Revista Colombiana de Biotecnología
0123-3475
Instituto de Biotecnología, Universidad Nacional de Colombia
https://doi.org/10.15446/rev.colomb.biote.v23n2.91188

Recibido: 26 de diciembre de 2020; Aceptado: 17 de diciembre de 2021

Efecto de etilenglicol y leche en polvo en la criopreservación de semen de bocachico Prochilodus magdalenae

Effect of ethylene glycol and milk powder in the cryopreservation of bocachico semen Prochilodus magdalenae

V. Atencio-García, *S. Cabrales-Hessen, ** J. Espinosa-Araujo, ***

Ing. Pesquero, Esp, MSc, Universidad de Córdoba/CINPIC, Montería, Col, email: vatencio@correo.unicordoba.edu.co, https://orcid.org/0000-0002-2533-1995. Universidad de Córdoba Universidad de Córdoba Montería Colombia
Profesional en Acuicultura, MSc (c), Universidad de Córdoba/CINPIC, Montería, Col, email: soadsamira@hotmail.com. Universidad de Córdoba Universidad de Córdoba Montería Colombia
Profesional en Acuicultura, MSc, Universidad de Córdoba/CINPIC, Montería, Col, email: joseespinosa@hotmail.com, https://orcid.org/0000-0001-9737-1163. Universidad de Córdoba Universidad de Córdoba Montería Colombia

RESUMEN

Bocachico Prochilodus magdalenae es una especie endémica y la más importante de la pesquería continental colombiana. No obstante, sus capturas han disminuido aproximadamente el 67% en los últimos cuarenta años, por tanto ha sido categorizada como vulnerable a la extinción. La criopreservación de semen, es una herramienta biotecnológica de conservación por tanto el objetivo del presente estudio fue evaluar la criopreservación de semen de bocachico con etilenglicol (EG) y leche en polvo descremada (LP). La solución crioprotectora estuvo compuesta por EG (6, 8 o 10%), LP (3, 5 o 7%) y glucosa 6%. La calidad del semen descongelado se evaluó con un software tipo CASA (computer assisted semen analysis). El porcentaje de inclusión de EG, no afectó significativamente ninguno de los parámetros de calidad seminal evaluados (p>0,05), a excepción de la tasa de eclosión (p<0,05); mientras que, la LP afectó significativamente el porcentaje de espermatozoides estáticos (p<0,05) y las tasas de fertilización y eclosión (p<0,01). La mayor movilidad total se obtuvo cuando EG se incluyó a 10% y la LP a 7% (38,4±18,4%) (p<0,05); pero las mayores tasas de fertilización (54,3-64,2%) y eclosión (47,7-57,5%) se obtuvieron cuando EG se incluyó a 6 u 8% y la LP se incluyó a la menor concentración evaluada (3%), sin observarse diferencia significativa entre estos tratamientos (p>0,05). Los resultados permiten concluir que la combinación EG 6% con LP 3% permiten la criopreservación de semen de Prochilodus magdalenae de buena calidad y capacidad fecundante.

Palabras clave:

conservación, crioprotectores, espermatozoides, peces neotropicales, reproducción.

ABSTRACT

Bocachico Prochilodus magdalenae is an endemic species and the most important of the Colombian continental fishery. Its catches have decreased by approximately 67% in the last forty years and, it has been categorized as extinction vulnerable. Semen cryopreservation is a biotechnological conservation tool; therefore, the aim of this study was to evaluate bocachico semen's cryopreservation with ethylene glycol (EG) and skimmed milk powder (LP). The cryoprotective solution was composed of EG (6, 8 or 10%), LP (3, 5 or 7%) and glucose at 6%. The quality of the thawed semen was evaluated with CASA software (computer assisted semen analysis). The inclusion percentage of EG did not significantly affect any of the evaluated semen quality parameters (p>0,05), except for the hatching rate (p <0.05). In contrast, LP presented significant effects on the percentage of static sperm (p <0,05) and on fertilization and hatching rates (p<0,01). The highest total motility was achieved with EG included at 10% and the LP 7% (38,4±18,4%) (p<0,05); but the highest fertility rates (54,3-64,2%) and hatching (47,7-57,5%) were registered when EG included at 6 or 8% and LP included at the lowest rate evaluated (3%), no significant difference was observed between these treatments (p>0,05). The results allow us to conclude that the combination EG 6% with LP 3% allows the cryopreservation of Prochilodus magdalenae semen of good quality and fertilizing capacity.

Keywords:

conservation, cryoprotectants, neotropical fishes, reproduction, spermatozoa.

INTRODUCCIÓN

Bocachico Prochilodus magdalenae, especie endémica y el principal recurso de la pesquería continental colombiana, fue catalogada como vulnerable a la extinción (Mojica et al., 2012). En los últimos cuarenta años, su captura ha disminuido aproximadamente 67%, pasando de 38000 ton en 1978 a 12728 ton en 2017 (De la Hoz et al., 2017). Entre las principales causas de este declive se señalan la degradación ambiental, la pérdida de conectividad de los ríos, pérdida de planos inundables así como la fuerte presión pesquera. También se le considera una alternativa para la piscicultura de recursos económicos limitados y de seguridad alimentaria por las ventajas que representa su hábito detritívoro, ya que sus cultivos no son dependiente de las dietas comerciales.

La crioconservación de semen de peces es una importante herramienta biotecnológica que se destaca por su contribución al establecimiento de bancos de recursos genéticos, disminución de la presión pesquera sobre las poblaciones silvestres y conservación de especies amenazadas o en peligro de extinción (Boskurt, 2018; Kumar & Betsy, 2015; Atencio-García et al., 2015; Bobe & Labbé, 2009; Medina-Robles et al., 2005). También la criopreservación permite el aseguramiento de semen de calidad, libre de enfermedades y por tanto se considera un método seguro para el suministro de alevinos a la industria piscícola (Cabrita et al., 2014). Además, ayuda a la reducción de los costos en las granjas productoras de alevinos, ya que permite el transporte de semen entre diferentes granjas evitando el traslado de reproductores (Cabrita et al., 2010; Martínez-Páramo et al., 2017; Judycka et al., 2019) y permite reproducciones en cautiverio cuando se presenta asincronía en la maduración gonadal entre machos y hembras (Boskurt, 2018).

