Cuadernos de Economía
0121-4772
Universidad Nacional de Colombia
https://doi.org/10.15446/cuad.econ.v36n70.48671

Recibido: 28 de enero de 2015; Revision Received: 19 de octubre de 2015; Aceptado: 9 de noviembre de 2015

Condición monopsónica de los mercados ilegales: el caso de los cultivos ilícitos de coca

Monopsonic condition of illegal markets: The case of coca crops

Condition monopsonique des marchés illégaux : le cas des cultures illicites de coca

Condição monopsônica dos mercados ilegais: O caso das culturas ilícitas de coca

M. Serrano López, a

Ingeniero agrónomo, magíster en Planificación y Administración del Desarrollo. Estudiante en el doctorado en Ciencias Económicas de la Universidad Nacional de Colombia, Bogotá, Colombia. mserranol@unal.edu.co. Este trabajo forma parte de la investigación doctoral del autor. Universidad Nacional de Colombia Universidad Nacional de Colombia Bogotá Colombia

Resumen

Este artículo analiza las características del mercado ilegal de la producción de cultivos de coca desde la perspectiva de los traficantes. Se identifica que existe un incentivo para que el traficante aspire a tener pleno poder de mercado estableciendo monopsonios en sentido estricto. Se analizan dos casos particulares en ausencia de acción del Estado: en el primero, el traficante opera sin competencia; en el segundo, se presenta competencia entre dos traficantes. La posibilidad de uso indiscriminado de la fuerza hace que en los dos casos, el resultado sea el establecimiento de monopsonios.

JEL: K420, D430, D210.

Palabras clave:

conducta ilegal, economía sumergida, monopsonio, competencia oligopsonística, comportamiento de la firma.

Abstract

This article analyzes the characteristics of the illegal market production of coca, This article analyses the characteristics of illegal coca production from a traffickers' perspective. The dealers have an incentive to obtain full market power by establishing a strict monopsony. We analyse two particular cases in the absence of State action. In the first, the dealer operates without competition, and in the second there is competition between two traffickers. Due to the possibility of an indiscriminate use of force, in both cases the final result is that monopsonies are established.

JEL: K420, D430, D210.

Keywords:

Illegal behaviour, underground economy, monopsony, oligopsonic competition, firm behaviour.

Résumé

Cet article analyse les caractéristiques du marché illégal de la production de cultures de coca dans la perspective des trafiquants. On constate qu'il existe un stimulant pour que le trafiquant aspire à posséder le plein pouvoir sur le marché par l'établissement de monopsones au sens strict. On analyse deux cas particuliers en l'absence de l'action de l'État ; dans le premier, le trafiquant agit sans concurrence ; dans le second, il existe une concurrence entre deux trafiquants. La possibilité de l'utilisation indiscriminée de la force fait que dans les deux cas le résultat soit l'établissement de monopsones.

JEL: K420, D430, D210.

Mots-clés :

Conduite illégale, économie submergée, monopsone, concurrence oligopsonique, comportement de l'entreprise.

Resumo

Este artigo analisa as características do mercado ilegal da produção de culturas de coca desde a perspectiva dos traficantes. Pode-se perceber que existe um incentivo para que o traficante aspire a ter pleno poder de mercado estabelecendo monopsônios em sentido estrito. São analisados dois casos particulares em ausência de ação do Estado; no primeiro, o traficante opera sem concorrência; no segundo, existe concorrência entre dois traficantes. A possibilidade do uso indiscriminado da força faz com que, nos dois casos, o resultado seja o estabelecimento de monopsônios.

JEL: K420, D430, D210.

Palavras-chave:

Conduta ilegal, economia submersa, monopsônio, concorrência oligopsonística, comportamento da firma.

INTRODUCCIÓN

El mercado de los cultivos ilícitos de coca no es un mercado perfectamente competitivo. Lo anterior no es nada nuevo, por supuesto, pero es pertinente precisar la naturaleza de estas imperfecciones. En este artículo se sostiene la tesis de que la condición de ilegalidad del mercado de los cultivos ilícitos de coca da lugar al establecimiento de monopsonios como alternativas para la maximización de los beneficios de los traficantes. Para esta investigación, se define como traficante, al agente que opera en el mercado de los cultivos de coca como comprador de materia prima, y se aplica el concepto de seguridad ilegal privada, entendida como los dispositivos del traficante orientados a preservar su seguridad personal y la producción ilegal por medio del uso de la fuerza, o de la amenaza de uso de la fuerza.

Inicialmente se presenta el marco teórico que sustenta el artículo. Luego se desarrolla el modelo para la toma de decisiones del traficante, examinando dos casos: el primero, en una zona completamente aislada en la que no existe presencia del Estado ni de otros traficantes; el segundo, en una zona aislada en la que se presenta competencia entre traficantes, mediante la aplicación de algunas herramientas teóricas de la teoría de juegos y se señala un desenlace clave: la producción de cultivos ilícitos de coca está fuertemente condicionada para convertirse en un monopsonio estricto que requiere de la aplicación de violencia para su sostenimiento. Al final, se presentan las conclusiones más sobresalientes.

MERCADOS MONOPSÓNICOS Y OLIGOPSÓNICOS

Los mercados monopsónicos se definen como aquellos en los que la demanda de una materia prima está concentrada en un comprador único (Nicholson y Snyder, 2010), y es considerado uno de los casos de competencia imperfecta en la que existe poder de mercado. A diferencia del monopolio, en el cual el productor puede determinar la cantidad ofrecida, en el monopsonio el comprador es directamente fijador de precio; en este caso, el precio genera un incentivo para un nivel de producción que maximiza su beneficio, partiendo de que la curva de oferta es sensible al precio, al nivel de riesgo, y a la rentabilidad de las alternativas, como establecen Ibáñez y Carlsson (2010). Utilizando por simplicidad una función lineal de oferta, se tiene que:

En la curva de oferta, el precio del producto, p(Q), viene dado por un precio base, a, más el efecto del parámetro de sensibilidad de la oferta, b. En el mercado monopsónico, el precio del producto depende fundamentalmente de la decisión del comprador. A diferencia de un mercado competitivo (productores y compradores son tomadores de precio), en el monopsonio el aumento marginal de la cantidad obedece a un aumento marginal del precio ofrecido por un único comprador. Como en el mercado competitivo, el precio actúa como un incentivo para la entrada en el renglón de producción; un productor solamente entrará a producir el producto bajo condiciones de monopsonio cuando el precio ofrecido contribuya a su función de beneficio. Por ello, el comprador en monopsonio debe incrementar marginalmente el precio para inducir la entrada de productores, hasta el nivel en el que se maximice su beneficio.

