Revista Colombiana de Biotecnología
0123-3475
Instituto de Biotecnología, Universidad Nacional de Colombia
https://doi.org/10.15446/rev.colomb.biote.v21n1.73340

Recibido: 5 de julio de 2018; Aceptado: 8 de mayo de 2019

Evaluación del quitosano como coagulante para el tratamiento de efluentes piscícolas

Evaluation of chitosan as a natural coagulant for fish effluents treatment

D. Rodríguez Jiménez, * D. Gallego Suarez, **

Ingeniera Ambiental y Sanitaria, M.Sc. en Ciencias Agrarias. Departamento de Producción Animal, Facultad de Ciencias Agrarias, Universidad Nacional de Colombia, Sede Medellín, Calle 59 A No 63-20, Medellín, Colombia. Centro de Desarrollo Tecnológico del Cesar, Calle 65 18 G 49, Valledupar, Colombia. E-mail: damrodriguezji@unal.edu.co. ORCID ID: https://orcid.org/0000-0001-5860-9765. Universidad Nacional de Colombia Universidad Nacional de Colombia Colombia
Ingeniero Químico, M.Sc. Ingeniería Ambiental. Laboratorio Ingeniería Sanitaria, Departamento de Procesos y Energía, Universidad Nacional de Colombia, Sede Medellín. Calle 80 #65 - 223 M3, Medellín, Colombia. E-mail: dgallego@unal.edu.co. ORCID ID: https://orcid.org/0000-0002-6810-846X. Universidad Nacional de Colombia Universidad Nacional de Colombia Colombia

Licencia Creative Commons:

RESUMEN

El uso de polímeros orgánicos para el tratamiento de aguas residuales a través de procesos de coagulación/floculación presenta ventajas sobre el uso de coagulantes inorgánicos, debido a la biodegradabilidad y la baja toxicidad en el agua de estos. El quitosano es un biopolímero que se ha utilizado como coagulante en el tratamiento de aguas residuales. En este estudio, se evaluó el quitosano como coagulante natural utilizado en la clarificación de efluentes piscícolas en tecnología biofloc (BFT) y en sistema de recirculación acuícola (RAS). Se implementó un diseño experimental completamente aleatorizado, de una vía, con efectos fijos. Los ensayos del agua se llevaron a cabo por el método de jar-test, donde se aplicaron dosis de quitosano de 3, 6, 9, 12 y 15 mg/L. Se analizó el efecto estadístico de la dosis de quitosano en la eliminación de la turbidez, sólidos suspendidos totales (SST) y sólidos suspendidos volátiles (SSV) del agua. Se encontró efecto del quitosano sobre la turbidez, dosis de 9 mg/L logró remociones del 88% y valores de 3.9 NTU (con error < 0.05). Sin aplicar quitosano al efluente, se lograron remociones de 78.2 y 76.7% para SST, SSV respectivamente. El quitosano permitió eliminar turbidez del efluente (BFT).

Palabras clave:

biopolímeros, prueba de jarras, clarificación de efluentes.

ABSTRACT

Using organic polymers for wastewater treatment through coagulation/flocculation processes is more advantageous than current approach based on inorganic coagulants, due to the former's biodegradability and low toxicity in the water. Chitosan is a biopolymer that has been used as coagulant in wastewater treatment. In this study, chitosan was evaluated as a natural coagulant used in the clarification of fish effluents in biofloc technology (BFT) and aquaculture recirculation system (RAS). A one-way completely randomized experimental design with fixed effects was implemented. The water clarification tests were conducted using the jar test method with chitosan doses of 3, 6, 9, 12 and 15 mg/L. The chitosan dose effect was analyzed as natural coagulant on the removal of the water's turbidity, total suspended solids (SST) and volatile suspended solids (SSV). The effect of the chitosan load on the turbidity removal was found, as optimal dose of 9 mg/L for 88% with final turbidity value of 3.9 NTU (with significance < 0.05). In absence of chitosan, only values of 78.2 and 76.7% for SST and SSV were reached, respectively. Chitosan allowed the removal of turbidity from the water (BFT).

Keywords:

biopolymers, jar test, effluent clarification.

