Cuadernos de Economía
0121-4772
2248-4337
Universidad Nacional de Colombia
https://doi.org/10.15446/cuad.econ.v41n86.84457

Recibido: 6 de enero de 2020; Revision Received: 15 de agosto de 2020; Aceptado: 10 de septiembre de 2020

DESIGUALDAD DE GÉNERO E INTEGRACIÓN ECONÓMICA EN CENTROAMÉRICA

Gender inequality and economic integration in Central America

L. Cáceres, a

El Salvador. Correo electrónico: luisrenecaceres@gmail.com. El Salvador

RESUMEN

Este artículo ofrece evidencia del papel positivo que la reducción de la desigualdad de género ejerce en el crecimiento económico de los países centroamericanos. La metodología de análisis consiste en la estimación de ecuaciones por medio de mínimos cuadrados ordinarios, usando una sección cruzada de datos de 2017, de diecisiete países latinoamericanos. Se desarrolló un modelo de interdependencia económica para los países centroamericanos, con resultados que revelan que la reducción de la desigualdad de género en un país concreto conduce al aumento de su PIB y los de los otros países. Este tema no ha sido analizado en la literatura de la integración económica. La implicación es que los países pueden encontrar un medio para dinamizar sus economías, en la reducción de la desigualdad de género.

JEL:

B54, F15, F42, F43, J16, J71.

Palabras clave:

coordinación de políticas, crecimiento económico, discriminación de género, integración económica.

ABSTRCT

This article offers evidence of the positive role that the reduction of gender inequality plays in the economic growth of Central American countries. The analysis methodology consists of estimating equations by means of ordinary least squares, using a cross section of data from 2017 from seventeen Latin American countries. A model of economic interdependence was developed for the Central American countries, with results that reveal that the reduction of gender inequality in a specific country leads to an increase in its GDP as well as that of the other countries. This issue has not been analyzed in the literature on economic integration. The implication is that countries can find a way to boost their economies by reducing gender inequality.

JEL:

B54, F15, F42, F43, J16, J71.

Keywords:

Policy coordination, economic growth, gender discrimination, economic integration.

INTRODUCCIÓN

La desigualdad de género continúa recibiendo atención en las ciencias económicas. Este interés deriva, primero, de las luchas que tanto mujeres como organizaciones que velan por sus derechos llevan a cabo tenazmente en búsqueda de lograr plenos derechos para las mujeres. En ello, también ha influido el compromiso de centros de investigación internacionales y nacionales, y de investigadores individuales, con la vigencia de los derechos humanos y de la justicia social, sin distinción de género. Además, las investigaciones han sido motivadas por la evidencia de que la desigualdad de género es un obstáculo significativo para el desarrollo económico y social. Para los países de América Latina, el costo de esta desigualdad se estima en 17 % del producto interno bruto (PIB) regional (Cuberes y Teignier, 2012).

Entre los diversos tipos de inequidades, la desigualdad de género ha mostrado una peculiar persistencia. Mientras que la brecha en educación ha caído en muchos países, particularmente en los de América Latina, las brechas relacionadas con salarios, empleo y participación política muestran persistencia. Al mismo tiempo, la segregación ocupacional y sectorial ha aumentado en los países en vías de desarrollo (Borrowman y Klasen, 2017).

La brecha educativa ha decaído en todos los países de América Latina y, en la actualidad, las mujeres tienen mayores niveles de educación promedio que los hombres. Un aspecto importante con la brecha en educación se relaciona con las externalidades inherentes a la educación de las mujeres, en el sentido de que el incremento de la educación femenina conduce, por un lado, a la reducción de la mortalidad infantil y, por otro, al aumento del capital humano de las generaciones subsiguientes (Klasen, 2018).

La participación laboral femenina global alcanza una tasa de 50 %, mientras que la masculina es de 80 %. A ello se suma que la participación femenina en áreas profesionales de alto nivel es reducida: las mujeres ocupan solo 20 % de las sillas en el directorio de bancos y solo 1,0 % ocupa posiciones de jefatura ejecutiva; mientras que en el sector de tecnología tienen una probabilidad quince por ciento más baja que la de los hombres de ocupar posiciones ejecutivas (Dabla-Norris y Kochhar, 2019).

La discriminación de género en el mercado laboral representa una restricción para la oferta disponible a las empresas. Por tanto, estas contratan personal de relativa baja calidad, en comparación con el que podrían contratar si no existiera esta restricción (Kochhar et al., 2017). En consecuencia, la disparidad en participación femenina-masculina conduce a pérdidas de crecimiento económico (Klasen, 2000; Klasen y Lamanna, 2003).

Con base en el análisis de ecuación de regresión con datos panel, Ostry et al. (2018) encontraron que las contribuciones al crecimiento económico de las tasas de participación y de empleo asociadas al género femenino eran mayores que las contribuciones de las tasas masculinas. Estos autores estiman que, en países de América Latina, el incremento del PIB resultante de la eliminación de la brecha de participación sería de 20 % (Ostry et al., 2018).

Según cálculos de la Comisión Económica para América Latina y el Caribe (Cepal, 2018) para los países centroamericanos, los aumentos de los ingresos de los hogares a raíz del cierre de las brechas de participación serían: 35 % en Nicaragua; 25% en El Salvador; 24 % en Honduras; 21 % en Costa Rica y 16 % en Guatemala. Para Chile, el Banco Mundial (BM, 2008) estimó que, si ese país aumentara su tasa de participación femenina al nivel de América Latina, su PIB experimentaría un crecimiento adicional de tres por ciento1.

Conviene señalar que la participación femenina responde a los años de escolaridad alcanzados por las mujeres, como se ha constatado para Colombia (Arango y Posada, 2007) y Alemania (Fitzenberger et al., 2004). El BM (2011) ha reportado que, en el caso de diez países latinoamericanos, el incremento de la participación femenina en las dos décadas pasadas se explica por aumento de los niveles de escolarización, la postergación del matrimonio y la reducción de la fertilidad. Asimismo, la Cepal (2019) señaló que, en todos los países latinoamericanos, la tasa de participación aumenta con los años de educación cursados.

Existe evidencia de que, primero, la brecha salarial reduce las tasas de crecimiento económico (Cavalcanti y Tavares, 2016) y, segundo, se manifiesta en las mayores tasas de pobreza que experimentan las mujeres, en comparación con los hombres. Weller y Roethlisberger (2011) han apuntado que, en América Latina, el porcentaje de mujeres con ingresos inferiores a los que marcan la línea de pobreza fue, en 2007, 10 % más alto que el de los hombres. Además, existe evidencia de que las madres solteras jefas de hogar tienen una relativa alta propensión a vivir en la pobreza2.

El papel positivo de la participación política de las mujeres en el desarrollo socioeconómico ha sido reportado por varios autores, particularmente, Chattopadhyay y Duflo (2001), Duflo (2012) y Bhalotra y Clots-Figueras (2014), quienes han mostrado que, cuando las mujeres ocupan escaños en el Congreso Nacional, la oferta de bienes públicos aumenta, mientras cae la mortalidad infantil en las áreas geográficas que estas mujeres representan3.

De la literatura reseñada, se desprende que el proceso de desarrollo económico y social centroamericano demanda que se otorgue alta prioridad a la reducción de la desigualdad de género. En la promoción de la igualdad de género, los países centroamericanos encontrarán un asidero que cuenta con evidencia empírica categórica para impulsar el desarrollo económico y social.