Siguiendo a Herrera (2008), se tiene que el ingreso asociado a la compra del insumo o producto se estima por medio de la siguiente relación:

Siendo P el precio final del producto. El problema del monopsonista será maximizar su beneficio, dado por:

Siendo CT = Qp(Q), queda:

Resolviendo respecto a Q, se tiene:

No obstante, el monopsonista no es fijador de cantidad, como en el caso del monopolio, sino fijador de precio. Por ello, la incógnita que debe resolver es el precio que deberá ofrecer para inducir una oferta de la cantidad que maximiza su beneficio; al resolver, este precio corresponde al promedio simple del precio final más el precio base:

Finalmente, el beneficio máximo para el monopsonista será:

Ahora bien, el comprador monopsonista enfrenta un gasto marginal que es superior al precio del producto, ya que todo aumento del precio para aumentar la oferta debe aplicarse al total de la producción. Siendo:

El efecto anterior es importante porque explica la ineficiencia del mercado monopsónico. Mientras que en un mercado competitivo el costo marginal será equivalente al precio, en el caso del monopsonista todo aumento en la cantidad viene acompañado por un gasto marginal que es superior al incremento del costo marginal. Por ello, el precio ofrecido será inferior al precio que se obtendría en un mercado perfectamente competitivo, de manera que la cantidad producida en condiciones de monopsonio será inferior a la cantidad que podría producirse en un mercado competitivo.

Señalan Nicholson y Snyder (2010), que solo se observará un comportamiento monopsónico en el mundo real cuando se carece de condiciones de competencia efectiva por las materias primas. Los ejemplos propuestos por estos autores, son una firma que opera como la única oferente de empleo en un pueblo pequeño, o una firma que contrata servicios de un nivel muy alto de especialización, como ingenieros de armamento nuclear.

Ahora bien, la literatura registra varios mercados imperfectos caracterizados por la dominancia de pocos compradores, conocido como oligopsonio. En un mercado oligopsónico con dos compradores, la cantidad de producto debe considerarse como Q = qi + qj , siendo qi la cantidad del primer comprador, y qj la del segundo. De este modo, el precio expresado como función de la cantidad se transforma en:

El ingreso asociado a la compra del insumo para cada agente, (i, j), es estimado a través de la siguiente relación:

En el oligopsonio la maximización del beneficio para cada agente viene dada por:

Siendo CT i,j = P(Q)qi,j , el problema admite una solución a la Cournot, en tanto el precio ofrecido por cada agente para la maximización del beneficio podrá definirse por medio de la función de mejor respuesta para cada agente, la cual estará dada por:

Resolviendo para cada agente, se obtiene una solución simétrica en la que:

La cantidad total de producto estará dada por:

Al comparar (15) con (5), se obtiene que la cantidad requerida para maximizar el beneficio en un oligopsonio con dos agentes, será invariablemente superior en 1/6 respecto a la de un monopsonio estricto. Dado que el aumento en la cantidad está afectado por un gasto marginal superior al precio, este aumento afectará también el precio ofrecido para la maximización.

En este caso, el precio ofrecido por los dos agentes será:

Este precio es superior al fijado por un monopsonista, ya que al comparar (16) con (6), se tiene que: , puesto que a es un precio mínimo, y puede suponerse que no habrá intercambio cuando el precio final, P, sea inferior a α.

Finalmente, se tiene que el beneficio máximo obtenido por cada agente oligopsónico será:

Señalan Blair y Harrison (2010) que los monopsonios podrían clasificarse en tres tipos principales: los monopsonios colusivos, en los cuales existe un acuerdo entre pocos compradores con poder de mercado que pueden generar acuerdos para afectar el precio; los monopsonios con una firma directora (single-firm conduct), que controlan los derechos de venta final de un producto, como en el caso de las productoras de cine que adquieren los derechos de exhibición de los teatros; finalmente, los autores señalan las fusiones de firmas compradoras como el tercer tipo de monopsonio, en tanto la concentración gradual de la demanda en un único agente va generando un poder de mercado que conduce a la constitución de un monopsonio oculto por la persistencia de los nombres de diferentes agentes.

Varios estudios analizan la problemática del monopsonio y del oligopsonio en diferentes mercados; entre ellos, se encuentra el estudio de Dirlam y Kahn (1952) sobre la ley antitrust y los grandes compradores, así como el trabajo de Lowry y Winfrey (1974), quienes analizan la industria norteamericana del papel en los años setenta. Igualmente, el trabajo de Link y Landon (1975), quienes examinan los efectos del monopsonio sobre el nivel de salarios de las enfermeras que ofrecen su trabajo en los hospitales, así como el estudio de Just y Chern (1980) para verificar la presencia de poder de mercado en la industria procesadora de tomate en California en los años sesenta.

En el trabajo de Durham y Sexton (1992), se analiza el mercado de tomates a partir de lo que los autores denominan Nuevos modelos de organización industrial empírica, en donde los autores acuden al análisis de la oferta residual. La hipótesis fundamental de su trabajo consiste en que las firmas procesadoras pueden ejercer poder de mercado en las regiones cercanas a sus plantas de procesamiento; los resultados encontrados muestran que dicho poder de mercado es limitado, por la ausencia de una única firma procesadora como líder en el mercado, y por la presencia de asociaciones de cultivadores de tomate que han permanecido sin grandes modificaciones por más de 20 años.

En el trabajo de Muth y Wohlgenant (1999) se mide el grado de poder oligopsónico presente en la industria de empaquetamiento de carne, y el de Requillart, Simioni y Varela (2008), realizado en Francia para el caso del tomate, analiza el mecanismo de transmisión existente en la formación del precio de venta a lo largo de las cadenas productivas agrícolas bajo un esquema oligopsonista.

Por otra parte, se ha registrado poder monopsónico en la cadena productiva de la cebada - malta - cerveza en México (Flórez, 2007). Vargas y Schreiner (1999) estudian el mercado monopsónico de la industria forestal en Oklahoma, debido a la alta concentración de la industria procesadora, que genera un alto poder de mercado. Chen y Lent (1992) proponen un análisis de la oferta en condiciones de oligopsonio, mientras que Delfgaauw y Dur (2005) analizan las consecuencias de crear un mercado competitivo en un sector previamente dominado por el sector público. Finalmente, Bhaskar, Manning y To (2004) estudian la competencia oligopsónica y monopsónica en el mercado laboral, y Manning (2001) propone un modelo generalizado de monopsonio para el mercado laboral.

Ninguno de los análisis registrados en la literatura incorpora la posibilidad del uso indiscriminado de la fuerza como factor de disuasión de la competencia, o como factor de control de los productores para evitar que vendan su producto a otros compradores. Los trabajos anteriores analizan productos legales, y parten del supuesto de que existe un mecanismo estatal de tramitación de las diferencias entre los agentes.

Seguridad y seguridad privada

El bien colectivo al que se nombra como seguridad, orden, protección de los derechos de propiedad, o simplemente protección, es una precondición para la provisión de los bienes públicos, y en términos generales para facilitar el comercio y el desarrollo económico. Históricamente este ha sido también el primer tipo de bien provisto por los Estados, y con frecuencia se considera como la quintaesencia y el atributo definitivo de un Estado (Konrad y Skaperdas, 2010, p. 418, traducción del autor).

