Caldasia
0366-5232
Instituto de Ciencias Naturales, Facultad de Ciencias-Universidad Nacional de Colombia
https://doi.org/10.15446/caldasia.v41n1.71307

Recibido: 10 de abril de 2018; Aceptado: 14 de enero de 2019

Estructura poblacional y patrón espacial de Brosimum alicastrum en el bosque seco de la región Caribe de Colombia

Population structure and spatial pattern of Brosimum alicastrum in the dry forest of the Caribbean region of Colombia

M. Flórez-P., 1*L. Raz, 1

Universidad Nacional de Colombia (Sede Bogotá). Facultad de Ciencias. Instituto de Ciencias Naturales, Grupo de Investigación en Memoria Biocultural y Botánica Económica. Cra. 30 # 45-03, edificio 425. Bogotá, Colombia, lraz@unal.edu.co Universidad Nacional de Colombia Universidad Nacional de Colombia Bogotá Colombia

Autor para correspondencia. monica.florezpulido@gmail.com

Licencia Creative Commons.

RESUMEN

Brosimum alicastrum es una de las especies de árboles más abundantes del bosque seco del Caribe colombiano. Esta especie produce una nuez altamente nutritiva que tiene uso local en la región y es de potencial interés comercial. El presente estudio brinda información sobre su estructura poblacional y distribución espacial en dos localidades: Dibulla (Guajira) y Santa Catalina (Bolívar), en el Caribe colombiano. Se realizaron seis parcelas en la Guajira y una parcela en Bolívar, cada una de 10 000 m2. Se censaron y midieron todos los individuos, tomando variables que permitieron clasificarlos en seis categorías de tamaño, además se georeferenciaron para poder realizar mapas que muestren la distribución espacial de los individuos. Las poblaciones de Brosimum alicastrum en las dos localidades se comportan de forma diferente. La distribución de los individuos en las diferentes categorías de tamaño permite distinguir tres tipos de patrones de estructura poblacional, los patrones tipo I y tipo II se encontraron en la Guajira y el Patrón tipo III, en Bolívar. La distribución espacial es agregada para la Guajira y uniforme para Bolívar. Los datos y registros de esta investigación no sólo pueden brindar pautas para el manejo y aprovechamiento de este recurso forestal no maderable, sino también para el manejo y conservación de bosques, especialmente el bosque seco tropical, considerado uno de los ecosistemas más frágiles del país.

Palabras clave:

Bosque seco y bosque húmedo, Caribe colombiano, conservación, ecología, recurso forestal no maderable.

ABSTRACT

Brosimum alicastrum is one of the most abundant tree species in the dry forest of the colombian Caribbean. This is highly nutritious source that has local use in the region and is of potential commercial interest. The present study provides information of its population structure and spatial distribution, in two points located in Dibulla (Guajira) and Santa Catalina (Bolívar), in the colombian Caribbean. Six plots were made in La Guajira and one plot in Bolívar, each one 10 000 m2. All the individuals were counted and measured, taking a series of variables that allowed to be classified in six size categories, and they were georeferenced to be able to make maps that show the spatial distribution of the individuals. The populations of Brosimum alicastrum in the two localities behave differently. Based on the distribution of individuals in the different size categories, three types of population structure patterns could be distinguished: Type I and Type II Patterns were found in La Guajira and Type III Pattern, in Bolívar. The spatial distribution is aggregated in La Guajira and uniform in Bolívar. The data and records from this research can be used not only to provide guidelines for the management and use of this non-timber forest resource, but also for the management and conservation of forests, especially the tropical dry forest, considered one of the most fragile ecosystems in the country.

Key words:

Colombian caribbean, conservation, dry forest and humid forest, ecology, non-timber forest resource.

INTRODUCCIÓN

Los productos forestales no maderables han sido un bien natural fundamental para la subsistencia de las comunidades rurales (Ticktin 2004). Para asegurar que estas especies importantes por los servicios que prestan, como fuente de alimento, medicina, entre otros, se mantengan para las próximas generaciones, es fundamental conocer aspectos de su ecología como la abundancia, la estructura poblacional, la producción de frutos y la distribución en el bosque (Galeano et al. 2010, Bernal y Galeano 2013).

En esta investigación se presenta una caracterización de las poblaciones de Brosimum alicastrum Sw., especie que desempeña un papel ecológico y cultural de gran importancia en el norte de Latinoamérica (Peters 1989, Aragón 1990, Yates y Ramírez-Sosa 2004, Nuñez y Dhondt 2009, Hernández-González et al. 2014).

Brosimum alicastrum Sw. tiene una distribución que va desde México hasta Brasil (Berg 2001, Vega et al. 2003). En Colombia es una de las especies más abundantes del bosque seco y bosque húmedo tropical (Carbonó de la Hoz y García 2010, Berdugo-Lattke y Rangel-Ch. 2015); se encuentra en las planicies áridas-secas en las cuencas del Caribe, formando comunidades vegetales llamadas bosques de Bauhini glabrae - Brosimetum alicastri (Rangel-Ch. 2012).

Es una de las especies sobresalientes de los bosques, puesto que alcanza las mayores alturas en el estrato arbóreo con unos 45 metros y un diámetro a la altura del pecho hasta 1,5 m (Berg 2001). Brosimum alicastrum soporta múltiples tipos de suelos y alta variación en humedad, altitud y temperatura (Meiners et al. 2009). Es un árbol tropical de sucesión tardía y de bosques primarios (Peters 1996), presenta un lento crecimiento, con abundancia de semillas las cuales toleran y pueden germinar en la sombra y sobrevivir un tiempo considerable hasta que se abre un claro en el bosque (Román et al. 2007, Hernández-González et al. 2014).

