Cuadernos de Economía
0121-4772
2248-4337
Universidad Nacional de Colombia
https://doi.org/10.15446/cuad.econ.v41n86.84973

Recibido: 7 de febrero de 2020; Revision Received: 28 de agosto de 2020; Aceptado: 5 de septiembre de 2020

¿EL TRATADO DE LIBRE COMERCIO ENTRE COLOMBIA Y ESTADOS UNIDOS INCENTIVÓ EL COMERCIO BILATERAL?

Did the FTA between Colombia & the USA promote bilateral trade?

K. Rojas Contreras, a

Consultora e investigadora. Cúcuta, Norte de Santander, Colombia. Correo electrónico: kgrojas@uninorte.edu.co. Consultora e investigadora Cúcuta Norte de Santander Colombia

RESUMEN

Los efectos sobre el comercio bilateral entre Colombia y Estados Unidos por el tratado de libre comercio (TLC) firmado entre las partes son calculados mediante el Modelo Gravitacional de Comercio, el cual determinó que el comercio entre ambos países no ha sido tan dinámico como estimaron estudios previos. Adicionalmente, un análisis ex post es realizado para exponer los efectos de la política arancelaria en el marco del TLC y cuantificar la creación y desviación de comercio sobre los artículos bajo cuotas arancelarias. El análisis contiene cuatro secciones: revisión de literatura, explicación del modelo usado, resultados y conclusiones.

JEL:

C01, C02, C23, F14.

Palabras clave:

política arancelaria, libre comercio, modelo gravitacional, TLC.

ABSTRACT

The effects on bilateral trade between Colombia and USA brought about by the Free Trade Agreement (FTA) signed by both parties are measured by means of the Gravity Model of Commerce, which determined that the trade flows between the two countries have not been as dynamic as previous studies had estimated. Additionally, an ex-post analysis is carried out to set forth the effects of the tariff policy within the framework of the FTA and also to quantify the creation and diversion of trade among articles under tariff quotas. This analysis has four sections: literature review, explanation of the model employed, results, and conclusions.

JEL:

C01, C02, C23, F14.

Keywords:

Tariff policy, Free trade, gravity model, FTA.

INTRODUCCIÓN

Es común considerar que el comercio internacional ofrece una oportunidad para que los países puedan crecer y desarrollarse, consolidándose como el escenario ideal para que estos adquieran bienes extranjeros de mejor calidad, a menor precio que los bienes nacionales (Feenstra y Taylor, 2014, p. 56). La diferencia en precio y calidad de un producto puede darse por la Ventaja Comparativa o puede ser efecto de la existencia de barreras arancelarias y no arancelarias.

En ese sentido, la ventaja comparativa de las naciones y la ubicación geográfica estratégica impulsaron la creación de "uniones arancelarias". Ello provocó la transferencia de centros de producción dentro de la unión para la fabricación de nuevos bienes, fenómeno conocido como "creación de comercio". Incitando también el desplazamiento del centro de producción de un bien desde un tercer país a un país miembro, lo que se conoce como "desviación de comercio".

El Acuerdo General sobre Aranceles y Comercio (GATT), ahora la Organización Mundial del Comercio (OMC), creado luego del fin de la Segunda Guerra Mundial, es un acuerdo multilateral que, a julio de 2016, concentraba 164 miembros, con el objetivo de reducir las barreras al comercio de mercancías, como los aranceles, cuotas y subsidios, así como administrar y mantener este equilibrio. Los acuerdos regionales de comercio de mercancías que vigila son las áreas de libre comercio, las uniones aduanares, los mercados comunes y las uniones económicas. En particular, Colombia es miembro del GATT/OMC desde 1981 y tiene vigentes quince acuerdos regionales de tipo áreas de libre comercio y unión aduanera, que persiguen la eliminación de las barreras arancelarias y no arancelarias.

Debido a que Estados Unidos ha sido uno de los principales socios comerciales de Colombia desde antes de 1962, hasta la fecha, es un factor importante mantener las preferencias arancelarias bilaterales. Por esa razón, en 2005, ante el vencimiento de la Ley de Preferencias Arancelarias Andinas y Erradicación de Droga (ATP-DEA) concedidas por Estados Unidos, se inician las negociaciones para la firma del Tratado de Libre Comercio (TLC) que entró en vigor en 2012.

Analizando la historia del comercio entre ambos países, aquí se plantea la siguiente pregunta: una vez entrado en vigor el TLC firmado entre Colombia y Estados Unidos, ¿se incentivó el comercio bilateral de bienes entre estos países?

Para dar respuesta a este interrogante, se empleará el modelo gravitacional de comercio, herramienta ampliamente usada para determinar los efectos de un acuerdo regional sobre el comercio entre países, cuyos resultados han demostrado robustez empírica y explicativa de los flujos comerciales1.

El modelo gravitacional para datos panel arrojará el coeficiente de la variable dummy para el TLC con el país del Norte, que denotará el porcentaje de aumento o reducción del comercio a partir de la entrada en vigor del acuerdo. Seguidamente, mediante un análisis ex post, se determina la creación o desviación de comercio para las importaciones de los contingentes arancelarios contemplados en el TLC entre Colombia y Estados Unidos; finalmente, se calcula el aumento o reducción promedio de las importaciones liberalizadas, como complemento al resultado de la desviación y creación de comercio. El análisis incluye cuatro secciones: (1) revisión de literatura sobre la materia; (2) definición de los modelos empleados para resolver la pregunta problema y análisis de los datos que conforman estos modelos; (3) exposición de los resultados del modelo gravitacional, del análisis ex post del comercio, junto con un análisis del contexto de los países, desde la entrada en vigor del tratado; y (4) conclusiones.

REVISIÓN DE LA LITERATURA

Aquí se mencionan estudios académicos destacados a nivel mundial y en el contexto colombiano, por su enfoque en la medición de los efectos del comercio entre países. También se especifican, en orden cronológico los modelos, metodologías y conceptos desarrollados para la medición de los efectos del comercio internacional que esta investigación toma como fundamento teórico.

Estudios sobre el comercio internacional bajo los TLC y la creación o desviación de comercio

En el contexto internacional, una de las investigaciones más influyentes es la de Lipsey (1960) quien, partiendo de la teoría de las uniones aduaneras, argumentaba que estas incrementan el bienestar mundial, incluso si no conducen a un máximo. Esta tesis había sido refutada por Viner (1950), quien introdujo los términos de creación y desviación de comercio. En su trabajo demostró que estas uniones tienden a causar pérdidas cuando los países envueltos son complementarios en el rango de productos protegidos por aranceles, pues el más eficiente captura el mercado.

Balassa (1967) observó problemas en la estimación de la creación y desviación de comercio en los estudios de la época, pues ignoraban factores macroeconómicos y no aportaban información desagregada. Con base en esto, sugiere una nueva metodología por medio de la cual la comparación de los cambios de comercio se efectúa a lo largo del tiempo. Además, calcula la elasticidad del ingreso ex post en la demanda de importaciones para determinar la creación y desviación de comercio.

De Melo (1983) propuso un nuevo método de simulación (ex ante) basado en los supuestos de Armington (1969) sobre los efectos de las uniones aduaneras. Con este método, las importaciones y exportaciones se tratan sistemáticamente y se supone que el comprador destina su gasto para la maximización de su utilidad, sujeto a un presupuesto, de modo que decide cuánto comprar en productos nacionales y extranjeros. Este estudio aportó conceptos más completos sobre la creación y desviación de comercio hasta su fecha de publicación.

A su turno, Rose (2004) usó el modelo gravitacional para medir, primero, el efecto sobre el comercio internacional del otorgamiento de preferencias arancelarias (Sistema Generalizado de Preferencias -GSP) sobre el comercio entre países miembros del GATT/OMC y, segundo, el efecto sobre el comercio de diferentes TLC firmados por Estados Unidos. Los resultados fueron llamativos, ya que el modelo estimó que un país beneficiario del GSP comercia el doble de quienes no lo son. También encontró que el comercio entre países que forman parte del GATT/OMC no es muy diferente al comercio entre no miembros; y calculó que, en los TLC en los que participa Estados Unidos, el comercio aumenta 44 % en promedio.

Por su parte, mediante un modelo gravitacional, Carrère (2006) estimó la creación y desviación de comercio para siete tratados regionales suscritos por 130 países entre 1962-1996.

La OMC y la UNCTAD (2012) ofrecen una guía práctica para el análisis de la política comercial, mediante técnicas comúnmente aplicadas, como el Modelo Gravitacional de Comercio y los Modelos de Equilibrio Parcial y General.

