Caldasia
0366-5232
Instituto de Ciencias Naturales, Facultad de Ciencias-Universidad Nacional de Colombia
https://doi.org/10.15446/caldasia.v41n2.70845

Recibido: 12 de marzo de 2018; Aceptado: 24 de enero de 2019

Efecto de borde en ensamblajes de escarabajos coprófagos (Coleoptera: Scarabaeidae) en fragmentos de bosque de un paisaje andino

Edge effect in assemblages of dung beetles (Coleoptera: Scarabaeidae) in forest remnants of an andean landscape

J. Montes-Rodríguez, 1*O. Ortega Molina, 1Y. Espinosa Vélez, 2

Universidad Nacional de Colombia. Calle 59A No 63 - 20, Medellín, Colombia. A.A. 3840. oeortega@unalmed.edu.co Universidad Nacional de Colombia Universidad Nacional de Colombia Medellín Colombia
Universidad de Antioquia. Calle 67 No 53 - 108, Medellín, Colombia. A.A. 1226. yilmarev@gmail.com Universidad de Antioquia Universidad de Antioquia Medellín Colombia

Autor para correspondencia: jmpamplonman@gmail.com

Licencia Creative Commons.

RESUMEN

En paisajes fragmentados la composición, diversidad y abundancia de las comunidades de varios grupos de organismos cambia desde el borde hacia el interior del bosque. Con el objetivo de evaluar dichos cambios en los ensamblajes de escarabajos coprófagos, se establecieron transectos perpendiculares al borde en fragmentos de bosque inmersos en una matriz heterogénea. Los transectos se ubicaron en tres tipos de borde: Bosque-pasturas, bosque-regeneración natural y bosque-carretera, cada uno con ocho estaciones de muestreo a 0, 30, 60, 90, 120 y 150 m desde el borde hacia el interior y 30 y 60 m desde el borde hacia la matriz. En cada estación se instaló una trampa de caída cebada con excremento humano. Se evaluaron seis variables ambientales. Los cambios del ensamblaje de escarabajos coprófagos dependen del tipo de borde y se hicieron notorios hasta máximo 30 m al interior del bosque, mientras que de 60 a 150 m no se evidenciaron cambios drásticos en estos parámetros. El porcentaje de claros, como medida indirecta de la cobertura vegetal, fue la variable con mayor influencia en el número de especies, individuos y biomasa de escarabajos. Aunque los escarabajos coprófagos parecen ser poco afectados por el efecto de borde, es necesario tener en cuenta que el 25 % de las especies evita el borde y que solo unas pocas especies pueden moverse por la matriz lo cual puede tener consecuencias en la función ecológica y en la viabilidad de sus poblaciones en el largo plazo.

Palabras clave:

Antioquia, biodiversidad, bioindicadores, biología de la conservación, fragmentación.

ABSTRACT

In fragmented landscapes, the composition, diversity, and abundance of communities of various groups of organisms change from the edge inward the forest. To assess such changes in dung beetle assemblages, transects were established perpendicular to the edge in remnants of forest immersed in a heterogeneous matrix. The transects were in three types of edge: Forest-pastures, forest-natural regeneration and forest-highway, each with eight sampling stations at 0, 30, 60, 90, 120 and 150 m from the edge towards the inside, and 30 and 60 m from the edge towards the matrix. At each station, we set up a pitfall trap baited with human excrement. Six environmental variables were evaluated. The changes in the assemblage of dung beetles were dependent of the edge type and became noticeable to maximum 30 m into the forest; however, stations from 60 to 150 m inward did not show significant changes in these parameters. The percentage of light, indirect measure of plant cover, was the most influential variable on the number of species, individuals and biomass of beetles. Although dung beetles appear to be less affected by the edge effect than other groups it is necessary to consider that 25 % of species avoid the edge and that only a few species can move through the matrix, which can have consequences on the ecological function and the viability of their populations in the long term.

Keywords:

Antioquia, biodiversity, bioindicators, conservation biology, fragmentation.

INTRODUCCIÓN

En la región andina, donde habita el 70 % de la población colombiana, se han transformado los ambientes naturales originales en un 63 % de su área debido principalmente a las actividades productivas realizadas de forma insostenible (IAvH 2005).

Al aumentar la fragmentación y la destrucción del hábitat, aumenta el área de borde entre las zonas alteradas y los fragmentos de bosque y se hace más importante el efecto de borde, el cual puede definirse como el resultado de la interacción de dos ecosistemas adyacentes (Murcia 1995), o cualquier cambio en la distribución de una variable dada que ocurre en la transición entre hábitats, estas variables pueden ser bióticas como la composición de especies de animales y plantas, o abióticas como radiación, humedad y temperatura (Lidicker y Peterson 1999). En algunos casos estos efectos pueden alcanzar varios cientos de metros dentro del área silvestre afectando en especial a las especies sensibles adaptadas al interior del bosque que requieren áreas extensas e intactas de vegetación natural (Broadbent et al. 2008). Entender los impactos de las áreas de borde sobre los ensamblajes, gremios y especies claves permitirá desarrollar recomendaciones de manejo para mejorar la calidad de estas áreas para la vida silvestre (Murcia 1995, Broadbent et al. 2008).

En este tipo de estudios los escarabajos coprófagos han sido continuamente utilizados debido a su facilidad de muestreo, las importantes funciones ecológicas que cumplen, y su sensibilidad a los cambios ambientales que resultan de la fragmentación (Spector 2006, Nichols et al. 2007, 2008). En paisajes fragmentados el borde del bosque y la matriz heterogénea con cultivos y rastrojos tiene menos especies y abundancia de escarabajos coprófagos y su composición es diferente en comparación con el interior del bosque (Spector y Ayzama 2003, Silva et al. 2017). La intensidad de estos cambios es influenciada por el tipo de borde (Feer 2008, Martello et al. 2016). Se espera que bordes más abruptos como los generados por la ganadería o el paso de carreteras tengan mayor efecto que aquellos más graduales como los que se dan por regeneración natural o cultivos con vegetación arbustiva o arbórea (Barnes et al. 2014). Sin embargo, la respuesta a las dinámicas presentes en los bordes depende de cada especie de escarabajo (Villada-Bedoya et al. 2016) por lo cual es importante conocer cuales especies o géneros tienen mayor sensibilidad a estos cambios y en los que se debe enfocar las acciones de conservación.