Culturalmente esta especie ha sido apropiada como elemento básico de la dieta en diferentes pueblos mesoamericanos, especialmente la civilización Maya, por sus semillas de alto valor nutricional (Peters 1983). Actualmente el consumo de la semilla sigue vigente en muchos pueblos al punto que se han desarrollado paquetes tecnológicos y productos procesados como harina (Nuñez y Dhondt 2009). En Colombia B. alicastrum es conocido como guáimaro y es un árbol con múltiples usos en el Caribe. Su uso principal también es como alimento, con el consumo de su semilla por los pobladores de la región, particularmente los grupos indígenas (Flórez Pulido 2017).

En países de Centroamérica, la semilla y las hojas son utilizadas para forraje de animales, también para proveer sombrío (Ayala y Sandoval 1995, Barreondo et al. 2010) y el látex tiene uso medicinal (Peters y Pardo-Tejeda 1982). En Colombia se tienen reportes de que este árbol tiene uso medicinal, forrajero, ornamental, maderable y es utilizado en rituales de algunos grupos indígenas del Caribe (Flórez Pulido 2017). En la actualidad B. alicastrum ha cobrado importancia como producto promisorio para programas de seguridad y soberanía alimentaria (Ramírez-Sánchez et al. 2017).

Dado el interés en el aprovechamiento de esta especie, se busca caracterizar su estructura poblacional y su distribución espacial. El modelo estructural de una población vegetal en un momento específico brinda información para determinar las características futuras que ésta adoptará (Hutchings 1986), además ofrece una guía para establecer el patrón o patrones de estructura poblacional que se esperan de otras especies, en este caso de árboles tropicales. Al encontrar desviaciones de los patrones esperados, se pueden diagnosticar problemas e introducir medidas correctivas. Por ende, los datos provenientes de estudios de estructura poblacional son claves para el diseño de estrategias de conservación, planeación y el manejo de los bienes naturales y del territorio (Villareal et al. 2004). En este caso, los resultados encontrados, pueden brindar insumos para la conservación y el manejo del bosque seco y húmedo tropical del Caribe Colombiano.

MATERIALES Y MÉTODOS

Área de estudio

La investigación se realizó entre marzo y diciembre del 2015 en el Caribe Colombiano, en dos localidades (Fig. 1), la primera en el municipio de Dibulla, en la Sierra Nevada de Santa Marta (Guajira) (11°16״21׳ Norte 73°18״32׳ Oeste) a 234 m de altitud, con una temperatura promedio de 28 °C y una precipitación anual de 1426 mm, de régimen anual bimodal (IDEAM 2005). Esta localidad incluye las aldeas indígenas de KasaKumake, Gomake y Arimaca, habitadas por las etnias Kággaba (Kogui), Ika (Arhuacos) y Wiwa (Arsario o Malayo), pueblos originarios de la región (Reichel-Dolmatoff 1996). También se incluye el corregimiento multiétnico de Palomino, donde además de las etnias mencionadas, se encuentran campesinos e indígenas de la etnia Wayúu. Los pobladores tanto indígenas como campesinos se dedican principalmente a las labores de agricultura, turismo, caza, pesca y recolección de productos forestales maderables y no maderables (Viloria de la Hoz 2005).

Área de estudio. Puntos donde se levantaron las parcelas de Brosimum alicastrum.Los números en los recuadros refieren a las parcelas de estudio descritas en la tabla 1 (Elaborado por Lorena Flórez-P.)

Figura 1: Área de estudio. Puntos donde se levantaron las parcelas de Brosimum alicastrum.Los números en los recuadros refieren a las parcelas de estudio descritas en la tabla 1 (Elaborado por Lorena Flórez-P.)

La segunda localidad se encuentra a aproximadamente 197 km en línea recta de la primera, en el municipio de Santa Catalina (Bolívar) (10°36״14׳ Norte 75°17״16׳ Oeste), a 52 m de altitud, con una temperatura promedio de 27,6 °C y una precipitación anual de 1262 mm, de régimen anual bimodal (IDEAM 2005). Sus pobladores son campesinos, cuyas principales actividades económicas son la agricultura, la pesca y la explotación de carbón.

Abundancia y estructura poblacional de Brosimum alicastrum

Se levantó información de siete parcelas de 100 m de ancho y 100 m de largo, dispuestas de forma aleatoria (Melo y Vargas 2001, Vallejo et al. 2005), de las cuales seis estaban ubicadas en Dibulla y una en Santa Catalina. El recorrido dentro de cada parcela se realizó de manera sistemática, comenzando desde una de las esquinas y avanzando en zigzag hasta llegar a la esquina diagonal en el otro extremo. La distancia entre cada recorrido fue de 1 m, y se hicieron aproximadamente 100 recorridos dentro de cada parcela. Para medir la abundancia de los individuos más pequeños en cada parcela se realizaron diez subparcelas de 1 m2, dispuestas de forma aleatoria.

Cada una de las parcelas tenía características que varían según el grado de intervención del bosque. El grado de intervención se obtuvo con base en las observaciones hechas en campo, en donde, si el terreno alrededor del bosque de la parcela estaba deforestado y se evidencian señales de quema, la intervención se clasificó como alta; si la vegetación alrededor de la parcela se encontraba entresacada, pero predominaron especies pioneras, se clasificó como una intervención media; por último, si la vegetación se encontraba con gran cantidad de especies nativas, con predominio de vegetación de gran porte, con árboles que tenían alturas superiores a los 15 m, y en donde también se encontraban especies de palmas bien establecidas, se clasificó con un grado de intervención bajo (Tabla 1).

Tabla 1: Características de las parcelas en donde se realizó el muestreo.

