Cuadernos de Economía
0121-4772
Universidad Nacional de Colombia
https://doi.org/10.15446/cuad.econ.v36n70.44316

Recibido: 8 de julio de 2014; Revision Received: 30 de septiembre de 2015; Aceptado: 15 de octubre de 2015

A model of desertion. From a principal-agent theory perspective

Un modelo de deserción. Desde un enfoque teórico de principal-agente

Um modelo de deserção. Desde um enfoque teórico de principal-agente

Un modèle de désertion à partir d'une approche de principal agente

M. del Pilar Castillo, aG. Balbinotto N, b

PhD in economics. Professor at Economics Department, Universidad del Valle, Cali, Colombia. E-mail: maria.d.castillo@correounivalle.edu.co. The author thanks the comments and suggestions of Boris Salazar. Universidad del Valle Universidad del Valle Cali Colombia
PhD in economics. Professor at PPGE, Universidade Federal do Rio Grande do Sul, Porto Alegre, Brasil. E-mail: giacomo.balbinotto@ufrgs.br. Universidade Federal do Rio Grande do Sul Universidade Federal do Rio Grande do Sul Porto Alegre Brazil

Abstract

This article studies the nature of the trade-off between incentives and enforcement mechanisms that an Armed Illegal Organization (AIO)'s leadership, which is the principal, offers to its operatives, who act as agents. This principal-agent model focuses on both the expected benefits and costs for those who decide to stay or defect from the armed organization, in an uncertain context in which desertion is encouraged by an external agent who is providing incentives aimed at fostering operatives' individual desertion. Given a parameterization of the model, we find the optimal transfer system using the constrained minimization routine fmincon in MATLAB's optimizations toolbox. Once we obtain a numerical version of the contract, we use the computational tool to simulate the behavior of agents who are facing the probability of being punished and how this could encourage agents to not make any effort.

JEL: D82, D86.

Keywords:

Principal-agent theory, contracts, game theory.

Resumen

Este artículo estudia la naturaleza de la relación inversa entre incentivos y mecanismos de cumplimiento que la cúpula de una organización armada o principal ofrece a sus operativos, quienes actúan como agentes. El modelo de principal-agente se centra tanto en los costos y beneficios esperados de aquellos que deciden permanecer o desertar de la organización armada, en un contexto en el que la deserción es alentada por un agente externo que provee los incentivos para fomentar la deserción individual. Dada una parametrización específica del modelo, un sistema de transferencias óptimo es hallado usando la rutina de minimización con restricciones fmincon de la caja de herramientas de MATLAB. Una vez obtenida esa versión numérica del contrato, se utiliza la herramienta computacional para simular el comportamiento de los agentes que enfrentan la probabilidad de ser castigados y cómo eso podría alentarlos a no hacer ningún tipo de esfuerzo.

JEL: D82, D86.

Palabras clave:

teoría de principal-agente, contratos, teoría de juegos.

Résumé

Cet article étudie la nature de la relation inverse entre stimulants et mécanismes d'accomplissement que la direction d'une organisation armée ou principale offre à ses opérateurs qui agissent comme agents. Le modèle de principal agent est centré tant sur les coûts et bénéfices attendus de ceux qui décident de demeurer dans l'organisation armée ou de la déserter, dans un contexte où la désertion est encouragée par un agent externe qui fournit les éléments pour favoriser la désertion individuelle. Étant donnée une mise en paramètre spécifique du modèle, un système de transferts maximum est trouvé en utilisant la routine de minimisation avec des restrictions fmincon de la boite à outils de MATLAB. Une fois obtenue cette version numérique du contrat, on utilise l'outil électronique pour simuler le comportement des agents qui ont la probabilité d'être sanctionnés et comment cela pourrait les inciter à ne faire aucun type d'effort.

JEL: D82, D86.

Mots-clés :

Théorie de principal agent, contrats, théorie de jeux.

Resumo

Este artigo estuda a natureza da relação inversa entre incentivos e mecanismos de cumprimento que a cúpula de uma organização armada ou principal, oferece a seus operativos, os quais agem como agentes. O modelo de principal-agente se centra tanto nos custos e benefícios esperados daqueles que decidem permanecer ou desertar da organização armada, em um contexto no qual a deserção é estimulada por um agente externo, que dá os incentivos para fomentar a deserção individual. Dada uma parametrização específica do modelo, um sistema de transferências ótimo é achado usando a rotina de minimização com restrições fmincon da caixa de ferramentas de MATLAB. Uma vez obtida essa versão numérica do contrato, é utilizada a ferramenta computacional para simular o comportamento dos agentes que enfrentam a probabilidade de serem punidos e como isso poderia levá-los a não fazer nenhum tipo de esforço.

JEL: D82, D86.

Palavras-chave:

Teoria de principal-agente, contratos, teoria de jogos.

INTRODUCTION

The starting point for our analysis is to identify the nature of the trade-off between the incentives and enforcing mechanisms that a leadership of an Armed Illegal Organization (AIO), which is the principal, offers to its members, who are acting as agents. Tangible and intangible incentives that all viable organizations provide its operatives with are given in exchange for contributions of individual activity to the organization.

The principal-agent approach, based on the principles of rational choice and game theory, is used to understand the dynamics between a principal and an agent. The principal delegates tasks to another in order to reduce information costs, and the agent carries on those delegated actions on behalf of the principal. Such a framework is appropriate when analyzing combatant-leadership in a context of illegality when the enforcement of contract between them cannot be exogenous or in a context where the information is asymmetric. So, the only effective contract between them is a self-enforcing contract or agreement, as we will call it from now on. Paraphrasing Shapiro (2013), it is worth indicating that given the lack of standard contingent contracts, the leaders of illegal organizations really only have the ability to punish agents whose average performance falls below a threshold. Leaders also have the ability to end their relationship with problematic agents and deny them the ideological and pecuniary benefits of participation.

When an individual decides to belong to an illegal organization, s/he is accepting to enter into a relationship of compliance and subordination with the organization's leadership. Even though in such a relationship, the agent's acceptance or "contract" is based on identification with the organization's principles, both parties have an overall expected value and costs of their decisions within the organization. A concrete question posed on the subject would be, what is the compensation system that will make an agent behave in a way that is consistent with the principal's objectives? We focus on the nature of the incentive system that guides the distribution of those incentives, as well as the conditions of risk and information that influence the choices of the actors (Mitnick, 2013).

