Caldasia
0366-5232
Instituto de Ciencias Naturales, Facultad de Ciencias-Universidad Nacional de Colombia
https://doi.org/10.15446/caldasia.v40n1.67362

Recibido: 27 de septiembre de 2017; Aceptado: 20 de marzo de 2018

Diversidad estacional de arañas en una reserva natural del Espinal en Corrientes, Argentina

Seasonal diversity of spiders in a nature reserve from Espinal in Corrientes, Argentina

M. NADAL, 1*H. ACHITTE-SCHMUTZLER, 1I. ZANONE, 1P. GONZALEZ, 1G. AVALOS, 1

Laboratorio de Biología de los Artrópodos, Facultad de Ciencias Exactas y Naturales y Agrimensura, Universidad Nacional del Nordeste, Avda. Libertad 5470 (3400), Corrientes, Argentina. ceciliaachitte@hotmail.com, ivo.zanone@gmail.com, pamelagonzalez052@gmail.com, gilbertoa@exa.unne.edu.ar Universidad Nacional del Nordeste Facultad de Ciencias Exactas y Naturales y Agrimensura Universidad Nacional del Nordeste Argentina

Autor para correspondencia: florencia.nadal@gmail.com

RESUMEN

Evaluar la diversidad de arañas es necesario para la conservación de la naturaleza ya que cumplen un rol importante en los ecosistemas como reguladoras de las poblaciones de insectos y son buenas indicadoras de calidad ambiental. La reserva contemplada en este estudio es singular dentro de la llanura del Espinal debido a sus afloramientos rocosos, que contienen una gran diversidad de especies, varias de ellas de carácter endémico. Los objetivos de este trabajo fueron crear un inventario, describir la diversidad taxonómica y funcional del orden Araneae en bosques y pastizales en función de las estaciones climáticas. Los muestreos se realizaron mediante tamizado de hojarasca, golpeteo de follaje, aspirado de pastizal y captura directa nocturna. Para cada ambiente se calcularon índices de diversidad alfa y beta temporal y se probó el modelo de distribución de abundancia. Se identificaron 224 especies/morfoespecies. Theridiidae fue la familia con mayor riqueza y el gremio Constructoras de Telas Orbiculares el más abundante. Los índices de diversidad, dominancia y equidad mostraron diferencias significativas entre las estaciones cálidas y frías para bosques y pastizales, la distribución de abundancia de las especies se ajustó al modelo de distribución log-normal y la similitud de especies entre estaciones no superó el 41 %. Los resultados de este estudio aportan datos preliminares sobre los patrones estacionales de la comunidad de Araneae. Se reportan nuevas especies de arañas para Argentina, muchas ellas con registros escasos y aislados en Sudamérica, así como especies de importancia ecológica.

Palabras Clave:

Arañas, comunidad, gremios, reserva privada, estaciones climáticas.

ABSTRACT

Assessing the spider’s diversity is necessary for the conservation of nature since they play an important role in ecosystems as regulators of insect populations and are good indicators of environmental quality. The reserve contemplated in this study is unique within the Espinal’s plain due to its rocky outcrops, which contain great species diversity, several of them endemic. The objectives of this work were to create an inventory, describe the taxonomic and functional diversity of the Araneae order in the reserve’s forests and grasslands according to the climatic seasons. The samplings were carried out by leaf litter sieving, foliage beating, grassland aspirate and nocturnal direct capture. For each environment, alpha and beta diversity indices were calculated and the abundance distribution model was tested. In total 224 species/morphospecies were identified. Theridiidae was the richest family and the Orbicular Webs Builders guild was the most abundant. Diversity, dominance and equitability indices showed significant differences between warm and cold seasons for forests and grasslands, the distribution of abundance of the species was adjusted to the log-normal distribution model and the similarity of species between seasons did not exceed the 41 %. The results of this study provide preliminary data on the seasonal patterns of Araneae community. New species of spiders are reported for Argentina, many of them with scarce and isolated records in South America, as well as species of ecological importance.

Key Words:

Spiders, community, guilds, private reserve, climatic seasons.

INTRODUCCIÓN

La fragmentación de hábitats limita la dispersión de las especies y reduce el tamaño de sus poblaciones, causando pérdida en su diversidad genética, lo que puede llevar finalmente a su extinción (San Vicente y Valencia 2012). La Provincia Fitogeográfica del Espinal ha perdido gran parte de su superficie en las últimas décadas debido, principalmente, a la expansión agrícola (Paruelo et al. 2006).

Los artrópodos desempeñan funciones fundamentales en los ecosistemas terrestres; entender las interacciones que presentan con su ambiente es necesario para la conservación de la naturaleza (Malumbres-O et al. 2013). En este sentido, las arañas son muy importantes ya que, debido a su hábito depredador generalista, su abundancia y amplia distribución en el mundo (Adis y Harvey 2000, WSC c2018), son las principales reguladoras de las poblaciones de insectos (Nyffeler et al. 1994).

Ciertos estudios han mostrado que la estructura de la comunidad de arañas se ve afectada por las perturbaciones antrópicas (Buddle et al. 2000, Podgaiski et al. 2013) y el manejo de la tierra (Downie et al. 1999, Noel y Finch 2010), por ello los estudios ecológicos de las arañas como indicadoras de calidad ambiental se han incrementado en la actualidad (Scott et al. 2006, Castiglioni et al. 2017).

Por otra parte, hay estudios que demuestran que los ensambles de arañas fluctúan en función de la complejidad estructural del hábitat (Uetz 1991, Malumbres-O et al. 2013, Rodriguez-A et al. 2016) y de los parámetros físicos, como temperatura, precipitaciones y humedad (Ziesche y Roth 2008, Rubio y Acosta 2011, Rodriguez-A et al. 2016). La relevancia de estos factores depende de la estacionalidad, por lo que otro factor a tener en cuenta en los estudios ecológicos son las estaciones climáticas (Ziesche y Roth 2008).

