Revista Colombiana de Biotecnología
0123-3475
Instituto de Biotecnología, Universidad Nacional de Colombia
https://doi.org/10.15446/rev.colomb.biote.v21n2.79975

Recibido: 30 de mayo de 2019; Aceptado: 15 de octubre de 2019

Biorremediación de mercurio y níquel por bacterias endófitas de macrófitas acuáticas

Bioremediation of mercury and nickel by endophytic bacteria of aquatic macrophytes

M. Torres Perez, *D. Vitola Romero, **A. Perez Cordero, ***

Magister en Ciencias Ambientales Sue-Caribe. Universidad de Sucre. Mria-paulina17@hotmail.com. ORCID: 0000-0002-00435544, Colombia. Universidad de Sucre Universidad de Sucre Colombia
Estudiante de maestría en Ciencias Ambientales Sue-Caribe. Universidad de Sucre. fitoquimicapn@gmail.com. ORCID:0000-0001-5000-9976, Colombia. Universidad de Sucre Universidad de Sucre Colombia
PhD. En microbiología agrícola. Universidad de Sucre. alexander.perez@unisucre.edu.co. ORCID: 0000-0003-3989-1747, Colombia. Universidad de Sucre Universidad de Sucre Colombia

RESUMEN

La contaminación ambiental se ha categorizado como uno de los principales problemas que afecta la salud de las diferentes formas de vida. Las bacterias endófitas (BE), son capaces de mejorar el estado nutricional de las plantas y remover contaminantes del suelo. La subregión la Mojana funciona como zona de amortización de ríos. En este estudio, se colectaron muestras de macrófitas acuáticas de las ciénagas de Ayapel, San Marcos y San Benito Abad, de los cuales se aislaron bacterias endófitas. Se cuantificó las densidades poblacional de estas bacterias y su respectiva tolerancia a los metales pesados níquel y mercurio. Posteriormente, las cepas tolerantes fueron identificadas molecularmente y se les evaluó su capacidad de promover el crecimiento vegetal. Un total de 182 morfotipos de bacterias endófitas fueron aislados, los mayores promedios de densidad poblacional se obtuvieron en las macrófitas de la ciénaga de San Benito Abad ubicada en las coordenadas coordenadas 8°55'32.81" N y 75°1'13.72" O. Los mayores promedios de morfotipos tolerantes a mercurio y níquel se encontraron en la ciénaga de Ayapel en las coordenadas 8°18'51.10" N y 75°8'8.26" O. Los resultados muestran que los aislados con mayor potencial biotecnológico son BAT6, BAR2 y PAT2, donde los dos primeros tienen una homología del 100% con la especie Lysinibacillus fusifomis y el género Enterobacter, respectivamente, mientras que el tercer aislamiento tuvo una homología del 96% con la especie Burkholderia cepacia. El presente estudio reporta por primera vez la presencia de Lysinibacillus fusifomis y Burkholderia cepacia asociadas a macrófitas en cuerpos cenagosos de Sucre y Córdoba.

Palabras claves:

contaminación, metales pesados, fitorremediación, plantas.

ABSTRACT

Environmental pollution has been categorized as one of the main problems that affects the health of different life forms. Endophytic bacteria (BE) are able to improve the nutritional status of plants and remove soil contaminants. The Mojana subregion works as a river depreciation zone. In this study, samples of aquatic macrophytes were collected from the marshes of Ayapel, San Marcos and San Benito Abad, from which endophytic bacteria were isolated. The population densities of these bacteria and their respective tolerance to nickel and mercury heavy metals were quantified. Subsequently, the tolerant strains were molecularly identified and their ability to promote plant growth was evaluated, from which the population densities of endophytic bacteria and tolerance to heavy metals were isolated and determined. , to the tolerant isolates and capable of growing in nickel and mercury, plant growth promotion was evaluated, finally they were identified at the molecular level. A total of 182 morphotypes of endophytic bacteria were isolated, the highest population density averages were obtained in the macrophytes of the swamp of San Benito Abad located at the coordinates coordinates 8 ° 55'32.81'' N and 75 ° 1 '13.72 "W , lo. The highest averages of mercury and nickel tolerant morphotypes were found in the Ayapel swamp at coordinates 8 ° 18'51.10'' N and 75 ° 8'8.26 "O. L The results show that the isolates with the greatest biotechnological potential are BAT6, BAR2 and PAT2, where the first two have a 100% homology with the species Lysinibacillus fusifomis and the genus Enterobacter, respectively, while the third isolation had a homology of 96% with the species Burkholderia cepacia show that the isolated BAT6, presented 100% homology with the species of bacteria Lysinibacillus fusifomis; BAR2 100% homology with the bacterial species belonging to the genus Enterobacter and PAT2 96% homology with the species Burkholderia cepacia. The present study reports for the first time the presence of Lysinibacillus fusifomis and Burkholderia cepacia associated with macrophytes in swampy bodies of Sucre and Córdoba.