INTRODUCCIÓN

En acuicultura, la tecnología biofloc (BFT) y los sistemas de recirculación acuícola (RAS) son sistemas cerrados de producción intensiva; los RAS se presentan como una tecnología novedosa que permite el reúso del agua del cultivo de peces (Timmons et al., 2009) y en BFT los residuos presentes en el agua de cultivo son degradados por microorganismos, permitiendo la formación de flóculos microbianos. Estos sistemas se caracterizan porque presentan un alto reciclaje de nutrientes, requieren poco espacio para su producción y permiten el aumento de la densidad poblacional por volumen de agua (Emerenciano et al., 2014).

Durante el proceso de producción piscícola se generan aguas residuales con alto contenido de nutrientes, sólidos en suspensión y patógenos (Van, 2013; Avnimelech, 2009). Estas concentraciones de nutrientes pueden producir eutrofización si se disponen en el cuerpo de agua receptor; de ahí la necesidad del tratamiento; hasta un 84% del fósforo total en efluentes acuícolas están inmersos en los sólidos en suspensión totales y coloides (Cripps et al., 2000). Por ello, las concentraciones elevadas de sólidos deben ser controladas (Ray et al., 2010).

Para la remoción de partículas suspendidas en el tratamiento de aguas acuícolas, se usan sedimentadores, clarificadores de flujo radial, filtros mecánicos y filtros de medios granulares (Ebeling et al., 2012). Con el fin de mejorar el rendimiento del proceso de filtración, se han implementado coagulantes/floculantes en la clarificación del agua (Ebeling et al., 2005).

La adición de coagulantes a base de sales metálicas, es una técnica usada en procesos de purificación de aguas (Quintana, 2000). Las partículas presentes en todo tipo de agua, generalmente están cargadas negativamente; si a estas partículas se les elimina esta carga, la repulsión entre ellas disminuye y se da lugar a la formación de flóculos (floculación) que precipitan a mayor velocidad de sedimentación (Pérez, 2005). Esto se da por adición de iones apropiados a la disolución, cuanto mayor es la carga del polielectrolito, mejor es su poder coagulante, lo cual trae como consecuencia el mejoramiento de la calidad del efluente (Ríos et al., 2006). Al aplicar coagulante al agua residual se mejora la eficiencia en la eliminación de partículas de menor diámetro denominadas coloides (Ríos et al., 2006)

El uso de polímeros de origen orgánico, de larga cadena y de alto peso molecular, está siendo usado en reemplazo de los coagulantes inorgánicos. Los biopolímeros se presentan como una opción ecológica para el tratamiento de aguas (Yee et al., 2015). Estos polímeros orgánicos, no se han usado ampliamente en efluentes piscícolas debido a que estas aguas residuales son muy diluidas y no se requiere mayor esfuerzo para remover sólidos sedimentables presentes en ella (Ebeling et al., 2012). Sin embargo, con la intensificación de los sistemas de producción piscícola (alta biomasa por área), la generación de residuos aumenta, el tratamiento de efluentes se vuelve una necesidad y los procesos de coagulación floculación se presentan como alternativas para tratar efluentes piscícolas (Ebeling et al., 2005).

El quitosano, entre otros elementos, se ha propuesto como sustituto de coagulantes convencionales como es el caso de polielectrolitos (Ebeling et al., 2006) y sales metálicas (Quintana, 2000). El quitosano un polisacárido de alto peso molecular, carga catiónica y abundante en la naturaleza, que al adicionarse al agua reacciona con las partículas cargadas negativamente permitiendo su eliminación (Ma et al., 2016; Lárez, 2006).

Tradicionalmente, la fuente primaria de quitosano proviene de los subproductos en la industria pesquera. Entre sus áreas de aplicación está el campo biotecnológico orientado al tratamiento de aguas (Balanta, 2010). Algunos autores reportan su uso en aguas residuales procedentes de procesamiento de filetes de pescado (Genoveses et al., 1998) y en efluentes de la industria harinera de pescado, logrando remociones del 97.78% de SST y 97.79% de SSV (Arias et al., 2014). En efluentes agrícolas se ha logrado remover hasta un 99% en los sólidos suspendidos totales al usar quitosano como adsorbente y coagulante (Mohd et al., 2007).

Por otro lado, el quitosano se ha estudiado como inmunopotenciador y estimulante del crecimiento en peces (Lin et al., 2011); la ingesta del 1% de quitosano en la composición dietética mejora el sistema inmune y la capacidad de supervivencia en la carpa común (Gopalakannan et al., 2006). Es decir, los residuos que salen del sistema de producción acuícola pueden ser aprovechados como suministro de alimento en las especies acuáticas cultivadas (Hargreaves, 2013).