Aquí, se analiza el incremento del crecimiento económico de los países centroamericanos como consecuencia de la reducción de sus índices de desigualdad de género (IDG). Este índice compuesto se calcula a partir del promedio, en tres parámetros: (1) salud, medida en términos de tasa de mortalidad materna y tasa de fertilidad de adolescentes; (2) brecha en empoderamiento, entendida como brechas entre la educación secundaria y los números de sillas ocupadas por mujeres en el parlamento; y (3) la participación femenina en la economía, es decir la brecha en las tasas de participación laboral con respecto a la masculina.

Se postula que, dentro de un esquema de integración económica como el centroamericano, la reducción de la desigualdad de género en un país dado resulta en el incremento de su tasa de crecimiento económico y, por tanto, el país aumentaría sus importaciones desde los otros países miembros. Todo ello conduciría a que estos incrementen sus tasas de crecimiento económico, lo cual, a su vez, genera un dinamismo económico de alcance regional. Este tema no ha recibido atención en la literatura de la integración económica; de modo que este trabajo recalca la importancia de que el programa de integración centroamericano incorpore el combate contra la desigualdad de género dentro de sus prioridades.

En la primera sección, se presenta una reseña de la literatura seleccionada sobre desigualdad de género; seguida de una reseña del programa de integración centroamericano en los últimos años. La siguiente sección presenta los datos y sus características. A continuación, se analiza el papel del gasto público social en la determinación del IDG y la incidencia de este indicador sobre el ahorro interno y la inversión privada. Se presenta también un modelo de interdependencia económica en un esquema de integración económica, donde se incorpora la variable "desigualdad de género", para computar los incrementos del vector de los PIB de los países centroamericanos ante reducciones del IDG en uno o varios países. En la siguiente sección se propone la adopción de una estrategia regional de igualdad de género. El trabajo finaliza con una serie de conclusiones.

RESEÑA DE LA LITERATURA

Klasen y Lamanna (2003) cuantificaron el papel de la desigualdad de género en la educación sobre el crecimiento económico, con datos del periodo 1960-2000 de los países del Norte de África y el Oriente Cercano. Las variables de desigualdad de género empleadas en el primer juego de estimaciones fueron la ratio de crecimiento de los años promedio de educación de niñas, en relación con las de los niños; mientras que, como variables de control se emplearon, entre otras, las tasas de inversión y de crecimiento de la población. Los resultados indican que los costos de la brecha de género en educación representaron la pérdida de crecimiento económico per cápita de 0,7 % anual. Una segunda medida de desigualdad de género se introdujo en otras estimaciones: la ratio de la tasa de participación femenina en relación con la masculina, con resultados que indicaron que esta variable ejerce un impacto negativo per cápita de 0,8 % anual sobre el crecimiento económico.

Brummet (2007) usó datos de corte transversal del periodo 1960-1985, para explicar el crecimiento económico per cápita de 72 países, en términos de dos mediciones de desigualdad de género: 1) las diferencias entre las tasas de matrícula de niñas y de niños en las escuelas primaria y secundaria; y 2) la diferencia entre el número promedio total de años de educación entre mujeres y hombres. Los resultados indican que el diferencial de educación en la escuela primaria da cuenta del mayor impacto negativo sobre el crecimiento económico, seguido por el impacto negativo resultante de la diferencia en años totales de educación; pero el coeficiente de la diferencia en las matrículas en la escuela secundaria no resultó significativo.

Agenor et al. (2018) desarrollaron un importante modelo de generaciones traslapadas para analizar el papel de las políticas dirigidas a reducir tanto la brecha de género en los ingresos obtenidos en el mercado laboral, como los impactos en el crecimiento económico.

El modelo desarrollado fue calibrado para representar el caso de Marruecos, donde los autores encontraron que la política pública de reducir la brecha de género en salarios, por medio de la vigilancia y penalización a las empresas que no cumplieran con ella, dio lugar a que las mujeres optaran por incrementar sus inversiones en su propia educación, lo que conducía a incrementar la oferta laboral de mujeres con destrezas adquiridas. El aumento de mujeres mejor capacitadas tendía a reducir el salario de las personas con menor calificación, lo que incrementa la demanda por mujeres capacitadas. En consecuencia, la ratio de mujeres y hombres con calificaciones aumentó. Esto, a su vez, impulsó a las primeras a ejercer presión sobre las empresas para combatir la discriminación en materia salarial. De esa manera, los autores argumentan que las mujeres realizan un papel de agentes de cambio.

Además, debido a los incrementos de sus salarios, el poder de decisión de la mujer en el hogar en relación con el manejo del presupuesto familiar aumenta. Esto conduce a reducir el consumo corriente y a incrementar las tasas de ahorro y de inversión y, por ende, de crecimiento económico. A través de su mayor poder de agencia en el hogar, debido a sus mejores salarios, producto de las políticas en contra de la discriminación de género, la mujer reduce el consumo corriente, de modo que contribuye a incrementar las tasas de ahorro, inversión y crecimiento económico.

Kim et al. (2016) desarrollaron un modelo de generaciones traslapadas, que calibraron con datos promedio del periodo 2010-2015 de una economía típica del este asiático, e incluyó entre sus parámetros los niveles promedio de educación, los tiempos dedicados al cuidado del hogar y las tasas de participación laboral, desglosados por sexo. Los autores llevaron a cabo un ejercicio de simulación del modelo, para determinar las repercusiones sobre el PIB, derivadas de la eliminación de la disparidad de género en 2016. Según sus resultados, después de 30 años, el PIB per cápita sería 30,1 % más alto que en el caso de mantener intacta la disparidad de género.

Hakura et al. (2016) estimaron ecuaciones de tipo panel, para una muestra de 115 países desarrollados y en vías de desarrollo, con datos quinquenales del periodo 1995-2015, para analizar el papel del índice de desigualdad de género sobre la tasa de crecimiento económico per cápita anual. Los resultados mostraron que la desigualdad de género tenía coeficientes negativos y significativos, especialmente en los países de menor desarrollo relativo. Los resultados indican que la caída de un punto porcentual del IDG en los países de bajos ingresos conduce al aumento de crecimiento per cápita de 0,2 puntos porcentuales.

Debe hacerse referencia al estudio de Chattopadhyay y Duflo (2001), en el que analizaron las consecuencias de la medida tomada en 1998 por el estado de Bengala Occidental, en India, en el contexto de una reforma constitucional puesta en vigor en 1992, de que un tercio de las posiciones de Pradhan, o sea el jefe del concejo municipal, sería ocupado por mujeres. Los autores llevaron a cabo una evaluación de esta política en cuanto al destino de los gastos municipales en las alcaldías lideradas por mujeres y hombres, por medio de análisis de regresión, para determinar la diferencia en gastos. Encontraron que, en las primeras, las inversiones en agua potable y caminos rurales eran el doble en magnitud que en las lideradas por hombres. Asimismo, los resultados indicaron que las mujeres destinaban mayores montos de recursos a la reparación de calles y a obras intensivas en mano de obra; además, en las alcaldías lideradas por mujeres, la participación política de estas aumenta. Resultados similares han sido reportados por Duflo (2012).

Entre los estudios realizados para el caso de los países latinoamericanos, puede mencionarse a Vascónez-Rodríguez (2017), quien, con base en un panel de datos de cinco países latinoamericanos, encontró que el aumento de la razón entre la participación laboral femenina y la masculina tiene impactos positivos sobre el crecimiento económico. De manera que un incremento de un punto porcentual en esta razón explica el aumento de la tasa de crecimiento del orden del 5,9 %.

