Revista Colombiana de Biotecnología
0123-3475
Instituto de Biotecnología, Universidad Nacional de Colombia
https://doi.org/10.15446/rev.colomb.biote.v21n2.79555

Recibido: 18 de febrero de 2019; Aceptado: 1 de octubre de 2019

Evaluación de producción de biogás y reducción de carga orgánica de vinazas mediante digestión anaerobia

Biogas production evaluation and reduction of vinasse organic load by anaerobic digestion

D. Ariza Calvo, *M. Rincón Ravelo, **C. Paz Cadavid, ***D. Gutiérrez-Montero, ****

Microbióloga, Egresada Universidad Popular del Cesar- Diagonal 21 No. 29-56 Sabanas del Valle, Valledupar, Cesar, Colombia. Correo electrónico: dariza@unicesar.edu.co. Universidad Popular del Cesar Universidad Popular del Cesar Valledupar Colombia
Microbiólogo Industrial, Universidad Pontificia Javeriana Cra. 7 # 42-62 Bogotá Pontificia Universidad Javeriana Universidad Pontificia Javeriana Bogotá Colombia
Ingeniero Ambiental, Universidad Nacional de Colombia sede Palmira, Cra. 32 #12-00 Palmira, Valle del Cauca. Universidad Nacional de Colombia Universidad Nacional de Colombia Palmira Colombia
Profesor departamento de microbiología - Facultad de ciencias de la salud, Universidad popular del Cesar. Diagonal 21 No. 29-56 Sabanas del Valle, Valledupar, Cesar, Colombia. Correspondencia: deivisgutierrez@unicesar.edu.co. Universidad Popular del Cesar Facultad de ciencias de la salud Universidad popular del Cesar Valledupar Colombia

RESUMEN

La vinaza es un residuo derivado de la producción de alcohol carburante, que posee elevada carga orgánica disuelta (46%), bajo pH que oscila entre 3-5 y alta demanda química de oxigeno (DQO) de 200-300 mgDQO/L, dichas características hacen de la vinaza un potencial contaminante. Hoy en día, se han buscado métodos que contribuyan a un adecuado manejo de este residuo, como su aprovechamiento para generar energía. En esta investigación se determinó el efecto de la concentración de vinaza y el tipo de lodo inoculante sobre la tasa global de producción de biogás, actividad metanogénica y reducción de carga orgánica durante el proceso de digestión anaerobia. Se utilizaron lodos como fuente de inóculo, provenientes de una PTAR, de una laguna de vinaza, y de laguna de oxidación y enfriamiento; la producción de biogás se cuantificó con la técnica de desplazamiento de líquido, se determinó la actividad metanogénica específica (AME), se determinó la tasa de remoción de DQO y sólidos totales y se aislaron microorganismos metanogénicos. Se encontró que la concentración de 90% de vinaza con lodos de la laguna de oxidación obtuvo los mejores rendimientos, se cuantificó 674.5 mL de biogás durante 1 8 días en un volumen de trabajo de 400 mL y se calculó la AME de 0.2 gDQOCH4/gSSV.d. Se demostró que a partir de la digestión anaerobia reduce un 25.2% de la DQO y 22.4% de sólidos; los resultados del análisis microbiológico permitieron evidenciar la presencia de microorganismos metanogénicos en el biorreactor anaerobio.

Palabras clave:

biorreactor anaerobio, microorganismos metanogénicos, metano, tratamiento anaerobio, residuo.

ABSTRACT

Sugarcane vinasse is a residue derived from the production of fuel alcohol, that has a high dissolved organic load (46%), pH ranging from 3 to 5, and chemical oxygen demand (COD) from 200 to 300 mg/l. These characteristics make of the vinasse a potential contaminant. Therefore, methods have been sought that contribute to an adequate management of this waste, such as its use to generate energy. In this research, the process of anaerobic digestion of sugarcane vinasse and sludge as inoculant was evaluated based on the global rate of biogas production, methanogenic activity and reduction of organic load. Different concentrations of vinasse and different sources of sludge were tested; WWTP biosolids, vinasse sludge, and sludge from oxidation and cooling lagoon. Biogas production was quantified by technique liquid displacement, was determined the specific methanogenic activity (SMA), removal of COD and total solids were also determined, and isolation of methanogenic microorganisms. It was determined that the concentration of 90% of vinasse with sludge from the oxidation and cooling lagoon produced the highest yield; 674.5 mL of biogas was quantified during 18 days in a work volume of 400 mL and the SMA of 0.2 g DQOCH4 / gSSV.d was calculated. It was demonstrated that the anaerobic digestion it reduces 25.2% of COD and 22.4% of solids, the results of the microbiological analysis allowed to demonstrate the presence of methanogenic microorganisms in the anaerobic biorreactor.

Key words:

anaerobic bioreactor, methanogenic microorganisms, methane, anaerobic treatment, residue.

