Cuadernos de Economía
0121-4772
2248-4337
Universidad Nacional de Colombia
https://doi.org/10.15446/cuad.econ.v41n86.85067

Recibido: 10 de febrero de 2020; Revision Received: 28 de agosto de 2020; Aceptado: 12 de noviembre de 2020

IMPACTO ECONÓMICO Y SOCIAL DE LA FORMALIZACIÓN LABORAL EN MÉXICO

Economic and social impact of labour formalisation in Mexico

D. Robles Ortiz, aL. Beltrán Jaimes, bM. Delgado López, c

Instituto Politécnico Nacional, Sección de Estudios de Posgrado e Investigación, Escuela Superior de Economía, Ciudad de México, México. Correo electrónico: drobleso@ipn.mx Instituto Politécnico Nacional Instituto Politécnico Nacional Escuela Superior de Economía México Mexico
Universidad Loyola Andalucía, Departamento de Economía, Sevilla, España. Correo electrónico: ldbeltran@uloyola.es Universidad Internacional de Andalucía Universidad Loyola Andalucía Departamento de Economía Sevilla Spain
Universidad Loyola Andalucía, Departamento de Economía, Sevilla, España. Correo electrónico: mcdelgado@uloyola.es Universidad Internacional de Andalucía Universidad Loyola Andalucía Departamento de Economía Sevilla Spain

RESUMEN

En México cerca del 60 % de la población trabajadora se encuentra en la informalidad, por lo que resulta importante analizar el impacto de este fenómeno en el producto de la economía y el bienestar de la población ante la formalización laboral. En consecuencia, se sigue el modelo de Leontief, ampliado a una matriz de contabilidad social, para determinar dicho impacto. Como resultado se encuentra que el output total de la economía aumentaría en 17,58 % y que, aunque la desigualdad sigue presentando los mismos índices, el ingreso de la población mejoraría y la pobreza disminuiría.

JEL:

C67, D58, E26, H26, I32.

Palabras clave:

análisis multisectorial, bienestar, economía informal, impuestos.

ABSTRACT

In Mexico about 60 % of the working population is in informal employment, consequently, it is important to analyse the impact of this phenomenon on the product of the economy and the well-being of the population in light of labour formalisation. Accordingly, the Leontief model is extended to a social accounting matrix to determine this impact. As a result, it is found that the total output of the economy would increase by 17,58 %, although inequality still presents the same rates, it would improve the income of the population and poverty would decrease.

JEL:

C67, D58, E26, H26, I32.

Keywords:

Informal economy, multisectoral analysis, taxes, welfare.

INTRODUCCIÓN

En Latinoamérica, la informalidad es un tema vigente en las agendas de los tomadores de decisiones, y México no es la excepción. De acuerdo con el Instituto Nacional de Geografía y Estadística (INEGI), en México alrededor del 60 % de la población económicamente activa (PEA) se encuentra en la informalidad1. Esto acarrea otras situaciones como falta de derechos laborales, pobreza, carencia de seguridad social y estabilidad laboral, entre otros. Sin embargo, la informalidad va más allá del enfoque de derechos laborales (Levy, 2009), pues incide directamente en la productividad y en el crecimiento económico del país, sin olvidar los efectos sobre el bienestar de la población y la distribución del ingreso.

Diversos estudios se han enfocado a la informalidad. Algunos coinciden que una de las razones por la que la política pública no ha podido enfocarse adecuadamente para abatir la problemática es la falta de consenso en torno a las causas que la originan (Antón et al., 2013; Busso et al., 2012; Oviedo et al., 2009; Sandoval-Betancour, 2014), pues las diversas definiciones son muestra de ello. Sin embargo, la definición adoptada en México para su estimación parte de dos enfoques: uno agregado y otro individual. El agregado, conocido como sector informal, se centra en las características de las unidades económicas no agropecuarias que carecen de registros contables. Mientras que el empleo informal (enfoque individual) se relaciona con condiciones laborales, específicamente de aquellos que carecen de acceso a la seguridad social (INEGI, 2014). Las estimaciones para 2016 encuentran que alrededor de 14 millones de personas eran trabajadores del sector informal y 16 millones de personas contaban con trabajos informales. Entre los trabajadores en el sector informal, se encuentran 4,7 millones que son empleados de algún tipo, 7,4 millones que trabajan por su cuenta y 0,9 millones que ejercen como empleadores.

