Revista Colombiana de Biotecnología
0123-3475
Instituto de Biotecnología, Universidad Nacional de Colombia
https://doi.org/10.15446/rev.colomb.biote.v24n2.97013

Recibido: 15 de enero de 2022; Aceptado: 10 de noviembre de 2022

Peligros microbiológicos relacionados con alimentos fermentados de elaboración artesanal comercializados en Tunja, Nariño y Cauca

Microbiological risks related to artisanal fermented foods marketed in Tunja, Nariño and Cauca

G. N.A., * M. Gil-Uribe, * B. Luján-Roldán, * Y. López-Cadena, ** N. Marín-Pareja, *** F. Valencia-García, ****

Estudiantes Microbiología Industrial y Ambiental. Grupo de Investigación Biotransformación. Escuela de Microbiología. Universidad de Antioquia. Medellín, Antioquia, Colombia. natalia.gomezr@udea.edu.co, https://orcid.org/0000-0003-2176-1063 ?lang=en, manuela.gil@udea.edu.co, https://orcid.org/0000-0001-7763-6355, braian.lujan@udea.edu.co, https://orcid.org/0000-0001-8566-9472. Universidad de Antioquia Universidad de Antioquia Medellín Antioquia Colombia
Microbióloga Industrial y Ambiental. Grupo de Investigación Biotransformación. Escuela de Microbiología. Universidad de Antioquia. Medellín, Antioquia, Colombia. yuli.lopez@udea.edu.co, ORCID 0000-0001-7296-646X. Universidad de Antioquia Universidad de Antioquia Medellín Antioquia Colombia
Doctora en ciencia e ingeniería de los materiales. Grupo de Investigación en Gerencia y Aplicación de la Ciencia y la Tecnología. Centro de Servicios y Gestión Empresarial. Servicio Nacional de Aprendizaje. Medellín, Antioquia, Colombia. nmarinp@sena.edu.co; ORCID 0000-0002-6816-236X. Servicio Nacional de Aprendizaje Medellín Antioquia Colombia
Doctora en Ciencias farmacéuticas y Alimentarias. Grupo de Investigación Biotransformación. Escuela de Microbiología. Universidad de Antioquia. Medellín, Antioquia, Colombia. Francia.valencia@udea.edu.co; ORCID 0000-0002-4167-2167. Universidad de Antioquia Universidad de Antioquia Medellín Antioquia Colombia

Ninguno declarado por los autores.

RESUMEN

Varios factores intervienen en la calidad de los alimentos, como los físicos, químicos, nutricionales, sensoriales y microbiológicos. Este último es importante, ya que, afecta las propiedades organolépticas del producto terminado y, además, puede ocasionar riesgos de salud pública asociados a peligros microbiológicos. Colombia es un país rico en gastronomía, incluyendo alimentos fermentados de elaboración artesanal (AFEA), los cuales son una alternativa actual para sistemas agroalimentarios que buscan alimentos más naturales. El objetivo de este estudio fue evaluar los criterios microbiológicos en AFEA y el cumplimiento de requisitos sanitarios para sensibilizar a productores de bebidas artesanales y revalorizar los productos. Se tomaron en cuenta 11 productores artesanales de Masato, Champús y Almidón agrio de yuca en zonas rurales del país, que voluntariamente aceptaron participar. Se midieron los parámetros de pH, humedad, sólidos solubles y recuentos microbiológicos. Con estos resultados, se pudo calcular el porcentaje de conformidad de los alimentos, de los cuales el 36 % de productos evaluados fueron aptos para el consumo. Se incumplieron los límites establecidos para Escherichia coli, Staphylococcus aureus, Bacillus cereus y Salmonella sp. Los análisis fisicoquímicos mostraron que el Masato y el Champús aportan condiciones abióticas para el crecimiento microbiano. Además, los productores Almidón agrio de yuca tuvieron mayor valoración en el cumplimiento de requisitos sanitarios y menor cumplimiento que los productores de Champús. Los análisis realizados indican que la mayoría de los alimentos incumplieron los límites permitidos por lo cual se debe capacitar a los productores en buenas prácticas de manufactura.

Palabras clave:

Masato, Champús, Almidón agrio de yuca, criterios microbiológicos, Coliformes totales, E. coli, B. cereus, S. aureus, Salmonella spp., Sólidos solubles, pH, Humedad.

ABSTRACT

Several factors intervene in the quality of the food, such as physical, chemical, nutritional, sensory, and microbiological. The latter is important as it affects the sensory properties of the finished product, and it can also cause public health risks associated with microbiological hazards. Colombia is a country rich in gastronomy, including artisanal fermented foods (AFEA), which are a current alternative for agri-food systems seeking for more natural foods. The objective of this study was to evaluate the microbiological criteria in AFEA and its compliance with the sanitary requirements to raise the awareness among crafted beverages producers and revalue the products. Eleven artisan producers of masato, champús and sour cassava starch in rural areas of the country, who voluntarily agreed to participate, were considered. The parameters of pH, humidity, soluble solids, and microbiological counts were measured. With these results, it was possible to calculate the compliance rate of the food, from which 36% of the products evaluated were fit for consumption. The limits established for Escherichia coli, Staphylococcus aureus, Bacillus cereus and Salmonella spp were breached. Physicochemical analysis showed that Masato and Champús provide abiotic conditions for microbial growth. In addition, the Sour cassava starch producers had higher compliance ratings regarding sanitary requirements but lower compliance ratings than champús producers. The performed analysis indicates that most of the food did not comply with the permitted limits, which is why producers must be trained in good manufacturing practices.