INTRODUCCIÓN

La producción de alcohol carburante como biocombustible es una de las actividades que ha tomado gran auge en los últimos años, y los ingenios buscan producir bio-etanol aprovechando su materia prima más importante la cual es la caña de azúcar. Sin embargo, durante la producción de alcohol se genera un residuo abundante que es conocido como vinaza, este residuo es de origen orgánico, posee contextura líquida y naturaleza acida, además contiene grandes compuestos azucarados que empiezan a descomponerse cuando la vinaza es descargada (Ribeiro y silva, 2009). A parte, la vinaza se puede definir como una disolución de sustancias orgánicas e inorgánicas, posee un valor agregado y se utiliza para diferentes fines (Bernal, Poblano, Toscano y Duran, 2012).

Se considera que por cada litro de alcohol producido se generan alrededor de 12 a 15 litros de vinaza, (Bernal et al., 2012). No obstante, en los cinco ingenios productores de etanol en Colombia se utiliza una técnica que proviene de la India, donde, mediante la recirculación de la vinaza en el proceso de producción de alcohol, se produce entre 2 y 4 litros de vinaza por litro de alcohol producido, logrando reducir un volumen considerado de vinaza (Clavijo, 2015). Sin embargo, la disminución de los volúmenes de vinaza generada se realiza por el calentamiento de esta, evaporando parte del componente líquido, ocasionando la consecución de una vinaza más concentrada, lo que resulta en la obtención de mayor presencia de sólidos; y aun así los volúmenes de vinaza generados siguen siendo grandes.

Las vinazas contienen materia orgánica disuelta, que, medida como demanda química de oxígeno (DQO) se sitúa en un rango de 50-100 g DQO/L, dependiendo del sustrato empleado en la fermentación alcohólica, (Houbron, Sandoval y Hernández, 2016), tiene un pH ácido de 3.5 a 5, y alta carga de sólidos aproximadamente 60% (García y Rojas, 2006), y micronutrientes que le dan un alto valor nutricional y por eso en muchas ocasiones la vinaza es utilizada para el fertiriego y compostaje (Aristizábal, 2015).

Este residuo ha cobrado mucha importancia en Colombia debido a sus características que hacen que sea contaminante, como su alta demanda bioquímica de oxígeno (DBO), variando este contenido entre 10 y 65 g/L, (Aristizábal, 2015), además, de altas concentraciones de sulfatos (2.59%) y alrededor del 70% del potasio extraído del campo en la cosecha de la caña, (Otero et al., 2012); sin embargo, el problema no radica en el potencial contaminante, sino en la disposición final, ya que las vinazas son almacenadas en lagunas, pero, por su gran volumen de producción dichas lagunas se llenan rápidamente; lo que conlleva a utilizar las vinazas en la fertirrigación de cultivo de caña de azúcar. Por consiguiente, las grandes cantidades de vinaza que se utilizan pueden ocasionar saturación del suelo y contaminación de fuentes hídricas, provocando grandes daños a nivel ecológico, como disminución de la luminosidad de las aguas, la actividad fotosintética, y el oxígeno disuelto, (Basanta, García, Cervantes, Mata y Bustos, 2007), provocando eutrofización del agua, contribuyendo así al aumento de poblaciones de insectos y vectores, y como resultado el desarrollo de enfermedades y su fácil propagación, (Zúñiga y Gandini, 2013).

Sin embargo, gracias a las características fisicoquímicas de la vinaza y a la acción de comunidades microbianas que se establecen allí, mediante degradación anaerobia se produce metano (CH4), (gas con alta inflamabilidad); el cual puede llegar a la atmosfera ocasionando contaminación, ya que este gas a pesar de que se produce naturalmente es 21 veces más dañino que el CO2, (Gutiérrez et al., 2012). No obstante, este gas puede ser aprovechado por la industria en procesos de generación de energía.

Por consiguiente, es indispensable pensar en un tratamiento y una disposición adecuada de las vinazas y así contribuir a mitigar sus efectos adversos al medio ambiente, además aprovechar sus propiedades para la generación de energía. Por esta razón, la búsqueda por encontrar una alternativa al manejo de las vinazas no ha aumentado. Existen diferentes procesos para tratar estos efluentes y últimamente se ha optado por establecer procesos amigables con el medio ambiente, desarrollando tecnologías que transformen dichos residuos en recursos útiles, siguiendo el ciclo de la naturaleza para aprovechar de esta manera todos los insumos existentes, denominados "procesos cíclicos" (Ince, Kolokirik, Ayman & Ince, 2005).

Montaje para cuantifìcación de biogás, Fuente: producción de hidrogeno a partir del tratamiento anaerobio de vinazas en un reactor UASB; (Gonzales y Duran, 2014).

Figura 1: Montaje para cuantifìcación de biogás, Fuente: producción de hidrogeno a partir del tratamiento anaerobio de vinazas en un reactor UASB; (Gonzales y Duran, 2014).

De acuerdo a lo anterior es posible deducir que las vías de aprovechamiento de los residuos industriales han permitido generar ideas y aportes para el desarrollo de tecnologías en la producción de biogás utilizando la digestión anaerobia, la cual, es una estrategia promisoria para la generación de compuestos de valor agregado a partir de residuos industriales, produciendo principalmente metano, (Almeida et al., 2011). La producción de este compuesto impacta directamente en la reducción de la carga orgánica dentro del sistema metanogénico, producto principal de la digestión anaerobia, (Ferrer y Pérez, 2010).