Otro tema de interés que motiva el estudio de la interacción entre bosque y matriz alterada es la conectividad de estos usos del suelo para la conservación del ensamblaje de escarabajos y demostrar si los rastrojos pueden efectivamente, además de disminuir el efecto de borde, servir como corredores entre fragmentos de bosque, como ha sido registrado en algunas regiones (Barnes et al. 2014).

El objetivo del presente trabajo es determinar la distancia del efecto de borde al interior de relictos de bosque en la composición, abundancia, diversidad y riqueza del ensamblaje de escarabajos coprófagos con diferentes tipos de borde. En este caso se comparan el borde abrupto producido por pasturas y cercanía a carreteras, con el borde gradual dado por la regeneración natural.

MATERIALES Y MÉTODOS

El presente trabajo se realizó en la zona de influencia de la Central Hidroeléctrica Porce II, localizada al noreste del departamento de Antioquia en jurisdicción de los municipios de Yolombó, Amalfi y Gómez Plata a 120 km al nororiente de Medellín, Colombia. La zona presenta una temperatura promedio anual de 22,5 °C, precipitación promedio anual de 3050 mm y una humedad relativa del 83 % con un régimen bimodal de lluvias (EPM 1996). De acuerdo con el sistema de clasificación de Holdridge (1982), en la región se encuentran dos zonas de vida, bosque húmedo tropical (bh-T) y bosque muy húmedo premontano (bmh-PM). El área de influencia de la central hidroeléctrica Porce II comprende 3018 ha de las cuales el 43 % corresponden a rastrojos altos y bajos (Marín et al. 2008). Se seleccionaron seis fragmentos de bosque según el mapa de coberturas vegetales de la zona (EPM 2006) (Tabla 1).

Tabla 1: Caracterización de los fragmentos de bosque muestreados en el área de influencia de la Central Hidroeléctrica Porce II.

Bosque - Carretera y Bosque -Pastizal se consideran bordes abruptos; Bosque - Rastrojo se considera un borde gradual. Las coordenadas son la ubicación del punto exacto de muestreo en el borde del fragmento.

Tipos de borde

El borde se definió como el punto en el cual se ubica la primera hilera de árboles. Para este trabajo se identificaron tres tipos de borde:

Bosque - Pastizal (BP): En este tipo de borde la matriz la constituían pasturas con dedicación ganadera en las que se realizan prácticas de control de hierbas y arbustos y en donde el ganado continuamente consume la vegetación herbácea; este borde es abrupto (Tabla 1).

Bosque - Carretera (BC): Este tipo de borde es también bien definido y limita con la carretera; la matriz se caracteriza por un suelo compactado con poca vegetación; este borde es abrupto (Tabla 1).

Bosque - Rastrojo (BR): La matriz predominante para este tipo de borde la constituía rastrojo en estado sucesional temprano entre uno o dos años de regeneración. Diferente a los anteriores, el borde no está bien definido y está constituido por arbustos y hierbas; este borde es gradual (Tabla 1).

Estaciones de muestreo y variables ambientales

En cada fragmento se trazó perpendicular al borde un tran-secto de 210 m con ocho estaciones de muestreo a 0, 30, 60, 90, 120 y 150 m desde el borde hacia el interior y 30 y 60 m desde el borde hacia la matriz. En cada una de estas estaciones se estableció una parcela cuadrada de 10 m de lado, en el centro de la cual se ubicó una trampa de caída cebada con excremento humano como unidad muestral, para un total de ocho unidades de muestreo por fragmento en el tipo de borde BP y BR y siete en BC, este tipo de borde no permitió colocar trampa a 60 m en la matriz debido a que este punto coincidía con la carretera. El muestreo se realizó en época seca (febrero 2009), lluviosa (noviembre 2008) y de transición seca a lluviosa (mayo 2009). De esta manera se acopiaron 24 muestras en fragmentos con tipo de borde BP y BR y 21 muestras en los fragmentos con tipo de borde BC, para un total de 138 muestras. En cuanto a la distancia entre trampas, Spector y Ayzama (2003) encontraron diferencias marcadas entre el borde y 50 m al interior del fragmento de bosque, nuestra intención fue evaluar a 30 m al interior para buscar cambios más graduales entre el interior y el borde como son reportados por Villada-Bedoya et al. (2016) a 30 m entre trampas. Aunque Larsen y Forsyth (2005), recomiendan al menos 50 m para evitar interferencia, esta recomendación se hace a partir de los resultados de captura y recaptura de una sola especie Canthon acutus por lo que no parece concluyente para todo el ensamblaje debido a que la dispersión depende entre otros factores de la especie de escarabajo y sus estrategias de forrajeo (Cultid-Medina et al. 2015).

Aunque el muestreo de escarabajos se hizo en las tres salidas, las siguientes variables ambientales se midieron en cada estación de muestreo solo en las dos últimas salidas:

Porcentaje de claros: Se determinó por medio de fotografías desde el sotobosque al dosel con una cámara digital Kodak Easyshare Z700. Se tomaron cuatro fotografías, una hacia cada punto cardinal y a una distancia de 5 metros de la trampa de caída y a 2 metros de altura. A cada fotograma se le sobrepuso una cuadrícula de diez cuadros de largo por diez de ancho y el porcentaje de claros fue la suma de cuadros en los que el área con ausencia de vegetación superó el 50 % del cuadro. Las cuatro observaciones se promediaron para tener un valor por cada estación de muestreo. Por lo tanto, cuanto mayor es el porcentaje de claros, menor es la cobertura vegetal y viceversa.

Profundidad de la hojarasca: Dentro de cada parcela o en cada estación se seleccionaron al azar diez puntos donde se midió en centímetros la profundidad de la hojarasca. El promedio de las diez mediciones se consideró como el valor correspondiente a cada estación.