BCI = Bosque comunidad indígena, BPP = Bosque predio privado, A = Agricultura (Cultivos alrededor del bosque), P = Pesca, C = Caza, R = Recolección de frutos, M = Extracción de madera, Q = Quema de vegetación

En las parcelas se censaron y midieron los individuos de B. alicastrum y a cada uno de ellos se les asignó una categoría de tamaño para caracterizar la estructura poblacional, tomando como principal variable el DAP, no obstante, a los árboles también se les tomó medida de altura total y altura a la primera rama. En el caso de las plántulas sólo se les midió la altura total.

Con estas variables se definieron seis categorías de tamaño: Plántulas 1- los retoños o individuos con altura menor a 0,3 m y un DAP inferior a 5 cm; Plántulas 2-individuos con una altura que va desde los 0,3 m hasta los 1,5 m y un DAP inferior a 5 cm; Juvenil 1- individuos con una altura superior a los 1,5 m y un DAP de 5 cm (Melo y Vargas 2001); Juvenil 2- individuos en etapa pre-reproductiva con altura superior a los 1,5 m y un DAP que va desde los 10 cm hasta los 20 cm; Adulto joven-individuos con un DAP que va desde los 10 cm hasta los 20 cm (en especies tropicales arbóreas se consideran adultos a partir de un DAP de 10 cm (Zagt y Werger 1997, Palacios 2005)); Adulto productivo-individuos con DAP mayor a 20 cm. Árboles de esta última categoría suelen tener gran productividad de frutos; en la Amazonia otros árboles del género Brosimum son aprovechados a partir de esta talla (Palacios 2005).

Con las variables medidas se halló el área basal G = (π/4) * DAP2 (Palacios 2005) y el volumen de copa VC = 0,167 * D1 * D2 * (HT-HPR) * π, en donde, D1, D2 = Primer y segundo diámetro de copa; HT = Altura Total; HPR = Altura Primera Rama (Overman et al. 1990).

Para comparar si hay diferencias entre la población de B. alicastrum ubicada en la Guajira se realizó la prueba de Kruskal - Wallis, utilizando como variable las categorías de tamaño. Así mismo, se compararon las poblaciones de B. alicastrum entre las dos localidades de estudio, Santa Catalina y la Guajira, utilizando la prueba de Chi cuadrado.

Distribución espacial

Para determinar la distribución de los individuos dentro de la parcela, se calculó el coeficiente de variación del DAP, teniendo en cuenta a todos los individuos de las categorías de tamaño.

Coeficiente de variación = Varianza/media, en donde, si el coeficiente de variación arroja un valor de 1, se interpreta que los individuos tienen un patrón de distribución al azar. Si es mayor a 1, el patrón es agregado e indica que los individuos se concentran o aglomeran en parches, dejando porciones del espacio vacíos; si el resultado es menor a 1, el patrón es uniforme o regular, significando que las distancias entre individuos son aproximadamente iguales dentro de la población (Matteucci y Colma 1982, Melo y Vargas 2001).

RESULTADOS

Abundancia y estructura poblacional de Brosimum alicastrum

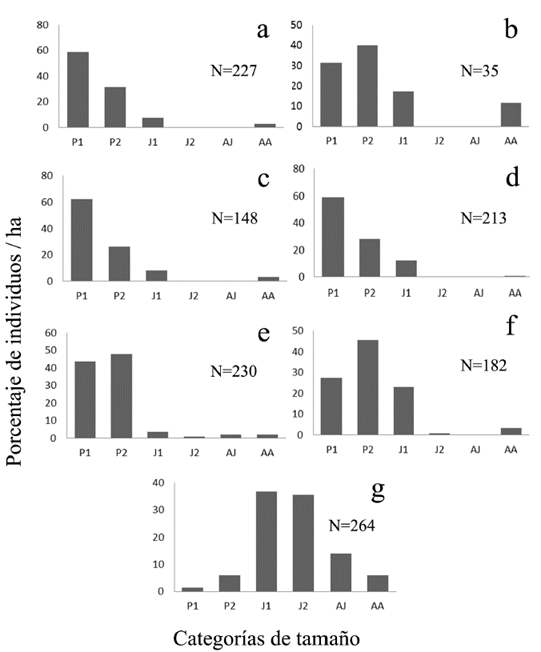
En las seis parcelas estudiadas en Dibulla, Guajira, se calculó un promedio de 2,75 individuos adultos en 1 ha. En total se registraron 1035 individuos en todas las categorías de tamaño, siendo plántulas 1 la más abundante, seguida de plántulas 2, mientras juveniles 2 es la de menor abundancia (Fig. 2). En la parcela de Santa Catalina (Bolívar), se encontraron 53 individuos adultos en 1 ha. En esta localidad se registraron 264 individuos, la categoría de tamaño más abundante fue juveniles 1, seguida de juveniles 2, y la categoría de tamaño de menor abundancia fue plántulas 1 (Fig. 2). Los valores acumulados de área basal más altos se encontraron en las parcelas 1 y 2, mientras que el mayor volumen de copa se encontró en la parcela 7 (Tabla 2).

Distribución de la densidad poblacional (Ind./ha) de Brosimum alicastrum en las categorías de tamaño. P1 = Plántula 1, P2 = Plántula 2, J1 = Juvenil 1, J2 = Juvenil 2, AJ = Adulto joven, AA = Adulto aprovechable, N=Número total de individuos. a. Parcela 1; b. Parcela 2, c. Parcela 3; d. Parcela 4, e. Parcela 5, f. Parcela 6, y g. Parcela 7.