Key Word:

contamination, heavy metals, phytoremediation, plants.

INTRODUCCIÓN

La contaminación ambiental se ha categorizado como el principal problema que afecta la salud de todas las formas de vida, la pérdida de la calidad del aire, agua y suelo se ha evidenciado a través del tiempo. Los metales pesados (MP) son los principales contaminantes ambientales que presentan efectos negativos en la salud, considerados altamente tóxicos y están presentes en todos los compartimentos ambientales (Pérez et al., 2015). El mercurio (Hg), es uno de los MP de mayor toxicidad (Ramírez, 2008), ya que puede generar daños en órganos, sistema nervioso central, renal, pulmonar, cardiovascular, enfermedades autoinmunes, reducción del crecimiento y desarrollo y en altas cantidades, la muerte (Valderas et al., 2013; Crowe et al., 201 7); El mercurio en su estado Hg2+, puede ser reducido a Hg0 mediante la enzima citoplasmática mercurio reductasa (MerA) junto a la enzima organo-mercurio liasa; si son compuestos organomercuriales, específicamente el mecanismo consiste en proteína liasa organomercurial (MerB) que transforma el metilmercurio (CH3Hg+) a Hg2+ que es menos tóxico (Wu et al., 2010). Se han descrito otro tipo de enzimas tales como cromato reductasa, citocromo P450, para el cromato y ArsC para arsénico (Marrero et al., 2010).

El Níquel (Ni) por su parte, es un elemento esencial para los seres vivos que a niveles bajos actúa como cofactor enzimático, pero al aumentar los niveles puede volverse altamente tóxico causando pérdida de peso corporal, anemia, afecciones cardiacas y hepáticas, trastornos gastrointestinales, irritación de la piel, fibrosis pulmonar y cáncer de pulmón (Pahlavanzadeh et al., 2010); para el Ni se emplea un sistema de tolerancia denominado sistema de expulsión de cationes (CDF), presente en Bacteria, Archaea y Eukarya, las cuales, son transportadoras de Zn pero pueden expulsar MP como Cd, Co, Ni e incluso Fe y cuentan con seis segmentos transmembranales (STM), que funcionan como homodímeros en la membrana interna y expulsan los MP al espacio periplásmico, este transporte de iones se encuentra asociado con un proceso quimiostatico que se relaciona intercambio con protones en el que participan residuos de histidina, aspartato y glutamato (Cervantes et al., 2006).

En el mundo diariamente se calculan dos mil millones de metros cúbicos de aguas contaminadas, lo que pone en riesgo la calidad de este recurso. En Colombia, los aportes generados por la industrialización, ganadería, agricultura, minería, además del crecimiento de la población, ha elevado el interés por los estudios de calidad del agua (Reyes et al., 2016). Los niveles de MP máximos permitidos en agua residual por el Ministerio de Ambiente y Desarrollo Sostenible (2015) son de 0,5 y 0,02 mg/L para Ni y Hg, respectivamente, lo cuales están por encima de los permitidos por la Agencia de Protección Ambiental de los Estados Unidos son de 0,2 y 0,00003 mg/L, también para Ni y Hg, respectivamente (Nguyen et al., 2013).

Con el fin de mitigar los impactos negativos causados por los MP, se han implementado diferentes métodos fisicoquímicos que tienen la desventaja de ser altamente costosos, poco eficientes y pueden generar daños irreversibles en suelo y agua, por ende en los seres vivos que se encuentren en ellos. Las estrategías biotecnológicas surgen como excelentes alternativas; siendo la fitorremediación una de las técnicas implementadas que representa bajos costos y garantiza el cuidado del medio ambiente durante los procesos de rehabilitación. Las bacterias endófitas (BE), son definidas como aquellas que viven dentro de los tejidos de las plantas, sin generarle enfermedad (Porras y Bayman, 2011).

