratorio de Microbiología Agrícola, Instituto de Biotecnología, Universidad Nacional de Colombia. Sede Bogotá, Colombia. Universidad Nacional de Colombia Instituto de Biotecnología Universidad Nacional de Colombia Bogotá Colombia
Biólogo, M.Sc. Ciencias-Microbiologia; Laboratorio de Microbiología Agrícola, Instituto de Biotecnología, Universidad Nacional de Colombia. Sede Bogotá, Colombia. Universidad Nacional de Colombia Instituto de Biotecnología Universidad Nacional de Colombia Bogotá Colombia
Biólogo, M.Sc. Crop Protection, Ph.D. Coordinador Laboratorio de Microbiología Agrícola, Instituto de Biotecnología, Universi dad Nacional de Colombia. Sede Bogotá, Colombia. Autor de correspondencia: duribev@unal.edu.co Universidad Nacional de Colombia Universi dad Nacional de Colombia Bogotá Colombia

Resumen

El tamo de arroz es uno de los residuos agrícolas lignocelulósicos más abundantes en el planeta, luego de los residuos producidos por los cultivos de maíz y trigo, con una producción mundial estimada de 1000 millones de toneladas según estadísticas de la FAO. En el contexto de la agricultura moderna es determinante lograr un manejo ambientalmente sostenible de este recurso mediante su incorporación al suelo, de tal forma que se logre el reciclaje de nutrientes, evitando la incorporación de patógenos al sistema y la inmovilización de elementos como el nitrógeno por la comunidad microbiana. El objetivo de este trabajo consistió en la evaluación de un inoculo microbiano mixto a partir de productos comerciales basados en hongos del género Trichoderma y bacterias aerobias formadoras de endosporas, con potencial degradador del tamo de arroz, así como el empleo de bacterias promotoras de crecimiento vegetal al momento de la siembra, que pudieran aprovechar los nutrientes del proceso de descomposición del tamo de arroz, potenciando su actividad biológica. Los tratamientos fueron evaluados bajo diferentes relaciones C:N del tamo de arroz que favorecieran el proceso de degradación, mediante la adición de nitrógeno inorgánico. Los resultados del trabajo permitieron identificar que la aplicación de una enmienda de nitrógeno a una relación C:N 35 más una dosis adicional de urea al momento de la siembra de las semillas de arroz, fue el tratamiento más adecuado para potenciar el efecto de los microorganismos e incrementar las variables agronómicas obtenidas mediante un esquema de fertilización convencional del cultivo.

Palabras clave:

Tamo de arroz, relación C:N, Trichoderma spp., reciclaje de nutrientes, promoción de crecimiento vegetal en arroz.

Abstract

Rice straw is one of the most abundant lignocellulosic agricultural residues on the world, after residues produced by maize and wheat crops, with an estimated global production of 1000 million tones according to FAO statistics. In the context of modern agriculture, it is essential to achieve an environmentally sustainable management of this resource, through the incorporation of rice straw into the soil, in order to achieve nutrient recycling avoiding the incorporation of pathogens into the system and the losses of nitrogen due to soil microbial biomass immobilization. In this context, the objective of this work consisted in the evaluation of a mixed microbial inoculum with degrading potential of rice straw from commercial products based on the fungus Trichoderma spp. and aerobic endospore forming bacteria. It was also used a plant growth promoting bacteria at the time of planting, in order to take advantage of nutrients released from RS decomposition and improve its biological activity. These microbial treatments, were evaluated at different concentrations of inorganic nitrogen amendments that allowed different levels of rice straw´s C:N ratio, favoring the degradation process. Overall results allowed to identify that the application of a nitrogen amendment to rice straw up to C:N 35, plus an additional dose of urea at the time of rice seeds planting, was the most adequate treatment to potentiate the effect of the microorganisms and to increase or maintain the agronomic variables obtained through a conventional fertilization management of the crop.

Key words:

Rice straw, C:N ratio, Trichoderma spp, nutrient recycling, rice growth promotion.

Introducción

El arroz es el tercer cultivo en importancia en términos de su producción a nivel mundial. Esto lo convierte a su vez en el cultivo que produce el tercer residuo agrícola de origen lignocelulósico más abundante en el planeta, conocido como tamo de arroz (TA), luego de los residuos generados por los cultivos de maíz y trigo. La producción mundial estimada de TA oscila entre 741-1110 millones de toneladas para el año 2014, según estadísticas de la FAO, considerando que por cada kilogramo de grano cultivado se producen entre 1-1.5 kilogramos de TA (Binod et al., 2010). En Colombia, la producción promedio de este cereal en la última década, según estadísticas de la Federación Nacional de Arroceros (Fedearroz) (http://www.fedearroz.com.co/new/apr_public.php), ha sido de 2`290.997 toneladas en un área aproximada de 488.179 hectáreas, distribuidas en 10,5% en el Caribe húmedo, 11,0% en el Caribe seco, 33,6% en la zona centro del país y 44,8% en los llanos orientales, lo que supone al menos igual producción de TA. La quema de este residuo vegetal en campo es la práctica más empleada a nivel mundial (Mandal et al., 2004; Gadde et al., 2009), sustentada en la eliminación de agentes fitopatógenos (Kadam et al., 2000) y disminución en los tiempos de preparación del terreno (Dobermann & Fairhurst 2002). Sin embargo, la quema de este residuo también conduce a la pérdida significativa de nutrientes valiosos para el establecimiento de nuevos ciclos de cultivo (Eun et al., 2006), biodiversidad, disminución en la formación de agregados, retención de agua y materia orgánica edáfica (Degens et al., 2000), así como a la generación de gases de efecto invernadero nocivos para el ambiente y la salud pública (Dobermann & Fairhurst 2000; Oanh et al., 2015).

En Colombia el cultivo intensivo de arroz ha conducido al deterioro de las propiedades físicas, químicas y biológicas del suelo en las zonas de cultivo, ocasionando descensos significativos en su productividad y en la eficiencia de la fertilización (Fedearroz, 2012; Uribe-Vélez & Melgarejo 2012). Esta situación ha llevado al empleo de grandes cantidades de fertilizantes de síntesis química, lo que representa entre el 14-25% de la inversión total en el cultivo (Espinal et al., 2005; Vallejo et al., 2008). Por otra parte, estadísticas de Fedearroz recopiladas a lo largo de la última década, reflejan un descenso sostenido en la productividad del cultivo de 31.14%, por situaciones tan diversas como el cambio de clima, incidencia de fitopatógenos y costos de producción, asociados entre otras causas a la inversión en los costos de fertilizantes (http://www.fedearroz.co m.co/new/apr_public.php). Algunas alternativas para mitigar dicho deterioro implican el uso de abonos verdes (Pooniya et al., 2012), rotación de cultivos e incorporación de residuos de cosecha (Mandal et al., 2004; Kaewpradit et al., 2009), uso de microorganismos promotores de crecimiento vegetal (MPCVs) (Rodríguez & Fraga 1999; Kennedy et al., 2004; Stephen et al., 2015), y aplicación de microorganismos degradadores de lignocelulosa para aumentar la disponibilidad de nutrientes y reducir el uso de fertilizantes de síntesis química (Garcés & Ospina 2009; Marentes et al., 2012).

El suelo alberga una gran diversidad de microorganismos con potencial agrícola, los cuales facilitan la captación de nutrientes por parte de la planta mediante mecanismos como solubilización de fosfatos (Richardson et al., 2009), mineralización de materia orgánica y fijación de nitrógeno (Degens et al., 2000; Kennedy et al., 2004). La mayoría de estos microorganismos hacen parte de las bacterias promotoras de crecimiento vegetal (BPCVs) que colonizan la rizósfera de las plantas, estimulando su crecimiento y mecanismos de defensa (Kloepper et al., 2004). Algunos trabajos han reportado el uso de inoculantes basados en cepas comerciales de hongos del género Trichoderma, que en cultivos comerciales de arroz han conducido a incrementos en producción entre 1.0 y 1.4 toneladas arroz ha-1, lo cual ha sido asociado, entre otros elementos, al reciclaje de nutrientes como carbono (C) y potasio (K) (Castilla 2012). Estrategias similares han logrado incrementos en producción de hasta 36% en un cultivo comercial de “soca” de arroz, asociado, entre otros factores, al reciclaje de elementos como el fosforo (P) (Marentes et al., 2012). Finalmente, Man & Ha (2006) lograron incrementos en rendimientos de arroz de hasta 37% en época seca y hasta 48% en época húmeda debido al reciclaje de nutrientes e incremento en la actividad microbiana del suelo, cuando se emplearon inoculantes a base de Trichoderma spp. para el compostaje del TA.