Número de árboles con Diámetro a la Altura del Pecho (D.A.P.) > 10 cm y área basal: Se contó el total de árboles con un valor de D.A.P. mayor o igual a 10 cm en la parcela de 100 m2. Con los valores de D.A.P. se estimó el área basal que es igual a la suma de las secciones transversales de todos los árboles en esta área por medio de la siguiente ecuación:

Temperatura ambiental y humedad relativa: Con la ayuda de un termo-higrómetro digital HTC-1 se tomaron dos lecturas por salida en cada estación para un total de cuatro mediciones por estación, la precisión para la temperatura fue de 0,1 °C y para la humedad relativa del 1 %.

Método de muestreo de los escarabajos coprófagos

Se utilizaron trampas de caída cebadas con excremento humano. Cada trampa consistió en un vaso plástico de 12 oz enterrado a nivel del suelo, lleno a un tercio de su capacidad con agua jabonosa, al centro del cual se le colocó suspendida con un alambre, una copa plástica de una onza llena hasta la mitad de su capacidad con el cebo.

Las trampas permanecieron en el campo 48 horas antes de su recolección, posteriormente los ejemplares se guardaron en frascos plásticos con etanol al 70 %. Las muestras se llevaron al laboratorio de entomología de la Universidad Nacional sede Medellín en donde se limpiaron y procesaron según lo recomendado por Cultid et al. (2012). Para la identificación de los ejemplares, se usaron claves especializadas (Howden y Young 1981, Génier 1996, Vitolo 2000, Génier 2009, Vaz de Mello et al. 2011, Sarmiento-Garcés y Amat-García 2014) o se separaron por morfoespecie en el caso de grupos sin revisión taxonómica actualizada. Los ejemplares se depositaron en el "Museo Entomológico Francisco Luís Gallego" de la Universidad Nacional sede Medellín.

Posteriormente se pesaron desde dos hasta 50 individuos de cada especie, dependiendo de su abundancia, para determinar la biomasa promedio de cada una. Para el pesaje se utilizó una balanza digital Ohaus modelo AX124 con precisión de 0,0001 g; una vez que los ejemplares se secaron en un horno a una temperatura de 60 °C durante cuatro días. Como medida de la biomasa total por estación, se multiplicó el valor promedio del peso seco de cada especie por su abundancia y se sumaron estos valores.

Análisis de datos

Para cada estación, que es la unidad de muestreo, se tomaron como variables dependientes abundancia, número de especies, biomasa, valores de diversidad de Shannon y el inverso de dominancia de Simpson; estos últimos calculados con el programa PAST versión 1.86b (Hammer et al. 2001).

Para comparar la riqueza de especies entre las distancias en cada tipo de borde, se realizaron curvas de acumulación de especies con el programa Estimates 7.0 (Colwell c2005). Posteriormente se analizaron los datos por el método de rarefacción, este es recomendado para hacer comparaciones cuando el número de individuos es desigual, la rarefacción toma como medida general para todas las muestras el tamaño de la muestra más pequeña (Moreno 2001).

Los registros de abundancia se utilizaron como criterio para determinar la preferencia de hábitat de los escarabajos coprófagos, de esta manera si el 95 % de la abundancia de una especie se encontró en uno de estos tres hábitats: interior de bosque (30, 60, 90, 120 y 150 m), borde (0 m) y matriz (-30 y -60 m), se denominaron con preferencia a dichos hábitats; si el 95 % de la abundancia se encuentra entre dos hábitats contiguos, la especie se denominó de "Interior - Borde" o "Matriz - Borde" según el caso, y si se encuentra distribuida en los tres hábitats se definió como "sin preferencia". Sólo se analizaron las especies con más de diez individuos.

Para cada variable dependiente se realizó un análisis de varianza con un diseño en bloques al azar, con arreglo factorial, tomando cada fragmento como un bloque, y época de muestreo y distancia como factores; en el caso de BR por contar con datos de un solo fragmento, cada época de muestreo se consideró como un bloque y la variable distancia como el tratamiento. Se utilizó la prueba de Tukey para comparación de medias entre las distancias. En cada análisis de varianza se realizaron transformaciones logarítmicas, arcoseno y raíz cuadrada de los datos y se seleccionó la que proporcionó el mejor ajuste de los residuales a la distribución normal y homogeneidad de varianzas (Zar 1996). Para las variables temperatura y humedad relativa se utilizó la diferencia con respecto al borde en lugar de su valor absoluto, estos análisis se realizaron en el programa estadístico StatGraphics Centurion versión XV (Statpoint c2006).

Para evaluar la similitud entre las distancias de recolección, en cada tipo de borde, se calculó el índice de Bray Curtis y se representó gráficamente por medio de dendrogramas realizados con el programa Biodiversity Pro (McAleece et al. c1997). Adicionalmente se realizó un análisis de regresión múltiple con las variables ambientales medidas en cada estación de muestreo como variables predictoras y la abundancia, número de especies, biomasa e índices de diversidad de Shannon y el inverso de Simpson del ensamblaje de escarabajos coprófagos, como variables dependientes. Para cada regresión se eliminó secuencialmente la variable predictora que menos aportaba al modelo hasta encontrar el modelo que tuviera el coeficiente de determinación más alto.

RESULTADOS

Se recolectaron 8489 ejemplares pertenecientes a 42 especies de 16 géneros (Fig. 1). El género con mayor número de especies fue Canthidium con siete; Onthophagus fue el de mayor abundancia con 3433 individuos, el 40 % de los registros.

Escarabajos coprófagos recolectados en el área de influencia de la centra hidroeléctrica Porce II (Antioquia, Colombia).

Figura 1: Escarabajos coprófagos recolectados en el área de influencia de la centra hidroeléctrica Porce II (Antioquia, Colombia).

PD= Pocos datos o especies con menos de 10 individuos, B= Preferencia por el interior del bosque, BB= Preferencia por el interior y el borde del bosque, SP= Sin preferencia por ningún hábitat, MB= Preferencia por la matriz antropogénica y el borde, MA= preferencia por la matriz.