Este articulo tiene como objetivo evaluar el proceso de digestión anaerobia en la vinaza azucarera y lodos inoculantes sobre la tasa global de producción de biogás, actividad metanogénica y reducción de carga orgánica; estudiando la influencia de la concentración de vinaza y tipos de lodos inoculantes, sobre la disminución de los parámetros DBO, DQO, pH, sólidos totales, producción de metano. Asimismo, se aislaron microorganismos metanogénicos presentes en el medio.

MATERIALES Y MÉTODOS

Localización y muestreo.

El estudio se llevó a cabo en un ingenio ubicado en el Valle del Cauca, Colombia. Se tomaron muestras de vinaza en las lagunas de almacenamiento de la planta de compostaje, lodos de la planta de tratamiento de agua residual (PTAR) de la planta de destilería, lodos de la laguna de enfriamiento y oxidación y lodos de vinaza. Las muestras se conservaron en refrigeración hasta el momento de procesarlas.

Evaluación de la influencia de los lodos inoculantes sobre la producción de biogás.

Se realizaron 70 experimentos, en los cuales se midió por ensayo semicuantitativo producción de biogás durante 20 días, mezclando diferentes concentraciones de vinaza con los lodos utilizados como inoculantes. El montaje del ensayo se basó en la recolección de biogás en un dispositivo de látex (preservativo), (Magaña et al., 2006), y se estudiaron concentraciones de vinaza que iban del 10% hasta 100% en concentración de vinaza.

Las vinazas se caracterizaron, analizando parámetros fisicoquímicos que constaron de; medición de pH, conductividad, sólidos totales (ST), sólidos fijos (SF), sólidos insolubles (SI), sólidos disueltos (Brix), sólidos volátiles (TVS), (por duplicado), DQO y DBO; de acuerdo a lo establecido por APHA (2005), y en la NTC 5167.

Cuantificación de biogás y determinación de actividad metanogénica especifica AME.

Para el proceso de digestión anaerobia se utilizó un biorreactor anaerobio discontinuo sin agitación, el cual se adaptó a nivel de laboratorio para medir la cantidad de biogás producido. La cuantificación de biogás se permitió gracias a la implementación de la metodología planteada por Reyes (2016), donde el biogás se mide utilizando la técnica de desplazamiento de líquido; la cual consiste en introducir una probeta invertida en un recipiente con una solución salina al 3% (H2O + NaOH) que sirve de purga para el metano, ya que captura el CO2, reacciona con este formando carbonato, y permite el paso y acumulación de CH4, (Sanabria, Durán y Gutiérrez, 2012), dentro de la probeta se colocó una manguera conectada con el reactor para permitir la salida del gas hacia la parte superior, lo que hace que el nivel del agua de la probeta baje debido a la presión que ejerce el gas sobre el líquido, a lo cual se le conoce como principio de Arquímedes (Bernal et al., 2012).

La determinación de la actividad metanogénica específica AME se realizó mediante la siguiente ecuación:

Donde:

SV = Masa de los sólidos volátiles en la muestra por litro de agua en el reactor (g/L).

VR = Volumen líquido efectivo en el reactor (L).

fi = Factor de conversión para gramos de DQO removida por unidad de volumen de metano (mL CH4/g DQO).

d (VCH4)/dt = tasa máxima de producción de metano (mL CH4/d).

Aislamiento e identificación de microorganismos metanogénicos.

El aislamiento de microorganismos metanogénicos se realizó por siembra en medio líquido y siembra en superficie de las muestras de vinaza más el inoculo, posteriormente, estas siembras se incubaron a temperaturas de 37°C por un periodo de 15 días y en cámara de an-aerobiosis Acuña et al., (2008). De acuerdo al crecimiento en caja se realiza tinción Gram y se determinaron las características generales de las colonias a nivel macroscópico. Los medios utilizados fueron: caldo y medio de cultivo sólido (Barker Taha) Acuña et al. (2008), y Ortiz et al. (2015), y medio solido Sulfito Polimixina Sulfadiazina (SPS) para identificación de sulfito reductores; dichos medios con características específicas que confieren a los microorganismos los nutrientes necesarios y el ambiente propicio para su crecimiento.

RESULTADOS Y DISCUSIÓN

Evaluación de la influencia de las concentraciones de vinaza y lodos inoculantes.

En la tabla 1 se muestra la caracterización fisicoquímica que se le realizó a la vinaza inicial (vinaza cruda), la vinaza presenta valores de pH, conductividad y DQO elevados.

Tabla 1: Caracterización fisicoquímica de la vinaza utilizada como sustrato.

