Caldasia
0366-5232
Instituto de Ciencias Naturales, Facultad de Ciencias-Universidad Nacional de Colombia
https://doi.org/10.15446/caldasia.v41n1.72107

Recibido: 31 de mayo de 2018; Aceptado: 15 de noviembre de 2018

Estacionalidad del ensamblaje de escarabajos coprófagos (Coleóptera: Scarabaeinae) del jardín botánico de Cartagena "Guillermo Piñeres" Bolívar-Colombia

Seasonality of the assemblage of dung beetles (Coleoptera: Scarabaeinae) of the botanical garden of Cartagena "Guillermo Piñeres" Bolívar-Colombia

C. Ortega-Echeverría, 1G. Navas S, 1J. Ari Noriega, 23*

Semillero de Investigación Hidrobiología, Programa de Biología, Facultad de Ciencias Exactas y Naturales, Universidad de Cartagena, Cartagena, Colombia. cortegae@unicartagena.edu.co, gnavass@unicartagena.edu.co Universidad de Cartagena Facultad de Ciencias Exactas y Naturales Universidad de Cartagena Colombia
Laboratorio de Zoología y Ecología Acuática - LAZOEA, Universidad de Los Andes, Bogotá, Colombia. jnorieg@hotmail.com Universidad de los Andes Universidad de Los Andes Bogotá Colombia
Departamento de Biogeografia y Cambio Global, Museo Nacional de Ciencias Naturales (CSIC), Madrid, España. Departamento de Biogeografia y Cambio Global Museo Nacional de Ciencias Naturales (CSIC) Madrid España

Autor para correspondencia. jnorieg@hotmail.com

Licencia Creative Commons.

RESUMEN

En Colombia el Bosque Seco Tropical (bs-T) ha sufrido una drástica reducción debido al incremento de la frontera agrícola y ganadera que ha fragmentado este ecosistema. Los escarabajos coprófagos (Coleoptera: Scarabaeinae) se consideran un excelente grupo para evaluar los efectos de las perturbaciones antrópicas debido a su carácter bioindicador, sin embargo, el conocimiento sobre la estacionalidad y diversidad de este grupo en los bs-T del departamento de Bolívar es escaso. Para llenar este vacío, se realizó un inventario y análisis de la dinámica estacional del ensamblaje de escarabajos en el bs-T del jardín botánico de Cartagena. Se realizaron cuatro muestreos (noviembre 2015, enero, mayo y septiembre 2016) cubriendo las variaciones estacionales y tomando datos de precipitación y temperatura. Las capturas se realizaron con trampas de caída cebadas con excremento y carroña. Se capturaron 3550 individuos agrupados en 18 especies y diez géneros. La mayor abundancia y menor riqueza se registró en enero (época seca). Los grupos funcionales de los pequeños telecópridos y paracópridos fueron los más abundantes en todos los muestreos. Se registraron diferencias significativas entre la abundancia y la riqueza entre estaciones. Se encontró una regresión negativa entre la precipitación y la riqueza (r = -0,370) y la abundancia (r = -0,381). Se propone que la estacionalidad del bs-T tiene un potencial efecto en la abundancia, riqueza y estructura del ensamblaje de escarabajos coprófagos.

Palabras clave:

Bosque Seco Tropical, costa Caribe, dinámica estacional, diversidad, Scarabaeidae.

ABSTRACT

Dry Tropical Forests (DTF) in Colombia are in drastic decline due to the expansion of areas used for agricultural and livestock exploitation that have led to the fragmentation of this ecosystem. Given their status as bioindicators, dung beetles (Coleoptera: Scarabaeinae) are considered an excellent group to evaluate the effects of anthropogenic disturbances, however, knowledge on the seasonality and diversity of this group within dry forests is scarce for the Bolívar department. In view of filling this information gap, an inventory and seasonal dynamics analysis were performed on the dung beetle assemblage at the Cartagena Botanical Garden. Four surveys (November 2015, January, May, and September 2016) were carried out to cover seasonal variations and precipitation and temperature measurements were taken. Sampling was accomplished using pitfall traps baited with excrement and carrion. A total of 3550 individuals were captured corresponding to 18 species and ten genera. The highest abundance and lowest species richness were registered in January (dry season). In all samplings, the most abundant functional groups were those of the small telecoprids and paracoprids. Significant differences were registered in abundance and richness between seasons. A significant negative regression was observed between precipitation and richness (r = -0.370) and abundance (r = -0.381). The seasonality of the dry forest exhibited a potential effect on dung beetle assemblage's abundance, richness, and structure.

Key words:

Caribbean coast, diversity, Dry Tropical Forest, Scarabaeidae, seasonal dynamics.

INTRODUCCIÓN

El Bosque Seco Tropical (bs-T) se considera una formación vegetal con cobertura boscosa continua, distribuida entre los 0 y los 1000 m de altitud, en áreas con condiciones marcadamente estacionales con uno o dos periodos de sequía al año, con temperaturas superiores a los 24 °C y precipitaciones entre los 700 y 2000 mm anuales (IAvH 1997, Pizano et al. 2014). El bs-T corresponde a cerca del 22 % de las áreas de bosque de Sur América, siendo considerado uno de los ecosistemas más amenazados del planeta (Murphy y Lugo 1986, IAvH 1998, Miles et al. 2006). En Colombia se estima que la extensión original correspondía a cerca de 80 000 km2 y en la actualidad queda menos del 3 % (Etter 1993, IAvH 1998, Díaz 2006). Esta transformación ha generado zonas urbanas y paisajes dominados por sistemas agropastoriles, donde las prácticas agrícolas y ganaderas son las causantes de su simplificación (Arellano et al. 2008, Giraldo et al. 2011, Neita y Escobar 2012, Sánchez et al. 2016, de Farias y Hernández 2017).

Una de las estrategias más utilizadas para evaluar de manera rápida y eficiente el efecto de las perturbaciones de carácter antrópico es el uso de bioindicadores (McGeoch et al. 2002, Spector 2006, Otavo et al. 2013). Los escarabajos coprófagos (Coleoptera: Scarabaeidae: Scarabaeinae) se consideran un eficiente grupo indicador para evaluar estos efectos debido a su alta sensibilidad a los cambios ambientales (Halffter y Favila 1993). Adicionalmente, son esenciales para el funcionamiento de los ecosistemas al participar activamente en la descomposición del excremento, remoción y aireación del suelo, la dispersión secundaria de semillas y el control de parásitos (Nichols et al. 2008). A nivel mundial se conocen más de 7000 especies de Scarabaeinae agrupadas en 250 géneros (Schoolmeesters c2018). Para Colombia, Noriega et al. (2015) reconocen 305 especies agrupadas en 40 géneros, registradas en 386 localidades, de las cuales 16 corresponden a áreas de bs-T y de las cuales doce se ubican en la Costa Caribe (González-Alvarado y Medina 2015). Noriega et al. (2015) señalan que el departamento de Bolívar presenta un nivel de muestreo intermedio-bajo, con solo ocho localidades muestreadas y con extensas áreas sin ningún registro. En otras regiones del Caribe colombiano con bs-T se han encontrado entre 14 y 30 especies (IAvH 1998, Jiménez-Ferbans et al. 2008, Martínez et al. 2010, Solís et al. 2011, Rangel-Acosta et al. 2012), mientras que para Bolívar Noriega et al. (2013) señalan registros para 38 especies de Scarabaeinae.