Los trabajos anteriormente mencionados ponen en evidencia las ventajas de incorporar el TA para el reciclaje de nutrientes, contribuyendo al crecimiento de la planta, y a la actividad microbiana del suelo. Sin embargo, estos trabajos dejan abierta la posibilidad de optimizar el proceso de degradación del TA mediante la adición de fertilizantes de origen nitrogenado, buscando reducir la alta relación C:N del TA durante el periodo de descomposición, y aumentando el reciclaje de C y la actividad biológica de BPCVs. Por tal motivo, este trabajo fue desarrollado con el objetivo de (i) evaluar el efecto de la incorporación de TA biodegradado en suelo, bajo diferentes proporciones C:N, sobre el desarrollo de plántulas de arroz y (ii) estimar el impacto de esta enmienda orgánica sobre la actividad de BPCVs en plántulas de arroz bajo condiciones de invernadero. Con esta estrategia se busca optimizar el uso de nutrientes por parte de la planta, con el fin de obtener el máximo rendimiento al menor costo económico y ambiental, brindando alternativas al manejo de los residuos de cosecha.

Materiales y Métodos

Microorganismos y establecimiento de inoculantes mixtos

Se empleó la bacteria aerobia formadora de endospora (BAFE) Bacillus pumilus IBUN13A-02, aislada de rizósfera de arroz, registrada en la colección de cepas y genes del Instituto de Biotecnología de la Universidad Nacional de Colombia (código IBUN-02717), y dos productos comerciales del género Trichoderma: Fitotripen® (Trichoderma spp. Natural Control Ltda) y Trichobiol® (Trichoderma lignorum, Biocontrol S.A.S.). Los microorganismos enunciados provienen de procesos de selección mediante tamizaje funcional sobre TA, llevados a cabo en nuestro grupo de investigación. La cepa IBUN13A-02 fue reactivada de -20°C en agar tripticasa soya (Tryptic Soy Agar-Soybean-Casein Digest Agar Medium ®Difco) (TSA) por 48 horas a 28 °C. Posteriormente fue crecida sobre medio sólido para estimular la esporulación sugerido por (Posada-Uribe et al., 2015), con algunas modificaciones: glucosa 3 g L-1, MgSO4.7H2O 0.12 g L-1, KH2PO4 6.8 g L-1, tríptona 7 g L-1, FeSO4.7H2O 0,028 g L-1, ZnSO4.7H2O 0.014 g L-1, CaCl2.2H2O 0.088 g L-1, MnCl2.4H2O 0.02 g L-1 y agar bacteriológico 1 % (p/v). Los cultivos fueron incubados por diez días a 28 °C. Pasado el periodo de incubación, la biomasa fue suspendida en 20mL de solución salina estéril (NaCl 0.85 % (p/v)), calentada a 80 °C por diez minutos y almacenada en frascos ámbar de 50mL a 4 °C. De esta suspensión concentrada, se determinó la concentración y viabilidad celular mediante la técnica de diluciones seriadas y siembra por microgota en cajas de TSA, de acuerdo a la técnica descrita por Bautista et al., (2016). Por otra parte, cada producto comercial de Trichoderma, formulado a una concentración de 1x108 conidios g-1, fueron suspendidos en solución salina para establecer inóculos de trabajo a una concentración de 5x106 conidios mL-1.

Ensayo de degradación del tamo de arroz en cobertura vegetal

El tamo de arroz se obtuvo de la variedad Fedearroz 2000 (F2000), y fue colectado en la vereda Papagala, municipio de Saldaña, departamento de Tolima, Colombia, (3°55′45″N 75°00′56″O). Esta variedad de arroz se caracteriza por presentar mayor adaptación a altas temperaturas en campo y tolerancia a fitopatógenos como Burkholderia glumae, Acidovorax avenae y Pseudomonas fuscovaginae (Castilla et al., 2010). La composición química del TA se describe en la tabla 1 y fue determinada en los Laboratorios de Aguas y Suelos de la Facultad de Ciencias Agrarias, y de Nutrición Animal de la Facultad de Medicina Veterinaria y Zootecnia ambos en la Universidad Nacional de Colombia sede Bogotá. El material vegetal fue cortado en un plano transversal con guillotina a un tamaño de partícula de 5 cm. Diez gramos de TA, dispuestos en la base de recipientes plásticos, fueron suplementados con 0 mg, 85 mg y 170 mg de urea macerada (Ecofertil; 46 % N orgánico), alcanzando proporciones C:N equivalentes a 43, 35 y 23, respectivamente. El cuarto tratamiento consistió en dividir la dosis de urea aplicada en dos aplicaciones: La primera aplicación se efectuó sobre el TA para alcanzar una relación C:N 35 al inicio de la degradación, y la segunda aplicación de urea consistió en adicionar al suelo 85 mg de urea cinco días previos a la siembra de semillas. La dosis total de urea de este tratamiento correspondió a la cantidad de urea de la fertilización convencional que sería aplicada al momento de la siembra.

Tabla 1: Composición de carbono, nitrógeno y fosforo del tamo de arroz var. F2000.

Cada una de las cinco unidades experimentales por tratamiento fueron incubadas a temperatura ambiente (20 ( 2 °C) por 18 h, tiempo después del cual fueron inoculadas con 20 mL de una suspensión microbiana mixta ajustada a una concentración de 5x105 conidios mL-1 de cada producto comercial a base de Trichoderma spp., y 5x105 endosporas mL-1 de la cepa IBUN13A-02. Inmediatamente, el TA fue dispuesto como cobertura vegetal en materas con 1 Kg de suelo mezclado con gravilla y un acondicionador comercial (Terra-Green® Absorbent Granules) (70:25:5). La cantidad de calcio en la mezcla de suelo fue corregida mediante la adición de 1.12 g CaCO3 Kg-1 suelo y la humedad inicial ajustada a capacidad de campo mediante la adición de 200 mL agua. Las características fisicoquímicas del suelo en mezcla, así como los métodos de análisis y rangos de referencia, se encuentran descritos en la tabla 2. Los análisis fueron desarrollados por el Laboratorio de Aguas y Suelos de la Facultad de Ciencias Agrarias de la Universidad Nacional de Colombia. Las unidades experimentales, fueron cubiertas con una bolsa plástica negra y se ubicaron en recipientes individuales de plástico; el ensayo fue incubado bajo condiciones de invernadero a una temperatura de 28±5 °C con una humedad ambiental relativa del 25-40 %, por 20 días. Se realizó riego por aspersión semanalmente en la cobertura vegetal, y se mantuvo la humedad externa en los recipientes de plástico a un volumen definido de 50mL agua. Al término del período de incubación, el TA biodegradado fue incorporado manualmente en el perfil de suelo evitando contaminación cruzada entre tratamientos. Los controles experimentales consistieron en el manejo de TA bajo las tres proporciones C:N propuestas, sin la aplicación de bioinoculantes.

Tabla 2: Características fisicoquímicas del suelo de soporte empleado en los ensayos bajo invernadero.

ns: no solicitado

pH determinado por el método de suspensión suelo:agua (relación peso: volumen 1:1); CE: conductividad eléctrica; CO: Carbono orgánico oxidable; N: Nitrógeno; Ca: Calcio; K: Potasio; Mg: Magnesio; Na: Sodio; CIC: Capacidad de Intercambio Catiónico; CICE: CIC efectiva; Al: Acidez intercambiable; P: Fosforo disponible; S:Azufre disponible; Cu: Cobre; Fe: hierro; Mn: Manganeso; Zn: Zinc; B: Boro; Ar: Arcilla; L:Limo; A:Limo.

Pre-germinación de semillas de arroz

Se realizó un proceso de desinfección superficial de semillas con base en la metodología utilizada por (Vanegas & Uribe-Vélez 2014) con algunas modificaciones. Brevemente, las semillas de arroz (variedad Fedearroz 60) fueron lavadas en 100 mL de agua destilada con aproximadamente un mL de detergente líquido genérico para manos, con el fin de retirar el fungicida adherido a su superficie. Posteriormente, las semillas fueron enjuagadas en 100 mL de agua destilada estéril (ADE), agitando vigorosamente; este procedimiento se repitió tres veces. Luego, las semillas se sumergieron en 100 mL de etanol al 70 % (v/v) durante cinco minutos con agitación constante. Nuevamente, se lavaron tres veces con ADE y se depositaron en 100 mL de hipoclorito al 2 % (v/v) durante seis minutos con agitación constante. Transcurrido este tiempo, las semillas fueron lavadas tres veces con ADE y transferidas a cajas Petri con agar agua donde se dejaron por cuatro días a 25 °C en oscuridad.