Keywords:

Masato, Champús, Sour cassava starch, Microbiological criteria, Total coliforms, E. coli, B. cereus, S. aureus, Salmonella spp., Soluble solids, pH, Moisture.

INTRODUCCIÓN

Los microorganismos en la búsqueda de supervivencia pueden adaptarse a una variedad de sustratos, entre ellos los alimentos, en los cuales pueden desempeñar diversos efectos positivos, negativos o neutros (Russo & Capozzi, 2021). En los alimentos fermentados los efectos benéficos de algunos microorganismos son de interés y dan valor agregado a los productos, pero, si al lado de estos prevalecen microorganismos patógenos, estos podrían causar un riesgo a la salud del consumidor (Jayan et al., 2019). Uno de estos riesgos son las enfermedades transmitidas por alimentos (ETAs) que generan un enorme impacto socioeconómico por los costos en su tratamiento y la pérdida de la confianza en los productos (Mun, 2019).

En Colombia, en la semana 53 del año 2020, se reportaron 483 brotes de ETAs que involucraron 4550 casos, con un promedio de brotes de 9 por semana, siendo los hogares y restaurantes los sitios de consumo o manipulación de alimentos implicados en los brotes; igualmente, las ventas ambulantes tuvieron una participación en la aparición de brotes. Los agentes etiológicos principalmente identificados fueron Escherichia coli, Staphylococcus aureus, coliformes fecales y Salmonella spp. (Instituto Nacional de Salud, 2021).

La presencia de los peligros que causan los brotes de intoxicación y muertes podría prevenirse en cualquier momento de la producción de alimentos, para ello, las entidades reguladoras establecen lineamientos para reducir el riesgo (Fung et al., 2018). Así mismo, se establecen criterios microbiológicos que definen la aceptabilidad del producto y hacen parte de los controles periódicos en los sistemas de elaboración de alimentos. Entre los criterios más utilizados se encuentran los microorganismos objetivo de seguridad alimentaria como son la presencia de agentes patógenos como Salmonella spp, Listeria monocytogenes, Escherichia coli O157:H7 y la detección de toxinas específicas e indicadores de calidad de proceso como: Bacillus cereus, Staphylococcus aureus, Escherichia coli, entre otros (Mendonca et al., 2020; Sharif et al., 2018).

Respecto a los alimentos fermentados de elaboración artesanal (AFEA) son tradicionales en muchos países y se relacionan con la pertenencia sociocultural, apoyada en saberes ancestrales de regiones específicas (González Martínez, 2015), el interés por estos alimentos ha incrementado, debido a las tendencias por el consumo de alimentos menos procesados y con beneficios saludables al contener bacterias ácido lácticas (BAL) posiblemente probióticas o sus metabolitos (Tasdemir & Sanlier, 2020). Algunos alimentos fermentados, se han propuesto como una alternativa de innovación a los actuales sistemas agroalimentarios resaltando la cultura y el arraigo por lo hecho a mano, alejado de procesos de industrialización, situación que podría ser aprovechada en países con economías emergentes donde predominan las microempresas y de esta manera fortalecer prácticas que posibilitan el mantenimiento de los saberes locales y la soberanía alimentaria, agregando valor a productos típicos para ser más apetecidos por los consumidores (Domínguez-López et al., 2011; González Martínez, 2015). Información sobre estudios que evalúan la calidad de estos alimentos se han realizado en diversos países (Anyogu et al., 2021). En Colombia, no hay variados reportes sobre la evaluación de calidad microbiológica de productos fermentados artesanales elaborados en diferentes regiones del país.

En el caso puntual, el Masato y el Champús son productos que en la actualidad podrían tener un alto valor agregado para personas intolerantes a la lactosa, al ser bebidas fermentadas a base de cereales que tienen sustratos más asimilables (Salmerón et al., 2015). Así, el Masato es una bebida refrescante elaborada con cereales como maíz, arroz o una mezcla de ambos, es consumido como aperitivo en Boyacá y Santander. El cereal se cuece y se tritura con agua y se somete a una fermentación natural por 3 a 5 días, que le da características propias como la viscosidad, la cantidad de alcohol y el sabor dulce. El Champús por su parte es una bebida o postre típico del Valle del Cauca y Nariño, elaborado a base de maíz que es remojado y fermentado naturalmente, luego se tritura, se separa la fibra y el almidón es sometido a ebullición, para finalmente adicionarle miel de panela, frutas, especias y plantas aromaticas. Ambos productos contienen un bajo porcentaje de alcohol (2.5 - 4%) (Chaves et al., 2014; Faria-Oliveira et al., 2015) (Figura 1A y 1B).

El Almidón agrio de yuca (AYA) por su parte, es una materia prima empleada para la elaboración de productos de panificación como pandequeso, pandeyuca y almojábanas por sus características sensoriales como sabor y olor, productos de consumo masivo en toda la región colombiana y en Brasil. Además, los productos elaborados con este almidón tienen valor agregado al ser libres de gluten. El almidón extraído de la yuca por molienda húmeda se fermenta de manera natural en tanques de almacenamiento por un periodo entre 3 - 10 meses y después de verificar su capacidad de expansión es secado al sol. (Figura 1C) (Alonso-Gomez et al., 2016; Chiquiza-Montaño et al., 2016).