La interacción entre plantas y bacterias tolerantes favorecen la eficiencia de los procesos de fitorremediación, dada por la capacidad de las bacterias de transformar enzimáticamente los contaminantes, convirtiéndolos a su forma menos tóxica (Doncel et al., 2016). Las bacterias juegan un papel importante en la transformación de MP ya que influencian su biodisponibilidad y remediación, pueden alterar la toxicidad, solubilidad en agua y la movilidad del elemento (Bolan et al., 2014). La raíz es la principal ruta de entrada y acumulación de MP, por lo tanto, las bacterias que se encuentran presentes en este tejido son aquellas que se posee la maquinaria bioquímica o genética que le permite sobrevivir a estos contaminantes (Marrero et al., 2012). Luo et al. (2011), sostienen que es posible que las BE se adapten a vivir bajo estrés constante por la presencia de metal pesados, ganando tolerancia. Ésto puede deberse, a que cuando una célula se enfrenta a grandes concentraciones de algún metal pesado los transporta hasta el citoplasma en forma de cationes vía transportadores del sistema inespecífico celular; además, se activan otros mecanismos como el empleo de trasportadores de membranas que expulsan estos iones al ambiente, modificaciones enzimáticas para cambiar el estado redox y la incorporación de iones metálicos en las células; sin embargo, es posible que se generen mutaciones debido a la presión ejercida por el medio contaminado (Marrero et al., 2010; Martínez et al., 2010). Existe gran variedad de BE que mejoran el estado nutricional de las plantas mediante la fijación de nitrógeno (FBN), solubilización de fosfatos (SF) y producción de sideróforos (PS) necesario para la captación de nutrientes esenciales (Sessitsch et al., 2013); la capacidad del microrganismo producir el sideróforo, se puede demostrar empleando el medio cromo azurol-S (CAS) debido a que el sideroforo producido remueve el hierro del complejo creando un halo color naranja (García et al., 2012). Dentro de las utilidades más importantes de los sideróforos está, ayudar a las plantas a reducir la toxicidad generada por MP en medios contaminados y por ende optimizar los procesos de fitorremediación participando en la reducción del efecto inhibitorio de algunos MP sobre la síntesis de auxinas (Rajkumar et al., 2009). Las BE también son capaces de eliminar fitopatógenos y remover contaminantes optimizando los procesos de fitorremediación (Pérez y Chamorro, 2013).

La subregión fisiográfica de la Mojana se encuentra conformada por municipios pertenecientes a los departamentos de Antioquía, Bolívar, Córdoba y Sucre; se caracteriza principalmente por ser parte de la planicie aluvial de la depresión Momposina donde finalmente confluyen los ríos Cauca, Magdalena, San Jorge, Caribona y Nechí. Esta región se encuentra conformada por humedales que funcionan como zonas de regulación de corrientes de los ríos Magdalena, Cauca y San Jorge. Sin embargo, estos ríos se encuentran afectados por la minería del oro en la que se utiliza Hg durante la extracción del preciado metal. En el caso del Ni, existen seis yacimientos mineros cercanos a cuerpos de agua, tres en el departamento de Córdoba y tres en Antioquia, por lo que también afectan negativamente la Mojana Sucreña (Pérez et al., 2015). Los cuerpos de agua que hacen parte de esta región, son ricos en fauna y flora, albergan gran densidad de macrófitas que toleran condiciones de contaminación, por lo cual, esta flora constituye una gran materia prima de investigación científica y biotecnológica. Aunque existen estudios que indican la importancia de especies de macrófitas acuáticas utilizadas en procesos de fitorremediación de MP, hasta la fecha no existe reportes de BE asociadas con macrófitas acuáticas con capacidad de tolerar Ni y Hg. Es por ello, que esta investigación determinó in vitro la capacidad de tolerancia a MP de BE asociadas a plantas acuáticas presente en las ciénagas de San Marcos, San Benito Abad y Ayapel y evaluar su actividad promotora de crecimiento (APC).

MATERIALES Y METODOS

Área de estudio

El área de estudio fue seleccionada mediante levantamiento de información con reporte de alta contaminación con Hg y Ni, por lo cual, se eligió el río San Jorge que irriga las ciénagas San Benito Abad y San Marcos en el departamento de Sucre y la ciénaga Ayapel en Córdoba. El muestreo se realizó durante el mes de mayo de 2017 de forma aleatoria en zig-zag, colectando 10 plantas completas de cada especie. Las muestras fueron etiquetadas y almacenadas a 25°C, se procesaron dentro de las siguientes 24 h. Una parte de los especímenes vegetales fueron llevados al herbario de la Universidad de Sucre para corroborar la identidad taxonómica.

Aislamiento de BE

Las BE fueron aisladas en el laboratorio de Investigaciones microbiológicas de la Universidad de Sucre a partir de los tejidos; raíz, tallo y hojas, siguiendo el protocolo propuesto por Pérez et al. (2010), que consiste en realizar una desinfección superficial de cada tejido. Seguidamente, los tejidos fueron macerados y transferidos a 9 mL de caldo peptona e incubados a 30 ± 2 °C por 24 h. Después se realizaron diluciones seriadas hasta 108, se inocularon 100 μL en agar R2A e incubaron a 30 ± 2 °C por 72 h. La densidad poblacional de BE por tejido (UFC/g de tejido), fue estimada mediante la técnica de conteo directo de colonias, seleccionándolas según su forma, aspecto de la superficie, color y tamaño. Los morfotipos seleccionados fueron purificados y mantenidos en agar R2A.