Para analizar el uso de quitosano en efluentes piscícolas se debe determinar la dosis adecuada de este compuesto, donde cada tipo de agua tiene su intervalo de operación del coagulante dentro de la cual se encuentra la dosis óptima, la cual permite remover la mayor cantidad de impurezas (Domínguez, 2010). Esto se lleva a cabo mediante la realización de pruebas de jarras y la mejor dosis se obtiene cuando se logran los valores más bajos de turbiedad (Andía, 2000; Li et al., 2014).

Este trabajo evaluó la eficiencia del quitosano en la remoción de sólidos en suspensión y de turbidez en efluentes de cultivo biofloc (BFT) y en un sistema (RAS).

MATERIALES Y MÉTODOS

Prueba de Jarras

Para la preparación de la solución coagulante se disolvió el quitosano Sigma Chemical Co en ácido acético 0,10 M, preparando soluciones al 1 % (Divakaran et al., 2002). Se trabajó con concentraciones de 3, 6, 9, 12 y 15 mg/L de quitosano para su posterior aplicación sobre el agua de estudio.

En las instalaciones del Laboratorio de Modelación Animal -LAMA, de la Universidad Nacional de Colombia sede Medellín, el sistema de producción piscícola con tecnología biofloc (BFT) fue preparado siguiendo la metodología de Chaverra (2016). Se usó un tanque de 1000 L y un inóculo de lixiviado de humus de lombriz roja californiana Eisenia foetida. Se adicionó melaza (líquido denso y viscoso) al tanque de cultivo a razón de 0,02 g/L con el fin de lograr una relación carbono a nitrógeno (C:N) de 15 durante el tiempo de cultivo, lo que permitió el crecimiento de la comunidad microbiana. Posterior a esto, se sembraron 100 tilapias de 1g.

La aireación al sistema BFT fue constante de modo que garantizara los requerimientos del pez. Para ello, se implementó un circuito impulsado por un blower industrial monofásico (Pum Power HG-C/C2, USA) de 1/3 HP. El aire fue suministrado a través de mangueras polidifusoras, de modo que permitió tener el flujo del agua en el tanque de cultivo completamente mezclado, con el fin de controlar la creación de zonas anaerobias.

Las muestras de agua para el test de jarras fueron tomadas del tanque de producción en recipientes de 1L. El tanque de cultivo BFT operó un mes sin recambio de agua y se caracterizó fisicoquímicamente, los resultados obtenidos se presentan en la tabla 1.

Tabla 1: Características físico-químicas del agua de cultivo BFT

Parámetro Resultado Método de análisis
Turbiedad (NTU) 30.4 2320 B
SST (mg/L) 108 2540 D
SSV (mg/L) 79 2540 D

La evaluación del proceso de coagulación - floculación se llevó a cabo utilizando un equipo de prueba de jarra modelo PB-700, de 6 paletas y base iluminada (figura 1). Se agregó 1 L del agua de cultivo biofloc a cada uno de los seis vasos de precipitado, tomando uno de estos como control.

Test de jarras de 6 paletas y base iluminada

Figura 1: Test de jarras de 6 paletas y base iluminada

Se adicionaron las diferentes dosis de la solución de quitosano preparada anteriormente (3, 6, 9, 12, 15 mg/L) a cada jarra, utilizando como instrumento de medida una pipeta de 15 mL. La etapa del mezclado rápido (120 rpm) se llevó a cabo en un periodo de un minuto. Durante el mezclado lento las revoluciones fueron reducidas a 30 rpm por 30 minutos. Se finalizó el proceso de coagulación-floculación con la etapa de sedimentación (0 rpm) por 30 minutos.

Después de la sedimentación las muestras de agua fueron tomadas del sobrenadante de cada jarra y preservadas a 4 °C y posteriormente analizadas.

Diseño experimental

Se llevó a cabo un diseño experimental de una vía completamente aleatorizado, donde se analizó el efecto de implementar distintas dosis de quitosano en la remoción de SST, SSV y turbiedad del agua derivada de sistemas de producción intensivo en tecnología biofloc (BFT). El factor dosis de quitosano contó con seis niveles (0, 3, 6, 9, 12 y 15 mg/L). Se implementaron tres réplicas para la determinación de parámetros fisicoquímico del efluente de cultivo BFT.