Algunos de estos productos son elaborados en comunidades que han sufrido una constante desprotección por parte del Estado, donde no se desarrollan procesos efectivos de inclusión y atención social (Defensoría del pueblo de Colombia, 2016). Revalorizar estos productos, aprovechando las tendencias del mercado por el consumo de alimentos naturales, se convierte en una oportunidad para incrementar su consumo y los ingresos económicos en estas comunidades. Por lo anterior, este artículo tuvo como objetivo evaluar criterios microbiológicos en alimentos fermentados de elaboración artesanal y el cumplimiento de requisitos sanitarios (CRS) para sensibilizar a los productores de estas bebidas artesana-les y así lograr productos aptos para el consumo humano con buena calidad.

METODOLOGÍA

Recolección de muestras de alimentos fermentados.

Las muestras de Masato se colectaron en el Departamento de Boyacá (5° 25' 1" Norte, 73° 30' 0" Oeste), de 3 tres lotes diferentes, de tres productores de la zona, para Champús se colectaron en el departamento de Nariño (0° 51' 0" Norte, 77° 31' 1" Oeste, 1° 16' 59" Norte, 77° 22' 1 " Oeste), dos lotes diferentes de 5 productores locales y las muestras de AYA se recolectaron en el departamento de Cauca (3° 00' 34.0" N 76° 29' 05.8" W) 3 lotes de fermentación de tres diferentes productores de la región. Todos los productores locales tienen puntos de venta fijos y aceptaron voluntariamente participar en el proyecto mediante la firma de un consentimiento informado que incluía la información requerida en la reglamentación ética de Colombia (Resolución 8430, 1993). Las muestras se colectaron en recipientes estériles y fueron congeladas entre -20 °C ± 2 °C para ser transportadas y analizadas en menos de 48h.

Análisis microbiológicos. Los criterios microbiológicos de higiene del proceso evaluados fueron coliformes totales y E. coli (NTC 4458 - 2018), Bacillus cereus (NTC 4679 - 2006), Staphylococcus aureus (NTC 4779 -2007) y el criterio microbiológico de seguridad alimentaria presencia de Salmonella spp., siguiendo la NTC 4574 - 2007. Posteriormente se realizaron los recuentos de unidades formadoras de colonias (UFC / g) y se expresaron en unidades logarítmicas.

Porcentaje del cumplimiento de cada criterio microbiológico (CM) de higiene de proceso y de seguridad alimentaria. Este cálculo hace referencia al número de muestras del total, que fueron iguales o menores a los límites microbianos permitidos, se calculó según la Ecuación 1. Para ello, se tuvo en cuenta los criterios presentados para diferentes alimentos fermentados (Moragas & Valcárcel, 2021) y la de "Productos a base de soya, otras legumbres y/o leguminosas y/o cereales cuajados fermentados y no fermentados" establecidos en el proyecto de resolución presentado por el Ministerio de Salud y Protección Social (Resolución 1407, 2022, esto debido a que no hay normativa establecida para los AFEA.

Porcentaje de conformidad de las muestras analizadas para tipo de alimento. El porcentaje de conformidad de los criterios para todas las muestras analizadas se calculó teniendo en cuenta el número de muestras conforme (las que cumplen los CM) sobre el total de muestras analizadas de cada alimento (Ecuación 2).

Productos fermentados artesanalmente. A y B filtración y fermentación de Masato de arroz. C y D. mezcla de almíbar y Champús y E y F. fermentación y secado de AYA.

Figura 1: Productos fermentados artesanalmente. A y B filtración y fermentación de Masato de arroz. C y D. mezcla de almíbar y Champús y E y F. fermentación y secado de AYA.

Análisis fisicoquímicos. El porcentaje de humedad determinado por el método gravimétrico según la norma NTC 4888 de 2000, en un horno de convección (Isotherm® ESCO OFA-54). La determinación de pH se realizó por inmersión directa sobre una dilución 10-1 de las muestras empleando un pH-metro (HACH® HQ11D) y los sólidos solubles fueron medidos con refractómetro (TRANS INSTRUMENTS® RBX0080) graduado en escala 0 a 80 % ° Brix a 20°C.

Cumplimiento de requisitos sanitarios durante el proceso de elaboración. La información necesaria para establecer el cumplimiento de requisitos sanitarios y las condiciones que deben tener los establecimientos, según la Resolución Colombiana (Resolución 2674, 2013, fue documentada en un cuestionario en el cual se incluyeron tópicos de las condiciones básicas de higiene: Edificación e instalaciones, calidad de agua, equipos y utensilios, higiene personal, requisitos higiénicos de fabricación. Cada tópico fue valorado de acuerdo con el cumplimiento entre 0 y 100 puntos, donde cero corresponde al no cumplimiento y 100 el cumplimiento a cabalidad dentro de la regulación. Este formato fue completado durante la visita a las instalaciones al observar las actividades realizadas mientras se elaboraban los productos, durante el acompañamiento a los productores que participaron en el proyecto.

Análisis estadísticos. Se realizó un análisis estadístico descriptivo para los datos microbiológicos y fisicoquímicos hallando parámetros como promedio, desviación estándar y coeficiente de variación. Adicionalmente, se realizó un análisis de correlación usando la matriz Scartter plot, para las variables fisicoquímicas y microbiológicas de las muestras, empleando el software estadístico R studio® Version 3.5.1.

RESULTADOS

En total fueron analizadas 25 muestras, 9 de Masato, 10 de Champús y 6 AYA. Los resultados del promedio, las desviaciones estándar del logaritmo de los recuentos y el porcentaje de cumplimiento del límite permitido para cada criterio microbiológico se presentan en la Tabla 1.

