Caldasia
0366-5232
Instituto de Ciencias Naturales, Facultad de Ciencias-Universidad Nacional de Colombia
https://doi.org/10.15446/caldasia.v41n2.69544

Recibido: 16 de marzo de 2018; Aceptado: 29 de abril de 2019

Aspectos ecológicos de decápodos del río Guayuriba (Meta, Colombia)

Ecological aspects of decapods from Guayuriba river (Meta, Colombia)

J. Vásquez-R., 1*J. Bocanegra-M., 1

Grupo de Investigación Evaluación, Manejo y Conservación de Recursos Hidrobiológicos y Pesqueros. Instituto de Ciencias Ambientales de la Orinoquia Colombiana (ICAOC). Universidad de los Llanos. steven_8903@hotmail.com Universidad de los Llanos Universidad de los Llanos Colombia

Autor para correspondencia: jvasquez@unillanos.edu.co

Licencia Creative Commons.

RESUMEN

La biomasa y papel detritívoro-triturador de los decápodos contribuyen al procesamiento de materia orgánica y reciclaje de nutrientes en sistemas acuáticos. Sin embargo, poco se conoce de su biología y ecología. El objetivo de esta investigación fue determinar la riqueza y distribución de decápodos, y describir algunos de sus aspectos biológicos en el río Guayuriba. Los organismos se capturaron con pesca eléctrica en once estaciones. Se determinó la riqueza y distribución espacial. A partir de diagramas de densidad y la prueba Kruskal-Wallis se compararon longitud total, del cefalotórax y peso, entre machos, hembras y estaciones. Se realizaron correlaciones entre el número y peso de huevos contra peso y longitud del cefalotórax de hembras de Macrobrachium reyesi. Se registraron tres especies, la más frecuente fue M. reyesi, seguida de Forsteria venezuelensis y Macrobrachium amazonicum. Las hembras de M. reyesi fueron más grandes que los machos, contrario a M. amazonicum. A nivel espacial machos y hembras de M. reyesi registraron diferencias significativas en longitud total, cefalotórax y peso; éstas fueron mayores en hembras ovadas respecto a no ovadas. El tamaño de las hembras mostró una correlación positiva con el número y peso de los huevos. M. reyesi presenta estrategias reproductivas similares a especies adaptadas completamente al agua dulce. Su tamaño para alcanzar la madurez sexual es relativamente pequeño en relación con otras especies. Investigaciones básicas como esta son necesarias para el manejo adecuado de recursos con potencial pesquero en la Orinoquia, caracterizada por su gran riqueza hídrica.

Palabras clave:

Aspectos reproductivos, camarones, cangrejos, Orinoquia.

ABSTRACT

The biomass and detritus-shredding role of the decapods contribute to the organic matter processing and nutrient recycling in the aquatic ecosystems. However, little is known about their biology and ecology. The objective of this research was to determine the richness and distribution of decapods, and to describe some of their biological aspects in the Guayuriba river. We caught the organisms with electric fishing in eleven stations. Richness and distribution were determined. We compare density diagrams through Kruskal-Wallis test, total length, of cephalothorax and weight, between males, females and stations. We related the number and weight of eggs against weight and length of the cephalothorax of Macrobrachium reyesi females. Three species were recorded, the most frequently was M. reyesi, followed by Forsteria venezuelensis and Macrobrachium amazonicum. Contrary to M. amazonicum, the females of M. reyesi were larger than the males. At spatial level, males and females of M. reyesi registered significant differences in total length, cephalothorax, and weight, and these were higher in ovate females than in non-ovate females. Female sizes were positively correlated with eggs' number and egg weight. M. reyesi presents similar reproductive strategies to species fully adapted to freshwater. Its size to reach sexual maturity is relatively small in relation to other shrimp species. This basic research will facilitate suitable management of resources with fishing potential in the Orinoquia, characterized by its great water richness.

Keywords:

Crabs, Orinoquia, reproductive aspects, shrimp.

INTRODUCCIÓN

Los decápodos son uno de los grupos de mayor importancia en las aguas dulces neotropicales. La alta biomasa y abundancia de cangrejos y camarones, y su papel detritívoro-triturador, les confiere un papel importante en la dinámica del reciclaje de nutrientes y el procesamiento de la materia orgánica (Cumberlidge et al. 2009, Valencia y Campos 2010); además, constituyen un eslabón importante en la red trófica al permitir el flujo de materia y energía entre ecosistemas acuáticos y terrestres (Covich et al. 1999) por lo cual despiertan interés científico y socioeconómico (Cumberlidge et al. 2009, Chong-Carrillo et al. 2015).

Existen varios estudios sobre la biología y ecología de macroinvertebrados en corrientes de agua dulce de Colombia (Salas et al. 2011, Longo et al. 2013, Zúñiga et al. 2013, Gutiérrez-López et al. 2016, Walteros et al. 2016). Sin embargo, muy pocos han registrado fauna Decapoda (Gómez-Aguirre et al. 2009, Rivera et al. 2010, Hernández et al. 2016), pues los métodos de muestreo estándar de macroinvertebrados acuáticos no facilitan su captura (Fièvet et al. 1996, Fouilland y Fossati 1996, Bentes et al. 2014) y su hábito nocturno, velocidad y tamaño contribuyen a este hecho (Fièvet et al. 1996).