Bazdresch (2017) describe a la informalidad como una respuesta natural del mercado laboral a la excesiva e ineficiente regulación laboral, donde la respuesta es crear valor, al margen de la ley. Este es el caso de los empleados que, por cuestiones de flexibilidad de horario, deciden salirse de la formalidad por conveniencia. Robles y Martínez (2018) afirman que los mercados formales e informales no son mutuamente excluyentes, sino complementarios. No obstante, puede apreciarse a la informalidad como una forma de evasión fiscal, donde aquellos que componen el sector informal utilizan los bienes públicos, sin contribuir a su financiación. En México, de acuerdo con el INEGI (2016b), 95 % de las empresas registradas son microempresas con diez o menos trabajadores; la mayoría de estos establecimientos son informales, cuyos empleados no cuentan con seguridad social.

Lo anterior trae implicaciones importantes. De acuerdo con Bazdresch (2017), aunado a la falta de derechos laborales de los informales (seguridad social), se tienen las altas tasas impositivas impuestas al mercado formal, con las que se financia una parte de los bienes públicos que tanto formales como informales utilizan. A su vez, esto hace que las empresas que se encuentran formalizadas prefieran ingresar al sector informal, lo que detiene su crecimiento, reflejado en la productividad de la economía, además de un desgaste del potencial productivo de la población.

En consecuencia, ante una menor recaudación, que sirve para financiar los bienes públicos, se afecta la redistribución del ingreso y, por ende, el bienestar de la población. Estas últimas coinciden con el propósito de esta investigación. Entre otras causas identificadas de la informalidad se tienen las regulaciones excesivas, la migración del campo a la ciudad y la desigualdad de oportunidades. Sin embargo, para México la informalidad ha desencadenado una baja recaudación fiscal de modo que, según la Organización para la Cooperación y el Desarrollo Económicos (OCDE), solo se recauda el 30 % de los impuestos que deberían recaudarse.

De acuerdo con el Instituto Mexicano para la Competitividad (IMCO, 2017), la informalidad laboral amenaza la competitividad del país. El ingreso promedio de un trabajador formal es de 8052 pesos mexicanos mensuales. Estos, a su vez, contribuyeron en 76 % en la generación del producto interno bruto (PIB), absorbiendo un poco más del 40 % de la PEA; mientras que el salario promedio de un trabajador informal es de 4279 pesos mexicanos mensuales con una contribución al PIB del 24 %. De este total, el 11,2 % corresponde al sector informal, es decir, a los negocios no registrados dedicados a la producción de bienes y servicios, y el restante a otras actividades informales dentro de unidades económicas diferentes a los no registrados, que no cuentan con seguridad ni prestaciones sociales.

En cuanto a la informalidad por sector productivo, para 2016, de acuerdo con el INEGI, el comercio tuvo la mayor participación (31,3 %) del total reportado; seguido de la construcción (13,8 %); las actividades agropecuarias (12,5 %) y las industrias manufactureras con un 12,2 %.

Así pues, el objetivo principal de esta investigación es determinar el impacto sectorial de la formalización laboral sobre el output de la economía y sobre el bienestar de la población, medido en términos de pobreza y desigualdad. La hipótesis de investigación es que, ante la formalización laboral, la producción total de la economía mexicana se vería beneficiada, pues mejoraría la redistribución del ingreso, los índices de pobreza y de desigualdad.

A partir del análisis, se identifica que la población mexicana en condición de informalidad constituye 61 % de la población, caracterizada por ser joven y presentar un menor grado de escolaridad, situación que actúa como barrera al mercado formal. En contraparte, se encontró que, ante la formalización laboral, la producción total de la economía incrementaría en 17,58 %, lo que representa mayor impacto en el sector terciario. Asimismo, el ingreso trimestral promedio por habitante aumentaría en un 15,39 %, lo que incidiría en la reducción de los índices de pobreza extrema y moderada.

El documento se estructura así: primero, se caracteriza la informalidad en México, a partir de estimaciones propias de corte transversal extraídas del Módulo de Condiciones Socioeconómicas (MCS); segundo, se incluye el modelo multisectorial, basado en una matriz de contabilidad social (SAM) para México, elaborada por Beltrán et al., (2017); tercero, se simula el impacto de la formalización laboral, seguido del efecto en la pobreza, medidos a través del índice Foster, Greer y Thorbecke (FGT), y en la desigualdad, a través del índice de Gini. Finalmente, se presentan las principales conclusiones de la investigación.