En los últimos años, en Argentina se han realizado varios trabajos sobre las comunidades de arañas asociadas a ambientes naturales, la mayoría de ellos restringidos a la región norte del país. Siguiendo la clasificación fitogeográfica de Cabrera (1976), entre ellos se citan los concretados en la Provincia Fitogeográfica Chaqueña (Avalos et al. 2007, Rubio et al. 2008, Escobar et al. 2012, Achitte-S et al. 2016), en la Provincia de las Yungas (Rubio 2015, Torres et al. 2017), en los Esteros del Iberá, que comprenden las provincias fitogeográficas Chaqueña, Paranaense y Espinal (Avalos et al. 2009) y en un área de la provincia de Corrientes que incluye parte de la Provincia del Espinal y parte de la Provincia Paranaense (Rodriguez-A et al. 2016). Dichos trabajos nos permiten contar con parámetros que son importantes a la hora de monitorear los cambios en la diversidad de arañas debido a las perturbaciones ambientales, lo que es indispensable para la toma de decisiones a favor de la conservación (Moreno 2001). Sin embargo, estos trabajos aún son incipientes para tener un conocimiento representativo de cada provincia fitogeográfica, ya que estas son muy heterogéneas, como es el caso del Espinal que abarca una composición florística variable y un clima que varía de subtropical a templado (Cabrera 1971).

La reserva contemplada en este estudio protege dos de los tres cerros que presenta el Paraje Tres Cerros (Cajade et al. 2013). Dichas formaciones rocosas son únicas en la llanura de la Provincia Fitogeográfica del Espinal y se caracterizan por presentar microhábitats particulares y condiciones ambientales especiales que permiten albergar una gran diversidad de especies de animales y de plantas, muchas de estas procedentes de regiones apartadas (Parodi 1943, Cajade et al. 2013). Asimismo, el carácter de islas que exhiben estos cerros hace que presenten endemismos florísticos y faunísticos (Cajade et al. 2013).

Este es el primer estudio que se lleva a cabo sobre el orden Araneae en la Reserva Natural Privada Paraje Tres Cerros. Los objetivos de este fueron contribuir al inventario de las especies que componen este taxón en la Provincia Fitogeográfica del Espinal, así como describir la diversidad alfa, beta temporal y la composición de gremios en los bosques y pastizales en función de las estaciones climáticas.

MATERIALES Y MÉTODOS

Área de estudio

Este estudio se llevó a cabo en la Reserva Natural Privada Paraje Tres Cerros (RTC) (29°06' Sur, 56°55' Oeste), que se ubica en el centro-este de la provincia de Corrientes, Argentina. Comprende una superficie de 180 hectáreas. Los cerros que protege, Nazareno y Chico, presentan altitudes de 179 m y 148 m, respectivamente. Fitogeográficamente, la RTC se encuentra en la Provincia del Espinal (Cabrera 1971) (Fig. 1), la cual se caracteriza por la dominancia de especies arbóreas del género Prosopis, acompañadas por otros árboles de la Provincia Chaqueña (Cabrera 1971). La vegetación de la reserva comprende parches de bosques higrófilos con especies arbóreas como Ruprechtia laxiflora Meisn., Ficus luschnathiana (Miq.) Miq, Cupania vernalis​ Cambess. y pastizales con gramíneas de géneros como Andropogon, Aristida, Briza, Piptochaetium, Poa, Stipa, Paspalum y Panicum (Parodi 1943). Esta área protegida está inmersa en una región dominada por cultivos de arroz, forestaciones, y ganadería.

Localización del área de estudio. a. Áreas boscosas y áreas de pastizales seleccionadas para los muestreos en la reserva. P1 = Pastizal 1, P2 = Pastizal 2, P3 = Pastizal 3, B1= Bosque 1, B2 = Bosque 2 y B3 = Bosque 3, CN = Cerro Nazareno, CC = Cerro Chico. b. mapa de la provincia de Corrientes señalizando la Reserva Natural Privada Paraje Tres Cerros en la Provincia Fitogeográfica del Espinal.

Figura 1: Localización del área de estudio. a. Áreas boscosas y áreas de pastizales seleccionadas para los muestreos en la reserva. P1 = Pastizal 1, P2 = Pastizal 2, P3 = Pastizal 3, B1= Bosque 1, B2 = Bosque 2 y B3 = Bosque 3, CN = Cerro Nazareno, CC = Cerro Chico. b. mapa de la provincia de Corrientes señalizando la Reserva Natural Privada Paraje Tres Cerros en la Provincia Fitogeográfica del Espinal.

El clima es subtropical con una precipitación media anual de 1460 mm (estación meteorológica Paso de los Libres Aerodrome, periodo 2007-2016). La temperatura media anual es de 20 °C con heladas poco intensas en invierno (Parodi 1943).

Actividad de campo

Los muestreos se realizaron en las cuatro estaciones climáticas durante los años 2015-2016, desde verano a primavera. Para ello se seleccionaron tres áreas boscosas, una ubicada al noreste del cerro Nazareno (B1), otra en la ladera sur del mismo cerro (B2) y la última ubicada entre el cerro Nazareno y Chico (B3); los bosques uno y dos estuvieron separados entre sí por una distancia de 400 m y los bosques dos y tres por 600 m. Se muestrearon tres áreas de pastizales: una sobre la ladera norte del cerro Nazareno en sentido este-oeste (P1), otra en el este del mismo cerro en sentido norte-sur (P2) y la última más al este del pastizal dos y al sur del bosque tres, pero en un sentido este-oeste (P3), todas separadas por una distancia de 500 a 700 m (Fig. 1a).

En cada uno de estos sitios, siguiendo la metodología de muestreo utilizada por Avalos et al. (2009) se trazaron transectas en forma de W de 200 x 2 m. En ellas se fijaron cinco puntos de muestreo separados entre sí por 50 m de distancia, en los cuales se realizaron las capturas de las arañas mediante las siguientes técnicas:

Para los bosques:

- Golpeteo de follaje: consistió en la agitación sobre la vegetación arbustiva y en la porción baja del estrato arbóreo, recolectando el material sobre un lienzo blanco de 2,50 m2, donde se tomaron las arañas con pinzas entomológicas.

-Tamizado de hojarasca: consistió en la toma de una superficie de 0,50 m2 de hojarasca, que se pasó por un tamiz de diez por quince mm de apertura de malla sobre un lienzo blanco.

- Captura directa nocturna: se tomaron diez minutos de observación por cada punto de muestreo totalizando 50 minutos por transectas.

Para los pastizales:

-Captura por aspiración: se efectuó mediante una aspiradora de jardín G-vac (Mod. 220 V-AR) sobre la vegetación. El aspirador posee un tubo de 1,10 m de longitud y 12 cm de diámetro (caudal 710 m3/h), cada muestra de succión de la vegetación se realizó en un área de 4 m2 durante 1 minuto.

- Captura directa nocturna: se procedió de la misma manera que para los bosques.

En total, en los bosques se tomaron 45 y en los pastizales 30 muestras por estación climática, totalizando 300 muestras.