De la región neotropical, Brasil tiene un extenso conocimiento sobre la biología y ecología de decápodos de agua dulce en diferentes ecosistemas, pues constituyen un recurso importante en acuicultura y extracción directa, aunque hay varios aspectos de historia de vida y distribución que aún se desconocen (Mantelatto et al. 2016). Se han estudiado especies como Aegla longirostri Bond-Buckup & Buckup, 1994 (Baumart et al. 2018), Macrobrachium amazonicum Heller, 1862 (Silva et al. 2017), M. jelskii Miers, 1877 (Rocha y Barbosa 2017) y M. brasiliense Heller, 1862 (Nogueira et al. 2019), entre otras. En Colombia, por su parte, muchos de los trabajos han abordado aspectos taxonómicos y listados de distribución en algunas regiones del país, incluyendo la Orinoquia (Campos 2005, 2010, 2011, 2014, Valencia y Campos 2007, 2010, Campos y Pedraza 2008, Pereira et al. 2009, Campos y Magalhães 2014). Sin embargo, son pocas las investigaciones que han abordado específicamente aspectos de la biología y ecología de decápodos en ecosistemas acuáticos de agua dulce; Quirós-Rodríguez et al. (2016) analizaron la composición, abundancia y distribución de decápodos en el río Sinú; Aya-Baquero y Velasco-Santamaría (2013) encontraron que la fecundidad de M. amazonicum en el piedemonte llanero es inferior a la reportada para la especie en otras investigaciones. Así, este trabajo planteó contribuir al conocimiento de la biología y ecología de decápodos en la Orinoquia, al desarrollar los siguientes objetivos: a) determinar la riqueza y distribución de decápodos y b) describir y comparar algunos aspectos biológicos y reproductivos de esta fauna en el río Guayuriba.

MATERIALES Y MÉTODOS

Área de estudio

El río Guayuriba se ubica en la subregión biogeográfica del piedemonte Andino en el flanco oriental de la cordillera Oriental de Colombia (MADS et al. 2012) (Fig. 1). Posee un área de 760 km2 que ocupa parte de los departamentos de Cundinamarca y Meta, por lo que constituye una de las principales fuentes hídricas de los municipios aledaños (Torres-Mora et al. 2015). Nace en la unión de los ríos Blanco y Negro (985 m de altitud) y desemboca en el río Metica (192 m de altitud) (Ajiaco-Martínez et al. 2015, Torres-Mora et al. 2015). Enero, febrero y marzo registran las mayores temperaturas medias mensuales (25 °C), mientras que junio y julio los valores más bajos (22,6 °C); los meses más secos son enero (58 mm) y febrero (100 mm) mientras que mayo (526 mm) y junio (506 mm) son los más húmedos (CORMACARENA y ISD 2010). Para obtener el material biológico se realizaron muestreos en once estaciones a lo largo del río durante el año 2014 (Tabla 1, Fig. 1), principalmente en el periodo de aguas descendentes (noviembre-diciembre), y ocasionalmente en otros periodos del ciclo anual.

Ubicación geográfica de la región de estudio y estaciones de muestreo.

Figura 1: Ubicación geográfica de la región de estudio y estaciones de muestreo.

Tabla 1: Estaciones de recolección de decápodos a lo largo del río Guayuriba.

Fase de campo y laboratorio

La captura se realizó en un tramo de 100 m usando pesca eléctrica, que consiste en introducir al agua una nasa cargada eléctricamente (900 W, 220 V, 1-2 A) (Penczak y Rodríguez 1990) que los bloquea debido al choque (Sharber y Sharber 1999) y permite obtener una muestra suficiente, en un tiempo relativamente corto, facilitando la estimación de la diversidad (Taylor et al. 2001). Paralelamente, se utilizaron redes de captura (1 cm de ojo de malla) para retener los organismos adormecidos.

Con el propósito de describir el hábitat de los decápodos se caracterizó limnológicamente el río al registrar las variables caudal, temperatura, Ph, oxígeno disuelto, conductividad, sólidos disueltos totales, nitratos, fósforo total, sulfatos, bicarbonatos, demanda biológica de oxígeno, demanda química de oxígeno y coliformes fecales. Por limitaciones logísticas en las estaciones que se tomaron muestras en ambos márgenes del río los parámetros fisicoquímicos solo se registraron al margen izquierdo, por lo cual se agruparon así: E03-E04, E05-E06, E07-E08 y E09-E10.

Los organismos fueron fijados en formol (10 %) y conservados en etanol (70 %). La determinación taxonómica se realizó con base en Campos (2005, 2014) y Valencia y Campos (2007). A cada organismo se le midió la longitud del cefalotórax, desde el extremo anterior del rostro hasta el margen posterior del tórax (LCF), longitud total, desde el extremo anterior del rostro hasta el margen posterior del telson (LT) con un calibrador con dos décimas de precisión (0,01 mm); peso en húmedo (P) con una precisión de 0,001 g; y se determinó el sexo de acuerdo con la forma del endo-podito del segundo par de pleópodos (Bauer 2004).

Análisis de datos

La diversidad alfa de los Decapoda se analizó a partir de la distribución de la riqueza (q = 0) entre las estaciones (Jost 2006). No se realizó análisis de abundancia dado que la recolección de organismos no se estandarizó temporal ni espacialmente.

Se analizaron algunos aspectos reproductivos de Macro-brachium reyesiPereira, 1986 única especie que registró un número suficiente de hembras ovadas y no ovadas.

Para describir el comportamiento de las variables LCF, LT y P, entre machos y hembras en las diferentes estaciones de muestreo, se realizaron diagramas de densidad Kernel para M. reyesi y M. amazonicum. Se compararon los promedios de LCF, LT y P, entre machos y hembras, mediante la prueba de Kruskal-Wallis, dado que los datos no cumplieron el supuesto de homocedasticidad. Igualmente, se compararon los promedios de LCF, LT y P entre hembras ovadas y no ovadas de M. reyesi mediante la prueba de Kruskal-Wallis. Y para determinar si existían relaciones entre el número de huevos y P, y LCF de hembras de M. reyesi, se empleó el coeficiente de correlación de Spearman. Todos los análisis se llevaron a cabo con el software RStudio (Rstudio Team c2016).