Preferencia por hábitat

La mayoría de las especies, 19 de las 32 más abundantes, prefieren el interior del bosque - borde (BB) (Fig. 1). Le siguen siete que solo prefieren el interior del bosque (B). Ninguna de las especies mostró preferencia por el borde exclusivamente.

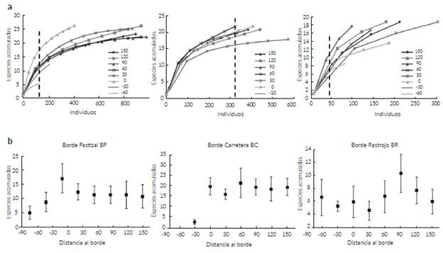
Efecto de borde en la riqueza

En BP el borde tiene la mayor riqueza (Fig. 2) sin embargo, los intervalos de confianza se solapan en la mayoría de las distancias, y solo se encuentran diferencias entre 0 y 60 m en la matriz de pasturas. En BC el bajo número de individuos (tres) en la matriz impidió que se pudiera comparar con las demás distancias, a - 30 m se obtuvo menor riqueza, sin embargo, los intervalos de confianza se solapan con los de las otras distancias, lo cual sugiere que no existe diferencia significativa en la riqueza entre estaciones (Fig. 2). En BR las estaciones del interior del bosque tienen mayor riqueza que las de la matriz de rastrojos y según los intervalos de confianza, la estación de 90 m al interior tiene una mayor riqueza que la de 30 m en la matriz y 30 m en el bosque. Los intervalos de confianza se solapan entre las demás distancias, lo cual indica que no existen diferencias (Fig. 2).

Curvas de acumulación de especies de escarabajos en tres tipos de borde a diferentes distancias desde el borde. La línea vertical punteada indica e tamaño de la muestra más pequeña. a. curvas de acumulación. b. Intervalos de confianza a la altura de la línea punteada.

Figura 2: Curvas de acumulación de especies de escarabajos en tres tipos de borde a diferentes distancias desde el borde. La línea vertical punteada indica e tamaño de la muestra más pequeña. a. curvas de acumulación. b. Intervalos de confianza a la altura de la línea punteada.

Efecto de borde en la abundancia y diversidad de escarabajos

En BP los escarabajos en la matriz de pasturas (-30 y -60 m) son menos diversos y abundantes en comparación con el interior del bosque (30, 60, 90, 120 y 150 m) (P < 0,01, g.l.= 7) (Fig. 3). En el borde los valores no difieren significativamente del interior del bosque, excepto en el número de individuos (41 individuos/trampa), el cual es mayor al interior (87 a 98 individuos/trampa).

Diversidad, biomasa, número de especies y abundancia de escarabajos coprófagos en tres tipos de borde en fragmentos de bosque del nororiente de Antioquía. Las líneas verticales indican intervalo de confianza al 95 %.

Figura 3: Diversidad, biomasa, número de especies y abundancia de escarabajos coprófagos en tres tipos de borde en fragmentos de bosque del nororiente de Antioquía. Las líneas verticales indican intervalo de confianza al 95 %.

En BC la estación de 30 m en la matriz registró valores significativamente menores a las demás en todas las variables (P < 0,001; g.l. = 6); en cambio el borde no mostró diferencias significativas con las del interior del bosque (Fig. 3).

En BR los índices de diversidad de Simpson y Shannon y la biomasa no son estadísticamente significativos entre las estaciones (P = 0,61, 0,09 y 0,053 respectivamente g.l. = 7) (Fig. 3). Por otra parte, la biomasa, abundancia y el número de especies mostraron diferencias significativas entre estaciones (P = 0,002 y 0,015 respectivamente, g.l. = 7), no se percibe una tendencia clara y algunas estaciones al interior del bosque no son diferentes de la matriz de rastrojos (Fig. 3).

Efecto de borde en la composición del ensamblaje de escarabajos coprófagos

En BP las estaciones en la matriz de pastizales comparten 11 % de las especies del grupo constituido por las distancias al interior de los fragmentos y el borde, la composición de los escarabajos del borde se asemeja en 47 % al interior del bosque (Fig. 4). Los sitios del interior del bosque a 30, 60, 90, 120 y 150 m desde el borde forman un grupo con una similitud mayor al 81 %.

Similitud en la composición de escarabajos coprófagos entre distancias al borde en fragmentos de bosque limitando con rastrojos (BR), carretera (BC) y pasturas (BP). Los números en cada divergencia indican el porcentaje de similitud.

Figura 4: Similitud en la composición de escarabajos coprófagos entre distancias al borde en fragmentos de bosque limitando con rastrojos (BR), carretera (BC) y pasturas (BP). Los números en cada divergencia indican el porcentaje de similitud.

En la matriz de BC solo se registraron Canthon juvencus y Onthophagus marginicollis, estas especies no se recolectaron ni en el borde ni en el interior de los fragmentos de bosque por lo cual la similitud entre 30 m en la matriz y las demás distancias es cero. La estación del borde comparte con las estaciones del interior el 72 % de las especies; las estaciones al interior de los fragmentos 30, 60, 90, 120 y 150 m desde el borde son similares en un 73 % (Fig. 4).

En BR la similitud entre la matriz y las demás estaciones es de 7 %, el borde por otra parte tiene una composición de escarabajos similar hasta un 74 % con las estaciones al interior del bosque (Fig. 4).

Biomasa promedio de los escarabajos coprófagos entre estaciones

La biomasa fue diferente entre las distancias en los tres tipos de borde; con diferentes tendencias (P = 0,014 en BR; P < 0,001 en BC y BP). En BP el borde tiene escarabajos más pesados, en promedio de 0,082 g en comparación con el interior del bosque que tiene valores entre 0,027 y 0,038 g. En cuanto a la matriz de pasturas el promedio en 30 m es similar a los reportados para el interior del bosque (0,034 g), en 60 m en la matriz es menor con 0,012 g en promedio.