Trabajo de laboratorio

El material fue procesado, discriminado según estado de desarrollo y sexo e identificado a nivel de familia, género y especie o morfoespecie. El material fue depositado en la colección CARTROUNNE de la Universidad Nacional del Nordeste. Para las determinaciones a nivel familia se utilizó la clave de Ramírez (1999) y para nivel género y especie se consultaron claves y trabajos de revisiones disponibles en el World Spider Catalog (c2018). Además, para Salticidae se utilizó el catálogo de Prószyński (c2016) y el de Metzner (c2018). Las morfoespecies o unidades taxonómicas reconocibles (RTU por sus siglas en inglés) se utilizaron para aquellos casos donde las especies no pudieron ser identificadas (Oliver y Beattie 1996). Estas y los individuos juveniles fueron incluidos en los análisis estadísticos.

Siguiendo a Avalos et al. (2013), las arañas se agruparon de acuerdo a sus técnicas de forrajeo en nueve gremios: cazadoras al acecho (CA), cazadoras por emboscada (CE), constructoras de madrigueras (CM), constructoras de telas espaciales (CTE), constructoras de telas orbiculares (CTO), constructoras de telas sábanas (CTS), constructoras de telas tubulares (CTT), vagabundas de vegetación (VV) y vagabundas de suelo (VS). Siguiendo la línea de este autor, en este trabajo incorporamos a Filistatidae dentro del gremio CTT, a Selenopidae en CE, que es equivalente al gremio “cazadores por emboscada o acecho” propuesto por Cardoso et al. (2011) y proponemos el gremio CM para Nemesiidae y Theraphosidae, que es equivalente al gremio “habitantes de madriguera” propuesto por Dippenaar-S et al. (1989).

Para la confección de los mapas de la Figura 1 se utilizó el programa Quantum GIS versión 2.18 (Quantum GIS c2018), que utiliza las imágenes satelitales de Google Earth (Google c2018).

Análisis de datos

Para los bosques y pastizales en cada estación climática se calcularon los índices de diversidad alfa y la diversidad verdadera de orden uno (1D), en la que todas las especies son ponderadas proporcionalmente según su abundancia en la comunidad (Jost 2006). Esta permite expresar las diferencias entre comunidades como el cociente entre la de mayor diversidad respecto a la de menor diversidad (Jost 2006). Para describir la estructura de la comunidad en términos de la abundancia proporcional de cada especie se probó el modelo de distribución de abundancia mediante la prueba de bondad de ajuste chi2 (Pearson 1900), con un nivel de significancia de 0,05. Por otra parte, se calculó la diversidad beta temporal con el índice de Jaccard (Jaccard 1901) entre estaciones para cada ambiente. Para determinar si hubo diferencias significativas entre los valores de los índices y abundancias se utilizó el test de Kruskal-Wallis (Kruskal y Wallis 1952), con un nivel de significancia de 0,05. Todos estos análisis se realizaron con el programa PAST Versión 2.16 (Hammer et al. 2001).

Para evaluar el esfuerzo de muestreo se utilizó el estimador de especies no paramétrico Chao 1 (Chao 1984) basado en el número de especies con un solo individuo y en el número de especies con sólo dos individuos (Magurran 2004). Para este análisis se utilizó el programa EstimateS versión 9.1 (Colwell c2013).

RESULTADOS Y DISCUSIÓN

Diversidad alfa

Se recolectaron 4089 arañas pertenecientes a 36 familias, 33 Araneomorphae y tres Mygalomorphae (Anexo 1 del material Suplementario). Estas corresponden al 42 % de las registradas para Argentina (CAA c2018). En los bosques se identificaron 174 especies/morfoespecies y en los pastizales 125, totalizando 224 especies/morfoespecies en la reserva (Anexo 1 del material Suplementario). Según la riqueza de especies observada y la estimada, en los bosques se recolectó el 63 % de las especies (Chao1 = 277), mientras que en los pastizales se recolectó el 80 % (Chao1 = 157). La riqueza de especies en los bosques y pastizales fue abundante en relación con la hallada en sitios del Espinal cercanos a la reserva (Avalos et. al. 2009, Rodriguez et al. 2016). Asimismo, la estimación de especies fue superior a la obtenida en gran parte de dichos sitios con el mismo estimador. Esto podría sugerir que la reserva alberga una riqueza potencial mayor que áreas equivalentes de la zona de llanura de la misma provincia fitogeográfica. No obstante, estas discrepancias podrían estar influenciadas por las diferencias en estaciones y técnicas de muestreo y por la sensibilidad que presenta el estimador utilizado al tamaño de la muestra, lo que pudo haber conducido a una riqueza subestimada en los sitios con menor número de individuos capturados (Magurran 2004).

Las familias con mayor riqueza específica en las áreas boscosas fueron Theridiidae (S = 34), seguida por Araneidae (S = 30) y Salticidae (S = 25); en los pastizales fueron Araneidae (S = 20), Salticidae (S = 20) y Theridiidae (S = 20). Se trata de familias muy diversas a nivel mundial (WSC c2018), que se adaptan a una amplia diversidad de hábitats y de nichos (Silva y Coddington 1996).

La abundancia de individuos entre estaciones no mostró diferencias significativas en ninguno de los dos ambientes (P > 0,05). Estos resultados difieren de lo obtenido por Dippennaar-S et al. (1989) para pastizales y por Strehlow et al. (2004) para bosques de clima subtropical donde se observan picos de abundancia en verano y primavera, los que fueron significativos en el caso de lo obtenido por los últimos autores. Además, difiere de la mayor abundancia en otoño y verano obtenidas por Rubio (2015) en bosques de la Provincia de las Yungas.

La abundancia en los bosques, que alcanzó el 71 %, fue significativamente superior a la de los pastizales (P < 0,05) (Anexo 1 del material Suplementario), lo que podría explicarse por el mayor número de microhábitats que estos proveerían, debido a la complejidad estructural de la vegetación y de la hojarasca del suelo (Uetz 1979, 1991).

En los bosques, a excepción de la riqueza entre invierno y primavera, los valores de diversidad, riqueza y dominancia fueron significativamente diferentes en primavera y verano con respecto a otoño e invierno; la equidad solamente resultó diferente entre primavera y las estaciones frías (P < 0,05) (Tabla 1). En los pastizales no se observaron diferencias significativas en la riqueza (P > 0,05), mientras que los valores de diversidad y dominancia solamente fueron diferentes entre primavera y las estaciones frías y los valores de equidad entre otoño y las demás estaciones (P < 0,05). En relación con estudios que comparen índices de diversidad alfa por estación climática, en pastizales de clima templado los valores de diversidad (H’) mostraron un pico a mediados del verano; los de equidad no difirieron a lo largo de las estaciones (Hatley et al. 1980). Si bien los análisis de diversidad alfa no fueron discriminados por estación climática en una de las localidades estudiadas de la Provincia del Espinal por Avalos et al. (2009), ellos obtuvieron valores de diversidad similares a los obtenidos aquí para primavera y verano, los de dominancia resultaron altos con valores similares a los que aquí se obtienen para invierno y los de equidad, en cambio, resultaron muy bajos en relación a los obtenidos en cada estación en este estudio. Es preciso mencionar que los valores de diversidad aún pueden estar subestimados, sobre todo en los bosques, donde se recolectó el 63 % de las especies, debido a que estos asumen que todas las especies están representadas en la muestra (Magurran 2004).