El párrafo anterior sintetiza la idea central en relación con la responsabilidad del Estado respecto a la protección del derecho a la seguridad para sus ciudadanos. Más aún, la seguridad establecida mediante el uso de la fuerza constituye uno de los mecanismos que se han identificado para la conformación de los Estados:

En una secuencia idealizada, un gran señor hace la guerra de manera tan efectiva que se convierte en dominante en un territorio, pero esta guerra conduce a un aumento en la extracción de medios para la guerra -hombres, armas, alimentos, equipos, transportes, etc., o medios para adquirirlos- en la población de dicho territorio. El aumento en la capacidad de hacer la guerra aumenta también su capacidad de extracción. La actividad extractiva, si es exitosa, conlleva la eliminación, neutralización o cooptación de los grandes señores rivales; esto conduce a la conformación de un Estado. Como un subproducto, se crea organización en la forma de agencias de recolección de tributos, fuerzas policiales, cortes, etc., que refuerzan el proceso de consolidación del Estado (Tilly, 1985, p. 183, traducción del autor).

Ahora bien, teóricamente la seguridad constituye un bien sobre el que no operan los principios de rivalidad y exclusión, lo que la convierte en un bien público por excelencia. No obstante, el monopolio de la fuerza del Estado es solo nominal. Existen dentro de la sociedad varios fenómenos que ponen en cuestión dicho monopolio, desde la existencia y persistencia de grupos insurgentes con capacidad militar de confrontación, hasta agrupaciones y agentes criminales (organizados o no) que detentan poderes fácticos fundados en el ejercicio de la fuerza y la violencia. A diferencia de los mercados habituales, en los que el aumento de la competencia genera ganancias en eficiencia, en el caso de la seguridad se produce un efecto contrario: debido a la competencia que tiene lugar por medio del uso de la fuerza (o de la amenaza de uso de la fuerza), un mayor nivel de competencia conduce normalmente a un menor nivel de bienestar material, en la medida que los recursos son destinados a armamento y lucha improductiva (Skaperdas, 2001).

En relación con la criminalidad, los análisis señalan que ante un mayor nivel de criminalidad (aumento de la probabilidad de ser objeto de un acto criminal) se generarán respuestas sociales para la aplicación de seguridad privada, las cuales operarán según el principio de asignación de recursos en seguridad hasta el límite del valor estimado de pérdidas. Estas medidas tienen que ver tanto con el establecimiento de espacios seguros (inversiones en infraestructura y equipos para la contención de la acción criminal), como con la contratación de agentes proveedores de seguridad en el mercado privado. Al respecto, es pertinente examinar el trabajo de Grossman (2002), y en particular su análisis relativo a la asignación privada de recursos de protección y al papel de la tecnología de aplicación de violencia en la definición de estas asignaciones.

En la dirección opuesta, el establecimiento de estructuras generadoras de violencia para la realización de actividades criminales puede considerarse dentro de la lógica de la empresa. La acumulación de unidades de seguridad ilegal privada responde al principio de maximización del beneficio de un empresario; la violencia constituye uno de los factores de producción de la empresa ilegal. Para el caso colombiano, es pertinente considerar también que la contratación de proveedores de seguridad puede integrarse verticalmente dentro de la actividad productiva, dando lugar al establecimiento de ejércitos de autodefensa que cumplan con el mismo principio de balance económico.

Por otra parte, como proponen Mehlum, Moene y Torvik (2002), cuando el Estado falla en proveer seguridad básica y protección de la propiedad, los empresarios violentos encuentran no solo la oportunidad de arrebatar las propiedades, sino también en entrar en el negocio de la protección contra otros bandidos. En algunos casos, los empresarios pueden intervenir simultáneamente en los dos mercados, actuando tanto como bandidos y como protectores.

El planteamiento de Tilly en torno al proceso de conformación de un Estado, puede equipararse a lo que sucede en cualquier escenario en el que las fallas de Estado en torno a la provisión de seguridad sean de tal proporción que permitan la conformación de grupos de confrontación que aspiren al establecimiento de un orden social paraestatal -en el sentido de que construye Estado bajo el soporte del monopolio o la supremacía de la fuerza-. Señala Tobón al analizar la problemática de los paramilitares en Colombia:

El paramilitarismo en Colombia puede definirse como un conjunto de grupos armados organizados surgidos para conservar o expandir un orden social establecido por intereses privados, legales o ilegales, mediante el ejercicio profesional de la violencia por métodos extralegales y aprovechándose de la carencia de recursos efectivos del Estado para enfrentar las amenazas locales (2012, p. 4).

Marco conceptual y supuestos del modelo

  • Traficante: agente que opera en el mercado de los cultivos de coca como comprador de materia prima. Esta puede ser hoja fresca de coca, pasta básica o base de cocaína.

  • Seguridad ilegal privada: dispositivos del traficante orientados a preservar su seguridad personal y la producción ilegal por medio del uso de la fuerza, o de la amenaza de uso de la fuerza. Incluye las acciones que realiza para protegerse del ataque de otros criminales, o de la acción de la justicia, incluyendo la identificación, captura, juzgamiento y sanción.

A continuación se presentan los supuestos del modelo; se adicionan comentarios que valoran su verosimilitud, cuando se considera pertinente.

1) El traficante es un sujeto racional, que quiere maximizar su beneficio.

2) El traficante no es productor, y su ingreso proviene exclusivamente del tráfico de la producción ilegal de una sola región. En efecto, en la mayoría de los casos, el traficante no realiza actividades de producción cocalera, sino que opera como comprador, yendo al territorio para realizar las compras. Para efectos del análisis formal, se asume que el traficante no percibe ingresos por extorsión, secuestro, ni otras actividades legales o ilegales, con el fin de que pueda considerarse el gasto de seguridad en función de las rentas derivadas de la producción cocalera; este supuesto es muy discutible en varios casos, pero puede aplicarse a la situación en la que el agente que detenta el control territorial opera como oferente de seguridad privada para el crimen; de manera que el traficante "contrata" la seguridad en el territorio, como sucedió efectivamente en varios momentos en los que los traficantes realizaron acuerdos de provisión de seguridad con las Farc en algunas regiones, antes de que esta organización ingresara en el negocio del tráfico. Para efectos del análisis formal, este supuesto aplica cuando se trata de un modelo de narcotráfico en el que existe un bajo nivel de integración vertical del componente de seguridad.

3) Los productores solo pueden vender el producto al traficante. Esta es una situación habitual en casos reales, debido a que la mayor parte de la producción es adquirida en las fincas de los productores, y porque con frecuencia existen fuertes restricciones a la venta a terceros; no solo porque los competidores tienden a ser expulsados o eliminados, sino también porque es frecuente que se amenace a los productores para que no transen el producto ilegal con otros agentes. Hasta el momento, la literatura solo registra un caso en el departamento del Putumayo, donde algunos productores (el 9%) declararon que vendían parte del producto fuera de su municipio de residencia (UNODC, 2011).

4) El traficante es tomador del precio externo del producto ilegal.