Utilizando datos de una muestra de 169 países en vías de desarrollo, Novta y Cheng-Wong (2017) estimaron el nivel del PIB per cápita, incluyendo 28 de América Latina y el Caribe. Para ello, el PIB per cápita se definió como la variable dependiente de las tasas de participación laboral femenina, inflación, monto de la inversión extranjera, tasa de fertilidad y el grado de apertura de la economía.

Los autores estimaron los aumentos del PIB per cápita que resultarían de equipararse tanto la participación femenina al valor promedio alcanzado en los países nórdicos (61 %), como su participación con respecto a la masculina. Como resultado de la simulación, los países de América Latina y el Caribe experimentarían, en promedio, aumentos de 4 % y 14 % de su PIB per cápita, respectivamente. Vale la pena destacar que los países centroamericanos fueron los que mostraron los mayores aumentos del PIB per cápita en ambos casos4.

Por su parte, Cáceres (2019) analizó el impacto de variaciones en el IDG sobre la productividad laboral, utilizando datos de una sección cruzada de 16 países latinoamericanos. El resultado encontrado fue que el aumento de este índice generaba un incremento en el empleo informal, lo cual repercute negativamente en la productividad laboral y el crecimiento económico. Asimismo, Cáceres (2020a) concluyó que el aumento del empleo femenino con relación al masculino conduce al aumento de la tasa de ahorro doméstico, efecto que resultó más significativo en países con alta solidez institucional.

En un trabajo subsiguiente, Cáceres (2020b) analizó el caso de Honduras, con una serie temporal de datos del periodo 1990-2017. Encontró que los resultados reportados en un estudio previo llevado a cabo por él mismo (Cáceres, 2020a) prevalecían en el país. Además, reportó que la liberalización del comercio exterior había castigado más al empleo femenino que al masculino, hecho reflejado en la caída de la tasa de ahorro doméstico.

En general, la reseña de la literatura muestra que existe un gran potencial en los países centroamericanos, para avanzar en el logro de la igualdad de género. Una vez logrado, este tipo de paridad podría impulsar el crecimiento económico y generar empleo de calidad.

Para los países centroamericanos, hoy más que nunca, ante las condiciones y efectos provocados por la pandemia de coviD-19, se vuelve crítico aprovechar ese potencial. A partir de esa valoración, este trabajo se propuso encontrar evidencia que compruebe la hipótesis que la reducción de la desigualdad de género produce dinamismo en las economías de la región.

EL PROCESO DE INTEGRACIÓN ECONÓMICA DE CENTROAMÉRICA

El Programa de Integración Centroamericana inició en 1960 y, como tal, fue el esfuerzo pionero en materia de integración regional en América Latina. Asimismo, existe abundante evidencia de su impacto positivo en el crecimiento, la industrialización y la interdependencia entre los países miembros. Por ello, las autoridades económicas centroamericanas han mantenido su apoyo al programa, aun en periodos turbulentos, como la crisis de la deuda y las guerras civiles en algunos países, en la década de 1980.

Superados esos conflictos políticos, a principios de la década de 1990, pudo observarse la dinamización del comercio intrarregional, el cual llegó a alcanzar la suma de 9600 millones de dólares en 2017. La distribución de las exportaciones intrarregionales por país se muestra en la Tabla 1.

Tabla 1: Montos de exportaciones intracentroamericanas en 2017, en millones de dólares estadounidenses

Fuente: elaboración propia a partir de Secretaría del Tratado General de Integración Económica de Centroamérica.

Además del área de libre comercio intrarregional, los países emprendieron importantes iniciativas en distintas áreas, como (1) la integración vial, que redujo el costo del trasporte entre países; y (2) la interconexión eléctrica, que se inició en 1986, a pesar de la grave situación sociopolítica de entonces. Otros programas regionales de importancia han sido los de vivienda popular, la estabilización de los precios de los productos agrícolas de primera necesidad, la protección del medio ambiente y el apoyo a la microempresa.

Existe abundante literatura sobre la integración económica centroamericana, con contribuciones recientes que analizan los arreglos institucionales regionales existentes (Cáceres, 2007) y los efectos de las medidas sanitarias y fitosanitarias en los costos de los bienes transados entre países (Reyes y Kelleher, 2015).

También han sido objeto de estudio: la influencia de los vínculos financieros entre los países sobre los ciclos económicos (Kandil, 2011); el contagio entre países generado por crisis monetarias (Cáceres, 2014a); y las repercusiones del dinamismo económico de un país centroamericano dado sobre el empleo en los países restantes (Cáceres, 2014b).

El mercado más importante para las exportaciones centroamericanas, después de Estados Unidos, es la región misma. En efecto, las exportaciones intrarregionales representaron el 32 % de las exportaciones totales en 2013-2017, un porcentaje mayor que el 18% que representa el comercio intrarregional en otros esquemas de integración latinoamericanos, como el Mercosur y el Grupo Andino.

Desde el punto de vista de la participación por país en las exportaciones intrarregionales, con 48 %, El Salvador es el país que más exporta, seguido de Guatemala, con 40 %; mientras que Honduras, Nicaragua y Costa Rica muestran participaciones promedio de alrededor del 20 %. Es menester recalcar que las exportaciones intrarregionales se componen, principalmente, de productos manufacturados, en los que destacan los casos de Honduras y Nicaragua con porcentajes de 86 % y 76 %, respectivamente.

Los desarrollos recientes son buen augurio para el futuro del proceso de integración: Panamá se convirtió en miembro de pleno derecho del Sistema de la Integración Centroamericana en 2013. Guatemala y Honduras pusieron en funcionamiento su esquema de Unión Aduanera en 2017, al que El Salvador se adhirió en 2018.

Como se sabe, la Unión Aduanera abarca diversas áreas para la facilitación del comercio, tales como la adopción de declaraciones aduaneras uniformes, la existencia de una estructura arancelaria común y la simplificación del pago de derechos. Se ha estimado que este programa conducirá a mayores tasas de crecimiento económico anual, estimadas en 1,8 % para Guatemala y 2,4 % para Honduras (Redondo, 2018).

LOS DATOS

La principal fuente de datos son los World Development Indicators, del BM; excepto por el índice de desigualdad de género, que fue tomado del Reporte de desarrollo humano 2019, del Programa de las Naciones Unidas para el Desarrollo (PNUD). Los datos corresponden a 2017, año más reciente para el cual existen datos de los 17 países latinoamericanos5. La metodología del análisis consistió en la estimación de ecuaciones de regresión, por medio de mínimos cuadrados ordinarios, usando datos de una sección cruzada de los 17 países latinoamericanos. Los valores promedio y las desviaciones de los datos usados en las estimaciones se muestran en la Tabla 2.

Tabla 2: Valores promedio y desviaciones estándar de las variables

* Porcentaje del PIB.

Fuente: elaboración propia.

Causas y efectos de la desigualdad de género

En esta sección se argumenta que el IDG está determinado por el gasto social, el cual a su vez es determinado por la recaudación tributaria del país respectivo; así, se deduce que la reducción del IDG pasa por incrementar el gasto social y la tributación.

También se argumenta que la reducción del IDG conduce al aumento de la tasa de inversión privada y del PIB en el país respectivo, y que por la naturaleza y dinámica del esquema de integración económica centroamericano, la disminución del índice da lugar al incremento del PIB de los otros países.

El indicador de desigualdad de género, IDG, muestra valores diversos en los países centroamericanos, desde el más bajo correspondiente a Costa Rica -lo que denota un bajo nivel de discriminación a las mujeres, hasta los valores más altos que se registran en Guatemala, Honduras y Nicaragua (Tabla 3).