Tabla 1: Promedios y desviaciones estándar y porcentaje de cumplimiento de los criterios microbiológicos evaluados en los diferentes alimentos. * Presencia en 25g

Con relación a los CM evaluados en los AFEA, hubo incumplimiento en al menos uno de los CM en todos los alimentos. Sin embargo, los CM que se encontraron por encima del límite permitido fueron diferentes para cada producto, siendo el Masato y el Champús los alimentos con menor porcentaje de cumplimiento. Así mismo, los CM de higiene del proceso que presentaron mayores desviaciones fueron, para el Masato, los recuentos de E. coli (1,14 Log UFC / g ± 2,00 Log UFC / g), Coliformes totales (4,5 Log UFC / g ± 1,81 Log UFC / g) y Staphylococcus aureus (3,1 Log UFC / g ± 1,31 Log UFC / g), mientras que para el Champús, las desviaciones estándar de los Log UFC fueron menores con relación a los recuentos de coliformes totales (3,2 Log UFC / g ± 1,5 Log UFC / g) y E. coli (1,3 Log UFC / g ± 1,0 Log UFC / g). Con relación al AYA, el criterio de higiene del proceso que no cumplieron el 50 % de las muestras fue B. cereus, presentando recuentos de (2,90 Log UFC / g ± 0,38 Log UFC / g).

Por otra parte, respecto al criterio microbiológico de seguridad alimentaria evaluado, el Masato fue el único alimento que presentó la presencia de Salmonella spp. con un incumplimiento del 11 %.

El porcentaje de conformidad de todos los criterios para la totalidad de las muestras analizadas para cada uno de los alimentos incluidos en la investigación se presenta en la Tabla 2.

Tabla 2: Valores absolutos y porcentuales de las muestras conformes que cumplieron todos los criterios microbiológicos.

Es así como los alimentos aptos para consumo estuvieron igual al 50% para el AYA y el Champús y el 11 % para el Masato.

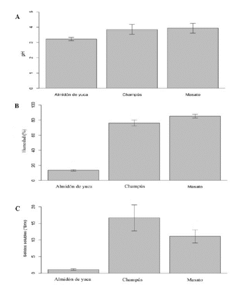
Los promedios y las desviaciones estándar de los análisis fisicoquímicos de las muestras de AFEA evaluados se presentan en la Figura 2.

Valores promedio e intervalos LSD de las variables químicas evaluadas en los alimentos fermentados. A. pH, B. Humedad, y C. Sólidos solubles.

Figura 2: Valores promedio e intervalos LSD de las variables químicas evaluadas en los alimentos fermentados. A. pH, B. Humedad, y C. Sólidos solubles.

El promedio del pH para las muestras de AYA fue 3,22 ± 0,11, significativamente más bajo con respecto al promedio de pH obtenido para las muestras de Masato y Champús (3,89 ± 0,30 y 3,85 ± 1,33), que presentaron similitud en los resultados (Figura 2A). Así mismo, la humedad más alta la presentó el Masato con un valor promedio de 85,02 % ± 2,47, seguido del Champús con un promedio de 76,13 % ± 4,00 y el AYA como la menor humedad promedio 13,48 % ± 0,91 (Figura 2B). Por otra parte, sólidos solubles fueron los resultados que mayor variabilidad presentaron en el Champús y el Masato con rangos entre 16,67 °Brix ± 3,91 y 11,11 °Brix ± 1,99, respectivamente. y el de menor contenido de sólidos solubles fue el AYA 1,10 °Brix ± 0,26 (Figura 2C).

Al correlacionar los análisis fisicoquímicos con los recuentos de microorganismos evaluados en los productos fermentados, solo en el Masato y en el AYA se observaron correlaciones entre las variables (Figura 3A y 3B). En la Figura 3A se aprecia que existe una relación lineal inversa (-0.76) estadísticamente significativa (p = 0,018) entre S. aureus y el pH, indicando que a menor pH se presentó mayor recuento de S. aureus en las muestras de Masato. No se observaron otras correlaciones entre los resultados de los análisis fisicoquímicos y los CM de higiene del proceso. En cuanto a las correlaciones entre los análisis fisicoquímicos y CM para el AYA (Figura 3B), el microorganismo B. cereus presentó una relación lineal positiva (0,96) estadísticamente significativa (p < 0,01) con respecto a la humedad; esto quiere decir que a medida que aumenta la humedad, aumenta la población de B. cereus en la harina de yuca agria. Para los demás criterios evaluados no se presentaron otras correlaciones entre las variables químicas y microbiológicas.

Correlaciones entre las variables fisicoquímicas y los recuentos de microorganismos.

Figura 3: Correlaciones entre las variables fisicoquímicas y los recuentos de microorganismos.

El consolidado de los resultados obtenidos del cuestionario realizado para verificar el CRS y las condiciones que tienen los establecimientos según la regulación colombiana 2674 de 2013 se presenta en la Tabla 3.

Tabla 3: Cumplimiento de requisitos sanitarios para realizar actividades relacionadas con alimentos . El rosado intenso representa el aspecto que presentó mayores cumplimientos

Para finalizar, al evaluar el cumplimiento de las prácticas higiénicas los productores de AYA presentaron el mayor cumplimiento de los parámetros evaluados (77 -87 %), y los productores de menor cumplimiento fueron los de Masato y Champús, donde el cumplimiento de los aspectos evaluados estuvo por debajo de 50 %, presentando mayor variabilidad en la valoración para los productores de Champús. Para ambos productores, el menor cumplimiento fue para el aspecto equipos y utensilios, además para los productores de Champús, la calidad del agua no cumple ninguno de los aspectos evaluados (0 %).