Para criopreservar semen es necesario proteger a la célula con sustancias conocidas como crioproptectores que de acuerdo a, su capacidad para penetrar la membrana plasmática pueden ser permeables o impermeables (Xin et al., 2017). Los crioprotectores permeables deben ser hidrosolubles y de baja toxicidad para minimizar los daños criogénicos y evitar la formación de hielo intracelular (Kumar & Betsy, 2015; Moskovtsev et al., 2012).

El semen de bocachico se ha criopreservado utilizando dimetilacetamida (DMA), (Atencio-García et al., 2013) y dimetilsulfóxido (DMSO) (Atencio-García et al., 2015). En ambos estudios el crioprotector permeable estuvo acompañado de yema de huevo (YH) y glucosa como diluyente. Sin embargo, los protocolos de crioconservación son específicos y deben ser optimizado para cada especie (Atencio-García et al., 2014; Glogowsky et al., 1999). Por esta razón hay un interés de buscar protocolos alternativos de criopreservación más eficientes. Un crioprotector interno o permeable que ha sido evaluado con éxito en semen de peces es el etilenglicol (EG) un polialcohol, de bajo peso molecular (62,07 g/mol) y alta permeabilidad celular (Choez, 2016). En el bagre Sorubim cuspicaudus, el semen criopreservado con EG mostró una tasa de eclosión similar a la obtenida con semen fresco (Atencio-García et al., 2014).

Entre los crioprotectores no permeables más usados en la criopreservación de semen de peces se destaca la yema de huevo, en combinación con glucosa como diluyente (Viveiros & Gondinho, 2009). Sin embargo, a pesar de los beneficios de la yema de huevo, su uso podría generar problemas de bioseguridad (riesgo sanitario) que incluyen la producción de metabolitos y toxinas perjudiciales y el riesgo de infección, resultando en la reducción de la calidad del semen (Akhter et al., 2012; Yildiz et al., 2013). Por otro lado, no siempre es posible combinarla con algunos crioprotectores permeables (Maria et al., 2006).

Una alternativa de reemplazo de la yema de huevo es la leche en polvo; cuyas micelas de caseína, interactúan con las proteínas de la membrana plasmática del espermatozoide protegiendo y evitando la remoción de fosfolípidos y colesterol de la membrana (Bergeron & Manjunath, 2006). También se ha sugerido que la caseína tiene un efecto antioxidante y por lo tanto confiere protección a los espermatozoides durante la congelación (Salomon & Maxwell, 2000).

Por tanto el objetivo de este estudio fue evaluar la inclusión de diferentes porcentajes de etilenglicol (6, 8, 10%) y leche en polvo descremada (3, 5, 7%) en la criopreservación de semen de P. magdalenae mediante la determinación de su calidad seminal y capacidad fecundante.

MATERIALES Y MÉTODOS

Obtención del semen

El semen fue obtenido de reproductores de P. magdalenae de dos años de edad (n=23, 0,21±0,02 kg) mantenidos en cautiverio, en estanques en tierra (0,5 kg/m2) en el Instituto de Investigaciones Piscícolas de la Universidad de Córdoba, CINPIC (Montería, Colombia) mediante inducción con extracto pituitario de carpa (EPC, Argent, USA) en dosis única de 4,8 mg/kg de peso vivo (Atencio-García et al., 2013). El semen fue colectado seis horas post-inducción e inmediatamente evaluado con el software SCA® (Microptic, Vet 01, España). Para las pruebas de fertilidad, hembras maduras (n=8, 0,23±0,03 kg) fueron inducidas a razón de 6 mg EPC/kg de peso vivo, en dos aplicaciones, la primera correspondiente al 10% de la dosis total y 12 horas después el 90% restante (Atencio-García et al., 2013).

Tratamientos y criopreservación de semen

El semen fue criopreservado con etilenglicol (EG) (Sigma Chemical, USA) como crioprotector interno, a tres porcentajes de inclusión (6, 8 o 10%) y leche en polvo descremada liofilizada (LP) como crioprotector externo, a tres inclusiones (3, 5 o 7%) para un total de nueve tratamientos, cada uno por triplicado (tabla 1). Como diluyente se utilizó glucosa 6% (0,33 M) previamente calentada a 60°C; luego se adicionó el EG y la LP a los diferentes porcentajes de inclusión. El semen fue diluido en la solución crioprotectora a razón de 1:3 (semen: solución) y envasado en pajillas de 0,5 mL a temperatura de 28±1°C.

Tabla 1: Tratamientos para la crioconservación de semen de Prochilodus magdalenae con etilenglicol (EG) y leche en polvo (LP).

Etilenglicol (EG) Leche en polvo (LP)
3% 5% 7%
6% EG6+LP3 EG6+LP5 EG6+LP7
8% EG8+LP3 EG8+LP5 EG8+LP7
10% EG10+LP3 EG10+LP5 EG10+LP7

El semen envasado en las pajillas fue introducido en un termo de vapores de nitrógeno de 4 L (MVE, SC 4/2v, USA) durante 30 minutos para su congelación. Posteriormente, las pajillas fueron trasladadas a un termo de almacenamiento de 34 L (MVE, XC 34/18, Alemania) hasta su evaluación. Las pajillas se descongelaron por inmersión directa en baño de agua a 35ºC durante 60 segundos, con la ayuda de un baño María serológico programable (Mermmert, WNB 7, Alemania).

Evaluación de la calidad seminal

Volumen seminal y color. El volumen seminal se expresó en ml, se midió en viales aforados y permitió calcular la cantidad de diluyente a preparar. El color del semen se evalúo con el circulo cromático de ROSE y sirvió para evidenciar la posible presencia de sustancias contaminantes como heces, orina o sangre (Atencio-García et al., 2014).