En ambientes tropicales con regímenes pluviométricos marcados de lluvias y sequías se han registrado fluctuaciones de la riqueza y abundancia de escarabajos coprófagos entre una temporada y otra, donde el mayor pico se presenta al final de la temporada de lluvias (Andresen 2005, Andrade et al. 2011, Noriega et al. 2016). Se ha postulado que dichas fluctuaciones están influenciadas por la precipitación ya que genera una mayor oferta de recursos a nivel cualitativo y cuantitativo (Navarro et al. 2011), y también por la textura del suelo, la humedad y la estructura del hábitat que generan condiciones más apropiadas (Andresen 2005, Liberal et al. 2011). Adicionalmente, es importante mencionar que en este sentido no se han realizado trabajos en zonas semi-rurales del departamento de Bolívar evaluando el efecto de la estacionalidad en la estructura de los ensamblajes.

El poco conocimiento de la diversidad y estacionalidad de los escarabajos coprófagos en el departamento de Bolívar, sobre todo en los remanentes de bs-T, limita su uso como bioindicadores en estudios ecológicos y de impacto ambiental en la región. Por esta razón es importante realizar estudios con el fin de conocer a fondo su diversidad, estacionalidad y ampliar el inventario de los Scarabaeinae en los bs-T de este departamento. Uno de los remanentes de bs-T en mejor estado de conservación del departamento de Bolívar, y que a su vez está ubicado en área de influencia urbana, es el que se encuentra en el jardín botánico "Guillermo Piñeres" de Cartagena. En este trabajo se presenta el estudio de la diversidad y estacionalidad del ensamblaje de Scarabaeinae en un remanente de bs-T, buscando responder la siguiente pregunta de investigación: ¿Cuál es el patrón estacional del ensamblaje de escarabajos coprófagos en el Jardín Botánico de Cartagena? Nuestra hipótesis de estudio es que el ensamblaje de escarabajos coprófagos evidencia un patrón estacional marcado asociado al pico de lluvias afectando la abundancia, riqueza y estructura del mismo. Adicionalmente, exploramos las preferencias tróficas de cada una de las especies del ensamblaje.

MATERIALES Y MÉTODOS

Área de estudio

El jardín botánico "Guillermo Piñeres" está ubicado en área rural de Turbaco, en el sector Matute, departamento de Bolívar - Colombia (10°21' Norte, 75°25' Oeste) a 134 m de altitud (Fig. 1). Hace parte del zonobioma Cinturón Árido Pericaribeño, el cual presenta un régimen pluviométrico cuasi-bimodal, con un período seco definido entre diciembre y marzo, un período lluvioso entre agosto y noviembre con las mayores precipitaciones en el mes de octubre, y un periodo de transición entre abril y julio; la temporada de baja precipitación en los meses de junio y julio es llamada comúnmente Veranillo de San Juan (Jaramillo-Robledo y Chaves-Córdoba 2000, Pabón et al. 2001). El jardín fue creado en 1978 para el estudio y conservación de la flora y fauna de la región Caribe Colombiana, abarcando nueve hectáreas, cinco de ellas con colecciones de plantas y cuatro con bs-T nativo protegido. El área de bosque presenta la mayor parte de su cobertura original y otra parte como formación secundaria, con algunos elementos de Bosque Húmedo Tropical, Bosque Tropical Semicaducifolio, Bosque de Galería y Bosque Ripario, debido a la presencia de cuerpos de agua permanentes. Entre las especies vegetales dominantes se encuentran: Cavanillesia platanifolia (Humb. & Bonpl.) Kunth (macondo), Bursera simaruba (L.) Sarg. 1890 (indio en cuero), Astrocaryum malybo H.Karst. (palma espinosa), Swietenia macrophylla King (caoba), Cedrela odorata L. (cedro), Anacardium excelsum L. (caracolí), Ficus maxima Mill. (higuerón), Aspidosperma desmanthum Benth. ex Müll. Arg. (carreto), Cecropia peltata Linnaeus, 1759 (yarumo) y Nectandra turbacensis Nees (laurel amarillo) y a nivel faunístico los componentes más comunes son: Alouatta seniculus (Linnaeus, 1766) (monos aulladores), Bradypus variegatus Schinz, 1825 (perezoso), Dasyprocta punctata (Gray, 1842) (agouti americano), Tayassu tajacu (Linnaeus, 1758) (pecari), Sciurus granatensis Humboldt, 1811 (ardilla roja), además de varias especies de aves, reptiles y anfibios.

Localización de la zona de estudio, jardín botánico de Cartagena "Guillermo Piñeres", Bolívar, Colombia. ♦ = ubicación de la ciudad de Cartagena.  = ubicación del jardín botánico. Áreas sombreadas de gris más oscuro indican las zonas boscosas.

Figura 1: Localización de la zona de estudio, jardín botánico de Cartagena "Guillermo Piñeres", Bolívar, Colombia. ♦ = ubicación de la ciudad de Cartagena. = ubicación del jardín botánico. Áreas sombreadas de gris más oscuro indican las zonas boscosas.

Diseño de muestreo y trabajo de laboratorio

Se hicieron muestreos en noviembre de 2015 y enero, mayo y septiembre de 2016. En cada uno de ellos se realizó un transecto lineal con catorce trampas de caída cebadas con excremento humano (Noriega y Fagua 2009). Adicionalmente, en noviembre se colocaron cuatro trampas cebadas con carne descompuesta, dos de res y dos de pollo, y en mayo y septiembre diez adicionales, cinco de res y cinco de pollo. Las trampas estuvieron separadas 50 m entre sí (Larsen y Forsyth 2005) y permanecieron activas por 48 horas. También se tomaron datos de precipitación en campo, los cuales fueron complementados con los datos de temperatura (2015-2016) de la estación del IDEAM (29035170 SINCERÍN), ubicada en Arjona, Bolívar. Los ejemplares capturados se preservaron en etanol al 90 % y se montó una colección de referencia. Se extrajo el genital de los machos para facilitar la identificación infragenérica, la cual se llevó a cabo utilizando claves taxonómicas a nivel de especie (Solis y Kohlmann 2004, González et al. 2009, Camero 2010, Vaz-de-Mello et al. 2011, Edmonds y Zidek 2012, Delgado y Curoe 2014, González-Alvarado y Vaz-de-Mello 2014), comparación con material de colecciones y la ayuda de expertos. Para la ordenación taxonómica supragenérica se siguió a Tarasov y Dimitrov (2016). Los ejemplares recolectados fueron depositados en la colección de referencia de la Universidad de Cartagena (CUDC) y en la colección de referencia del último autor (CJAN).