DISCUSIÓN

Los alimentos fermentados son parte fundamental de las culturas étnicas del mundo y de los países en vía de desarrollo, ya que son de fácil preparación y poseen cualidades organolépticas, nutricionales y saludables que han hecho que este tipo de preparaciones adquieran interés para algunos consumidores (Tasdemir & Sanlier, 2020, pero en ocasiones, la calidad de estos productos esta de la mano con las buenas prácticas manufactura al momento de preparar los alimentos y estos podrían convertirse en un riesgo para la salud de los consumidores (Anyogu et al., 2021. En Colombia existen diferentes productos elaborados por fermentaciones naturales como es el caso de los productos que se propuso analizar en este trabajo evidenciando en un alto número de las muestras procesadas el incumplimiento de los límites establecidos para algunos criterios microbiológicos, donde solo el 36 % de todos los productos terminados cumplieron con todos los CM establecidos. Estos resultados estuvieron por debajo de los resultados reportados por Byakika et al., (2019) quienes analizaron unas bebidas fermentadas obtenidas de diferentes cereales típica en Kampala, Uganda donde muestran que el 50 % de los productos comercializados no cumplieron la normatividad establecida en el país de origen.

Contrario a nuestros resultados, esta publicación muestra recuentos hasta con 6.2 log ufc/mL para E. coli, 8.1 log ufc/mL Staphylococcus spp. recuentos que estuvieron por encima de los obtenidos es este trabajo (5.7 log ufc/mL para E. coli, 4.6 log ufc/mL Staphylococcus aureus para el producto Masato), ellos tampoco evidenciaron la presencia de Salmonella en sus muestras, mientras que en una de las muestras de Masato se evidenció presencia de este microorganismo. Salmonella spp. es considerado un microorganismo patógeno verdadero que ingresa al cuerpo de un huésped causando salmonelosis cuyos síntomas pueden ser náuseas, vómito, fiebre y diarrea, este patógeno puede llegar a la matriz a través de aguas y vegetales por lo que su ausencia podría indicar un correcto manejo de las materias primas. (He et al., 2021; Liu et al., 2018; Markazi et al., 2018; Wan et al., 2021).

Igualmente, Anyogu et al., (2021) recopiló información donde se evidencia el incumplimiento de CM en diferentes alimentos fermentados elaborados con yuca como attieke (Costa de Marfil) que presentaron prevalen-cias de B. cereus 14,4 % y S. aureus 24,8 % y el lafum (Nigeria) que no reportaron prevalencia de CM, porcentajes que difieren a las encontradas en AYA para B. cereus (50 %) y no se evidenció S. aureus. Más aún, en bebidas elaboradas de maíz en Sudáfrica como el Mahew y el Umquoboth se les reportó prevalencia de 1 7 % de B. cereus y 25 % de E. coli, prevalencias menores al 30 % reportadas en este trabajo para el Champús (Tabla 1). En la investigación se menciona que estas pre-valencias se mantienen debido a incorrectas prácticas de manufactura e higiene, al igual los productores arte-sanales hacen su venta informalmente por lo que no poseen una capacitación básica para asegurar la calidad microbiológica de sus productos.

Las muestras que incumplieron los CM de seguridad como E. coli, indican que estos productos no son aptos para el consumo, debido a que este microorganismo es utilizado como indicador de posible contaminación fecal en alimentos, debido a su presencia en heces de humanos y animales (Assefa et al., 2019, y algunas cepas son causantes de enfermedades intestinales, como la diarrea (Aijuka & Buys, 2019. Además de este criterio, los productos que incumplieron los criterios para S. aureus, tampoco son adecuados para su consumo, dado a que este microorganismo puede ser transferido al alimento a partir las manos y cavidades nasales de los manipuladores y podrían generar infecciones en la piel, neumonía, artritis o envenenamiento al ingerir una de las toxinas que este microorganismo produce (Lu et al., 2019.

En contraste, el AYA fue el único alimento que incumplió el CM de B. cereus; el cual es un microorganismo presente en el ambiente, suelo, agua y en sistemas gastrointestinales de organismos eucariotas productor de toxinas causantes de envenenamiento alimentario, cuyos síntomas son diarrea y vómito, con la capacidad de persistir en alimentos con condiciones poco idóneas para su crecimiento gracias a su capacidad de formar esporas para resistir en el ambiente hasta llegas condiciones favorables (Osimani et al., 2018).

Los CM indicadores de calidad como coliformes totales, pueden estar relacionado con el bajo porcentaje de CRS como las condiciones de los establecimientos, las prácticas inadecuadas de manipulación durante el procesamiento del alimento, los recursos a su disposición y la poca capacitación sobre los estándares mínimos de calidad que debe de llevar la preparación y distribución de un producto que será consumido (Martin et al., 2016) (Tabla 3).

Con relación a los análisis fisicoquímicos, los rangos obtenidos para pH, no divergen con los datos reportados por otros autores para Masato (3.55 ± 0,21) (Maldonado & Caballero-Perez, 2016) y el Champús (3.45 ± 0,49) (Chaves et al., 2014) y el AYA (3,45 ± 0,49) (Vargas, 2010), aunque la humedad en este producto estuvo por encima de lo reportado (10,2 ± 3 %) (Chaves et al., 2014 esta variación es probable por la falta de equipos que les permitan corroborar la humedad antes de terminar el secado al sol (Alonso-Gomez et al., 2016). Por su parte, el contenido de sólidos solubles es característico de cada producto, aun así, se presenta variabilidad en el Champús y el Masato ya que la adición de azúcares se realiza al tanteo, porque no se cuenta con los equipos adecuados para estandarizar las formulaciones.