La distribución de abundancia de especies se ajustó al modelo log-normal, tanto para los bosques (X2 = 6,29, P > 0,05) como para los pastizales (X2 = 1,12, P > 0,05). Este modelo presenta un patrón con pocas especies dominantes y raras y muchas de abundancia intermedia (Sabogal-G 2011). El ajuste a esta distribución ocurre cuando las poblaciones incrementan sus abundancias exponencialmente y responden a un gran número de factores aleatorios que gobiernan la comunidad y es característica de comunidades que son grandes o están en equilibrio, donde existe subdivisión jerárquica de nichos (Moreno 2001, Magurran 2004). El ajuste a cualquier distribución diferente a la log-normal podría ser indicadora de disturbio (Magurran 2004). La mayoría de los estudios sobre comunidades de arañas en ambientes naturales se ajustan a este modelo (Avalos et al. 2009, Sabogal-G 2011, Escobar et al. 2012, Rubio 2015). No obstante, este también puede obtenerse, cuando el esfuerzo de muestreo ha sido grande o cuando el ensamble incluye más de 200 especies, independientemente de los procesos ecológicos que influyen en la comunidad (Magurran 2004). En referencia a esto, Sabogal-G (2011) ha obtenido el ajuste a este modelo con una abundancia de 1374 individuos en un eucaliptal ubicado en una región del neotrópico.

Patrones fenológicos

El número de adultos registrado fue del 28 % en los pastizales, 20 % hembras y 8 % machos, y del 19 % en los bosques, 12 % hembras y 7 % machos. Es típico encontrar en áreas naturales mayor abundancia de hembras respecto a machos (Avalos 2009). No obstante, en áreas muy perturbadas los machos suelen ser más abundantes que las hembras (Almada et al. 2012) o que los juveniles incluso (Zanetti 2016). El porcentaje de individuos adultos en áreas boscosas, fue superior en primavera (P < 0,05), donde estuvo representado, con respecto a la totalidad de adultos, por un 42 %. Esto podría sugerir que la mayor parte de las especies de arañas son estenocrónicas de primavera en este ambiente (Schaefer 1987). En los pastizales el mayor porcentaje de individuos adultos también se registró en primavera, donde estuvo representado por el 31 %. No obstante, aquí no se obtuvieron diferencias significativas entre las abundancias estacionales (P > 0,05). Esto difiere de lo observado por Russell-S (1981), quien encontró que los adultos del 76 % de las especies muestran sus picos de actividad en las estaciones cálidas en pastizales de clima subtropical. Esto podría sugerir que existe una gran proporción de especies con una longevidad superior a un año, cuyos adultos tienen la potencialidad de aparecer en todas las estaciones (Schaefer 1987). Además, sugiere que hay individuos con patrones fenológicos donde la actividad de los adultos está asociada a estaciones cálidas y frías cuyas abundancias se compensan (Schaefer 1987).

Diversidad beta temporal

El índice de diversidad beta de Jaccard mostró una baja similitud en la composición de especies entre estaciones, comprendida entre el 25 % y 41 % en los bosques y entre el 26 % y 38 % en los pastizales (Fig. 2). Son escasos los estudios que analicen la diversidad beta temporal en comunidades de arañas y estos corresponden a sitios de clima templado (Ferretti et al. 2014) y tropical (Maya-M et al. 2012). Estos últimos autores, utilizando otros índices de diversidad beta, encontraron similitudes del 59 % y 80 % entre las comunidades de arañas en bosques preservados de estaciones secas y lluviosas, propias del clima tropical. El mayor recambio entre primavera y otoño-verano en bosques y entre primavera y otoño en pastizales podría estar relacionado a las historias de vida de las especies (Strehlow et al. 2004). Parte del recambio de especies entre estaciones también podría estar relacionado a la distinta preferencia que algunas especies parecen tener por los bosques o pastizales en distintas estaciones del año (Rubio et al. 2007), a las condiciones climáticas y factores microclimáticos imperantes (Strehlow et al. 2004) y a los procesos estocásticos de dispersión de las arañas (Decae 1987). Estadísticamente, estos cambios también podrían estar relacionados a la gran cantidad de especies raras obtenidas y la mayor o menor probabilidad que hubo de capturarlas en los distintos muestreos, relacionados al tamaño de la muestra y la completitud del inventario, factores que, según Magurran (2004), indicen en los valores de diversidad beta temporal.

Similitudes estacionales con el índice de Jaccard de la comunidad de arañas de la Reserva Natural Privada Paraje Tres Cerros, Corrientes, Argentina. a. bosques, b. pastizales. V = verano, O = otoño, I = invierno, P = primavera.

Figura 2: Similitudes estacionales con el índice de Jaccard de la comunidad de arañas de la Reserva Natural Privada Paraje Tres Cerros, Corrientes, Argentina. a. bosques, b. pastizales. V = verano, O = otoño, I = invierno, P = primavera.