Promoción de crecimiento vegetal bajo el estímulo suelo-tamo de arroz

Los ensayos de promoción de crecimiento vegetal se desarrollaron empleando la BPCV B. velezensis IBUN4P-03 aislada de rizósfera de papa, perteneciente a la colección de cepas y genes del Instituto de Biotecnología de la Universidad Nacional de Colombia (código IBUN-02755), seleccionada por presentar los mayores atributos asociados a promoción de crecimiento vegetal en plántulas de arroz (Gómez-Ramírez & Uribe-Vélez, 2016, comunicación personal). Igualmente, se evaluó el producto comercial Nitrobac® (Azotobacter chroococcum, Registro ICA 7806, Agro-Activo), vendido comercialmente como bioinoculante para la fijación de nitrógeno en diferentes cultivos, incluyendo el arroz. Para este propósito se emplearon semillas de arroz F60 pre-germinadas en agar agua durante 5 días, posteriormente las plántulas fueron inoculadas con los microorganismos, ajustados a una concentración de 5x107 UFC mL-1, depositándolas en 10 mL de la suspensión bacteriana por 30 min.

Las semillas fueron sembradas superficialmente en la mezcla de suelo/TA pre-tratado, empleando dos semillas por unidad experimental. Inmediatamente, se realizó un refuerzo de inoculante mediante la adición de 0.5 mL de suspensión bacteriana ajustada a la misma concentración anterior sobre los puntos de siembra. Se permitió el desarrollo de plántulas de arroz por 40 días bajo condiciones de invernadero, a una temperatura de 28±5 °C con una humedad ambiental relativa de 25-40 %, haciendo un único muestreo de todas las réplicas experimentales. Se eliminó la plántula con menor vigor diez días posteriores a la siembra en cada unidad experimental. Se efectuó una ferti-irrigación del suelo cada tres días con 25 mL de solución nutritiva de Hoagland (Hoagland y Arnon, 1950) al 20 % (v/v) modificada, sin fuentes de nitrógeno y fosforo. El volumen y frecuencia de riego se calcularon empleando el software CropWat 8.0 (FAO, Land & Water División), con base en las características del suelo (tabla 2).

Las variables de respuesta evaluadas fueron longitud (cm) y peso seco (g) de vástago y de raíz de las plántulas luego de 40 días de desarrollo. Los controles experimentales consistieron en la eliminación de un factor a la vez. La aplicación conjunta de consorcios microbianos biodegradadores de TA y BPCVs fue controlada mediante la evaluación individual de cada componente (solo consorcio; solo BPCV). El factor proporción C:N del TA fue controlado mediante la evaluación del nivel C:N 43, correspondiente al TA sin adición de una enmienda mineral de urea. Así mismo, se manejó un control experimental interno para cada proporción C:N del TA, sin la adición de bioinoculantes. Finalmente, el manejo global del TA en todos sus factores y niveles, fue contrastado con una de las prácticas convencionales de fertilización en campos de arroz siguiendo las recomendaciones de Jaramillo et al., (2002) (aplicación de una dosis equivalente a 150 kg N ha-1 al momento de la siembra), en ausencia de una enmienda orgánica (TA). En este sentido la dosis de fertilización fue ajustada a las condiciones de microcosmos bajo invernadero, considerando el área de cada matera y la cantidad de suelo empleado (1Kg) ajustando así la dosis de urea y la cantidad de nitrógeno aportada por el tamo de arroz en cada tratamiento. De esta forma para la proporción C:N mas alta (C:N 23) se empleó una cantidad de urea equivalente a la dosis de campo de 150Kg de N ha-1, bajando la dosis de urea hasta alcanzar las proporciones C:N de 35 y 43. La fertilización de potasio (K) y elementos menores se realizó mediante fertirriego empleando una solución de Hoagland libre de N y P como se explicó anteriormente.

Diseño y análisis estadístico

Se manejó un arreglo factorial mediante un diseño completamente aleatorizado. Los resultados globales por experimento fueron analizados empleando el paquete estadístico SAS University Edition®. La normalidad y homocedasticidad de los resultados fueron analizadas empleando las pruebas de Shapiro-Wilk y Levene, respectivamente. Se realizó un análisis de varianza (ANAVA) de una vía y comparación de medias empleando la prueba de rango múltiple de Duncan o Tukey-Kramer para datos paramétricos, o la prueba de Kruskall-Wallis y Kolmogorov para datos no paramétricos, con un nivel de significancia del 5 %.

Resultados y Discusión

La incorporación del TA en suelo es considerada una estrategia para la recuperación de carbono orgánico (Lu et al., 2003), fósforo (Suriyagoda et al., 2014), nitrógeno (Han & He 2010), potasio (Li et al., 2014) y silicio (van Soest 2006), incrementando su disponibilidad y captura por el microbioma edáfico y la planta. En consecuencia, en el presente estudio se planteó la evaluación de diferentes alternativas para lograr el reciclaje de nutrientes asociados al TA, de tal forma que estuvieran disponibles para las plantas del siguiente ciclo de cultivo. Para este fin se evaluó el efecto de la degradación del TA bajo diferentes relaciones C:N empleando enmiendas de microorganismos y fertilización inorgánica de nitrógeno, con miras a optimizar la descomposición del residuo vegetal (figura 1). Además, se buscó estimular el crecimiento de las plantas de arroz, mediante la aplicación de bacterias promotoras de crecimiento vegetal (BPCV), aprovechando los nutrientes que eventualmente pudiesen quedar disponibles durante el proceso de degradación, para potenciar su actividad biológica en aspectos como la solubilización de fosfatos (Richardson et al., 2009), fijación de nitrógeno atmosférico (Ji et al., 2014) o producción de reguladores de crecimiento vegetal (Shao et al., 2015).

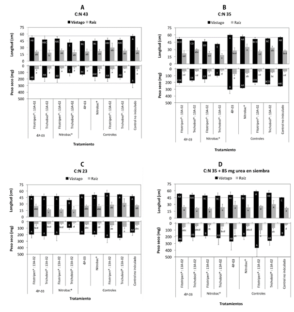
Longitud (panel superior) y peso seco (panel inferior) de vástago y raíz de plántulas de arroz variedad F60 desarrolladas en sustrato TA/suelo bajo diferentes proporciones C:N e inoculantes biológicos. La línea solida negra y punteada gris indican la media del control experimental respectivo (TA no inoculado). (A) C:N 43; (B) C:N 35; (C) C:N 23; (D) C:N 35 + 85 mg urea aplicados al momento de la siembra. Las barras indican la desviación estándar del promedio de cinco replicas experimentales. Letras con el mismo valor indican ausencia de diferencias significativas según prueba de Duncan p>0.05. Las variables no paramétricas, peso raiz C:N 43 y peso vástago C:N 35, fueron analizadas con la prueba de Kruskall-Wallis y comparación de medias estudentizada de Tukey α=0.05.

Figura 1: Longitud (panel superior) y peso seco (panel inferior) de vástago y raíz de plántulas de arroz variedad F60 desarrolladas en sustrato TA/suelo bajo diferentes proporciones C:N e inoculantes biológicos. La línea solida negra y punteada gris indican la media del control experimental respectivo (TA no inoculado). (A) C:N 43; (B) C:N 35; (C) C:N 23; (D) C:N 35 + 85 mg urea aplicados al momento de la siembra. Las barras indican la desviación estándar del promedio de cinco replicas experimentales. Letras con el mismo valor indican ausencia de diferencias significativas según prueba de Duncan p>0.05. Las variables no paramétricas, peso raiz C:N 43 y peso vástago C:N 35, fueron analizadas con la prueba de Kruskall-Wallis y comparación de medias estudentizada de Tukey α=0.05.