En BC los escarabajos más pesados se encuentran en los puntos de 60, 90, 120 y 150 m al interior del bosque con valores promedio entre 0,052 y 0,063 g; en el borde y a 30 m al interior los valores estuvieron entre 0,037 y 0,042 g y en la matriz a -30 m solo encontramos Canthon juvencus, que se trata de un escarabajo pequeño con un peso seco promedio de 0,007 g.

En BR el peso promedio de escarabajos es mayor en el interior del bosque en 60, 90, 120 y 150 m con valores entre 0,050 a 0,072 g, en 30 m al interior el promedio fue de 0,046 g y en el borde de 0,049 g, en la matriz de regeneración temprana el peso promedio de escarabajos es menor con 0,037 y 0,011 en 60 y 30 m respectivamente.

Variables ambientales, la diversidad y biomasa de los coprófagos

El análisis de regresión múltiple muestra que la variable porcentaje de claros se relacionó negativamente con las variables riqueza, biomasa y los índices de diversidad de escarabajos coprófagos (Tabla 2). Mientras la humedad relativa estuvo positivamente relacionada con la abundancia y negativamente relacionada con la diversidad de Simpson, el número de árboles con DAP>10 cm solo se relaciona con el índice de Simpson.

Tabla 2: Regresión múltiple para las variables abundancia, riqueza, biomasa y diversidad de escarabajos coprófagos en relación con las variables ambientales. n = 92 en cada regresión.

Variación temporal

El número de especies tuvo poca variación a lo largo del tiempo y se recolectaron entre 38 y 39 especies por muestreo. En el mes de febrero, que coincide con la época de menor precipitación (101,6 mm), se recolectaron menos individuos y se registró menor biomasa en los escarabajos (n= 2135 y 78,6 g) y en los meses de mayor precipitación (229,9 y 138,4 mm), especialmente en la transición entre la época seca a la época lluviosa, se encontró un mayor número de individuos y de biomasa (n = 4126 y 170,8 g).

DISCUSIÓN

El efecto de borde en paisajes fragmentados está influenciado por el tipo de borde. En términos generales en fragmentos rodeados por pasturas dedicadas a la ganadería existe un efecto de borde abrupto o efecto de matriz tal como es descrito por López-Barrera (2004), en este caso los dos ambientes son diferentes y no se detecta un efecto de borde. Solamente en las variables abundancia, peso promedio de escarabajos y en la composición del ensamblaje de escarabajos son notables cambios entre el borde (0 m) y el interior del bosque (30 a 150 m), de esta manera el efecto de borde no superaría los 30 m en estas variables. Resultados similares en bosques que limitan con pasturas han sido reportados por Silva et al. (2017) en la región Amazónica.

Por otra parte, en el fragmento rodeado de rastrojo o regeneración temprana, la diferencia en la diversidad y biomasa de escarabajos coprófagos entre el borde y la matriz no fue tan marcada, demostrando que la regeneración de la vegetación aminora los cambios producidos por el efecto de borde en escarabajos coprófagos (Vasconcelos y Bruna 2012, Barnes et al. 2014). Al parecer, este tipo de sucesión temprana de dos años crea ya condiciones micro climáticas favorables para el establecimiento de un mayor número de especies en comparación con los pastizales y la cercanía de la carretera. Sin embargo, la composición de escarabajos de los rastrojos tiene apenas 7 % de similitud con la del interior y el borde del bosque, demostrando que la mayoría de los escarabajos del bosque no lo utilizan como corredor biológico. Similares resultados encontraron Villada-Bedoya et al. (2016) en relictos de bosque que limitan con café a libre exposición, otro tipo de borde donde predomina la vegetación arbustiva como BR, este cultivo efectivamente es una barrera para los escarabajos del interior del bosque. En nuestro caso la regeneración fue estimada en uno a dos años, mientras Barnes et al. (2014) demostraron que con regeneraciones tempranas de tres años se permitían el paso de varias especies de escarabajos, sugiriendo que el tiempo de regeneración es importante y que a medida que crezca esta vegetación más especies de escarabajos podrán circular por esta matriz. Por el momento, aunque no permita el paso de la mayoría de las especies, esta matriz si puede disminuir el efecto de borde con relación a lo encontrado en BP.

En general, en el interior de los bosques se encontró mayor diversidad de escarabajos coprófagos que en áreas abiertas, independiente del tipo de matriz; dicha tendencia también la reportaron Horgan (2005) y Feer (2008) en el Neotrópico. En este estudio el 58 % de las especies que habitan el interior del bosque llegan también al borde, pero ninguna especie presentó especificidad solo para el borde. En la mayoría de los casos en el borde se recolectaron individuos de especies de interior de bosque que pueden explorar en busca de recursos hasta el borde y que son atraídos por las trampas, lo cual no garantiza que tenga las condiciones adecuadas para reproducirse y establecerse en este lugar.

El porcentaje de claros, como medida indirecta de la cobertura vegetal, fue la variable con la mayor influencia en el ensamblaje de escarabajos. El interior del bosque con mayor cobertura vegetal, donde las condiciones micro climáticas son más estables que en el borde y en las matrices, podría garantizar la disponibilidad de un recurso fresco por más tiempo y por consiguiente favorecer la estabilidad de los ensamblajes, como lo han reportado también otros autores (Halffter y Arellano 2002, Horgan 2005). La relación inversa entre la humedad relativa y la abundancia de los escarabajos podría apoyar este resultado.

En cuanto a la biomasa promedio de los escarabajos, el interior y el borde de los fragmentos de bosque de Por-ce II tienden a albergar escarabajos más pesados que las matrices; aunque es poca la información para los ecosistemas tropicales y aún queda mucho por investigar desde el punto de vista ecológico y funcional, se ha encontrado relación entre el tamaño y el papel de los escarabajos en la dispersión secundaria de semillas y la remoción de excremento (Vulinec 2002, Horgan 2005), lo que podría traer como consecuencia diferencias entre los hábitats de matriz, interior y borde de bosque en las funciones ecológicas que realizan los escarabajos coprófagos, como fue demostrado por Santos-Heredia et al. (2011) quienes encontraron que la dispersión secundaria de semillas es afectada por el efecto de borde.