Figura 2: Distribución de la densidad poblacional (Ind./ha) de Brosimum alicastrum en las categorías de tamaño. P1 = Plántula 1, P2 = Plántula 2, J1 = Juvenil 1, J2 = Juvenil 2, AJ = Adulto joven, AA = Adulto aprovechable, N=Número total de individuos. a. Parcela 1; b. Parcela 2, c. Parcela 3; d. Parcela 4, e. Parcela 5, f. Parcela 6, y g. Parcela 7.

Tabla 2: Área basal, volumen de copa y patrón de distribución espacial de Brosimum alicastrum en cada una de las parcelas (1ha).

La distribución de los individuos en las diferentes categorías de tamaño permite distinguir tres tipos de patrones de estructura poblacional para esta especie:

Patrón tipo I. Población con individuos en todas las categorías de tamaño, presenta abundancia de individuos en las primeras categorías, posteriormente decrecen en los juveniles y aumentan un poco en los adultos; este patrón se encontró en la parcela 5 (Fig. 2e).

Patrón tipo II. Población sin individuos en alguna de las categorías intermedias, principalmente juveniles 2 y adultos; encontrado en las parcelas 1, 2, 3, 4 y 6 (Figs. 2a-d y 2f, respectivamente).

Patrón tipo III. Población en donde la mayoría de los individuos son juveniles mientras que las otras categorías de tamaño y los adultos tienen menos individuos; encontrada en la población de Santa Catalina, Bolívar (Fig. 2g).

No se encontraron diferencias significativas entre las parcelas de la Guajira (K-W, P = 0,9), indicando que en esta localidad la población de B. alicastrum se comporta de forma homogénea y las seis parcelas son una sola población. Por otro lado, se encontraron diferencias entre las poblaciones de la localidad de la Guajira y la población de Santa Catalina (Bolívar) (X2, P <<0,01)

Disribución espacial

En las parcelas de la Guajira, se encontró un patrón de distribución espacial agregado, en el cual los individuos están agrupados dentro de un área reducida (Tabla 2). En esta localidad, la parcela 5, presentó una varianza relativa de 5,20, siendo un valor mucho más alto comparado con las otras parcelas. En la parcela de Santa Catalina, la varianza relativa era de 0,11, presentando un patrón de distribución regular (Tabla 2).

DISCUSIÓN

Los resultados muestran como las poblaciones de Brosimum alicastrum en las dos localidades se comportan de forma diferente. En la Guajira se observaron dos patrones de distribución de individuos por categoría de tamaño, el tipo I y tipo II, que se diferencian por la ausencia de individuos en categorías de tamaños principalmente juveniles, mientras que, en Santa Catalina se encontró el patrón tipo III.

El patrón tipo I, encontrado en la parcela 5, puede ser comparado con el tipo II de Zagt y Wegner (1997), que corresponde a especies pobremente competitivas, en donde la regeneración es exitosa cuando las semillas germinan en un claro de luz. El patrón tipo II reportado aquí es similar al tipo II de Bongers et al. (1988), encontrado en la selva de Los Tuxtlas para especies con categorías de tamaño discontinuas y también es similar al tipo II de Peters (1996), quien describió tres tipos de distribuciones más comunes entre los árboles tropicales. No obstante, se debe recalcar que el patrón tipo II de la presente investigación no tiene individuos en los tamaños intermedios juveniles 2 y adultos jóvenes.

El tipo II de Peters (1996) es característico de poblaciones que muestran un reclutamiento periódico intermitente, en donde el nivel de reclutamiento de semillas podría ser suficiente para mantener la población y la poca frecuencia de una categoría no causa la discontinuidad en la estructura de la población porque las semillas establecidas en el futuro podrían ocupar las otras categorías de tamaño.

Por otro lado, la población de B. alicastrum en la localidad de Santa Catalina, Bolívar, tiene una estructura poblacional tipo III, la cual es similar al tipo IV planteado por Godínez-Ibarra y López-Mata (2002), el cual describe una población con bajo porcentaje de individuos en las categorías de tamaño más pequeñas. Este porcentaje se incrementa en las categorías intermedias y disminuye en los adultos.

La ausencia de individuos en las categorías juveniles y adultos, encontradas en la Guajira, puede deberse a factores como la biología de la especie; algunos árboles tropicales que son tolerantes a la sombra y que han logrado sobrevivir en un dosel cerrado muestran un aumento significativo en el crecimiento en respuesta a mayores niveles de luz. Especies de dosel como B. alicastrum pueden exhibir este comportamiento; las semillas germinan a la sombra y las plántulas jóvenes crecen hasta producir un par de hojas, posteriormente entran en un estado de suspensión en el que exhiben poco o ningún crecimiento en altura. En este punto, muchos individuos mueren lentamente. Por el contrario, los individuos que han logrado sobrevivir cuando se forma un claro en el bosque experimentan un rápido crecimiento a causa del aumento en el nivel de luz y la temperatura del suelo (Peters 1996).

Otra causa a considerar para explicar el patrón tipo I y tipo II encontrado en la Guajira es la perturbación en el ambiente por actividades antropogénicas. Hemos observado que la especie está siendo afectada por la tala selectiva y es utilizada en la región como maderable. Los aserradores, al parecer, dejan en pie los árboles adultos con un mayor DAP, que no sólo tienen un gran porte, sino también son muy fructíferos y la mayoría de las veces están ubicados cerca de las viviendas. Los árboles talados son los más jóvenes que han alcanzado una altura adecuada para diversos usos (Observación personal).

El uso de B. alicastrum como árbol maderable es relativamente nuevo y se debe a que otros árboles tradicionalmente considerados más finos ahora son escasos o ya no se encuentran en la región (observación personal). Su uso como madera ha crecido al punto de que en los últimos años este árbol ha sido incluido en la lista de maderas de Colombia (WWF 2013).