Movilidad total, tipos de movilidad, velocidad y progresividad espermática. Se estimaron con el software SCA® (Microptic, Vet 01, España) y un microscopio óptico de contraste de fase (Nikon, E50i, Japón) con objetivo 10x; para lo cual 0.25 µl de semen se colocaron en una cámara Makler (Sefi Medical Instruments, Israel) y se activaron con 75 µl de agua destilada (dilución 1:300). Se consideró como movilidad rápida (tipo a) al porcentaje de espermatozoide (sptz) con velocidades mayores a 100 µm/s, media (tipo b) a los espermatozoides con velocidades menores de 100 µm/seg pero mayor de 50 µm/s y lenta (tipo c) al porcentaje de espermatozoides con velocidades menores de 50 µm/s (Atencio-García et al., 2013; Atencio-García et al., 2014). El software SCA® también estimó la velocidad curvilínea (VCL); la cual se definió como la distancia recorrida en función del tiempo (µm/s) en la trayectoria real del espermatozoide entre dos puntos; mientras que, la velocidad lineal (VSL) se consideró como una trayectoria lineal del espermatozoide entre el primer y el último punto (Atencio-García et al., 2013).

Tiempo de activación (duración de la movilidad). En una cámara Makler fueron colocados 0.25 µl de semen y activados con 75 µl de agua bidestilada (dilución 1:300). El tiempo de activación se midió desde el instante en que se adicionó la solución activadora hasta que alrededor de 90% de los espermatozoides dejó de moverse, observando en un microscopio óptico de contraste de fase a 10x (Nikon, E50i, Japón).

Concentración espermática. En un Eppendorf de 2 ml se diluyó 1 µl de semen en 699 µL de glucosa 6% (dilución 1:700), la mezcla se homogenizó durante cinco segundos en un vortex a 1200 rpm (Velp Scientifica, Zxclasic, China). Se tomaron 10 µl de la dilución y se colocaron en la cámara Makler para la estimación de la concentración mediante el SCA®. Este procedimiento se realizó por triplicado para obtener un valor promedio de la concentración espermática de la muestra de semen analizado.

Fertilidad y eclosión

Para la evaluación de las tasas de fertilización y eclosión, se tomaron entre 0,5 y 1 g de ovocitos (~ 1500 ovocitos/g) los cuales fueron inseminados con semen criopreservado a dosis de 320000 sptz/ovocito de acuerdo con lo sugerido por Atencio-García et al. (2015). Los volúmenes seminales se adicionaron a los ovocitos con una micropipeta (Transferpette®, CE704174, Alemania) y se activaron con 10 ml de agua destilada a temperatura ambiente (28°C); luego se aumentó el volumen del agua a 50 ml para la hidratación de los ovocitos. Finalmente se depositaron en incubadoras experimentales de flujo ascendente de 2 l de capacidad conectadas a un sistema cerrado de recirculación de agua.

Tasa de fertilización. Se evaluó a las seis horas post-fertilización (HPF), cuando los huevos se encontraban al final de la gastrulación (cierre del blastoporo); con la ayuda de una pipeta de vidrio de 0,5 cm de diámetro se tomó una muestra al azar de por lo menos 50 embriones. Los embriones viables se observaron traslúcidos y de apariencia normal; mientras que, los inviables se observaron opacos y/o blanquecinos. Este conteo se realizó tres veces en cada unidad experimental y luego se estimó un valor promedio para cada unidad. La tasa de fertilidad se calculó utilizando la siguiente ecuación (Espinosa, 2013):

Tasa de eclosión. Se evaluó a las 11 HPF, cuando los embriones se encontraban en fase de faringulación, tomando una muestra al azar de mínimo 50 embriones (por triplicado por incubadora), considerando como viables los embriones traslucidos y con movimiento e inviables aquellos opacos y/o blanquecinos. La tasa de eclosión se estimó utilizando la siguiente ecuación (Espinosa, 2013):

Los procedimientos empleados en la manipulación de los animales, se realizaron utilizando como referencia las normas y procedimientos para el uso de animales en laboratorio, señaladas por el Committe on Care and Use of Laboratory Animal Resources (Janet-Garber, National Research Council, USA 2010).

ANÁLISIS ESTADÍSTICO

Se utilizó un diseño completamente aleatorizado con arreglo factorial 3x3, es decir dos factores (nivel de inclusión de EG y nivel de inclusión de LP), cada uno con tres niveles. Todos los datos, previamente transformados (arcsen), fueron sometidos a pruebas de normalidad (test de Shapiro Wilk) y de homogeneidad de varianza (test de Bartlett), cumplidos estos supuestos se realizó un análisis de varianza (ANAVA) y finalmente para identificar diferencias entre los tratamientos se realizó una prueba de rango múltiple de Tukey (p<0,05). Mediante el análisis factorial se determinó el efecto de cada uno de los factores de manera independiente y su interacción sobre cada una de las parámetros evaluados. Los resultados fueron expresados en media ± desviación estándar (DS). Los análisis se realizaron con ayuda del Software estadístico R, versión R Studio 3.0.1.

RESULTADOS Y DISCUSIÓN

Característica del semen de bocachico. Las características del semen de bocachico obtenido por inducción hormonal con EPC se muestran en la tabla 2. El semen de color blanco, con volumen seminal (mayor de 2 ml) por encima de los reportes previos para la especie por inducción hormonal (0,7-1,3 mL) (Montes, 2018; Atencio-García et al., 2013), con alta movilidad (> 90%), alta progresividad (> 70%), bajo porcentaje de espermatozoides inmóviles, tiempo de activación y concentración espermática dentro del rango reportado para la especie (Montes, 2018; Atencio-García et al., 2013).

Tabla 2: Características del semen de bocachico Prochilodus magdalenae obtenido por inducción hormonal con extracto pituitario de carpa (n=23).