En cuanto a Colombia, destacan dos trabajos para la medición de la creación o desviación de comercio. El primero fue elaborado por Cárdenas y García (2005), durante el periodo en el cual se adelantaban las negociaciones para la firma del TLC. Sus resultados determinaron que, de ser firmado este tratado, el comercio bilateral entre Colombia y Estados Unidos aumentaría en 40 % aproximadamente y, en caso contrario, el comercio caería en 57 %.

El segundo estudio es el de Bolívar et al. (2015), en el que modelan los flujos comerciales de Colombia mediante la ecuación gravitacional de comercio. Los autores encuentran que, dentro de los acuerdos regionales en los que participa Colombia, el comercio es menor al resultante en el resto del mundo; e identifican una barrera idiomática superior para Colombia, pues el nivel de comercio entre países que comparten el mismo idioma es superior al comercio entre países con idiomas diferentes.

Elementos teóricos para explicar la creación o desviación de comercio

El marco teórico de la presente investigación representa un breve recorrido a través del tiempo para entender cómo se eligen los socios comerciales, cuáles son y cómo medir los efectos del TLC sobre el comercio entre países.

En el siglo XVIII, Adam Smith investigó los beneficios del comercio internacional sobre el bienestar mundial, si los países enfocaran su producción sobre los bienes en los que son los mejores fabricando, bajo su teoría de la ventaja absoluta (1776), la cual permite identificar la ventaja de producir un bien sobre un competidor, a un costo absolutamente menor, medido en términos de unidad de trabajo.

El Teorema Stolper-Samuelson (1941) (HOS) complementa el modelo propuesto por Heckscher (1919) y Ohlin (1933) (HO)2, que postula un comercio interindustrial basado en las ventajas comparativas que otorgan la dotación de factores, al analizar los efectos del comercio en la distribución de las ganancias dentro de los países con capital o mano de obra abundantes.

Por otro lado, Viner (1950) asegura que el beneficio del comercio no solo debe medirse en función del factor abundante. Este autor introdujo, por primera vez, los conceptos de creación y desviación de comercio para explicar dos posibles consecuencias dentro de un acuerdo o tratado comercial. Según el autor, es posible que la unión comercial de países aumente la variedad de productos disponibles para el consumo, lo que genera un aumento en el comercio (creación de comercio). En este caso, el centro de producción del nuevo bien cambia entre los socios según su ventaja comparativa. La segunda posibilidad es que algún miembro de la unión comercial acceda al nuevo mercado y oferte a menor precio, incluyendo los aranceles, un bien que era suministrado por un tercer país. En ese caso, el desplazamiento del punto de producción se da entre el socio comercial y el tercer país (desviación de comercio).

Para determinar la creación y desviación de comercio propuestas por Viner, en el contexto de un TLC, se asume que antes de que entre en vigor, el comercio internacional de los futuros socios está en equilibrio y al momento de la reducción de aranceles se altera por el acceso al mercado de productos a menores precios. Se han usado diferentes métodos para explicar estas perturbaciones. Walras (1874) estudió la interacción entre los mercados y propuso que la demanda agregada en consideración con los precios debe igualar a la oferta.

En la década de 1950, Arrow et al. utilizaron el enfoque del Teorema de Punto Fijo para demostrar la existencia de un equilibrio walrasiano (Martínez, 2008). Usando el enfoque Arrow-Debreu, los modelos de Equilibrio General (EG) y Equilibrio Parcial (EP) realizan simulaciones de contextos en equilibrio, alterando el conjunto de variables que lo afectan (EG) o a algunas de ellas (EP), para medir la creación o desviación de comercio en un análisis ex ante de cambios en la política comercial.

En la actualidad, existen modelos de EP disponibles para su uso, como el SMART, desarrollado por el Banco Mundial.

Una vez finalizada la Segunda Guerra Mundial, las potencias mundiales, como Estados Unidos, Reino Unido, Francia y Japón, institucionalizaron por primera vez el comercio internacional mediante la creación del Banco Mundial, el Fondo Monetario Internacional y el Nuevo Orden Económico Internacional. Como medida de prevención al proteccionismo de años anteriores, se acogió el GATT para controlar el establecimiento de aranceles, la prevalencia del principio de nación más favorecida y la gestión de la reciprocidad.

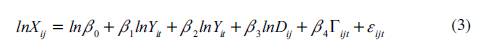
Agregado a lo anterior, aunque existan políticas para la reducción de las barreras arancelarias, factores como la distancia y el tamaño de las economías de los países también incentivan el comercio entre estos, como observó Tinbergen (1962), quien se basó en el modelo de la gravitación universal de Newton para construir el modelo gravitacional del comercio. Este instrumento empírico es ampliamente reconocido debido a su extraordinaria estabilidad y su poder para explicar los flujos comerciales entre países (OMC y UNCTAD, 2012). En su versión corriente, el modelo explica los flujos de comercio entre dos países en función de sus tamaños, medidos a través de la población, el producto interno bruto (PIB) y la distancia que los separa (Cárdenas y García, 2005).

Newton sostenía que la fuerza de atracción (F) entre dos objetos i y j, está dada por:

Donde M i M j . son las masas, D ij . es la distancia entre los dos objetos, y G es una constante.

Tinbergen propuso que, básicamente, la misma ecuación de Newton puede ser aplicada a los flujos de comercio internacional (ecuación 1).

Donde F ij . es el flujo del origen i a j. Alternativamente . representa el volumen total de los flujos en ambas direcciones son los tamaños económicos de las dos localidades; si se mide el comercio mediante F, entonces las masas corresponderán al PIB o el producto nacional bruto (PNB). D ij es la distancia entre los lugares y, usualmente, se mide de centro a centro.

En su versión empírica, el modelo puede especificarse según se indica en la ecuación (2) (Cárdenas y García, 2005).

Donde X ijt es el comercio entre los países i y j en el año t; Y ij es el producto (o producto per cápita) de los países i y j en el año t; D ij es la distancia entre el país i y el país j; Γ ijt es un vector de variables explicativas adicionales (barreras físicas y condiciones de política); y ε ijt es el error, normalmente distribuido, con media cero.

Tomando logaritmo natural a las variables, se obtiene la ecuación (3).

Aunque Isard (1954) se apoyó en la física para explicar el concepto de ingreso potencial, mediante el ingreso de un país y el promedio de la distancia entre este y un determinado socio comercial y el uso de una constante similar a la gravitacio-nal, se atribuye a Jan Tinbergen mayor protagonismo.

La interpretación del modelo gravitacional del comercio indica que mayores masas inducen mayor atracción entre los dos países y, como consecuencia, mayor comercio, una gran distancia implica mayores costos de transporte y, por ende, menores flujos comerciales (Krugman y Obstfeld, 2006).

En estudios recientes se han incluido nuevas variables a esta ecuación, identificadas como factores que afectan el comercio, porque lo facilitan o bien porque lo entorpecen. Egger (2003) incluyó en su modelo las variables relacionadas con la libertad de los países frente a la tasa de cambio y los costos de transporte. Rose (2004) incluyó variables culturales y regionales al modelo, con el fin de explicar mejor el comercio bilateral de los países pertenecientes a la OMC. Finalmente, Brun et al. (2005) incluyeron una variable representando la lejanía, así como índices de infraestructura, precios del petróleo y la tasa de cambio bilateral.

Los resultados esperados de las principales variables del modelo están sustentados teóricamente por diversos autores (Tabla 1).

Tabla 1: Variables principales del modelo gravitacional y su sustento teórico

Fuente: elaboración propia.

METODOLOGÍA Y DATOS

La presente investigación, como la mayoría de los análisis gravitacionales, se direcciona, por un lado, a identificar si hubo estímulo comercial tras la firma de un Acuerdo Regional y, por otro, a estimar qué tanto comercio puede generarse a partir de tratado (Greenaway y Milner, 2003).

En esta sección se explican los procedimientos usados para la medición de los efectos del TLC firmado con Estados Unidos sobre el comercio bilateral y la determinación de la creación o desviación de comercio en las importaciones bajo contingentes arancelarios, una vez entró en vigor el tratado.

Piermartini y Teh (2005) exponen que el modelo gravitacional de comercio es empleado para cuantificar los efectos sobre el comercio que la firma de un TLC puede tener; sugieren, además, que esta herramienta no puede cuantificar la creación y desviación de comercio y, por tanto, recomiendan el uso de otra metodología para medirlo.