RESULTADOS

La conductividad y la temperatura aumentaron a medida que se desciende a los tramos más bajos del río Guayuriba; el pH y el oxígeno disuelto no mostraron mayor variación en las diferentes estaciones, mientras que los nitratos y el fósforo total mostraron valores altos (0,59 y 0,45, respectivamente) en E09-E010. Los STD mostraron una alta variación a lo largo de las estaciones, mientras que los valores de CF fueron altos en los primeros y últimos tramos del río (Tabla 2).

Tabla 2: Características físicas y químicas de las estaciones de muestreo durante el ciclo hidrológico de 2014.

*Los parámetros físico-químicos solo se registraron para el margen izquierdo del río.

Se recolectaron 1863 organismos y se registraron tres es-pecies (Tabla 1): M. reyesi, M. amazonicum (Decapoda: Palaemonidae) y Forsteria venezuelensis Rathbun, 1905 (Decapoda: Trichodactylidae). A lo largo del Guayuriba q0 aumentó hasta la desembocadura en el río Metica, alcanzando un máximo de tres especies. M. reyesi fue frecuente a lo largo del río, mientras que M. amazonicum y F. venezuelensis lo fueron en las zonas más bajas (Tabla 1).

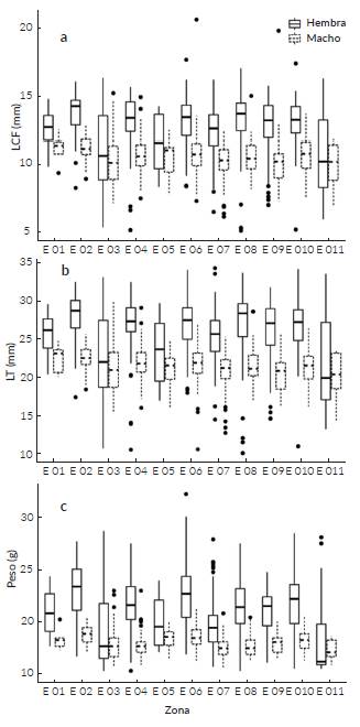
Los promedios de LCF, LT y P entre machos y hembras fueron diferentes en M. reyesi pero no en M. amazonicum (Tabla 3). El análisis de la distribución de los datos para las tres variables en M. reyesi mostró que las hembras son más grandes que los machos (Fig. 2), y lo contrario en M. amazonicum (Fig. 3). A nivel espacial, exceptuando E01, E05 y E11, se registraron diferencias significativas (P < 0,05) en LT (Fig. 4a), LCF (Fig. 4b) y P (Fig. 4c) entre machos y hembras de M. reyesi.

Tabla 3: Tamaño del intervalo, media y mediana de las variables LCF, LT y peso, y prueba de Kruskal-Wallis de determinación de diferencias de los promedios de estas variables por sexo entre las especies de decápodos registradas en el río Guayuriba.

- = el contraste no se realizó.

Diagramas de densidad de distribución de la frecuencia de a. longitud del cefalotórax (LCF, mm); b. longitud total (LT, mm) y c. Peso (g) de acuerdo con el sexo en M. reyesi.

Figura 2: Diagramas de densidad de distribución de la frecuencia de a. longitud del cefalotórax (LCF, mm); b. longitud total (LT, mm) y c. Peso (g) de acuerdo con el sexo en M. reyesi.

Diagramas de densidad de distribución de la frecuencia de a. LCF (mm); b. LT (mm) y c. Peso (g) de acuerdo al sexo en M. amazonicum.

Figura 3: Diagramas de densidad de distribución de la frecuencia de a. LCF (mm); b. LT (mm) y c. Peso (g) de acuerdo al sexo en M. amazonicum.

Promedio de las dimensiones corporales de M. reyesi a lo largo del río Guayuriba. a. longitud del cefalotórax (LCF, mm); b. longitud total (LT, mm) y c. Peso (g) de acuerdo al sexo (intervalos de confianza con un nivel de significancia de 0,05).

Figura 4: Promedio de las dimensiones corporales de M. reyesi a lo largo del río Guayuriba. a. longitud del cefalotórax (LCF, mm); b. longitud total (LT, mm) y c. Peso (g) de acuerdo al sexo (intervalos de confianza con un nivel de significancia de 0,05).

En el periodo de aguas descendentes (septiembre-noviembre) se registró un gran número de hembras de M. reyesi ovadas (n = 223). Los promedios de LCF, LT y P fueron mayores para hembras ovadas en comparación con las no ovadas, y se evidencia que las hembras alcanzan la madurez sexual al llegar a una longitud mínima total de 22 mm (Tabla 4, Fig. 5). Igualmente, se registró una variación grande entre el número (8-54, media = 29,13) y peso (0,01-0,09, media = 0,044 g) de los huevos. Lo anterior posiblemente se deba a que el tamaño de las hembras (LCF) mostró una relación positiva con el número (Spearman; P<< 0,01, R 2 = 0,57) y peso (Spearman; P << 0,01, R 2 = 0,56) de los huevos (Fig. 6), lo que sugiere que a medida que las hembras adquieren mayor tamaño su fertilidad también aumenta.

Tabla 4: Tamaño del intervalo, media y mediana de las variables LCF, LT y peso, y prueba de Kruskal-Wallis de determinación de diferencias de los promedios de estas variables entre hembras ovadas y no ovadas de M. reyesi registradas en el río Guayuriba.

- = el contraste no fue realizado.