Gremios

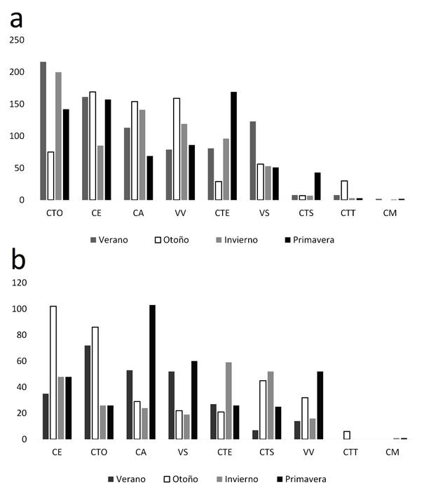
El gremio más abundante en la reserva fue el de las constructoras de telas orbiculares; ocupó el primer lugar en abundancia en los bosques y el segundo lugar en los pastizales (Fig. 3 y Anexo 2 del material Suplementario). Como mencionamos antes, hay estudios que muestran que la abundancia de las arañas se relaciona con la complejidad estructural de la vegetación. En el caso de las CTO esto probablemente se deba a que la vegetación estructuralmente compleja provee sustratos donde este grupo de arañas podrían fijar sus telas; en consecuencia, una mayor complejidad en los bosques haría que acrecienten su abundancia (Uetz 1991). En este ambiente, el gremio fue significativamente más numeroso en verano con respecto a las demás estaciones, debido principalmente a Araneidae (Fig. 3a y Tabla 1). La significativa abundancia de Araneidae en esta estación coincide con el pico de actividad que mostró esta familia en bosques del sudeste de Brasil (Rodrigues et al. 2015). Por el contrario, Tetragnathidae, la segunda familia más importante del gremio, fue significativamente más abundante en invierno (P < 0,05) (Tabla 1), lo que podría relacionarse a su actividad invernal (Aitchison 1984), sumada a la preferencia que las especies de esta familia presentan por lugares húmedos (Dippenaar-S et al. 1989, Avalos et al. 2009).

Abundancia de los gremios y variación estacional en la Reserva Natural Privada Paraje Tres Cerros, Corrientes, Argentina. a. bosques, b. pastizales. CA = Cazadoras al acecho, CE = Cazadoras por emboscada, CM = Constructoras de madriguera, CTE = Constructoras de telas espaciales, CTO = Constructoras de telas orbiculares, CTS = Constructoras de telas sabanas, CTT = Constructoras de telas tubulares, VS = Vagabundas de suelo, VV = Vagabundas de vegetación.

Figura 3: Abundancia de los gremios y variación estacional en la Reserva Natural Privada Paraje Tres Cerros, Corrientes, Argentina. a. bosques, b. pastizales. CA = Cazadoras al acecho, CE = Cazadoras por emboscada, CM = Constructoras de madriguera, CTE = Constructoras de telas espaciales, CTO = Constructoras de telas orbiculares, CTS = Constructoras de telas sabanas, CTT = Constructoras de telas tubulares, VS = Vagabundas de suelo, VV = Vagabundas de vegetación.

Tabla 1: Índices de diversidad de las comunidades de arañas discriminados por ambiente y estación climática en la Reserva Natural Privada Paraje Tres Cerros, Corrientes, Argentina.

V = verano, O = otoño, I = invierno, P = primavera

Las cazadoras por emboscada fueron el segundo gremio más abundante en la reserva. Este grupo ocupó en los pastizales el primero y en los bosques el segundo lugar en abundancia (Fig. 3 y Anexo 2 del material Suplementario). Las especies que resultaron dominantes en la reserva, Tmarus cf. pugnax en los bosques y Tibellus paraguensis Simon, 1897 en los pastizales, pertenecen a este gremio (Tabla 1). Se trata de especies cuyos géneros presentan amplia distribución a nivel mundial (WSC c2018). Tibellus sp. y Tmarus sp. también resultaron dominantes en estudios llevados a cabo en la Provincia Chaqueña (Avalos et al. 2007, Achitte-S et al. 2016) y Tmarus sp. además, en uno llevado a cabo en la Provincia Pampeana (Grismado et. al. 2011). T. paraguensis se distribuye principalmente por la Provincia Chaqueña y la Provincia del Espinal (Mello-L 1945, Achitte-S y Rubio 2016).

En los pastizales el gremio CE fue significativamente más abundante en otoño (P < 0,05), mientras que en los bosques fue tan abundante en otoño como en primavera y verano; su abundancia presentó una disminución significativa en invierno (P < 0,05) (Fig. 3). Las familias del gremio con mayor número de individuos en los pastizales, Philodromidae, y en los bosques, Thomisidae, no fueron significativamente abundantes en una única estación, probablemente debido a que las especies que las componen tienen patrones fenológicos y ciclos de vida variados, lo que se puede inferir a partir de la aparición de adultos en distintas estaciones (Schaefer 1987). Así, Tmarus aff. humphreyi y Tmarus sp.1 podrían ser estenocrónicas de estaciones frías debido a su aparición en otoño e invierno, Ebo carmineus Mello-Leitão, 1944 podría ser estenocrónica de estaciones cálidas, debido a su aparición en verano y Tmarus cf. pugnax y Titidius albifrons Mello-Leitão, 1929 podrían tener ciclos bianuales debido a su aparición en tres y cuatro estaciones, respectivamente (Schaefer 1987). Esto también podría suceder con T. paraguensis, ya que, si bien hallamos adultos de esta especie únicamente en primavera, Achitte-S y Rubio (2016) los mencionan para todas las estaciones en la Provincia Chaqueña. Esto tiene sustento considerando que especies de estas familias presentan ciclos bianuales en otras partes del mundo (Aitchison 1984).

Conservación

Los resultados tienen importantes implicancias para la conservación ya que, es de destacar, que 17 especies representan nuevos registros para Argentina. Muchas de éstas, presentan registros aislados y escasos en Sudamérica como por ej.: Micrathena reimoseri Mello-Leitão, 1935, Dubiaranea vetusta Millidge, 1991, Chibchea malkini Huber, 2000, Cryptachaea amazonas Buckup, Marques & Rodrigues, 2012, Dipoena pallisteri Levi, 1963 y Dipoenata morosa (Bryant, 1948) (Anexo 1 del material Suplementario). Por otra parte, algunas especies registradas en este estudio poseen sexos no descritos que presentan la potencialidad de ser hallados como por ej.: C. amazonas, D. pallisteri, D. morosa, Saphrys saitiformis (Simon, 1901) y E. carmineus.

Numerosas especies registradas de Theridiidae como Kochiura rosea (Nicolet, 1849), Theridion opuntia Levi, 1963, Cryptachaea hirta (Taczanowski, 1873) y Theridion positivum (Chamberlin, 1924) y algunas de Araneidae como Alpaida venillae (Keyserling, 1865) y Argiope argentata (Fabricius, 1775) tienen la capacidad de colonizar ambientes insulares y podrían ser útiles para entender si los cerros aislados funcionan como verdaderas islas (López-L et al. 2017, WSC c2018).

Hay que señalar que, a pesar de contar con individuos adultos, las especies de ciertos taxones no han podido ser identificadas. Esta dificultad en parte se debe a que algunos grupos, como es el caso de las Castianeirinae, no han sido abordados taxonómicamente en Sudamérica (Grismado et al. 2011); otros como Linyphiidae, Hahniidae y Gnaphosidae aún necesitan ser revisados.