Tabla 3: Gasto social e IDG de los países centroamericanos

Fuente: elaboración propia.

En relación con las causas de los altos valores del IDG en los países centroamericanos, exceptuando a Costa Rica, puede argumentarse que radican en el bajo gasto social como porcentaje del PIB. Resulta posible entonces que, si el gasto social aumenta, el IDG tenderá a caer. Esta suposición tiene asidero en la evidencia de que el aumento del gasto social mejora la calidad de la educación, según han reportado varios autores y tal como se constata en Cáceres (2018). Con la mejora de la calidad de la educación, la deserción escolar femenina disminuye (Kushiyait, 2011; Lloyd y Clark, 2000), lo que permite que las mujeres adquieran mayores niveles de educación y, por tanto, su participación laboral aumente y el nivel de empleo ascienda (BM, 2011; Kearney y Levine, 2012).

Este argumento se respalda en los resultados de la estimación de una ecuación con datos de una sección cruzada de 17 países latinoamericanos, que expresa el IDG en términos del gasto social como porcentaje del PIB (GastoS) y una variable cualitativa (CualiBrasil), que toma el valor de uno en el caso de Brasil, y de cero en los otros países (ecuación 1)6.

Esta ecuación indica, por ejemplo, que si el gasto público social aumentara en Guatemala en 6 %, su IDG caería en 0,101 puntos, por lo que bajaría a 0,392, valor correspondiente al IDG de El Salvador.

Dado que el gasto social depende de la capacidad fiscal de los gobiernos, los altos valores del IDG de los países centroamericanos pueden asociarse también con la baja recaudación tributaria como porcentaje del PIB. De hecho, la ecuación que expresa el IDG en términos de la recaudación tributaria (Recaudación), tiene un coeficiente significativo y negativo. Junto con la variable cualitativa (CualiRecaudación), que toma el valor de uno en el caso de Guatemala, explican 41 % de la varianza del IDG (ecuación 2).

Para sustentar el aumento de la inversión privada ante la caída del IDG, conviene señalar que una reducción de la desigualdad de género se refleja en el aumento de la razón de empleo femenino a masculino. De acuerdo con los resultados presentados por Cáceres (2020a, 2020b), ello daría lugar al aumento de la tasa de ahorro interno (Figura 1).

Razón entre empleo femenino y masculino con respecto a la tasa de ahorro interno

Figura 1: Razón entre empleo femenino y masculino con respecto a la tasa de ahorro interno

Fuente: elaboración propia.

Por tanto, puede esperarse que exista una relación negativa entre la tasa de ahorro interno (Ahorro) y el IDG. La ecuación (3) expresa la tasa de ahorro interno en términos del IDG y de una variable cualitativa (CualiES) que representa el caso de El Salvador. Esta ecuación muestra que el coeficiente del IDG es negativo y significativo.

El aumento del ahorro estará asociado con el aumento de la inversión. La ecuación (4) expresa la tasa de inversión privada (Invpri), en términos del IDG y las variables cualitativas CualiUR y CualiGH que, respectivamente, toman los valores de 1 en los casos de Uruguay y Chile. Los resultados indican que el IDG tiene un coeficiente negativo y significativo, por lo cual explica el 75 % de la varianza de la tasa de inversión privada.

Son varias las variables que intervienen en la determinación de la inversión privada, como la disponibilidad de crédito, los términos de intercambio, la solidez institucional, entre otras, pero no se puede obviar el papel de la reducción de la desigualdad de género en incrementar la inversión privada, lo que está dentro del radio de acción de las autoridades económicas nacionales a través de la política fiscal.

Importancia del gasto social

Altos valores de IDG conllevan costos para los países, ya que existe evidencia de que está correlacionado negativamente con la productividad, el índice de estado de derecho, las exportaciones per cápita y la inversión privada. A su vez, tiene correlaciones positivas con las remesas, la tasa de pobreza y la tasa de homicidios por cada cien mil habitantes (Cáceres, 2019).

Dados los altos niveles de pobreza imperantes en la mayoría de los países centroamericanos, agravados actualmente por la pandemia del coviD-19, es recomendable que los países centroamericanos pongan en vigor todos los instrumentos que puedan contribuir a dinamizar sus economías y mejorar la situación social. Una de esas políticas es la reducción de la desigualdad de género, que puede lograrse por medio de aumentos del gasto social, lo cual conlleva aumentar la recaudación tributaria.

Desde luego, el aumento de la recaudación sigue siendo una tarea ardua. En el periodo estudiado, los países centroamericanos muestran altas tasas de evasión fiscal (Corbacho et al., 2012), a la vez que la tasa al impuesto sobre la renta -tanto de empresas como de personas- se redujo en todos los países a mediados de la década de 1990. Esto explicaría el bajo gasto social y el creciente endeudamiento.

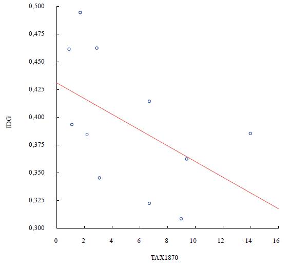
La Figura 2 muestra que los valores del índice de desigualdad de género correspondiente a 2017 tienen asociación negativa con los impuestos per cápita pagados por once países7 latinoamericanos en 1870 (Tax1870). Ello indica que la desigualdad de género ha ido reproduciéndose a través del tiempo. Combatir esta desigualdad implica, entonces, romper la trayectoria histórica de baja tributación y de evasión fiscal, y en términos generales superar la cultura de abuso y privilegio, como la ha llamado la Cepal (2018).

Impuestos per cápita pagados en 1870 e IDG de 2017

Figura 2: Impuestos per cápita pagados en 1870 e IDG de 2017

Fuente: elaboración propia.

Esto resalta la importancia de llevar a cabo reformas fiscales, cuyo principal objetivo sea la movilización de recursos adicionales para incrementar los servicios sociales y, de ese modo, lograr la concreción de los derechos humanos de los ciudadanos, principalmente, los derechos a la educación, la salud y el trabajo.

Puede plantearse que, incrementando el gasto social y la recaudación tributaria, los países centroamericanos pueden alcanzar mejores niveles de desarrollo social. Ello se vería reflejado en las caídas de sus IDG y en los aumentos del ahorro interno, la inversión y del crecimiento económico. En el marco de la integración centroamericana, si un país miembro incrementara su gasto social, esto conduciría al aumento de su dinamismo económico y los de los otros países miembros, al mismo tiempo. En este punto, conviene precisar que este es un tema que no ha sido abordado en la literatura de la integración económica regional.

MODELO DE INTERDEPENDENCIA ENTRE LOS PAÍSES CENTROAMERICANOS

El modelo de interdependencia económica desarrollado aquí se basa en la evidencia presentada en la ecuación (4), en el sentido de que la desigualdad de género reduce la inversión privada. Por tanto, en un esquema de integración económica, la reducción de la desigualdad de género en un país dado conduciría a incrementar su tasa de inversión privada y, por ende, aumentar el crecimiento económico. Esto dará lugar a que aumenten sus importaciones desde los otros países miembros, impartiendo así dinamismo a la economía regional. Es decir, el aumento del crecimiento económico experimentado por un país -gracias a la caída de su desigualdad de género- es compartido con los otros países miembros del esquema de integración.