El análisis comparativo de los controles experimentales no inoculados bajo cada relación C:N, respecto al manejo convencional (figura 2), sugiere que la no adición de N al sistema (C:N 43), mantiene el crecimiento vegetal en presencia de la incorporación de TA al suelo. Este resultado se evidencia por los valores de 55.0 cm y 23.8 cm para longitud de vástago y raíz, y 263.8 mg y 47,8 mg para peso seco de vástago y raíz, respectivamente, bajo la relación C:N 43, en comparación con el tratamiento convencional (aplicación de una dosis equivalente a 150 kg N. ha-1 al momento de la siembra, sin la incorporación de tamo de arroz), cuyo tratamiento presentó valores de 52.4 cm, 21.3 cm, 233.0 mg y 44.0 mg para para longitud y peso seco de vástago y raíz, respectivamente (figura 2). Estos resultados muestran que la incorporación de TA sin adición de enmiendas, permite mantener una tasa de crecimiento vegetal durante los primeros 40 días de cultivo, lo que sugiere que hay un reciclaje de nutrientes que pueden ser asimilados por la planta, producto de la actividad enzimática presente en las comunidades microbianas “autóctonas” de residuos agrícolas como el TA (Simmons et al., 2014). De hecho, se ha reportado ampliamente que estas comunidades microbianas pueden liberar nutrientes a partir de la producción de complejos multienzimáticos complementarios que permiten degradar los residuos lignocelulósicos eficientemente (Cragg et al., 2015; Jiménez et al., 2017). En este contexto, autores como Mandal et al., (2004), han encontrado que la adición de 10 ton ha-1 de TA al suelo, 4-5 semanas previas al trasplante de las plántulas, equivale a la aplicación basal de 40 Kg ha-1 N en forma de urea, aumentando los niveles de NO3 en 46%, la captura de N en 29% y la productividad de arroz en 37 %, respecto de las quemas del residuo de cosecha a campo abierto.

Efecto de la incorporación de TA en suelo sobre variables agronómicas en plántulas de arroz, bajo diferentes proporciones C:N, sin la aplicación de inoculantes biodegradadores o BPCVs. Las barras indican la desviación estándar del promedio de cinco replicas experimentales. No se encontraron diferencias estadísticamente significativas entre los tratamientos evaluados y el control convencional (fertilización convencional sin adición de tamo de arroz al suelo) según prueba de Dunnett a dos colas con p>0.05.

Figura 2: Efecto de la incorporación de TA en suelo sobre variables agronómicas en plántulas de arroz, bajo diferentes proporciones C:N, sin la aplicación de inoculantes biodegradadores o BPCVs. Las barras indican la desviación estándar del promedio de cinco replicas experimentales. No se encontraron diferencias estadísticamente significativas entre los tratamientos evaluados y el control convencional (fertilización convencional sin adición de tamo de arroz al suelo) según prueba de Dunnett a dos colas con p>0.05.

Una de las principales objeciones por parte de los agricultores para llevar a cabo la incorporación del TA, reside en la inmovilización microbiana de nutrientes, particularmente cuando no hay un periodo de incubación luego de la incorporación del TA en el suelo (Rao & Mikkelsen, 1976). Sin embargo, esta situación fue mitigada en este trabajo mediante la incubación del TA por un periodo de 20 días previo a la siembra. No obstante, la adición de microorganismos degradadores del TA o BPCVs, mostró una tendencia hacia la disminución de valores en las variables agronómicas medidas cuando no se aplicó nitrógeno al sistema (C:N 43), revelando incluso reducciones estadísticamente significativas (α<0.05) cuando se aplicó el consorcio Trichobiol®:IBUN13A-02 en presencia de la BPCV Nitrobac®, o las BPCVs IBUN4P-03 y Nitrobac® solas (figura 1-A). Estos resultados sugieren que, sin la adición de nitrógeno al sistema, los microorganismos empleados como enmiendas para la degradación del TA o la promoción de crecimiento, tienden a competir con la planta por recursos.

Contrario a lo observado en la relación C:N 43, la adición de urea durante la fase de degradación del TA bajo la proporción C:N 35 mostró una mejor respuesta en las variables agronómicas de longitud y peso seco de vástago y raíz cuando se aplicaron las BPCVs IBUN4P-03 o Nitrobac®. En el caso de longitud y peso seco de vástago, se presentaron incrementos del orden de 8.7 % y 3.0 % (longitud), así como 19.4 % y 10.2 % (peso seco) para los tratamientos IBUN4P-03 y Nitrobac®, respectivamente, en comparación con el control experimental (figura 1-B). Por otra parte, la inoculación de semillas con la BPCV Nitrobac® generó incrementos significativos en longitud y peso seco de raíz, con incrementos del orden de 26.7 % y 73.4 %, respectivamente. De forma similar, el empleo individual de la BPCV IBUN4P-03 produjo el peso seco de raíz más alto del ensayo, con un aumento del 106 % en comparación con el control experimental, lo cual es positivo toda vez que sugiere un efecto de promoción de crecimiento vegetal determinado por dicha cepa.

En contraste a lo observado con las BPCV, la aplicación conjunta de consorcios microbianos degradadores de TA y BPCVs en la relación C:N 35, afectó negativamente los incrementos logrados mediante la inoculación individual de consorcios o BPCVs. Por ejemplo, el empleo del consorcio Fitotripen®:IBUN13A-02 y la BPCV IBUN4P-03 generó una reducción no significativa de 14 % y 20.3 % en longitud de vástago y raíz, con resultados similares en la variable de peso seco. Merece la pena resaltar que la aplicación conjunta del consorcio Trichobiol®:IBUN13A-02 y la BPCV Nitrobac®, nuevamente mostró los resultados más bajos del ensayo en la relación C:N 35, con reducciones significativas en la longitud de vástago y raíz, así como en el peso seco de vástago, como ocurrió con la proporción C:N 43 (figura 1-B). Estos resultados sugieren que la incorporación del TA al suelo, previamente ajustado a una relación C:N 35, y luego de un periodo de degradación, deja los nutrientes disponibles para que las BPCV puedan generar el efecto de promoción. Sin embargo, cuando se aplican microorganismos para la degradación del tamo de arroz, posiblemente se genera competencia por nutrientes o nicho ecológico con las BPCVs, evitando que puedan llevar a cabo el efecto de la promoción de crecimiento vegetal.

En relación a este fenómeno, se ha discutido el papel del N como un factor limitante en el ecosistema que genera competencia entre plantas y microorganismos edáficos por el acceso a recursos, propiciando la inmovilización microbiana de nitrógeno y reduciendo el crecimiento de las plantas (Schimel et al., 1989; Liu et al., 2007). En este contexto, Kaewpradit et al. (2009), sugieren que una vez se satisfacen los requerimientos microbianos del N para la síntesis de componentes celulares, se inicia la mineralización de este recurso, dejándolo disponible en el ecosistema para el crecimiento vegetal a través de la re-movilización de N. Sin embargo, en el presente estudio la carga microbiana generada por los consorcios de degradación, particularmente bajo la relación C:N 35, pudo ocasionar un proceso de asimilación de nutrientes más intenso llevando a una disponibilidad menor de N para la planta, al menos durante la ventana de evaluación de este estudio. La ventana de observación es importante en este tipo de análisis, ya que autores como Norby & Cotrufo (1998), Joergensen & Emmerling (2006), y Robertson & Vitousek (2009), consideran que la inmovilización microbiana de N y P retiene estos elementos en el suelo, pero los vuelven disponibles para la planta más adelante durante el ciclo de cultivo.

El análisis de las proporciones C:N 43 y C:N 35 para los tratamientos inoculados con BPCVs, sin la aplicación de consorcios microbianos biodegradadores, permitió identificar un incremento de 35.6 % en longitud de vástago, así como de 134.2 % y 206.0 % en peso seco de vástago y raíz, cuando el TA es suplementado con urea hasta una relación C:N 35 y las semillas de arroz inoculadas con la BPCV IBUN4P-03 (figuras 1-A y 1-B). De forma similar, la inoculación de semillas con la BPCV Nitrobac® mostró un aumento de 26.8 % y 58.4 % en longitud de vástago y raíz, así como de 71.2 % y 39.0 % en peso seco de vástago y raíz, en comparación con el mismo tratamiento biológico bajo la proporción C:N 43. Estos incrementos superaron los resultados obtenidos en la C:N 23 (figura 1-C), cuando se aplicó el 100 % de la fertilización nitrogenada recomendada a los agricultores al momento de la siembra (Jaramillo et al., 2002), indicando la importancia de seleccionar las relaciones C:N más idóneas para que el sistema en su conjunto pueda expresar de forma más adecuada el potencial de promoción sobre las plantas de arroz.