CARACTERIZACIÓN DE LA INFORMALIDAD EN MÉXICO

En México, un porcentaje considerable de mujeres y hombres se encuentran laborando en la informalidad, excluidos de la legislación laboral y carentes de la seguridad social a las que un empleo formal les permitiría acceder. La Tabla 1 presenta algunas particularidades del mercado laboral mexicano. Las estimaciones indican que más de 35 millones de personas están en dicho sector, es decir, representan alrededor de 61 % de la población ocupada2. La región con el mayor número de informales es el estado de México con 4 645 271 personas, seguido de Veracruz y Puebla con el 2 866 612 y 2 399 926, respectivamente.

Estimaciones realizadas para 2014 indican que las zonas con mayor informalidad presentaban niveles similares a los actuales. El estado de México presentaba tasas de informalidad de 13 %, Puebla de 6,7 % y Ciudad de México (CDMX) con 6,3 %; solo Veracruz presentó una tasa constante. Estos estados aglutinan el 34 % de la población informal nacional. Sin embargo, si se realiza la estimación en términos de zonas metropolitanas, es claro que el Valle de México (ZMVM), conformado por las 16 alcaldías de la CDMX y 59 municipios del estado de México y uno del estado de Hidalgo, por lo que es la mayor zona del país, es también la que concentra la mayor población en trabajo informal: cerca de 20 % del total nacional.

El estado de México (Tabla 1) presenta una relación positiva entre mayor población e informalidad a diferencia de la CDMX. Esta localidad es la segunda más poblada, pero tiene los niveles de informalidad menores, y se sitúa como la cuarta con población informal a nivel nacional.

Tabla 1: Características del mercado laboral mexicano, 2016

Nota: Entidades ordenadas alfabéticamente.

Los porcentajes pueden no coincidir por factores de redondeo.

Fuente: elaboración propia con datos del INEGI (2016b).

La juventud es un grupo típicamente asociado a la informalidad, por factores que conllevan escasa experiencia y productividad inicial. De acuerdo con la Organización Internacional del Trabajo (OIT, 2015), el 55,7 % de los jóvenes en América Latina cuenta con un empleo precario. Para el caso mexicano, alrededor del 30 % de la población de 15-29 años se encuentra en la informalidad3. La relación entre un menor nivel de escolaridad y juventud es notable. El promedio de la educación de los informales es de alrededor de 9,7 años, equivalente a un nivel de estudios de primaria concluida y secundaria inconclusa.

Asimismo, el promedio de edad de los individuos que conforman el sector en cuestión es de 38,4 años. Sin embargo, donde más se concentran los informales es en el primer quinquenio (20-24 años). Al parecer la edad actúa como barrera al mercado laboral formal. La falta de experiencia en los jóvenes o la edad avanzada en la población de la tercera edad motivan a localizarse en la informalidad (Tabla 2). Sin embargo, la edad y el nivel promedio de estudios en la informalidad no se comportan de manera homogénea en las distintas regiones del país.

Tabla 2: Grupos quinquenales de edad y nivel de instrucción, 2016

Fuente: elaboración propia con datos del INEGI (2016b).

El estudio de Robles et al. (2019) para las zonas metropolitanas de México expone que la probabilidad de ser informal es distinta entre regiones. Por ejemplo, en promedio, la probabilidad de un individuo de 37 años y preparatoria concluida en la zona metropolitana (ZM) de Acapulco es de 83 %. En contra parte, la de un individuo con las mismas características en la ZM de Monterrey es de 39 %.

Ahora bien, de acuerdo con Hart (1970; 1973), Tokman (2001), Uribe y Ortiz (2006) y Brandt (2011)), cuanto mayor es el nivel de estudios, las posibilidades de ser informal decrecen. Ello se debe a que, al existir mayor preparación, la población buscará mejores condiciones de vida con empleos más estables, que cuenten con mejores prestaciones y percepciones económicas (Tabla 2).