5) El traficante no puede forzar a los productores a producir el producto ilegal, sino que tiene que inducirlos con el incentivo del precio sobre el producto ilegal. Se han registrado casos en los cuales los actores armados inducen a la producción ilegal; no obstante, las características del cultivo hacen que se requiera de un sostenimiento habitual de las plantaciones que difícilmente sería posible por medio de la coerción, exclusivamente. Ahora bien, la aplicación de coerción incide sobre la "lealtad" de los productores a un agente dominante en el territorio, pero tiene múltiples respuestas posibles por parte de los productores, ya que la estrategia de adaptación, de acuerdo con el nivel de coerción (incorporable como un factor en la función de producción), tiene efectos tanto sobre la función de demanda de materia prima, como sobre la función de oferta, que no es objeto de este trabajo. No obstante, el análisis de la coerción para la producción ilícita es pertinente, y debe ser realizado en otro estudio, puesto que junto con los efectos anotados anteriormente tiene relevancia en casos de asimetrías en mercados no regulados, y para análisis de juegos secuenciales con agentes asimétricos, como se señala en el último aparte de este estudio al examinar los equilibrios de Bertrand y Stackelberg.

6) El traficante no tiene reservas de capital o ahorro para cubrir los costos. El costo de seguridad y el precio de producto ilegal deben ser pagados con ingresos del mismo lugar. Este supuesto es discutible, puesto que en muchos casos no sería posible que se presentara un enfrentamiento entre traficantes si no contaran con una fuente externa de recursos a la zona en disputa. No obstante, puede esperarse razonablemente que un traficante solo intentará entrar en pugna por un territorio cuando estime que el beneficio esperado de este le permitirá contratar la seguridad requerida para obtenerlo y mantenerlo, y para pagar la materia prima (hoja fresca, pasta básica o base de cocaína) que utilizará para su negocio de tráfico. Bajo la consideración anterior, el supuesto puede mantenerse para el análisis estático, pero entendiendo que en situaciones reales de disputa territorial con agentes de "conquista", los recursos provendrán de otras fuentes; en este modelo se presenta un análisis estático, por lo que esta condición no es el objeto de análisis en este trabajo.

7) El tamaño de los predios de los productores se distribuye normalmente, y los productores son homogéneos en cuanto a la producción. Existe variación en el área sembrada en cada lugar, pero estas tienden a tener un promedio apenas superior a una hectárea. Por otra parte, aunque existen diferencias regionales, los estudios indican que los productores acostumbran vender uno o dos subproductos por cada región productora, para la cual se aplican tecnologías similares en el ámbito de la producción de cultivos y la transformación agroindustrial.

8) No hay migración intrarregional de productores. El número total de productores es fijo en el corto plazo. Este supuesto es consistente con la situación encontrada en terreno, ya que la mayor parte de los productores cocaleros son habitantes históricos de sus municipios (UNODC, 2011), pero en situaciones reales no debe descartarse un efecto migratorio impulsado por el auge de un producto exportable.

¿CONTROLAR, COMPARTIR O COOPERAR? LAS DECISIONES DEL TRAFICANTE SOBRE EL MERCADO DE CULTIVOS ILÍCITOS

En este aparte se examinan dos casos específicos. El primero, una zona aislada en la que no hay presencia del Estado, y donde no se presenta competencia entre traficantes; el segundo aborda el problema de la competencia territorial entre traficantes sin presencia del Estado.

Caso 1: zona aislada (sin presencia del Estado ni competencia entre traficantes)

En una zona aislada, aplica plenamente el modelo descrito en el marco teórico con base en Herrera (2008). Se sintetizan aquí los elementos básicos para facilitar el análisis posterior.

La curva de oferta estará dada por p(Q) = a + bQ, siendo p el precio pagado por el traficante por la materia prima (hoja fresca, pasta básica o base de cocaína). Dada una función de ingreso I (Q) = PQ en la que P es el precio final del producto, la maximización del beneficio viene dada por Max = PQ -CT, en la que CT = Qp(Q), por lo que queda Maxπ = PQ = aQ - bQ2.

Resolviendo respecto a Q, la cantidad que maximiza el beneficio del comprador monopsónico estará dada por ; el precio que ofrecerá para maximizar el beneficio será , y el beneficio máximo que obtendrá estará dado por .

En este caso, el traficante sostendrá el precio para inducir la oferta hasta su límite de maximización.

Caso 2: competencia entre traficantes: condición monopsónica del mercado de los cultivos ilícitos

A diferencia de lo que podría esperarse de la denominación cartel que tan frecuentemente se aplica a la producción y tráfico de drogas, con la que normalmente tiende a darse por supuesto cierto grado de colusión entre los agentes traficantes, en el caso de la producción de cultivos ilícitos se registran fuertes enfrentamientos entre los agentes del mercado de cultivos ilegales por el control de las zonas productoras. A primera vista podría suponerse que las soluciones cooperativas pueden ser más ventajosas; no obstante, un análisis más detallado permite concluir que, a pesar de las aparentes ventajas de un oligopsonio cooperativo, en el caso del mercado de los cultivos ilícitos la solución más conveniente para los agentes la constituye el monopsonio estricto.

Siendo πmt el beneficio que obtiene el traficante cuando está en condiciones de monopsonio estricto, y π0t o el beneficio que obtiene cuando establece una solución cooperativa con otro traficante, tenemos que, en ausencia de otros costos, la relación entre el beneficio de los agentes en condiciones monopsónicas (7) y oligopsónicas (17) estaría dado por:

Como se observa, independientemente del precio final, del precio inicial y del parámetro de sensibilidad de la oferta en un momento dado, en el monopsonio existe un margen de ganancia que supera en más del doble el beneficio potencialmente derivable de la participación en una alternativa oligopsónica. Lo anterior da lugar a la primera proposición:

Proposición 1. En cualquier situación de mercado dada (considerando que el traficante es tomador del precio final, P), y en cualquier escenario de producción (considerando que el traficante es tomador del precio base, "a", asociado a una curva local de oferta en la que "a" puede razonablemente representar los costos de producción), existirá siempre un incentivo para que el traficante aspire a tener pleno poder de mercado en la compra del producto ilegal en una región. Prueba: directamente de (18).

¿Con qué medios podría un agente anular la acción de un competidor para responder al incentivo que establece la diferencia en los beneficios producidos entre controlar el mercado y compartirlo? En otras palabras, ¿cómo podría un traficante adueñarse del mercado en un territorio particular?

El uso de la fuerza suele ser la forma más frecuente de actuación de los traficantes, bien se trate de los grupos guerrilleros que utilizan el narcotráfico como fuente de financiación de sus actividades, o bien de paramilitares, neoparamilitares o bandas criminales asociadas directamente al narcotráfico, como lo demuestra el trabajo de Díaz y Sánchez (2004) para el caso colombiano, concluyendo que la expansión de los cultivos de coca constituye una fuente primordial para la expansión del conflicto armado, tanto nacional como regionalmente.

La incorporación del uso de la fuerza tiene efectos sobre el sistema de ecuaciones propuesto. Esta variable afectará los costos totales y el beneficio económico derivado de la actividad, generando un incremento en los costos y una disminución en el beneficio; coincide con lo planteado por Skaperdas (2001) para casos de competencia entre señores de la guerra.

A continuación se presenta el sistema de ecuaciones modificado, considerando la presencia de dos traficantes que compiten por una zona de producción en la que no hay presencia del Estado, por lo que es posible suponer el uso indiscriminado de la fuerza por parte de cualquiera de los dos agentes, en el supuesto de que los dos traficantes reaccionan al incentivo derivado del control monopsónico pleno.