En referencia a la biomasa de los escarabajos, el tamaño promedio se ve afectado por la disponibilidad de recurso alimenticio y fragmentos de bosque que son demasiado pequeños para sostener especies de mamíferos medianos y grandes tienen escarabajos más pequeños (Andresen 2003, Nichols et al. 2007). Igualmente, si mamíferos medianos y grandes evitan los bordes, indicaría que las porciones más grandes de excremento se encuentran al interior del bosque, aumentando la probabilidad de encontrar escarabajos más grandes y más pesados al interior. Sin embargo, Lenz et al. (2014) y Bolt et al. (2018) encontraron que si bien hay especies de primates que evitan los bordes, también hay especies que son indiferentes e incluso hay algunas que muestran una respuesta positiva con el borde. De esta manera parecería que el excremento de mamíferos especialmente primates estaría en cantidades similares en el interior y en el borde y que las condiciones ambientales tienen más importancia en especial el porcentaje de claros en la distribución de los escarabajos.

Por otra parte, en la matriz de pasturas el borde del bosque tiene escarabajos en promedio más pesados que en el interior, este resultado está influenciado porque las especies de paracópridos o cavadores pequeños de los géneros Canthidium, Onthophagus y Uroxys disminuyen su abundancia en el borde a un 24,7 % del promedio de las estaciones al interior del bosque, mientras los cavadores grandes de los géneros Dichotomius, Ontherus y de la tribu Phaneini se mantienen prácticamente igual de abundantes en el borde. Los cavadores pequeños construyen nidos más superficiales que los grandes (Gregory et al. 2015), y podrían ser más afectados por cambios generados por el pisoteo de ganado en la densidad y la humedad del suelo, que son factores determinantes en la nidificación de los escarabajos coprófagos (Sowig 1995).

También es notable el efecto del bosque al interior de la matriz de pasturas. La biomasa de escarabajos en las pasturas a 30 m del borde es mayor que a 60 m debido a que Eurysternus foedus, Dichotomius andresi y Oxysternon conspicillatum, especies de mayor peso presentes y abundantes en el interior y el borde del bosque, se encuentran en la matriz de pasturas disminuyendo su abundancia a medida que se distancian del borde; estas especies podrían aprovechar el estiércol de vacunos que es el recurso alimenticio disponible, aumentando la cantidad de excremento removido y la fertilidad del suelo (Horgan 2005, Nichols et al. 2007). Futuras observaciones serán necesarias para comprobar si existe el consumo de este tipo de excremento por estas especies.

En este trabajo, los resultados referentes a las distancias al borde no tienen interacción con la época de muestreo en gran parte de las variables, lo que confirma que los resultados obtenidos acerca del efecto de borde se mantienen a lo largo del tiempo. Es importante tener en cuenta la variación estacional, debido a que el efecto de la fragmentación es dinámico y cambios detectados en un solo momento pueden estar dando información errónea (Didham 1997).

Los cambios en composición y estructura generados por el efecto de borde en paisajes fragmentados dependen del grupo de artrópodo y de cada especie en particular (Vasconcelos y Bruna 2012). En comparación con otros grupos biológicos en los cuales el efecto de borde se extiende hasta cientos de metros en el interior del bosque (Didham 1997), los escarabajos coprófagos parecen ser menos afectados. Sin embargo, el 25 % de las especies de escarabajos evitan los bordes y solo cinco de las 33 especies recolectadas en BR podrían utilizar las matrices de rastrojos altos y bajos que es el tipo de cobertura predominante en la región (Marín et al. 2008).

Finalmente es importante aclarar que en nuestro trabajo se utilizaron trampas con una separación de 30 m y que se han recomendado otras distancias para asegurar independencia entre las muestras, distancias de al menos 50 m (Larsen y Forsyth 2005). Es probable que con otras distancias entre trampas los resultados cambien. Por otra parte, Marsh et al. (2018) encontraron alteraciones en la comunidad de escarabajos coprófagos debidas al efecto de borde más allá de 300 m y hasta 1 km al interior del bosque, mucho más lejos de las distancias que normalmente se utilizan en estudios de efecto de borde. Si este fuera el caso todos los fragmentos utilizados en nuestro trabajo estarían afectados por el efecto de borde y sería indetectable en la región de Porce donde realizamos este estudio. De manera que las conclusiones emergidas a partir de estos datos se deben tomar con precaución.

Acknowledgements

AGRADECIMIENTOS

A Federico Escobar, German Amat, Jorge Ari Noriega y Brian Bock, por sus valiosos comentarios y sugerencias; al museo entomológico "Francisco Luís Gallego" en donde se realizó la fase de laboratorio de este trabajo; a la Facultad de Ciencias de la Universidad Nacional, sede Medellín por financiar este trabajo y a las empresas públicas de Mede-llín por la ayuda logística en la zona de Porce II.