It is important to bear in mind that the concept of contract as it has been treated in conventional principal-agent theory is not directly applicable to this scenario. The idea of contract assumes both principal and agent have clear mechanisms to ensure its compliance. However, in a context of illegality, the contract works as an agreement in which institutions outside of AIO do not exist to guarantee parties' liability. The principal creates his/ her own enforcement mechanisms to force the agent to comply with the agreed functions. The agent only possesses his/ her ability to make credible threats if s/he considers that his/ her interests are not in line with principal's interests, because s/he knows the leader has a strong personal interest in maintaining order in the organization. Generally, the minimal expectation of agents is that the leader will not allow her group to decline (Clark & Wilson, 1961).

First, our model focuses on both the expected benefits and costs for those who decide to either stay in or defect from the armed organization in a context of an active involvement of a third party. The hypothesis is that the government's presence, for example, as an external party, can maintain and increase agent's opportunistic behavior. The agent will continue in the armed organization if the leader is willing to share his/ her risk to such a level that agent's future benefits are more than the costs incurred by not deserting.

Second, the model also focuses on the agent's cooperative behavior related to her effort level in performing the tasks assigned to him/ her once the agent has decided not to defect the AIO. The leader cannot know what his/ her agents are doing on the ground without being there him/ herself or increasing resources dedicated to monitoring the agent. In this sense, our model tries to incorporate the risk of being punished as a function of the incentives offered by the principal when the government is actively encouraging desertion. Given that the AIO's resources are scarce, the leader has to decide how to divide his/ her initial endowment between incentives and coercive expenses. Economic incentives offered to those deciding to stay in the organization are detrimental to its capacity to effectively punish deserters. These resources decrease the leader's utility while increasing his/ her operation costs. The for the principal is that if large incentives are used to stop the demobilization of his/ her agent, credibility to penalize those who have decided to leave the AIO can be compromised.

The main contribution is to try to find the leader's optimal response to the tradeoff between incentives and punishment. We argue that if the government improves its policy of compensating those who desert, then the AIO must increase its incentives and, consequently, the probability of punishment will most probably decrease if AIO's resources are scarce. We computed the optimal solutions for a fixed set of parameters of the principal-agent model. With this information, we found that the inclusion of a self-enforcing mechanism in the leader's objective function could stop the agent's desertion, but it would encourage him/ her to choose a low effort strategy and reveal his/ her opportunist behavior, which is referred to in the agency theory as a moral hazard problem.

In non-conventional warfare, one of the major difficulties faced by the State is to destroy its enemy's social and organizational networks in order to frustrate the achievement of its main goals. When the use of military force cannot alone achieve the desired needs, it is necessary to design other types of mechanisms that affect the decision making process of the rebels by increasing their current and future costs, and decreasing their current and future benefits. Such economic mechanisms or moral incentives that can be used in combination with a strong military pressure make desertion more attractive than continuing combat activities. Therefore, the problem that the State seeks to resolve is how to find incentives that help to reveal preferences for the agents of illegal armed group to desert. In terms of an economic reward, its amount should be so high that it helps to discover at least one agent for whom the benefits of action outweigh the costs s/ he has incurred, as stated in Castillo and Salazar (2009).

However, mere economic incentives without continued military pressure are useless. It is only when continuous military pressure reaches a certain threshold that fighters will consider outside economic incentives. Moreover, faced with strong pressure from the State's armed forces, the AIO's leadership must also create mechanisms to counteract them. This could involve setting up a system of transfers and punishments, which might well be a trade-off between incentives that encourage and sustain the combatants' compliance and allegiance to the organization, as well as maintaining its ability to punish agents' opportunist behavior as a self-enforcing mechanism (Garoupa, 2001).

We elucidate this mechanism with a detailed case study of the FARC1, as an example of an AIO, which operates in Colombia and has undergone substantial changes in the leadership-combatant during and after having adopted political kidnapping as its war strategy. Our model gives a new complementary explanation for why there was a high desertion rate in the FARC's ranks during a period when the government launched a program to encourage desertion, as at that time the threat of punishment to the agents who wanted to leave the organization was no longer credible. Castillo and Balbinotto (2012) present a cost analysis in order to explain the same problem; they shown the FARC had high transaction costs when it decided to carry out kidnapping as its war strategy.

The literature is rich in examples of principal-agent theory in terms of legal organizations such as the church (Zech, 2007; 2001), the civil-military relationship (Baker, 2007; Feaver, 2003), violence against civilians as a result of a lack of principal control (Abrahms & Potter, 2015; Salehyan, Siroky & Wood, 2014; Schneider, 2009; Schneider, Banholzer & Haer, 2010), the relationship between coalition forces (principal) and local tribes (agents) in Afghanistan (Pérez, 2011), and the army and illegal organizations and terrorists (Byman & Kreps, 2010; Shapiro, 2013; 2012; 2008; 2007). Additionally, Siqueira and Sandler (2010) have created a game-theoretic representation of a global terrorist organization, which determines the optimal level of terrorist attacks in each country as a result of its choice of representative associated with the local terrorist group. It also takes into account governments' counterterrorism efforts where terrorists operate.

The approach used in this paper will allow us to show the dilemma faced by an AIO when it has to decide between incentives and punishments to avoid the defection of its agents, which is a constant threat that is encouraged by a third party. More specifically, we present how the organization manages the tradeoff between incentives and self-enforcing mechanisms.

The rest of this article is structured as follows: the second section provides figures on the FARC's desertion rates, which was the motivation for writing this paper. The third section offers a literature review on agency theory with applications in the political-economic field. The fourth section presents the principal-agent model. The fifth section focuses on the numerical computation of the principal-agent model and on the analysis of the results. The sixth section discusses a possible two principal-one agent model. Finally, the last section concludes by summarizing the analysis' key results.

THE FIGURES UNDERLYING DESERTION FROM THE FARC

We use the FARC as the hard case for testing the idea about the agency problems faced by an AIO that has suffered significant agent desertions. That armed organization is considered as the oldest guerrilla insurgency in Latin America. Some experts claim that the FARC was born in 1964 after a particularly gruesome period of widespread political violence in Colombian history, known as La Violencia (1948-1958), which claimed over 200,000 lives. This period ended with an agreement between the Liberal and Conservative parties to share power for the next sixteen years. Meanwhile, landless rebels organized themselves together as the FARC, which was formally, but not openly, established as a military wing of the Colombian Communist Party. During this time, the FARC's membership numbers ranged from 50 to 500 men, spread throughout the rural areas of central and southern Colombia (Arenas, 1985; Casas, 1980; Medina, 2008; Offstein, 2003; Pécaut & González, 1997; Pizarro, 1991). The FARC was only capable of small hit and run tactics that only amounted to a couple of attacks per month (Maddaloni, 2009). Almost fifty years later, the FARC is considered America's oldest and largest insurgency of Marxist origin (Kurth, 2004).