Como los objetivos de esta investigación son determinar los efectos sobre el comercio y la creación o desviación de comercio a partir de la entrada en vigor del TLC con Estados Unidos, para cuantificar la creación o desviación de comercio, en concordancia con Piermartini y Teh (2005), se realiza un análisis ex post a una muestra de artículos importados.

Para este análisis, es necesario contar con información de las importaciones a nivel de subpartidas arancelaria; sin embargo, debido a la restricción de acceso a esta información, como muestra para el análisis se seleccionaron los contingentes arancelarios y se solicitó a Fundesarrollo, mediante alianza con la Universidad del Norte, el suministro de los datos de sus importaciones desde el 2011 al 2017. Los contingentes arancelarios fueron impuestos a un grupo de sesenta y siete artículos considerados vulnerables ante la reducción de las barreras comerciales. El resultado informará qué artículos tuvieron reducciones en sus cuotas y a cuáles socios dejó de comprar Colombia para comprar a sus contrapartes en Estados Unidos.

Para presentar resultados que incluyan las importaciones de los artículos libres de arancel (las cuales corresponden al resultado de restar de las importaciones totales las importaciones bajo contingentes), desde la entrada en vigor del tratado comercial con Estados Unidos, se determina su variación promedio durante el periodo analizado para los contingentes de 2012 a 2017 frente a 2011. Finalmente, se grafican los resultados para visualizar el aumento o reducción de comercio, según el origen de los artículos.

Modelo gravitacional de comercio

El modelo aplicado en esta investigación fue desarrollado por Rose (2004). En su estudio, el autor introdujo variables geográficas y culturales al modelo estándar; utilizó variables de Bernoulli para explicar si ambos países comparten frontera, tienen acceso al mar, son islas, si comparten el mismo lenguaje o si han suscrito un TLC, entre otros factores.

El modelo también fue empleado por Cárdenas y García (2005), para simular los efectos sobre el comercio de la posible firma del TLC entre Colombia y Estados Unidos. La publicación de estos autores inspira la presente investigación, pues a noviembre de 2018, en el portal Web of Science no existían artículos científicos donde se emplease el modelo gravitacional para determinar los efectos sobre el comercio entre Colombia y Estados Unidos, una vez vigente el TLC.

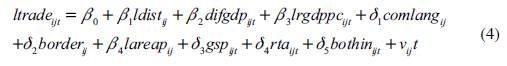
Por su parte, Bolívar et al. (2015) lo usaron con el propósito de dar soporte a una serie de consideraciones económicas, culturales, político-administrativas y geográficas que se deben tener en cuenta para formular políticas a futuro en Colombia. La presente investigación lo emplea para cuantificar el aumento o reducción de comercio a partir de la entrada en vigor del TLC entre Colombia y Estados Unidos. Para ello, se adoptan algunos elementos de la ecuación gravitacional definida por Rose (2004) y se determina el modelo gravitacional de comercio para Colombia como un modelo panel (ecuación 4).

Fórmula del error (ecuación 5).

Donde los subíndices i y j denotan los países (unidad de corte transversal), en el año t (1962-2018).

Los coeficientes representados por β n se interpretan como una variación porcentual; y para interpretar los coeficientes de variables binarias representados por δ n se calcula la diferencia porcentual exacta en Ltrade ¡jt predicha para cuando la variable dummy toma como valor 1 frente a cuando su valor es 0.

Donde:

Ltrade ijt es el logaritmo del promedio del comercio bilateral, deflactado entre Colombia y cada uno de los socios comerciales incluidos en la muestra durante el periodo analizado. En dólares corrientes deflactados usando el IPC de Colombia (2010 = 100).

Ldist ij es el logaritmo de la distancia entre la principal ciudad del país i a la del país j.

difgdp ijt es la primera diferencia de la suma de los logaritmos del PIB real de ambos países.

Lrgdppc ijt es la suma de los logaritmos del PIB per cápita de ambos países.

Comlang ij es una variable dummy que toma como valor 1 si ambos países comparten el idioma; de lo contrario, toma el valor 0.

Border ¡j es una variable dummy que toma como valor 1 si ambos países comparten frontera, de lo contrario toma el valor 0.

Lareap ij es el logaritmo del producto de las áreas de los países.

gsp ¡jt es una variable dummy que toma como valor 1 si el país socio le otorgó a Colombia los beneficios del Sistema Generalizado de Preferencias (GSP); de lo contrario toma el valor 0. Para Estados Unidos, esta variable también corresponde a las preferencias concedidas a Colombia en el ATPDEA.

rta ¡jt es una variable categórica que puede tomar valores de 0 a 14. Cada valor corresponde a un tratado comercial vigente de Colombia (aunque hay diferentes formas de integración comercial se usará "tratado comercial" como un descriptor genérico). Toma el valor n si el socio con el que comercia Colombia en el año t forma parte del tratado suscrito con el país (Tabla 2).

Tabla 2: Categorías de la variable rta

* Países excluidos por no disponer de datos de las distintas variables en más de treinta años.

Fuente: elaboración propia.

Como se explica en la metodología, esta variable categórica se reemplaza por 14 variables dummy, una para cada acuerdo descrito en la Tabla 2, que toman como valor 1 a partir del año de entrada en vigor.

Bothin ¡jt es una variable dummy que toma como valor 1 si ambos países son miembros de la GATT/OMC; de lo contrario, toma el valor 0.

v ij t = α ij + u ij t es la fórmula del término error, compuesto por α ij que son los factores no observados invariantes en el tiempo y el efecto individual, por ejemplo, las capacidades innatas de los países o sus factores históricos e institucionales. Para controlar estos factores inobservados se usan efectos fijos sujetos al par de países.

u ¡j t es el error robusto al par de países para controlar su variabilidad en el tiempo.

Fuentes de los datos

Los registros de la base de datos comprenden el periodo 1962-2018, en promedio. Teniendo en cuenta los datos faltantes durante los primeros años, son 54 años, compilados de las fuentes mencionadas en el trabajo de Rose (2004) y siguiendo sus instrucciones de cálculo para construir la base de datos del periodo.

La base de datos contiene 3901 observaciones, que corresponden a las variables mencionadas en el modelo para 74 países socios de Colombia desde 1962 a 2018. La selección de países se llevó a cabo teniendo en cuenta los socios comerciales con los que Colombia tiene acuerdos comerciales vigentes (Tabla 2) y se incluyeron otros 22 socios, teniendo en cuenta los boletines sobre el comercio exterior emitidos por la Dirección de Impuestos y Aduanas Nacionales de Colombia (DIAN), para 2000-2017 (Figura 1).

Socios comerciales de Colombia incluidos en esta investigación

Figura 1: Socios comerciales de Colombia incluidos en esta investigación

Fuente: elaboración propia.

La Tabla 3 presenta las fuentes de información para la construcción de la base de datos.

Tabla 3: Fuentes de información

Fuente: elaboración propia.

Metodología del cálculo del efecto

En la revisión del estado del arte del modelo gravitacional de comercio, se identificaron dos tipos de bases de datos usadas para determinar los efectos de un TLC sobre el comercio. El primero utiliza el comercio bilateral como un promedio de importaciones y exportaciones entre los socios o alguno de estos flujos (importaciones o exportaciones); son estimados por mínimos cuadrados ordinarios (MCO) (Cárdenas y García, 2005; Rahman y Dutta, 2012; Rose, 2004), panel de datos, en algunos casos con efectos aleatorios (Abedini y Peridy, 2008; Baier y Bergs-trad, 2006; Peridy, 2005) y otros con efectos fijos (Institute for International Trade, 2015; Sally y Siddique, 2014). En el segundo grupo, que analiza el comercio desde la perspectiva del importador y del exportador, los autores coinciden en el uso de efectos fijos independientes para el importador y el exportador (Carrere, 2006; Dutt et al., 2013; Eicher y Henn, 2011; Gil-Pareja et al., 2016; Roy y Rayhan, 2011) y, recientemente, se adopta un estimador Poisson de máxima verosimilitud (Esteve et al., 2019; Martin y Pham, 2019; Santos y Tenreyro, 2006; Timsina y Culas, 2019).

En esta oportunidad, el comercio bilateral está compuesto por el promedio del comercio entre el par de países. Por tanto, se adoptan las metodologías usualmente empleadas en el grupo uno, para determinar el modelo que cumpla con las pruebas de rigor y la teoría económica.