Análisis de datos

La eficiencia de cada muestreo se evaluó mediante curvas de acumulación de especies y con los estimadores de ACE, Chao 1, Jack-Knife 1, singletons (especies representadas por un individuo en todo el muestreo) y doubletons (especies que aparecen representadas por dos individuos) utilizando el programa EstimateS v. 9.1 (Colwell c2013). Se determinó la riqueza y la abundancia total y específica por muestreo, y se estimaron y compararon los índices de Shannon-Wiener, Simpson y Margalef, como medidas de la diversidad. Se determinó el grupo funcional (tipo de relocalización + tamaño + preferencia trófica) de cada especie según las siguientes categorías: i) tipo de relocalización del excremento (P = paracópridos - cavadores, T = telecópridos -rodadores y E = endocópridos - residentes), ii) el tamaño promedio de los individuos de cada especie (largo total desde el clípeo hasta el pigidio) (p = pequeño ≤ 10 mm, m = mediano > 10 a < 15 mm y g = grande ≥ 15 mm; siguiendo la propuesta de Doube (1990)) y iii) su preferencia trófica (C = coprófago, N = necrófago o G = generalista) cuando más del 75 % de los individuos aparecen en ese tipo de cebo. Las especies se agruparon en tres categorías según su registro en el tiempo: i) especies siempre presentes, aquellas presentes en los cuatro muestreos, ii) especies discontinuas aquellas presentes en dos o tres muestreos no consecutivos, y iii) especies exclusivas o presentes en solo un muestreo. Para comparar los ensamblajes de cada muestreo se realizó un análisis de similitud entre los muestreos, calculado mediante el índice de Bray-Curtis.

Se realizó un análisis de varianza (ANOVA) de una vía para determinar la existencia de diferencias entre la abundancia y la riqueza entre los muestreos, previa comprobación de la normalidad de los datos y de la homogeneidad de las varianzas con pruebas de Shapiro-Wilk y Levene respectivamente. A estos resultados, se les realizó una prueba de contraste "post-hoc" usando la corrección de Bonferroni de comparaciones múltiples entre las estaciones para evidenciar diferencias significativas. Para determinar la relación entre las variables climáticas como temperatura y precipitación promedio mensual, con la riqueza y la abundancia se realizó una regresión. El análisis de los datos se realizó mediante el programa PAST v. 1.37 (Hammer et al. 2001) con un valor de significancia de P ≤ 0,05.

RESULTADOS

Se capturaron 3550 individuos agrupados en 18 especies, diez géneros y seis tribus (Tabla 1). El género con el mayor número de especies fue Canthon (N = 7), seguido de Onthophagus y Eurysternus con dos especies cada uno, en los demás géneros solo se registró una especie. La especie más abundante fue Canthon aequinoctialis (Harold, 1868) con 1245 individuos (35,07%), seguida de Canthon subhyalinus (Harold, 1867) (N = 913, 25,72 %) y Canthon juvencus (Harold, 1868) (N = 317, 8,93 %).

Tabla 1: Diversidad de las especies de escarabajos coprófagos (Coleoptera: Scarabaeidae) en los cuatro muestreos (noviembre 2015, enero, mayo y septiembre 2016) realizados en el jardín botánico de Cartagena, Bolívar, Colombia.

Gremio (G): Paracópridos (P), Telecópridos (T) y Endocópridos (E); tamaño (T): pequeño ≤ 10 mm (p), mediano > 10 a ≤ 15 mm (m) y grande > 15 mm (g); y preferencia trófica (F): coprófago (C), necrófago (N) o generalista (G).

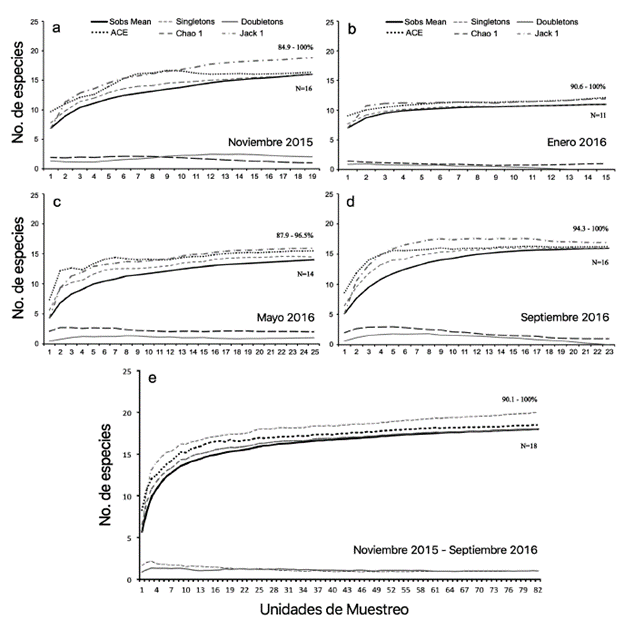
Los estimadores de ACE, Chao 1 y Jack-Knife 1 mostraron que en los muestreos se recolectó entre el 84,9 % y el 100 % del número estimado de especies (noviembre = 84,9-100 %, enero = 90,6-100 %, mayo = 87,9-96,5 %, septiembre = 94,3-100 %), y que el número de trampas en cada muestreo fue suficiente, ya que las curvas de estos estimadores fueron asintóticas (Fig. 2). Las curvas de singletons y doubletons disminuyeron y se cruzaron, lo cual indica que difícilmente pueden hallarse nuevas especies en el área de estudio (Fig. 2).

Curvas de acumulación de especies de escarabajos coprófagos (Coleoptera: Scarabaeidae) para los cuatro muestreos: a. noviembre 2015; b. enero; c. mayo; d. septiembre de 2016 y e. para el total recolectados en el jardín botánico de Cartagena, Bolívar, Colombia. N = número de especies registradas para cada estación y total.

Figura 2: Curvas de acumulación de especies de escarabajos coprófagos (Coleoptera: Scarabaeidae) para los cuatro muestreos: a. noviembre 2015; b. enero; c. mayo; d. septiembre de 2016 y e. para el total recolectados en el jardín botánico de Cartagena, Bolívar, Colombia. N = número de especies registradas para cada estación y total.

Por otra parte, las especies Coprophanaeus jassius (Olivier, 1789), Canthidium aurifex Arrow, 1931 y Diabroctis cadmus (Harold, 1868) presentaron abundancias muy bajas (Tabla 1). La mitad de las especies se agrupó como especies siempre presentes y solo tres (16,6 %) fueron exclusivas de un solo muestreo (C. aurifex en noviembre 2015, D. cadmus en enero 2016 y C. jassius en septiembre de 2016) (Tabla 1).