Para iniciar con el análisis de los costos, y tomando como base la ecuación (8), la función de costos de cada traficante debe modificarse agregando los costos de seguridad privada que determinan la magnitud del uso de la fuerza, del siguiente modo:

Donde yi corresponde a las unidades de seguridad privada con las que cuenta el traficante, y g el precio de mercado al cual puede acceder a ellas. Se asume que el traficante es tomador de precio en relación con los costos de contratación de seguridad.

Para la integración del uso de la fuerza dentro del sistema, se utiliza la función de éxito de la confrontación (contest success function, CSF) propuesta por Tullock (1980/1995) y utilizada por múltiples autores para el análisis de situaciones de conflicto (Garfinkel y Skaperdas, 2006; Hirshleifer, 1989; Jia, Skaperdas y Vaidya, 2012). Se propone su integración de la siguiente manera:

En (20) yi,j corresponde a las unidades de fuerza que aplicarán cada uno de los dos traficantes en el territorio, y este valor deberá dividirse por el total de unidades de fuerza para definir su resultado final. En este caso, la CSF expresa el poder de mercado establecido por medio del uso de la fuerza. En efecto, el cociente será siempre menor que 1 para todos los casos en los que los agentes hagan uso de por lo menos una unidad de fuerza, y el beneficio se obtiene como la proporción que pueda obtener por medio del uso de la fuerza.

Para efectos del análisis, se examina un escenario en el que no hay participación del Estado para el control de la ilegalidad, luego existe plena libertad para el uso indiscriminado de la fuerza entre los competidores, la función de beneficio puede plantearse como una función definida a trozos en la que el traficante obtendrá el beneficio propio del monopsonio en tanto pueda eliminar a su competidor, incurriendo en costos adicionales de seguridad; pero no obtendrá nada cuando la fuerza ejercida por su competidor sea superior a la suya, puesto que será eliminado. En el caso de que exista simetría perfecta entre los dos competidores (yi = yj), el beneficio será equivalente al beneficio obtenido en la condición oligopsónica, menos el gasto en seguridad de cada agente. Lo anterior puede formalizarse para el caso de dos traficantes competidores como:

Donde

En el primer caso, (yi > yj), el traficante i obtiene el beneficio total, puesto que ha derrotado y eliminado a su competidor. En el segundo caso, (yi = yj ), el equilibrio de fuerzas induce un beneficio para cada traficante que equivale al beneficio obtenido en condiciones de oligopsonio con dos agentes, restando el gasto en seguridad; en el tercer caso, (yi < yj ), el traficante i lo pierde todo, porque es derrotado y eliminado por su competidor.

Las estrategias armado - no armado no son viables para ninguno de los dos traficantes, debido a que uno de los dos obtendría un beneficio igual a cero, por lo que no existen razones para suponer que esas sean soluciones posibles.

Matriz de pagos en una confrontación entre dos traficantes

Fuente: elaboración propia.

La solución a la Cournot produce un equilibro de Nash inestable. En la opción armado - armado, que constituye el equilibrio de Nash, los dos traficantes obtendrán un beneficio equivalente, que se reducirá por el gasto en seguridad. No obstante, debido a que persiste el incentivo para eliminar al contrario, cada traficante intentará vencer a su oponente aumentando el gasto en seguridad hasta el límite del beneficio; lo anterior conducirá a una situación de beneficio nulo en la medida que la confrontación perdure, puesto que los aumentos en el gasto en seguridad disminuirán progresivamente los beneficios, haciendo inviable la cooperación o el acuerdo colusivo.

La opción no armado - no armado teóricamente aportaría mayor beneficio para ambos, ya que no incurrirían en gastos de seguridad y cada uno obtendría entonces un beneficio equivalente al del oligopsonio sin correr riesgos por su vida. No obstante, opera aquí el dilema de seguridad resaltado por Uribe (2013), cuando cita: "Aún si los oponentes acuerdan negociar, todavía enfrentarán los riesgos y las incertidumbres de la cooperación. ¿Cumplirá el oponente su parte del acuerdo?, o ¿terminará siendo un mal arreglo el acuerdo en sí mismo?" (p. 102). En el presente caso opera la incertidumbre, en tanto los traficantes tienen una alternativa mejor si eliminan a su contrario, e ignoran si su contrario aumentará su nivel de fuerza para eliminarlos, puesto que saben que ellos mismos estarían interesados en hacerlo para acceder al control pleno del mercado; por ello, si bien se trata de la opción con mayor beneficio mutuo esperado, entraña un nivel alto de riesgo por incertidumbre, asociado a caer en la condición de beneficio cero si el otro traficante decide armarse y eliminarlo. Lo anterior da lugar a la segunda proposición.

Proposición 2. Desde la perspectiva de los traficantes, en un escenario de competencia por el territorio en el que es permitido el uso indiscriminado de la fuerza y no hay intervención del Estado, el equilibrio de Nash es inestable, y la única solución que produce un beneficio superior a cero es la condición monopsónica estricta en la que existe control territorial pleno por parte del traficante. Las soluciones cooperativas generan equilibrios inestables, porque existe un fuerte incentivo para la destrucción del competidor; y las soluciones oligopsónicas fundadas en la generación de equilibrios de fuerza conducen a una situación de beneficio cero por el aumento del gasto en seguridad, hasta el límite permitido por el ingreso. Para el traficante, entonces, será necesario establecer un monopsonio hasta el límite de su capacidad de aplicación de fuerza, y ofrecer un precio de compra que impulse la oferta para su beneficio dentro de su zona de control.

La CSF también puede interpretarse como la proporción del territorio que quedaría bajo el control de cada traficante. Ahora se analizará esta segunda aproximación. El punto de partida es la función de beneficio de cada traficante como se presenta en (20), siendo el factor determinante para el resultado de la confrontación, con lo que yi,j constituye la variable que define la proporción del territorio bajo control. Como en el caso anterior, cada traficante ignora la cantidad de unidades de violencia que será provista por el otro traficante en la confrontación, pero a diferencia del caso anterior, en el que se supuso la existencia de una función definida a trozos en la que cualquier diferencial de fuerza implica la eliminación del rival, en este caso, la función de éxito de la confrontación es una función continua. De (19) y (20), considérese (0 ≤ yi,j ≤1), siendo 1 el máximo de unidades de fuerza que puede contratar cada traficante hasta agotar sus recursos a un precio g.

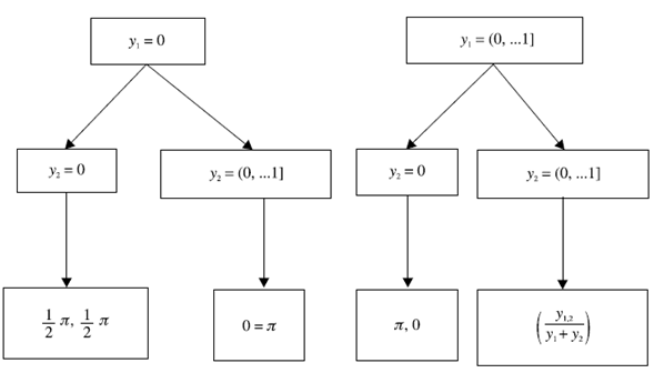
Si se considera una sola confrontación, el resultado será una matriz de pagos que definirá la porción del territorio que podrá aprovechar cada traficante de acuerdo Condición monopsónica de los mercados ilegales con la proporción de fuerzas. Los jugadores serán los dos traficantes, y los dos actuarán simultáneamente con una asignación de fuerza sujeta a la incertidumbre sobre la asignación de fuerza de su contrario; las opciones de cada traficante consisten en aplicar una cantidad de fuerza tal que (0 ≤ yi,j ≤1) ; cada jugador sabe que el resultado de la confrontación decidirá cuál es la proporción de territorio que queda bajo su control, y con ello afectará su beneficio, pero sabe también que solo puede aplicar unidades de fuerza hasta el límite permitido por el ingreso menos los costos de la materia prima (pQ). Los pagos resultantes se ilustran en la Gráfica 1.