Para la estimación del modelo se empleó el software estadístico Stata. Como se mencionó en la sección de datos, los faltantes de información en los primeros años de la muestra hacen que el panel no esté balanceado. Sin embargo, Stata permite trabajar cómodamente con cualquier conjunto de datos panel, balanceados o no balanceados (Baum, 2006, p. 47). En todo caso, es importante aclarar que los datos faltantes no se correlacionan con algún factor inobservable que influya en la suspensión del comercio entre los países, por tanto, la selección muestral no causa estimadores insesgados.

Inicialmente, se estimó el modelo mediante MCO. Este modelo, además de las variables descritas en la ecuación (4), incluyen otras variables binarias que toman valor 1, para un país isla sin acceso al mar, y si el socio comercial de Colombia no era miembro del GATT/OMC. No obstante, estas variables resultaron no significativas y se eliminaron. Una vez todas las variables empleadas resultaron significativas al 10 % se obtuvieron los residuos y se realizaron las pruebas de multico-linealidad, heterocedasticidad y exogeneidad (ver Anexo).

Una vez conocidos los resultados, se realizó la prueba del multiplicador de Lagrange, con el fin de comprobar que el modelo MCO estuviera bien especificado. Esta prueba confirmó la presencia de efectos específicos. Por tanto, debería aplicarse el modelo panel y no el de MCO.

En el siguiente paso se emplearon efectos fijos y efectos aleatorios al modelo panel, y se realizó la prueba de Hausman, que compara los resultados obtenidos bajo cada tipo de efectos, fijos o aleatorios, y se determinó cuál estimador es consistente. Los resultados de la prueba estipulan que los efectos individuales son adecuadamente modelados mediante efectos fijos.

Finalmente, se eligió el modelo panel descrito en la fórmula (4) que usa efectos fijos para contrarrestar la endogeneidad y controlar la interacción transversal y temporal, y errores robustos al clúster de par de países, que asume una varianza del error constante.

Creación y desviación de comercio

Para cuantificar los efectos de los cambios en la política arancelaria colombiana sobre el valor, volumen y orígenes de los flujos de importaciones, se emplearon dos estrategias. En la primera, se estimó la creación o desviación de comercio mediante un análisis ex post de las importaciones, a nivel de subpartidas, de 67 artículos contenidos en el Apéndice I y el Instructivo de Contingentes del TLC. Estos artículos fueron tomados como muestra para el análisis, dado el acceso restringido a la información. Los 67 artículos pertenecen al sector primario, el cual ocupa el segundo puesto de mayor participación en las exportaciones a Estados Unidos.

La información fue suministrada por Fundesarrollo, mediante solicitud, quien la consultó en la base de datos Treid. Los datos analizados son: peso en kilos; valor CIF, expresado en COP y USD; tarifa arancelaria aplicada y el país de procedencia de las importaciones para el periodo 2011-2017.

El Preámbulo del TLC entre Colombia y Estados Unidos, en cuanto al comercio de mercancías, menciona la decisión de (1) establecer reglas claras y de beneficio mutuo que rijan su intercambio comercial y (2) evitar las distorsiones en su comercio recíproco. En concordancia con estos objetivos, se implementan contingentes arancelarios a las mercancías agrícolas que se considera que pueden resultar afectadas por la reducción de las barreras comerciales.

Las subpartidas de los artículos bajo contingentes arancelarios cubren, cada una, artículos de una misma clase; pero comprenden diferentes especificaciones técnicas. Por ello, el cálculo de creación o desviación de comercio se realiza sobre todas las especificaciones técnicas, y no únicamente sobre aquella que cubre el contingente.

De los 67 artículos bajo contingente arancelario, se toman 24 como muestra para realizar el análisis, pues presentan datos de importaciones en 2011 y años subsiguientes.

La segunda metodología es el análisis de las importaciones liberalizadas; las cuales se obtienen de restar de las importaciones totales aquellas de contingentes arancelarios. Comparando el monto anual de estas importaciones para el periodo 2012-2017 frente a las de 2011, se calculó el porcentaje medio de crecimiento o contracción.

RESULTADOS

Modelo gravitacional de comercio

La Tabla 4 presenta los resultados de las estimaciones del modelo panel que explica el comercio bilateral en 84 %, aproximadamente. La columna 1 muestra los resultados del modelo panel definido en la fórmula (4); la columna 2 muestra los resultados cuando la variable categórica rta es reemplazada por 14 variables dummy que toman valor 1 cuando un socio comercial hace parte del tratado comercial.

Tabla 4: Resultados del modelo gravitacional

Errores rebustos debajo del coeficiente. *** p < 0,01, ** p < 0,05, * p < 0,1. Regresores no reportados: i.pairid, constante omitida.

Fuente: elaboración propia a partir de resultados obtenidos mediante Stata.

Aunque, al incluir más variables al modelo, se reducen sus grados de libertad y la variación de los errores aumenta (sin embargo, los resultados de la prueba Breusch-Pagan/Cook-Weisberg no rechazan la hipótesis nula), los coeficientes obtenidos son acordes con la teoría, y poseen un nivel de significancia de 10 %. Teniendo en cuenta que varios países hacen parte de diversos acuerdos comerciales simultáneamente, al usar la variable rta, puede perderse información, puesto que un código puede reemplazar otro. Por otro lado, al usar una variable dummy para cada acuerdo, no hay posibilidad de que esto suceda. Por tanto, los resultados de la columna 2 son los que se interpretan.

Controlando todos los factores, externos y propios de cada país, que puedan afectar el comercio entre ellos, se establecen las siguientes relaciones entre los resultados obtenidos y la teoría económica del modelo gravitacional de comercio:

El modelo panel confirma que la variable de la distancia Idist en la mayoría de los estudios es usada como proxy para medir los costos de transporte, arrojó un coeficiente negativo y significativo. Esto corresponde con lo planteado por el modelo gravitacional, que establece que cuanta mayor distancia entre un país al otro el flujo comercial bilateral disminuye. El coeficiente obtenido se interpreta como un aumento en 1,0 % de la distancia, disminuye el comercio bilateral en 2,12 %.

La variable del diferencial del PIB real difgdp, que mide el tamaño económico de los países, es positiva y significativa. Su elasticidad representa un crecimiento de un año a otro del 1,0 % del PIB de Colombia y su socio aumenta el comercio bilateral en un 0,09 %. Un resultado inelástico que puede soportarse por el hecho de que países con mayor PIB tienden a comercializar más con países parecidos que con economías más pequeñas. Hay (2004) encontró que la elasticidad del comercio con respecto a la distancia no disminuye con el paso del tiempo entre países de alto ingreso y de bajo ingreso. Lo contrario ocurre entre países de alto ingreso, hecho que los autores llaman "marginalización en la actual ola de globalización".

La variable PIB per cápita Irgdppc es usada para evaluar posibles economías de escala y variedad de productos diferenciados (Shabaz y Leitão, 2010). En este caso, el resultado es significativo: la variable presenta signo negativo lo que puede ser interpretado como el hecho de que la canasta de bienes comercializados no es variada. Como se profundizará adelante, esta baja diversificación del comercio bilateral se aprecia en la concentración de las exportaciones colombianas hacia su principal socio en cinco capítulos de 96 existentes, y las exportaciones estadounidenses en 13.

La variable binaria de lenguaje común comlang es significativa y presenta coeficiente negativo. Ello indica que el comercio es más dinámico con socios comerciales con los que no se comparte el idioma. Este resultado propone que Colombia ha vencido la barrera idiomática identificada en el trabajo de Bolívar et al. (2015). Usando la ecuación (6) podemos interpretar que el comercio con socios comerciales cuyo idioma oficial es el español es 74 % menor que con los demás países.

La variable de frontera compartida border es negativa y significativa. Aunque Colombia ha suscrito diversos tratados comerciales con la mayoría de sus vecinos, el comercio con quienes comparte frontera es 75 % menor que con los demás países.

La variable del área de los países lareap, que representa el tamaño geográfico de los países es significativa y positiva. Los socios comerciales con mayor área son Canadá, Estados Unidos, China, Brasil, Australia, India, Argentina y México. El promedio del comercio bilateral con estos ocho países fue de USD 950 millones, mientras el promedio de toda la muestra (74 países) fue de USD 119 millones. Por esto, el aumento de un 1,0 % en el área de ambos países genera un aumento de 1,2 % en el comercio bilateral.

La variable bothin presenta coeficiente negativo y significativo, lo que significa que, aunque Colombia y su socio comercial pertenezcan a la OMC, el comercio es 76 % menor que el realizado con otro socio comercial que no sea miembro. Resultados similares fueron obtenidos por Rose (2004).