Fueron determinados los SST, SSV y la turbidez del agua mediante los métodos estandarizados 2540 D para SST y SSV y 2130 B para turbidez (APHA, 2012). Estos parámetros fueron analizados antes y después de aplicar quitosano en el tratamiento del efluente de cultivo BFT. La mejor dosis de quitosano fue la concentración del coagulante que removió la mayor turbiedad en el efluente.

Análisis estadístico

Las variables de estudio se analizaron bajo los principios de la estadística tradicional. Se evaluaron los supuestos de normalidad (pruebas de Shapiro-Wilk), igualdad de varianzas (Prueba de Bartletts) y los tratamientos fueron aleatorizados con el fin de cumplir con la independencia de los datos. Adicional a ello, se analizó la kurtosis (Prueba de Bonett-Seier), simetría (Prueba de D'Agostino) de los datos.

Para el análisis de varianza, se llevó a cabo una ANOVA de una vía y se analizó el efecto estadístico de las dosis de quitosano sobre la remoción de SST, SSV y turbiedad del agua, teniéndose en cuenta un nivel de confianza del 95% (p<0,05). La comparación de medias fue realizada mediante Tukey. El análisis de los datos se hizo a través del programa R Core Team, 2017.

Sistema RAS

Se evaluaron dos prototipos, a escala piloto de un sistema de producción piscícola RAS, en el cultivo de 20 Kg/m3 de Oreochromis sp. (Tilapia roja). A un sistema RAS no se le aplicó quitosano, mientras que al otro sistema RAS se le aplicó 3 mg/L de quitosano. La evaluación consistió en la determinación de los siguientes parámetros fisicoquímicos del agua: nitrógeno amoniacal total (TAN), SST, turbidez y densidad poblacional. El sistema operó durante 20 días.

RESULTADOS Y DISCUSIÓN

Los resultados del análisis de varianza aplicado a las distintas dosis de quitosano en la remoción de parámetros físico-químicos del agua proveniente del sistema BFT se presentan en la tabla 2. Al llevar a cabo la prueba de normalidad mediante el test de Shapiro-Wilk, se evidencia que los residuales del modelo de regresión lineal (Anova) de los parámetros físico-químicos obedecen a una distribución normal (figura 2) y al realizar las pruebas de Bonett-Seier y D'Agostino no se encontró curtosis ni asimetría significativa sobre los datos de SST, SSV y turbiedad.

Tabla 2: Efecto estadístico significativo de las distintas dosis de quitosano en la remoción de parámetros físico-químicos del agua proveniente de sistema BFT

Parámetros Dosis de quitosano (mg/L) Error
0 3 6 9 12 15
SST 78.2±2.5a 79.7±1.1a 77.4±0.7a 82.5±2.2a 79.32 ±3a 75.7 ±5.4a 0.11
SSV 76.7±1.9a 78.2±0.4a 77.6±0.7a 81.3±1.7a 78.5±3.1a 75.6 ±3.6a 0.17
Turbiedad 77.8±6.7a 77.2±7.5a 78.1±2.8a 87 ±1.8 b 83.5±2.7b 79.8±1.8a 0.0004

Análisis de normalidad de los residuos el modelo de regresión lineal de las variables de estudio. A) Sólidos suspendidos totales (SST). B) Solidos suspendidos volátiles. C) Turbiedad

Figura 2: Análisis de normalidad de los residuos el modelo de regresión lineal de las variables de estudio. A) Sólidos suspendidos totales (SST). B) Solidos suspendidos volátiles. C) Turbiedad

El análisis de varianza (tabla 2), muestra que en el efluente de cultivo BFT la concentración de SST y SSV no mostraron diferencias significativas (p < 0.05) frente a la aplicación de las diferentes dosis de quitosano. Esto es debido a que en el efluente piscícola existen partículas suspendidas que precipitan sin atender a los procesos de coagulación, lo cual indica que antes de someter el efluente a un tratamiento fisicoquímico se debió dejar sedimentar primeramente los sólidos suspendidos sedimentables presentes en el agua de cultivo BFT. En general, al implementar la metodología de pruebas de Jarras, la eliminación de SST no fue como se esperaba y su porcentaje de eliminación para la jarra control y 9 mg/L de quitosano, fue del 78.2% y 82.5% respectivamente. El agua de estudió, inicialmente tenía 108 mg/L de SST (tabla 1) y se logró valores mínimos de 20.2 a 26.3 mg/L tras aplicar las distintas dosis de quitosano (figura 4).