Ever since the beginning of Álvaro Uribe Velez's government in 2002, desertion became a real concern for the FARC. President Uribe's strategy focused on combating the FARC and encouraging rebels to desert, as they could provide the government with valuable information and undermine the morality of those combatants still in the guerrilla organization. The Uribe administration created a program called Colombia's rebel turncoats, which provided incentives related to health coverage, stipend payments and reduced jail terms. Through that program and the Colombian army's strong military pressure, the FARC has been deserted thousands of its fighters. One of the most serious desertions and setbacks was when Nelly Ávila Moreno, better known as Karina, surrendered to the Colombian Army. Karina led a series of devastating guerrilla attacks in the 1990's. she spent 20 years of her life in the Colombian jungle and was the leader of the FARC's 47 Front, one of the organization's most important fronts. Karina's desertion helped Colombian military intelligence mount additional offensives against the guerrillas. Karina surrendered and she now promotes the Colombian government's demobilization program. Voluntary demobilization of agents from armed groups in Colombia, especially from the guerrillas, was one of President Uribe's cornerstones of democratic security policy. Between August 2002 and 2011, desertions from the FARC hit a record high of 16,850 (See Figure 1). Although it is estimated that close to 80% of deserters were lower-ranking agents, with fewer years' service, who were mostly young and with poor military skills, it is clear that the program was successful.

The FARC’s Individual Demobilizations

Figure 1: The FARC’s Individual Demobilizations

Source: Ministry of National Defense 2002-2011.

However, Uribe's policy was responsible for only part of the desertion. It also helped that the FARC has a hierarchical organization that operates on fronts over vast distances, in jungle areas with a poor transportation and communication infrastructure. Thus, monitoring and controlling its agents is a difficult task. As Shapiro and Siegel (2007) argue, in the context of a covert system, the agent holds an inherent threat over the organization. If the agents are too dissatisfied with their punishment, they may be more likely to accept what the government has to offer.

LITERATURE REVIEW

In the business literature, agency theory studies an asymmetric relationship between two individuals (principal and agent), in which the former delegates tasks to the latter, for him/ her to act on his/ her behalf. This takes place in a context in which the principal cannot directly observe the agent's behavior and cannot verify if the tasks they have been entrusted with are being carried out (Eisenhardt, 1989). To motivate the agent, the principal must offer a sufficiently attractive incentive scheme in order to obtain his/ her best effort (Arrow, 1985; Gibbons, 2002; Gorbanoff, 2003; Macho & Pérez, 1994; Mas-Collel, Whiston & Green, 1995; Rees, 1985; Ricketts, 2002; Ross, 1973; Shapiro, 2013; Sower, 2005; Stiglitz, 1987).

This arrangement takes the shape of a contract that governs and rules the principalagent relationship. Therefore, the problem is selecting a compensation system that will produce behavior by the agent that is consistent with the principal's preferences (Mitnick, 2013). Under the assumption that the information that both have is valuable, each agent purses his/ her own interest, acts rationally, and has different perceptions regarding risk. Agency theory proposes solutions to the problems that the principal faces, for whom the information generated is poor as the agents' actions are unknown to the principal. This affects the results that s/ he expects to obtain.

The use of analytical elements of agency theory has gone beyond the relationship between manager and worker in industrial organizations (Spence & Zeckhauser, 1971), and is being used in the fields of political economy (Gailmard, 2012; Groenendijk, 1997), international relations (Elsig, 2010; Pollack, 2006), churchpastor relationships (Zech, 2007; 2001), civil-military relationships (Feaver, 2003), relations between States and terrorist agents (Byman & Kreps, 2010) and foreign policy (Kassim & Menon, 2003; Nielson & Tierney, 2006).

Specifically, agency theory seeks to study the non-aligned relationships between leaders (principals) and the troops (agents) of armed groups, and it deals with them as if they were an ordinary organization. These applications suggest principalagent theory's flexibility, and the power of its ability to be applied to other fields. For instance, Thompson (2002) shows that the evolution the relationship between a non-violent state as Iran and a terrorist organization like HAMAS depends on the costs and benefits for each of its members. Such a relationship will continue to exist while actor's cost-benefit calculi for entering into a contract remain preferable to the next best alternative. Along the same line of research, Shapiro (2013) uses a wide variety of evidence to show how terrorist groups manage their operatives, using the set of standard tools from management practice, in a similar way to any other legal organization. Using the agency theory perspective, this paper analyses why terrorist groups are organized, the way in which they are organized and how to effectively deal with them.

Schneider (2009) uses the explanatory power of principal-agent theory with multiple tasks to discuss some leaders or commanders of armed groups' behavior. These people, in order to obtain their objectives more efficiently, encourage their troops to use violent mechanisms against the civilian population. Schneider argues that most of the models applied in this field are focused on violence as a tool. Therefore, they ignore agent's dilemma when they are faced with a choice between military and terror strategies. For instance, while the military commander is only interested in the soldiers' global effort to reach the goals of his/ her organization, soldiers prefer low cost activities: a combination of terror strategies (against the civilian population) and military strategies. If the leader is looking for a specific level of activity, it will depend upon the rewards or punishments the soldiers receive. This means, generally, that soldiers are not interested per se in exercising violence against civilians. They will only do it if there is an incentive system that directly induces them to take an action against civilian population.

Schneider (2009) shows that, for example, the rewards offered in kind such as drugs, or punishments such as lack of food, make soldiers be more likely or more inclined to use violence against the civil population. The military hierarchy also increases this probability, contradicting some of Humphreys and Weinstein's ideas (2006) that organizational anarchy is a cause of violence against civilians. In an armed organization, the typical hierarchical structure acts as a barrier against civilian abuse; however, if commanders are in charge of delegating these tasks, the soldiers are then encouraged to commit crimes against the civilian population.

From another angle, Haer (2010) argues that the victimization of civilians is the result of the lack of control by the principal. According to his approach, the principal would have the capacity to control his/ her agents if the proper selection methods were used and if the control and surveillance mechanisms were stricter. Based on the results of interviews with 96 agents from armed movements in the Democratic Republic of Congo, the author shows the relationship between control mechanisms and the level of violence towards civilians.

Polo (1995) and Gates (2002) both have a more relevant approach for the problem presented in this paper. Their models are based on the fundamental role of geography as a key variable to understand a criminal organization's supervision, monitoring and control of its agents. Polo's research is based upon the internal organizational features of the mafia.