La variable gsp presenta coeficiente negativo y significativo. El resultado obtenido puede relacionarse con el hecho de que, aunque un país otorgue a Colombia acceso al Sistema Generalizado de Preferencias, el comercio bilateral es 38 % menor que el comercio bilateral con países que no otorgaron tal beneficio. Un resultado totalmente contraintuitivo, pero que puede comprobarse según los resultados de la Tabla 5, que muestran la serie temporal del comercio bilateral a lo largo del periodo analizado, indicado el antes y después de la entrada en vigor del acceso al GSP y del tratado comercial.

Tabla 5: Cronología del comercio bilateral bajo GSP y TLC

Logaritmo del comercio bilateral frente a tiempo (años). La línea vertical indica el año de entrada en vigor de las preferencias o TLC.

Fuente: WITS, cálculos propios, elaboración propia.

Esta investigación aprovecha la disponibilidad de la información sobre los tratados comerciales vigentes de Colombia para estimar los efectos sobre el comercio de todos ellos, con el fin de dejar una base para futuras investigaciones.

De las catorce variables dummy que representan los tratados comerciales vigentes, nueve arrojan coeficientes significativos. Los tratados con efecto positivo fueron: el TLC con El Salvador, Honduras y Guatemala, cuyo coeficiente indica que, a partir de la entrada en vigor del tratado, el comercio bilateral aumentó 115 %; el Acuerdo de Integración Regional de la CAN aumentó el comercio en 108 %, y el TLC con Corea arroja los mejores resultados de dinamismo, con un aumento del 246 % del comercio bilateral, a partir de la entrada en vigor del tratado.

Los acuerdos comerciales que arrojaron efectos negativos fueron: TLC con Chile, que llevó a una reducción del flujo comercial de 39 %; el comercio con los países que conforman el EFTA se redujo en 60 %; con el TLC con Canadá, también se redujo el comercio en 63 %; el comercio con Venezuela a partir de la entrada en vigor del acuerdo parcial, se redujo en 56 %; el comercio con los países de la muestra pertenecientes a la Unión Europea también disminuyó en 51 %; finalmente el TLC con Estados Unidos, variable de interés de la presente investigación, presenta una reducción del comercio bilateral en 52 %.

Dado que el motivo por el cual se firmó el TLC con Estados Unidos fue no perder las preferencias que gozaba Colombia en el ATPDEA3, es necesario determinar el porcentaje neto de reducción del comercio con el TLC. Este se determinó restando del coeficiente de tlcUSA el coeficiente de la variable gsp, pues se supone que el TLC absorbió todos los beneficios. Usando la fórmula 6 [100 x (exp( -0,741 - (-0,477)) -1] en este caso, el comercio con Estados Unidos a partir de la entrada en vigor del tratado se redujo en cerca de 23 %.

Teniendo en cuenta los resultados obtenidos para las variables gsp y las variables de cada TLC, se construyó la Tabla 5, que muestra las gráficas del (logaritmo natural del) comercio bilateral en dólares, desde los cinco años previos a la entrada en vigor del GSP o el acuerdo firmado entre los países con Colombia. La línea vertical muestra el año de inicio. Las filas agrupan los países que otorgaron preferencias arancelarias a Colombia y los países con TLC vigente.

De las 21 gráficas que representan el comercio bajo GSP, solo una muestra aumento después de la fecha de entrada en vigor (con borde color verde, correspondiente a Turquía); otra unidad muestra un comportamiento constante del comercio (color morado, correspondiente a Grecia). Cincuenta gráficas muestran el comportamiento del comercio entre Colombia y el socio comercial bajo TLC. Trece de estas muestran aumento (también en color verde, corresponden a Antigua y Barbuda, Argentina, Brasil, El Salvador, Grecia, Guatemala, Hungría, Jamaica, Malta, México, Polonia, Santa Lucía y Uruguay); quince muestran flujos constantes; y veintidós, disminución del comercio bilateral a partir de su entrada en vigor.

Así pues, con catorce casos de aumento del comercio sobre setenta y dos, podemos afirmar que el acceso al sistema generalizado de preferencias o la firma de un TLC no genera aumento en el comercio bilateral para Colombia.

El modelo también fue corrido con variables expresadas en pesos y en dólares. En ambos casos, se obtuvieron coeficientes similares y con el mismo signo. Ello demuestra resultados robustos. Finalmente, se decidió presentar los resultados de los modelos con variables en dólares pues con estos se obtuvo mayor significancia estadística.

Creación y desviación de comercio

El cálculo de la creación de comercio para los contingentes arancelarios arroja que el comercio generado por Estados Unidos, en 2012-2017, equivale en promedio a 580 % de las importaciones de estos durante 2011. Es decir, la reducción de los aranceles para estos artículos aumentó las importaciones desde Estados Unidos en casi seis veces, según su unidad de medida en kilos. Durante el mismo periodo, se observa que los precios de los artículos aumentaron 9 % en promedio, en comparación con sus precios en 2011 (Tablas A2 y A3).

De los veinticuatro artículos analizados, hubo cuatro casos de creación de comercio para quesos; se identificó una desviación de comercio para "glucosa y jarabe de glucosa, sin fructosa o con contenido de fructuosa" y dieciséis casos de creación y desviación de comercio combinados, en los que las importaciones desde Estados Unidos aumentaron sin desplazar totalmente a los otros socios comerciales. Para los restantes tres bienes, las importaciones no fueron significativas.

Asimismo, este porcentaje de incremento en las importaciones desde Estados Unidos fue producto, en parte, a la desviación de comercio de nueve socios comerciales, los cuales figuraban en las importaciones de 2011. De ellos, seis son sudamericanos, como en el caso de Paraguay, en la importación de despojos de carne bovina; Argentina en la importación de queso, lactosuero y requesón; Uruguay, en la importación de queso fundido; Perú, en la importación de alimento balanceado para animales -premezclas-; y el desvío de comercio de Brasil y Ecuador, en la importación de los demás tipos de arroz.

El país que más sufrió desviación de comercio fue Argentina, en seis artículos; el segundo socio más afectado fue España, con cuatro productos; y les siguen Brasil, México, Paraguay, Canadá y Francia con tres productos; y Perú y Uruguay con dos.

En el análisis de aumento o reducción de las importaciones de artículos libres de arancel, se obtuvo resultados coherentes a los ya expuestos. Durante el periodo analizado, se observó que las importaciones provenientes de países sudamericanos sufrieron mayor contracción.

La Figura 2 asigna diferentes tonalidades de verde a los países cuyas importaciones crecieron; la intensidad denota mayor crecimiento promedio. Para los países en rojo, su color acentuado refleja mayor contracción promedio en las importaciones.

Crecimiento o contracción promedio de las importaciones liberalizadas según socio comercial para el periodo 2012-2017 frente a 2011

Figura 2: Crecimiento o contracción promedio de las importaciones liberalizadas según socio comercial para el periodo 2012-2017 frente a 2011

Fuente: elaboración propia.

Flujo de comercio entre Colombia y Estados Unidos

Luego de conocer los resultados del modelo gravitacional y el comportamiento de las importaciones libres de arancel, a continuación, se describen las canastas de bienes que se comercializaron entre Colombia y Estados Unidos; así como sus dinámicas durante el periodo de análisis con el fin de dar a conocer las cifras de la reducción porcentual y total de las exportaciones según el origen.

Principales capítulos arancelarios

Desde la perspectiva arancelaria, 84 % de las exportaciones colombianas a Estados Unidos para el periodo 2011-2012 estaba concentrado en dos capítulos del arancel de aduanas, correspondientes al Capítulo 27 de combustibles minerales con una proporción de 71 % sobre el total; y al Capítulo 71 de piedras y metales preciosos en un 13 %. El siguiente 9 % de las exportaciones está compuesto por el Capítulo 6 de plantas vivas y productos de la floricultura (4,3 %); Capítulo 9 de café, té, yerba mate y especias (3,7 %); y Capítulo 8 de frutos comestibles (1 %). A partir de 2014 y hasta 2018, las exportaciones de los Capítulos 9 y 6 fueron las segundas y terceras principales respectivamente, desplazando a los productos del Capítulo 71 (Tabla 6).

Tabla 6: Porcentaje de variación de las exportaciones colombianas a Estados Unidos por capítulo arancelario

Fuente: datos de exportaciones WITS, elaboración propia.