Evaluación in vitro de la tolerancia a Hg y Ni de BE

El ensayo consistió en inocular cada morfotipo seleccionado en agar R2A suplementado con HgCl2 y NiCl2 a concentraciones de 50, 100, 150 y 200 mg/L e incubados a 32 °C por 8 días. Luego se procedió a la observación de la presencia o ausencia del crecimiento bacteriano en cada caja (Rajkumar et al., 2013).

Determinación in vitro de la APC de las BE Fijación biológica de nitrógeno (FBN)

La capacidad cualitativa de la FBN se realizó por siembra de colonias en medio BURK (Park et al., 2005; Tejera et al., 2005) carente de nitrógeno. Los resultados fueron observados según el crecimiento de la BE en medio.

Solubilización de fosfato (SF)

La evaluación de la actividad SF se llevó a cabo sobre la superficie del medio NBRID (Dawwam et al., 2013), el cual, contiene sales de fosfato de calcio y púrpura de bromocresol como indicador de pH. A los 6 días de siembra fueron seleccionadas las colonias bacterianas que formaron un halo transparente, indicando el proceso de acidificación del medio positivo para actividad SF.

Producción de sideróforos (PS)

La PS fue evaluada en medio cromo azurol-S (CAS) propuesto por Schwyny y Neilands (1987). Las cepas fueron inoculadas e incubadas durante 7 días a 30°C.

Identificación molecular de las BE

Extracción DNA, Amplificación y Secuenciamiento

Los morfotipos de BE que mostraron mayor tolerancia a Hg y Ni fueron identificados molecularmente. Inicialmente se realizó tinción de Gram. Se siguió el protocolo descrito por Oliveira et al. (2013), para la extracción de rDNA 16S. La amplificación de los fragmentos se realizó por PCR usando oligonucleótidos específicos para grupos de eubacterias. Los productos fueron enviados a secuenciamiento a la empresa Macrogen (Seúl, Corea del Sur). Las entidades de las secuencias nucleotídicas obtenidas fueron comparadas con las almacenadas en bancos de datos de la National Center For Biotechnology information (NCBI). El alineamiento de las bases fue realizado por medio del programa clusteal W y el análisis y correlación con el programa MEGA 6®. Las inferencias filogenéticas fueron obtenidas por medio de distancia y máxima parsimonia de Neighbor-joining con prueba bootstrap (1.000 réplicas). Los árboles para el análisis filogenético de las secuencias fueron reconstruidas con el programa MEGA 6.0®

Análisis Estadístico

Con los resultados se estableció el criterio de normalidad con la prueba de Shapiro Wilks. Posteriormente, se realizó un ANOVA para la densidad de BE (UFC/g de tejido) y tolerancia a MP mediante un DCA con arreglo factorial 3x3x3x5 y 2x4x182 respectivamente. Las diferencias estadísticas se determinaron con la prueba de Tukey (HSD) (p-valor≤ 0,05). Todos los ensayos se realizaron por triplicado y procesados en el software InfoStat versión libre.

RESULTADOS Y DISCUSIÓN

Identificación del material vegetal

Las tres especies colectadas corresponden a Neptunia oleracea Lour, Eichhornia crassipes (Mart.) Solms y Paspalum repens Bergius. E. crassipes es una planta acuática flotante, aunque es considerada maleza, se ha empleado en procesos de fitorremediación, por poseer gran capacidad de crecer en aguas altamente contaminadas por MP (Mahamadi, 2011). Algunas especies de Paspalum son importantes a nivel económico por ser considerado un excelente pasto (Ortiz et al., 2015). Pérez et al. (2016), aislaron BE de P. arundinaceum con capacidad de tolerar hasta 400 mg/L de Hg.

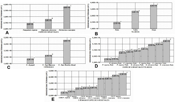
Densidad poblacional de BE

Un total de 182 morfotipos de BE fueron aislados de las diferentes plantas colectadas en las tres ciénagas muestreadas. El ANOVA indica diferencias significativas entre las especies vegetales, el tipo de tejidos analizado y las ciénagas evaluadas, así como entre sus interacciones (figura 1), hallando los mayores promedios de densidad poblacional de BE en la especie E. crassipes con 4,0x1010 UFC/g de tejido y en menor medida en P. repens con 2,8 x1010 UFC/g de tejido (figura 1. A). Referente a los tejidos, los niveles más altos los mostraron las hojas con 4,1x1010 UFC/g de tejido y por último las raíces con 2,1 x1010 UFC/g de tejido (figura 1. B).Con respecto a las ciénagas, la densidad más alta fue en San Benito Abad con 4,9x1010 UFC/g de tejido, seguida de San Marcos con 2,7x1010 UFC/g de tejido y finalmente Ayapel con 2,1x1010 UFC/g de tejido (figura 1. C).