LITERATURA CITADA

  1. Andresen E. 2003. Effect of forest fragmentation on dung beetle communities and functional consequences for plant regeneration. Ecography 26(1):87-97. doi: https://dx.doi.org/10.1034/j.1600-0587.2003.03362.x. [URL] 🠔
  2. Barnes AD, Emberson RM, Chapman HM, Krell F, Didham RK. 2014. Matrix habitat restoration alters dung beetle species responses across tropical forest edges. Biol. Conserv. 170:28-37. doi: https://dx.doi.org/10.1016/j.biocon.2013.12.006. [URL] 🠔
  3. Bolt LM, Schreier AL, Voss KA, Sheehan EA, Barrickman NL, Pryor NP, Barton MC. 2018. The influence of anthropogenic edge effects on primate populations and their habitat in a fragmented rainforest in Costa Rica. Primates 59(3):301-311. doi: https://dx.doi.org/10.1007/s10329-018-0652-0. [URL] 🠔
  4. Broadbent E, Asner G, Keller M, Knapp D, Oliveira P, Silva J. 2008. Forest fragmentation and edge effects from deforestation and selective logging in the brazilian amazon. Biol. Conserv. 141(7):1745-1757. doi: https://dx.doi.org/10.1016/j.bio-con.2008.04.024. [URL] 🠔
  5. Colwell RK. c2005. Estimates: Statistical estimation of species richness and shared species from samples. [Revisada en: 9 Feb 2012]. http://viceroy.eeb.uconn.edu/estimates [URL] 🠔
  6. Cultid CA, Medina CA, Martínez BG, Escobar AF, Constantino LM, Betancur N. 2012. Escarabajos coprófagos del eje cafetero, Guía para su estudio ecológico. Primera Edición. Villamaría, Colombia: Editorial Espacio gráfico. 🠔
  7. Cultid-Medina CA, Martínez B, Escobar F, Chacón P. 2015. Movement and population size of two dung beetle species in an Andean agricultural landscape dominated by sungrown coffee. J. Insect Conserv. 19(4):617-626. doi: https://dx.doi.org/10.1007/s10841-015-9784-3. [URL] 🠔
  8. Didham RK. 1997. The influence of edge effects and forest fragmentation on leaf litter invertebrates in central Amazonia. En: Laurance W, Bierregaard R, editores. Tropical forest remnants: Ecology, management, and conservation of fragmented communities. Chicago: The University of Chicago Press. p. 55-70. 🠔
  9. [EPM] Empresas públicas de Medellín. 1996. Desarrollo del plan de seguimiento y control del componente fisicobiotica. Estudio de impacto ambiental. Proyecto hidroeléctrico Porce II. Medellín: Empresas Públicas de Medellín. 🠔
  10. [EPM] Empresas Públicas de Medellín. 2006. Mapa de coberturas vegetales. Zona de embalse Porce II. Escala 1: 25.000. Medellín: Universidad Nacional De Colombia. Departamento de Ciencias Forestales. 🠔
  11. Feer F. 2008. Response of dung beetles assemblages to characteristics of rain forest edges. Ecotropica 14:49-62. 🠔
  12. Génier F. 1996. A revision of the neotropical genus Ontherus Erichson (Coleoptera: Scarabaeidae: Scarabaeinae). Mem. Entomol. Soc. Can. 128(170Supp):3-170. doi: https://dx.doi.org/10.4039/entm128170fv. [URL] 🠔
  13. Génier F. 2009. Le genre Eurysternus Dalman, 1824 (Scarabaei-dae: Scarabaeinae: Oniticellini), révision taxonomique et clés de détermination illustrées. Primera edición. Sofia, Bulgaria: Editorial Pensoft. 🠔
  14. Gregory N, Gómez A, Oliveira TMF, Nichols E. 2015. Big dung beetles dig deeper: trait-based consequences for faecal parasite transmission. Int. J. Parasitol. 45(2-3):101-105. doi: https://dx.doi.org/10.1016/j.ijpara.2014.10.006. [URL] 🠔
  15. Halffter G, Arellano L. 2002. Response of dung beetle diversity to human-induced changes in a tropical landscape. Biotropica 34(1):144-154. doi: https://dx.doi.org/10.1111/j.1744-7429.20 02.tb00250.x. [URL] 🠔
  16. Hammer O, Harper D, Ryan P. 2001. PAST version 1.66. Pale-ontological statistical software package for education and data analysis. Palaeontol. Electron. 4(1):1-9. 🠔
  17. Holdridge L. 1982. Ecología basada en zonas de vida. San José de Costa Rica: Instituto Interamericano de Cooperación de la Agricultura. 🠔
  18. Horgan F. 2005. Effects of deforestation on diversity, biomass and function of dung beetles on the eastern slopes of the Peruvian Andes. For. Ecol. Manag. 216(1-3):117-133. doi: https://dx.doi.org/10.1016/j.foreco.2005.05.049. [URL] 🠔
  19. Howden H, Young O. 1981. Panamian Scarabaeinae: Taxonomy, Distribution, and habits (Coleoptera, Scarabaeidae). Contrib. Am. Entomol. Inst. 18(1):1-204. 🠔
  20. [IAvH] Instituto Alexander Von Humboldt. 2005. Proyecto conservación y uso sostenible de la biodiversidad en los Andes Colombianos. Informe anual 2004. Bogotá: Instituto de Investigación de Recursos Biológicos Alexander von Humboldt. 🠔
  21. Larsen TH, Forsyth A. 2005. Trap Spacing and Transect Design for Dung Beetle Biodiversity Studies. Biotropica 37(2)322-325. doi: https://dx.doi.org/10.1111/j.1744-7429.2005.00042.x. [URL] 🠔
  22. Lenz BB, Jack KM, Spironello WR. 2014. Edge Effects in the Primate Community of the Biological Dynamics of Forest Fragments Project, Amazonas, Brazil. Am. J. Phys. Anthropol. 155(3):436-446. doi: https://dx.doi.org/10.1002/ajpa.22590. [URL] 🠔
  23. Lidicker W, Peterson J. 1999. Responses of small mammals to habitat edges. En: Barret G, Peles J, editores. Landscape Ecology of Small Mammals. Berlin: Springer - Verlag. p. 211-227. 🠔
  24. López-Barrera F. 2004. Estructura y función en bosques. Ecosistemas 13(1):67-77. 🠔