Una especie importante desde el punto de vista de su hábitat es Tartamura adfectuosa (Galiano, 1977), ya que se conocía sólo para las sierras del Distrito Pampeano Austral, las únicas que emergen como islas en la llanura de la Provincia Pampeana, análogamente a lo que sucede con los Tres Cerros en la llanura de la Provincia del Espinal. Las rocas que contienen ambos lugares podrían ser importantes para esta especie ya que en las sierras mencionadas se encontró que estas arañas construyen sus nidos de seda bajo o en los costados de las mismas. Este tipo de hábitat también podría ser importante para Hisukattus tristis (Mello-Leitão, 1944), debido a que se han hallado ejemplares bajo piedras en las mismas sierras mencionadas y en las del Distrito Chaqueño Serrano, aunque no parece ser su hábitat exclusivo. Otra especie importante desde el punto de vista de su hábitat es C. malkini, ya que se pensaba que la distribución de las especies del género Chibchea podrían estar restringidas al corredor andino (Rubio y Acosta 2011). Por tanto, este es el primer registro de una especie de este género fuera de dicho corredor.

Con respecto al suborden Migalomorphae, el hallazgo de ejemplares de la familia Nemesiidae es importante ya que algunas especies de esta familia resultaron ser indicadoras de calidad ambiental (Castiglioni et al. 2017). La mayoría de las arañas Migalomorphae se caracterizan por mostrar especificidad de hábitats y dispersarse muy poco (Decae 1987, Ferretti et al. 2014). Debido a estas tendencias presentan vulnerabilidad a los disturbios ambientales causados por los humanos, por lo que generalmente no se encuentran en ambientes modificados (Avalos et al. 2007, 2013, Almada et al. 2012).

PARTICIPACIÓN DE AUTORES

MFN muestreos, determinaciones taxonómicas, análisis de datos, redacción del artículo; HCA-S muestreos, determinaciones taxonómicas, redacción del artículo; IZ muestreos, determinaciones taxonómicas, redacción del artículo; PYG muestreos, determinaciones taxonómicas, redacción del artículo; AG muestreos, determinaciones taxonómicas, redacción del artículo.

Acknowledgements

AGRADECIMIENTOS

Este trabajo fue financiado por la Secretaría General de Ciencia y Técnica (UNNE) PI F 021/2014. Agradecemos al Prof. Claudio Gomez y a Margarita De los Santos por la colaboración en el trabajo de campo, al Dr. Gonzalo D. Rubio por las determinaciones de Salticidae y a Cristian J. Grismado por la determinación de Xiombarg plaumanni.