Sin embargo, resalta el número de personas en informalidad con educación superior y posgrado (Tabla 2). Alrededor de 3,7 millones de personas en México indican contar con dicho nivel escolar. Pero representan apenas el 10 % de la población, lo que muestra que la instrucción educativa no es determinante para acceder a un empleo formal (Levy y Székely, 2016). Estos autores resaltan que en diecisiete países de América Latina, las nuevas generaciones de trabajadores cuentan con mayor nivel de instrucción que las anteriores, lo que ha motivado a tasas menores de informalidad, a excepción de México, el cual, a pesar de ser uno de los países de América Latina que más recursos destina a la educación, los niveles de informalidad se mantienen constantes por generaciones.

De acuerdo con el IMCO (2019), el ingreso promedio mensual de un individuo con educación superior en el mercado formal en México es de 11 141,49 pesos mexicanos; mientras que el de un informal es de 15 000 pesos mexicanos. Aunque se percibe que los formales reciben un nivel de ingreso menor que los informales, estos últimos soportan una penalización salarial (Alcaraz et al., 2008) que involucra la ausencia de ciertas condiciones laborales, como un contrato y acceso a la seguridad social, entre otros. Ello resalta que la instrucción educativa a largo plazo garantiza mejores condiciones laborales (Rojas et al., 2000; Valenti y Valera, 2003). En consecuencia, el nivel educativo y la edad siguen siendo variables que permiten entender la informalidad, considerando que, en la informalidad, la población afectada por tales causales encuentra el mejor sustituto para allegarse de un ingreso en el corto plazo (Sojo y Villarreal, 2006).

Desde la perspectiva de género a nivel mundial, de los 2000 millones de trabajadores con empleo informal, poco más de 740 millones son mujeres (Bonnet et al., 2018). En México, el 59 % de la PEA ocupada que se encuentra en informalidad está constituido por hombres, mientras que las mujeres representan el 41 %. Sin embargo, al analizar a la PEI4, la proporción femenina en informalidad aumenta a 73 %. Cunningham (2001) supone como factores de la participación de la mujer en la informalidad, la flexibilidad en tiempos que les permite atender a la familia y labores domésticas, entre otros. Gong et al. (2004) exponen que las mujeres con hijos pequeños son menos propensas a obtener empleos formales. De esta manera, las estimaciones realizadas indican que alrededor de 60 % de las mujeres con un empleo informal tiene al menos un hijo.

Las causas de la participación de la mujer en la informalidad son diversas. La necesidad de contribuir al ingreso, así como factores sociales y culturales motivan a ser un sector de la población con dificultades para separarse de las tareas domésticas y atención de los hijos, entre otras (Chant et al., 2008).

MODELIZACIÓN BASADA EN MATRICES DE CONTABILIDAD SOCIAL

La metodología seleccionada para analizar el impacto de la formalización laboral hace parte de los llamados modelos lineales de equilibrio general (MLEG). Estos modelos han demostrado en diferentes estudios que son adecuados para analizar diferentes tipos de políticas públicas, así como han hecho: Núñez (2003), quien analiza transferencias a través de un análisis de sendas; Székely y Rascón (2004) los cuales concluyen que el periodo de mayor importancia en cuanto a la reducción de la pobreza fue en el periodo 2000-2002; y Aguayo et al. (2009) quienes analizan el Programa Oportunidades para 2004.

Los MLEG permiten captar todas las interdependencias entre todos los sectores de la economía; en particular, los efectos producidos en las variables endógenas, debido a un cambio en una variable exógena, usando multiplicadores. Esto, gracias al modelo insumo-producto (MIP) desarrollado por Leontief (1941), pero ampliado a una SAM, con el cual se llevó al campo empírico la teoría de Walras. Para plantear estos modelos, siguiendo a Stone (1978) y Pyatt y Round (1979), primero se definen las cuentas consideradas exógenas. Enseguida, se define una variación en las cuentas exógenas y se observa lo que sucede con el resto de las cuentas que constituyen el total de la economía. Las cuentas exógenas son las que se determinan fuera del sistema económico y representan posibles instrumentos de política económica.