Densidad poblacional de BE. A. Por especies vegetales. B. Por tejidos vegetales. C. Por ciénagas (San Marcos (CSM), Ayapel (CA), Ciénaga de San Benito Abad (CV). D. Interacción entre especie vegetal y tejido. E. Interacción entre ciénagas y especies vegetales.

Figura 1: Densidad poblacional de BE. A. Por especies vegetales. B. Por tejidos vegetales. C. Por ciénagas (San Marcos (CSM), Ayapel (CA), Ciénaga de San Benito Abad (CV). D. Interacción entre especie vegetal y tejido. E. Interacción entre ciénagas y especies vegetales.

En la interacción especies vegetales y tejidos no se hallaron diferencias significativas entre los tallos y las hojas de E. crassipes mostrando este último los mayores promedios con 4,8x1010 UFC/g de tejido (figura 1. D). Por último, la interacción entre las ciénagas y las especies vegetales no se hallaron diferencias estadísticas entre P. repens y E. crassipes de San Benito Abad (CV), sin embargo, esta última especie, evidenció los mayores promedios de densidad bacteriana con 5,3x1010 UFC/g de tejido (figura 1. E).

Evaluación in vitro de la tolerancia a Hg y Ni de BE

Los resultados de la prueba de tolerancia de BE a diferentes concentraciones 50, 100, 150 y 200 mg/L para Hg y Ni respectivamente, muestran diferencias significativas entre los MP, las especies vegetales, sus tejidos, las ciénagas y los morfotipos bacterianos. Se evidencia que del total de las BE aisladas (182 morfotipos), fueron tolerantes en su mayoría a concentraciones de 75,8% Ni (135 morfotipos) a diferencia de Hg 21,7% (44 morfotipos) (figura 2. A); sin embargo, se aislaron BE tolerantes a los dos metales (44 morfotipos) . Las BE procedentes de E. crassipes fueron en general más tolerantes (31,9% crecieron en Ni y 42,4% en Hg) y los morfotipos menos tolerantes procedían de N. oleracea (21,3% crecieron en Ni y 17,1% Hg) (figura 2. B). Con respecto a los tejidos, los morfotipos bacterianos aislados de raíces mostraron mayor tolerancia (21,5% crecieron en Ni y 54,6% en Hg), aunque no se hallaron diferencias entre el tallo y las hojas (figura 2. C). Con respecto a la ciénagas, los nieveles de tolerancia mas altos fueron de aislados procedentes de Ayapel, seguidos de los originarios de San Marcos y San Benito Abad, con niveles de crecimiento en Ni de 47,5%, 19,6% y 19,7% respectivamente (figura 2. D). Asimismo, de el total de aislados (182 morfotipos), solo 3 presentaron los mejores promedios de tolerancia en los MP evaluados (Ni y Hg), correspondientes a los morfotipos BAR2, BAT6 y PAT2; en los cuales, no se hallaron diferencias significativas. Sin embargo; BAT6 fue el más tolerante a Hg con 44,2% y BAR2 a Ni con 52,1% (figura 2. E).

Tolerancia a mercurio y níquel de los morfotipos bacterianos según el porcentaje de sobrevivencia. A. Por metal pesado. B. Por especies vegetales. C. Por tejidos vegetales. D. Por ciénagas. E. Por morfotipo bacteriano.

Figura 2: Tolerancia a mercurio y níquel de los morfotipos bacterianos según el porcentaje de sobrevivencia. A. Por metal pesado. B. Por especies vegetales. C. Por tejidos vegetales. D. Por ciénagas. E. Por morfotipo bacteriano.

Determinación in vitro de la APC de las BE.

Los resultados de la APC de los morfotipos más tolerantes se muestran en la siguiente tabla.

Tabla 1: Resultados promoción de crecimiento. P: Pasto, B: Buchón, A: Ayapel, R: raíz, T: tallo. (+): Actividad positiva, (-): Actividad negativa.

Análisis molecular

Los resultados muestran homología del 100% entre el asilado BAT6 con la especie Lysinibacillus fusifomis y BAR2 con el género Enterobacter y homología del 96% entre PAT2 y Burkholderia cepacia (figura 3).