La mayoría de los sólidos corresponden a los sólidos volátiles, estos suelen ser absorbidos por los microorganismos para su posterior uso en el metabolismo metano-génico, Gonzales y Duran., 2014. La DQO inicial fue de 262.000 mg/L, y la conductividad fue de 39.7 ms/cm (tabla 1), valores que son superiores a lo reportado por Machado et al. (2016), donde trabajaron vinazas con DQO menores a 200.000 mg/L y con conductividades de 26.1 ms/cm en la caracterización de lodos anaeróbicos y vinaza, sin embargo, estos datos son similares a los arrojados por Durán et al. (2015), quien trabajo con una DQO de 288.787 mg/L presente en vinaza cruda, la cual fue utilizada como sustrato para estudiar actividad metanogénica especifica en biorreactores anaerobios. Por lo anterior la presencia de una alta carga orgánica no fue impedimento para tomar la vinaza como sustrato para proceso de biodigestión anaerobia.

La realización de los ensayos cualitativos se hizo para evidenciar la producción de biogás, el cual se contuvo en un dispositivo (preservativo), del mismo modo que (Magaña et al., 2006) lo estableció, los resultados fueron positivos, demostrando que el dispositivo se inflaba a medida que el biogás se iba produciendo, sin embargo, fue necesario establecer tratamientos con diferentes grados de concentración debido a la variabilidad metabólica de los microorganismos presentes en los lodos inoculantes. La cantidad de biogás contenido en los preservativos variaba de acuerdo a la concentración de vinaza y el tipo de lodo utilizado como inoculante; en la tabla 2 es posible evidenciar la dinámica entre las diferentes concentraciones de vinaza más los inóculos evaluado.

Tabla 2: Dinámica entre la producción de biogás a diferentes concentraciones de vinaza, y con los diferentes inóculos.

A*: Lodos laguna de oxidación y enfriamiento; Β**: Lodos PTAR; C***: Lodos vinaza.

0: no producción.

1: mínima producción.

2: producción baja.

3: producción buena.

4: producción óptima.

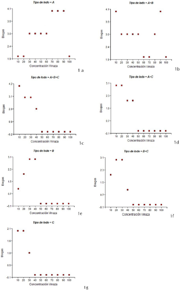
Mediante el ensayo cualitativo se observó la dinámica entre sustrato e inóculo (tabla 2), de acuerdo a esto se tomó en cuenta las concentraciones donde hubo óptima producción de biogás. El análisis de la influencia de los inóculos sobre las diferentes concentraciones de vinaza se realizó mediante un ANOVA, y en la figura 2 se observa de manera esquemática la dinámica de los valores que muestra la tabla 2.

Influencia de los lodos sobre la producción de biogás en las diferentes concentraciones de vinaza. 1a. Influencia del lodo de la laguna de oxidación y enfriamiento sobre la producción de biogás con diferentes concentraciones de vinaza. 1b. Influencia de los lodos de la laguna de oxidación y enfriamiento combinado con los lodos de la PTAR sobre la producción de biogás con diferentes concentraciones de vinaza. 1c. Influencia de los lodos de la laguna de oxidación y enfriamiento, combinado con los lodos de la PTAR y lodos de vinaza, sobre la producción de biogás con diferentes concentraciones de vinaza. 1d. Influencia de los lodos de la laguna de oxidación y enfriamiento, combinado con lodos de vinaza, sobre la producción de biogás con diferentes concentraciones de vinaza. 1e. Influencia de los lodos de la PTAR sobre la producción de biogás con diferentes concentraciones de vinaza. 1f. Influencia de los lodos de la PTAR combinados con lodos de vinaza sobre la producción de biogás con diferentes concentraciones de vinaza. 1g. Influencia de los lodos de vinaza sobre la producción de biogás con diferentes concentraciones de vinaza.

Figura 2: Influencia de los lodos sobre la producción de biogás en las diferentes concentraciones de vinaza. 1a. Influencia del lodo de la laguna de oxidación y enfriamiento sobre la producción de biogás con diferentes concentraciones de vinaza. 1b. Influencia de los lodos de la laguna de oxidación y enfriamiento combinado con los lodos de la PTAR sobre la producción de biogás con diferentes concentraciones de vinaza. 1c. Influencia de los lodos de la laguna de oxidación y enfriamiento, combinado con los lodos de la PTAR y lodos de vinaza, sobre la producción de biogás con diferentes concentraciones de vinaza. 1d. Influencia de los lodos de la laguna de oxidación y enfriamiento, combinado con lodos de vinaza, sobre la producción de biogás con diferentes concentraciones de vinaza. 1e. Influencia de los lodos de la PTAR sobre la producción de biogás con diferentes concentraciones de vinaza. 1f. Influencia de los lodos de la PTAR combinados con lodos de vinaza sobre la producción de biogás con diferentes concentraciones de vinaza. 1g. Influencia de los lodos de vinaza sobre la producción de biogás con diferentes concentraciones de vinaza.

Teniendo en cuenta las dinámicas mencionadas anteriormente, la reducción de volumen de vinaza y la evidencia de mayor producción de biogás en las altas concentraciones de vinaza, se determinó de esta manera que la concentración de 90% de vinaza con inóculo de lodos de la laguna de oxidación y enfriamiento, y la concentración de 90% de vinaza con inóculo de lodos PTAR + Lodos laguna, fueron los ensayos que más se aproximaban a lo esperado; por tanto, se puede decir que los lodos de la laguna de oxidación y enfriamiento contienen microorganismos productores de biogás con mayor adaptabilidad a altas concentraciones de vinaza. Se realizó análisis fisicoquímico a la vinaza final después de la digestión con lodos de mayor rendimiento en producción de biogás (tabla 3), los cuales se compararon con los parámetros medidos a la vinaza inicial.