El manejo biológico del TA se ha visto limitado por la alta relación C:N del residuo vegetal y su alto contenido de ligninas y sílice (van Soest 2006). Varios trabajos han buscado optimizar este proceso mediante el establecimiento de consorcios microbianos entre cepas de Trichoderma spp. por su capacidad para secretar altas cantidades de endo y exoglicosidasas (Kumar et al., 2008). Otros autores han evaluado el uso de basidiomicetos (Belal & El-Mahrouk 2010) o bacterias de los géneros Bacillus (Lu & Zhou 2011) y Pseudomonas (Zhang et al. 2009), con actividades enzimáticas complementarias, con el objeto de optimizar el proceso de degradación del TA. Trabajos como el de Kausar et al. (2010), han demostrado efectos significativos en reducción de fibras constitutivas del residuo de cosecha al término de un mes de tratamiento, así como incrementos en el contenido de N total en el tamo, tras el empleo de consorcios lignocelulolíticos, factor que podría ser determinante en el estímulo positivo sobre el crecimiento de plántulas de arroz observado en este trabajo. Otras experiencias como las de Man & Ha (2006), y Castilla (2012) reportan efectos positivos de la aplicación de hongos del genero Trichoderma en las prácticas de manejo del TA en conjunto con una fertilización mineral del 50 % de NPK, en variables como porcentaje de materia orgánica, biomasa microbiana y concentración de proteínas en el suelo, así como plántulas de arroz de mayor altura, vigor, consistencia y rendimiento.

En este trabajo la adición de urea al sistema de degradación hasta la proporción C:N 35, estabilizó la respuesta de las BPCVs en relación a los controles experimentales, sin diferencias significativas para las variables longitud y peso seco de vástago. Sin embargo, el tratamiento conjunto del consorcio Trichobiol®:IBUN13A-02 y Nitrobac® mostró las variables de respuesta más bajas del ensayo con diferencias significativas en términos de longitud y peso seco de vástago y raíz, similar al tratamiento Trichobiol®:IBUN13A-02 + IBUN4P-03, que también mostró disminuciones significativas en términos de longitud de raíz (figuras 1-C). Por otra parte, merece mencionar que el empleo individual del consorcio Trichobiol®:IBUN13A-02, sin la adición de BPCVs en semilla, generó los mayores niveles de longitud y peso seco de vástago y raíz, similares al tratamiento control. Estos resultados sugieren que el empleo de la estrategia conjunta del consorcio de degradación en asocio con las BPCV no genera las mejores respuestas, al menos bajo las condiciones experimentales de este estudio.

La cuarta estrategia de manejo del TA (C:N 35 + 85 mg de urea), consistió en el fraccionamiento de la dosis de nitrógeno empleada en el ajuste C:N 23 en dos aplicaciones, 50% sobre el TA y 50% sobre el suelo, cinco días previos a la siembra. Es importante anotar que esta estrategia de manejo, mostró consistencia respecto a las demás relaciones C:N evaluadas en cuanto al estímulo positivo del desarrollo de plántulas de arroz (figuras 5 y 6). Bajo estas condiciones, nuevamente el tratamiento biológico Fitotripen®:IBUN13A-02, sin la adición de BPCVs, generó incrementos de 30.2 % y 19.4 % en longitudes de vástago y raíz, así como 98.2 % y 355.8 % en peso seco de vástago y raíz, respectivamente, en comparación con el control experimental (tratamiento con la aplicación de relación C:N 35 más una dosis similar de N a la siembra). Resultados similares, aunque menos marcados, se obtuvieron con el tratamiento Trichobiol®:IBUN13A-02 (figuras 1-D). Merece destacar que la aplicación del consorcio Fitotripen®:IBUN13A-02 con la BPCV IBUN4P-03, también presentó valores mayores de longitud de vástago y peso seco de raíz, en comparación con el control experimental. Es importante anotar que al hacer un análisis de los diferentes consorcios de degradación en presencia de ambas BPCV, el único tratamiento que consistentemente incremento las variables agronómicas medidas en este estudio fue el tratamiento de la proporción C:N 48 + Urea (figura 5 y 6). A pesar que algunos de estos valores no son estadísticamente significativos, este resultado es muy importante ya que una de las grandes limitaciones dentro del proceso de descomposición del TA reside en identificar la relación C:N inicial adecuada (Zhu, 2007), de tal forma que se pueda evitar una competencia de nutrientes entre plantas y comunidad microbiana que afecte negativamente el desarrollo de las plantas (Liu et al., 2007; Kaewpradit et al., 2009). Incluso, Mandal et al. (2004), reportan un efecto positivo de la adición de una enmienda mineral de N al TA en bajas proporciones (15-20 Kg amonio o urea ha-1) días previos al trasplante, hecho que podría explicar la tendencia positiva en el desarrollo de plántulas reportada en este trabajo.

Efecto de la inoculación de semillas de arroz con BPCVs, sembradas en sustrato tamo/suelo bajo diferentes proporciones C:N, sobre variables agronómicas en plántulas de arroz. No se aplicaron consorcios microbianos biodegradadores sobre el tamo de arroz en ninguno de los tratamientos evaluados. Los datos provienen del promedio de cinco replicas experimentales. Los (*) indican diferencias estadísticamente significativas entre los tratamientos evaluados y el control convencional (fertilización convencional sin adición de tamo de arroz al suelo) según prueba de Dunnett a dos colas con p<0.05. La variable no paramétrica peso de raíz fue analizada con la prueba de rangos de Kruskall-Wallis y comparación de medias estudentizada de Tukey 𝛼=0.05.

Figura 3: Efecto de la inoculación de semillas de arroz con BPCVs, sembradas en sustrato tamo/suelo bajo diferentes proporciones C:N, sobre variables agronómicas en plántulas de arroz. No se aplicaron consorcios microbianos biodegradadores sobre el tamo de arroz en ninguno de los tratamientos evaluados. Los datos provienen del promedio de cinco replicas experimentales. Los (*) indican diferencias estadísticamente significativas entre los tratamientos evaluados y el control convencional (fertilización convencional sin adición de tamo de arroz al suelo) según prueba de Dunnett a dos colas con p<0.05. La variable no paramétrica peso de raíz fue analizada con la prueba de rangos de Kruskall-Wallis y comparación de medias estudentizada de Tukey 𝛼=0.05.

Efecto de la incorporación de tamo de arroz pre-tratado con consorcios microbianos biodegradadores bajo diferentes proporciones C:N, en suelo, sobre variables agronómicas en plántulas de arroz, en ausencia de BPCVs. Los datos provienen del promedio de cinco replicas experimentales. Los (*) indican diferencias estadísticamente significativas entre los tratamientos evaluados y el control convencional (fertilización convencional sin adición de tamo de arroz al suelo) según prueba de Dunnett a dos colas con p<0.05. La variable no paramétrica peso de raíz fue analizada con la prueba de rangos de Kruskall-Wallis y comparación de medias estudentizada de Tukey 𝛼=0.05.

Figura 4: Efecto de la incorporación de tamo de arroz pre-tratado con consorcios microbianos biodegradadores bajo diferentes proporciones C:N, en suelo, sobre variables agronómicas en plántulas de arroz, en ausencia de BPCVs. Los datos provienen del promedio de cinco replicas experimentales. Los (*) indican diferencias estadísticamente significativas entre los tratamientos evaluados y el control convencional (fertilización convencional sin adición de tamo de arroz al suelo) según prueba de Dunnett a dos colas con p<0.05. La variable no paramétrica peso de raíz fue analizada con la prueba de rangos de Kruskall-Wallis y comparación de medias estudentizada de Tukey 𝛼=0.05.

Efecto del consorcio microbiano Fitotripen®:IBUN13A-02 sobre TA bajo diferentes proporciones C:N, y estímulo de esta enmienda orgánica sobre el desarrollo de plántulas de arroz inoculadas en semilla con BPCVs. Las barras indican la desviación estándar del promedio de cinco replicas experimentales. Letras con el mismo valor indican ausencia de diferencias significativas según prueba de Duncan p<0.05. Las variables no paramétricas peso y longitud de raíz fueron analizadas con la prueba de rangos de Kruskall-Wallis y comparación de medias estudentizada de Tukey 𝛼=0.05.

Figura 5: Efecto del consorcio microbiano Fitotripen®:IBUN13A-02 sobre TA bajo diferentes proporciones C:N, y estímulo de esta enmienda orgánica sobre el desarrollo de plántulas de arroz inoculadas en semilla con BPCVs. Las barras indican la desviación estándar del promedio de cinco replicas experimentales. Letras con el mismo valor indican ausencia de diferencias significativas según prueba de Duncan p<0.05. Las variables no paramétricas peso y longitud de raíz fueron analizadas con la prueba de rangos de Kruskall-Wallis y comparación de medias estudentizada de Tukey 𝛼=0.05.