La Tabla 6 muestra la variación de las principales exportaciones de Colombia a Estados Unidos año a año durante la vigencia del TLC; la última columna es la sumatoria de las variaciones (aumento suma y reducción resta) de las exportaciones de los cinco capítulos principales. De estas cifras, podemos identificar que los combustibles y aceites minerales, piedras preciosas y frutas fueron los principales afectados por la reducción en el comercio durante el periodo.

Por otro lado, las exportaciones de Estados Unidos a Colombia en 2011-2012 estaban concentradas en 55 % en cuatro capítulos (4 de 96) de partidas arancelarias, los cuales son: combustibles y aceites minerales (21 %), máquinas y artefactos mecánicos (19 %), máquinas, aparatos y material eléctrico (9 %) y productos químicos orgánicos (6 %). El siguiente 23 % de las exportaciones está compuesto por nueve capítulos. El restante de las exportaciones está distribuido en 83 capítulos.

La Tabla 7 expone la variación porcentual año a año de las exportaciones de Estados Unidos a Colombia y el total en miles de dólares estadounidenses de esas variaciones.

Tabla 7: Porcentaje de variación de las exportaciones de Estados Unidos a Colombia por capítulo arancelario

Fuente: elaboración propia con datos de exportaciones WITS.

De estos trece capítulos, seis crecieron desde la entrada en vigor del TLC y los capítulos con mayor impacto negativo fueron el 84, el 85 y el 73.

Comparando las pérdidas por disminución de las exportaciones según los capítulos analizados, Colombia fue el país que resultó más perjudicado. Ello se debe a que, de 2011 a 2018, sus exportaciones cayeron en 11,8 mil millones de USD y para Estados Unidos las pérdidas ascienden a USD 1,5 mil millones.

Sectores de la economía

Los 95 capítulos arancelarios fueron clasificados en dos sectores: el primario y el secundario. Este último, a su vez, se dividió en tres subsectores: (1) el secundario de transformación de materias primas pertenecientes al sector primario, (2) el secundario de transformación de otras materias primas y (3) el secundario de extracción.

La Tabla A4 del Anexo detalla los capítulos arancelarios que conforman cada sector.

El comportamiento de las exportaciones según el sector económico para el periodo 2011-2018, se expone en las Figuras 3-4. Las gráficas de barras muestran el crecimiento de las exportaciones de Colombia a Estados Unidos y viceversa desde 2012 a 2018, teniendo a 2011 como año de referencia.

Crecimiento de las exportaciones colombianas por año y sector, teniendo como referencia las exportaciones del 2011

Figura 3: Crecimiento de las exportaciones colombianas por año y sector, teniendo como referencia las exportaciones del 2011

Fuente: elaboración propia con datos de exportaciones WITS.

Crecimiento de las exportaciones de Estados Unidos por año y por sector, teniendo como referencia las exportaciones del 2011

Figura 4: Crecimiento de las exportaciones de Estados Unidos por año y por sector, teniendo como referencia las exportaciones del 2011

Fuente: elaboración propia con datos de exportaciones WITS.

La Tabla 8 consolida los porcentajes de crecimiento de las exportaciones durante el periodo según la información consignada en las dos figuras anteriores. También informa el porcentaje de participación de los sectores. El porcentaje de crecimiento total es un promedio ponderado, que tiene en cuenta el promedio de participación de cada sector en las exportaciones.

El análisis de las exportaciones según el sector permite, por un lado, identificar el grado de tecnología de los productos y, por otro, saber qué tan intensamente se comercializan con el socio. Según el grado de tecnología puede identificarse un mayor nivel de sofisticación en los productos importados por Colombia. La capacidad de Estados Unidos de exportar artículos más sofisticados se apoya en su potencial de innovación, representado en las patentes emitidas por el país. Mientras que Colombia concedió 6197 patentes en 2012-2018 (Superintendencia de Industria y Comercio de Colombia), Estados Unidos sumó 2,2 millones durante el mismo periodo (Oficina de Patentes y Marcas de Estados Unidos).

Según la intensidad del comercio, las exportaciones de Colombia están fuertemente concentradas en el petróleo y otros minerales, mientras que las propias de Estados Unidos lo están en el sector secundario de transformación de otras materias primas diferentes a las provenientes del sector primario (los principales capítulos están detallados en la Tabla 6). Los porcentajes de participación de los sectores en las exportaciones presentan mayor desviación estándar para Colombia y la diferencia de puntos porcentuales ocurre entre el primer y segundo sector con mayor participación de 42,5, mientras para Estados Unidos esta diferencia es de 36 puntos porcentuales. Esta marcada concentración para Colombia, expone al país a desequilibrios económicos sujetos al precio del petróleo.

De acuerdo con la Tabla 8, el incremento de las exportaciones de materia prima de Estados Unidos ha tenido el mayor índice: crecieron 15 veces mientras Colombia lo hizo en 1,5 veces con respecto a los datos de 2011. La diferencia en la capacidad de producción del sector primario entre ambos países se sustenta, en parte, por la superficie agrícola usada. Según las estadísticas de la Organización de las Naciones Unidas para la Alimentación y Agricultura (FAO), en 2017, Estados Unidos tuvo una extensión de 406 000 kilómetros cuadrados cultivados; y Colombia 45 000.

Tabla 8: Crecimiento total de las exportaciones por sectores del 2012 al 2018 frente a lo exportado en el 2011

Fuente: elaboración propia.

Por otra parte, los auxilios económicos percibidos por el sector son un factor diferencial. Para promover y apoyar el desarrollo del sector primario el Gobierno de Estados Unidos gira pagos anualmente a través de más de dieciocho programas agrícolas; los cuatro principales cubren el 79 % de estos pagos, destinados a la cobertura de riesgo agrícola, conservación, asistencia de desastres y pagos fijos. Estos desembolsos han cubierto desde el 10 % hasta el 17 % (2011-2018) de los ingresos por cultivo de granos alimenticios, cultivos forrajeros, algodón, tabaco y caña de azúcar (estos son los principales artículos beneficiarios según el informe del Departamento de Agricultura a la OMC, 2016).

En cuanto a Colombia, se han destinado dineros mediante diferentes programas de implementación y operación de fondos para promoción del sector y la comercialización de los productos, la capitalización del sector y programas de crédito del Fondo para el Financiamiento del Sector Agropecuario (Finagro), entre otros, que cubrieron del 2 % al 6 % de la producción anual en 2011-2017 (Organización para la Cooperación y el Desarrollo Económicos [OCDE] 2015; 2018). La Figura 5 representa el porcentaje de cobertura de los programas para el sector agropecuario en ambos países.

Porcentaje de cobertura de los pagos sobre el total de producción del sector primario

Figura 5: Porcentaje de cobertura de los pagos sobre el total de producción del sector primario

Fuente: elaboración propia.

Según el informe de monitoreo y evaluación de política agrícola para Colombia (OCDE, 2019, pp. 200-204), el apoyo dominante que recibe el productor del sector primario viene del mercado. Dado que los precios de la materia prima son más altos en el mercado local y que la capacidad de producción de Estados Unidos es mayor, el valor agregado extranjero de las exportaciones colombianas está compuesto en mayor medida por materia prima proveniente de Estados Unidos (Trade in Value Added, 2015). Sin embargo, el destino final de estas no es Estados Unidos, ya que las exportaciones colombianas de transformaciones de materias primas del sector primario solo crecieron 0,34 veces, y de otras materias primas creció 0,72 veces.

El total de la tabla 8 deja claro que las exportaciones colombianas totales en 2012-2018 fueron menores a la totalidad exportada en 2011, según la Figura 3, en ningún año se superó el valor de las exportaciones de 2011 por sector. En contraste, las exportaciones de Estados Unidos para el mismo periodo crecieron 3,5 veces aproximadamente. Los sectores líderes de la canasta de cada país fueron los de menor crecimiento.

Estas cifras reflejan las diferencias entre la economía más grande del mundo y la número 39 (Banco Mundial, 2017) y entre el país número 14 y el número 58 según el Índice de Desempeño Logístico del Banco Mundial (2018), referidas a las capacidades de producción del sector primario y secundario, la composición de la canasta de bienes comercializados y el crecimiento de los sectores frente al 2011.