LITERATURA CITADA

  1. Achitte-S HC, Rubio GD. 2016. First description of the male of the spider Tibellus paraguensis Simon, 1897 (Araneae: Philodromidae), with new distribution records. Zootaxa 4161(1):146−150. 🠔
  2. Achitte-S HC, Avalos G, Oscherov EB. 2016. Comunidades de arañas en dos localidades del sitio RAMSAR Humedales Chaco, Argentina. Cuad. Inv. UNED 8(2):115−121. doi: 10.22458/urj.v8i2.1548. [DOI] 🠔
  3. Adis J, Harvey MS. 2000. How many Arachnida and Myriapoda are there world-wide and in Amazonia? Stud. Neotrop. Fauna and Environ. 35(2):139−141. doi: -01650521/00/3502-0139$15.00. [DOI] 🠔
  4. Aitchison CW. 1984. The phenology of winter-active spiders. J. Arachnol. 249−271. 🠔
  5. Almada MS, Sosa MA, González A. 2012. Araneofauna (Arachnida: Araneae) en cultivos de algodón (Gossypium hirsutum) transgénicos y convencionales en el norte de Santa Fe, Argentina. Rev. Biol. Trop. 6(2):611−623. doi: 10.15517/rbt.v60i2.3946. [DOI] 🠔
  6. Avalos G, Rubio GD, Bar ME, González A. 2007. Arañas (Arachnida, Araneae) asociadas a dos bosques degradados del Chaco húmedo en Corrientes, Argentina. Rev. Biol. Trop . 55(3):1−11. doi: 10.15517/rbt.v55i3-4. [DOI] 🠔
  7. Avalos G, Damborsky MP, Bar ME, Oscherov EB, Porcel E. 2009. Composición de la fauna de Araneae (Arachnida) de la Reserva Provincial Iberá, Corrientes, Argentina. Rev. Biol. Trop . 57(1−2):339−351. doi: 10.15517/rbt.v57i1-2.11325. [DOI] 🠔
  8. Avalos G, Bar ME, Oscherov EB, González A. 2013. Diversidad de Araneae en cultivos de Citrus sinensis (Rutaceae) de la Provincia de Corrientes, Argentina. Rev. Biol. Trop . 61(3):1243−1260. doi: 10.15517/rbt.v61i3.11938. [DOI] 🠔
  9. Buddle CM, Spence JR, Langor DW. 2000. Succession of boreal forest spider assemblages following wildfire and harvesting. Ecography 23(4):424−436. doi: 10.1111/j.1600-0587.2000.tb00299.x. [DOI] 🠔
  10. [CAA] Catálogo de Arañas de Argentina. c2018. Catálogo de Arañas de Argentina. Museo Argentino de Ciencias Naturales “Bernardino Rivadavia”, en línea. [Revisada en: 27 Feb 2018]. http://sites.google.com/site/catalogodearanasdeargentina/. 🠔
  11. Cabrera AL. 1971. Fitogeografía de la república Argentina. Bol. Soc. Argent. Bot. 14(1−2):1−42. 🠔
  12. Cabrera ÁL. 1976. Regiones fitogeográficas argentinas. Buenos Aires: Editorial Acme. 🠔
  13. Cajade R, Medina W, Salas R, Fandiño B, Paracampo A, García I, Pautasso A, Piñeiro JM, Acosta JL, Zaracho VH, Avalos A, Gómez F, Odriozola MP, Ingaramo MR, Contreras FI, Rivolta MD, Hernando AB, Álvarez BB. 2013. Las islas rocosas del Paraje Tres Cerros: un refugio de biodiversidad en el litoral mesopotámico argentino. Biológica 16: 147−159. 🠔
  14. Cardoso P, Pekár S, Jocqué R, Coddington JA. 2011. Global patterns of guild composition and functional diversity of spiders. Plos One 6(6): e21710. doi: 10.1371/journal.pone.0021710. [DOI] 🠔
  15. Castiglioni E, García LF, Burla JP, Arbulo N, Fagúndez C. 2017. Arañas y carábidos como potenciales bioindicadores en ambientes con distinto grado de intervención antrópica en el este uruguayo: un estudio preliminar. Innotec (13):106−114. doi: 10.26461/13.11. [DOI] 🠔
  16. Chao A. 1984. Nonparametric estimation of the number of classes in a population. Scand. J. Stat. 265−270. 🠔
  17. Colwell RK. c2013. EstimateS: Statistical estimation of species richness and shared species from samples web site. [Revisada en: 27 Feb 2018]. http://viceroy.eeb.uconn.edu/estimates/ . [URL] 🠔
  18. Decae AE. 1987. Dispersal: Ballooning and Other Mechanisms. In: Nentwig W, editors. 1987. Ecophysiology of spiders. Berlin Heidelberg New York London Paris Tokyo: Springer- Verlag. p. 249−263. 🠔
  19. Dippenaar-S AS, van den Berg AM, van den Berg A. 1989. Species composition and relative seasonal abundance of spiders from the field and tree layers of the Roodeplaat Dam Nature Reserve. Koedoe 32:25−38. doi: 10.4102/koedoe.v32i1.462. [URL] 🠔
  20. Downie IS, Wilson WL, Abernethy VJ, McCracken DI, Foster GN, Ribera I, Murphy KJ, Waterhouse A. 1999. The impact of different agricultural land-uses on epigeal spider diversity in Scotland. J. Insect. Conserv. 3(4):273−286. doi: 10.1023/A:1009649222102. [DOI] 🠔
  21. Escobar MJ, Avalos G, Damborsky MP. 2012. Diversidad de Araneae (Arachnida) en la Reserva Colonia Benítez, Chaco Oriental Húmedo, Argentina”. Facena 28:3−17. 🠔
  22. Ferretti N, Pompozzi G, Copperi S, Schwerdt L, González A, Pérez-M F. 2014. La comunidad de arañas Mygalomorphae (Araneae) de la Reserva Natural Sierra del Tigre, Tandilia, Buenos Aires, Argentina. Rev. Mex. Biodivers. 85(1):308−314. doi: 10.7550/rmb.36879. [DOI] 🠔
  23. Google. c2018. Google Earth web site. [Revisada en: 27 Feb 2018]. http://earth.google.com . [URL] 🠔
  24. Grismado CJ, Crudele I, Damer L, López N, Olejnik N, Trivero S. 2011. Comunidades de arañas de la Reserva Natural Otamendi, Provincia de Buenos Aires. Composición taxonómica y riqueza específica. Biológica 14:7−48. 🠔
  25. Hammer O, Harper DAT, Ryan PD. 2001. PAST: Paleontological Statistics software package for education and data analysis. Palaeontol. Electron. 4(1):9. 🠔
  26. Hatley CL, Macmahon JA. 1980. Spider community organization: seasonal variation and the role of vegetation architecture. Environ. Entomol. 9(5):632−639. 🠔
  27. Jaccard P. 1901. Étude comparative de la distribution florale dans une portion des Alpes et des Jura. Bull. Soc. Vaudoise. Sci. Nat. 37:547−579. 🠔
  28. Jost L. 2006. Entropy and diversity. Oikos 113:363- 375. doi:10.1111/j.2006.0030-1299.14714.x. [DOI] 🠔
  29. Kruskal WH, Wallis WA. 1952. Use of ranks in one-criterion variance analysis. J. Am. Stat. Assoc. 47(260):583−621. 🠔
  30. López-L D, Armendano A, Scioscia C, González S, Barneche J, Giambelluca L, Reboredo G, Gabellone C, Gonzalez A. 2017. Theridiidae (Araneae) diversity in the Natural and Historical Reserve Isla Martín García (Buenos Aires-Argentina). Caldasia 39(1):169−181. doi: 10.15446/caldasia.v39n1.60431. [DOI] 🠔
  31. Magurran A. 2004. Measuring biological diversity. Malden: Blackwell Science Ltd. 🠔
  32. Malumbres-O J, Vink CJ, Ross JG, Cruickshank RH, Paterson AM. 2013. The role of habitat complexity on spider communities in native alpine grasslands of New Zealand. Insect. Conserv. Diver. 6(2):124−134. doi: 10.1111/j.1752-4598.2012.00195.x. [DOI] 🠔
  33. Maya-M J, Ibarra-N G, León-C JL, Infante F. 2012. Understory spider diversity in two remnants of tropical montane cloud forest in Chiapas, Mexico. J. Insect. Conserv . 16(1):25−38. doi: 10.1007/s10841-011-9391-x. [DOI] 🠔
  34. Mello-L CF. 1945. Arañas de Misiones, Corrientes y Entre Ríos. Rev. Mus. La Plata N.S. (Zool.) 4:213−302. 🠔
  35. Metzner H. c2018. Jumping spiders (Arachnida: Araneae: Salticidae) of the world, Online. [Revisada en: 27 Feb 2018]. https://www.jumping-spiders.com . [URL] 🠔