En relación con los gremios de relocalización, el mayor número de especies fue el de los pequeños telecópridos (Tp = 5), seguido de los pequeños paracópridos (Pp = 4), los grandes paracópridos (Pg = 3) y los medianos telecópridos (Tm = 2). Solo se encontró una especie por gremio para los medianos paracópridos (Pm), grandes telecópridos (Tg), pequeños endocópridos (Ep) y medianos endocópridos (Em). No se encontraron especies pertenecientes al gremio de los grandes endocópridos (Tabla 1). Con respecto a las preferencias tróficas la mayoría de las especies presentan hábitos coprófagos (N = 12, 66,7 %), seguidos de las especies generalistas (N = 4, 22,2 %) y por último las especies con hábitos necrófagos que solo fueron dos (C cyanellus y P. hermes; 11,1 %) (Tabla 1).

Con respecto a la estacionalidad, se registraron diferencias significativas para la abundancia (F38 82 = 4,904, P = 0,003, N = 83) y para la riqueza (F4154 = 6,11, P < 0,001, N = 83) (Fig. 3) entre los muestreos. En enero de 2016 (época seca) se obtuvo la mayor abundancia (N = 1129) y el menor número de especies (11 spp.), mientras que la menor abundancia se presentó en mayo de 2016 (N = 667), mes que corresponde a la época de transición (Fig. 4). El mayor número de especies fue hallado en noviembre de 2015 y septiembre de 2016 (N = 16), meses correspondientes a la época lluviosa (Tabla 1, Fig. 4). Los mayores valores de los índices de Margalef (2,239) y Shannon-Wiener (1,865) se hallaron en septiembre de 2016. Exceptuando el índice de Margalef, no se registran diferencias en la diversidad entre los cuatro meses. Por otra parte, la mayor dominancia, según el índice de Simpson, fue en noviembre de 2015 (0,733) (Tabla 1).

Diagrama de cajas para: a. riqueza y b. abundancia en los cuatro muestreos para los escarabajos coprófagos (Coleoptera: Scarabaeidae) colectados en el jardín botánico de Cartagena, Bolívar, Colombia. Letras diferentes frente a las cajas representan pruebas de contraste post-hoc entre las estaciones evidenciando diferencias significativas (P = 0,05).

Figura 3: Diagrama de cajas para: a. riqueza y b. abundancia en los cuatro muestreos para los escarabajos coprófagos (Coleoptera: Scarabaeidae) colectados en el jardín botánico de Cartagena, Bolívar, Colombia. Letras diferentes frente a las cajas representan pruebas de contraste post-hoc entre las estaciones evidenciando diferencias significativas (P = 0,05).

Relación entre: a. la riqueza (círculos) y la abundancia (barras) para los escarabajos coprófagos (Coleoptera: Scarabaeidae) colectados en el jardín botánico de Cartagena y los valores de b. pluviosidad y c. temperatura promedio en el norte de Bolívar, Colombia.

Figura 4: Relación entre: a. la riqueza (círculos) y la abundancia (barras) para los escarabajos coprófagos (Coleoptera: Scarabaeidae) colectados en el jardín botánico de Cartagena y los valores de b. pluviosidad y c. temperatura promedio en el norte de Bolívar, Colombia.

La precipitación y la abundancia presentaron una regresión lineal negativa (r = -0,381, P <0,01, n = 83), al igual que la riqueza y la precipitación (r = -0,370, P < 0,01, n = 83). El mes con la menor precipitación (0 mm) y la mayor temperatura promedio (35,5 °C) fue enero, y mayo el mes con mayor precipitación (144 mm) y menor temperatura (34,6 °C). En relación con la similitud se registraron diferencias entre los ensamblajes del segundo muestreo (enero 2016) y los demás muestreos, formando un grupo entre el primer (noviembre 2015) y el último muestreo (septiembre 2016, 72,74 %) (Fig. 5). La temperatura promedio no presentó variaciones superiores o inferiores a 1 °C durante el muestreo, y la prueba no mostró una relación significativa con la abundancia o la riqueza.

Índice de similitud de Bray-Curtis entre los cuatro muestreos (noviembre 2015, enero, mayo y septiembre 2016) para los escarabajos coprófagos (Coleoptera: Scarabaeidae) recolectados en el jardín botánico de Cartagena, Bolívar, Colombia.

Figura 5: Índice de similitud de Bray-Curtis entre los cuatro muestreos (noviembre 2015, enero, mayo y septiembre 2016) para los escarabajos coprófagos (Coleoptera: Scarabaeidae) recolectados en el jardín botánico de Cartagena, Bolívar, Colombia.

DISCUSIÓN

Dado que las curvas de acumulación indicaron que los cuatro muestreos fueron eficientes para el área de estudio, se pudo completar el inventario de los escarabajos coprófagos del bs-T del jardín botánico. A medida que el inventario se hace más completo, las probabilidades de registrar una especie no colectada anteriormente disminuyen, mientras que el esfuerzo necesario para un nuevo hallazgo se incrementa (Jiménez-Valverde y Hortal 2003). Sin embargo, es importante continuar muestreando en otras épocas, utilizar otras metodologías de muestreo (e.g., trampas elevadas, trampas de interceptación de vuelo, trampas de luz) y otros cebos (e.g., diplópodos, hongos, fruta, excremento de animales nativos) con el fin de buscar especies aun no registradas, y así poder completar el inventario de la diversidad regional que permita realizar monitoreos más precisos a mediano y largo plazo y entender la dinámica de estos ensamblajes.

Diversidad, estructura del ensamblaje y gremios

Las especies encontradas corresponden al 44 % de las registradas por Noriega et al. (2013) para Bolívar, y al 15 % de las registradas por los mismos autores para el Caribe. El número de especies estuvo dentro del intervalo propuesto por Escobar (1998), quien indica que hay entre catorce y 21 especies por localidad en la llanura del Caribe. Adicionalmente, en varias localidades del Cinturón Árido Pericaribeño con presencia de bosque seco tropical (bs-T) se han capturado entre quince y 30 especies (IAVH 1997, 1998, Barraza et al. 2010, Martínez et al. 2010, Navarro et al. 2011, Solís et al. 2011, Rangel-Acosta et al. 2012, Noriega et al. 2016, Rangel-Acosta et al. 2016a, b, Rangel-Acosta y Martínez-Hernández 2017). Pese a que no se encontraron tantas especies como en otras localidades de la región, el fragmento de bs-T del jardín botánico mantiene una diversidad importante de escarabajos coprófagos, lo cual puede ser un potencial indicador de su buen estado de conservación. Canthon fue el género más diverso y abundante, este género se reporta como el más abundante en el bosque seco, lo cual puede estar relacionado a su asociación con el excremento de monos aulladores (Alouatta spp.) (Medina y González 2014). La alta riqueza de este género en los bs-T del Caribe puede atribuirse a que la región norte de Sudamérica fue su centro de origen (Rivera-Cervantes y Halffter 1999, Padilla-Gil y Halffter 2007). Esto concuerda con varios estudios en la región Caribe, donde se reportan entre cinco y diez especies del género Canthon en diferentes localidades (Navarro et al. 2011, Solís et al. 2011, Rangel-Acosta et al. 2012, 2016a, b). Adicionalmente, Noriega et al. (2016) proponen que el género Canthon puede tener una condición generalista al presentarse tanto en lluvias como en sequía, concordando con los resultados encontrados.