Gates (2002) goes a step further and features an analysis of enforcing mechanisms available to rebel groups. Unlike other criminal groups, a viable rebel group needs an army capable of engaging the government militarily, and it needs to create mechanisms to recruit and motivate its soldiers to fight and kill. Gates contributes by laying out how the geography, ethnicity, and ideology distance are engines that drive military success, deterring defection within armed rebel groups and shaping recruitment.

Unlike all the other studies of agency theory applied to illegal organizations, our work incorporates the risk of being punished as a function of the incentives offered by the principal when a third party, such as the government, is actively encouraging desertion from the AIO. Given that the AIO's resources are scarce, the leader has to decide how to divide his/ her initial endowments between incentives and coercive expenses. The presence of government primarily affects the principal's decisions on the balance between compensation and punishment. Secondly, the agent could take advantage of the situation created by the government's presence, which would benefit his/ her opportunistic behavior by him/ her having to exert a low effort but receiving high transfers. Therefore, the volume of resources assigned to punish deserters is now used as an incentive for agents who stay in the organization.

MODELING PRINCIPAL-AGENT RELATIONS

In the following section, we discuss the principal-agent model applied to an AIO, using the FARC as a case study. Our model is taken from Gintis (2009) and is well suited to our purpose. The main difference between his model and ours is that we incorporate the probability of punishment in the leader's benefit as a function of transfers.

A Basic Principal-Agent Model

We begin by contemplating a model made up of a leader or principal (L) and agents or combatants, who are represented by one agent (A). Both the leader and the agent are in a relationship at the time when the agent becomes part of an AIO. Their interaction is that of individuals who are already in the AIO and make decisions in an illegal environment. Therefore, the AIO cannot rely on judicial institutions' external aid as their behavior and possibilities are not constrained by the law (Polo, 1995).

For now, we assume that all A are identical. This assumption is unrealistic and will be changed in future, but for this example it allows us to focus our attention on key points in the interaction between leader and agent.

The leader cares mainly about the AIO's reputation. The reputation can be understood as a set of possibilities that the AIO has in order to gain access to political and economic power. His/ Her benefits or costs are not necessarily material; they are most likely to be political. R denotes high reputation and r low reputation.

Assume that A has two choices within the organization: Desert (D) or not to Desert (ND). If A decides ND, then s/ he must make a decision between two possible levels of effort that express her compliance effort level with the organization -high h or low 1-. L solely observes whether A has deserted or not, but L is unable to know the compliance effort level that s/ he decided to put in. In order to evaluate A's actual behavior and to reward him/ her, L has only the outcomes observed.

We present a model of desertion and allegiance for an AIO without direct government interference. As in the canonical principal-agent model, the model outlined above assumes that there is one-sided uncertainty. First, there is an uncertainty situation faced by L once A has made the decision not to desert. Specifically, L knows the real state of A because s/ he knew A did not desert. However, L is unable to know if A has a high or low compliance within the organization.

In the case of desertion, L is also unclear about the exact damage that A's desertion will cause to the AIO. L can estimate how much information A can disclose to the government because L knows what A's position was within the organization's structure and his/ her time spent in the AIO. However, once A leaves the organization, L loses the control over A and her future decisions. Conversely, A is completely informed about L. These elements constitute the non-cooperative game.

TIMING OF THE GENERALIZED COMMUNICATION GAME

The following example captures much of the intuition about the main factors affecting the relationship between a leader and an agent in a covert nature context in which desertion is a viable alternative and also when the government is offering incentives to provide information about its organization.

Consider the following "desertion" game, a simplified sketch of our situation above. Figure 2 sets the environment and describes the choices leading up to the one-shot agreement among players.

Timing of Principal-Agent Game

Figure 2: Timing of Principal-Agent Game

Source: Elaborated by the Author.

There are three players: the leader L, an agent or agent A and, the Nature N. There are two possible levels of benefit for the leader of the armed organization, high reputation (R) and low reputation (r). The first player is the leader player who designs a proper transfer system (T, t, ρ(T)) for A, where T is a high transfer, t is a low transfer, and ρ(T) is the likelihood of being caught (depending on T). Agent A decides either deserting or not deserting. If the agent decides not to desert and if the reputation level achieved is high (R), then s/ he pays T and t if the reputation is low (r) with T - t > 0.

In order to try to solve this game using backward induction we need to first identify the player who precedes the terminal nodes and chooses actions that would maximize his/ her payoff at this stage. We start with the agent at the stage I who makes a decision between high or low effort, as depicted in Figure 2.

The agent can affect the probability of earning a high reputation by choosing to perform her task with either high effort (h) or low effort (l). With a high effort, the probability of reaching R is p, and with a low effort, the probability of r is q, where 0 < q < p < 1. This implies that any leader who has a benefit function and an increasing reputation prefers the stochastic distribution of a reputation2 gained by a high effort level h over that induced by a low effort level l.

If the leader could see the agent's decision, s/ he could simply insure a transfer to encourage the agent to choice a high effort, but this is not possible. The only way s/ he can induce A to perform her task well is to offer a proper incentive system: offering a transfer T or t if her reputation is high or low respectively.

Suppose that the agent's utility function is given by u(x) with ux > 0, and uxx < 0, where x = T or t or g. To make our analysis more straightforward, assume that t ≤ g ≤ T, so that u(t) ≤ u(g) ≤ u(T). That is, the agent has a diminishing marginal utility of the transfers and the government's reward.

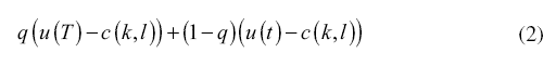
We assume that the cost of effort is greater when the agent performs his/ her task well as opposed to a sluggard agent: c(k,l) < c(k,h), where k represents the cost of being in the organization. If A decides to make a high effort, she expects a high payoff:

With low effort, the corresponding expression is:

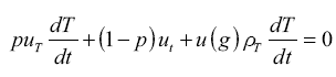
Therefore, the agent will choose a high effort over a low effort only if the first of these expressions is at least as great as the second, which gives:

This is called the incentive constraint, or the incentive compatibility constraint (ICC). It reflects the moral hazard problem: once A decides not to desert, and since the effort level is not verifiable, A will choose the high effort level if (3) is accomplished. If the constraint is increasing in T and the agent is weakly decreasing risk averse (that is, u xxx > 0), then ICC is concave. In order to check this, we assume T as a function of t, and differentiate the incentive compatibility constraint. From this we obtain:

so, , and the incentive compatibility constraint increases in T and t. To differentiate we can say that:

and the constraint is concave.