La correlación inversa entre el pH y S. aureus, muestra que estos microorganismos pueden adaptarse a condiciones menores de pH (3,93 ± 0,32) que difieren de las condiciones óptimas reportadas para el microorganismo (4,5 - 9,3) (Lu et al., 2019) (Figura 2A), esta capacidad de adaptarse a estas condiciones, puede hacer que el microorganismo permanece en los recipientes en los que se preparan los alimentos si no hace un correcto lavado y se conserven a pesar de los niveles bajos de pH bajo y puedan crecer en diferentes tandas de preparación; así mismo, en AYA se observó una correlación positiva entre la humedad y B. cereus ) (Figura 2B), esto posiblemente debido a que B. cereus es un microorganismo formador de endosporas que lo protegen del calor, de los químicos y otras situaciones de estrés (Osimani et al., 2018). Es así, como, AYA es sometido a un proceso de secado solar que reduce la humedad del producto. Cuando esta variable comienza a ser menor del 74 %, las células de B. cereus producen biopelículas en su estado vegetativo, y empiezan a formar esporas que ayudan a que prevalezcan en el alimento hasta que las condiciones del ambiente sean óptimas (Hayrapetyan et al., 2015; Huang et al., 2020). Los demás microorganismos evaluados no cuentan con la fisiología para resistir las situaciones de estrés que se observan en el procesamiento del AYA, que además del secado, es sometido a un proceso de fermentación que puede ser entre 3 - 10 meses, donde se da la competencia entre los microorganismos iniciales presentes, hasta el dominio de las especies con mayor facilidad de adaptación, a pH bajos (3,1 - 3,4), sólidos solubles (0,8 - 1,5 °Brix) y la baja humedad (12,1 - 14,4 %) observados en esta investigación .

Más aún, los datos obtenidos en los recuentos de microorganismos y análisis fisicoquímicos para lotes del mismo productor mostraron altas desviaciones, lo cual puede indicar que estos productores tienen metodologías de preparación no estandarizadas y no se siguen técnicas correctas de salubridad para evitar la contaminación de los productos (Byakika et al., 2019). Los AFEA no solo pueden ser benéficos para el consumidor sino que también, de no mantener buenas prácticas, pueden encontrarse microorganismos patógenos como se observó en esta investigación; donde se determinó que si bien cumplen con la indumentaria básica, el porcentaje de cumplimiento no asegura el mejoramiento de la calidad y deben procurar por mejorar el cumplimiento de los requisitos sanitarios como, evitar la contaminación cruzada por no tener áreas delimitadas para la realización de los procesos, el almacenamiento en espacios poco adecuados, la utilización de equipos y utensilios adecuados y mejorar el lavado de los insumos o recipientes empleados (Tabla 2) (Kumar Anal et al., 2019; Narzary et al., 2016).

A partir de estos resultados se realizó la retroalimenta-ción de los resultados, mediante estrategias de difusión, divulgación y formación a través de la interacción con cada productor participante. Igualmente se realizó una capacitación dirigida a productores en general que buscó sensibilizar y mostrar la importancia de elaborar productos en condiciones higiénicas para evitar la presencia de microorganismos no deseados en el mismo, e igualmente fomentar la producción y el consumo de alimentos fermentados, por ser una buena fuente de nutrientes y poseer bacterias ácido lácticas que posiblemente, han reportado tener beneficios en la salud del consumidor.

CONCLUSIONES

Este estudio marca un precedente en la evaluación microbiológica y fisicoquímica de alimentos de fermentación artesanal elaborados por conocimientos heredados entre productores de zonas rurales de Colombia.

Entre los productos evaluados, la mayoría no fueron aptos para el consumo humano, ya que incumplieron los límites permitidos y su consumo podría causar problemas de salud pública. Estos resultados muestran la importancia de capacitar y concientizar a los productores sobre llevar buenas prácticas de manufactura, para que los procesos sean más uniformes y se minimice la contaminación, mejorando la praxis al momento de elaborar el producto y asegurar la continuación de las expresiones culturales en las comunidades.

Además, se recomienda a las autoridades locales procurar generar espacios que brinden por un lado apoyo a los productores que fomenten las tradiciones ancestrales sin perder la identidad de los pueblos, para promover la sostenibilidad de la producción para su autoconsumo o sustento a la economía familiar.