Distribución de frecuencia de las medidas morfométricas en hembras de M. reyesi. 
 a. Longitud del cefalotórax (LCF, mm); b. Longitud total (LT, mm) y c. Peso (g).

Figura 5: Distribución de frecuencia de las medidas morfométricas en hembras de M. reyesi. a. Longitud del cefalotórax (LCF, mm); b. Longitud total (LT, mm) y c. Peso (g).

Diagrama de dispersión entre Longitud del cefalotórax (LCF, mm) y: a. número de huevos (g); b. peso de huevos, de hembras ovadas de M. reyesi en el río Guayuriba.

Figura 6: Diagrama de dispersión entre Longitud del cefalotórax (LCF, mm) y: a. número de huevos (g); b. peso de huevos, de hembras ovadas de M. reyesi en el río Guayuriba.

DISCUSIÓN

Según la Unión Internacional para la Conservación de la Naturaleza (UICN) todas las especies registradas están bajo la categoría de preocupación menor (LC) (Cumberlidge c2008, De Grave c2013a, b). F. venezuelensis está ampliamente distribuida en la cuenca del río Orinoco, abarcando los llanos orientales de Colombia y Venezuela (Campos 2005) y el escudo Guyanés, y se ha registrado en diferentes corrientes entre 300 y 600 m de altitud (Cumberlidge c2008). En Colombia se ha registrado en Arauca, Casanare, Meta, Cundinamarca y Caquetá en el mismo intervalo altitudinal (Campos 2005, 2014). En este estudio se registró entre 916 y 187 m de altitud lo cual permite reconocer una ampliación de su distribución geográfica en la cuenca del Orinoco correspondiente a Colombia.

Respecto a M. amazonicum se distribuye ampliamente en Suramérica, desde Venezuela hasta Argentina, en agua salobre y en agua dulce, y en Brasil es de gran importancia en la pesquería artesanal y acuicultura (De Grave c2013a). Se ha registrado en aguas blancas, ricas en sedimentos y sales disueltas de la región Andina de Manaos y en lagos de tierras bajas (Odinetz-Collart 1993), y es poco abundante en aguas negras y pobres en nutrientes (Odinetz-Collart 1993). En Colombia se ha registrado en Amazonas, Guaviare, Casanare, Arauca y Meta entre 85 y 490 m de altitud (Valencia y Campos 2007). En este estudio se registró en un intervalo altitudinal entre los 296 y 187 m, limitándose a la zona baja del río Guayuriba. La estación Bocas del Guayuriba es un puerto pesquero que abarca al río Metica, Guayuriba y la laguna Mozambique, con capturas multiespecíficas que han cambiado respecto a lo registrado hace casi dos décadas, impactando el ingreso económico de las comunidades que dependen de esta actividad (Ajiaco-Martínez et al. 2015). Así, el registro de esta especie, conocida principalmente en la región amazónica de Brasil, de alto potencial en pesquería artesanal y acuicultura (Bernard et al. 2010, De Grave c2013), constituye una alternativa de aprovechamiento en este puerto pesquero.

En lo concerniente a M. reyesi la información publicada es escasa; se conoce que tiene un desarrollo larval abreviado y se cree que tiene una amplia distribución en ambientes estrictamente dulceacuícolas; además algunas poblaciones no presentan comportamiento migratorio (De Grave c2013b). Los registros son escasos, puntuales y corresponden a corrientes de agua dulce de Colombia y Venezuela (Valencia y Campos 2007). M. reyesi se ha recolectado en arroyos de aguas transparentes con pH 7,0, temperatura de 21 °C y profundidad promedio de 50 cm en la cuenca del Lago Valencia en Venezuela, a 450 m de altitud (Pereira y García 1995). En Colombia se ha registrado en el río Cusiana y Aguazul (Casanare), quebrada La Arenosa (Medina, Cundinamarca) y quebrada Negro, afluente del río Duda (Meta) (Valencia y Campos 2007, Campos 2014), todos afluentes del río Orinoco, compartido entre Colombia y Venezuela. En este estudio se registró en otro afluente del río Orinoco, el río Guayuriba, con caudales entre 35,83 ± 9,07 y 112,25 ± 90,45m3/seg., pH de 6,94 ± 1,03 y 8,21 ± 0,15, y temperatura de 19,41 ± 1,54°C y 27,06 ± 1,81°C, en estaciones comprendidas entre 917 y 186 m de altitud.

Por otra parte, las relaciones entre el tamaño de las hembras y el número de huevos de M. reyesi contribuyen a la comprensión de la diversidad de estrategias reproductivas observadas en Palaemonidae (Nazari et al. 2003), donde es claro que su fecundidad aumenta con el mayor tamaño corporal, como lo registrado en Palaemon pandaliformis Stimpson, 1871 (Paschoal et al. 2016) y M. amazonicum (Aya-Baquero y Velasco-Santamaría 2013). En este caso se puede inferir que M. reyesi es una especie con desarrollo larval abreviado o directo (Pereira 1986) debido al bajo número (8-54) y gran tamaño (0,01-0,09 g) de los huevos, y también porque se observaron larvas dentro de los pleópodos en algunas hembras revisadas (obs. personal). Pereira (1986) y Valencia y Campos (2007) también hallaron que las hembras de esta especie se caracterizan por tener pocos huevos de gran tamaño, contrario a otras especies de desarrollo indirecto, como M. olfersii con fecundidades que sobrepasan 1200 huevos (Dugger y Dobkin 1975, Nazari et al. 2003). Las familias de camarones de agua dulce (Euryrhynchidae, Typhlocarididae, Desmocarididae y Kakaducarididae) y algunas especies de Pa-laeomonidae, que no son anfídromas, poseen embriones de gran tamaño con desarrollo larval directo o abreviado (Bauer 2004, Bauer 2013) y reducida fecundidad (Jalihal et al. 1993); así, sus hembras desovan pocos huevos, grandes y maduros, que poseen una gran yema que permite extender el periodo de incubación y desarrollo larval hasta su eclosión (Bauer 2004).