Tabla 3: Resultados de los análisis fisicoquímicos de las vinazas antes y después de digestión.

De acuerdo a estos resultados del ANOVA y comparaciones de Tukey para detectar diferencias significativas de medias (p<0.05) se evidenció un significativo de remoción de sólidos totales, el cual fue de 21,6% con lodos de la PTAR, y 25, 4% con lodos de la laguna de oxidación, dato que es similar al de Contreras (2016), quien realizó cuantificación biogás en vinaza cruda, comparando la remoción de sólidos en vinaza cruda, sedimentos y sobrenadante de vinaza pretratada mediante coagulación-floculación-sedimentación. Además, este dato corrobora lo planteado por Gonzales y Duran (2014), "los sólidos son absorbidos por los microorganismos para su posterior uso en el metabolismo".

Cuantificación de biogás, medición de reducción de carga orgánica en términos de DQO y determinación de la AME.

Partiendo de los resultados obtenidos en la tabla 3, la evidencia de producción de biogás en el ensayo cualitativo y al porcentaje de volumen de vinaza reducidos (tabla 4), se determinó la concentración de vinaza y el inóculo que fue más efectivo en términos de producción de biogás y reducción de carga orgánica para la cuantificación de biogás.

Tabla 4: Porcentaje de reducción del volumen de vinaza después de la digestion (ensayo cualitativo).

Además de la producción de biogás, otros factores que se tuvieron en cuenta fue la concentración de vinaza; ya que al trabajar con concentraciones más elevadas reduciríamos las diluciones, y de esta manera se lograría tratar un volumen de vinaza mucho mayor.

La reducción del volumen de vinaza empleada en los dos ensayos mencionados en la tabla 4, muestran una dinámica positiva, no obstante, es evidente que el lodo de la laguna de oxidación y enfriamiento utilizado como inóculo, muestra un porcentaje de reducción de volumen más alto, esto explica que dichos lodos tienen la capacidad de actuar de una manera más eficaz en el sistema metanogénico. Sin embargo, al combinarlos con los lodos de la PTAR pueden no actuar de la misma manera que cuando están solos en el sistema, como hipótesis se plantea que esta dinámica se presenta debido a la cantidad de lodos utilizado, que en este caso es menor ya que se encuentra combinado, lo que reduce la concentración de cada lodo, y también a la posible competencia que se generaría, ya que las relaciones ecológicas que se establecen entre los grupos microbianos de los lodos y sus particularidades metabólicas pueden cambiar (Ferrer y Pérez, 2010).

Tabla 5: Parámetros fisicoquímicos de la vinaza antes y después de digestión (ensayo cuantitativo).

Durante 18 días se contabilizó la cantidad de biogás producido a partir del desplazamiento de líquido (figura 2), obteniéndose un valor de 674.5 mL, valor superior al reportado por Sanabria et al. (2012), el cual fue de 29.23 mL durante 40 días, esta diferencia se pudo dar debido a que dichos autores trabajaron con vinaza cruda, y por el contrario en este estudio se trabajó con una concentración de vinaza del 90%, lo que a su vez reduce la carga orgánica. Por otra parte, Duran et al. (2015), lograron producir 104,3 mL de metano a partir de vinazas tratadas con ozono y neutralizadas, esto difiere significativamente con los resultados obtenidos en esta investigación, ya que por el contrario en este estudio no se realizó tratamiento alguno a la vinaza y tampoco se neutralizaron.

En la figura 3, se observa la cinética de producción de biogás con relación al tiempo; para lograr esta curva los datos obtenidos en la tabla 6 se acumularon. Obteniendo esta curva se pudo determinar la cantidad de DQO removida por litro de CH4 producido, además se obtuvo la pendiente máxima de producción de biogás, la cual fue del día 10 hasta el día 13, lo que sirvió de base para determinar la actividad metanogénica específica; según Acosta et al. (2013), la pendiente máxima de producción de biogás solo se logra determinar mediante una curva, ya que es donde se comprueba velocidad de producción de CH4. Para Crombet, Abalos, Rodriguez y Perez (2015) la pendiente de producción de metano se obtuvo a partir de la primera generación de biogás, tomando como referencia todos los datos de producción en el montaje, en la figura 4 se observa el montaje del biorreactor anaerobio.

Curva de producción de biogás en relación al tiempo de digestión.

Figura 3: Curva de producción de biogás en relación al tiempo de digestión.

Tabla 6: Porcentaje de remoción de carga orgánica.

Montaje del biorreactor para cuantificar el biogás producido.

Figura 4: Montaje del biorreactor para cuantificar el biogás producido.