  25. Marín AL, Álvarez CF, Uribe SI, Morales M. 2008. Dinámica temporal del patrón del paisaje en el área de la hidroeléctrica Porce II, (Antioquia, Colombia) de 1961 al 2001. Bol. Cienc. Tierra 23:33-42. 🠔
  26. Martello F, Andriolli F, De Souza T, Dodonov P, Ribeiro M. 2016. Edge and land use effects on dung beetles (Coleoptera: Scarabaeidae: Scarabaeinae) in brazilian cerrado vegetation. J. Insect Conserv. 20(6):957-970. doi: https://dx.doi.org/10.1007/s10841-016-9928-0. [URL] 🠔
  27. Marsh Ch, Feitosa RM, Louzada J, Ewers RM. 2018. Is β-diversity of Amazonian ant and dung beetles communities elevated at rainforest edges? J. Biogeogr. 45(8)1966-1979. doi: https://dx.doi.org/10.1111/jbi.13357. [URL] 🠔
  28. Mcaleece N, Gage J, Lambshead D, Paterson J. c1997. BioDiversity Professional statistics analysis software web site. [Revisada en: 10 Jul 2009]. http://www.sams.ac.uk/ [URL] 🠔
  29. Moreno C. 2001. Métodos para medir la biodiversidad. Zaragoza, España: M&T-Manuales y Tesis SEA. 🠔
  30. Murcia C. 1995. Edge effects in fragmented forest: implications for conservation. Trends Ecol. Evol. 10(2):58-62. doi: https://dx.doi.org/10.1016/S0169-5347(00)88977-6. [URL] 🠔
  31. Nichols E, Larsen T, Spector S, Davis A, Escobar F, Fávila M, Vulinec K, The Scarabaeinae Research Network. 2007. Global dung beetle response to tropical forest modification and fragmentation: A quantitative literature review and meta-analysis. Biol. Conserv. 137(1):1-19. doi: https://dx.doi.org/10.1016/j.biocon.2007.01.023. [URL] 🠔
  32. Nichols E, Spector S, Louzada J, Larsen T, Amézquita S, Fávila M. 2008. The Scarabaeinae Research Network. Ecological functions and ecosystems services provided by Scarabaeinae dung beetles. Biol. Conserv. 141(6):1461-1474. doi: https://dx.doi.org/10.1016/j.biocon.2008.04.011. [URL] 🠔
  33. Santos-Heredia C, Andresen E, Stevenson P. 2011. Secondary seed dispersal by dung beetles in an Amazonian forest fragment of Colombia: influence of dung type and edge effect. Integr. Zool. 6(4):399-408. doi: https://dx.doi.org/10.1111/j.1749-4877.2011.00261.x. [URL] 🠔
  34. Sarmiento-Garcés R, Amat-García G. 2014. Escarabajos del género Dichotomius Hope, 1838 (Scarabaeidae: Scarabaeinae) en Colombia. Primera Edición. Bogotá: Editorial Universidad Nacional de Colombia. 🠔
  35. Silva RJ, Pelissari TD, Krinski D, Canale G, Vaz-de-Mello F. 2017. Abrupt species loss of the Amazonian dung beetle in pastures adjacent to species-rich forests. J. Insect Conserv. 21(3):487-494. doi: https://dx.doi.org/10.1007/s10841-017-9988-9. [URL] 🠔
  36. Sowig P. 1995. Habitat selection and offspring survival rate in three paracoprid dung beetles: the influence of soil type and soil moisture. Ecography 18(2):147-154. doi: https://dx.doi.org/10.1111/j.1600-0587.1995.tb00335.x. [URL] 🠔
  37. Spector S, Ayzama S. 2003. Rapid turnover and edge effects in dung beetle assemblages (Scarabaeidae) at a Bolivian neotropical forest - savanna ecotone. Biotropica 35(3):394-404. doi: https://dx.doi.org/10.1111/j.1744-7429.2003.tb00593.x. [URL] 🠔
  38. Spector S. 2006. Scarabaeinae dung beetles (Coleoptera: Scara-baeidae: Scarabaeinae) an invertebrate focal taxon for biodiversity research and conservation. Coleopts. Bull. 60(sp5):71-83. doi: http://dx.doi.org/10.1649/0010-065X(2006)60%5B71:SDBCSS%5D2.0.CO;2. [URL] 🠔
  39. STATPOINT. c2006. StatGraphics Centurion XVI. Statistical Exploration and Modeling Software Web site. [Revisada en: 17 Jul 2008]. http://www.statgraphics.com [URL] 🠔
  40. Vasconcelos HL, Bruna EM. 2012. Arthropod responses to the experimental isolation of Amazonian forest fragments. Zoologia 29(6):515-530. doi: https://dx.doi.org/10.1590/S1984-46702012000600003. [URL] 🠔
  41. Vaz de Mello F, Edmonds WD, Ocampo FC, Schoolmeesters P. 2011. A multilingual key to the genera and subgenera of the subfamily Scarabaeinae of the new world (Coleoptera: Scarabaeidae). Zootaxa 2854:1-73. doi: https://dx.doi.org/10.11646/zootaxa.2854.1.1. [URL] 🠔
  42. Villada-Bedoya S, Cultid-Medina CA, Escobar F, Guevara R, Zurita G. 2016. Edge effects on dung beetle assemblages in an Andean mosaic of forest and coffee plantations. Biotropica 49(2):195-205. doi: https://dx.doi.org/10.1111/btp.12373. [URL] 🠔
  43. Vitolo A. 2000. Clave para la identificación de los géneros y especies phaenaeinas (Coleoptera: Scarabaeidae: Corpinae: Phanaeini) de Colombia. Rev. Acad. Colomb. Cienc. 24(93):591-601. 🠔
  44. Vulinec K. 2002. Dung beetle communities and seed dispersal in primary forest and disturbed land in Amazonia. Biotropica 34(2):297-309. doi: https://dx.doi.org/10.1111/j.1744-7429.20 02.tb00541.x. [URL] 🠔
  45. Zar J. 1996. Bioestatistical analysis. Tercera edición. New Jersey: Prentice Hall. 🠔
Montes-Rodríguez JM, Ortega Molina OE, Espinosa Vélez Y. 2019. Efecto de borde en ensamblajes de escarabajos coprófagos (Coleoptera: Scarabaeidae) en fragmentos de bosque de un paisaje andino. Caldasia 41(2):380-391. doi: https://dx.doi.org/10.15446/caldasia.v41n2.70845.
JMMR y OEOM concepción, diseño, toma de datos, análisis, redacción del documento; YEV toma de datos, análisis, redacción del documento.
Los autores declaran que no tienen conflicto de intereses.