El efecto de la tala de árboles puede verse en las abundancias registradas, las cuales fueron menores a las reportadas por Carbonó de la Hoz y García (2010), en la localidad Camino a Cinto del Parque Nacional Natural Tayrona, en Santa Marta. Los autores midieron individuos con un DAP mayor a 2,5 cm, y encontraron 5/0,1 ha, mientras que en la presente investigación solo se registraron 1,2 individuos/0,1 ha.

A pesar de la tala de individuos de B. alicastrum el recurso, principalmente el fruto, todavía se encuentra disponible en abundancia por la gran producción que un solo árbol puede dar (300 a 350 kg de semilla) (Vega et al. 1981, Niembro 2003), brindando a las comunidades la posibilidad de tener una oferta alimenticia con gran valor nutritivo que complementa la dieta (Muller 2011) y contribuye a la seguridad y soberanía alimentaria de los habitantes de este territorio.

El patrón tipo III, encontrado en Santa Catalina (Bolívar), puede deberse a varias razones, entre ellas la sequía que se presentó en la región, producida por un fenómeno de variabilidad climática conocida como el niño-oscilación del sur, ENSO por sus siglas en inglés (Montealegre 2014), considerado uno de los más fuertes y largos que se ha registrado en la historia con una temperatura de 31,2 °C y una precipitación de 461 mm, para el 2015 (IDEAM 2015). Aunque este fenómeno afectó toda la región Caribe, en Santa Catalina las fuentes hídricas se encuentran un poco más alejadas, por lo que se considera que para esta localidad tuvo mayor influencia, sin desconocer que también influyó en las poblaciones de Dibulla.

Este fenómeno tiene incidencia en el comportamiento fenológico de floración y fructificación de los árboles (Jordano 2000). En el trópico las especies vegetales tienen periodos de producción de frutos que suelen coincidir con la época seca, mientras la floración se asocia a la época de lluvias (Van Dulmen 2001, Stevenson 2004). Sin embargo, la falta de lluvias por un periodo prolongado conlleva a que el árbol no pueda producir frutos, invirtiendo sus recursos en la supervivencia individual, o que a pesar de que la semilla germine, no pueda reclutar individuos durante los periodos de sequía.

Diversas investigaciones han mostrado que la fase de mayor riesgo en el ciclo de vida de B. alicastrum es el establecimiento de la plántula, puesto que por ser una especie umbrófila, requiere gran cantidad de sombra y agua por lo menos durante los dos primeros años de vida (Román et al. 2007, Hernández-González et al. 2014). Es necesario aclarar que, aunque esta especie es umbrófila, requiere cierto nivel de luz para poder germinar, si las plántulas crecen en lugares demasiado oscuros pueden tener una alta mortalidad debido a que sobrepasan el umbral de tolerancia (Montgomery y Chazdon 2002).

Otro factor a tener en cuenta es la composición de especies de dosel, dado que estudios como el de Sánchez-Velázquez et al. (2004) sugieren que esto es clave en el reclutamiento de la semilla de B. alicastrum, que al ser una especie de sucesión tardía está asociada a plantas niñeras o facilitadoras, que crean diferentes matices en el dosel, permitiendo la entrada de luz.

Estas plantas niñeras son aquellas que tienen un efecto positivo sobre el crecimiento, supervivencia y desarrollo, al mejorar el entorno existente, bien sea porque, pueden fijar nitrógeno u otro elemento, mejorando las condiciones de suelo, o porque proveen sombra, atraen polinizadores, inciden en la humedad ambiente, etc. (Vargas 2011). En la localidad del estudio es posible que el dosel no fuera tan heterogéneo y hubiera pocas niñeras que facilitaran el crecimiento de las plántulas.

Otra explicación a la baja cantidad de plántulas en Santa Catalina puede ser la depredación. En este bosque había una gran cantidad de individuos adultos que probablemente fructifican y expulsan la semilla en un mismo periodo, atrayendo principalmente a depredadores que responden a la densidad del fruto (Janzen 1970). Así mismo, estudios como el de (Burkey 1994) han demostrado que dentro de los bosques la depredación de semillas de B. alicastrum es mayor que en los bordes del bosque, por lo que se recomienda tener en cuenta el efecto borde a la hora de establecer parcelas para estudios de estructura poblacional.

El siguiente aspecto a tratar es el patrón de distribución espacial agregado de B. alicastrum en las parcelas de la Guajira. Este resultado coincide con investigaciones sobre esta especie realizadas en México y Costa Rica (Cascante y Estrada 2001) y se explicaría pues muchas semillas caen debajo del árbol parental y germinan allí mismo, por lo que se tienen individuos de las categorías más pequeñas aglomeradas alrededor de un árbol parental. No obstante, muchos no llegarán a la categoría adulta puesto que las plántulas más cercanas a su progenitor suelen tener tasas más altas de mortalidad que aquellas lejanas (Janzen 1970, Connell 1971), debido a herbivoría y patógenos provenientes del progenitor (Ballina-Gómez et al. 2008). Otros factores que propician la agregación son los claros de luz en el bosque que permiten el establecimiento de las plántulas, las condiciones topográficas del terreno, y la dispersión de la semilla (Martínez-Ramos y Álvarez-Buylla 1995), bien sea porque ellas caen cerca de la planta progenitora o porque las heces de los depredadores portan numerosas semillas.