CONCLUSIONES

Esta investigación tuvo el objetivo de determinar si después de la entrada en vigor del TLC entre Colombia y Estados Unidos el comercio bilateral de bienes se incentivó. Mediante la utilización del modelo gravitacional de comercio, se calculó el porcentaje de aumento o reducción del flujo comercial. Los hallazgos determinan que desde la entrada en vigor del TLC, el comercio disminuyó en 23 %, contrario a lo concluido por los dos artículos académicos base de la presente investigación (Cárdenas y García, 2005; Rose, 2004). También se calcularon los efectos sobre el comercio de los demás acuerdos comerciales vigentes de Colombia, con el fin de dejar una base para futuras investigaciones.

Se determinó que las preferencias arancelarias otorgadas a Colombia no son garantes de un comercio dinámico, pues de los 23 países que otorgaron beneficios bajo GSP, solo uno, Turquía, mostró aumento en el comercio bilateral a partir de la fecha en que se concedieron. El mismo resultado se dio frente a acuerdos regionales, donde el comercio bilateral con 14 de los 50 socios bajo tratado muestra crecimiento en el flujo comercial.

En cuanto a la reducción del 23 % del comercio, afectó en mayor proporción a Colombia. Los registros del comercio bilateral reflejan que Colombia es el país que más pérdidas obtuvo por la reducción de las exportaciones durante el periodo analizado. Aunque el sector secundario de extracción, el más representativo de las exportaciones colombianas, fue el único que presentó disminución, la baja participación del sector primario y secundario de transformación sobre el total no permite que el crecimiento de las exportaciones sea positivo durante el periodo analizado.

La concentración de las exportaciones colombianas en el petróleo, exponen al país a desequilibrios económicos ante la fluctuación de su precio internacional. Entretanto, Estados Unidos exporta a Colombia una canasta de bienes más diversa y con mayor componente tecnológico. Este último, sustentado por los esfuerzos de innovación vía patentes.

El cálculo de la creación y desviación de comercio en las importaciones de bienes bajo contingentes arancelarios reveló que el efecto de la política arancelaria durante el periodo analizado incrementó en 580 % las importaciones de estos artículos procedentes de Estados Unidos. Este resultado se debe en mayor proporción a la creación de comercio, aunque se presentó desviación de comercio desde Europa, Asia y Sudamérica, región que también presentó una alta contracción de importaciones liberalizadas.

El incremento de las compras colombianas de materia prima estadounidense y sus transformaciones refleja las preferencias del consumidor nacional y la falta de bienes nacionales sustitutos como lo muestra el bajo crecimiento de las exportaciones colombianas del sector primario y secundario de transformación. Por tanto, esta investigación considera que es necesaria la creación de programas para el acompañamiento y cohesión de ambos sectores, direccionados hacia la competitividad de los agricultores respecto a la variedad de productos, volumen y precio. Lo anterior debe ser asistido por el sector secundario de transformación para la integración de la cadena de suministros donde la materia prima nacional goce de primacía.

Por su parte, la industria también debe recibir la asesoría técnica que le permita vencer las barreras no arancelarias que no le han permitido acceder a los mercados ni impulsar la innovación en el sector. Estas iniciativas serán exitosas si se conducen con estrategias para la promoción de marcas y productos nacionales.

Acknowledgements

RECONOCIMIENTOS

Este trabajo forma parte del proyecto de grado realizado para optar por el título de magíster con la dirección del profesor Ph. D. Jorge David Quintero Otero. La autora agradece especialmente la guía constante del profesor Jorge; los comentarios del profesor Ph. D. José Ramos a la versión inicial; a los evaluadores quienes hicieron valiosos aportes a esta investigación e, igualmente, los comentarios realizados por profesores, colegas y amigos.