La determinación de parámetros fisicoquímicos se realizó a la vinaza inicial del montaje cuantitativo y a la vinaza después de la digestión (efluente), donde se establece la diferencia entre parámetros fisicoquímicos (tabla 5).

Los parámetros fisicoquímicos evaluados (solidos totales, solidos solubles, solidos fijos, solidos volátiles, solidos insolubres, Ph y conductividad) antes y después de la digestión con lodos de la laguna de oxidación redujeron significativamente aplicando un análisis de varianza y comparación de Tukey de (p<0.05).

La AME se expresa generalmente en gramos de DQO por gramos de sólidos volátiles por día (gDQOCH4/g SV*d), según el cálculo se obtuvo una AME de 0.2 gDQOCH4/g SV*d, comparando este resultado con el de Machado et al. (2016), quienes evaluaron la AME de lodos de una laguna de almacenamiento de vinazas, el cual presentó una concentración de solidos volátiles de 26,13% y AME= 0.15 gDQOCH4/gSSV.d, en el presente trabajo se evaluó la AME de vinaza + lodos laguna de oxidación y enfriamiento presentando una concentración de solidos volátiles de 16.93% lo que indica que la carga de sólidos sería menor, sugiriendo que el aumento de solidos volátiles en el sustrato es inversamente proporcional a la actividad metanogénica específica.

Por consiguiente, se analiza que el comportamiento en cuanto a la tasa de producción de biogás depende de los microorganismos metanogénicos presentes en los lodos de la laguna de oxidación y enfriamiento, que es mayor a la carga de microorganismos metanogénicos de los lodos de vinaza. La tasa de producción de biogás también puede estar ligada a la previa producción de acetato que se producen en los lodos de la laguna de oxidación y enfriamiento.

Además de obtener una AME favorable, se produjo también una reducción significativa de carga orgánica, en la tabla 6 se observa el porcentaje de remoción de DQO y sólidos.

La tasa de remoción de DQO y remoción de sólidos por la digestión anaerobia en esta investigación fue de 25,2% y 22,4% respectivamente, presentando una baja remoción en comparación con tratamientos aerobios, sin embargo al aplicar comparación estadística de Tukey (P<0.05) se concluye que la remoción es significativa, esto es debido a la baja tasa de crecimiento de los microorganismos anaerobios, sin embargo en investigaciones realizadas por Gil (2012) donde al igual que en este proyecto las vinazas no fueron neutralizadas trabajaron con pH= 4.4, presentando tasa de remoción similares a la de este estudio, del mismo modo Duran et al. (2015), no reportan datos significativos de remoción de DQO removida a pesar de realizar tratamientos de ozonificación a las vinazas. Por el contrario, Bermúdez, Hoyos y Rodríguez (2000) lograron remover más del 50% de DQO neutralizando con hidróxido de sodio la vinaza utilizada en el tratamiento anaerobio, lo que favorece al proceso de digestión. Lo que sugiere realizar neutralización del sustrato antes de iniciar el proceso de digestión.

Aislamiento y caracterización de microorganismos

El crecimiento de colonias negras en medio SPS confirma la presencia de sulfito reductoras, y de acuerdo a la morfología reportada en la tinción Gram donde se evidencian bacilos Gram positivos con presencia de esporas, se pudo determinar que dichas características corresponden presuntivamente a la presencia de Clostridium sp., resultado que es igual a lo reportado por Ortiz et al. (2015), quienes aislaron bacterias metanogénicos de un sistema DI-FAFS, operado con lixiviado, estiércol porcino y aguas residuales.

La presuntiva presencia de Clostridium sp se puede explicar de acuerdo a lo establecido por Almeida et al. (2011), y Madigan et al. (2003), quienes explican que la mayoría de las bacterias homoacetógenas pertenecen a este género, y teniendo en cuenta la dinámica de la digestión anaerobia, según Corrales et al. (2015), las bacterias de este grupo se desarrollan como productoras de hidrogeno junto a otras bacterias consumidoras de este, dentro de los géneros más sobresalientes de las bacterias homoacetogénicas se encuentran Clostridium aceticum, Clostridium formicoaceticum y Acetobacterium wooddi, quienes oxidan ácidos grasos, convierten el ácido propiónico, butírico y algunos alcoholes en acetato, hidrógeno y dióxido de carbono, el cual se utiliza en la metanogénesis,

En la tinción Gram se mostraron estructuras microbianas bacilares y Gram positivas. El crecimiento en medio de cultivo sólido se evidenció observándose colonias marrones, redondas, con borde definido y convexas (figura 5); dichas características se aprecian del mismo modo en que Acuña et al. (2008), y Ortiz et al. (2015), reportaron en sus respectivas investigaciones; donde establecen que el crecimiento presuntivo del genero Methanobacterium sp en medio de cultivo Barker Taha se da de esta manera, lo que acompañado de la tinción Gram, donde se evidencia morfología bacilar Gram positiva (figura 6, b) aproxima la presuntiva presencia de este género en el medio.

Crecimiento microbiano en todas las muestras sembradas, a) muestra de lodos PTAR. b) muestra del biorreactor. c) muestra de los lodos de la laguna de oxidación y enfriamiento.