Con miras a cuantificar la interdependencia económica en el marco de la reducción de la desigualdad de género, se recurre al conocido modelo de Metzler (1950), que es un modelo lineal que descansa en la demanda agregada de cada país. Este modelo tiene la ventaja de ser de aplicación simple a un conjunto de economías vinculadas por flujos comerciales recíprocos; además, permite calcular las repercusiones sobre el vector de PIB a partir de cambios en las variables exógenas, sin tener que recurrir a computaciones complejas.

No obstante, tiene la limitación de no incorporar variables de particular relevancia para los países en vías de desarrollo, como el dinero, el crédito y los términos de intercambio, entre otros. Por ello, el modelo ya no figura de manera destacada en la literatura.

De acuerdo con el modelo, se supone que para el país i, su PIB Yi está dado por la siguiente expresión (ecuación 5):

Donde:

Ci = consumo privado

Gi = consumo público

Ipi = inversión privada

Igi = inversión pública

Eoi = exportaciones extrarregionales

Moi = importaciones extrarregionales

Eij = exportaciones de i hacia j

Mij = importaciones de i desde j, igual a Eji

Σ representa el signo de sumatoria

La inversión y el consumo tanto privados (Ipri y Ci, respectivamente) como públicos (Igi y Gi), así como las importaciones de fuera del área (Moi), están determinados por el PIB (ecuaciones 6-10).

Las exportaciones e importaciones intrarregionales están determinadas por el PIB del país importador:

Al sustituir las ecuaciones (6-10) en la ecuación (5) se obtiene:

Donde f = ai + bi + ci + di - ei

La expresión 13 puede representarse en términos matriciales, según se indica en la ecuación (14).

Donde A es una matriz diagonal con elementos iguales a

Aii=1 - f + Σmij, con elementos fuera de la diagonal principal igual a cero.

B es una matriz con ceros en la diagonal principal y elementos fuera de la diagonal principal iguales a Bij = -xij

Finalmente, Y es el vector de PIB de los países; Eo es el vector de exportaciones extrarregionales y (A+B) es la matriz Metzler (T).

El vector de PIB se puede obtener de la expresión (14).

La desigualdad de género se introduce en el modelo, por medio del resultado de la ecuación (8), que expresa la propensión media a invertir del sector privado (ci), en términos del índice de desigualdad de género (Di):

Por tanto, los elementos de la matriz A pueden escribirse ahora como:

La matriz A se define como F+H, donde F y H son matrices diagonales con elementos dados por la siguiente expresión:

La ecuación (14) puede escribirse según se muestra en la ecuación (16).

Los efectos de los cambios de la desigualdad de género en un país dado sobre el vector de PIB se encuentran al derivar la expresión (16) con respecto a Di (ecuación 17).

Dado que

Se obtiene que

resolviendo por

La matriz de multiplicadores es igual a (T)-1 y, por tanto, la expresión (18) puede reescribirse como muestra la ecuación (19).

La ecuación (19) implica que el crecimiento económico resulta tanto de la evolución de las variables exógenas, o sea de las exportaciones extrarregionales; así como del cambio estructural al interior de la matriz económica regional, que resulta del cambio en la desigualdad de género.

La aceleración del crecimiento económico está dada por la ecuación (20).

RESULTADOS

Los parámetros de las ecuaciones (2-8) mostradas en la sección anterior se computaron usando valores promedio de los datos de 2015 y 2016, tomados del World Development Indicators del BM. Con esa base se calculó la matriz de Metzler (A+B), que se presenta en la Tabla 4.

Tabla 4: Matriz de Metzler

Fuente: elaboración propia.

La matriz de multiplicadores se obtiene computando la inversa de la matriz de Metzler (Tabla 5).

Tabla 5: Matriz de multiplicadores

Fuente: elaboración propia.

La matriz de multiplicadores indica que, por ejemplo, si las exportaciones extrarregionalas de Honduras aumentaran en 100 USD, su PIB aumentaría en 145,43 USD; mientras que los PIB de Guatemala y El Salvador aumentarían en 24,15 y 10,44 USD, respectivamente. Puede observarse que Guatemala es el país que recibe los multiplicadores de mayor dimensión desde los otros países. En segundo lugar, en cuanto a la dimensión de los multiplicadores recibidos se encuentra Costa Rica, seguido de El Salvador.

Impactos de cambios en el índice de desigualdad de género

A continuación, se analizan tres casos de reducciones de la desigualdad de género en países concretos, los cuales tienen impactos en los otros países. En el primer caso, se supone que el índice de la desigualdad de género de Nicaragua cae en 0,033. La expresión es la siguiente8:

Con base en la ecuación (19), se obtiene que los cambios en los PIB están dados por la siguiente expresión:

Este vector indica que el PIB de Nicaragua aumenta en 263,16 millones de USD, equivalente a un crecimiento de 1,9 %, mientras que el PIB de Costa Rica aumentaría en 35,88 millones de USD, o sea 0,06 % Estos aumentos son congruentes con los valores que corresponden al estudio de Hakura et al. (2016).

En un segundo caso, se calculó el desplazamiento del vector de PIB a raíz de una disminución del índice de desigualdad de género de Honduras de 0,033, con el resultado siguiente:

En este caso, el PIB de Honduras aumenta en 371,28 millones de USD, o sea un aumento de su tasa de crecimiento económico de 1,62 %, mientras que el de El Salvador aumenta en 26,66 millones de USD, lo que equivale en términos porcentuales a 0,11 %.

Economías de concertación regional

Debe señalarse que, con base en la ecuación (1), que establecía la relación entre el IDG y el gasto público social, la disminución del índice de desigualdad de género en 0,033 requiere incrementar el gasto social en 1,80 puntos porcentuales (0,033/0,0167).

En un plazo de 10 años, el crecimiento acumulado de Honduras, obtenido por la reducción de la desigualdad de género, sería de 16,20 % del PIB; dado que la razón de ingresos tributarios a PIB es 15 %, la recaudación adicional de ingresos tributarios sería de 2,43 %. O sea que el aumento del gasto público social de 1,80 puntos porcentuales generaría ingresos tributarios adicionales que, como porcentaje del PIB, alcanzarían la cifra de 2,43 puntos porcentuales. Por tanto, se deduce con propiedad que esta inversión se paga por sí sola y en un plazo relativamente corto.

Un cálculo adicional se llevó a cabo para computar los efectos de que todos los países redujeran simultáneamente sus indicadores de desigualdad de género en 0,033 puntos.

En este caso, la matriz es la que se muestra a continuación:

Los cambios en el vector de los PIB están dados por las siguientes expresiones matriciales:

El PIB de Honduras experimenta un aumento de 1,78 %, mientras que el PIB de Nicaragua aumenta en 2,11 %. Estas tasas son superiores a las alcanzadas cuando las reducciones de la desigualdad de género ocurrieron exclusivamente en el plano nacional, de 1,91 % en Nicaragua y de 1,62 % en Honduras.

La Tabla 6 deja claro que, cuando la reducción del IDG ocurre simultáneamente en todos los países, las tasas de crecimiento económico resultantes son superiores a las correspondientes a los casos en que el IDG decrece en solo un país.

Tabla 6: Externalidades de concertación

Fuente: elaboración propia.

En este caso de reducciones simultaneas del IDG, el incremento de crecimiento económico que Honduras recibe en un horizonte de 10 años es de 17,80 %, lo que daría lugar a un incremento de la recaudación de 2,67 %, superior al 2,43 % resultante de la reducción de la desigualdad de género exclusivamente nacional. Es decir, la acción concertada regional en materia de reducir la desigualdad de género disminuye los costos de las inversiones requeridas. Esto puede llamarse la creación de externalidades regionales de carácter social, resultado de la concertación regional, que ha pasado inadvertida en la literatura de la integración económica.