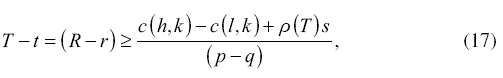
In the stage II of the game, given the effort that A will exert is h, s/ he decides whether or not to desert. Formally, this is represented by the following equation, known as the participation constraint (PC) or the individual rationality condition:

This reflects the fact that A can always choose to not desert when the benefits of doing so are not at least equal to what s/ he can obtain from an outside alternative, such as something offered by the government. Such participation constraint may be considered to be the agent's ability of threat. In the conventional principal- agent approach, the decision to not participate in the agreement has no cost for either side. However, in our model, the agent may well be severely injured if the she decides to desert.

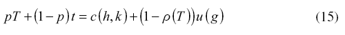
The right side of equation (4) breaks down as follows. ln(1- ρ(T))u(g), after desertion has been detected, a punishment system -a likelihood of being caught ρ-, if successfully applied, ρ = 1, leaves A without g. That variable represents the government's rewards for the agent's information. Such probability acts as a mechanism to enforce an illegal contract (Garoupa, 2000). We further assume that ρT < 0, i.e. ρ(T) decreases as T increases, ρTT > 0, which is a convex function. As we mentioned above, let us suppose that ug > 0, which means that u(g) increases as g increases, and ugg < 0. This implies that the function is concave.

We have shown that the participation constraint is decreasing and convex. When the participation constraint (4), is differentiated we obtain:

Thus,

with the assumption that .

The second inequality holds because T > t, so if the agent is strictly risk averse, ux is decreasing, with x = T or t.

Thus, the participation constraint is convex; it increases in T and decreases in t. That is, if T increases, the agent remains in the organization. Conversely, s/ he has deserted it.

Clearly, with full information, the solution to that problem is Pareto efficient. But in a context of asymmetric information, this is not the case. So, the relevant question is whether there are other allocations which are Pareto superior to the market allocation and feasible for the leader, given the level of effort is not observable (Gravelle & Rees, 2004; Shavell, 1979).

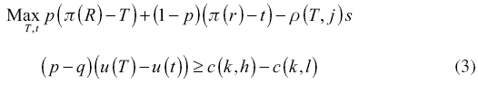
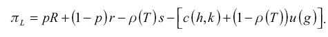
In the stage III of the game, the leader designs the incentive system, anticipating the agent's behavior. The leader's expected benefit, if we assume that the agent performs her task well, is given by:

Where s is the amount of punishment and π(.) is the leader's utility derived from reputation, with .

Formally, the incentive system that the leader proposes is the solution to the following maximization problem:

In addition, the negativity constraint is T ≥ 0, t ≥ 0.

Where the first constraint is the ICC (3) and the second is the PC (4). We can form the following Lagrangean equation

The first-order conditions can be written as:

Then we have:

Assume that λ = 0. Thus, by adding (8) and (9), we get:

which implies uT > uT , so T < t. This, of course, is not incentive compatible, because ICC implies u(T) > u(T), so T > t. (10) is also contradictory and, therefore, λ > 0, from which it follows that the PC holds as an equality and [u(g)=s]. Now, if we assume that μ = 0, using (8) and (9) to solve this system of equations we obtain uT = , and ut = . This implies that uT = ut, and T = t, and that it is impossible for ICC. Thus, μ > 0.

Let T*, t*, ρ(T*) be the optimal incentive system, in such a way that the incentive compatibility constraint binds. This is given by:

Note that the agent deserts the organization, which is given by (1- ρ(T))u(g). It is clear that as g rises, so do the two transfer rates T and t.

To sum up:

T is the high transfer

t is the low transfer

ρ(T) is the probability of being caught or punished

c(k,h) is the cost of high effort

c(k,l) is the cost of low effort

g are the government's rewards.

Result 1 T and t are increasing in c(k,h) and g.

c(k,h) is the sum of the fixed cost of not deserting (k) and the variable cost of making a high effort (h). With increasing government rewards, the cost of being in the organization increases for L. Therefore, L must devote more resources in order to encourage allegiance to the organization. As a result of government activities, L is pushed towards high levels of transfers to agents (T and t) as the participation constraint is modified, and thus it tends to be more severe. This is a trivial consequence of increasing government rewards, which are included into the model as a representation of outside activities. These are, however, important as we are interested in studying the behavior of agents who belong to an AIO and may leave it at a given time.

Result 2 The levels of T and t are bounded by the enforcing mechanism - the probability of punishment.

As was defined above, ρ is the probability of being caught by the leader, and the self-enforcing mechanism is a way of putting pressure on the agent to not desert and to accomplish the agreement.

As ρ(T) rises, T and t fall due to the fact that AIO's resources are limited. The intuition is that the leader is more interested in his/ her agent not deserting and choosing a high effort Thus, the leader must devote more resources to stop desertions. However, if s/ he increases transfers to the agent in response to the increase in government rewards, then the probability of punishing agents also decreases. The leader's dilemma is clear: There will be a trade-off between transfers and the probability of punishment or the self-enforcing mechanism. A system in which the leader wants to penalize the agent can induce him/ her to desert because T is decreasing. In fact, there are only few reported cases for the FARC that show severe punishments for deserters.

Result 3 The optimal solution is to design an incentive system that almost provides the agent with his/ her entire expected reputation.

If direct government rewards are mixed with the problem faced by the leader, an optimal solution would be to design an incentive system that delivers the agent transfer amounts that are close to the leader's reputation. This is independent of whether s/ he is making a high or a low effort. It implies that the organization should provide a strong incentive. That is to say that the presence of the government has a direct effect on the organization because it is forced to increase agent incentives: independently of whether the agents are doing a good or bad job within the organization.

BENEFITS FOR THE LEADER

What action does the leader ask the agent to choose?

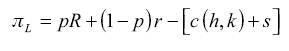
For simplicity, we will denote the leader's benefits in each state of nature by π(R) = R and π(r) = r, respectively. R and r are the expected benefits in the good and bad states, respectively. The agent's return by not deserting and taking an action between either h or l is:

, where Eh and El are the expected transfers if the agent takes action h and l, respectively. That is:

Does the agent have incentives to make a high effort? If the agent makes a low effort, only the participation constraint must hold. The term tmin is the transfer paid, independent of whether benefits are R or r, with an expected benefit of . The incentive system will be chosen, if and only if:

This can be written as:

In general, if the agent is risk neutral and s/ he makes a high effort, then the optimum is to make the leader the fixed claimant and the agent the residual claimant (Gintis, 2009). Allow us to illustrate with a simple example, let u(T) = T and u(t) = t.