Características Media ± DS
Volumen (ml) 2,3±0,4
Concentración espermática (x106/ml) 18838,8±7271,4
Movilidad total (%) 94,5±3,4
Tiempo de activación (s) 28,5±1,5
Rápidos (%) 55,8±18,8
Medios (%) 29,7±18,6
Lentos (%) 10,2±9,3
Inmóviles (%) 4,2±5,0
Progresividad total 70,5±10,0
Velocidad curvilineal (µm/s) 136,0±40,6
Velocidad lineal (µm/s) 65,0±18,6

Efecto de factores e interacción. La tabla 3 registra el efecto de cada factor y su interacción. El porcentaje de inclusión de EG (factor A), en el rango evaluado (6-10%) no afectó significativamente (p>0,05) ninguna de los parámetros de calidad seminal analizadas excepto la tasa de eclosión (p<0,05). Mientras que, la LP (factor B) tuvo efectos significativos sobre el porcentaje de espermatozoides estáticos (p<0,05) y muy significativos sobre las tasas de fertilización y eclosión (p<0,01). De igual forma la interacción de los factores solo afectó significativamente el porcentaje de espermatozoides estático (p<0,05). Los resultados sugieren que la LP es un factor crítico en la capacidad fecundante del semen descongelado de bocachico.

Tabla 3: Efecto de etilenglicol (EG) y la leche en polvo (LP) y su interacción sobre la calidad seminal de espermatozoides de Prochilodus magdalenae.

Parámetros Factores Interacción
EG LP EGxLP
Mt ns ns ns
Rápidos ns ns ns
Medios ns ns ns
Lentos ns ns ns
Estáticos ns * *
VCL ns ns ns
VSL ns ns ns
Pt ns ns ns
Fertilidad ns ** ns
Eclosión * ** ns

Mt, movilidad total; VCL, velocidad curvilínea; VSL, velocidad lineal; Pt, progresividad total; *, significativo (p<0,05); **, muy significativo (p<0,01); ns, no significativo.

Calidad del semen descongelado. En la tabla 4 se presenta la calidad seminal del semen descongelado. Los resultados del presente estudio, sugieren que el proceso de criopreservación y descongelación ocasionó una disminución de la movilidad total, progresividad, espermatozoides rápidos y medios y un incrementó de los espermatozoides estáticos. Las menores movilidades totales (22,0-24,6%) se obtuvieron cuando el EG se incluyó al mayor porcentaje de inclusión (10%) y la LP a 5% o menos (EG10+LP3 y EG10+LP5). Pero cuando EG se incluyó a 6 u 8% a cualquier inclusión de la LP (3-7%) las movilidades totales (27,8-34,3%) fueron similares a las reportadas (~31%) por Atencio-García et al. (2013) cuando criopreservó semen de bocachico con DMA (8 o 10%) y yema de huevo 12%. En el presente estudio, los menores valores de progresividad total (0,7±0,5%) y velocidades espermáticas (VCL entre 21,7±2,8 y 23,0±2,2 µm/s; VSL entre 5,0±1,1 y 5,3±2,1 µm/s) se obtuvieron cuando EG se incluyó a 10% y la LP a 5% o menos.

Tabla 4: Calidad del semen descongelado de bocachico Prochilodus magdalenae criopreservado con etilenglicol y leche en polvo liofilizada.

Parámetro Tratamientos
EG6+LP3 EG6+LP5 EG6+LP7 EG8+LP3 EG8+LP5 EG8+LP7 EG10+LP3 EG10+LP5 EG10+LP7
Mt (%) 28,0±5,4ab 31,9±9,6ab 31,1±10,5ab 27,8±4,8ab 28,7±15,7ab 34,3±18,1ab 22,0±2,0b 24,6±3,4b 38,4±18,4a
Rápidos 1,2±0,7ab 0,9±0,8ab 0,7±0,8ab 0,5±0,4b 0,7±0,7ab 3,8±8,3a 0,4±0,2b 0,3±0,3b 1,2±1,3ab
Medios 3,3±1,5ab 6,0±4,6a 3,7±3,0ab 3,4±1,1ab 3,2±4,1ab 5,3±6,6ab 1,1±0,7b 1,3± 0,8b 5,6±5,0a
Lentos 23,5±3,7ab 25,0±5,5ab 26,7±8,8ab 23,9±3,8ab 24,9±11,4ab 25,0±5,4ab 22,3±5,5b 22,4±3,1b 31,5±12,1a
Estáticos 72,0±5,4a 68,1±9,6ab 69,0±10,5a 72,3±4,8a 71,3±15,7a 45,6±25,9c 74,5±6,7a 49,2±29,1bc 61,7±18,4abc
VCL (µm/s) 29,1±4,2ab 31,3±7,4ab 28,5±6,1ab 26,7±3,0ab 26,3±6,0ab 35,9±23,9a 23,0±2,2b 21,7±2,8b 26,6±6,2ab
VSL (µm/s) 9,5±2,2abcd 12,9±6,7a 9,2±3,6abcd 6,3±1,1bcd 8,1±5,0abcd 10,7±7,3ab 5,0±1,1d 5,3±2,1cd 10,6±6,3abc
Pt (%) 3,0±1,5ab 4,8±4,4ab 2,7±2,0ab 1,3±0,9ab 2,7±3,9ab 5,9±10,4a 0,7±0,5b 0,9±0,4ab 4,8±5,0ab

Letras diferentes en una misma fila indican diferencia estadística significativa (p<0,05). EG, etilenglicol (los números indican el porcentaje de inclusión); LP, leche en polvo liofilizada (los números indican el porcentaje de inclusión); Mt, movilidad total; VCL, velocidad curvilínea; VSL, velocidad lineal; Pt, progresividad total.

El EG también ha sido utilizado en la criopreservación de semen de bagres como Sorubim cuspicaudus a inclusiones entre 6 y 10% con registros de movilidades inferiores a 30% (Espinosa, 2013). Atencio-García et al. (2014) reportaron que la mejor movilidad total del semen criopreservado de S. cuspicaudus se obtuvo con EG 5% (36,9±9,1%) y sugirieron una relación inversa entre la movilidad total y los porcentajes de inclusión de EG. Herrera-Cruz et al. (2019) obtuvieron movilidades entre 22,2 y 10,3% cuando criopreservaron semen de Pseudoplatystoma magdaleniatum con EG incluido a 5 o 10%.