Resultado de la confrontación entre dos traficantes

Gráfica 1: Resultado de la confrontación entre dos traficantes

A la izquierda se ha separado el caso donde ninguno de los dos jugadores aplica unidades de seguridad privada (y1 = y2 = 0), con lo que cada traficante obtiene un pago equivalente a la mitad del beneficio total en condiciones de duopsonio, . El segundo y el tercer caso corresponden a situaciones en las que uno de los traficantes opta por no aplicar ninguna unidad de fuerza contra su oponente, pero este sí lo hace, con lo que consigue eliminar al contrario, quedándose con todo el beneficio maximizado en condiciones de monopsonio estricto, menos el gasto que realice en seguridad, siendo . El caso en el extremo derecho corresponde a aquel donde los dos traficantes deciden enfrentarse aplicando unidades de fuerza; en este caso, el resultado de asignación depende del resultado de para cada uno.

Ahora bien, dado el nivel de riesgo, los traficantes pueden considerar la realización de un juego en dos episodios, de manera que en el primer episodio utilicen un alto número de unidades de fuerza para conseguir un resultado favorable en la distribución del territorio, lo que hará que en el segundo episodio tengan ventaja sobre su oponente y puedan aumentar la proporción del pago final. En el segundo episodio de confrontación, una vez alcanzado un estado de asignación territorial, los traficantes pueden optar por no entrar en confrontación, por lo que sus pagos serán equivalentes al doble de lo obtenido en el primer episodio; en otro caso, uno de los traficantes abandonaría la confrontación, y el traficante que aplica unidades de fuerza alcanza el pleno control territorial, por lo que el segundo corresponderá al valor del beneficio máximo en condición monopsónica estricta.

Cuando ninguno de los traficantes abandona la confrontación y decide mantener una porción del territorio bajo su dominio, el pago para cada uno de los traficantes viene determinado por el resultado del control territorial obtenido en el primer episodio de la confrontación. Los altos niveles de pago final se presentan solo cuando hay un fuerte desbalance en la aplicación de fuerza, bien sea en el primer o en el segundo episodio, ya que el control sobre una porción del territorio superior aumenta el potencial de aplicación de unidades de fuerza sobre el oponente; es posible suponer que un resultado muy desbalanceado en el primer episodio, puede dar como resultado una decisión de abandono del territorio por parte del traficante menos favorecido con la distribución, para evitar una derrota total.

El planteamiento anterior coincide con lo registrado por Deck y Sheremeta (2012), quienes hallaron que en un juego orientado por un beneficio en el que uno de los agentes opera como defensor y el segundo como atacante, ambos jugadores tienden a sobreinvertir en el primer episodio del juego, sin importar que los pagos futuros esperados se reduzcan.

Ahora bien, el análisis realizado en el supuesto de que el resultado de la confrontación es una función continua, no afecta el planteamiento realizado en la primera parte de esta sección, puesto que al final no se tendrá uno sino dos monopsonios, aunque con un área inferior. Un fuerte desbalance entre las fuerzas, fácilmente conducirá a la toma del territorio por parte del traficante con mayor capacidad en un segundo episodio; pero en condiciones de paridad de fuerza, la perspectiva de pérdidas puede disuadir a los competidores, haciendo que se respeten los territorios, por lo menos temporalmente. En este caso, el resultado consiste en el establecimiento de dos territorios colindantes, cada uno bajo el dominio de un traficante; a los costos habituales de sostenimiento del territorio, deberán aumentarse aquellos asociados al mantenimiento de la frontera en términos similares a los propuestos por Grossman (2004) para situaciones de amenaza armada del territorio.

Características del cultivo de coca que refuerzan la decisión del traficante en torno al monopsonio

Además de los elementos presentados anteriormente, algunas de las características intrínsecas de la producción de coca contribuyen a reforzar la decisión del traficante en relación con el establecimiento de mercados monopsónicos estrictos. Las principales son las siguientes:

1) Duración y curva de rendimiento anual del cultivo: dado que el cultivo no es transitorio, sino que se trata de un cultivo permanente en el que el máximo de producción solo se alcanza en el tercer año después del establecimiento, el beneficio del traficante proviene de la garantía permanente de seguridad frente a los riesgos de la producción. Puesto que los productores solo entrarán al mercado cuando consideren que existen garantías para la producción ilegal, el traficante tendrá que garantizar el normal desarrollo del cultivo durante su período de producción. Por ello, se hace necesario el control del territorio, de manera que disminuya el riesgo asociado a la producción por medio de la provisión de seguridad privada. Dado que el control del territorio implica un gasto constante en seguridad que tiene que estar amortizado por la producción futura, la naturaleza permanente del cultivo constituye una razón adicional para el establecimiento del monopsonio por parte del traficante.

2) Procesamiento "in situ": el hecho de que el cultivo sea procesado in situ facilita que los productores puedan sacar el producto para venderlo en un mercado con mayor cantidad de compradores, intentando obtener un mejor precio. Dado que el beneficio del traficante depende de la cantidad de producto transformado que pueda comprar, y dados también los altos costos de comprar en el territorio de otro traficante -por el riesgo en seguridad-, es imperativo evitar que los productores en su territorio accedan a otros compradores. El control territorial actúa, entonces, también como un mecanismo de información, mediante el cual el traficante está informado de la localización y cantidad de cultivos, con lo que puede establecer sanciones para los productores que no le vendan su producción. Puesto que en su territorio, el traficante puede hacer uso indiscriminado de la fuerza, el control territorial se convierte en un factor determinante para la obtención de su beneficio, apoyando el establecimiento del monopsonio estricto.

Variaciones sobre el caso 2: asimetrías de fuerza y barreras a la entrada1

Hasta el momento se ha considerado que los agentes toman una decisión simultánea de entrada en el mercado, por lo que la decisión se funda en la función (simétrica) de mejor respuesta. No obstante, puede darse el caso de que haya una entrada no simultánea en el mercado; a continuación se examinan los dos casos más sobresalientes, el equilibrio de Bertrand y la competencia de Stackelberg. La complejidad del desarrollo formal de estas variaciones excede las limitaciones y el propósito de este artículo, de manera que se espera presentarlo en un próximo trabajo.