En cuanto a la parcela de Santa Catalina (Bolívar), se observa un patrón de distribución regular, es decir que los individuos se dispersan uniformemente en el área. Este patrón es el menos común en árboles tropicales y está relacionada con varios factores como la alta densidad de la especie en la zona, las condiciones ambientales homogéneas en el bosque y la baja competencia intra-específica porque encuentran suficientes recursos (Okuda et al. 1997). Investigación como la de Salinas-Melgoza (2002) demuestra como en poblaciones con abundantes plántulas, predomina el patrón agregado. No obstante, cuando la mortalidad de las plántulas llega a ser tan alta, este patrón cambia y la distribución se vuelve uniforme (Hubbell 1979).

Los datos de esta investigación brindan pautas para formular estrategias para el manejo y aprovechamiento sustentable de B. alicastrum, es clave proteger los bosques en donde se encuentran individuos en todas las clases de tamaño para garantizar la producción constante del fruto. Así mismo, vincular a los pobladores de la zona, quienes son actores claves en la conservación no sólo de esta especie sino del ecosistema. También se recomienda realizar más investigaciones sobre la dinámica poblacional de la especie, su interacción con la fauna y en general más trabajos de ecología para entender mejor como se está comportando la especie en la región.

PARTICIPACIÓN DE AUTORES

MFP concepción de la propuesta, co-diseñó el experimento, realizó la toma de datos, los análisis estadísticos, y co-escribió el manuscrito; LR co- diseño la investigación, realizó los análisis de datos y la corrección final del manuscrito

Acknowledgements

AGRADECIMIENTOS

Agradecemos especialmente a las comunidades campesinas e indígenas de: Los Límites, Palomino, Kasakumake, Gomake y Arimaca, y de forma particular a Ninfa Fuentes, Pedro Garavito, Edgar Rueda, Jeremías Pérez, Mary Villafañe, Julián Calvo, Benancio y Lino Olivares, quienes de manera amable nos brindaron sus saberes para poder hacer realidad este trabajo. A Lorena Flórez por realizar la cartografía. A Gloria Galeano (Q.E.P.D.) por su apoyo. A la fundación IDEA WILD por la donación de material para trabajo de campo. A la fundación Envolvert por brindarnos contactos.

Al Instituto de Ciencias Naturales de la Universidad Nacional de Colombia por la financiación. Por último, a Celeste Montilla, Fiorella Delgado, Juan Martínez, César Rincón, Álvaro Flórez, Magaly Pulido y Esteban Flórez por su colaboración y acompañamiento.