La movilidad han sido considerado el parámetros más utilizado para evaluar la calidad del semen fresco como criopreservado . La movilidad del espermatozoide generalmente presenta una correlación positiva con la capacidad de fertilización, porque afecta la capacidad del espermatozoide para alcanzar el ovocito para una fertilización exitosa (Rurangwa et al., 2004). Está ampliamente demostrado que la criopreservación disminuye la actividad metabólica y calidad de espermatozoide criopreservado (Cabrita et al., 2014; Xin et al., 2020). Una de las principales razones de la disminución de la actividad metabólica y la baja calidad de los espermatozoides descongelado es la alteración de las estructuras mitocondriales y la membrana en la parte media durante la criopreservación (Figueroa et al., 2017). Estas alteraciones afectan la función mitocondrial, incluyendo los procesos bioquímicos involucrados en la producción de ATP (Figueroa et al., 2015) y por tanto disminuyen la energía disponible para la movilidad. Los espermatozoides requieren ATP para cumplir con múltiples funciones celulares y eventos bioquímicos, tales como el mantenimiento de la motilidad y la activación de la fosforilación para la fertilización exitosa (Miki, 2010).

Otras de las causas que afectan la movilidad espermática es el daño a la membrana espermática; lo cual ocasiona pérdida de algunos componentes internos de la célula y reducen su actividad enzimática (Dietrich et al., 2015). Martínez-Páramo et al. (2012) consideran que los procesos de congelación y descongelación inducen alteraciones en la bicapa lipídica de la membrana del espermatozoide, ocasionando su desestabilización y la pérdida de componentes celulares. Estas alteraciones no sólo afectan la movilidad y la viabilidad espermática sino también aumentan la peroxidación lipídica y el porcentaje de espermatozoides estático.

Algunos estudios reportan que las proteínas, que generalmente se disminuyen en los espermatozoides durante la criopreservación están asociadas a la disponibilidad de energía para el movimiento como las de actividad catalítica y al ATP (Dietrich et al. 2015; Nynca et al. 2015). Se ha reportado la disminución de la β-enolasa y de la subunidad β de la ATP sintasa mitocondrial, miembros de una superfamilia de enzimas glucolíticas, que se sugieren asociadas a la reducción de movilidad espermática y viabilidad en el proceso de congelación y descongelación, ya que estas enzimas desempeñan un papel principal en las vías metabólicas, como la gluconeogénesis y la glucólisis (Xin et al. 2018).

Otras causas que se reportan como causas de la disminución de la movilidad del semen descongelado, es el criodaño sobre las proteínas citoesqueléticas, como la dineína y la tubulina, que actúan en la movilidad celular (Nynca et al. 2015). Se ha encontrado que las proteínas del citoesqueleto son muy sensibles a los choques térmicos durante el proceso de congelación y descongelación (Xin et al., 2020).

Tasas de fertilidad y eclosión

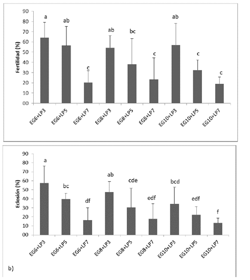
En el presente estudio, a medida que aumentó la inclusión de la LP disminuyeron las tasas fertilidad y eclosión (figura 1). Los resultados permiten inferir que el porcentaje de inclusión de los crioprotectores (EG y LP) afectan la capacidad fecundante del semen descongelado. Cuando la LP se incluyó a 7% y se combinó con EG, a cualquiera de los porcentajes evaluados (6, 8 o 10%), se obtuvieron las menores tasas de fertilización (19,1-23,5%) y eclosión (13,2-17,7%); pero cuando EG se incluyó a 6 u 8% y la LP a 3%, se obtuvieron los mejores porcentajes de fertilización (54,3-64,2%) y eclosión (47,7-57,5%). Estos resultados sugieren que el crioprotector EG debería incluirse a 6 u 8%; pero la LP no debería incluirse a más de 3%.

Porcentajes de fertilización (a) y de eclosión (b) con semen descongelado de Prochilodus magdalenae criopreservado con etilenglicol (EG) y leche en polvo (LP) a tres porcentajes de inclusión. Letras diferentes en columnas indicas diferencia significativa (p<0,05). Valores mostrados como media ± DS.

Figura 1: Porcentajes de fertilización (a) y de eclosión (b) con semen descongelado de Prochilodus magdalenae criopreservado con etilenglicol (EG) y leche en polvo (LP) a tres porcentajes de inclusión. Letras diferentes en columnas indicas diferencia significativa (p<0,05). Valores mostrados como media ± DS.

En otros estudios, el semen criopreservado de bocachico con DMSO 10% registró tasa de eclosión de 48,6±4,2% (Atencio-García et al., 2015) y con DMA 8% de 50,1±9,8% (Atencio-García et al., 2013), en ambos caso combinados con yema de huevo 12%. Tasas de eclosión similares a las obtenidas en el presente estudio, con semen criopreservado con EG 6 u 8% combinado con LP 3%.

También, el semen descongelado de S. cuspicaudus mostró adecuada tasa de eclosión (38,6±13,9%) cuando se criopreservó con EG 5% y se observó que inclusiones por encima del 5% disminuyen su capacidad fecundante (Atencio-García et al., 2014); lo cual resalta la importancia de ajustar las inclusiones de los crioprotectores a la particularidad de cada especie.