Figura 5: Crecimiento microbiano en todas las muestras sembradas, a) muestra de lodos PTAR. b) muestra del biorreactor. c) muestra de los lodos de la laguna de oxidación y enfriamiento.

Microscopía de las colonias que crecieron en medio Barker Taha sólido, a) muestra lodos de la laguna de oxidación y enfriamiento, bacilos Gram positivos, largos y curvos, b) muestra biorreactor, bacilos Gram positivos, largos y curvos, c) muestra lodos PTAR, bacilos Gram positivos cortos y curvos.

Figura 6: Microscopía de las colonias que crecieron en medio Barker Taha sólido, a) muestra lodos de la laguna de oxidación y enfriamiento, bacilos Gram positivos, largos y curvos, b) muestra biorreactor, bacilos Gram positivos, largos y curvos, c) muestra lodos PTAR, bacilos Gram positivos cortos y curvos.

En la tinción Gram se observaron bacilos Gram positivos, sin esporas, alargados y curvos (figura 6).

CONCLUSIONES

Se evaluó las concentraciones de vinaza sobre los lodos inoculantes, llegando a la conclusión de que las concentraciones menores de vinaza pueden producir mayor cantidad de biogás, debido a la disminución de los sólidos volátiles aumentando la actividad metanogénica, sin embargo, la elección de la concentración de 90% de vinaza se realizó con el fin de trabajar con un dato aproximado a la realidad y de esta manera manejar volúmenes de vinaza pura más altos favoreciendo la depuración del potencial contaminante. No obstante, con esta concentración de vinaza se logró remover un porcentaje significativo de DQO y sólidos, lo que hace que este tratamiento sea indicado para tratar vinazas eficientemente sin ocasionar daños severos al medio ambiente y proporcionar energía limpia generando metano.

Se evaluó la producción de biogás mediante el test de AME, obteniéndose una AME de 0.2 gDQOCH4/g SV*d, concluyendo que este método tiene aplicabilidad en ensayos de biodigestión de diferentes sustratos como la vinaza, y resulta ser una técnica precisa para comparar la capacidad biodigestora en un sistema anaerobio.

Por otro lado, se lograron aislar microorganismos presuntivamente pertenecientes al género Methanobacterium, sin embargo, se estima que la presencia de bacterias sulfito reductoras pueda inhibir el crecimiento de los metanogénicos, sin embargo, estas producen acetato el cuál actúa como precursor del metano. Se sugiere para próximas investigaciones estudiar la influencia de bacterias sulfito reductoras en la dinámica de la producción de biogás, producción de acetato e inhibición de microorganismos metanogénicos.