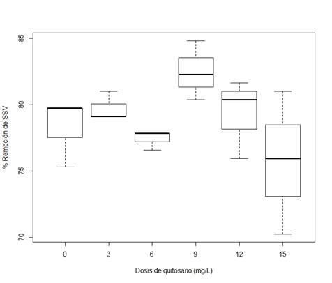
Efecto de la dosificacón del quitosano sobre el porcentaje de eliminación se SST en efluentes de sistemas de producción inrtensivo BFT

Figura 3: Efecto de la dosificacón del quitosano sobre el porcentaje de eliminación se SST en efluentes de sistemas de producción inrtensivo BFT

Valores de sólidos suspendidos totales (SST) en efluentes de sistema BFT en función de la dosificación de quitosano

Figura 4: Valores de sólidos suspendidos totales (SST) en efluentes de sistema BFT en función de la dosificación de quitosano

Sin embargo, la ventaja de usar coagulantes en el tratamiento de aguas, es que las partículas en suspensión precipitan a mayor velocidad de sedimentación y por lo tanto el tamaño de las unidades de tratamiento de aguas residuales requeridas para la remoción de sólidos en suspensión serían más pequeñas (Pérez, 2005).

Ebeling et al. (2006), lograron concentraciones de SST de 30 mg/L en efluentes de producción intensiva de trucha después de aplicar dosis de 20 mg/L del polímero Hychem, CE 1950. Los polímeros de alto peso molecular requieren bajas dosificaciones para desestabilizar gran cantidad de cargas de las partículas y garantizar su sedimentación.

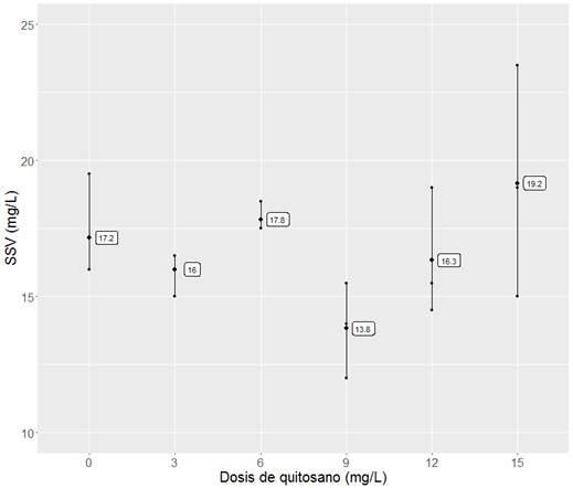
Los promedios de los SSV posterior a la adición de las distintas dosis de quitosano en cada tipo de agua se pueden visualizar en la figura 5. Los valores iniciales para este parámetro fueron de 79 mg/L (tabla 1) y se lograron valores dentro del intervalo de 16 a 19.6 mg/L (figura 6) y una remoción del 76.7% al 83.1%.

Efecto de la dosificación del quitosano sobre el porcentaje de eliminación de SSV en efluentes de sistema de producción intensivo BFT

Figura 5: Efecto de la dosificación del quitosano sobre el porcentaje de eliminación de SSV en efluentes de sistema de producción intensivo BFT

Valores de sólidos suspendidos volátiles (SSV) en efluente de sistema BFT en función de la dosificación de quitosano.

Figura 6: Valores de sólidos suspendidos volátiles (SSV) en efluente de sistema BFT en función de la dosificación de quitosano.

Al analizar turbiedad del agua de cultivo BFT, los valores promedios del parámetro son estadísticamente diferentes. La dosis de quitosano tiene un efecto significativo sobre esta variable (tabla 2), lo cual indica que al aplicar el biopolimero, se mejora la calidad del agua tratada; la remoción alcanzada fue del 87% al aplicar 9 mg/L de quitosano como se observa en la figura 7.

Efecto de la dosificación del quitosano sobre el porcentaje de eliminación de Turbiedad en efluentes de sistema de producción BFT.