Por otra parte, a pesar de las bajas movilidades (<28%) obtenidas con EG incluido a 6 u 8% combinado con LP 3%, en el presente estudio, se registraron adecuadas tasas de fertilidad y eclosión. Se ha sugerido que, no siempre altas movilidades, garantizan la viabilidad del espermatozoide durante el proceso de reproducción (Morris et al., 2012). Algunos estudios han reportado bajas tasas de fertilizaciones (<20%) en Anguila anguila (Asturiano et al. 2007) y Acipenser ruthenus (Boryshpolets et al. 2011) con semen descongelado con altas movilidades (~50%). Ramírez-Merlano et al. (2011) con semen descongelado de Pseudoplatystoma metaense sin movilidad (0%) obtuvieron una fertilización del 10%. Algunos autores sugieren que parte de los espermatozoides inmóviles (estáticos) conservan intacta la estructura cromosómica, la cual está contenida en el núcleo de la cabeza, lo que permite la fecundación efectiva (Andrade et al., 2001; Grassiotto et al., 2001). Según Rana et al. (1990) esto es posible porque algunos factores de los ovocitos pueden activar a los espermatozoides inmóviles. Además, Iwamatsu (2000) y Babin et al. (2007) consideran que factores ambientales junto con los factores liberados por los ovocitos, como pequeñas moléculas de polipéptidos sintetizados en el folículo de la célula y acumuladas en el corión, pueden producir hiperactividad de la movilidad espermática en algunas especies de peces.

Por tanto, la capacidad fecundante del espermatozoide más que una buena movilidad o un parámetro en particular, requiere del bienestar integral del espermatozoide o por lo menos en la mayor parte de sus parámetros (Martínez & Pardo, 2010).

A pesar de que la combinación EG10%+LP3%, muestra una tasa de fertilización que no difiere estadísticamente (p<0,05) de las mejores combinaciones (EG6%+LP3% y EG8%+LP3%) del semen descongelado; incluso no difiere de la combinación EG6%+LP5% (figura 1 a). Sin embargo, solo cuando se utilizó semen criopreservado con EG 6 u 8% combinado con LP 3% se obtuvieron las mejores tasas de eclosión. Es importante anotar que la tasa de fertilización se midió a las 6 HPF y en este momento aún falta por expresarse daños a nivel de DNA ocasionados en el proceso de criopreservación y descongelación, que son más visibles en la mayoría de los casos, cuando se mide el porcentaje de eclosión a las 11 HPF. En otros estudios se ha reportado bajas tasas de eclosión en huevos fertilizados de trucha arco iris Oncorhynchus mykiss (Cabrita et al., 2001) y carpa común Cyprinus carpio (Zhou et al., 2006) que mostraron altos niveles de fragmentación del DNA. Entonces, es importante resaltar que la capacidad fecundante del semen criopreservado es más real cuando se evalúa más distante del momento de la fertilización.

CONCLUSIONES

Los resultados del presente estudio permiten sugerir que la solución crioprotectora compuesta por EG 6%, glucosa al 6% y leche en polvo descremada al 3% es una alternativa viable para la crioconservación de semen de bocachico. Concentraciones de LP mayores a 3% pueden tener efecto negativo sobre el espermatozoide de Prochilodus magdalenae, causándole disminución de su capacidad fertilizante.

Acknowledgements

Agradecimientos

Al Instituto de Investigación Piscícola de la Universidad de Córdoba CINPIC, por su contribución con la infraestructura, equipos y materiales necesarios para la realización de esta investigación.