El análisis comparativo entre el tratamiento de fertilización convencional y los tratamientos descritos en la figura 1, en rasgos generales no mostraron efectos significativos con los tratamientos empleados para crecer las plantas de arroz a las diferentes dosis de N (diferentes relaciones C:N), usadas al momento de la degradación del tamo de arroz (figuras 2-6), con algunas excepciones que se describen a continuación. En la inoculación de BPCVs en semillas de arroz, sin la aplicación de biodegradadores del tamo, no se encontraron diferencias estadísticamente significativa con la excepción del tratamiento IBUN4P03 en la relación C:N43 en la que se evidenciaron diferencias estadísticamente significativas en relación con el tratamiento convencional, en términos de la longitud (incremento) y peso seco (disminución) del vástago. Así mismo, el tratamiento Nitrobac® en la relación C:N35 mostró un incremento estadísticamente significativo para la longitud de raíz (figura 3). La aplicación de la cepa IBUN4P03 permitió un incrementó en 13.5 % la longitud de vástago, así como 30.5 % en longitud de raíz, respectivamente, aunque sin diferencias estadísticas en las variables de respuesta evaluadas.

Efecto del consorcio microbiano Trichobiol®:IBUN13A-02 sobre tamo de arroz bajo diferentes proporciones C:N, y estímulo de esta enmienda orgánica sobre el desarrollo de plántulas de arroz inoculadas en semilla con BPCVs. Las barras indican la desviación estándar del promedio de cinco replicas experimentales. Letras con el mismo valor indican ausencia de diferencias significativas según prueba de Duncan p<0.05. Las variables no paramétricas peso de raíz y peso de vástago fueron analizadas con la prueba de rangos de Kruskall-Wallis y comparación de medias estudentizada de Tukey 𝛼=0.05.

Figura 6: Efecto del consorcio microbiano Trichobiol®:IBUN13A-02 sobre tamo de arroz bajo diferentes proporciones C:N, y estímulo de esta enmienda orgánica sobre el desarrollo de plántulas de arroz inoculadas en semilla con BPCVs. Las barras indican la desviación estándar del promedio de cinco replicas experimentales. Letras con el mismo valor indican ausencia de diferencias significativas según prueba de Duncan p<0.05. Las variables no paramétricas peso de raíz y peso de vástago fueron analizadas con la prueba de rangos de Kruskall-Wallis y comparación de medias estudentizada de Tukey 𝛼=0.05.

Las comparaciones contra el control experimental C:N 35, permitieron identificar aumentos de 19.4 % y 106.6 % para peso seco de vástago y raíz, respectivamente, cuando las semillas son inoculadas con la BPCV IBUN4P-03 (figura 3). Por otra parte, la aplicación de Nitrobac® incrementó casi todas las variables de crecimiento de las plántulas con respecto al tratamiento convencional, aunque únicamente presentó diferencias estadísticas en longitud de raíz (C:N 35), donde el incremento fue del 64.3 % (figura 3). Igualmente, el tratamiento con Nitrobac® incrementó todas las variables de crecimiento comparado con el tratamiento control C:N 35, aunque en las demás proporciones C:N, no se observó un efecto importante de la aplicación de BPCVs. Estos resultados indican que los promotores empleados a las diferentes relaciones C:N, aportan una cantidad de nutrientes, posiblemente N, dada la respuesta diferencial en relación con las dosis evaluadas de este compuesto, similar o en algunas ocasiones mejor a la aportada por la fertilización convencional, sugiriendo que la aplicación de la enmienda del tamo de arroz sola o junto con la aplicación de una BPCV, pueden sostener el crecimiento de las plántulas de arroz en niveles similares al tratamiento convencional.

El empleo de consorcios microbianos biodegradadores de TA en ausencia de BPCVs, generó efectos significativos sobre el crecimiento vegetal. En este sentido, merece destacar el consorcio conformado por Fitotripen®:IBUN13A-02, el cual incrementó significativamente el peso seco de las raíces de plántulas comparado con el tratamiento convencional, con un valor de 103.3 mg usando una relación C:N 35 + 85 mg de urea (figura 4). Éste mismo consorcio incrementó la longitud y el peso seco del vástago de las plántulas respecto al tratamiento convencional usando la misma proporción C:N, aunque estos incrementos no fueron significativos. Por su parte, el consorcio Trichobiol®:IBUN13A-02, incrementó significativamente la longitud de las raíces de las plántulas en un 58.6% usando una relación C:N 35, comparado con el tratamiento convencional (figura 4). Estos hallazgos concuerdan con lo reportado por Marentes et al. (2012), quienes encontraron efectos significativos en la aplicación de diferentes tratamientos al tamo de arroz, basados en un producto comercial de Trichoderma spp. y diferentes BPCV obteniendo incrementos en rendimientos hasta un 36%, lo cual podría explicarse en función de la degradación de fibras constitutivas del residuo de cosecha como lo reportaron Kausar y colaboradores (2010) quienes encontraron efectos significativos en la degradación de fibras y disponibilidad de N al emplear consorcios de microorganismos lignocelulolíticos para la degradación de TA.

La aplicación conjunta de consorcios y promotores de crecimiento vegetal no generó incrementos significativos en las variables de crecimiento evaluadas, en comparación con el tratamiento convencional, con excepción del tratamiento Trichobiol®:IBUN13A-02 + BPCV IBUN4P-03 C:N 35, que incrementó la longitud de las raíces de las plántulas en un 42.7% (figura 6). Por otra parte, se pudo evidenciar una disminución significativa en el crecimiento de plántulas sometidas al tratamiento Fitotripen®:IBUN13A-02 + BPCV Nitrobac® bajo las relaciones C:N 35 y 23 en comparación con los controles C:N respectivos, en términos de longitud y peso seco de vástago y longitud de raíz (figura 5). De forma similar, el empleo conjunto del consorcio Fitotripen®:IBUN13A-02 con la BPCV IBUN4P-03 a una dosis C:N 35 + 85 mg de urea, mostró incrementos significativos de 18.4% y 155.5% en longitud de vástago y peso seco de raíz, respectivamente, contra el control C:N correspondiente (figura 5).

Por otra parte, el empleo del consorcio Trichobiol®:IBUN13A-02 con cada uno de las BPCVs, produjo reducciones en la mayoría de las variables evaluadas en las proporciones C:N 43, C:N 35 y C:N 23, en comparación con los controles respectivos (figura 6). El empleo conjunto del consorcio Trichobiol®:IBUN13A-02 con la BPCV Nitrobac® en ausencia de urea (C:N 43), generó reducciones significativas en longitud de vástago de 22.5 %, así como 53.9 % y 46.6 % en peso seco de vástago y raíz, respectivamente, en comparación con el tratamiento convencional. Resultados similares se obtuvieron para los mismos bioinoculantes bajo una relación C:N 23, correspondiente a la máxima dosis de urea adicionada al sistema (figura 6). En contraste, la aplicación del consorcio Trichobiol®:IBUN13A-02 con la BPCV IBUN4P-03 bajo la proporción C:N 35 fue el único tratamiento en mostrar aumento significativo en longitud de raíz, del orden de 43.1 %, respecto a la práctica convencional de fertilización (figura 6).

Finalmente, merece mencionar que las características fisicoquímicas del suelo empleado en este trabajo (tabla 2), se encontraron valores altos de carbono orgánico (15,4 %) y N (0.72 %), esenciales para la actividad biológica del suelo, ya que proporciona recursos energéticos fácilmente asimilables (Martínez et al., 2008). Incluso, Garcés & Ospina (2009) resaltan la importancia de la incorporación de material orgánico al suelo, para favorecer la acumulación de carbono orgánico y el establecimiento de comunidades microbianas implicadas en los procesos de descomposición de los residuos de cosecha. Por otra parte, la textura franco-arenosa del suelo bajo estudio, probablemente favoreció el desarrollo radical de las plántulas de arroz evitando el estrés por compactación del sustrato. Este suelo arenoso implica una menor tasa de retención de agua y humedad, indispensable para favorecer la actividad microbiana y la degradación del TA (Garcés & Ospina 2009), sin embargo, esto fue contrarestado por la aplicación de fertirriego durante el desarrollo del experimento. Estas consideraciones, son relevantes al momento de llevar a cabo la aplicación de la incorporación del tamo de arroz bajo condiciones de campo, toda vez que ha sido documentado el efecto del tipo de suelo, sobre la actividad microbiana de diferentes grupos funcionales en los ecosistemas arroceros del país, particularmente de la región del Tolima y Meta, que son las principales áreas productoras en Colombia (Uribe-Vélez & Melgarejo 2012).