REFERENCIAS BIBLIOGRÁFICAS

  1. Aijuka, M., & Buys, E. M. (2019). Persistence of foodbor-ne diarrheagenic Escherichia coli in the agricultural and food production environment: Implications for food safety and public health. https://doi.org/10.1016/j.fm.2019.03.018. [URL] 🠔
  2. Alonso-Gomez, L., Niño-López, A. M., Romero-Garzón, A. M., Pineda-Gomez, P., del Real-Lopez, A., & Rodriguez-Garcia, M. E. (2016). Physicochemical transformation of cassava starch during fermentation for production of sour starch in Colombia. Starch - Starke, 68 (11 -12), 1139-1147. https://doi.org/10.1002/STAR.201600059. [URL] 🠔
  3. Anyogu, A., Olukorede, A., Anumudu, C., Onyeaka, H., Areo, E., Adewale, O., Odimba, J. N., & Nwaiwu, O. (2021). Microorganisms and food safety risks associated with indigenous fermented foods from Africa. Food Control, 129, 108227. https://doi.org/10.1016/j.foodcont.2021.108227. [URL] 🠔
  4. Assefa, A., Regassa, F., Ayana, D., Amenu, K., & Abunna, F. (2019). Prevalence and antibiotic susceptibility pattern of Escherichia coli O157:H7 isolated from harvested fish at Lake Hayq and Tekeze dam, Northern Ethiopia. Heliyon, 5(12), e02996. https://doi.org/10.1016/J.HELIYON.2019.E02996 [URL] 🠔
  5. Byakika, S., Mukisa, I. M., Byaruhanga, Y. B., Male, D., & Muyanja, C. (2019). Influence of food safety knowledge, attitudes and practices of processors on microbiological quality of commercially produced traditional fermented cereal beverages, a case of Obushera in Kampala. Food Control, 100, 212-219. https://doi.org/10.1016/j.foodcont.2019.01.024 [URL] 🠔
  6. Chaves, C., Serio, A., Grande, C., Cuervo, R., Delgado, J., & Paparella, A. (2014). Traditional fermented foods and beverages from a microbiological and nutritional perspective: the Colombian heritage. Comprehensive Reviews in Food Science and Food Safety, 13(5), 1031 - 1048. https://doi .org/10.1111/1541-4337.12098 [URL] 🠔
  7. Chiquiza-Montaño, L. N., Montoya, O. I., Restrepo, C., & Orozco-Sánchez, F. (2016). Estudio de la microbiota del proceso de producción de almidón agrio de yuca. Informacion Tecnologica, 27(5), 3-14. https://doi.org/10.4067/S0718-07642016000500002 [URL] 🠔
  8. Defensoría del pueblo de Colombia. (2016). Problemática humanitaria en la región pacífica colombiana. In Opciones Gráficas Editores Ltda. (Ed.), Sistema de Alertas Tempranas (SAT) (Vol. 1). Defensoría del Pueblo de Colombia. www.defensoria.gov.co [URL] 🠔
  9. Domínguez-López, A., Villanueva-Carvajal, A., Arriaga-Jordán, C. M., & Espinoza-Ortega, A. (2011). Alimentos artesanales y tradicionales: el queso Oaxaca como un caso de estudio del centro de México. Estudios Sociales (Hermosillo, Son.), 19(38), 165-193. http://www.scielo.org.mx/scielo.php?script=sci_arttext&pid=S0188-45572011000200007&lng=es&nrm=iso&tlng=es [URL] 🠔
  10. Faria-Oliveira, F., Diniz, R. H. S., Godoy-Santos, F., Piló, F. B., Mezadri, H., Castro, I. M., & Brandão, R. L. (2015). The Role of Yeast and Lactic Acid Bacteria in the Production of Fermented Beverages in South America. In E. Ayman (Ed.), Food Production and Industry (IntechOpen, pp. 107-135). https://doi.org/10.5772/60877 [URL] 🠔
  11. Fung, F., Wang, H. S., & Menon, S. (2018). Food safety in the 21st century. Biomedical Journal, 41(2), 88-95. https://doi.org/10.1016/J.BJ.2018.03.003 [URL] 🠔
  12. González Martínez, A. (2015). Caracterización de saberes locales alrededor de la producción de Chicha en el Valle de Tenza, Boyacá (Colombia). Polisemia: Revista Del Centro de Pensamiento Humano y Social , ISSN 1900-4648, ISSN-e 2590-8189, N o. 20 , 2015, Págs. 29-44, 20, 29-44. https://dialnet-unirioja-es.udea.lookproxy.com/servlet/articulo?codigo=6088111 [URL] 🠔
  13. Hayrapetyan, H., Abee, T., & Groot, M. N. (2015). Sporulation dynamics and spore heat resistance in wet and dry biofilms of Bacillus cereus. https://doi.org/10.1016/j.foodcont.2015.08.027 [URL] 🠔
  14. He, Y., Chen, R., Qi, Y., Salazar, J. K., Zhang, S., Tortorello, M. Lou, Deng, X., & Zhang, W. (2021). Survival and transcriptomic response of Salmonella enterica on fresh-cut fruits. International Journal of Food Microbiology, 348, 109-201. https://doi.org/10.1016/J.IJFOODMICRO.2021.109201 [URL] 🠔
  15. Huang, Y., Flint, S. H., & Palmer, J. S. (2020). Bacillus cereus spores and toxins-The potential role of biofilms. https://doi.org/10.1016/j.fm.2020.103493 [URL] 🠔
  16. Instituto Nacional de Salud. (2021). Vigilanca brotes de enfermedad transmitida por alimentos Colombis, 2020 preliminar. https://doi.org/10.33610/23576189.2021.04 [URL] 🠔
  17. Jayan, H., Pu, H., & Sun, D.-W. (2019). Recent development in rapid detection techniques for microorganism activities in food matrices using bio-recognition: A review. https://doi.org/10.1016/j.tifs.2019.11.007 [URL] 🠔
  18. Kumar Anal, A., Perpetuini, G., Petchkongkaew, A., Tan, R., Avallone, S., Tofalo, R., Van Nguyen, H., Chu-Ky, S., Ha Ho, P., Tam Phan, T., Waché, Y., & Penh, P. (2019). Food safety risks in traditional fermented food from South-East Asia.https://doi.org/10.1016/j.foodcont.2019.106922 [URL] 🠔