BIBLIOGRAFÍA

  1. Akhter, S., Ansari, M., Andrabi, S., Rakha, B., Ullah, N., Khalid, M. (2012) Soya-lecithin in extender improves the freezability and fertility of Buffalo (Bubalus bubalis) Bull Spermatozoa. Reproduction in domestic animals, 47, 815-819. DOI: 10.1111/j.1439-0531.2011.01973.x. [DOI] 🠔
  2. Andrade, R., Bazzoli, N., Rizzo, E., Sato, Y. (2001). Continuous gametogenesis in the neotropical freshwater teleost, Bryconops affinis (Pisces: Characidae). Tissue & Cell, 33, 524-532. DOI:10.1054/tice.2001.0206. [DOI] 🠔
  3. Asturiano, J., Marco-Jiménez, F., Peñaranda, D., Garzón, D., Pérez, L., Vicente, J., Jover, M. (2007). Effect of sperm cryopreservation on the European eel sperm viability and spermatozoa morphology. Reproduction in Domestic Animals, 42, 162-166. DOI: 10.1111/j.1439-0531.2006.00746.x [DOI] 🠔
  4. Atencio-García, V., Pérez, E., Espinosa, J., Pardo S. (2013). Evaluación de dimetilacetamida como crioprotector para la crioconservación de semen de bocachico Prochilodus magdalenae. Archivos de Medicina Veterinaria, 45(2),151-158. DOI:10.4067/S0301-732X2013000200006. [DOI] 🠔
  5. Atencio-García, V., Dorado, M., Navarro, E., Pérez, F., Herrera, B., Movilla, J., Espinosa-Araujo, J. (2014). Evaluación de etilenglicol como crioprotector en la crioconservación de semen de bagre blanco (Sorubim cuspicaudus, Pimelodidae). Acta Biológica Colombiana, 19 (2), 271-279. 🠔
  6. Atencio-García, V., Espinosa-Araujo, J., Martínez, J., Pardo-Carrasco, S. (2015). Insemination of bocachico fish (Prochilodus magdalenae) with fresh or cryopreserved semen: effect of spermatozoa/oocyte ratio. Revista Colombiana de Ciencias Pecuarias, 28, 347-355. DOI:10.17533/udea.rccp.v28n4a07. [DOI] 🠔
  7. Babin, P., Cerdà, J., Lubzens, E. Eds. (2007). The Fish Oocyte: From Basic Studies to Biotechnological Applications. Dordrecht: Springer. DOI:10.1007/978-1-4020-6235-3. [DOI] 🠔
  8. Bergeron, A., Manjunath, P. (2006). New insights towards understanding the mechanisms of sperm protection by egg yolk and milk. Molecular Reproduction and Development, 73(10), 1338-1344. DOI:10.1002/mrd.20565. [DOI] 🠔
  9. Bobe J., Labbé C. 2010. Egg and sperm quality in fish. General Comparative Endocrinology, 165(3), 535-548. DOI: 10.1016/j.ygcen.2009.02.011. [DOI] 🠔
  10. Boryshpolets, S., Dzyuba, B., Rodina, M., Alavi, S., Gela, D., Linhart, O. (2011). Cryopreservation of sterlet (Acipenser ruthenus) spermatozoa using different cryoprotectants. Journal of Applied Ichthyology, 27, 1147-1149. DOI: 10.1111/j.1439-0426.2011.01866.x [DOI] 🠔
  11. Boskurt, Y. (Ed). (2018). Cryopreservation biotechnology in biomedical and biological sciences. London: Intechopen. DOI:10.5772/intechopen.73413 [DOI] 🠔
  12. Cabrita, E., Martínez-Páramo, S., Gavaia, P., Riesco, M., Valcarce, D., Sarasquete, C., Robles, V. (2014). Factors enhancing fish sperm quality and emerging tools for sperm analysis. Aquaculture, 432: 389-401. DOI: 10.1016/j.aquaculture.2014.04.034 [DOI] 🠔
  13. Cabrita, E., Sarasquete, C., Martínez-Páramo, S., Robles, V., Beirão, J., Pérez-Cerezales S., Herráez, M. (2010). Cryopreservation of fish sperm: applications and perspectives. Journal of Applied Ichthyology, 26, 623-635. DOI: 10.1111/j.1439-0426.2010.01556.x. [DOI] 🠔
  14. Cabrita, E., Robles, V., Alvarez, R, Herráez, M. (2001). Cryopreservation of rainbow trout sperm in large volume straws: Application to large scale fertilization. Aquaculture, 201:301-314. DOI:10.1016/S0044-8486(01)00636-6. [DOI] 🠔
  15. Choez, K. 2016. Determinación de la concentración óptima de distintos agentes crioprotectores para la criopreservación de espermatozoides epididimarios de alpaca. [Tesis de Maestría] Facultad de Medicina Veterinaria, Maestría en Ciencia Animal. Lima, Perú: Universidad Nacional Mayor de San Marcos. 🠔
  16. Dietrich, M., Arnold, J., Fröhlich, T., Otte, K., Dietrich, G., Ciereszko, A. (2015). Proteomic analysis of extracellular medium of cryopreserved carp (Cyprinus carpio L.) semen. Comparative Biochemistry and Physiology Part D: Genomics and Proteomics, 15, 49-57. DOI:10.1016/j.cbd.2015.05.003 [DOI] 🠔
  17. De la Hoz, J., Duarte, L., Manjarrez-Martínez, L. (2017). Estadísticas de desembarco y esfuerzo de las pesquerías artesanales e industriales de Colombia entre marzo y diciembre de 2017. Bogotá: SEPEC/AUNAP/Universidad del Magdalena. 🠔
  18. Espinosa, A. (2013). Estandarización de un protocolo para la crioconservación de semen de bagre blanco Sorubim cuspicaudus. [Tesis de Maestría], Facultad de Ciencias Básicas e Ingeniería, Maestría en Biotecnología. Montería, Colombia: Universidad de Córdoba, 82p. 🠔
  19. Figueroa, E., Merino, O., Risopatrón, J., Isachenko, V., Sánchez, R., Effer, B., Isachenko, E., Farias, J., Valdevenito, I. (2015). Effect of seminal plasma on Atlantic salmon (Salmo salar) sperm vitrification. Theriogenology, 83, 238-245. DOI: 10.1016/j.theriogenology.2014.09.015. [DOI] 🠔
  20. Figueroa, E., Valdebenito, I., Zepeda, A., Figueroa, C., Dumorné, K., Castillo, R., Farias, J. (2017). Effects of cryopreservation on mitochondria of fish spermatozoa. Reviews in Aquaculture, 9, 76-87. DOI: 10.1111/raq.12105. [DOI] 🠔
  21. Glogowsky, J., Ciereszko, A., Dabrowsky, K. (1999). Cryopreservation of muskellunge and yellow perch semen. North American Journal of Aquaculture, 61, 258-262. DOI: 10.1577/1548-8454(1999)061<0258:COMAYP>2.0.CO;2. [DOI] 🠔
  22. Grassiotto, Q., Negräu, J., Carvalho, E., Foresti, F. (2001). Ultraestructure of spermatogenic cells and spermatozoa in Hoplias malabaricus (Teleostei, Characiformes, Erythrinidae). Journal of Fish Biology, 59, 1494-1502. DOI: 10.1111/j.1095-8649.2001.tb00214.x. [DOI] 🠔
  23. Herrera-Cruz, E., Aristizabal-Regino, J., Yepes-Blandón, J., Estrada-Posada, A., Espinosa-Araujo, J., Atencio-García, V. (2019). Evaluation of three cryoprotectants to preserve striped catfish (Pseudoplatystoma magdaleniatum) semen. Revista Colombiana de Biotecnología, 21(2), 55-62. DOI:10.15446/rev.colomb.biote.v21n2.77847. [DOI] 🠔