BIBLIOGRAFÍA

  1. Acosta, Y., Chafón, J., & Pereda I. . (2013). Estudio de la digestión anaerobia mediante el ensayo de actividad metanogénica empleando vinazas con diferentes contenidos de sulfatos. ICIDCA sobre los derivados de la caña de azúcar, 47 (1), 45 - 50. 🠔
  2. Acuña, P., Ángel, L., Borray, E., Corrales, L., y Sánchez, L. (2008). Aislamiento e identificación de microorganismos del género Methanococcus y Methanobacterium de cuatro fuentes de Bogotá D.C. NOVA, 6 (10), 101-236. 🠔
  3. Almeida, A., Nafarrate E., Alvarado, A., Cervantes A., Luevanos, E., Oropeza R., y Balagurusamy, N. (2011). Expresión genética en la digestión anaerobia: un paso adelante en la comprensión de las interacciones tróficas de esta biotecnología. Revista Científica de la Universidad Autónoma de Coahuila, 3 (6), 14-34. 🠔
  4. APHA. (2005). Standard Methods for the Examination of Water and Wastewater. Washington, DC: American Public Health Association. 🠔
  5. Aristizábal, C. (2015). Caracterización físico-química de una vinaza resultante de la producción de alcohol de una industria licorera, a partir del aprovechamiento de la caña de azúcar. Ing. USBMed, 6 (2), 36-41. 🠔
  6. Bermúdez, R., Hoyos, J., y Rodríguez, S. (2000). Evaluación de la disminución de la carga contaminante de la vinaza de destilería por tratamiento anaerobio. Revista internacional de contaminación ambiental, 16 (3), 103 - 107. 🠔
  7. Bernal, M., Poblano, A., Toscano, D., y Duran, C. (2012). Ahorro de energía: Uso de reactores anaerobios termofílicos para la obtención de metano a partir de vinazas de ingenios azucareros-alcoholeros. Efecto de la temperatura en el desempeño de las biocomunidades anaerobias. Tecnología, Ciencia, Educación, (IMIQ), 27 (2), 80-88. 🠔
  8. Clavijo, J. (2015). Evaluación del proceso de digestión anaeróbica de vinaza pretratada con procesos avanzados de oxidación como alternativa energética de implementación tecnológica en un proceso de producción de etanol a partir de caña de azúcar. (Tesis de maestría). Universidad Nacional de Colombia, Palmira, Colombia. 🠔
  9. Contreras, D. (2016). Pruebas de biodegrabilidad acido-genica y metanogénica de sedimentos obtenidos por la floculación química de vinaza alcoholera. (Tesis de especialización). Universidad Autónoma Metropolitana, Ciudad de México, México. 🠔
  10. Corrales, L., Antolinez, D., Bohórquez, J., y Corredor, A. (2015). Bacterias anaerobias: procesos que realizan y contribuyen a la sostenibilidad de la vida en el planeta. NOVA , 13 (23), 55-81. 🠔
  11. Crombet, S., Abalos, A., Rodríguez, S., y Pérez, N. (2015). Evaluación del tratamiento anaerobio de las aguas residuales de una comunidad universitaria. Revista Colombiana de Biotecnología, 18 (1), 49 - 56. Doi: 10.15446/rev.colomb.biote.v18n1.57715. [DOI] 🠔
  12. Duran, M., Sanabria, J., y Gutierrez, N. (2015). Evaluación de la producción de metano en la digestión anaerobia de vinazas pretratadas con ozono. Revista EIA (Escuela de Ingeniería de Antioquia), 12 (24), 167-177. 🠔
  13. Ferrer, Y., y Perez, H. (2010). Los microorganismos en la digestión anaerobia y la producción de biogás. Consideraciones en la elección del inóculo para el mejoramiento de la calidad y el rendimiento. ICIDCA. Sobre los Derivados de la Caña de Azúcar, 43 (1), 9-20. 🠔
  14. García, A; y Rojas, C. (2006). Posibilidades de uso de vinaza en la agricultura de acuerdo con su modo de acción en los suelos. Nota técnica. Tecnicaña. 🠔
  15. Gil, J. (2012). Evaluación de la producción de metano en la digestión anaerobia de vinazas pretratadas con un proceso de oxidación avanzada. (Tesis de maestría). Universidad del Valle, Santiago de Cali, Colombia. 🠔
  16. Houbron, E., Sandoval M., y Hernández, A. (2016). Tratamiento de vinazas en un reactor de lecho fluidizado inverso anaerobio. Rev. Int. Contam. Ambie ., 32(3) 255-266, DOI: 10.20937/RICA.2016.32.03.01. [DOI] 🠔
  17. Ince, O., Kolokirik, M., Ayman, N., y Ince, B. (2005). Comparative evaluation of full scale USAB reactors treating alcohol distillery wastewaters in terms of performance and methanogenic activity. Journal of Chemical Technology and Biotechnology, 80 (2), 137-144. 🠔
  18. Machado, W., Marquetti, F., Molina, F., Gusils, C., y Quaia, E. (2016). Caracterización de lodos como inoculantes para un reactor anaeróbico para el tratamiento de vinaza. Rev. Ind. y Agríc. de Tucumán, 93 (2), 13-17. 🠔
  19. Madigan, M., Martinko, J., y Parker, J. (10 Ed). (2003). Biología de los microrganismos. Madrid España. Editorial Prentice Hall. 🠔
  20. Magaña, J., Torres, E., Martínez, M., Sandoval C., y Hernández R. (2006). Producción de biogás a nivel de laboratorio utilizando estiércol de cabras. Acta Universitaria, 16 (2), 27-37. 🠔
  21. Norma técnica colombiana 5167, Productos para la industria agrícola. Productos orgánicos usados como abonos o fertilizantes y enmiendas o acondicionadores de suelo, segunda actualización 2011. Disponible en: https://tienda.icontec.org/wp-content/uploads/pdfs/NTC5167.pdf [URL] 🠔
  22. Ortiz, J., Rodríguez, J., y Maldonado, A. (2015). Caracterización fenotípica de metanogénicas aisladas de un sistema difafs operado con lixiviado, agua residual y estiércol porcino. @limentech Ciencia y Tecnología Alimentaria, 13 (2), 108-122. 🠔
  23. Otero, M., Almanza, O., Bello, D., Saura, G., y Martinez, J. (2012). Reducción de la concentración de ion potasio en las vinazas de destilación de alcohol por medio de la propagación de Candida utilis. ICIDCA. Sobre los Derivados de la Caña de Azúcar , 46 (2), 23-29. 🠔
  24. Reyes, E. (2016). Producción de biogás a partir de bio-masa. Revista Científica de FAREM-Estelí. Medio ambiente, tecnología y desarrollo humano, 5 (17), 11-22. 🠔
  25. Ribeiro, K., y Silva, E. (2009). Estimate of the electric energy generating potential for different sources of biogas in Brazil. Biomass and Bioenergy, 33(9), 1101 - 1107. Doi:10.1016/j.biombioe.2009.03.001 [DOI] 🠔
  26. Sanabria, J., Duran, M., y Gutiérrez, N. (2012). Comparación de dos métodos de medición de actividad meta-nogénica especifica en reactores anaerobios aplicados al tratamiento de vinazas. Revista ingeniería y región, 9, 75-82. 🠔
  27. Zúñiga, V., y Gandini, M. (2013). Caracterización ambiental de las vinazas de residuos de caña de azúcar resultantes de la producción de etanol. Dyna, 80 (177), 124-131. 🠔