  19. Liu, H., Whitehouse, C. A., & Li, B. (2018). Presence and Persistence of Salmonella in Water: The Impact on Microbial Quality of Water and Food Safety. Frontiers in Public Health, 6(159), 1 -13. https://doi.org/10.3389/fpubh.2018.00159 [URL] 🠔
  20. Lu, K.-H., Sheen, Y.-J., Huang, T.-P., Kao, S.-H., Cheng, C.-L., Hwang, C.-A., Sheen, S., Huang, L., & Sheen, L.-Y. (2019). Effect of temperature on the growth of Staphylococcus aureus in ready-to-eat cooked rice with pork floss. https://doi.org/10.1016/j.fm.2019.103374 [URL] 🠔
  21. Maldonado, L. Y., & Caballero-Perez, L. A. (2016). Bebida Fermentada a Base de Arroz Con Adición de Probióticos. Ciencia y Tecnología Alimentaria, 14(1), 54. https://doi.org/10.24054/16927125.V1.N1.2016.2126 [URL] 🠔
  22. Markazi, A., Luoma, A., Shanmugasundaram, R., Mohnl, M., Murugesan, G. R., & Selvaraj, R. (2018). Effects of drinking water synbiotic supplementation in laying hens challenged with Salmonella. Poultry Science, 97 (10), 3510-3518. https://doi.org/10.3382/PS/PEY234 [URL] 🠔
  23. Martin, N. H., Trmcic, A., Hsieh, T. H., Boor, K. J., & Wiedmann, M. (2016). The evolving role of coliforms as indicators of unhygienic processing conditions in dairy foods. Frontiers in Microbiology, 7(1549), 26. https://doi.org/10.3389/fmicb.2016.01549 [URL] 🠔
  24. Mendonca, A., Thomas-Popo, E., & Gordon, A. (2020). Microbiological considerations in food safety and quality systems implementation. Food Safety and Quality Systems in Developing Countries: Volume III: Technical and Market Considerations, 185-260. https://doi.org/10.1016/B978-0-12-814272-1.00005-X [URL] 🠔
  25. Resolución 8430, Ministerio de Salud. República de Colombia 1 (1993). https://www.minsalud.gov.co/sites/rid/Lists/BibliotecaDigital/RIDE/DE/DIJ/RESOLUCION-8430-DE-1 993.PDF [URL] 🠔
  26. Resolución 2674, Ministerio de salud y protección social. República de Colombia 1 (2013). https://www.minsalud.gov.co/sites/rid/Lists/BibliotecaDigital/RIDE/DE/DIJ/resolucion-2674-de-2013.pdf [URL] 🠔
  27. Resolución 1407, Ministerio de salud y protección social. República de Colombia 1 (2022). 🠔
  28. Moragas, M., & Valcárcel, S. (2021). Recopilación Normas microbiológicas. https://www.boe.es/eli/es/rd/2020/12/09/1086 [URL] 🠔
  29. Mun, S. G. (2019). The effects of ambient temperature changes on foodborne illness outbreaks associated with the restaurant industry. https://doi.org/10.1016/j.ijhm.2019.102432 [URL] 🠔
  30. Narzary, Y., Brahma, J., Brahma, C., & Das, S. (2016). A study on indigenous fermented foods and beverages of Kokrajhar, Assam, India. https://doi.org/10.1016/j.jef.2016.11.010 [URL] 🠔
  31. Osimani, A., Aquilanti, L., & Clementi, F. (2018). Bacillus cereus foodborne outbreaks in mass catering. https://doi.org/10.1016/j.ijhm.2018.01.013 [URL] 🠔
  32. Russo, P., & Capozzi, V. (2021). Editorial: Microbiological safety of foods. Foods, 10(1), 7-8. https://doi.org/10.3390/foods10010053 [URL] 🠔
  33. Salmerón, I., Thomas, K., & Pandiella, S. S. (2015). Effect of potentially probiotic lactic acid bacteria on the physicochemical composition and acceptance of fermented cereal beverages. Journal of Functional Foods, 15, 106-115. https://doi.org/10.1016/j.jff.2015.03.012 [URL] 🠔
  34. Sharif, M. K., Javed, K., & Nasir, A. (2018). Foodborne Illness: Threats and Control. Foodborne Diseases, 501-523. https://doi.org/10.1016/B978-0-12-811444-5.00015-4 [URL] 🠔
  35. Tasdemir, S. S., & Sanlier, N. (2020). An insight into the anticancer effects of fermented foods: A review. Journal of Functional Foods, 75, 104281. https://doi.org/10.1016/J.JFF.2020.104281 [URL] 🠔
  36. Vargas, P. (2010). Obtención de almidón fermentado a partir de yuca ( Manihot esculenta crantz ) variedad valencia , factibilidad de uso en productos de panadería. Tecnología En Marcha, 23, 15-23. 🠔
  37. Wan, J., Zheng, L., Kong, L., Lu, Z., Tao, Y., Feng, Z., Lv, F., Meng, F., & Bie, X. (2021). Development of a rapid detection method for real-time fluorescent quantitative PCR of Salmonella spp. and Salmonella Enteritidis in ready-to-eat fruits and vegetables. LWT-Food Science and Technology, 149, 111837. https://doi.org/10.1016/j.lwt.2021.111837 [URL] 🠔
Este proyecto se realizó en el marco del proyecto "Alimentos vegetales con funcionalidad probiótica para poblaciones infantiles desnutridas PROINFANT", desarrollado como proyecto estratégico de internacional aprobado por el Programa Iberoamericano de Ciencia y Tecnología para el Desarrollo (CYTED) y financiado por Minciencias contrato 304 de 2018 y acceso a recursos genéticos y subproductos derivados contrato No 0126 del 13 de mayo de 2016 expediente RGE156-8 del Ministerio de Ambiente y Desarrollo de Colombia (Minambiente).
Los puntos de vista declarados en la presente investigación son originales y de responsabilidad del autor principal y los coautores, más no de las instituciones en las que laboran los autores.
La presente investigación no viola las normas éticas internacionales en materia de publicación, por parte de los autores y los coautores, ni tampoco compromete a las instituciones de filiación de los autores.