  24. Iwamatsu, T. (2000). Fertilization in fishes. In: Tarin J, Cano A (eds). Fertilization in Protozoa and Metazoa Animals: Cellular and molecular aspects. Berlin, Germany: Springer, 90-145. DOI:10.1007/978-3-642-58301-8. [DOI] 🠔
  25. Judycka, S., Zarski, D., Dietrich, M., Palinska-Zarska, K., Karol, H., Ciereszko, A. (2019). Standardized cryopreservation protocol of European perch (Perca fluviatilis) semen allows to obtain high fertilization rates with the use of frozen/thawed semen. Aquaculture, 498, 208-216. DOI: 10.1016/j.aquaculture.2018.08.059. [DOI] 🠔
  26. Kumar, S., Betsy, J. (2015). Influence of egg yolk on the quality of cryopreserved spermatozoa of common carp, Cyprinus carpio. Journal of Applied Aquaculture, 27 (1), 40-49; DOI: 10.1080/10454438.2014.965398. [DOI] 🠔
  27. Maria, A., Viveiros, A., Freitas, R., Oliveira, A. (2006). Extenders and cryoprotectants for cooling and freezing of piracanjuba (Brycon orbignyanus) semen, an endangered Brazilian teleost fish. Aquaculture, 260, 298-306. DOI: 10.1016/j.aquaculture.2006.06.011. [DOI] 🠔
  28. Martínez, J., Pardo, S. (2010). Crioconservación de semen en peces: efectos sobre la movilidad espermática y la fertilidad. Acta Biológica Colombiana, 15(2), 3-23. 🠔
  29. Martínez-Páramo S., Horváth Á., Labbe C., Zhang T., Robles V., Herráez P., Suquet M., Adams S., Viveiros A., Tiersch T., Cabrita E. (2017). Cryobanking of aquatic species. Aquaculture, 472, 156-177. DOI: 10.1016/j.aquaculture.2016.05.042 [DOI] 🠔
  30. Martínez-Páramo, S., Diogo, P., Dinis, M., Herráez, M., Sarasquete. C., Cabrita, E. (2012). Incorporation of ascorbic acid and α-tocopherol to the extender media to enhance antioxidant system of cryopreserved sea bass sperm. Theriogenology, 77, 1129-1136. DOI: 10.1016/j.theriogenology.2011.10.017 [DOI] 🠔
  31. Medina-Robles, V., Velasco, Y., Cruz-Casallas, P. (2005). Aspectos generales de la crioconservación espermática en peces teleósteos. Revista Colombiana de Ciencias Pecuarias, 18(1), 34-48. 🠔
  32. Miki, K. (2007) Energy metabolism and sperm function. Society of Reproduction and Fertility Supplement, 65, 309-325. 🠔
  33. Mojica, J., Usma, S., Álvarez, R., Lasso, C. (2012). Libro rojo de peces dulceacuícolas de Colombia. La serie Libros Rojos de Especies Amenazadas de Colombia. Instituto de Ciencias Naturales. Bogotá, Colombia: Universidad Nacional de Colombia/Ministerio del Medio Ambiente. 🠔
  34. Montes, C. (2018). Evaluación del desempeño reproductivo del Bocachico (Prochilodus magdalenae) en cautiverio mediante predictores tempranos de calidad espermática y ovocitaria. [Tesis de Maestría], Facultad de Ciencias Básicas e Ingeniería, Maestría en Biotecnología. Montería, Colombia: Universidad de Córdoba, 90p. 🠔
  35. Moskovtsev, S., Lulat, A., Librach, C. (2012). Cryopreservation of human spermatozoa by vitrification vs. slow freezing: Canadian experience. In: Katkov, I. (Ed). Current frontiers in cryobiology. Croatia: InTech; 77-101. DOI: 10.5772/35485. [DOI] 🠔
  36. Nynca, J., Arnold, G., Fröhlich, T., Ciereszko, A. (2015) Cryopreservation induced alterations in protein composition of rainbow trout semen. Proteomics, 15, 2643-2654. DOI:10.1002/pmic.201400525. [DOI] 🠔
  37. Ramírez-Merlano, J., Medina-Robles, V., Cruz-Casallas, P. (2011). Crioconservación seminal de bagre rayado Pseudoplatystoma metaense (Teleostei, Pimelodidae), bajo diferentes protocolos de congelación. Archivo de Medicina Veterinaria, 43, 135-144. DOI:10.4067/S0301-732X2011000200006. [DOI] 🠔
  38. Rana, K., Muiruri, R., McAndrew, B., Gilmor, A. (1990). The influence of diluentes, equilibration time and pre-freezing storages time on the viability of cryopreservation Oreochromis niloticus (L.) spermatozoa. Aquaculture Research, 21, 25-30. DOI:10.1111/j.1365-2109.1990.tb00379.x. [DOI] 🠔
  39. Rurangwa, E., Kime, D., Ollevier, F., Nash, J. (2004) The measurement of sperm motility and factors affecting sperm quality in cultured fish. Aquaculture, 234, 1-28. DOI: 10.1016/j.aquaculture.2003.12.006. [DOI] 🠔
  40. Salomon, S., Maxwell, W. (2000). Storage of ram semen. Animal Reprodution Science, 62, 77-11. DOI:10.1016/s0378-4320(00)00155-x [DOI] 🠔
  41. Viveiros, A., Godinho, H. (2009). Sperm quality and cryopreservation of Brazilian freshwater fish species: A review. Fish Physiology Biochemestry, 35, 137-150. DOI:10.1007/s10695-008-9240-3 [DOI] 🠔
  42. Xin, M., Momin, M., Dzyuba, B., Cuevas-Uribe, R., Shaliutina- Kolĕsová, A., Linhart, O. (2017). Progress and challenges of fish sperm vitrification: A mini review. Theriogenology, 98, 16-22. DOI:10.1016/j.theriogenology.2017.04.043. [DOI] 🠔
  43. Xin, M., Shaliutina-Kolĕsová, A., Sterba, J., Konik, P., Boryshpoletsa, S., Rodina, M., Li, P., Nian, R., Linhart, O. (2018). Impact of cryopreservation on sterlet, Acipenser ruthenus sperm motility and proteome. Animal Reproduction Science, 192, 280-289. DOI: 10.1016/j.anireprosci.2018.03.025. [DOI] 🠔
  44. Xin, M., Niksirat, H., Shaliutina‐Kolešová, A., Siddique. M., Sterba, J., Boryshpolets, S., Linhart. O. (2020). Molecular and subcellular cryoinjury of fish spermatozoa and approaches to improve cryopreservation. Reviews in Aquaculture, 12(2), 909-924. DOI: 10.1111/raq.12355. [DOI] 🠔
  45. Yildiz, C., Bozkurt, Y., Yavas, I. (2013). An evaluation of soybean lecithin as an alternative to avian egg yolk in the cryopreservation of fish sperm. Cryobiology, 67, 91-94. DOI: 10.1016/j.cryobiol.2013.05.008. [DOI] 🠔
  46. Zhou, B., Liu, W., Siu, W., O’Toole, D., Lam, P., Wu, R. (2006). Exposure of spermatozoa to duroquinone may impair reproduction of the common carp (Cyprinus carpio) through oxidative stress. Aquatic Toxicology, 77: 136-142. DOI: 10.1016/j.aquatox.2005.11.006. [DOI] 🠔