Árbol filogenético de máxima similitud de las BE tolerantes a MP y con APC.

Figura 3: Árbol filogenético de máxima similitud de las BE tolerantes a MP y con APC.

L. fusifomis (BAT6) habita en suelo y ha sido aislada como BE, es considerada control biológico para enfermedades que se presentan en el cacao (Melnick et al., 2011). PAT2 corresponde a B. cepacia, la cual es ubicua del suelo y agua (Glowicz et al., 2018) y BE de Lupinus luteus con resistencia a Co, Cu, Cd, Hg, Ni, Pb y Zn, destacando la capacidad para ayudar a su hospedadora a adaptarse a condiciones desfavorables (Ma et al., 2016). Además, posee APC mediante la fijación de nitrógeno, sideróforos, solubilización de fosfato, biocontrol de fitopatógenos y biorremediación (Mathew et al., 2014; Ghosh et al., 2016; Rojas et al., 2018).

BAR2 pertenece al género Enterobacter, cuyas especies tienen la capacidad para remediar Hg2+(Sinha et al., 2012) y específicamente E. cloacae en consorcio remueve Cd, Cu, Pb y Zn (Ojuederie y Babalola, 2017). Numan et al. (2015) señalaron que especies de Enterobacter poseen APC como ACC desaminasa, SF, producción de IAA y PS demostrando que estas bacterias desempeñan un papel en la mejora de la eficiencia de la fitorremediación de los suelos degradados por MP.

CONCLUSIONES

Tres morfotipos bacterianos mostraron alta capacidad de tolerar In vitro diferentes concentraciones de mercurio y níquel con 84,6% para PAT2, 83,8% para BAT6, 82,7% para BAR2. Así mismo, los aislados que presentaron tolerancia en los dos metales evaluados fueron identificados como Enterobacter sp, Lysinibacillus fusifomis y Burkholderia cepacia. Por tal motivo, se propone su capacidad para asistir los procesos de fitorremediación y de esta manera, ser optimizados.

En este estudio se reportan por primera vez la presencia de Lysinibacillus fusifomis y Burkholderia cepacia asociadas a macrófitas en cuerpos cenagosos de Sucre y Córdoba.