Conclusiones

La incorporación del TA en el suelo, es una estrategia de manejo ambientalmente sostenible, que permite el reciclaje de los nutrientes asociados a este residuo agrícola para el siguiente ciclo de cultivo, evitando así la emisión de gases de efecto invernadero al ambiente producto de la quema convencional del TA. Esta estrategia de manejo supone una serie de limitaciones para su ejecución como son: la incorporación de eventuales microorganismos patógenos al sistema provenientes del cultivo anterior y la generación de competencia por nitrógeno entre la comunidad microbiana del suelo y las plantas del siguiente cultivo, debido a la alta relación C:N del TA. El desarrollo de este trabajo permitió identificar la relación C:N 48 en conjunto con la adición de 85 mg urea al momento de la siembra (equivalente a aplicar la dosis convencional de 150 kg N ha-1, fraccionada en dos momentos de aplicación), como el tratamiento más adecuado, en donde los consorcios microbianos y promotores de crecimiento vegetal, lograron mantener o mejorar las variables agronómicas de crecimiento de las plántulas de arroz. El hecho de que los consorcios estén basados en productos comerciales de microorganismos del genero Trichoderma spp., permite pensar en un doble propósito al mantener las buenas condiciones agronómicas del cultivo, y mantener un buen estado fitosanitario del mismo, hipótesis actualmente evaluada por nuestro grupo de investigación bajo condiciones de campo. Finalmente, merece mencionar que sería deseable verificar el efecto obtenido, particularmente de promoción de crecimiento de la cepa 4P03 en otras variedades de arroz, dado que es conocido un efecto varietal en este tipo de interacciones con promotores de crecimiento vegetal (Kuzmicheva et al., 2017).

Acknowledgements

Agradecimientos

Los autores agradecen la financiación de este trabajo por el Departamento Administrativo de Ciencia, Tecnología e Innovación de Colombia (COLCIENCIAS) en el marco del proyecto de investigación código 0145-2013, así como la beca otorgada a Carlos A. Cruz. R. para adelantar estudios de Doctorado en Colombia. Agradecimientos a la Dirección de Extensión e Investigaciones Sede Bogotá de la Universidad Nacional de Colombia (DIEB) por la financiación del proyecto 19976, y a Fedearroz por el suministro de semilla certificada variedad F60.