Este ejercicio indica que, en relación con la reducción de la desigualdad de género, la acción concertada a nivel centroamericano es una valiosa estrategia para lograr tasas de crecimiento económico de mayor dimensión que si las reducciones de la desigualdad de género se efectuaran exclusivamente en un plano nacional.

Los mayores aumentos del PIB resultantes de la reducción de la desigualdad ocurren en Guatemala, Costa Rica y El Salvador. Esto se explica por sus altos multiplicadores propios y recibidos de los otros países. Es decir, la caída de la desigualdad se hace sentir de acuerdo con la estructura económica de cada país, y con el volumen de sus corrientes comerciales con los otros países miembros.

Hay que observar que los incrementos del PIB de Guatemala y El Salvador en el escenario de acciones concertadas, de 3511 y 692 millones de dólares, respectivamente, equivalen a incrementos de sus exportaciones extrarregionales en 894 (3511/3,93) y 336 (692/2,06) millones de dólares. Estos logros pueden ser alcanzados por estos países mediante políticas nacionales, sobre las cuales tienen control, principalmente, por medio del incremento del gasto público social. Es decir, la reducción de la desigualdad de género constituye un medio para "desprender" las economías nacionales de las vicisitudes de la economía internacional.

HACIA UNA ESTRATEGIA REGIONAL DE IGUALDAD DE GÉNERO

Los resultados presentados en este trabajo indican que el avance hacia la igualdad de género debería ser objeto de acciones conjuntas de los países centroamericanos, con miras a aprovechar las economías de concertación identificadas en este estudio. La Tabla 7 presenta un esquema que delinea las acciones nacionales y regionales que podrían emprenderse en un marco de compromisos adoptados por cada país. Por ejemplo, a nivel nacional, se implementarían los compromisos regionales de incrementar sustancialmente los gastos públicos en educación y salud; así como el crédito concedido a mujeres, la participación de estas en el Congreso, el Ejecutivo y en Alcaldías, y el diseño de redes nacionales de guarderías infantiles.

Tabla 7: Esquema de estrategia regional de equidad de género

Fuente: elaboración propia.

Las acciones de carácter regional comprenderían acciones conjuntas, para la consecución de recursos financieros externos, creación de un observatorio regional de género, políticas regionales de protección a madres solteras y a la población LBGT, a las mujeres indígenas y afrocentroamericanas, la participación y posiciones conjuntas en cónclaves internacionales, entre otras. De particular importancia es la adopción de un compromiso regional, para ser implementado a nivel nacional en plazos diferenciados por países, sobre el establecimiento de cupos o cuotas de posiciones de elección popular ocupadas por mujeres, principalmente en el Congreso, el Ejecutivo y las Alcaldías. Hay que apuntar que Besley y Case (1997) reportaron que las iniciativas de ley asociadas con apoyo a la infancia y a la clase trabajadora resultan benéficas en países donde las mujeres tienen alta representación en el Congreso.

Los avances de los compromisos nacionales y regionales serían objeto de seguimiento anual con base en un conjunto de indicadores. Entre estos, se encuentran las proporciones de mujeres en el Congreso, Ejecutivo y Alcaldías; las tasas de mortalidad materna e infantil, matrícula universitaria de mujeres en ciencias e ingenierías; número de feminicidios y de violencia en el hogar contra la mujer; ratios de empleo de calidad femenino a masculino; de auto empleo femenino a masculino; de participación laboral femenina a masculina; deserción escolar femenina a masculina; salarios femeninos a masculinos; cobertura de pensiones, educación especial y educación temprana de la primera infancia, femenina a masculina; número de empresas iniciadas por mujeres; atención de niñas y niños con discapacidades; crédito bancario destinado a mujeres como porcentaje del total; porcentajes de jóvenes que no estudian ni trabajan; tasa de fertilidad de adolescentes e índice de desigualdad de género, etc.

Las autoridades de cada país proporcionarían los valores de los indicadores iniciales para establecer una línea de base.

Los indicadores actualizados serían objeto de análisis por los presidentes de los países centroamericanos en sus reuniones periódicas. El avance en estos indicadores generaría sentimientos de cohesión social entre la población centroamericana, al tiempo que contribuiría al rescate de su dignidad e identidad cultural, y a la creación de nuevos impulsos de crecimiento económico que conducirían a reducir la violencia y la emigración ilegal.

CONCLUSIONES

Los resultados presentados aquí indican que muchos beneficios económicos pueden derivarse de la reducción de la desigualdad de género, principalmente, en términos de aumentos de la inversión privada y el crecimiento económico. Estos beneficios, que difícilmente podrían obtenerse por medio de políticas económicas o sociales exclusivamente, evidencian que la política de igualdad de género es de hecho una auténtica política macroeconómica, social e institucional, que sirve de sustento a las políticas económicas tradicionales.

Dada la evidencia presentada por Junakar (1991) y Banerjee y Duflo (2007), que sustenta que las personas pobres o desempleadas tienden a morir a edad más temprana que las personas que no han experimentado condiciones de pobreza, ni desempleo, puede argumentarse que la desigualdad de género, en cuanto genera pobreza y subempleo, reduce el tiempo de vida de las personas. La implicación es que la discriminación de género constituye una afrenta al derecho a la vida consagrado en el artículo 3 de la Declaración Universal de Derechos Humanos: "Toda persona tiene derecho a la vida", lo que da legitimidad a las acciones concertadas de la ciudadanía para demandar incrementos en las inversiones sociales que combatan la desigualdad económica y de género, y evitar la muerte prematura de amplios segmentos de la población.

Sin embargo, en varios países de la región, la política de igualdad de género todavía se ubica como un apartado o apéndice de la política social, de manera que sus contribuciones al crecimiento macroeconómico no están siendo reconocidas ni aprovechadas plenamente. De allí, la necesidad de levantar el perfil conceptual y estratégico de la paridad de género y hacerla sujeta a consideración y seguimiento continuo, como se hace con las tasas de inflación, crecimiento y déficit fiscal.

Conviene tener presentes los resultados de este trabajo, que sugieren que la reducción de la desigualdad de género en un país centroamericano conduce al incremento de su tasa de crecimiento económico y las de los otros países, incrementos que son mayores cuando la reducción de la desigualdad de género se lleva a cabo de manera concertada, o simultánea, en los países.

Lo anterior es de particular importancia para los países centroamericanos, en vista de las bajas tasas de ahorro nacional y crecimiento económico; así como de altos déficits en la cuenta comercial de la balanza de pagos; todo como un patético fiasco de las reformas económicas de la década de 1990. En el avance hacia la paridad de género, los países pueden encontrar nuevos impulsos de crecimiento económico que vendrían a (1) mejorar la situación de empleo, (2) frenar la violencia y la emigración irregular y (3) contrarrestar las repercusiones de la crisis del COVID-19.

Estas acciones serán más productivas si se emprenden en un plano regional, para aprovechar las externalidades que resultan de la acción conjunta y concertación regional. Esa debería ser la máxima prioridad del sistema de integración regional, centroamericano: avanzar decididamente en el establecimiento de un marco económico, social e institucional que otorgue y garantice a las mujeres las mismas oportunidades que a los hombres; en las áreas social, de salud y educación, de participación laboral, ingresos, participación política y de medidas compensatorias que permitan la plena igualdad de género en el territorio centroamericano y los distintos estratos sociales.