BIBLIOGRAFÍA

  1. Bolan, N., Kunhikrishnan, A., Thangarajan, R., Kumpiene, J., Park, J., Makino, T., Kirkham, M., & Scheckel, K. (2014). Remediation of heavy metal (loid)s contaminated soilsto movilize or to immobilize. J. Hazard. Mater ., 266, 141-166. 🠔
  2. Cervantes, C., Espino, S.A.E., Acevedo, F., León, I. L., Rivera, M. E., Avila, M., Wróbel, K., Wróbel, Z.K., Gutiérrez, C.J.F., Rodríguez, Z.J.S., & Moreno, R. (2006). Interacciones microbianas con metales pesados. Latinoam. Microbiol ., 48(2), 203-210. 🠔
  3. Crowe, W., Allsopp, P.J., Watson, G.E., Magee, P.J., Strain, J.J., Armstrong, D.J., Ball, E., & McSorley, E.M. (2017). Mercury as an environmental stimulus in the development of autoimmunity-A systematic review. Autoimmun. Rev ., 16(1), 72-80. 🠔
  4. Dawwam, G.E., Elbeltagy, A., Emara, H.M., Abbas, I.H., & Hassan, M.M. (2013). Beneficial effect of plant growth promoting bacteria isolated from the roots of potato plant. Annals of Agricultural Sciences, 58(2), 195-201. 🠔
  5. Doncel, A., Chamorro, L., & Pérez, A. (2016). Actividad in vitro de bacterias endófitas promotoras de crecimiento asociadas con pasto colosoana en el municipio de Corozal, Sucre. RECIA. 8: 351-360. 🠔
  6. García, C., Passerini De Rossi, B., Alcaraz, E., Vay, C., & Franco, M. (2012). Siderophores of Stenotrophomonas maltophilia: detection and determination of their chemical nature. Revista Argentina de Microbiología, 44(3), 150-154. 🠔
  7. Geisseler, D., Horwath, W., Joergensen, R., & Ludwig, B. (2010). Pathways of nitrogen utilization by soil microorganisms: A review. Soil Biol. Biochem ., 42, 2058-2067. 🠔
  8. Ghosh, R., Barman, S., Mukherjee, R., & Mandal, N.C. (2016). Role of phosphate solubilizing Burkholderia spp. for successful colonization and growth promotion of Lycopodium cernuum L. (Lycopodiaceae) in lateritic belt of Birbhum district of West Bengal, India. Microbiological Research ., 183, 80-91. 🠔
  9. Glowicz, J., Crist, M., Gould, C., Moulton-Meissner, H., Noble-Wang, J., de Man, T.J., Perry, K.A., Miller, Z., Yang, W.C., Langille, S., Ross, J., Garcia, B., Kim, J., Epson, E., Black, S., Pacilli, M., LiPuma, J., & Fagan, R. (2018) B. cepacia Investigation Workgroup. (2018). A multistate investigation of health care-associated Burkholderia cepacia complex infections related to liquid docusate sodium contamination, January-October 2016. Am. J. Infect. Control ., 46(6), 649-655. 🠔
  10. Luo, S., Chen, L., Chen, J., Xiao, X., Xu, T., Wan, Y., Rao, C., Liu, C., Liu, Y.T., Lai, C., & Zeng, G. (2011). Analysis and characterization of cultivable heavy metal-resistant bacterial endophytes isolated from Cd-hyperaccumulator Solanum nigrum L. and their potential use for phytoremediation. Chemosphere, 85(7), 1130-1138. 🠔
  11. Ma, Y., Rajkumar, M., Zhang, C., & Freitas, H. (2016). Beneficial role of bacterial endophytes in heavy metal phytoremediation. J. Environ. Manage ., 174(1), 14-25. 🠔
  12. Mahamadi, C. (2011). Water hyacinth as a biosorbent: a review. Afr. J. Environ. Sci. Technol ., 5(13), 1137-1145. 🠔
  13. Marrero, J., Amores, S.I., & Coto, P.O. (2012). Fitorremediacion, una tecnología que involucra a plantas y microorganismos en el saneamiento ambiental. ICIDCA, 46(3), 52-61. 🠔
  14. Marrero, C.J., Díaz, V.A., & Coto, P.O. (2010). Mecanismos moleculares de resistencia a metales pesados en las bacterias y sus aplicaciones en la biorremediación. CENIC. Ciencias Biológicas, 41 (1), 67-78. 🠔
  15. Marrugo, N.J., Durango, H.J., Pinedo, H.J., Olivero, V.J., & Díez, S. (2015). Phytoremediation of mercurycontaminated soils by Jatropha curcas. Chemosphere, 127, 58-63. 🠔
  16. Martínez, A., Cruz, M., Veranes, O., Carballo, M. E., Salgado, I., Olivares, S., & Rodríguez, D. (2010). Resistencia a antibióticos ya metales pesados en bacterias aisladas del río Almendares. CENIC. Ciencias Biológicas , 41(4), 1-10. 🠔
  17. Mathew, A., Eberl, L., & Caelier, A. (2014). A novel siderophore-independent strategy of iron uptake in the genus Burkholderia. Molecular Microbiology, 91(4), 805-820. 🠔
  18. Melnick, R.L., Suarez, C., Bailey, B.A., & Backman, P.A. (2011). Isolation of endophytic endosporeforming bacteria from Theobroma cacao as potential biological control agents of cacao diseases. Biol. Control ., 57(3), 236-245. 🠔
  19. Nguyen, T.A.H., Ngo, H.H., Guo, W.S., Zhang, J., Liang, S., Yue, Q.Y, Li, Q., & Nguyen, T.V. (2013). Applicability of agricultural waste and by-products for adsorptive removal of heavy metals from wastewater. Bioresour. Technol. 148: 574-585. 🠔