Referencias bibliográficas

  1. Bashan, Y., & Luz E., De-Bashan. (2010). How the plant growth-promoting bacterium Azospirillum promotes plant growth-A critical assessment. Advances in Agronomy, 108,77-136. Cambridge MA, USA: Elsevier Inc. 🠔
  2. Bautista, J.P., Barbosa, H., & Uribe-Vélez, D. (2016). Prototipo de formulación a base de Rhodotorula mucilaginosa para el control de Botrytis cinerea en Rosas. Revista Colombiana de Biotecnologia, 18(2),13-23. 🠔
  3. Belal, E.B., & El-Mahrouk, M.E. (2010). Solid-state fermentation of rice straw residues for its use as growing medium in ornamental nurseries. Acta Astronautica, 67(9),1081-1089. 🠔
  4. Binod, P., Sindhu, R., Singhania, R. R., Vikram, S., Devi, L.,. Nagalakshmi, S., …& Pandey, A. (2010). Bioethanol production from rice straw: An overview. Bioresource Technology, 101(13),4767-4774. 🠔
  5. Castilla, A. (2012). Manejo productivo de los residuos de la cosecha de arroz. Revista Arroz, 60(500), 10-17. 🠔
  6. Castilla, L. A., Pineda, D., Ospina J., Echeverry, J., Parafan, R., Garces, G., ... & Diaz, A. (2010). Cambio climático y producción de arroz. Revista Arroz, 58(489), 4-11. 🠔
  7. Cragg, S. M., Beckham, G. T., Bruce, N. C., Bugg, T. D.H., Distel, D. L., Dupree, P., … & Zimmer, M. (2015). Lignocellulose degradation mechanisms across the Tree of Life. Current Opinion in Chemical Biology, 29, 108-119. 🠔
  8. de Souza, R., Beneduzi, A., Ambrosini, A., Beschoren da Costa, P., Meyer, J., Vargas, L. K., … & Passaglia, L. M. P. (2013). The effect of plant growth-promoting rhizobacteria on the growth of rice (Oryza sativa L.) cropped in southern Brazilian fields. Plant and Soil, 366(1-2), 585-603. 🠔
  9. Degens, B.P., Schippera, L. A., Sparlinga, G. P., & Vojvodic-Vukovica, M. (2000). Decreases in organic C reserves in soils can reduce the catabolic diversity of soil microbial communities. Soil Biology and Biochemistry, 32(2),189-196. 🠔
  10. Devêvre, O.C. & Horwáth W.R. (2000). Decomposition of rice straw and microbial carbon use efficiency under different soil temperatures and moistures. Soil Biology and Biochemistry, 32(11-12): 1773-1785. 🠔
  11. Dobermann, A., & Fairhurst, T.H. (2000). Rice: Nutrient Disorders & Nutrient Management First edit. T. S. Chee, ed., Philippines: International Plant Nutrition Institute. p 191. 🠔
  12. Dobermann, A., & Fairhurst, T.H. (2002). Rice Straw Management. Better Crops International, 16, 7-11. 🠔
  13. Espinal, C.F., Covaleda, H.M., & Gaitán, X.A. (2005). La cadena de arroz en Colombia: Una mirada de su estructura global y dinamica 1991-2005. Documento sde trabajo 52. Ministerio de Agricultura y Desarrollo Rural. Observatorio de Agrocadenas Colombia. p 40. 🠔
  14. Eun, J.S., Beauchemina, K.A., Hongb, S.-H., & Bauerc, M.W. (2006). Exogenous enzymes added to untreated or ammoniated rice straw: Effects on in vitro fermentation characteristics and degradability. Animal Feed Science and Technology, 131(1-2), 87-102. 🠔
  15. Fedearroz. (2012). Arroz: 60 años. Edición Especial. Revista Arroz, 60,12-23. 🠔
  16. Gadde, B., Menke, C., & Wassmann, R. (2009). Rice straw as a renewable energy source in India, Thailand, and the Philippines: Overall potential and limitations for energy contribution and greenhouse gas mitigation. Biomass and Bioenergy, 33(11),1532-1546. 🠔
  17. Garces, G ., & Ospina, J.O. (2009). Estrategias para el aprovechamiento de los residuos de cosecha del arroz. Correo: Boletin Informativo de la Federación Nacional de Arroceros, 217, 4-5. 🠔
  18. Han, W. & He, M. (2010). Short-term effects of exogenous protease application on soil fertility with rice straw incorporation. European Journal of Soil Biology, 46(2), 144-150. 🠔
  19. Hoagland, D.R., & Arnon, D.I. (1950). The water-culture method for growing plants without soil. California Agricultural Experiment Station Circular, Berkeley. 🠔
  20. Jaramillo, S., Pulver, E., & Duque, M.C. (2002). Efecto del Manejo de la Fertilización Nitrogenada en Arroz de Riego, sobre la Expresión del Potencial de Rendimiento de Líneas Elite y Cultivares Comerciales. (en línea). Consultado 12 nov. 2016. Disponible en: Disponible en: http://www.ceniap.gov.ve/publica/divulga/fd36/texto/cultivodelarroz.html [URL] 🠔
  21. Ji, S.H., Gururani, M.A., & Chun, S.C. (2014). Isolation and characterization of plant growth promoting endophytic diazotrophic bacteria from Korean rice cultivars. Microbiological Research, 169(1), 83-98. 🠔
  22. Jiménez, D.J., Dini-Andreote, F., De Angelis, K.M., Singer, S.W., Salles, J.F., & van Elsas, J.D. (2017). Ecological insights into the dynamics of plant biomass- degrading microbial consortia. Trends in Microbiology, 25(10), 1-9. 🠔
  23. Joergensen, R.G. & Emmerling, C. (2006). Methods for evaluating human impact on soil microorganisms based on their activity, biomass, and diversity in agricultural soils. Journal of Plant Nutrition and Soil Science, 169(3), 295-309. 🠔
  24. Kadam, K.L., Forrest, L.H., & Jacobson, J.A. (2000). Rice straw as a lignocellulosic resource: Collection, processing, transportation, and environmental aspects. Biomass and Bioenergy, 18(5), 369-389. 🠔
  25. Kaewpradit, W., Toomsan, B., Cadisch, G., Vityakon, P., Limpinuntana, V., Saenjan, P., … & Patanothai, A. (2009). Mixing groundnut residues and rice straw to improve rice yield and N use efficiency. Field Crops Research, 110(2), 130-138. 🠔
  26. Kausar, H. Sariah, M., Mohd, S. H., Zahangir, A. M., & Razi, I. M. (2010). Development of compatible lignocellulolytic fungal consortium for rapid composting of rice straw. International Biodeterioration and Biodegradation, 64(7), 594-600. 🠔
  27. Kennedy, I.R., Choudhury, A.T.M.A., & Kecskés, M.L. (2004). Non-symbiotic bacterial diazotrophs in crop-farming systems: Can their potential for plant growth promotion be better exploited? Soil Biology and Biochemistry, 36(8),1229-1244. 🠔
  28. Kloepper, J.W. (2004). Induced systemic resistance and promotion of plant growth by Bacillus spp. Phytopathology, 94(11) , 1259-1266. 🠔
  29. Kumar, R., Singh, S., & Singh, O. (2008). Bioconversion of lignocellulosic biomass: biochemical and molecular perspectives. Journal of Industrial Microbiology and Biotechnology, 35(5),377-391. 🠔
  30. Kuzmicheva, Y., Shaposhnikov, A., Petrova, S., Makarova, N., Tychinskaya, I., Puhalsky, J., … & Belimov, A. (2017). Variety specific relationships between effects of rhizobacteria on root exudation, growth and nutrient uptake of soybean. Plant and Soil, 419(1/2), 83-96. https://doi.org/10.1007/s11104-017-3320-z. [URL] 🠔
  31. Li, J. , Lu, J., Li, X., Ren, T., Cong, R., & Li, Z. (2014). Dynamics of potassium release and adsorption on rice straw residue. PLoS ONE, 9(2), 1-9. 🠔
  32. Liu, S., Nie, X.-T., Dai, Q., Huo, Z., & Xu, K. (2007). Effect of interplanting with zero tillage and straw manure on rice growth and rice quality. Rice Science, 14(3),204-210. 🠔
  33. Lu, J., & Zhou, P. (2011). Optimization of microwave-assisted FeCl3 pretreatment conditions of rice straw and utilization of Trichoderma viride and Bacillus pumilus for production of reducing sugars. Bioresource Technology, 102(13), 6966-6971. 🠔
  34. Lu, Y., Watanabe, A. & Kimura, M. (2003). Carbon dynamics of rhizodeposits, root- and shoot-residues in a rice soil. Soil Biology and Biochemistry, 35(9), 1223-1230. 🠔
  35. Man, L.H., & Ha, N.N. (2006). Effect of decomposed rice straw at different times on rice yield. Omonrice, 14,58-63. 🠔
  36. Mandal, K.G., Misra, A. K., Hati, K. M., Bandyopadhyay, K. K., Ghosh, P. K., & Mohanty, M. (2004). Rice residue- management options and effects on soil properties and crop productivity. Food Agriculture and Environment, 2(1),224-231. 🠔
  37. Marentes, F., Vanegas, J., Luna, J.N., & Uribe-Vélez, D. (2012). Evaluación en campo de microorganismos promotores del crecimiento y celulolíticos. In Ecología de microorganismos rizosféricos asociados a cultivos de arroz de Tolima y Meta. Bogotá: Editorial Universidad Nacional de Colombia. p190. 🠔
  38. Martínez, E., Fuentes, J.P., & Acevedo, E. (2008). Carbono orgánico y propiedades del suelo. Revista de la Ciencia del Suelo y Nutrición Vegetal, 8(1), 68-96. 🠔
  39. Norby, R.J., & Cotrufo, M.F. (1998). A question of litter quality. Nature, 396,12-13. 🠔
  40. Oanh, N.T. K., Tipayarom, A., Bich, T. L., Tipayarom, D., Simpson, C. D., Hardie, D., … & Liu, L.-J. (2015). Characterization of gaseous and semi-volatile organic compoundsemitted from field burning of rice straw. Atmospheric Environment, 119,182-191. 🠔
  41. Pooniya, V., Singh, Y., Anuj, R. S., Nainb, L., & Prasanna, R. (2012). Enhancing soil nutrient dynamics and productivity of Basmati rice through residue incorporation and zinc fertilization. European Journal of Agronomy, 41,28-37. 🠔
  42. Posada-Uribe, L.F., Romero-Tabarez, M., & Villegas-Escobar, V. (2015). Effect of medium components and culture conditions in Bacillus subtilis EA-CB0575 spore production. Bioprocess and Biosystems Engineering,38(10), 1879-1888. 🠔
  43. Rao, D.N., & Mikkelsen, D.S. (1976). Effect of rice Straw incorporation on rice plant growth and nutrition. Agronomy Journal, 68,752-759. 🠔
  44. Richardson, A.E., Barea, J.M., McNeill, A.M., & Prigent-Combaret, C. (2009). Acquisition of phosphorus and nitrogen in the rhizosphere and plant growth promotion by microorganisms. Plant and Soil, 321(1-2), 305-339. 🠔
  45. Robertson, G.P., & Vitousek, P.M. (2009). Nitrogen in agriculture: balancing the cost of an essential resource. Annual Review of Environment and Resources, 34(1), 97-125. 🠔
  46. Rodríguez, H., & Fraga, R. (1999). Phosphate solubilizing bacteria and their role in plant growth promotion. Biotechnology Advances, 17(4-5), 319-339. 🠔
  47. Schimel, J.P., Jackson, L.E., & Firestone, M.K. (1989). Spatial and temporal effects on plant-microbial competition for inorganic nitrogen in a california annual grassland. Soil Biology and Biochemistry, 21(8), 1059-1066. 🠔
  48. Shao, J., Xu, Z., Zhang, N., Shen, Q., & Zhang, R. (2015). Contribution of indole-3-acetic acid in the plant growth promotion by the rhizospheric strain Bacillus amyloliquefaciens SQR9. Biology and Fertility of Soils, 51(3),321-330. 🠔
  49. Simmons, R., D’haeseleer, P., Khudyakov, J., Konstantinos, B., Pati, A., Simmons, B. A., Singer, S. W., … & Vander-Gheynst, J. S. (2014). Metatranscriptomic analysis of lignocellulolytic microbial communities involved in high-solids decomposition of rice straw. Biotechnology of Biofuels, (7), 495. 🠔
  50. Stephen, J., Shabanamol, S., Rishad, K. S., & Jisha, M. S. (2015). Growth enhancement of rice (Oryzasativa) by phosphate solubilizing Gluconacetobacter sp. (MTCC 8368) and Burkholderia sp. (MTCC 8369) under greenhouse conditions. 3 Biotech, 5, 831-837. 🠔
  51. Suriyagoda, L., de Costa, W.A.J.M. & Lambers, H. (2014). Growth and phosphorus nutrition of rice when inorganic fertiliser application is partly replaced by straw under varying moisture availability in sandy and clay soils. Plant and Soil, 384(1-2), 53-68. 🠔
  52. Uribe-Vélez, D., & Melgarejo, L.M. (2012). Ecología de microorganismos rizosfericos asociados a cultivos de arroz de Tolima y Meta D. U. Vélez & L. M. Melgarejo, eds., Bogotá, Colombia: Editorial Universidad Nacional de Colombia. p190. 🠔
  53. Vallejo, M.M., Bonilla, C.R., & Castilla, A. (2008). Evaluación de la asociación bacterias fijadoras de nitrógeno-léneas interespecíficas de arroz-nitrógeno, en Typic haplustalf, Ibague, Colombia. Acta Agronómica, 57(1), 43-49. 🠔
  54. Vanegas, J. & Uribe-Vélez, D. (2014). Selection of mixed inoculants exhibiting growth-promoting activity in rice plants from undefined consortia obtained by continuous enrichment. Plant and Soil, 375(1-2), 215-227. 🠔
  55. van Soest, P J., Robertson, J. B., &. Lewis, B. A. (1991). Methods for dietary fiber, neutral detergent fiber, and nonstarch polysaccharides in relation to animal nutrition. Journal of Dairy Science, 74(10), 3583-97. 🠔
  56. van Soest P.J. (2006). Rice straw, the role of silica and treatments to improve quality. Animal Feed Science and Technology, 130,137-171. 🠔
  57. Zhang, Q., He, G., Wang, J., Cai, W., & Xu, Y. (2009). Two-stage co-hydrolysis of rice straw by Trichoderma reesei ZM4-F3 and Pseudomonas aeruginosa BSZ-07. Biomass and Bioenergy, 33(10),1464-1468. 🠔
  58. Zhu, N. (2007). Effect of low initial C/N ratio on aerobic composting of swine manure with rice straw. Bioresource Technology, 98,9-13. 🠔