Los pequeños telecópridos y paracópridos reportaron la mayor abundancia en todos los muestreos, representando más del 50 % del total. Rangel-Acosta et al. (2016b) y Martínez et al. (2010) encontraron que, independientemente de la época de muestreo, la estación o el hábitat, los pequeños paracópridos fueron dominantes en riqueza y abundancia. Estos autores también registran que los grandes paracópridos aparecen en bajo número de individuos durante la época seca, pero aumentan su abundancia durante la época de lluvias, concordando con los resultados encontrados. En los ecosistemas tropicales, las especies grandes son más abundantes en las épocas de mayor precipitación, debido a que las condiciones son más favorables al presentarse una mayor disponibilidad de recursos (Horgan 2006, Viegas et al. 2014, Iannuzzi et al. 2016), lo cual favorecería su permanencia, al poder consumir una mayor cantidad de alimento (Lobo 1993, Slade et al. 2007).

El grupo de los pequeños telecópridos, conformado en su totalidad por especies del género Canthon, fue el que presentó la mayor riqueza y abundancia, particularmente en enero, mes con la menor precipitación. Es posible que la severidad de la estación seca limite la actividad de estos escarabajos al estar más expuestos y al impedir el enterramiento del excremento debido a la compactación del suelo (Janzen 1983), condición que puede disminuir con las lluvias, facilitando la nidificación. Sin embargo, es probable que el suelo blando y arenoso que se encuentra en buena parte del jardín botánico favorezca su actividad, aumentando la rapidez con la que estas especies entierran el alimento y favoreciendo la construcción de las bolas-nido (Hanski y Cambefort 1991).

Preferencia de hábitat y tróficas

El jardín botánico no solo presenta áreas de bosque seco tropical (bs-T), sino también áreas adyacentes y colecciones de plantas, además está rodeado por áreas de uso ganadero y agrícola, lo cual genera una amplia oferta de hábitats. Rangel-Acosta y Martínez-Hernández (2017) encontraron que C. lituratus, C. septemmaculatus, C. jasius y D. cadmus, son típicas de hábitats adyacentes a fragmentos de bs-T. Navarro et al. (2011) reportan a D. cadmus en zonas de uso ganadero cercanas a bs-T. Mientras que Feer y Pincebourde (2005) encontraron que C. jassius es una especie típica de bosque. En localidades del Cinturón Árido Pericaribeño, el género Canthidium se ha reportado asociado a bs-T en bordes de bosques con una abundancia media-alta (Solís et al. 2011, Noriega et al. 2016, Rangel-Acosta et al. 2016a, b, Rangel-Acosta y Martínez-Hernández 2017). Igualmente, el uso de diferentes atrayentes permitió la captura de especies con preferencias coprófagas y necrófagas, recurso frecuentemente utilizado y con una alta capacidad de atracción como se reporta en otros trabajos (Ibarra-Polesel et al. 2015). En el área de estudio, C. cyanellus presentó claras preferencias por la carroña mientras que C. jassius se capturó exclusivamente con trampas cebadas con carne en descomposición, mientras que las demás especies pueden considerarse como coprófagos generalistas, puesto que su abundancia en las trampas con carroña fue muy baja. Mora-Aguilar y Montes de Oca (2009) consideran a C. cyanellus como necrófaga especialista, lo cual coincide con los resultados encontrados. Igualmente, las especies del género Coprophanaeus encontradas por Figueroa y Alvarado (2011) presentan preferencias necrófagas coincidiendo con nuestros resultados.

En este sentido, la baja abundancia de C. aurifex puede deberse a que Canthidium es un género que puede mostrar un comportamiento saprófago secundario, y puede alimentarse de frutos u otras partes de plantas en fermentación (Halffter y Matthews 1966) recursos no incluidos en el muestreo.

Estacionalidad del ensamblaje de escarabajos coprófagos

En diferentes localidades del Cinturón Árido Pericaribeño y del Neotrópico se ha obtenido una mayor riqueza y abundancia en muestreos realizados en época de lluvias que en época seca (Andresen 2005, Andrade et al. 2011, Liberal et al. 2011, Navarro et al. 2011, Medina y Lopes 2014, Iannuzzi et al. 2016, Noriega et al. 2016, Rangel-Acosta et al. 2016a, b), en oposición a nuestros resultados ya que la mayor abundancia se obtuvo cuando se registró una menor incidencia de lluvias y la menor abundancia se registró cuando la precipitación aumentaba. Este mismo resultado fue registrado por Ibarra-Polesel et al. (2015) quienes creen que es la temperatura y no la pluviosidad la variable que más influye en la estructura de los ensamblajes. Estas diferencias pueden también atribuirse a que las fuertes precipitaciones ocasionan la pérdida y disolución del recurso (Howden y Young 1981). No obstante, algunos estudios proponen que el cambio de la abundancia y estructura de la comunidad de escarabajos coprófagos en bosques secos están ligados a la precipitación (Andresen 2005, Navarro et al. 2011). Igualmente, esta variación estacional puede estar relacionada con una asincronía que permite la coexistencia de las especies al disminuir la competencia (Hanski y Cambefort 1991). A pesar de todo lo anterior, al tener una única repetición por estación es muy difícil aseverar que los resultados encontrados obedecen exclusivamente a un patrón estacional y no son variaciones asociadas a la dinámica poblacional.

Teniendo en cuenta todo lo anterior, podemos concluir que los escarabajos coprófagos del jardín botánico presentan un potencial patrón estacional viéndose la abundancia afectada por la precipitación, ya que la riqueza, diversidad y similitud cambiaron poco. En términos generales la estacionalidad de los insectos es usualmente afectada por disponibilidad de recurso, temperatura y precipitación (Wolda 1988). Durante la estación seca las condiciones son extremas, pues la combinación de altas temperaturas y poca humedad pueden limitar la actividad de las poblaciones (Batista et al. 2016), sin embargo, en nuestro caso la mayor abundancia se presentó en este periodo, aunque solo tenemos un solo evento de muestreo en la época seca. Finalmente, es importante proponer estrategias de conservación de los pequeños fragmentos de bosque seco tropical (bs-T) que se encuentran en zonas semi-rurales, como es el caso del jardín botánico, ya que no solo son capaces de albergar una alta diversidad de especies, sino probablemente sean los últimos relictos de la diversidad regional del bs-T, uno de los ecosistemas más drásticamente alterados en las últimas décadas.

PARTICIPACIÓN DE AUTORES

COE y JAN concibieron y diseñaron el estudio; COE realizó la toma de los datos; COE y JAN analizaron los datos y estructuraron el manuscrito; COE, GRN y JAN escribieron el texto. Finalmente, todos los autores revisaron y aprobaron la última versión del manuscrito.