Variación 1: equilibrio de Bertrand (inicia Débil - entra Fuerte)

En el análisis de Bertrand para mercados duopólicos, la competencia de las empresas está regida por la competencia en los precios, no en las cantidades (Bertrand, 1883), y los precios de los rivales se consideran como dados. En equilibrio, habrá un par de precios tal que cada uno sea una elección maximizadora del beneficio, dada la elección de la otra empresa. En este análisis se entiende que el producto es homogéneo, y los consumidores comprarán el producto más barato. Si bien existen equilibrios múltiples de Bertrand (Coloma, 2009; Dastidar, 1995), la tendencia más frecuente consiste en que la reiteración de puja por el precio para captar compradores impulsa a los oferentes hasta alcanzar un precio igual al costo marginal, dando lugar a una condición de eficiencia.

Trasladando este planteamiento a los mercados monopsónicos en escenarios en los que no hay acción del Estado, lo que hace posible el uso indiscriminado de la fuerza para la tramitación de las diferencias, deben superarse dos barreras:

1) Cualquier incremento en el precio establecido por un agente impacta el gasto marginal.

2) La competencia por precios está supeditada a la capacidad de ejercicio de la fuerza contra su oponente.

Ahora bien, supóngase que un agente con baja capacidad de aplicación de fuerza (agente Débil) da inicio al mercado en un escenario aislado en condiciones de monopsonista estricto, y que un segundo agente, con mayor capacidad de aplicación de fuerza (agente Fuerte), decide intervenir en este mercado. Las opciones para el agente Fuerte son tres:

1) Adueñarse por la fuerza del segmento del mercado correspondiente a su superioridad de aplicación de fuerza (CSF): en este caso, el precio de dominio del mercado será equivalente a la pérdida asociada a la confrontación, y el ingreso corresponderá al ingreso total del mercado en condición monopsónica en el segmento de mercado conquistado; la maximización del beneficio estará determinada por la magnitud del diferencial de fuerza, el costo unitario de contratación de fuerza y el tamaño del mercado.

2) Aplicar un diferencial de precio que impulse a los productores a dirigirse al mejor comprador (primera iteración de Bertrand): en este caso, se presentará una "migración" de los productores al nuevo comprador, por lo que las respuestas del agente Débil podrán ser:

  1. Aplicar coerción (barreras a la entrada) a la venta en su zona de control, con base en su capacidad de aplicación de fuerza, haciendo inútil el incentivo del precio establecido por el competidor.

  2. Igualar el precio del agente Fuerte para recuperar un segmento del mercado, lo que podrá generar una nueva iteración por parte del agente Fuerte hasta el límite del precio en equilibrio competitivo.

  3. Aumentar el precio por encima del ofrecido por el agente Fuerte para recuperar la totalidad del mercado, sin aplicación de coerción, acelerando el acercamiento al precio en equilibrio competitivo.

  4. Enfrentar al agente Fuerte por medio de la fuerza (barreras a la entrada) para acceder a una proporción del mercado dada por la proporción de fuerza de los dos competidores.

  5. Aplicar una combinación de coerción, confrontación y ajuste de precios que maximice su beneficio, dada su condición de inferioridad de fuerza.

3) Aplicar una combinación de las dos estrategias (aumento del precio y aplicación de fuerza).

En las tres respuestas anteriores, el resultado final será el establecimiento de un monopsonio estricto, o de dos monopsonios colindantes de acuerdo con el resultado de la transacción.

Variación 2: equilibrio de Stackelberg (inicia Fuerte - entra Débil)

El análisis de Stackelberg para duopolios (Simaan y Cruz, 1973; Stackelberg, 2011), a diferencia de Cournot, desarrolla un equilibrio basado en un juego secuencial en el que uno de los agentes (Líder) establece la cantidad a ofrecer maximizando su función de beneficio a partir de la función de mejor respuesta del segundo agente (Seguidor). El modelo supone que el Seguidor tomará como fijo el nivel de producción elegido por el Líder.

Esta variación permite analizar un caso en el que el mercado está dominado por un agente Fuerte (Líder) que opera como monopsonista estricto, y existe un agente Débil (Seguidor) interesado en ingresar al mercado. La estrategia del agente Débil consistirá entonces en tomar como Líder al agente Fuerte, asumiendo estable su nivel de control territorial (producción), y ampliar el mercado en la periferia, accediendo al mercado en una condición de Seguidor.

Aplicando las mismas consideraciones planteadas a la variación anterior en relación con los mercados monopsónicos (efecto de aumento del gasto marginal y capacidad de ejercicio de la fuerza), las respuestas del Líder pueden ser las siguientes:

  • Eliminar al competidor por medio del uso de la fuerza, a partir de la diferencia en la capacidad de fuerza del Líder respecto al Seguidor.

  • Asumir el aumento en el gasto marginal derivado del aumento de la cantidad total de producto, para evitar los costos de la confrontación; esta estrategia podrá ser más adecuada cuando hay poca diferencia en la capacidad de fuerza de los dos agentes.

También en estas dos respuestas, el resultado será el establecimiento de un monopsonio estricto por parte del agente Líder, o dos monopsonios colindantes establecidos por el Líder y el Seguidor.

CONCLUSIONES

Del análisis realizado se desprenden algunas conclusiones importantes:

1) La diferencia entre los beneficios obtenidos bajo una condición monopsónica respecto a un duopsonio, establece un incentivo para que un traficante aspire a establecer pleno poder de mercado en una zona de producción ilícita.

2) En un escenario con baja o nula presencia o acción del Estado, los traficantes pueden hacer uso indiscriminado de la fuerza; ello conduce a que el uso de la violencia forme parte de la función de maximización del beneficio de los traficantes.

3) Cuando los traficantes se enfrentan, el análisis de las alternativas indica que pueden presentarse dos alternativas: la primera, consiste en la eliminación del contrario, con lo que se establece un monopsonio estricto sobre la zona de producción. La segunda, cuando se incorpora la función de éxito de la contienda, da como resultado el establecimiento de monopsonios colindantes, cuya proporción dependerá de la aplicación de fuerza que realice cada uno de los traficantes.

4) Algunas características del cultivo de coca (cultivo permanente que permite el procesamiento in situ) refuerzan la decisión del traficante en relación con el establecimiento de mercados monopsónicos estrictos.

5) Pueden presentarse situaciones en las cuales el ingreso a los mercados no se produce en forma simultánea sino secuencial, y en la que los agentes presentan asimetrías en la capacidad de aplicación de fuerza. En estos casos, deben considerarse variaciones al modelo, siguiendo los modelos de equilibrio de Bertrand y de competencia de Stackelberg, ajustados para condiciones monopsónicas en escenarios en los que es posible el uso indiscriminado de la fuerza para la tramitación de los conflictos. No obstante, el resultado consistirá igualmente en la constitución de uno o dos monopsonios colindantes.