LITERATURA CITADA

  1. Aragón UR. 1990. Caracterización preliminar del Ramón (Brosimum alicastrum Swartz), in situ, en el bosque muy húmedo sub tropical de Peten. [Tesis]. [Guatemala]: Facultad de Agronomía. Universidad de San Carlos de Guatemala. 🠔
  2. Ayala A, Sandoval SM. 1995. Establecimiento y producción temprana de forraje de Ramón (Brosimum alicastrum Swartz), en plantaciones a altas densidades en el norte de Yucatán, México. Agrofor. Am. 2(7):10-16. 🠔
  3. Ballina-Gómez HS, Iriarte-Vivar S, Orellana R, Santiago LS. 2008. Crecimiento, supervivencia y herbivoría de plántulas de Brosimum alicastrum (Moraceae), una especie del sotobosque neotropical. Rev. Biol. Trop. 56(4):2055-2067. 🠔
  4. Barreondo M, Estrada E, Reyes M, Cabrera M, Quintanilla A, Soto R, Conde J. 2010. Sistematización del aprovechamiento sostenible de la harina de la semilla del árbol de ramón, Brosimum alicastrum, en consenso con la Asociación Muralla de León en Macanché, Petén. [Tesis]. [Guatemala]: Universidad del Valle del Guatemala. 🠔
  5. Berdugo-Lattke MLB, Rangel-Ch JO. 2015. Composición florística del bosque tropical seco del santuario "Los Besotes" y fenología de especies arbóreas dominantes (Valledupar, cesar, Colombia). Colomb. For. 18(1):87-103. doi: 10.14483/udistrital.jour.colomb.for.2015.1.a05. [DOI] 🠔
  6. Bernal R, Galeano G, editores. 2013. Cosechar sin destruir. Aprovechamiento sostenible de palmas colombianas. Bogotá: Facultad de Ciencias, Instituto de Ciencias Naturales. Universidad Nacional de Colombia. 🠔
  7. Berg CC. 2001. Flora Neotropica Monograph 83: Moreae, Artocarpeae, and Dorstenia (Moraceae) with Introductions to the Family and Ficus and with Additions and Corrections to Flora Neotropica. New York: The New York Botanical Garden Bronx. 🠔
  8. Bongers F, Popma J, Meave del Castillo J, Carabias J. 1988. Structure and floristic composition of the lowland rain forest of Los Tuxtlas, Mexico. Vegetatio 74(1):55-80. doi: 10.1007/BF00045614. [DOI] 🠔
  9. Burkey TV. 1994. Tropical tree species diversity: a test of the Janzen-Connell model. Oecologia 97(4):533-540. doi: 10.1007/BF00325893. [DOI] 🠔
  10. Carbonó de la Hoz E, García H. 2010. La vegetación terrestre en la Ensenada de Neguanje, Parque Nacional Natural Tayrona (Magdalena, Colombia). Caldasia 32(2):235-256. 🠔
  11. Cascante AM, Estrada A. 2001. Composición florística y estructura de un bosque húmedo premontano en el Valle Central de Costa Rica. Rev. Biol. Trop. 49(1):213-225. 🠔
  12. Connell JH. 1971. On the role of natural enemies in preventing competitive exclusion in some marine animals and in rain forest trees. En: Den Boer PJ, Gradwell GR, editores. Dynamics of numbers in populations. Pudoc, Wageningen. Netherlands: Proceedings of the Advanced Study Institute. p. 298-312. 🠔
  13. Flórez Pulido M. 2017. Uso y manejo de Brosimum alicastrum sw en una comunidad indígena de la Sierra Nevada de Santa Marta-Colombia. [Tesis de Maestría]. [Bogotá]: Facultad de Ciencias. Universidad Nacional de Colombia. 🠔
  14. Galeano G, Bernal R, Isaza C, Navarro J, García N, Vallejo MI, Torres C. 2010. Evaluación de la sostenibilidad del manejo de palmas. Ecol. Boliv. 45(3):85-101. 🠔
  15. Godínez-Ibarra O, López-Mata L. 2002. Estructura, composición, riqueza y diversidad de árboles en tres muestras de selva mediana subperennifolia. An. Inst. Biol. 73(2):283-314. 🠔
  16. Hernández-González O, Vergara-Yoisura S, Larqué-Saavedra A. 2014. Primeras etapas de crecimiento de Brosimum alicastrum Sw. en Yucatán. Rev. Mex. de Cienc. Forestales. 6(27):38-48. 🠔
  17. Hubbell SP. 1979. Tree dispersion, abundance, and diversity in a tropical dry forest. Science 203(4387):1299-1309. doi: 10.1126/science.203.4387.1299. [DOI] 🠔
  18. Hutchings MJ. 1986. The structure of plant Populations. En: Crawley MJ, editor. Plant Ecology. New York: Blackwell Scientific Publications. Oxford. p. 97-136. 🠔
  19. Janzen DH. 1970. Herbivores and the number of tree species in tropical forests. Am. Nat. 104(940):501-528. 🠔
  20. [IDEAM] Instituto de Hidrología, Meteorología y Estudios Ambientales. 2005. Atlas Climatológico de Colombia. Bogotá: Imprenta nacional de Colombia. 🠔
  21. [IDEAM] Instituto de Hidrología, Meteorología y Estudios Ambientales. 2015. Datos Abiertos. Gobierno digital Colombia. Catálogo Nacional de estaciones del IDEAM. 🠔
  22. Jordano P. 2000. Fruits and frugivory. En: Fenner M, editor. Seeds: the ecology of regeneration in plant communities. Segunda edición. Wallingford, UK: CABI International. p. 125-166. 🠔
  23. Martínez-Ramos M, Alvarez-Buylla ER. 1995. Seed dispersal and patch dynamics in tropical rain forests: a demographic approach. Ecoscience 2(3):223-229. doi: 10.1080/11956860.1995.11682287. [DOI] 🠔
  24. Matteucci S, Colma A. 1982. Metodología para el estudio de la vegetación. Washington, D.C: Secretaría General de la Organización de los Estados Americanos. Programa regional de desarrollo Científico y Tecnológico. 🠔
  25. Meiners M, Sánchez-Garduño C, De Blois S. 2009. El ramón: Fruto de nuestra cultura y raíz para la conservación. CONABIO. Biodiversitas 87:7-10. 🠔
  26. Melo OA, Vargas R. 2001. Evaluación ecológica y silvicultural de ecosistemas boscosos. Ibagué: Universidad del Tolima, CRQ, CARDER, CORPOCALDAS, CORTOLIMA. 🠔
  27. Montgomery RA, Chazdon RL. 2002. Light gradient partitioning by tropical tree seedlings in the absence of canopy gaps. Oecologia 131(2):165-174. doi: 10.1007/s00442-002-0872-1. [DOI] 🠔
  28. Montealegre JE. 2014. Actualización del componente meteorológico del modelo institucional del IDEAM sobre el efecto climático de los fenómenos El Niño y La Niña en Colombia, como insumo para el Atlas Climatológico. Informe Final. Bogotá: Instituto de Hidrología, Meteorología y Estudios Ambientales (IDEAM). 🠔
  29. Muller E. 2011. Los Bosques para una Mejor Nutrición y Seguridad Alimentaria. Roma: Organización de las Naciones Unidas para la Alimentación y la Agricultura -FAO. 🠔