Figura 7: Efecto de la dosificación del quitosano sobre el porcentaje de eliminación de Turbiedad en efluentes de sistema de producción BFT.

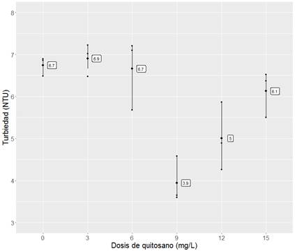
La turbiedad inicial del agua de BFT fue de 30.4 NTU (tabla 1), después del tratamiento con distintas concentraciones de quitosano se logró valores inferiores a 6.9 NTU en todas las dosis evaluadas tal como se puede observar en la figura 8. Esto es debido a que los grupos funcionales del biopolimero se combinan con los sitios activos de los coloides presentes en el agua (Pacheco et al., 2009). El coagulante con carga positiva se unen a la partícula coloidal anionica, neutralizando las cargas repulsivas y provocando la precipitación de las partículas a altas velocidades de sedimentación (López et al., 2014).

Valores de turbiedad en efluente de sistema BFT en función de la dosificación de quitosano.

Figura 8: Valores de turbiedad en efluente de sistema BFT en función de la dosificación de quitosano.

Balanta et al. (2010), estudiaron al quitosano como ayudante en la floculación en la reducción de turbiedad para agua potable. En su investigación, concentraciones de 0.1 a 10 mg/L del biopolimero permitieron remover turbiedad. Para el agua proveniente de cultivo (BFT), los valores más bajos de este parámetro (3.9 NTU ) fueron obtenidos al aplicar dosis de quitosano de 9 mg/L.

Para el sistema RAS, los resultados se pueden evidenciar en la tabla 3. Estos valores concuerdan con los datos obtenidos en efluentes BFT, es decir al aplicar quitosano al agua se reducen ligeramente los valores de SST y turbiedad. Sin embargo, al análizar los valores de nitrogéno amoniacal total (TAN) en ambos sistemas RAS, se pueden apreciar diferencias en presencia y ausencia del quitosano.

Tabla 3: Valores promedios de parámetros físico-químicos y zootécnico, en 20 días de operación de cada sistema RAS (control y quitosano), para el cultivo de 20 Kg/m3 de tilapia roja Oreochromis sp

Variables
SST (mg/L) Turbidez (NTU) TAN (mg/L) Densidad final (Kg/m3)
Control Quitosano Control Quitosano Control Quitosano Control Quitosano
9.3 6.8 2,2 1,6 10.8 5 23 24.5

El nitrógeno presente en los sistemas de producción pueden ser excretado por las especies acuáticas cultivadas y/o aportado por la alimentación. En el agua de cultivo, el TAN puede presentarse en forma ionizada (NH4 +) y en forma no ionizada (NH3). El nitrógeno en su forma NH3, es tóxico para los peces. Al lograr remover TAN en RAS, se controla la toxicidad en los estanques al cultivar especies piscicolas (Chen et al., 1993).

Pacheco et al. (2009), al aplicar quitosano para tratar agua residuales de industria sardinera, logró remover nitrógeno no proteico (péptidos, bases nitrogenadas, aminoácidos libres, nitritos, nitratos, amonio, urea, etc) en un 20% y proteína hasta 45%. Para esta investigación, se regitraron valores de TAN de 10.8 mg/L y 5 mg/L en presencia y ausencia de quitosano, respectivamente.

El quitosano usado a razón de 2g/Kg de dieta en carpa (Cyprinus carpio koi) mejora el crecimiento, inmunidad y resistencia a enfermedades de esta especie (Lin et al., 2011). Para esta investigación, el quitosano se usó en el tratamiento de aguas y no en la dieta para el cultivo de tilapia roja Oreochromis sp. Pero, queda abierta la posibilidad que valores residuales de quitosano, en el tanque de peces, pueda estar beneficiando el bienestar animal de la especie cultivada y sea reflejado en un incremento del peso de los individuos cultivados de hasta 1.5 Kg (tabla 3).

CONCLUSIONES

El agua derivada de producción piscícola se caracteriza por la presencia de sólidos suspendidos que pueden ser sedimentables.

La eliminación de SST no fue como se esperaba. El porcentaje de eliminación de sólidos en suspensión, en efluentes de cultivo BFT, para el control y dosis de 9 mg/L de quitosano fue del 78.2% y 82.5% respectivamente, sin diferencias significativas entre estas dosis. En los sistemas RAS evaluados, se lograron valores promedios de 9.3 mg/L sin aplicar quitosano y 6.8 mg/L al aplicar quitosano.