  20. Numan, M., Bashir, S., Khan, Y., Mumtaz, R., Khan Shinwari, Z., LatifKhan, A., Khan, A., & AL-Harrasi, A. (2018). Plant growth promoting bacteria as an alternative strategy for salt tolerance in plants: A review. Microbiological Research ., 209, 21-32. 🠔
  21. Ojuederie, O., & Babalola, O. (2017). Microbial and plant-assisted bioremediation of heavy metal polluted environments: A review. Int. J. Environ. Res. Public Health ., 14(12), 1-26. 🠔
  22. Oliveira, M., Santos, T., Vale, H., Delvaux, J., Cordero, P., Ferreira, A., Miguel, P., Totola, M., Costa, D., Moraes, A., & Borges, A. (2013). Endophytic microbial diversity in coffee cherries of Coffea arabica from southeastern Brazil. Can. J. Microbiol ., 59, 221-30. 🠔
  23. Ortiz, J., Arnelas, I., Cerros, R., Siqueiros, E., & Tun, J. (2015). El género Paspalum L. (Paspaleae, Poaceae) en la península de Yucatán, México. Act. Bot. Mex. 113: 35-73. 🠔
  24. Pahlavanzadeh, H., Keshtkar, A. R., Safdari, J., & Abadi, Z. (2010). Biosorption of nickel(II) from aqueous solution by brown algae: Equilibrium, dynamic and thermo-dynamic studies. J. Hazard. Mater ., 175(1-3), 304-310. 🠔
  25. Park, M., Kim, C., Yang, J., Lee, H., Shin, W., Kim, S., & Sa, T. (2005). Isolation and characterization of diazotrophic growth promoting bacteria from rhizosphere of agricultural crops of Korea. Microbiological Research ., 160 (2), 127-133. 🠔
  26. Pérez, A., Arroyo, E., & Chamorro, L. (2015). Resistencia a níquel en bacterias endófitas aisladas a partir de Orizasativa en Colombia. RSVM, 35, 20-25. 🠔
  27. Pérez, A., Martínez, D., Barraza, Z., & Marrugo, J. (2016). Bacterias endófitas asociadas a los géneros Cyperus y Paspalum en suelos contaminados con mercurio. U.D.C.A Act. & Div. Cient ., 19(1), 67-76. 🠔
  28. Pérez, A., Rojas, J., & Fuentes, J. (2010). Diversidad de bacterias endófitas asociadas a raíces del pasto colosuana (Bothriochloa pertusa) en tres localidades del departamento de Sucre, Colombia. Acta Biológica Colombiana, 15(2), 219-228. 🠔
  29. Pérez, A., Tuberqui A., & Amell, D., (2014). Actividad in vitro de bacterias endófitas fijadoras de nitrógeno y solubilizadoras de fosfatos. Agron. Mesoam ., 25(2), 213-223. 🠔
  30. Pérez, A., & Chamorro, L. (2013). Bacterias endófitas: un nuevo campo de investigación para el desarrollo del sector agropecuario. RECIA , 5(2), 439-462. 🠔
  31. Porras-Alfaro, A., & Bayman, P. (2011). Hidden fungi, emergent properties: endophytes and microbiomes. Annu. Rev. Phytopathol ., 49, 291-315. 🠔
  32. Rajkumar, M., Ma, Y., & Freitas, H. (2013). Improvement of Ni phytostabilization by inoculation of Ni resistant Bacillus megaterium SR28C. J. Environ. Manage ., 128, 973-980. 🠔
  33. Rajkumar, M., Noriharu, A. & Freitas, H. (2009). Endophytic bacteria and their potential to enhance heavy metal phytoextraction. Chemosphere, 77, 153-160. 🠔
  34. Ramírez, A. V. (2008). Intoxicación ocupacional por mercurio. An. Fac. Med ., 69(1), 46-51. 🠔
  35. Reyes, Y., Vergara, I., Torres, O., Díaz, M., & González, E. (2016). Contaminación por metales pesados: Implicaciones en salud, ambiente y seguridad alimentaria. Ingeniería Investigación y Desarrollo, 16(2), 66-77. 🠔
  36. Rojas, F., López, D., Meza, G., Méndez, A., Ibarra, J., & Estrada, P. (2018). The controversial Burkholderia cepacia complex, a group of plant growth promoting species and plant, animals and human pathogens. Argent. Microbiol ., 51 (1), 84-92. 🠔
  37. Schwyny, B., & Neilands, J.B. (1987). Universal CAS assay for the detection and determination of siderophores. Analytical Biochemistry, 160, 47-56. 🠔
  38. Sessitsch, A., Kuffner, M., Kidd, P., Vangronsveld, J., Wenzel, W., Fallmann, K., & Puschenreiter, M. (2013). The role of plant-associated bacteria in the mobilization and phytoextraction of trace elements in contaminated soils. Soil Biol. Biochem ., 60, 182-194. 🠔
  39. Sinha, A., Pant, H., & Khare, S. (2012). Mercury bioremediation by mercury accumulating Enterobacter sp. cells and its alginate immobilized application. Biodegradation, 23(1), 25-34. 🠔
  40. Tejera, N., Lluch, C., Martínez, V., & González, J. (2005). Isolation and characterization of Azotobacter and Azospirillum strains from the sugarcane rhizosphere. Plant and Soil, 270(1), 223-232. 🠔
  41. Valderas, J., Mejías, E., Riquelme, J., Aedo, K., Aros, S., & Barrera, F. (2013). Intoxicación familiar por mercurio elemental: caso clínico. Chil. Pediatr ., 84(1), 72-79. 🠔
  42. Wu, G., Kang, H., Zhang, X., Shao, H., Chu, L., & Chengjiang, R. (2010). A critical review on the bio-removal of hazardous heavy metal from contaminated soil: Issues, progress, eco-environmental concerns and opportunities. J. Hazard. Mater ., 174(1-3), 1-8. 🠔