  30. Niembro RA. 2003. Early growth or Ramon (Brosimum alicastrum Sw.) and relationships between seed weight and seedling size. Seed Technology 25(2):104-109. 🠔
  31. Nuñez C, Dhondt M. 2009. Sistematización de experiencias de la producción, transformación y comercialización de la semilla del árbol de Masica. Honduras: Asociación nacional de fomento a la agricultura ecológica (ANAFAE). Proyecto Heifer internacional (PHI). 🠔
  32. Okuda T, Kachi N, Yap SK, Manokaran N. 1997. Tree distribution pattern and fate of juveniles in a lowland tropical rain forest-implications for regeneration and maintenance of species diversity. Plant ecol. 131(2):155-171. doi: 10.1023/A:1009727109920. [DOI] 🠔
  33. Overman JPM, Saldarriaga JP, Duivenvoorden JF. 1990. Estimación de la biomasa aérea en el bosque del medio Caquetá, Colombia. Col. Amaz. 4(2):135-147. 🠔
  34. Palacios P. 2005. Patrones estructurales y distribución de poblaciones de Brosimum rubescens Taub. en relación con la variabilidad fisiográfica en la ribera colombiana del rio amazonas. [Tesis de Grado]. [Leticia, Colombia]: Universidad Nacional de Colombia. Sede Leticia. 🠔
  35. Peters CM. 1983. Observations of Maya subsistence and ecology of a tropical tree. Am. Antiq. 48(2):610-615. doi: 10.2307/280569. [DOI] 🠔
  36. Peters CM. 1989. Reproduction, growth and the population dynamics of Brosimum alicastrum Sw. in a moist tropical forest of central Veracruz, Mexico. [Tesis de Grado]. [Estados Unidos]: Yale University. 🠔
  37. Peters CM. 1996. The ecology and management of non-timber forest resources. Washington, D.C: The World Bank. 🠔
  38. Peters CM, Pardo-Tejeda E. 1982. Brosimum alicastrum (Moraceae): Uses and Potential in México. Econ. Bot. 36(2):166-175. doi: 10.1007/BF02858712. [DOI] 🠔
  39. Ramírez-Sánchez S, Ibáñez-Vázquez D, Gutiérrez-Peña M, Ortega-Fuentes MS, García-Ponce LL, Larqué-Saavedra A. 2017. El Ramón (Brosimum alicastrum Swartz) una alternativa para la seguridad alimentaria en México. A.P. 10(1):80-83. 🠔
  40. Rangel-Ch. JO. 2012. Colombia Diversidad Biótica. Volumen XII. La región Caribe de Colombia. Bogotá: Instituto de Ciencias Naturales. Universidad Nacional de Colombia. 🠔
  41. Reichel-Dolmatoff G. 1996. Los Kogi de Sierra Nevada. Palma Mallorca: Editorial Bitzoc. 🠔
  42. Román F, Levy S, Perales H, Ramírez N, Douterlungne D, López S. 2007. Establecimiento de seis especies arbóreas nativas en un pastizal degradado en la selva Lacandona, Chiapas, México. Ecol. apl. 6(1,2):1-8. 🠔
  43. Salinas-Melgoza M. 2002. Aspectos Ecológicos de Patrones Espaciales de Árboles Tropicales, Caracteres de Historia Natural y Tipo de Hábitat en una Selva Húmeda Neotropical. [Tesis]. [Morelia]: Instituto de Ecología, UNAM. 🠔
  44. Sánchez-Velázquez LR, Quintero-Gradilla S, Aragón-Cruz F, Pineda-López MR. 2004. Nurses for Brosimum alicastrum reintroduction in secondary tropical dry forest. For. Ecol. Manag. 198(1):401-404. doi: 10.1016/j.foreco.2004.02.064. [DOI] 🠔
  45. Stevenson PR. 2004. Phenological patterns of woody vegetation al Tinigua Park, Colombia: Methodological comparisons with emphasis on fruit production. Caldasia 26(1):125-150. 🠔
  46. Ticktin T. 2004. The Ecological Implications of Harvesting Non-Timber Forest Products. J. Appl. Ecol. 41(1):11-21. doi: 10.1111/j.1365-2664.2004.00859.x. [DOI] 🠔
  47. Vallejo MI, Londoño AC, López R, Galeano G, Álvarez E, Devia W. 2005. Establecimiento de parcelas permanentes en bosques de Colombia. Volumen I. Serie: Métodos para estudios ecológicos a largo plazo. Bogotá: Instituto de Investigación de Recursos Biológicos Alexander von Humboldt. 🠔
  48. Van Dulmen A. 2001. Pollination and phenology of flowers in the canopy of two contrasting rain forest types in Amazonia, Colombia. En: Linsenmair KE, Davis AJ, Fiala B, Speight, MR, editores. Tropical forest canopies: ecology and management. Dordrecht: Springer. p. 73-85. doi: 10.1007/978-94-017-3606-0_7. [DOI] 🠔
  49. Vargas O. 2011. Restauración ecológica: Biodiversidad y conservación. Acta biol. Colomb. 16(2):221-246. 🠔
  50. Vega EC, Patiño FV, Rodríguez AA. 1981. Viabilidad de semillas en 72 especies forestales tropicales almacenadas al medio ambiente. Tomo I. Memoria de la Reunión sobre Semillas forestales tropicales. México D.F: Instituto Nacional de Investigaciones Forestales, SARHSFF. 🠔
  51. Vega A, Valdez J, Cetina V. 2003. Zonas ecológicas de Brosimum alicastrum sw. en la costa pacifico mexicano. Madera Bosques 9(1):27-53. 🠔
  52. Viloria de la Hoz J. 2005. Sierra Nevada de Santa Marta: Economía de sus Recursos Naturales. Cartagena: Banco de la Republica. Centro de estudios económicos regionales (CEER). 🠔
  53. Villareal HM, Álvarez M, Córdoba-Córdoba S, Escobar F, Fagua G, Gast F, Mendoza H, Ospina M, Umaña AM. 2004. Manual de métodos para el desarrollo de inventarios de biodiversidad. Bogotá: Instituto de Investigación de Recursos Biológicos Alexander von Humboldt , Programa de Inventario de la Biodiversidad, Grupo de exploraciones y monitoreo ambiental GEMA. 🠔
  54. [WWF] World Wildlife Fund. 2013. Maderas de Colombia. Programa Subregional Amazonas Norte & Chocó Darién. Amazonas, Colombia: WWF-Colombia. 🠔
  55. Yates S, Ramírez-Sosa CR. 2004. Ethnobotanical knowledge or Brosimum alicastrum (Moraceae) among urban and rural el salvadorian adolescents. Econ. Bot. 58(1):72-77. doi: 10.1663/0013-0001(2004)058%5B0072:EKOBA M%5D2.0.CO;2. [DOI] 🠔
  56. Zagt RJ, Werner JAA. 1997. Community structure and demography of primary species in tropical forest. En: Zagt RJ, editor. Tree demography in the tropical rain forest in Guyana. Netherlands: Tropenbos-Guyana Series 3. Tropenbos International. p. 21-38. 🠔
Flórez-P. M, Raz L. 2019. Estructura poblacional y patrón espacial de Brosimum alicastrum en el bosque seco de la región Caribe de Colombia. Caldasia 41(1):152-164. doi: 10.15446/caldasia.v41n1.71307.
Las autoras declaran que no tienen conflicto de intereses.