La utilización de quitosano en concentraciones apropiadas podría ser una buena opción en la remoción de turbiedad del agua proveniente de sistemas BFT y sistema RAS. Los coloides en efluentes piscícolas, que aportan turbiedad decantan lentamente. La adición de quitosano permite la aglomeración de esas partículas y su posterior sedimentación. A dosis de 9 mg/L, se remueve el 87% de la turbiedad y se logran valores de 3,9 NTU en el efluente tratado proveniente de BFT.

Los valores de TAN sin aplicación de quitosano estuvieron por encima de los valores registrados al aplicar quitosano en los 20 días de operación. El quitosano permitió valores más bajos de TAN.

La densidad de cosecha para el sistema RAS donde se aplicó quitosano fue 24.5 Kg/m3, y en el sistema donde no se aplicó quitosano fue de 23 Kg/m3, pero no se le puede atribuir la diferencia del peso al uso o no de quitosano, para dicha afirmación se requiere mayor cantidad de unidades experimentales.

Acknowledgements

AGRADECIMIENTOS

A la Gobernación del Cesar, CDT y el proyecto “Consolidación de las capacidades de ciencia, tecnología e innovación del sector agropecuario del departamento del Cesar-Colombia”.

Al Laboratorio de Ingeniería Sanitaria y al Laboratorio de Modelación Animal (LAMA) de la Universidad Nacional de Colombia (Sede Medellín)