Acknowledgements

AGRADECIMIENTOS

Al jardín botánico de Cartagena "Guillermo Piñeres" por conceder el permiso de muestreo y al grupo de investigación Hidrobiología por facilitar el laboratorio. Al proyecto "Estudio estacional de la diversidad de artrópodos del Jardín Botánico Guillermo Piñeres" por la financiación del estudio. Al laboratorio de Zoología y Ecología Acuática - LAZOEA por su apoyo logístico. JAN tiene el apoyo de una beca de Colciencias. A Javier Santos y David Morris por la revisión de la versión en inglés del resumen. A Saray Paternina por colaborar en la recolecta de datos. A tres evaluadores anónimos por sus valiosos comentarios que mejoraron la calidad del manuscrito.

LITERATURA CITADA

  1. Andresen E. 2005. Effects of season and vegetation type on community organization of dung beetles in a Tropical Dry Forest. Biotropica 37(2):291-300. doi: 10.1111/j.1744-7429.2005.00039.x. [DOI] 🠔
  2. Andrade RBD, Barlow J, Louzada J, Vaz-de-Mello FZ, Souza M, Silveira JM, Cochrane MA. 2011. Quantifying responses of dung beetles to fire disturbance in Tropical Forests: The importance of trapping method and seasonality. PLoS ONE 6(10):e26208. doi: 10.1371/journal.pone.0026208. [DOI] 🠔
  3. Arellano L, León-Cortés JL, Halffter G. 2008. Response of dung beetle assemblages to landscape structure in remnant natural and modified habitats in southern Mexico. Insect Conserv. Diver. 1:253-262. doi: 10.1111/j.1752-4598.2008.00033.x. [DOI] 🠔
  4. Barraza J, Montes J, Martínez N, Deloya C. 2010. Ensamblaje de escarabajos coprófagos (Scarabaeidae: Scarabaeinae) del Bosque Tropical Seco, Bahía Concha, Santa Marta (Colombia). Rev. Col. Entomol. 36(2):285-291. 🠔
  5. Batista MC, Lopes GS, Marques LJP, Teodoro AV. 2016. The dung beetle assemblage (Coleoptera: Scarabaeinae) is differently affected by land use and seasonality in northeastern Brazil. Entomotropica 31(13):95-104. 🠔
  6. Camero E. 2010. Los escarabajos del género Eurysternus Dalman, 1824 (Coleoptera: Scarabaeidae) de Colombia. Bol. SEA 46:147-179. 🠔
  7. Colwell RK. c2013. Estimate S, Version 9.1: Statistical estimation of species richness and shared species from samples (Software and User's Guide). Freeware for Windows and Mac OS. [Revisada en: 25 Abr 2016]. http://purl.oclc.org/estimates [URL] 🠔
  8. De Farias PM, Hernández MIM. 2017. Dung beetles associated with agroecosystems of southern Brazil: relationship with soil properties. Rev. Bras. Ciência Solo 41:e0160248. 🠔
  9. Delgado L, Curoe DJ. 2014. Panamanian Onthophagus (Coleoptera: Scarabaeidae): Description of a new species, and a revised key to the species. FLA. Entomol. 97(1):61-67. doi: 10.1653/024.097.0107. [DOI] 🠔
  10. Díaz JM. 2006. Bosque seco tropical Colombia. Libros de la Colección Ecológica. Cali, Colombia: Banco de Occidente Editores. 🠔
  11. Doube B. 1990. A functional classification for analysis of the structure of dung beetle assemblages. Ecol. Entomol. 15:371-383. 🠔
  12. Edmonds WD, Zidek J. 2012. Taxonomy of Phanaeus revisited: Revised keys to and comments on species of the New World dung beetle genus Phanaeus MacLeay, 1819 (Coleoptera: Scarabaeidae: Scarabaeinae: Phanaeini). Insecta Mundi 0274:1-108. 🠔
  13. Escobar F. 1998.Análisis regional de la comunidad de escarabajos coprófagos (Coleoptera: Scarabaeidae: Scarabaeinae) de los Bosques Secos de la región Caribe de Colombia. En: Chávez ME, Arango N, editores. Informe Nacional del Estado de la Biodiversidad en Colombia. Tomo I: Diversidad Biológica. Bogotá: Instituto Humboldt, Ministerio del Medio Ambiente. p. 72-75. 🠔
  14. Etter A. 1993. Diversidad ecosistémica en Colombia hoy. En: Cárdenas S, Correa HD, editores. Nuestra diversidad biológica. Bogotá: Fundación Alejandro Escobar, Colección María Restrepo de Ángel CEREC. p. 43-61. 🠔
  15. Feer F, Pincebourde S. 2005. Diel flight activity and ecological segregation within an assemblage of tropical forest dung and carrion beetles. J. Trop. Ecol. 21:21-30. doi: 10.1017/S0266467404002056. [DOI] 🠔
  16. Figueroa L, Alvarado M. 2011. Coleópteros coprófagos (Scarabaeidae: Scarabeinae) de la Reserva Nacional Tambopata, Madre de Dios, Perú. Rev. Peru. Biol. 18(2):209-212. 🠔
  17. Giraldo C, Escobar F, Chará JD, Calle Z. 2011. The adoption of silvopastoral systems promotes the recovery of ecological processes regulated by dung beetles in the Colombian Andes. Insect Cons. Diver. 4(2):115-122. 🠔
  18. González A, Molano F, Medina CA. 2009. Los subgéneros Calhyboma, Hybomidium y Telhyboma (Coleoptera: Scarabaeidae: Scarabaeinae: Deltochilum) en Colombia. Rev. Col. Entomol. 35(2):253-274. 🠔
  19. González-Alvarado A, Medina CA. 2015. Listado de especies de escarabajos coprófagos (Coleoptera: Scarabaeidae:Scarabaeinae) de bosque seco de Colombia. Biota Colomb. 16(1):36-44. doi: 10.21068/bc.v16i1.365. [DOI] 🠔
  20. González-Alvarado A, Vaz-de-Mello FZ. 2014. Taxonomic review of the subgenus Hybomidium Shipp 1897 (Coleoptera: Scarabaeidae: Scarabaeinae: Deltochilum). Ann. Soc. Entomol. Fr. (N.S.) 50(3-4):431-476. doi: 10.1080/00379271.2014.989178. [DOI] 🠔
  21. Halffter G, Favila ME. 1993. The Scarabaeinae (Insecta: Coleoptera) an animal group for analysing, inventorying and monitoring biodiversity in tropical rainforest and modified landscapes. Biol. Int. 27:15-21. 🠔
  22. Halffter G, Matthews EG. 1966. Natural history of dung beetles of the subfamily Scarabaeinae (Coleoptera: Scarabaeidae). Fol. Entomol. Mex. 12-14:1-312. doi: 10.1002/mmnz.19690450211. [DOI] 🠔