The participation constraint is:

And the leader's profit is:

In equilibrium, we have u(g) = s then:

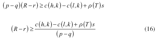
Suppose we give πL to the leader as a fixed payment, and let T = R - πL, t = r - πL. The participation constraint then holds because:

Given that a high effort is greater that a low effort, equation (14) must hold. Then,

But then,

which satisfies the incentive compatibility constraint. That is, the agent prefers to act in concordance with the solution found because of the transfers that s/ he will receive. They are equal to or higher than his/ her cost differential plus the punishment probability times the utility from government. In intuitive terms, the payoff from principal to agent, will lead him/ her to make his/ her best effort and not to have opportunist behavior.

SIMULATION OF THE PRINCIPAL AGENT MODEL

We will now simulate an exercise to compute an optimal transfer system for a specific parameterization of the model based on the government's presence. It will be interesting to see and to compare the results of the model to our predictions when we obtain a numerical version of the agreement and use it as a tool to simulate the behavior of the transfers faced with the probability of being punished3. In order to analyze the properties of an optimal agreement, we focus on the level of transfers and the effects of a punishment system, which depends on the T and t. Our numerical analysis shows that results vary with the initial conditions. In fact, the simulations reported suggest that these results depend on the first-order stochastic dominance4.

There are two possible results for the leader: one high reputation (R = 3) and the other low reputation (r = 1). The probabilities with which they occur depend on the agent's effort and a random state variable. Moreover, the agent can only choose between high h and low l. Let P(R│h) = p = 0.8, and P(r│l) = q = 0.78. The agent's assumed utility function takes the following form:

and value one represents the fixed cost of not deserting. The function costs depend on the effort level:

where the probability of punishment is defined by the function ρ(T) = e(-a)T. For different values of a, the behavior of the function is shown in Figure 3.

Probability of Punishment for Several Values of “a”

Figure 3: Probability of Punishment for Several Values of “a”

Source: Elaborated by the Author.

We chose the parameter α = 0.9 because in spite of the fact that the probability of punishment is a function of the transfers, we are looking for values of T above R, which lead to a probability of punishment close to zero.

The punishment amount is set to s =1, the government reward is G = 0.5, with a value less than r, and the agent's utility of G is G0.5. Figure 4 displays the three agents' functional forms for T, t and G, respectively.

Utility Function of the Agent

Figure 4: Utility Function of the Agent

Source: Elaborated by the Author.

The reasons for this choice are as follows: The slopes of these functions fulfill the uT > ut > uG condition for values greater than zero. In intuitive terms, the agent, because of his/ her knowledge and expertise, gains a higher utility from fighting activities than from the other ones, which makes the government's rewards less attractive than the leader's transfers.

Figure 5 displays the behavior of leader's objective function as a decreasing relation to high and low transfers, T and t, respectively. It also displays the incentive constraint, the participation constraint, and the optimal system of transfers.

Objective Function of the Leader, Incentive Compatibility Constraint (ICC) and Participation Constraint (PC)

Figure 5: Objective Function of the Leader, Incentive Compatibility Constraint (ICC) and Participation Constraint (PC)

Source: Elaborated by the Author.

Figure 6 displays the relationship between transfers, government rewards, and the value of leader's objective function. It also summarizes the main results of principal- agent model for a given set of parameters. The T and t lines show the optimal transfers for each one of the government values and the other fixed parameters. In absolute terms, as G increases, T and t also grow.

The Relationship between Transfers, Government Rewards and the Leader’s Objective Function Value

Figure 6: The Relationship between Transfers, Government Rewards and the Leader’s Objective Function Value

Source: Elaborated by the Author

By comparing the growth rates of T and t, respectively, it is clear that t grows at a faster rate than T. Figure 6 also indicates that the introduction of G into the model raises the incentives, making the agent a residual claimant. It is interesting to note that for G values between 0 and 1, t value changes at a similar rate to G, while T grows at much slower rate than G. Thus, at the margin, incremental spending of t is greater than T and it could therefore encourage agents not to desert, but also provide incentives for them making a low effort.

The inclusion of a self-enforcing mechanism in the leader's objective function could stop desertion, but it would also be incentivizing agents towards making low efforts. The increase in G above 0.5 leads to the lowest percentage increments in T and t.

Figure 7 displays G and the self-enforcing mechanism's behavior for eleven values of G. The probability of punishment decreases as G increases.

G and the Self-Enforcing Mechanism ρ(T)

Figure 7: G and the Self-Enforcing Mechanism ρ(T)

Source: Elaborated by the Author.

Table 1 reflects the values of optimal transfers and the probability of punishment. This simulation was made for eleven discrete values of G between 0 and 1.0. When a = 0.9 and G = 1.0, the agent is almost a residual claimant to the leader's reputation. When G = 0, the high transfer is just over r. In intuitive terms, when the government increases its offerings, the principal must increase the compensation it offers to agents in order to avoid their desertion from the organization. The principal's value of function will therefore fall. In this case, the principal will be obliged to share his/ her benefits more equitably, which breaks away from the idea that the agents are ideologically and purely committed to the organization.

Table 1: Summary of the Model’s Results

Source: Elaborated by the Author.

CONCLUSIONS

This article theoretically examined, by using a principal-agent model, the nature of the trade-off between incentives and enforcement mechanisms that an AIO's leadership offers to its agents.

First, the model focused on both the expected benefits and costs for those who decided to stay with or defected from the armed organization. This took place in an uncertain context in which desertion was encouraged by the government, which was pushing incentives aimed at fostering individual agents' demobilization. The presence of that external agent could lead to agents having opportunistic behavior and increase agency costs for the principal. That is, the agent will stay in the armed organization when the leader is willing to share his/ her risk to a level high enough to improve the agents' future benefits to a point at which they outweigh the costs incurred by not deserting. The contribution of this model, from the point of view of the principal, was to incorporate the risk of being punished as a function of the incentives offered by the principal when the government was actively encouraging desertion. Conversely, the agent had no direct mechanisms to enforce the agreement but s/ he had credible threats such as desertion. Both behaviors were considered rational within a context of asymmetric information and within the agent-principal model.

Given that the leader could not know what his/ her agents were doing on the ground without being there him/ herself, or increase the resources dedicated to monitoring the agent, s/ he created an enforcing mechanism that ensures the agent complies with the agreement, with a certain degree probability. Such mechanisms or the risk of being punished were functions of the incentives offered by the leader. Given the AIO's resources are scarce, an important conclusion was that large incentives offered to agents who decided to stay in the organization, were detrimental to the AIO's capacity to punish deserters. The leader's utility in the operation was therefore decreased, but his/ her risk and the cost of operation increased.