REFERENCIAS

  1. 1. Bertrand, J. (1883). Théorie mathématique de la richesse social. Journal des Savants, 68, 499-508. 🠔
  2. 2. Bhaskar, V., Manning, A., & To, T. (2004). Oligopsony and monopsonistic competition in labor markets. January 5. Consultado en https://theo.to/_media/jep.pdf. [URL] 🠔
  3. 3. Blair, R., & Harrison, J. (2010). Monopsony in law and economics. Cambridge, Inglaterra: Cambridge University Press. 🠔
  4. 4. Chen, Z., & Lent, R. (1992). Supply analysis in an oligopsony model. American Journal of Agricultural Economics, 74(4), 973-979. 🠔
  5. 5. Coloma, G. (2009). Equilibrios competitivos y de Bertrand, con y sin diferenciación de productos. Revista de Análisis Económico, 24(1), 43-53. 🠔
  6. 6. Dastidar, K. (1995). On the existence of pure strategy Bertrand equilibrium. Economic Theory, 5, 19-32. 🠔
  7. 7. Deck, C., & Sheremeta, R. M. (2012). Fight or flight? Defending against sequential attacks in the game of siege. The Journal of Conflict Resolution, 56(6), 1069-1088. 🠔
  8. 8. Delfgaauw, J., & Dur, R. (2005). From public monopsony to competitive market: More efficiency but higher prices (Tinbergen Institute Discussion Paper). Erasmus University Rotterdam. 🠔
  9. 9. Díaz, A., & Sánchez, F. (2004). A geography of illicit crops (coca leaf) and armed conflict in Colombia (Documento CEDE 4). Universidad de los Andes. Facultad de Economía. 🠔
  10. 10. Dirlam, J., & Kahn, A. (1952). Price discrimination in law and economics. American Journal of Economics and Sociology, 11(3), 281-314. 🠔
  11. 11. Durham, C., & Sexton, R. (1992). Oligopsony potential in agriculture: Residual supply estimation in California's processing tomato market. American Journal of Agricultural Economics, 74(4), 962-972. 🠔
  12. 12. Flórez, J. (2007). La cadena productiva cebada-malta-cerveza en México y la Ronda de Doha. Comercio Exterior, 57(7), 574-585. 🠔
  13. 13. Garfinkel, & Skaperdas (2006). Economics of conflict: An overview. Handbook of Defense Economics, 2, 649-709. 🠔
  14. 14. Grossman, H. I. (2002). Make us a king: Anarchy, predation, and the state. European Journal of Political Economy, 18, 31-46. 🠔
  15. 15. Grossman, H. I. (2004). Peace and war in territorial disputes (Working Paper 10601). National Bureau of Economic Research. 🠔
  16. 16. Herrera, J. P. (2008). Una breve aproximación teórica a modelos de monopsonio y oligopsonio. Consultado en http://www.javeriana.edu.co/fcea/pdfs_depto_economia/paper_2009_03_breve_aprox_teorica.pdf. [URL] 🠔
  17. 17. Hirshleifer, J. (1989). Conflict and rent-seeking success functions: Ratio vs. difference models of relative success. Public Choice, 63, 101-112. 🠔
  18. 18. Ibáñez, A., & Carlsson, F. (2010). A survey-based choice experiment on coca cultivation. Journal of Development Economics, 93, 249-263. 🠔
  19. 19. Jia, H., Skaperdas, S., & Vaidya, S. (2012). Contest functions: Theoretical foundations and issues in estimation. Int. J. Ind. Organ., doi: 10.1016/j.ijindorg.2012.06.007. [DOI] 🠔
  20. 20. Just, R., & Chern, W. (1980). Technology and oligopsony. The Bell Journal of Economics, 11(2), 584-602. 🠔
  21. 21. Konrad, & Skaperdas (2010). The market for protection and the origin of the state. Econ Theory, doi: 10.1007/s00199-010-0570-x. [DOI] 🠔
  22. 22. Link, C., & Landon, J. (1975). Monopsony and union power in the market for nurses. Southern Economic Journal, 41(4), 649-659. 🠔
  23. 23. Lowry, T., & Winfrey, J. (1974). The kinked cost curve and the dual resource base under oligopsony in the pulp and paper industry. Land Economics, 50(2), 185-192. 🠔
  24. 24. Manning, A. (2001). A generalized model of monopsony. Centre for Economic Performance - London School of Economics and Political Science. 🠔
  25. 25. Mehlum, Moene, & Torvik (2002). Plunder & Protection Inc. (Memorandum 10). Department of Economisc, University of Oslo. 🠔
  26. 26. Muth, M., & Wohlgenant, M. (1999). Measuring the degree of oligopsony power in the beef packing industry in the abscence of marketing input quantity data. Journal of Agricultural and Resource Economics, 24(2), 299-312. 🠔
  27. 27. Nicholson, W., & Snyder, C. (2010). Intermediate microeconomics (11th edition). South Western Cengage Learning. 🠔
  28. 28. Requillart, V., Simioni, M., & Varela, L. (2008). Imperfect competition in the fresh tomato industry. Toulouse School of Economics. Prepared for the 12th Congress of the European Association of Agricultural Economist. 🠔
  29. 29. Simaan, M., & Cruz, J. B. (1973). On the Stackelberg strategy in nonzerosum games. Journal of Optimization Theory and Applications, 11(5), 533-555. 🠔
  30. 30. Skaperdas, S. (2001). Warlord competition (Discussion Paper 2001/54). WIDER, United Nations University. 🠔
  31. 31. Skaperdas, S. (2010). The market for protection and the origin of the state. Econ Theory, doi: 10.1007/s00199-010-0570-x. [DOI] 🠔
  32. 32. Stackelberg, H. (2011). Market structure and equilibrium (1st ed.), translation into english, Bazin, Urch and Hill, Springer. 🠔
  33. 33. Tilly, Ch. (1985). War making and state making as organized crime. En P. Evans, D. Rueschemeyer & Th. Skocpol (eds.), Bringing the state back. Cambridge, Inglaterra: Cambridge University Press. 🠔
  34. 34. Tobón, A. (2012). Dinámicas y usos de la violencia neoparamilitar en el Valle del Cauca. Bogotá: Centro de Recursos para el Análisis de Conflictos (Cerac). 🠔
  35. 35. Tullock, G. (1995). Efficient rent seeking, toward a theory of the rentseeking society (pp. 153-179). Reprinted in The economics analysis of rent seeking, R. D. Tollison & R. D. Clngeton (eds.), The economic analysis of rent seeking (pp. 131-146). Edward Elgar Publishing. (Obra original publicada en 1980). 🠔
  36. 36. UNODC (Oficina de Naciones Unidas contra la Droga y el Delito). (2011). Estructura económica de las unidades productoras agropecuarias en zonas de influencia de cultivos de coca - Regiones Pacífico, Meta- Guaviare, Putumayo-Caquetá y Orinoquía. 🠔
  37. 37. Uribe, M. (2013). La nación vetada: Estado, desarrollo y guerra civil en Colombia. Bogotá: Universidad Externado de Colombia. 🠔
  38. 38. Vargas, E., & Schreiner, D. (1999). Modeling monopsony markets with regional CGE: The Oklahoma forest products industry case. The Journal of Regional Analysis & Policy, 29(2), 51-74. 🠔

Sugerencia de citación:

Serrano López, M. (2017). Condición monopsónica de los mercados ilegales: el caso de los cultivos ilícitos de coca. Cuadernos de Economía, 36(70), 49-73. doi: 10.15446/cuad.econ.v36n70.48671
Para este análisis se agradecen las observaciones de los pares evaluadores, que permitieron identificar estas variaciones.