En este estudio se registró un marcado dimorfismo sexual; el promedio del tamaño fue mayor para las hembras que los machos de M. reyesi, similar a lo reportado por Valencia y Campos (2007) que registraron machos de 29,5 mm (LT) y 8,3 mm (LCF), y hembras de 38,2 mm (LT) y 9,6 mm (LCF). Sin embargo, esto no concuerda con lo señalado por Pereira (1986) en corrientes venezolanas, quien registró machos con 38,6 mm (LT) y 10,3 mm (LCF), y hembras con 35 mm (LT) y 9 mm (LCF). En otras especies como Palaemon pandaliformis, P. northropi Rankin, 1898, M. amazonicum, M. potiuna y M. jelskii Miers, 1877 las hembras son más pequeñas que los machos (Anger y Moreira 1998, Maciel y Valenti 2009, Lima et al. 2013, De Melo y Masurani 2017). Se han planteado algunas hipótesis que explican la variación del tamaño entre sexos en Palaemonidae; una explica que los machos son mucho más grandes porque compiten por aparearse con las hembras e invierten mucha energía para el crecimiento corporal y la adquisición de quelípedos robustos (Correa y Thiel 2003, Bauer 2004), y otra afirma que los machos pequeños y ágiles tienen mayor oportunidad de aparearse varias veces con diferentes hembras y no gastan energía protegiendo territorios (Bauer 2004) pero sí en la producción de esperma (Paschoal et al. 2013). Las hembras por su parte, no aumentan en longitud o peso dado que destinan su energía en la producción e incubación de huevos (Boschi c1974). Sin embargo, aún falta mucho por conocer de este aspecto, pues la respuesta a los factores bióticos y abióticos, como el fotoperiodo y la precipitación determinan el crecimiento, sobrevivencia y reproducción de estos organismos (Anitha y Sirisha 2017).

Acknowledgements

AGRADECIMIENTOS

Este proyecto fue financiado por la Dirección General de Investigaciones de la Universidad de los Llanos (Código C01-F02-007-2016). Agradecimiento especial a Martha Rocha Campos del Instituto de Ciencias Naturales de la Universidad Nacional por su apoyo en la determinación taxonómica. A Oscar Javier Díaz Celis por la elaboración del mapa. Al Grupo de Investigación Evaluación, Manejo y Conservación de Recursos Hidrobiológicos y Pesqueros (GIREHPES) de la Universidad de los Llanos.