REFERENCIAS

  1. 1. Abedini, J., & Peridy, N. (2008). The Greater Arab Free Trade Area (GAFTA): An estimation of its trade effects. Journal of Economic Integration, 23, 848-872. 🠔
  2. 2. Alonso, J. (2006). Naturaleza económica de la lengua. Instituto Complutense de Estudios Internacionales (ICEI). http://eprints.ucm.es/9671/1/DT02-06.pdf. [URL] 🠔
  3. 3. Anderson, J. (1979). A theoretical foundation for the gravity equation. The American Economic Review, 69, 106-16. 🠔
  4. 4. Armington, P. (1969). A theory of demand for products distinguished by place of production. Staff Papers - International Monetary Fund, 16(1), 159-178. 🠔
  5. 5. Baier, S., & Bergstrad, J. (2006). Do free trade agreements actually increase members' international trade? Journal of International Economics, 71(1), 72-95. 🠔
  6. 6. Balassa, B. (1967). Trade creation and trade diversion in the European Common Market. The Economic Journal, 77, 1-21. 🠔
  7. 7. Balassa, B. (1980). Teoría de la integración económica. En J. Laris Casilla (ed.), Movimiento de mercancías: aspectos relativos al consumo y al bienestar (pp. 23-87), Las fronteras nacionales y el crecimiento económico (pp. 111-157). Uteha. 🠔
  8. 8. Baum, C. (2006). Working with economic and financial data in Stata. In Stata (ed.), An introduction to modern econometrics using Stata (p. 47). Stata Press. 🠔
  9. 9. Banco Mundial. (2017). Indicadores de desarrollo mundial. https://databank.bancomundial.org/source/world-development-indicators [URL] 🠔
  10. 10. Banco Mundial. (2018). Índice de desempeño logístico. https://datos.bancomundial.org/indicator/LP.LPI.OVRL.XQ [URL] 🠔
  11. 11. Bolívar, L., Cruz, N., & Pinto, A. (2015). Modelo gravitacional del comercio internacional colombiano, 1991-2012. Economía & Región, 9(1), 245-270. 🠔
  12. 12. Brun, J., Carrere, C., Guillaumont, P., & de Melo, J. (2005). Has distance died? Evidence from a panel gravity model. World Bank Economic Review, 19, 99-120. 🠔
  13. 13. Cárdenas, M., & García, C. (2005). El modelo gravitacional y el TLC entre Colombia y Estados Unidos. Coyuntura Económica, 35(1), 47-72. 🠔
  14. 14. Carrère, C. (2006). Revisiting the effects of regional trade agreements on trade flows with proper specification of the gravity model. European Economic Review, 50, 223-47. 🠔
  15. 15. De Melo, J. (1983). An ex-ante model for estimating the impact on trade flows of a country's accession to a customs union (Development research Department, Discussion Paper DRD67). The World Bank. 🠔
  16. 16. Departamento de Agricultura a la OMC (2016). https://docs.wto.org/dol2fe/Pages/FE_Search/FE_S_S009-DP.aspx?language=E&CatalogueIdList=251395,251392,249317,248816,244970,244835,241755,240535,239223,239230&CurrentCatalogueIdIndex=2&FullTextHash=&HasEngli shRecord=True&HasFrenchRecord=True&HasSpanishRecord=True [URL] 🠔
  17. 17. Dutt, P., Mihov, I., & Van Zandt, T. (2013). The effect of WTO on the extensive and intensive margins of trade. Journal of International Economics, 91(2), 204-219. 🠔
  18. 18. Egger, P. (2003). An econometric view on the estimation of gravity models and calculation of trade potentials. The World Economy, 25(2). https://www.doi.org/10.1111/1467-9701.00432 [URL] 🠔
  19. 19. Eicher, T., & Henn, C. (2011), In search of WTO trade effects: Preferential trade agreements promote trade strongly, but unevenly. Journal of International Economics, 83(2), 137-153. 🠔
  20. 20. Esteve-Pérez, S., Gil-Pareja, S., & Llorca-Vivero, R. (2019). Does the GATT/WTO promote trade? After all, rose was right. Review of World Economics, 156(2), 377-405. 🠔
  21. 21. Feenstra, R., & Taylor, A. (2014). Trade in the global economy. En C. Woods (ed.). International Economics (pp. 3-23). Worth Publishers. 🠔
  22. 22. Frankel, J., Stein, E., & Wei, S. (1996). The gravity model of bilateral trade. En Ch. Lowey (ed.). Regional trading blocs in the world economic system (pp. 49-76). Peterson Institute for International Economics. 🠔
  23. 23. Gil-Pareja, S., Llorca-Vivero, R., & Martínez-Serrano, J. A. (2016). A re-examination of the effect of GATT/WTO on trade. Open Economies Review, 27(3), 561-584. 🠔
  24. 24. Greenaway, D., & Milner, C. (2003). Regionalism and gravity. Scottish Journal of Political Economy, 49(5), 574-585. https://www.doi.org/10.1111/1467-9485.00249 [URL] 🠔
  25. 25. Hay, C. (2004). Common trajectories, variable paces, divergent outcomes? Models of European capitalism under conditions of complex economic interdependence. Review of International Political Economy, 11(2), 231-262, https://www.doi.org/10.1080/09692290420001672796 [URL] 🠔
  26. 26. Heckscher, E. (1919). The effect of foreign trade on the distribution of income. Ekonomisk Tidskrift, 21, 497-512. 🠔
  27. 27. Isard, W. (1954). Location theory and trade theory: Short-run analysis. The Quarterly Journal of Economics, 68(2), 305-320. https://doi.org/10.2307/1884452 [URL] 🠔
  28. 28. Kamil, H., & Ons, A. (2003). Formación de bloques comerciales regionales y determinantes del comercio bilateral: el caso del Mercosur (Serie Documentos de Trabajo DT/2). Instituto de Economía. http://www.ciu. com.uy/innovaportal/file/14312/1/98_-kamilons_-_metodologia.pdf [URL] 🠔
  29. 29. Kepaptsoglou, K., Karlaftis, M., & Tsamboulas, D. (2010). The gravity model specification for modeling international trade flows and free trade agreement effects: E 10-year review of empirical studies. The Open Economics Journal, 3, 1-13. https://www.doi.org/10.2174/1874919401003010001 [URL] 🠔
  30. 30. Krugman, P., & Obstfeld, M. (2006). International trade policy. En D. Clinton (ed.), International economics: Theory and policy (7th ed., pp. 187-277). Addison-Wisley. http://fad.unsa.edu.pe/bancayseguros/wp-content/uploads/sites/4/2019/03/Krugman-y-Obstfeld-2006-Economia-Internacional.pdf [URL] 🠔
  31. 31. Lipsey, R. (1960). The theory of customs unions: A general survey. The Economic Journal, 70(279), 496-513. 🠔
  32. 32. Leontief, W. (1954). Domestic production and foreign trade: The American capital position re-examined. Econ. Internazionale, 7, 3-32. Reprinted in Readings in International Economics, editado por Richard E. Caves & Harry G. Johnson. Homewood, Ill.: Irwin, 1968. 🠔
  33. 33. Martínez-Giralt, X. (2008). Teoría del equilibrio general. En Microeconomía avanzada (pp. 125-216). Universitat Autónoma de Barcelona. 🠔
  34. 34. Martin, W., & Pham, C. (2019). Estimating the gravity model when zero trade flows are frequent and economically determined. Applied Economics, 52(10), 1-14. 🠔
  35. 35. OCDE. (2019). Development in agricultural policy and support by country. En OCDE (eds.), Agricultural policy monitoring and evaluation 2019 (pp. 200-204). OCDE. https://www.doi.org/10.1787/39bfe6f3-en [URL] 🠔
  36. 36. Ohlin, B. (1933). Interregional and international trade. Harvard University Press. 🠔
  37. 37. Organización para la Cooperación y el Desarrollo Económico [OCDE] (2015, 2018). OECD Review of Agricultural Policies: Colombia 2015, OECD Publishing. http://dx.doi.org/10.1787/9789264227644-en [URL] 🠔
  38. 38. Peridy, N. (2005). The trade effects of the Euro-mediterranean partnership: what are the lessons for ASEAN countries?. J Asian Econ, 16(1), 125-139. 🠔
  39. 39. Piermartini, R., & Teh, R. (2005). Demystifying modeling methods for trade policy (Discussion Paper 10). World Trade Organization. https://www.wto.org/english/res_e/booksp_e/discussion_papers10_e.pdf [URL] 🠔
  40. 40. Rahman, M., & Dutta, D. (2012). The gravity model analysis of Bangladesh's trade: A panel data approach. Journal of Asia-Pacific Business, 13(3), 263-286. 🠔
  41. 41. Rose, A. (2004). Do we really know that the WTO increases trade? The American Economic Review, 94(1), 98-114. 🠔
  42. 42. Roy, M., & Rayhan, Md. I., (2011). Trade flows of Bangladesh: A gravity model approach. Economics Bulletin, 31(1), 950-959. 🠔
  43. 43. Sally, M., & Siddique, M. A. B. (2014). Trade creation and diversion under the Thailand-Australia free trade agreement (TAFTA) (Economics Discussion / Working Papers 14-26). The University of Western Australia, Department of Economics. 🠔
  44. 44. Santos, J., & Tenreyro, S. (2006). The log of gravity, the review of economics and statistics (vol. 88(4), pp. 641-658, noviembre). MIT Press. 🠔
  45. 45. Serrano, R., & Pinilla, V. (2007). Comercio agrario latinoamericano, 1963-2000. Aplicación de la ecuación gravitacional para flujos desagregados de comercio (Documento de Trabajo 412/2008). Fundación de las Cajas de Ahorros. 🠔
  46. 46. Shabaz, M., & Leitão, N. (2010). Intra-industry trade. The Pakistan experience. International Journal of Applied Economics, 7(1), 18-27. 🠔
  47. 47. Stolper, W., & Samuelson, P. (1941). Protection and real wages. Review of Economic Studies, 9, 58-73. 🠔
  48. 48. Timsina, K., & Culas, R. (2019). Do free trade agreements increase Australian trade: An application of poisson pseudo maximum likelihood estimator? Journal of East-West Business, 26(1). 🠔
  49. 49. Tinbergen, J. (1962). Shaping the world economy: Suggestions for an international economic policy. Twentieth Century Fund. 🠔
  50. 50. Trade in Value Added (2015). https://stats.oecd.org/Index.aspx?DataSetCode=TIVA_2021_C1 [URL] 🠔
  51. 51. Treid. (2019, mayo). Recuperado de la base de datos Treid. 🠔
  52. 52. United Nations Conference on Trade and Development -UNCTAD & World Trade Organization -WTO. (2012). A practical guide to trade policy analysis. United Nations (UN) Publications. 🠔
  53. 53. Viner, J. (1950). The economics of customs unions. En Oxford (eds.), The Customs Union Issue (pp. 51-102). Carnegie Endowment for International Peace. 🠔
  54. 54. Walras, L. (1874). Eléments d'économie politique pure ou théorie de la richessesociale (trad. español: Elementos de economía política pura. Alianza. 1987). 🠔
La Tabla A1 en el Anexo lista los artículos registrados en Web of Science (2010-2020), que usaron el modelo gravitacional de comercio para medir los efectos de un acuerdo regional sobre el comercio, y aquellos publicados en 2000-2010 según Kepaptsoglou et al. (2010).
Diversas investigaciones coinciden o discrepan en considerar que el modelo HO provea fundamentos teóricos al modelo gravitacional. Teniendo en cuenta la paradoja de Leontief (1954) y el hecho de que el comercio se lleva a cabo tanto a nivel interindustrial como intraindustrial, esta investigación adopta el modelo HO como elemento teórico.
En lo referente al comercio de mercancías, el ATPDEA ofreció acceso al mercado de Estados Unidos, mediante la eliminación de barreras arancelarias a cerca de 6300 artículos colombianos. El análisis de las ventajas o desventajas de este acuerdo sobre el TLC escapa del alcance de esta investigación, puesto que no se posee la información de las importaciones de estos 6300 artículos desde el periodo de vigor del ATPDEA hasta 2018.
Rojas Contreras, K. G. (2022). ¿El tratado de libre comercio entre Colombia y Estados Unidos incentivó el comercio bilateral? Cuadernos de Economía, 41(86), 1-45. https://doi.org/10.15446/cuad.econ.v41n86.84973

ANEXOS

Tabla A1: Publicaciones que emplearon el modelo gravitacional para estimar los efectos de un acuerdo regional sobre el comercio del 2000 al 2020

Fuente: elaboración propia a partir de Web of Science y Kepaptsoglou et al. (2010).

Tabla A2: Peso bruto de las importaciones desde Estados Unidos de bienes bajo contingente arancelario, en miles de kilogramos

Fuente: elaboración propia con datos proporcionados por Fundesarrollo.

Tabla A3: Variación de los precios en las importaciones desde Estados Unidos de bienes bajo contingente arancelario

Fuente: elaboración propia con datos proporcionados por Fundesarrollo.

Tabla A4: Sectores y sus capítulos arancelarios Fuente: elaboración propia.

Fuente: elaboración propia.

Estadísticas descriptivas

Tabla A5: Estadísticas descriptivas de las variables

Fuente: elaboración propia con el software Stata.

Tabla A6: Análisis de sensibilidad de las variables

Errores estándar debajo del coeficiente.

*** p < 0,01, ** p < 0,05, * p < 0,1

Fuente: elaboración propia con el software Stata.