  36. Moreno CE. 2001. Manual de métodos para medir la biodiversidad. 1° ed. Zaragoza: CYTED, ORCYT/UNESCO y SEA. Chapter 2, Métodos de medición al nivel de especies; p. 35. 🠔
  37. Noel NM, Finch OD. 2010. Effects of the abandonment of alpine summer farms on spider assemblages (Araneae). J. Insect. Conserv . 14(5):427−438. doi: 10.1007/s10841-010-9272-8. [DOI] 🠔
  38. Nyffeler M, Sterling WL, Dean DA. 1994. Insectivorous activities of spiders in United States field crops. J. Appl. Ent. 118(1−5):113−128. doi: 10.1111/j.1439-0418.1994.tb00787.x. [DOI] 🠔
  39. Oliver I, Beattie AJ. 1996. Invertebrate morphospecies as surrogates for species: a case study. Conserv. Biol. 10(1):99−109. doi:10.1046/j.1523-1739.1996.10010099.x. [DOI] 🠔
  40. Parodi LR. 1943. La vegetación del departamento San Martín en Corrientes, Argentina. Darwiniana 6:127-178. 🠔
  41. Paruelo JM, Guerschman JP, Piñeiro G, Jobbagy EG, Verón SR, Baldi G, Baeza S. 2006. Cambios en el uso de la tierra en Argentina y Uruguay: marcos conceptuales para su análisis. Agrociencia 10(2):47−61. 🠔
  42. Pearson K. 1900. X. On the criterion that a given system of deviations from the probable in the case of a correlated system of variables is such that it can be reasonably supposed to have arisen from random sampling. Philos. Mag. 50(302):157−175. 🠔
  43. Podgaiski LR, Joner F, Lavorel S, Moretti M, Ibanez S, Mendonça Jr MDS, Pillar VD. 2013. Spider trait assembly patterns and resilience under fire-induced vegetation change in South Brazilian grasslands. Plos One 8(3): e60207. doi: 10.1371/journal.pone.0060207. [DOI] 🠔
  44. Prószyński J. c2016. Monograph of Salticidae (Araneae) of the World 1999-2015. Part II. Global Species Database of Salticidae (Araneae). Online. [Revisada en: 27 Feb 2018]. http://www.peckhamia.com/salticidae/ . [URL] 🠔
  45. Quantum GIS Development Team. c2018. Quantum GIS Geographic Information System. Open Source Geospatial Foundation Project web site. [Revisada en: 27 Feb 2018]. http://www.qgis.org/ . [URL] 🠔
  46. Ramírez MJ. 1999. Orden Araneae. En: Crespo FA, Iglesias MS, Valverde AC, editores. El ABC en la determinación de artrópodos. Claves para especímenes presentes en la Argentina I. Buenos Aires: Editorial CCC Educando. p. 39−59. 🠔
  47. Rodrigues EN, Mendonça Jr MDS, Rodrigues PE, Ott R. 2015. Diversity, composition and phenology of araneid orb-weavers (Araneae, Araneidae) associated with riparian forests in southern Brazil. Iheringia. Sér. Zool. 105(1):53−61. doi: 10.1590/1678-4766201510515361. [DOI] 🠔
  48. Rodriguez-A SM, Ballester R, Corronca JA. 2016. Factors that influence the beta-diversity of spider communities in northwestern Argentinean Grasslands. Peerj 4:e1946. doi: 10.7717/peerj.1946. doi: 10.7717/peerj.1946/supp-1. [DOI] 🠔
  49. Rubio GD, Minoli I, Piacentini L. 2007. Patrones de abundancia de cinco especies de arañas lobo (Araneae: Lycosidae) en dos ambientes del Parque Nacional Mburucuyá, Corrientes, Argentina. Brenesia 67:59−67. 🠔
  50. Rubio GD, Corronca JA, Damborsky MP. 2008. Do Spider Diversity and Assemblages Change in Different Contiguous Habitats? A Case Study in the Protected Habitats of the Humid Chaco Ecoregion, Northeast Argentina. Environ. Entomol . 37(2):419−430. doi:10.1093/ee/37.2.419. [DOI] 🠔
  51. Rubio GD, Acosta LE. 2011. Geographical distribution of the space-weaving spider, Chibchea salta, from northwestern Argentina: New records and bioclimatic modeling. J. Insect. Sci. 11(1):54. 🠔
  52. Rubio GD. 2015. Diversidad de arañas (Araneae, Araneomorphae) en la selva de montaña: un caso de estudio en las Yungas Argentinas. Graellsia 71(2):e029. doi: 10.3989/graellsia.2015.v71.134. [DOI] 🠔
  53. Russell-S A. 1981. Seasonal activity and diversity of ground-living spiders in two African savanna habitats. B. Brit. Arachnol. Soc. 5(4):145−154. 🠔
  54. Sabogal-G A. 2011. Estudio comparativo de las comunidades de arañas asociadas a bosques conservados y áreas intervenidas en el santuario de flora y fauna Otún Quimbaya (Risaralda, Colombia). [Tesis]. [Bogotá]: Universidad Nacional de Colombia. 🠔
  55. San Vicente MG, Valencia PJL. 2012. Efectos de la fragmentación de hábitats y pérdida de conectividad ecológica dentro de la dinámica territorial. Polígonos. Rev. Geo. 16:35−54. doi: 10.18002/pol.v0i16.410. [DOI] 🠔
  56. Schaefer M. 1987. Life Cycles and Diapause. En: Nentwig W, editor. 1987. Ecophysiology of spiders. Berlin Heidelberg New York London Paris Tokyo: Springer-Verlag. p. 249−263. 🠔
  57. Scott AG, Oxford GS, Selden PA. 2006. Epigeic spiders as ecological indicators of conservation value for peat bogs. Biol. Conserv. 127(4):420−428. doi: 10.1016/j.biocon.2005.09.001. [DOI] 🠔
  58. Silva D, Coddington JA. 1996. Spiders of Pakitza (Madre de Dios, Perú): species richness and notes on community structure. In: Wilson DE, Sandoval A, editors. The biodiversity of Pakitza and its environs. Washington: Smithsonian Institution. p. 241−299. 🠔
  59. Strehlow K, Bradley JS, Davis J, Friend G. 2004. Seasonal invertebrate communities in multiple use jarrah forests. Implications for conservation and management. En: Lunney D, editor. 2004. Conservation of Australia’s Forest Fauna. Sydney: Royal Zoological Society of New South Wales. p. 830−844. 🠔
  60. Torres VM, González-Reyes AX, Corronca JA. 2017. Diversidad taxonómica y funcional de arañas (Araneae) epigeas en bosques nativos de las Yungas (Salta, Argentina) Taxonomic and functional diversity of epigeal spiders (Araneae) in native forest of the Yungas (Salta, Argentina). Caldasia 39(2):326−344. doi: 10.15446/caldasia.v39n2.63071. [DOI] 🠔
  61. Uetz GW. 1979. The influence of variation in litter habitats on spider communities. Oecologia 40(1):29−42. doi:10.1007/BF00388808. [DOI] 🠔
  62. Uetz GW. 1991. Habitat structure and spider foraging. En: Bell SS, McCoy ED, Mushinsky HR, editores. Habitat Structure: The physical arrangement of objects in space. Londres: Springer Science+Business Media Dordrecht. p. 325−348. 🠔
  63. [WSC]. Word Spider Catalog. c2018. The world spider catalog. Natural History Museum Bern, on line. [Revisada en: 27 Feb 2018]. http://www.wsc.nmbe.ch/ . [URL] 🠔
  64. Zanetti NI. 2016. Records of epigeal spiders in Bahia Blanca in the temperate region of Argentina. Acta Zool. Mex. (n.s) 32(1):32. 🠔
  65. Ziesche TM, Roth M. 2008. Influence of environmental parameters on small-scale distribution of soil-dwelling spiders in forests: what makes the difference, tree species or microhabitat?. Forest. Ecol. Manag. 255(3):738−752. doi: 10.1016/j.foreco.2007.09.060. [DOI] 🠔
Los autores declaran que no tienen conflicto de intereses.

MATERIAL SUPLEMENTARIO

El anexo 1 y el anexo 2 se presentan como material suplementario bajo el doi: https://dx.doi.org/10.15446/caldasia.v40n1.72211.