LITERATURA CITADA

  1. Ajiaco-Martínez RE, Ramírez-Gil H, Bolaños-Briceño JA. 2015. La pesquería en Bocas del Guayuriba, alto río Meta, Orinoquia colombiana. Villavicencio, Colombia: Editorial Unillanos. 🠔
  2. Anger K, Moreira GS. 1998. Morphometric and reproductive traits of tropical caridean shrimps. J. Crustacean Biol. 18(4):823-838. doi: https://dx.doi.org/10.2307/1549156. [URL] 🠔
  3. Anitha N, Sirisha G. 2017. Influence of photoperiod and rainfall on body length of male and female freshwater prawn Macrobrachium rosenbergii. Int. J. Fish. Aquat. Stud. 5(1):35-37. 🠔
  4. Aya-Baquero E, Velasco-Santamaría Y. 2013. Fecundidad y fertilidad de Macrobrachium amazonicum (Héller, 1862) (Decapoda, Palaemonidae) del piedemonte llanero colombiano. Revista MVZ Córdoba 18(3)3773-3780. doi: https://dx.doi.org/10.21897/rmvz.147. [URL] 🠔
  5. Bauer RT. 2004. Remarkable shrimps: adaptations and natural history of the carideans. Norman, Oklahoma: University of Oklahoma Press. 🠔
  6. Bauer RT. 2013. Amphidromy in shrimps: a life cycle between rivers and the sea. Lat. Am. J. Aquat. Res. 41(4):633-650. doi: https://dx.doi.org/103856/vol41-issue4-fulltext-2. [URL] 🠔
  7. Baumart JS, Cogo GB, Morales FEC, Santos S. 2018. Population size of Aegla longirostri Bond- Buckup and Buckup, 1994 (Crustacea, Decapoda, Anomura): comparison of methods with the mark-recapture technique in closed population. Nauplius 26(e2018016):1-8. doi: https://dx.doi.org/10.1590/2358-2936e2018016. [URL] 🠔
  8. Bentes B, Martinelli-Lemos JM, Tavares E, Pereira SC, Duarte J, Isaac V. 2014. Experimental study on the efficiency of different types of traps and baits for harvesting Macrobrachium amazonicum (Heller, 1862). Acta Sci. Biol. Sci. 36(4):383-391. doi: https://dx.doi.org/10.4025/actascibiolsci.v36i4.22852. [URL] 🠔
  9. Bernard M, Valenti WC, Tidwell JH, D'Abramo LR, Kutty MN, editores. 2010. Freshwater prawns: biology and farming. Freshwater prawns: biology and farming. Malaysia: Blackwell Publishing Ltd. 🠔
  10. Boschi EE. c1974. Biología de los crustáceos cultivables en América Latina. [Revisada en: 20 Jul 2017]. http://www.fao.org/docrep/005/AC867S/AC867S07.htm [URL] 🠔
  11. Campos MR. 2005. Freshwater crabs from Colombia. A taxonomic and distributional study. Bogotá, Colombia: Academia Colombiana de Ciencias Exactas, Físicas y Naturales. 🠔
  12. Campos MR. 2010. Estudio taxonómico de los crustáceos decápodos de agua dulce (Trichodactylidae, Pseudothelphusidae) de Casanare, Colombia. Rev. Acad. Colomb. Cienc. Ex. Fis. Nat.34(131):257-266. 🠔
  13. Campos MR. 2011. A new species of freshwater crab of the genus Neostrengeria Pretzmann, 1965, from Meta department, Colombia (Crustacea: Decapoda: Pseudothelphusidae). Caldasia 33(2):659-664. 🠔
  14. Campos MR. 2014. Crustáceos decápodos de agua dulce de Colombia. Bogotá, Colombia: Universidad Nacional de Colombia. 🠔
  15. Campos MR, Magalhães C. 2014. Colombiathelphusa, a new genus of freshwater crab from Colombia, and the first location record of Eidocamptophallus chacei (Pretzmann, 1967) (Crustacea: Decapoda: Pseudothelphusidae). Zootaxa 3860(6):571-579. doi: http://dx.doi.org/10.11646/zootaxa.3860.6.5. [URL] 🠔
  16. Campos MR, Pedraza M. 2008. Two new species of freshwater crab of the genus Neostrengeria Pretzmann, 1965, from Colombia (Crustacea: Decapoda: Pseudothelphusidae), with an updated key of the species of the genus. Caldasia 30(2)457-468. 🠔
  17. Chong-Carrillo O, Vega-Villasante F, Arencibia-Jorge R, Akintola SL, Michán-Aguirre L, Cupul-Magaña FG. 2015. Research on the river shrimps of the genus Macrobrachium (Bate, 1868) (Decapoda: Caridea: Palaemonidae) with known or potential economic importance: strengths and weaknesses shown through scientometrics. Lat. Am. J. Aquat. Res. 43(4):684-690. doi: https://dx.doi.org/10.3856/vol43-issue4-fulltext-7. [URL] 🠔
  18. [CORMACARENA] Corporación para el Desarrollo Sostenible del Área de Manejo Especial La Macarena e [ISD] Instituto para la Sostenibilidad del Desarrollo. 2010. Plan de ordenamiento y manejo de la cuenca hidrográfica del río Guayuriba, 2010. Villavicencio, Colombia: CORMACARENA e ISD. 🠔
  19. Correa C, Thiel M. 2003. Mating systems in caridean shrimp (De-capoda: Caridea) and their evolutionary consequences for sexual dimorphism and reproductive biology. Rev. Chil. Hist. Nat. 76(2):187-203. doi: https://dx.doi.org/10.4067/S0716-078X2003000200006. [URL] 🠔
  20. Covich AP, Palmer MA, Crowl TA. 1999. The role of benthic invertebrate species in freshwater ecosystems: zoobenthic species influence energy flows and nutrient cycling. BioScience 49(2):119-127. doi: https://dx.doi.org/10.2307/1313537. [URL] 🠔
  21. Cumberlidge N. c2008. Forsteria venezuelensis. The IUCN Red List of Threatened Species 2008. [Revisada en: 24 Nov 2017]. http://www.iucnredlist.org/details/134439/0 [URL] 🠔
  22. Cumberlidge N, Ng PK, Yeo DCJ, Magalhães C, Campos MR, Alvarez F, Naruse T, Daniels SR, Esser LJ, Attipoe FYK, Clotilde-B FL, Darwall W, McIvor A, Baillie JEM, Collen B, Ram M. 2009. Freshwater crabs and the biodiversity crisis: Importance, threats, status, and conservation challenges. Biol. Conserv. 142(8):1665-1673. doi: https://dx.doi.org/10.1016/j.bio-con.2009.02.038. [URL] 🠔