BIBLIOGRAFÍA

  1. Andía, Y. (2000). Tratamiento de agua: coagulación y floculación. Documento Técnico. Planta de Tratamiento de Agua Sedapal, Lima 🠔
  2. APHA. (2012). Standard Methods for the examination of water and wastewater. 22nd Edition. Edited by: Clesceri, L., Greenberg, A., and Eaton A. USA. 🠔
  3. Arias, D; & Méndez, E. (2014). Remoción de sólidos en aguas residuales de la industria harinera de pescado empleando biopolímeros. Tecnología y Ciencias del Agua 3, 115-123. 🠔
  4. Avnimelech, Y. (2009). Biofloc Technology - A practical guide book. The World Aquaculture Society, Baton Rouge, Louisiana, United States. p.182. 🠔
  5. Balanta, D.; Grande, C. D.; & Zuluaga, F. (2010). Extracción, identificación y caracterización de quitosano del micelio de Aspergillus Niger y sus aplicaciones como material bioadsorbente en el tratamiento de aguas. Revista Iberoamericana de Polímeros 11(5), 297-316. 🠔
  6. Chaverra, G.S.C.(2016). Contribución del biofloc como fuente de carbono y nitrógeno para el crecimiento de juveniles de Cachama blanca (Piaractus brachypomus). Tesis de Maestría en Ciencias Agrarias. Facultad de Ciencias Agrarias, Universidad Nacional de Colombia sede Medellín. 🠔
  7. Chen, S.; Timmons, M.; Aneshansley, D.; & Bisogni, J. (1993). Suspended solids characteristics from recirculating aquacultural systems and design implications. Aquaculture 112, 143-155 🠔
  8. Cripps, S. J.; & Bergheim, A. (2000). Solids management and removal for intensive land-based aquaculture production systems. Aquacultural Engineering 22 (2000), 33-56. 🠔
  9. Divakaran, R.; & SivasanKara V. (2002). Flocculation of river silt using chitosan. Water Research 36 (9), 2414-2418. 🠔
  10. Ebeling, J.; Rishel, K.L.; & Sibrell, P.L. (2005). Screening and evaluation of polymers as flocculation aids for the treatment of aquacultural effluents. Aquacult. Eng 33 (4), 235-249. 🠔
  11. Ebeling, J.M.; Welsh, C. F; Rishel, K.L.; & Sibrell, P.L. (2006). Screening and evaluation of polymers as flocculation aids for the treatment of aquacultural effluents. Aquacult. Eng 33 (4), 235-249. 🠔
  12. Ebeling, J.; & Timmons, M. (2012). Recirculating aquaculture systems. In: Tidwell, J.H. (Ed.), Aquaculture Production Systems. Wiley-Blackwell, Hoboken, NJ, USA, pp. 245-277. 🠔
  13. Emerenciano, M.; Cuzon, G.; Arevalo, M.; & Gaxiola, G. (2014). Biofloc technology in intensive broodstock farming of the pink shrimp Farfantepenaeus duorarum: spawning performance, biochemical composition and fatty acid profile of eggs. Aquaculture Research 45, 1713-172. 🠔
  14. Genovese, C.; & González, J. (1998). Solids removal by coagulation from fisheries wastewaters. Water SA, 24, (4), 371-372. 🠔
  15. Gopalakannan, A.; & Arul, V. (2006). Immunomodulatory effects of dietary intake of chitin, chitosan and levamisole on the immune system of Cyprinus carpio and control of Aeromonas hydrophila infection in ponds. Aquaculture 255, 179-187. 🠔
  16. Hargreaves, J. (2013). Bioflóc Production Systems for Aquaculture. SRAC 4503. 🠔
  17. Lárez, C. (2006). Quitina y quitosano: Materiales del pasado para el presente y el futuro. Avances en Química 1(002), 15-21. 🠔
  18. Lin, S.; Pan, Y.; Luo, L.; & Luo L. (2011). Effects of dietary β-1,3-glucan, chitosan or raffinose on the growth, innate immunity and resistance of koi (Cyprinus carpio koi). Fish & Shellfish Immunology 31(6), 788-794. 🠔
  19. López, E.; Oropeza, M.; Jurado, J.; & Ochoa, A. (2014). Coagulation-flocculation mechanisms in wastewater treatment plants through zeta potential measurements. Journal of Hazardous Materials, 279(0), 1-10. 🠔
  20. Ma, C.; Wenrong, H.; Pei ,H., Xu, H.; & Pei, R. (2016). La mejora de la eliminación integrada de Microcystis aeruginosa y la adsorción de microcistinas usando coagulantes combinados de cloruro de aluminioquitosano: Efecto de las órdenes de dosificación de productos químicos y los mecanismos de coagulación. Coloides y Superficies 490, 258 - 267. 🠔
  21. Mohd, A.; & Puteh, M. (2007). Pre-Treatment of Palm Oil Mill Effluent (POME): A Comparison Study using Chitosan and Alum. Malaysian Journal of Civil Engineering 19(2), 128-141. 🠔
  22. Pacheco, R.; Leyva, P.; Carvallo, G.; García, L., & Márquez, E. (2009) Efecto de la concentración de quitosano y pH sobre la remoción de sólidos en agua de cola de la industria sardinera. Interciencia 34(4), 274-279. 🠔
  23. Pérez, L. (2005) Teoría de la Sedimentación. Área de hidráulica, Cátedra de Hidráulica Aplicada a la Ingeniería Sanitaria. Buenos Aires, Universidad Tecnológica Nacional. Facultad Regional Bahía Blanca. 🠔
  24. Quintana, R. (2000). Cómo tratar el agua. Documento técnico. Coca Cola de Colombia, Bogotá D.C. 🠔
  25. Ray, A.; Seaborn G.; Leffler, J.; Wilde, S.; Lawson. A.; & Browdy, C.L. (2010). Characterization of microbial communities in minimal-exchange, intensive aquaculture systems and the effects of suspended solids management. Aquaculture 310, 130-138. 🠔
  26. Ríos, N.; Navarro, R.; Ávila, M.; & Mendizábal, E. (2006). Obtención de sulfato de quitosano y su aplicación en el proceso de coagulación-floculación de suspensiones coloidales aniónicas de caolinita. Iberoamericana de Polímeros 7(3), 145-161. 🠔
  27. Timmons, B.; Ebeling, J.; & Piedrahita, R. (2009) Acuicultura en sistemas de recirculación, LLC Edición. Ithaca, USA: Cayuga Aqua Ventures, 959 pp. 🠔
  28. Van, J. (2013). Waste treatment in recirculating aquaculture systems. Aquacultural Engineering 53, 49- 56. 🠔
  29. Yee, K.; & Yeong, T. (2015). Optimizado el uso de alumbre no modificado, junto con Cassia obtusifolia goma de semilla como una ayuda de coagulante en el tratamiento del efluente de la planta de aceite de palma en condiciones de pH natural de las aguas residuales. Industrial crops a products 76, 1169 - 1178. 🠔