En el marco de la política regional de género, debe otorgarse especial preponderancia a la construcción de redes nacionales de guarderías infantiles, que sirvan para promover la mayor participación laboral femenina y, en especial, para otorgar a madres solteras oportunidades de continuar sus estudios. Hay que apuntar que, en países en vías de desarrollo, la reducción del costo de las guarderías infantiles en la mitad ha conducido al aumento de 10 % de la participación de madres jóvenes en el mercado laboral (Dabla-Norris y Kochhar, 2019).

Tsounta (2006) ha apuntado que la participación femenina se incrementa, en relación estrecha con la existencia de servicios públicos de guarderías infantiles, ello apunta a que la estabilidad y el dinamismo económico de algunos países (Canadá, países escandinavos) se explica por los altos niveles de participación femenina, posible por la existencia de amplias redes de guarderías infantiles. También se ha reportado que la existencia de servicios de guarderías infantiles de bajo costo contribuye a la reducción de las horas de trabajo no remunerado de las mujeres (Alonso et al., 2019). En la región, debe tomarse en cuenta que, las mujeres de 25 a 35 años que experimentaron embarazos en su adolescencia cursaron 3,2 años menos de educación que las mujeres que no fueron madres adolescentes (Cepal, 2018).

Otra área de especial importancia es el diseño y ejecución de programas nacionales de educación temprana de la infancia, entre cuyos múltiples beneficios se encuentran los incrementos de los años de escolaridad y de participación laboral de los beneficiarios de ambos sexos. El Banco Interamericano de Desarrollo (1998) ha presentado evidencia de que en Brasil la expansión de los servicios de guarderías publicas de bajo costo condujo al incremento de la tasa de participación laboral femenina. Estos servicios también contribuyeron a que hermanas y hermanos de los niños que atendían las guarderías aumentaron sus años de escolaridad, ya que no tenían que desempeñarse como "madres" o "padres".

Como temas de futura investigación, debería analizarse si el impacto perverso de la desigualdad de género sobre la macroeconomía puede ser atenuado por la movilidad social existente en el país respectivo, siguiendo el análisis de Aiyar y Ebeke (2019) del papel de la movilidad social en la relación entre desigualdad económica y crecimiento económico. Asimismo, podría emularse el trabajo de Aghion et al. (2015), quienes reportaron la existencia en EE. UU. de una relación positiva entre la generación de invenciones y la movilidad social, para estudiar si, en los países latinoamericanos con bajas tasas de desigualdad de género, experimentan más altas tasas de innovación. La manera en que el trabajo no remunerado de las mujeres impacta en el índice de desigualdad de género y, por tanto, en la macro-economía, podría ser otro tema objeto de estudio, partiendo del análisis de Alonso et al. (2019).

Es imperativo que los países centroamericanos reconozcan la evidencia histórica de que el desarrollo social precede el desarrollo económico y que, sin grandes inversiones en el bienestar de las y los ciudadanos, especialmente de los segmentos de bajos ingresos, continuarán el subdesarrollo, la violencia y la emigración irregular. Adoptar el desarrollo humano como la primera prioridad de los países centroamericanos es un paso ineludible para superar el destino de un más profundo subdesarrollo, que actualmente se vislumbra en el horizonte.