  23. De Grave S. c2013a. Macrobrachium amazonicum. The IUCN Red List of Threatened Species 2013. [Revisada en: 24 Nov 2017]. http://www.iucnredlist.org/details/197634/0 [URL] 🠔
  24. De Grave S. c2013b. Macrobrachium reyesi. The IUCN Red List of Threatened Species 2013. [Revisada en: 24 Nov 2017]. http://www.iucnredlist.org/details/197658/0 [URL] 🠔
  25. De Melo MS, Masunari S. 2017. Sexual dimorphism in the carapace shape and length of the freshwater palaemonid shrimp Macrobrachium potiuna (Müller, 1880) (Decapoda: Caridea: Palaemonidae): geometric and traditional morphometric approaches. Anim. Biol. 67(2):93-103. doi: https://dx.doi.org/10.1163/15707563-00002522. [URL] 🠔
  26. Dugger DM, Dobkin S. 1975. A contribution to knowledge of the larval development of Macrobrachium olfersii (Wiegmann, 1836) (Decapoda, Palaemonidae). Crustaceana 29(1):1-30. doi: https://doi.org/10.1163/156854075X00018. [URL] 🠔
  27. Fièvet E, De Morais LT, De Morais AT. 1996. Quantitative sampling of freshwater shrimps: Comparison of two electrofishing procedures in a Caribbean stream. Arch. Hydrobiol. 138(2):273-287. 🠔
  28. Fouilland E, Fossati O. 1996. Trapping efficiency of plastic bottle "wickertraps" for population assessment of river Macro-brachium (Crustacea: Decapoda). Fish. Res. 28:343-351. doi: https://dx.doi.org/10.1016/0165-7836(96)00507-3. [URL] 🠔
  29. Gómez-Aguirre AM, Longo-Sánchez MC, Blanco JF. 2009. Macroinvertebrate assemblages in Gorgona island streams: spatial patterns during two contrasting hydrologic periods. Actual. Biol. 31(91):161-178. 🠔
  30. Gutiérrez-López A, Meza-Salazar AM, Guevara G. 2016. Descomposición de hojas y colonización de macroinvertebrados acuáticos en dos microcuencas tropicales (Manizales, Colombia). Hidrobiologica 26(3):347-357. 🠔
  31. Hernández JL, Guzmán-S CJ, Tamaris-T CE. 2016. Macroinverte-brados acuáticos de la ciénaga de Sahaya y en tres de sus afluentes (Cesar, Colombia). Intropica 11:11-20. doi: https://dx.doi.org/10.21676/23897864.1857. [URL] 🠔
  32. Jalihal DR, Sankolli KN, Shenoy S. 1993. Evolution of larval developmental patterns and the process of freshwaterization in the prawn genus Macrobrachium Bate, 1868 (Decapoda, Palaemonidae). Crustaceana 65(3)365-376. doi: https://dx.doi.org/10.1163/156854093X00793. [URL] 🠔
  33. Jost L. 2006. Entropy and diversity. Oikos 113(2):363-375. doi: https://dx.doi.org/10.1111/j.2006.0030-1299.14714.x. [URL] 🠔
  34. Lima DP, Silva LMA, Lira ACS. 2013. Biologia populacional de Macrobrachium jelskii (Miers, 1778) (Crustacea, Decapoda, Palaemonidae) em uma planície inundável na Amazônia Oriental, Brasil. Biota Amazônia 3(2):11-22. doi: https://dx.doi.org/10.18561/2179-5746/biotaamazonia.v3n2p11-22. [URL] 🠔
  35. Longo M, Pérez C, Medina M, Forero LC, Ramírez JJ. 2013. Contribución al conocimiento de los macroinvertebrados acuáticos de un morichal del piedemonte andino orinoquense colombiano. En: Lasso CA, Rial A, González-B V, editores. VII. Morichales y canangunchales de la Orinoquia y Amazonia: Colombia - Venezuela. Parte I. Bogotá: Serie Editorial Recursos Hidro-biológicos y Pesqueros Continentales de Colombia. Instituto de Investigación de Recursos Biológicos Alexander von Humboldt (IAvH). p.181-194. 🠔
  36. Maciel CR, Valenti WC. 2009. Biology, Fisheries, and Aquaculture of the Amazon River Prawn Macrobrachium amazonicum: A Review. Nauplius 17(2):61-79. 🠔
  37. Mantelatto FL, Pileggi LG, Magalhães C, Carvalho FL, Rocha SS, Mossolin EC, Rossi N, Bueno SLS. 2016. Avaliação dos camarões palemonídeos (Decapoda: Palaemonidae). En: Pinheiro MAA, Boos H, editores. Livro Vermelho dos Crustáceos do Brasil: Avaliação 2010-2014. Porto Alegre: Sociedad Brasileira de Carcinologia-SBC. p. 252-267. 🠔
  38. [MADS] Ministerio de Ambiente y Desarrollo Sostenible, [PNNC] Parques Nacionales Naturales de Colombia, [CAR] Corporación Autónoma Regional de Cundinamarca, [CORPOGUAVIO] Corporación Autónoma Regional del Guavio, [CORPORINOQUIA] Corporación Autónoma Regional de la Orinoqia, [CORMACA-RENA] Corporación para el Desarrollo Sostenible del Área de Manejo Especial La Macarena. 2012. Plan de ordenación y manejo de la cuenca hidrográfica del río Blanco-Negro-Guayuriba, Fase de aprestamiento. Villavicencio, Colombia: MADS, CAR, 🠔
  39. CORPOGUAVIO, CORPORINOQUIA, CORMACARENA. Nazari EM, Simões-Costa MS, Müller YMR, Ammar D, Dias M. 2003. Comparisons of fecundity, egg size, and egg mass volume of the freshwater prawns Macrobrachium potiuna and Ma-crobrachium olfersi (Decapoda, Palaemonidae). J. Crustacean Biol. 23(4):862-868. doi: https://dx.doi.org/10.1651/C-2387. [URL] 🠔
  40. Nogueira CS, Oliveira MS, Jacobucci GB, Almeida AC. 2019. Relative growth of freshwater prawn Macrobrachium brasiliense (Decapoda, Palaemonidae) and its implications for reproduction. Iheringia, Sér. Zool. 109(e2019005):1-8. doi: https://dx.doi.org/10.1590/1678-4766e2019005. [URL] 🠔