  23. Hammer O, Harper DAT, Ryan PD. 2001. PAST: Paleontological statistics software package for education and data analysis. Palaeontol. Electron. 4(1):1-9. 🠔
  24. Hanski I, Cambefort Y. 1991. Dung Beetle Ecology. Princeton: Princeton University Press. 🠔
  25. Horgan FG. 2006. Aggregation and coexistence of dung beetles in montane rain forest and deforested sites in central Peru. J. Trop. Ecol. 22:359-370. 🠔
  26. Howden HF, Young OP. 1981. Panamian Scarabaeinae: Taxonomy, distribution and habits (Coleoptera, Scarabaeidae). Contrib. Am. Entomol. Inst. 18(1):1-204. 🠔
  27. Iannuzzi L, Salomão RP, Costa FC, Liberal CN. 2016. Environmental patterns and daily activity of dung beetles (Coleoptera: Scarabaeidae) in the Atlantic Rainforest of Brazil. Entomotropica 31(23):196-207. 🠔
  28. [IAvH] Instituto Alexander von Humboldt. 1997. Caracterización ecológica de cuatro remanentes de bosque seco tropical de la región Caribe colombiana. Villa de Leyva, Colombia: Grupo de Exploraciones Ecológicas Rápidas, IAvH. 🠔
  29. [IAvH] Instituto Alexander von Humboldt. 1998. El Bosque seco Tropical (Bs-T) en Colombia. Villa de Leyva, Colombia: Grupo de Exploraciones y Monitoreo Ambiental, GEMA, IAvH. 🠔
  30. Ibarra-Polesel MG, Damborsky MP, Porcel E. 2015. Escarabajos copronecrófagos (Scarabaeidae: Scarabaeinae) de la Reserva Natural Educativa Colonia Benítez, Chaco, Argentina. Rev. Mex. Biodiv. 86:744-753. doi: 10.1016/j.rmb.2015.05.011. [DOI] 🠔
  31. Jaramillo-Robledo A, Chaves-Córdoba B. 2000. Distribución de la precipitación en Colombia analizada mediante conglomeración estadística. Cenicafé 51(2):102-113. 🠔
  32. Janzen HD. 1983. Seasonal changes in abundance of large nocturnal dung beetles (Scarabaeidae) in a Costa Rica deciduous forest and adjacent horse pastures. Oikos 33:274-283. doi: 10.2307/3544274. [DOI] 🠔
  33. Jiménez-Valverde A, Hortal J. 2003. Las curvas de acumulación de especies y la necesidad de evaluar la calidad de los inventarios biológicos. Rev. Iber. Arac. 8:151-161. 🠔
  34. Jiménez-Ferbans L, Mendieta-Otálora W, García H, Amat-García G. 2008. Notas sobre los escarabajos coprófagos (Coleoptera: Scarabaeinae) en ambientes secos de la región de Santa Marta, Colombia. Acta Biol. Colomb. 13(2):203-208. 🠔
  35. Larsen TH, Forsyth A. 2005. Trap spacing and transect design for dung beetle biodiversity studies. Biotropica 37:322-325. doi: 10.1111/j.1744-7429.2005.00042.x. [DOI] 🠔
  36. Liberal CN, Farias ÂMIF, Meiado MV, Filgueiras BKC, Iannuzzi L. 2011. How habitat change and rainfall affect dung beetle diversity in Caatinga, a Brazilian semi-arid ecosystem. J. Insect Sci. 11:114. doi: 10.1673/031.011.11401. [DOI] 🠔
  37. Lobo JM. 1993. Estimation of dung beetle biomass (Coleoptera: Scarabaeoidea). Eur. J. Entomol. 90:235-238. 🠔
  38. Martínez NJ, Cañas LD, Rangel JL, Barraza JM, Montes JM, Blanco OR. 2010. Coleópteros coprófagos (Scarabaeidae: Scarabaeinae) en un fragmento de bosque seco tropical en el departamento del Atlántico, Colombia. Bol. Mus. Entomol. Univ. del Valle 11(1):21-30. 🠔
  39. McGeoch MA, Van Rensburg BJ, Botes A. 2002. The verification and application of bioindicators: A case study of dung beetles in a savanna ecosystem. J. App. Ecol. 39:661-672. doi: 10.1046/j.1365-2664.2002.00743.x. [DOI] 🠔
  40. Medina CA, González FA. 2014. Escarabajos coprófagos de la subfamilia Scarabaeinae. En: Pizano C, García H, editores. El Bosque Seco Tropical en Colombia. Bogotá: Instituto de Investigación de Recursos Biológicos Alexander Von Humboldt, IAVH. p. 194-213. 🠔
  41. Medina AM, Lopes PP. 2014. Seasonality in the dung beetle community in a Brazilian tropical dry forest: Do small changes make a difference? J. Insect Sci. 14(123):1-11. doi: 10.1673/031.014.123. [DOI] 🠔
  42. Miles L, Newton AC, De Fries RS, Ravilious C, May I, Blyth S, Kapos V, Gordon JE. 2006. A global overview of the conservation status of tropical dry forests. J. Biogeo. 3(3):491-505. 🠔
  43. Mora-Aguilar EF, Montes de Oca E. 2009. Escarabajos necrófagos (Coleoptera: Scarabaeidae y Trogidae) de la región central baja de Veracruz, México. Acta Zool. Mex. (n. s.) 25(3):569-588. doi: 10.21829/azm.2009.253662. [DOI] 🠔
  44. Murphy P, Lugo A. 1986. Ecology of tropical dry forest. Ann. Rev. Ecol. Syst. 17:67-88. doi: 10.1146/annurev.es.17.110186.000435. [DOI] 🠔
  45. Navarro L, Román K, Gómez H, Pérez A. 2011. Variación estacional en escarabajos coprofagos (Coleoptera: Scarabaeidae: Scarabaeinae) de la serranía de Coraza, Sucre (Colombia). Rev. Col. Cienc. Anim. 3(1):102-110. 🠔
  46. Neita JC, Escobar F. 2012. The potential value of agroforestry to dung beetle diversity in the wet tropical forests of the Pacific lowlands of Colombia. Agro. Systems 85(1):121-131. 🠔
  47. Nichols E, Spector S, Louzada J, Larsen T, Amezquita S, Favila M, The Scarabaeinae Research Network (ScarabNet). 2008. Ecological functions and ecosystem services of Scarabaeine dung beetles. Biol. Conserv. 141(6):1461-1474. doi: 10.1016/j.biocon.2008.04.011. [DOI] 🠔
  48. Noriega JA, Fagua G. 2009. Monitoreo de escarabajos coprófagos (Coleoptera: Scarabaeidae) en la región neotropical. En: Acosta A, Fagua G, Zapata AM, editores. Técnicas de campo en ambientes tropicales: Manual para el monitoreo en ecosistemas acuáticos y artrópodos terrestres. Bogotá: Editorial Pontificia Universidad Javeriana. p. 165-188. 🠔
  49. Noriega JA, Solís C, García H, Murillo-Ramos L, Renjifo JM, Olarte JE. 2013. Sinopsis de los escarabajos coprófagos (Coleoptera: Scarabaeinae) del Caribe colombiano. Caldasia 35(2):465-477. 🠔