REFERENCIAS

  1. 1. Agenor, P. R., Kamer, R., Ozdemir, K., & Pinto, E. (2018). Gender gaps in the labor market an economic growth (Documento de Trabajo 8661). Banco Mundial. 🠔
  2. 2. Aghion, P., Akcigit, U., Bergeaud, A., Blundell, R., & Hemous, D. (2015). Innovation and top income inequality (Discussion Paper 10659). CEPR Discussion Papers. https://econpapers.repec.org/paper/cprceprdp/10659.htm [URL] 🠔
  3. 3. Aiyar, Sh., & Ebeke, Ch. (2019). Inequality of opportunity, inequality of income and economic growth (Working Paper Wp/19/34). International Monetary Fund. 🠔
  4. 4. Alonso, C., Brussevich, M., Dabla, E., Kinoshita, Y., & Kochhar, K. (2019). Reducing and redistributing unpaid work: Stronger policies to support gender equality (Working Paper Wp 19/225). International Monetary Fund. 🠔
  5. 5. Arango, L. E., & Posada, C. E. (2007). Labor participation of married women in Colombia. Desarrollo y Sociedad, 60, 93-126. https://doi.org/10.13043/dys.60.3 [URL] 🠔
  6. 6. Banco Interamericano de Desarrollo -BID. (1998). Facing up to inequality in Latin America. Washington D. C. 🠔
  7. 7. Banco Mundial -BM. (2008). Chile - Gender assessment: Expanding women's work choices to enhance Chile's economic potential (Report 36228-CL). Banco Mundial. 🠔
  8. 8. Banco Mundial -BM. (2011). World development report: Conflict, security and development. Autor. 🠔
  9. 9. Banerjee, A. V., & Duflo, E. (2007). Aging and death under a dollar a day (Documento de Trabajo 13683). National Bureau of Economic Research. 🠔
  10. 10. Besley, T., & Case, A. (1997). Women in politics. Finding instruments for incidence analysis. Mimeo. London School of Economics and Princeton University. 🠔
  11. 11. Bhalotra, A., & Clots-Figueras, I. (2014). Health and the political agency of women. American Economic Journal Economic Policy, 6, 164-197. 🠔
  12. 12. Borrowman, M., & Klasen, S. (2017). Drivers of gendered sectoral and occupational segregation in developing countries (Discussion Paper 220). Goettingen. 🠔
  13. 13. Brummet, Q. (2007). The effect of gener inequality on growth: A crosscountry empirical study. The Park Place Economist, 16(1), 12-23. 🠔
  14. 14. Cáceres, L. R. (2007). Los retos de la integración centroamericana. Comercio Exterior, 57(1), 55-58. 🠔
  15. 15. Cáceres, L. R. (2014a). Contagio de volatilidad entre mercados cambiarios. Comercio Exterior, 64(3), 44-54. 🠔
  16. 16. Cáceres, L. R. (2014b). Economic integration and unemployment in Central America, Journal of Developing Areas, 48, 43-60. 🠔
  17. 17. Cáceres, L. R. (2018). Hechos estilizados sobre la calidad de la educación en América Latina (inédito). 🠔
  18. 18. Cáceres, L. R. (2019). Productividad laboral en América Latina. Estudios Centroamericanos, 73, 245-275. https://doi.org/10.51378/eca.v73i754.3169 [URL] 🠔
  19. 19. Cáceres, L. R. (2020a). Género y ahorro interno en América Latina. Revista Mexicana de Economía y Finanzas, 15(3), 414-434. https://doi.org/10.21919/remef.v15i3.515 [URL] 🠔
  20. 20. Cáceres, L. R. (2020b). Gender, employment, and internal savings in Honduras (inédito). 🠔
  21. 21. Cavalcanti, T., & Tavares, J. (2016). The output cost of gender discrimination: A model-based macroeconomic estimate. Economic Journal, 126, 109-134. https://doi.org/10.1111/ecoj.12303 [URL] 🠔
  22. 22. Chattopadhyay, R., & Duflo, E. (2001). Women as policy markers: Evidence from a India-Wide randomized policy experiment (Documento de Trabajo 8615). National Bureau of Economic Research. 🠔
  23. 23. Comisión Económica para América Latina y el Caribe -Cepal. (2018). La ineficiencia de la desigualdad. Autor. 🠔
  24. 24. Comisión Económica de América Latina y el Caribe -Cepal. (2019). Panorama social de América Latina y el Caribe. Santiago, Chile. 🠔
  25. 25. Corbacho, A., Fretes, C. V., & Lora, E. (Eds.). (2012). Recaudar no basta. Banco Interamericano de Desarrollo. 🠔
  26. 26. Cuberes, D., & Teigneir, M. (2012). Gender gaps in the labor market and aggregate productivity (Documento de Trabajo 2012-2017). University of Sheffield. 🠔
  27. 27. Dabla-Norris, E., & Kochlar, K. (2019). Closing the gender gap. Finance and Development, 56. 🠔
  28. 28. Duflo, E. (2012). Women empowerment and economic development. Journal of Economic Literature, 50(4), 1051-179. 🠔
  29. 29. Fitzenberger, B., Schnabel, R., & Wunderderlich, G. (2004). The gender gap in labor market participation and employment: A cohort analysis for west Germany. Journal of Population Economics, 17(1), 83-116. 🠔
  30. 30. Hakura, D. S., Hussain, M., Newiak, M., Thakoor, V., & Yang, F. (2016). Inequality, gender gaps and economic growth: Comparative evidence for Sub-Saharan Africa (Documento de Trabajo 6111). Fondo Monetario Internacional. 🠔
  31. 31. Junakar, P. N. (1991). Unemployment and mortality in england and wales: A preliminary analysis (Oxford Economic Papers 43). Oxford University Press. 🠔
  32. 32. Kandil, M. (2011). Trade flows, financial linkage, and business cycles in Latin America. Journal of Economic Integration, 26(3), 526-553. https://doi.org/10.11130/jei.2011.26.3.526 [URL] 🠔
  33. 33. Kearney, P., & Levine P. (2012). Why is the teen birth rate in the united states so high and does it matter? Journal of Economic Perspectives, 26(2), 141-163. 🠔
  34. 34. Kim, J., Lee, J. W., & Shin, K. (2016). A model of gender inequality and economic growth (Documento de Trabajo 474). Banco Asiático de Desarrollo. 🠔
  35. 35. Klasen, S. (2000). Does gender inequality reduce growth and development? Evidence from cross-country regressions (Paper 212). Universidad de Munich. 🠔
  36. 36. Klasen, S. (2018). The impact of gender inequality on economic performance in developing countries. Annual Review of Resource Economics, 10(1), 279-298. https://doi.org/10.1146/annurev-resource-100517-023429 [URL] 🠔
  37. 37. Klasen, S., & Lamanna, F. (2003). The impact of gender inequality in education and employment on economic growth in the Middle East and North Africa. Documento de consulta para la preparacion del World Development Report del Banco Mundial. 🠔
  38. 38. Klasen, S., & Lamanna, F. (2009). The impact of gender inequality in education and employment on economic growth: New evidence for a panel of countries. Feminist Economics, 15(3), 91-132. 🠔
  39. 39. Kochhar, K., Jain-Chandra, S., & Newiak, M. (2017). Women, work, and economic growth (Documento de Trabajo). Fondo Monetario Internacional. 🠔
  40. 40. Kushiyait, B. K. (2011). School dropout and its relationship with quality of primary education in Nepal. Geographical Journal of Nepal, 8-9, 23-32. https://doi.org/10.3126/gjn.v9i0.17468 [URL] 🠔
  41. 41. Lloyd, C., & Clark, W. (2000). The effects of primary school quality on school drop out among Kenyan girls and boys. Comparative Education Review, 44(2), 113-147. 🠔
  42. 42. Meltzer, L. A. (1950). A multi-region theory of income and trade. Econometrica. 🠔
  43. 43. Novta, N., & Cheng-Wong, J. (2017). Women at work in Latin America and the Caribbean (Documento de Trabajo 17/34). Fondo Monetario Internacional. 🠔
  44. 44. Ostry, J. D., Álvarez, J., Espinoza, R., & Papageorgiou, Ch. (2018). Economic gains from gender inclusion: New mechanisms, new evidence (Staff Discussion Note 18/06). Fondo Monetario Internacional. 🠔
  45. 45. Redondo, M. (2018). Estado de la situación de la integración económica centroamericana. SIECA. 🠔
  46. 46. Reyes, J. D., & Kelleher, S. (2015). Poverty reduction through regional integration. Journal of Economic Integration, 30(4), 644-679. 🠔
  47. 47. Sokoloff, K. L., & Zolt, E. (2007). Inequality and the Evolution of Institutions of Taxation: Evidence from the Economic History of the Americas. En S. Edwards, G. Esquivel & G. Marquez (eds.), The decline of Latin American Economies: Growth, institutions, and crisis. University of Chicago Press. 🠔
  48. 48. Tsounta, E. (2006). Why are women working so much more in Canada? An international perspective (Documento de Trabajo 6/92). Fondo Monetario Internacional. 🠔
  49. 49. Vascónez-Rodríguez, A. (2017). Crecimiento económico y desigualdad de género: análisis de panel para cinco países latinoamericanos. Revista de la Cepal, 122, 86-113. 🠔
  50. 50. Weller, J., & Roethlisberger, C. (2011). La calidad del empleo en América Latina. (Serie Macroeconomía del Desarrollo 10). Cepal. 🠔
De acuerdo con datos publicados por The Economist (2011), el aumento del PIB estadounidense, resultante de la eliminación de la brecha de participación, sería de 9 %; mientras que en los países del área euro, sería de 13 %; y de 16 %, para Japón.
Ver el reporte de las Naciones Unidas, World's Women 2015.
Sobre los cambios ocurridos en el estado de Nevada (EE. UU.), después de que mujeres diputadas obtuvieran mayoría en el Congreso estatal, el Washington Post (2019) reportó: "Since Nevada seated the nation's first majority-female state legislature in January, the male old guard has been shaken up by the perspectives of females lawmakers. Bills prioritizing women's health safety have soared to the top of the agenda. Mounting reports of sexual harassment have led one male lawmaker to resign. And policy debates long dominated by men, including prison reform and gun safety, are yielding to female voices [...] The female majority is having a huge effect: More than 17 pending bills deal with sexual assault, sex trafficking and sexual misconduct, with some measures aimed at making it easíer to prosecute offenders. Bills to ban child marriage and examine the causes of maternal mortality are also on the docket [...]. 'I can say with 100 percent certainty that we wouldn't have had this conversation a few years ago', said Assembly Majority Leader Teresa Benitez-Thompson (D). None of these bills would have seen the light of the day".
En el escenario de alcanzar la paridad de género en participación, los incrementos de los PIB per cápita fueron: Honduras, 24 %; Costa Rica, 18 %; El Salvador, 17 %; y Guatemala, 22 %.
Los países son Argentina, Uruguay, Chile, Costa Rica, Panamá, México, Brasil, Ecuador, Perú, Colombia, República Dominicana, Paraguay, Bolivia, El Salvador, Nicaragua, Guatemala y Honduras.
En esta y en las otras ecuaciones los estadísticos "t" se presentan debajo de los correspondientes coeficientes.
Los países son Argentina, Brasil, Chile, Costa Rica, Colombia, El Salvador, Honduras, Perú, Nicaragua, Bolivia y Guatemala. La fuente de datos de la tributación per cápita en 1870 es Sokoloff y Zolt (2007).
El valor 0,0111 resulta de multiplicar 0,033 por 0,3283, la propensión a invertir, tomada de la ecuación (4).
Cáceres, L. R. (2022). Desigualdad de género e integración económica en Centroamérica. Cuadernos de Economía, 41(86), 47-76. https://doi.org/10.15446/cuad.econ.v41n86.84457