  41. Odinetz-Collart O. 1993. Ecologia e potencial pesqueiro do camarão-canela, Macrobrachium amazonicum, na Bacia Amazônica. En: Ferreira EJG, Santos GM, Leao ELM, Oliveira LA, editores. Bases científicas para estratégias de preservação e desenvolvimento da Amazônia. Manaus: INPA. p.147-166. 🠔
  42. Paschoal LRP, Guimarães FJ, Couto ECG. 2013. Relative growth and sexual maturity of the freshwater shrimp Palaemon pandaliformis (Crustacea, Palaemonidae) in northeastern of Brazil (Canavieiras, Bahia). Inheringia, Sér. Zool. 103(1):31-36. doi: https://dx.doi.org/10.1590/S0073-47212013000100004. [URL] 🠔
  43. Paschoal LRP, Guimarães FJ, Couto ECG. 2016. Growth and reproductive biology of the amphidromous shrimp Palaemon pandaliformis (Decapoda: Caridea) in a Neotropical river from northeastern Brazil Lucas. Zoologia 33(6):1-14. doi: https://dx.doi.org/10.1590/s1984-4689zool-20160060. [URL] 🠔
  44. Penczak T, Rodriguez G. 1990. The use of electrofishing to estimate population densities of freshwater shrimps (Decapoda, Natantia) in a small tropical river, Venezuela. Arch. Hydrobiol. 118(4):501-509. 🠔
  45. Pereira G. 1986. Freshwater shrimps from Venezuela I: seven new species of Palaemoninae (Crustacea: Decapoda: Palaemonidae). P. Biol. Soc. Wash. 99(2):198-213. 🠔
  46. Pereira G, Lasso CA, Mora-Day J, Magalhães C, Morales-Betancourt MA, Campos MR. 2009. Lista de los crustáceos decápodos de la cuenca del río Orinoco (Colombia-Venezuela). Biota Colomb. 10(1-2):75-87. 🠔
  47. Pereira GA, García JV. 1995. Larval development of Macrobrachium reyesi Pereira (Decapoda: Palaemonidae), with a discussion on the origin of abbreviated development in palaemonids. J. Crustacean Biol. 15(1):117-133. doi: https://dx.doi.org/10.2307/1549016. [URL] 🠔
  48. Quirós-Rodríguez JA, Ballesteros J, Pastor K, Dueñas P. 2016. Crustáceos decápodos de la cuenca del río Sinú, Córdoba, Colombia. Acta biol. Colomb. 21(3):601-610. doi: https://dx.doi.org/10.15446/abc.v21n3.49401. [URL] 🠔
  49. Rivera CA, Zapata AM, Pérez D, Morales Y, Ovalle H, Álvarez JP. 2010. Caracterización limnológica de humedales de la planicie de inundación del río Orinoco (Orinoquía, Colombia). Acta biol. Colomb. 15(1):145-166. 🠔
  50. Rocha SS, Barbosa RJ. 2017. Population biology of Macrobra-chium jelskii (Miers, 1877) (Decapoda, Palaemonidae) from an artificial pond in Bahia, Brazil. Nauplius 25(e2017023): 1-14. doi: https://dx.doi.org/10.1590/2358-2936e2017023. [URL] 🠔
  51. RStudio Team. c2016. RStudio: integrated development for R. Boston: RStudio, Inc. [Revisada en: 20 Nov 2017]. http://www.rstudio.com/ [URL] 🠔
  52. Salas Y, Geovo S, Córdoba K, Asprilla S. 2011. Caracterización de las comunidades perifíticas y de macroinvertebrados acuáticos presentes en el río Pacurita, corregimiento de Pacurita, Quibdó, Chocó, Colombia. Rev. Biodivers. Neotrop. 1(2):98-104. 🠔
  53. Sharber NG, Sharber J. 1999. Epilepsy as a unifying principle in elec-trofishing theory: A proposal. Trans. Am. Fish Soc. 128(4):666-671. doi: https://dx.doi.org/10.1577/1548-8659(1999)128<0666: EAAUPI>2.0.CO;2. [URL] 🠔
  54. Silva RC, Jacobucci GB, Mossolin EC. 2017. Reproductive biology of Macrobrachium amazonicum (Heller, 1862) (Decapoda: Palaemonidae) in a reservoir situated in Minas Gerais State, southeastern Brazil. LAJAR 45(4)776-786. doi: https://dx.doi.org/10.3856/vol45-issue4-fulltext-13. [URL] 🠔
  55. Taylor BW, McIntosh AR, Peckarsky BL. 2001. Sampling stream invertebrates using electroshocking techniques: implications for basic and applied research. Can. J. Fish. Aquat. Sci. 58(3):437-445. doi: https://dx.doi.org/10.1139/f00-255. [URL] 🠔
  56. Torres-Mora MA, Parada-Guevara SL, Bustamante-Castiblanco X, Ortíz-Villar JE, Ariza-Marín LJ, Tiuso-Ramírez H, Aldana-Chacón OR, Rodríguez-Téllez JP, editores. 2015. La gente en la cuenca del río Guayuriba. Bogotá, Colombia: Ediprint. 🠔
  57. Valencia DM, Campos MR. 2007. Freshwater prawns of the genus Macrobrachium Bate, 1868 (Crustacea: Decapoda: Palaemonidae) of Colombia. Zootaxa 1456:1-44. doi: https://dx.doi.org/10.5281/zenodo.176325. [URL] 🠔
  58. Valencia DM, Campos MR. 2010. Camarones de agua dulce de los afluentes colombianos de los ríos Amazonas y Orinoco (Palaemonidae, Euryrhynchidae, Sergestidae). Caldasia 32(1):221-234. 🠔
  59. Walteros JM, Castaño JM, Marulanda JH. 2016. Ensamble de macroinvertebrados acuáticos y estado ecológico de la microcuenca Dalí-Otún, Departamento de Risaralda, Colombia. Hidrobiologica 26(3):359-371. doi: https://doi.org/10.24275/uam/izt/dcbs/hidro/2016v26n3/Walteros. [URL] 🠔
  60. Zúñiga MC, Chará J, Giraldo LP, Chará-S AM, Pedraza X. 2013. Composición de la comunidad de macroinvertebrados acuáticos en pequeñas quebradas de la región andina colombiana, con énfasis en la entomofauna. Dugesiana 20(2):263-277. 🠔
Vásquez-R. JM, Bocanegra-M. JS. 2019. Aspectos ecológicos de decápodos del río Guayuriba (Meta, Colombia). Caldasia 41(2):392-403. doi: https://dx.doi.org/10.15446/caldasia.v41n2.69544.
JMVR concepción, diseño, análisis de datos y escritura del documento; JSBM, toma y análisis de datos.
Los autores declaran que no tienen conflicto de intereses.