  50. Noriega JA, Camero RE, Arias-Buriticá J, Pardo-Locarno LC, Montes JM, Acevedo AA, Esparza A, Murcia Ordóñez MO, García H, Solís C. 2015. Grado de cobertura del muestreo de escarabajos coprófagos (Coleoptera: Scarabaeidae: Scarabaeinae) en Colombia. Rev. Biol. Trop. 63(1):97-125. doi: 10.15517/rbt.v63i1.13323. [DOI] 🠔
  51. Noriega JA, Barranco W, Hernández J, Hernández E, Castillo S, Monroy D, García H. 2016. Estructura estacional del ensamblaje de escarabajos coprófagos (Coleoptera: Scarabaeinae) en una parcela permanente de bosque seco tropical. Rev. Acad. Colom. Cienc. Ex. Fis. Nat. 40(154):75-83. doi: 10.18257/raccefyn.255. [DOI] 🠔
  52. Otavo S, Parrado-Rosselli A, Noriega JA. 2013. Superfamilia Scarabaeoidea (Insecta: Coleoptera) como elemento bioindicador de perturbación antropogénica en un parque nacional amazónico. Rev. Biol. Trop. 61(2):735-752. 🠔
  53. Pabón J, Eslava J, Gómez R. 2001. Generalidades de la distribución espacial y temporal de la temperatura del aire y de la precipitación en Colombia. Meteorol. Colomb. 4:47-59. 🠔
  54. Padilla-Gil DN, Halffter G. 2007. Biogeography of the areas and Canthonini (Coleoptera: Scarabaeidae) of dry tropical forests in Mesoamerica and Colombia. Acta Zool. Mex. (n.s.) 23(1):73-108. doi: 10.21829/azm.2007.231559. [DOI] 🠔
  55. Pizano C, Cabrera M, García H. 2014. Bosque seco tropical en Colombia; generalidades y contexto. En: Pizano C, García H, editores. El Bosque Seco Tropical en Colombia. Bogotá: Instituto de Investigación de Recursos Biológicos Alexander Von Humboldt, IAVH . p. 37-47. 🠔
  56. Rangel-Acosta JL, Blanco-Rodríguez OR, Gutiérrez-Rapalino BP, Martínez-Hernández NJ. 2012. Coleópteros coprófagos (Scarabaeidae: Scarabaeinae) asociados a excrementos de mamíferos en la Reserva Natural Luriza (RNL), Departamento del Atlántico, Colombia. Bol. Soc. Entomol. Aragonesa 50:409-419. 🠔
  57. Rangel-Acosta JL, Martínez-Hernández NJ, Gutiérrez-Rapalino BP, Gutiérrez-Moreno LC, Borja-Acuña RA. 2016a. Efecto del tamaño de la ronda hidráulica sobre las comunidades de escarabajos coprófagos (Scarabaeidae: Scarabaeinae) en la cuenca media y baja del rio Cesar, Colombia. Entomotropica 31(15):109-130. 🠔
  58. Rangel-Acosta JL, Blanco-Rodriguez OR, Martínez-Hernández NJ. 2016b. Escarabajos copro-necrófagos (Scarabaeidae: Scarabaeinae) en diferentes usos del suelo en la reserva campesina la Montaña (RCM) en el departamento del Atlántico, Colombia. Bol. Cient. Mus. Hist. Nat. 20(1):78-97. 🠔
  59. Rangel-Acosta JL, Martínez-Hernández NJ. 2017. Comparación de los ensamblajes de escarabajos copronecrófagos (Scarabaeidae: Scarabaeinae) entre fragmentos de bosque seco tropical y la matriz adyacente en el departamento del Atlántico-Colombia. Rev. Mex. Biod. 88:389-401. doi: 10.1016/j.rmb.2017.03.012. [DOI] 🠔
  60. Rivera-Cervantes LE, Halffter G. 1999. Monografía de las especies mexicanas de Canthon del subgénero Glaphyrocanthon (Coleoptera: Scarabaeidae: Scarabaeinae). Acta Zool. Mex. (n.s.) 77:23-150. 🠔
  61. Sánchez HA, Arroyo V, Andresen E, Escobar F. 2016. Forest loss and matrix composition are the major drivers shaping dung beetle assemblages in a fragmented rainforest. Land. Ecol. 31(4):843-854. 🠔
  62. Schoolmeesters P. c2018. Scarabs: World Scarabaeidae Database. En: Roskov Y., Abucay L., Orrell T, Nicolson D, Flann C, Bailly N, Kirk P, Bourgoin T, DeWalt RE, Decock W, De Wever A, editores. Species 2000 & ITIS Catalogue of Life Annual Checklist. Available from www.catalogueoflife.org/annual-checklist/2018. [URL] 🠔
  63. Slade EM, Mann DJ, Villanueva JF, Lewis OT. 2007. Experimental evidence for the effects of dung beetle functional group richness and composition on ecosystem function in a tropical forest. J. Anim. Ecol. 76:1094-1104. doi: 10.1111/j.1365-2656.2007.01296.x. [DOI] 🠔
  64. Solís C, Noriega JA, Herrera G. 2011. Escarabajos coprófagos (Coleoptera: Scarabaeinae) en tres Bosques Secos del departamento del Atlántico-Colombia. Bol. Mus. Entomol. Univ. del Valle 12(1):33-41. 🠔
  65. Solis A, Kohlmann B. 2004. El género Canthidium (Coleoptera: Scarabaeidae) en Costa Rica. Giorn. Ital. Entomol. 52:1-73. 🠔
  66. Spector S. 2006. Scarabaeine dung beetles (Coleoptera: Scarabaeidae: Scarabaeinae): an invertebrate focal taxon for biodiversity research and conservation. Coleopt. Bull. 60(Supl 5):71-83. doi: 10.1649/0010-065X(2006)60[71:SDBCSS]2.0.CO;2. [DOI] 🠔
  67. Tarasov S, Dimitrov D. 2016. Multigene phylogenetic analysis redefines dung beetles relationships and classification (Coleoptera: Scarabaeidae: Scarabaeinae). BMC Evol. Biol. 16:257. doi: 10.1186/s12862-016-0822-x. [DOI] 🠔
  68. Vaz de Mello FZ, Edmonds WD, Ocampo FC, Schoolmeesters P. 2011. A multilingual key to the genera and subgenera of the subfamily Scarabaeinae of the New World (Coleoptera: Scarabaeidae). Zootaxa 2854:1-73. 🠔
  69. Viegas G, Stenert C, Schulz UH, Maltchik L. 2014. Dung beetle communities as biological indicators of riparian forest widths in southern Brazil. Ecol. Indicat. 36:703-710. 🠔
  70. Wolda H. 1988. Insect seasonality: why? Ann. Rev. Ecol. Syst. 19:1-18. 🠔
Ortega-Echeverría C, Navas S. GR, Noriega JA. 2019. Estacionalidad del ensamblaje de escarabajos coprófagos (Coleoptera: Scarabaeinae) del jardín botánico de Cartagena "Guillermo Piñeres" Bolívar-Colombia. Caldasia 41(1):124-138. doi: 10.15446/caldasia.v41n1.72107.
Los autores declaran que no tienen conflicto de intereses.