Finally, by using a MATLAB's optimizations toolbox, we computed the optimal transfer system for a given parameterization of the model and analyzed its properties. The numerical analysis showed that the inclusion of a self-enforcing mechanism on the leader's objective function increased the costs for the principal. It could also lead to agents making low efforts and engaging in opportunistic behavior. If the principal increased the probability of punishment deserters, which would be at the expense of offering agents with low incentives, the principal would be faced with low agent effort. The presence of an external agent increased the cost of the trade-off between incentives, punishment and improved the agent's situation. If s/ he decided not to desert, s/ he would obtain high transfers despite the fact s/ he was making a low effort.

REFERENCES

  1. 1. Abrahms, M., & Potter, P. (2015). Explaining terrorism: Leadership deficits and militant group tactics. International Organization, 69, 311-342. 🠔
  2. 2. Arenas, J. (1985). Cese al fuego: una historia política de las FARC. Bogotá: Oveja Negra. 🠔
  3. 3. Arrow, K. J. (1985). The economics of agency. In J. W. Pratt & R. J. Zeckhauser (Eds.), Principals and agents. Boston: Boston Harvard Business School Press. 🠔
  4. 4. Baker, D.-P. (2007). Agency theory: A new model of civil-military relations for Africa? America Journal of Conflict Resolution, 7(1), 1-23. 🠔
  5. 5. Biswas, T. (1997). Decision-Making under uncertainly. New York: St. Martin's Press. 🠔
  6. 6. Byman, D., & Kreps, S. (2010). Agents of destruction? Applying principal-agent analysis to state-sponsored terrorism. International Studies Perspectives, 11, 1-18. 🠔
  7. 7. Casas, U. (1980). Origen y desarrollo del movimiento revolucionario colombiano. Bogotá: Cinep. 🠔
  8. 8. Castillo, M. P., & Balbinotto, G. (2012). Las FARC y los costos del secuestro. Revista de Economía Institucional, 14(27), 147-164. 🠔
  9. 9. Castillo, M. P., & Salazar, B. (2009). ¿Cuánto vale desertar? Revista de Economía Institucional, 11(20), 199-227. 🠔
  10. 10. Clark, P. B., & Wilson, J. Q. (1961). Incentive systems: A theory of organizations. Administrative Science Quarterly, 6, 129-166. 🠔
  11. 11. Eisenhardt, K. M. (1989). Agency theory: An assessment and review. The Academy of Management Review, 14(1), 57-74. 🠔
  12. 12. Elsig, M. (2010). Principal-agent theory and the World Trade Organization: Complex agency and 'missing delegation'. European Journal of International Relations, 17(3), 1-23. 🠔
  13. 13. Feaver, P. D. (2003). Armed servants: Agency, oversight, and civil-military relations. Cambridge, MA: Harvard University Press. 🠔
  14. 14. Gailmard, S. (2012). Accountability and principal-agent models. In M. Bovens, R. E. Goodin & T. Schillemans (Eds.), Oxford Handbook of Public Accountability. Forthcoming, Oxford University Press. Retrieved from Retrieved from http://www.law.berkeley.edu/files/csls/Gailmard_-Accountability_and_Principal-Agent_Models(1).pdf . Accessed on June 10th 2013. [URL] 🠔
  15. 15. Gates, S. (2002). Recruitment and allegiance: The microfoundations of rebellion. Journal of Conflict Resolution, 46(1), 111-130. 🠔
  16. 16. Garoupa, N. (2001). The economics of organized crime and optimal law enforcement. Economic Inquiry, Western Economic Association International, 38(2), 278-88. 🠔
  17. 17. Gibbons, R. (2002). Incentives between firms (and within). Management Science, 51(1), 2-17. 🠔
  18. 18. Gintis, H. (2009). Game theory evolving: A problem-centered introduction to modeling strategic interaction. Princeton: Princeton University Press. 🠔
  19. 19. Gorbanoff, Y. (2003). Teoría del agente-principal y el mercado. Revista Universidad EAFIT, 129, 75-86. 🠔
  20. 20. Gravelle, H., & Rees, R. (2004). Microeconomics. Harlow: Pearson Education Limited. 🠔
  21. 21. Groenendijk, N. (1997). A principal-agent model of corruption. Crime, Law and Social Change, 27, 207-229. 🠔
  22. 22. Haer, R. (2010). The management of armed groups. Constraining human right abuses in the Democratic Republic of the Congo. Paper presented at the 10th Dutch Political Science Association (Politicologenetmaal). Leuven (Belgium). 🠔
  23. 23. Humphreys, M., & Weinstein, J. (2006). Handling and manhandling civilian in civil war. American Political Science Review, 100(3), 429-447. 🠔
  24. 24. Kassim, H., & Menon, A. (2003). The principal-agent approach and the study of the European Union: Promise unfulfilled? Journal of European Public Policy, 10(1), 121-139. 🠔
  25. 25. Kurth, A. (2004). Foreign terrorist organizations. CRS Report for Congress. Retrieved from Retrieved from http://www.fas.org/irp/crs/RL32223.pdf . Accessed on May 4th 2013. [URL] 🠔
  26. 26. Macho S. I., & Pérez C, D. (1994). Introducción a la economía de la información. Barcelona: Editorial Ariel, S.A. 🠔
  27. 27. Maddaloni, J.-P. N. (2009). An analysis of the FARC in Colombia: Breaking the frame of FM 3-24. Master's Monograph, United States Army Command and General Staff College, School of Advanced Military Studies United States, Fort Leavenworth, Kansas. Retrieved from Retrieved from http://www.cgsc.edu/sams/media/Monographs/MaddaloniJ-21MAY09.pdf . Accessed on June 6th 2013. [URL] 🠔
  28. 28. Mas-Collel, A., Whinston, M. D., & Green, J. R. (1995). Microeconomic theory. Oxford: Oxford University Press. 🠔
  29. 29. Medina, C. (2008). No porque seas paraco o seas guerrillero tienes que ser un animal: procesos de socialización en FARC-EP/ELN y grupos paramilitares (1966-2006). Bogotá: Ediciones Uniandes. 🠔
  30. 30. MIT OpenCourseWare. (2010) Chapter 5: Stochastic Dominance. 14.123 Microeconomic Theory. Retrieved from Retrieved from http://ocw.mit.edu . Accessed on 4th January 2013. [URL] 🠔
  31. 31. Mitnick, B. M. (2013). Origin of the theory of agency: An account of one of the theory's originators. Retrieved from http://ssrn.com/abstract=1020378 or com/abstract=1020378 or http://dx.doi.org/10.2139/ssrn.1020378v . Accessed on February 3rd 2014. [URL] 🠔
  32. 32. Nielson, D. L., & Tierney, M. J. (2006). Principals and interests: Common agency and multi lateral development bank lending. Retrieved from Retrieved from http://www.princeton.edu/~pcglobal/conferences/IPES/papers/nielson_tierney_F200_1.pdf . Accessed on May 5th 2013. [URL] 🠔
  33. 33. Offstein, N. (2003). An historical review and analysis of Colombian guerrilla movements: FARC, ELN and EPL. Revista Desarrollo y Sociedad, 52, 1-44. 🠔
  34. 34. Pécaut, D., & González, L. (1997). Presente, pasado y futuro de la violencia en Colombia. Desarrollo Ecónomico, 36(144), 891-930. 🠔
  35. 35. Pérez Dueñas, F. S. (2011). A principal-agent perspective on counterinsurgency situations. Master's Thesis. Monterrey: Naval Postgraduate School. 🠔
  36. 36. Pizarro, E. (1991). Las FARC (1946-1966): de la autodefensa a la combinación de todas las formas de lucha. Bogotá: Tercer Mundo Editores. 🠔
  37. 37. Pollack, M. A. (2006). Principal-Agent Analysis and International Delegation: Red Herrings, Theoretical Clarifications, and Empirical Disputes. Paper prepared for presentation at The Workshop on Delegating Sover46 eignty, Duke University, 3-4 March. Retrieved from Retrieved from http://law.duke.edu/publiclaw/pdf/workshop06sp/pollack.pdf . Accessed on May 6th 2013. [URL] 🠔
  38. 38. Polo, M. (1995). Internal cohesion and competition among criminal organizations. In G. Fiorentini & S. Peltzman (Eds.), The economics of organized crime. Cambridge: Cambridge University Press. 🠔
  39. 39. Rees, R. (1985). The theory of principal and agent. Bulletin of Economic Research, 37(1), 3-26. 🠔
  40. 40. Ricketts, M. (2002). The economics of business enterprise. An introduction to economic organization and the theory of the firm. Massachusetts: EE Publishing. 🠔
  41. 41. Ross, S. (1973). The economic theory of agency: The principal's problem. American Economic Review, 63(2), 134-139. 🠔
  42. 42. Salehyan, I., Siroky, D., & Wood, R. M. (2014). External rebel sponsorship and civilian abuse: A principal-agent analysis of wartime atrocities. International Organization, 68(3), 633-661. 🠔
  43. 43. Schneider, G. (2009). Incentives to kill: The organizational roots of onesided violence. Retrieved from Retrieved from http://stockholm.sgir.eu/uploads/organizational%20roots%20one%20sided%20violence%20stockholm.pdf . Accessed on December 3rd 2013. [URL] 🠔
  44. 44. Schneider, G., Banholzer, L., & Haer, R. (2010). Cain's choice: Causes of one-sided violence against civilians. In T. G. Jakobsen (Ed.), War: An introduction to theories and research on collective violence. New York: Nova Scotia. 🠔
  45. 45. Shapiro, J. (2013). The terrorist's dilemma. Managing violent covert organizations. Princeton: Princeton University Press. 🠔
  46. 46. Shapiro, J. (2012). Terrorist Decision-Making: Insights from Economics and Political Sciences. Perspectives on Terrorism, 6(4-5), 4-20. 🠔
  47. 47. Shapiro, J. (2008). Bureaucracy and control in terrorist organizations. For Columbia University International Politics Seminar. Retrieved from Retrieved from http://www.princeton.edu/~jns/papers/Shapiro_Bureaucracy_Control_Terrorism_2.pdf . Accessed on January 23th 2013. [URL] 🠔
  48. 48. Shapiro, J. (2007). Terrorist organizations' vulnerabilities and inefficiencies: A rational choice perspective. In H. Trinkunas & J. K. Giraldo (Eds.), Terrorist financing in comparative perspective. Stanford: Stanford University Press. 🠔
  49. 49. Shapiro, J., & Siegel, D. (2007). Underfunding in terrorist organizations. International Studies Quarterly, 51, 405-429. 🠔
  50. 50. Shavell, S. (1979). Risk sharing and incentives in the principal and agent relationship. Bell Journal of Economics, 10(1), 55-73. 🠔
  51. 51. Siqueira, K., & Sandler, T. (2010). Terrorists, networks, support and delegation. Public Choice, 142, 237-253. 🠔
  52. 52. Sower, T. (2005). Beyond the soldier and the state: Contemporary operations and variance in principal-agent relationships. Armed Forces & Society, 31(3), 385-409. 🠔
  53. 53. Spence, M., & Zeckhause, R. (1971). Insurance, information and individual action. American Economic Review, 61, 380-387. 🠔
  54. 54. Stiglitz, J. E. (1987). Principal and Agent (ii). In J. Eatwell, M. Milgate & P. Newman (Eds.), The New Palgrave: A Dictionary of Economics (1st ed.). New York: Palgrave Macmillan. 🠔
  55. 55. Thompson, A. (2012). The ties that bind: Iran and Hamas' principal - agent relationship. Thesis presented at Massey University, Turitea, New Zealand. Retrieved from Retrieved from http://hdl.handle.net/10179/3846 . Accessed on November 14th 2013. [URL] 🠔
  56. 56. Zech, C. H. (2007). The agency relationship in churches: An empirical analysis. The American Journal of Economics and Sociology, 66(4), 727-746. 🠔
  57. 57. Zech, C. H. (2001). An agency analysis of church-pastor relations. Manage. Decis. Econ. 22, 327-332. doi: 10.1002/mde.1030. [DOI] 🠔

Sugerencia de citación:

Castillo, M. del P., & Balbinotto N., G. (2017). A model of desertion. From a v36n70.44316. principal-agent theory perspective. Cuadernos de Economía, 36(70), 19-47. doi: 10.15446/cuad.econ.v36n70.44316
Fuerzas Armadas Revolucionarias de Colombia —the FARC for its acronym in Spanish— are a Colombian (located in northwestern South America) revolutionary guerilla organization that has been involved in a continuous armed conflict since 1964.
This means that bad results are more likely when the agent is lazy than when s/ he works hard. It is easier for the result to be greater than xk (for any k < n) when effort is high than when it is low (Macho & Pérez, 1994).
The constrained minimization problem was solved using the constrained minimization routine fmincon from MATLAB’s optimizations toolbox.
We claim that a lottery A dominates B in the sense of first-order stochastic dominance if the decision maker prefers A to B, regardless of what her utility function is and as long as it is a weakly increasing. (For a more detailed definition of this concept, to see Biswas, 1997 and MIT Open-CourseWare, 2010).