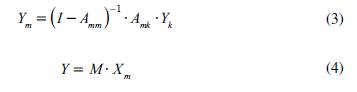
Una vez clasificadas las cuentas entre endógenas y exógenas, se construye la matriz de propensiones medias al gasto (A mm ), la cual recoge los pagos realizados a la cuenta i por cada unidad de ingreso de j. A continuación, se agrega un vector de componentes exógenos representado por X A , X F , X P y X K ; un vector que representa el nivel de ingresos de las cuentas endógenas representado por Y A , Y F , Y P y Y k ; finalmente, un vector de pagos de las cuentas endógenas a las exógenas P A , P F , P P y P K . Donde, m y k son las cuentas endógenas y exógenas, respectivamente. De ello resulta la ecuación (1), expresada en términos matriciales.

Finalmente, la matriz queda dividida en cuatro submatrices: A mm , A mk , A km y A kk (ecuación 2).

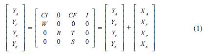
Donde, Y m y Y k representan los ingresos totales, tanto de las cuentas endógenas como de las exógenas; y A mm corresponde a las actividades productivas, que son los coeficientes técnicos que se obtienen con la MIP. Ahora, se despeja Y m y obtenemos la ecuación matricial (3), reescrita como se muestra en la ecuación (4).

Donde, (I - A mm ) -1 es llamada M y es la matriz de multiplicadores lineales (ML); esta matriz muestra el impacto de un aumento unitario en las cuentas exógenas sobre las rentas de cada una cuenta endógena. Por otro lado, se tiene a A mk .Y k como X m y representa las inyecciones de ingreso emitidas por las cuentas exógenas y recibidas por las endógenas.

Una vez que se tiene M, puede también compararse el efecto del impacto exógeno en términos del PIB. Es decir, calcular cuál es el cambio porcentual en términos del PIB causado por un cambio unitario en la producción del sector. El impacto en porcentaje del sector j sobre el PIB agregado puede calcularse de la siguiente manera:

Donde, PIB¡ y denotan el PIB y la oferta total del sector i, respectivamente, mientras que las variables sin subíndice denotan variables agregadas.

Asimismo, se busca analizar el impacto de la propuesta sobre la desigualdad y la pobreza. Para el primero, se utiliza el índice de Gini; para el segundo, el índice FGT (Foster et al., 1984), con el fin de determinar las condiciones de pobreza en que se encuentra la población en estudio, así como sus carencias en los niveles de consumo individual.

El FGT es un índice de carencias en el consumo privado, que toma como referencia una línea de pobreza individual determinada, como el salario mínimo diario de la población total y de la PEA. A partir de esta, se calcula la proporción de la población en condiciones de pobreza extrema5. Valores altos del índice FGT reflejan deterioro en el nivel de satisfacción del consumo individual (ecuación 6).

Donde α es un parámetro que especifica la sensibilidad del índice, z es la línea de pobreza, n es el número total de hogares, x es el ingreso del hogar i-ésimo, q es el número de hogares pobres, z-x. la brecha de pobreza del i-ésimo hogar y (z-x)lz es la estandarización de la brecha de pobreza del i-ésimo hogar.

El parámetro α puede tomar tres valores: si α = 0, representa el porcentaje de personas en pobreza monetaria; si a = 1, equivale a la brecha de pobreza, o el porcentaje promedio en el cual los pobres deberán aumentar sus ingresos para superar la pobreza. Si α=2, constituye la medida más interesante, una medida de la severidad de la pobreza, o la distribución de los gastos per cápita entre los pobres. El índice FGT se expresa como una combinación de una medida de desigualdad, y la razón de la brecha del ingreso en forma similar a la de Sen (2000).

Como medida de desigualdad de ingresos, se toma el índice de Gini. Este varía entre 0 y 1, donde 0 indica perfecta igualdad, es decir, todos los individuos poseen los mismos ingresos. Por el contrario, un valor de 1 refleja perfecta desigualdad, es decir, solo un individuo posee todos los ingresos y los demás no poseen ninguno.

El cálculo del índice de Gini para esta investigación, se realiza para datos agrupados (Medina, 2001). Primero, se ordenan los hogares en forma ascendente, conforme con su ingreso. Posteriormente, se definen intervalos de igual tamaño que, para este caso, corresponden a deciles de ingresos, donde cada grupo deberá concentrar el 10% de las observaciones. Una vez definida esta información, se calcula el índice de Gini a partir de una de las expresiones que existe para datos agrupados (ecuación 7).

Donde n representa el número de grupos, x ¡ es el porcentaje de población en el grupo i y Y ¡ es el ingreso acumulado en el grupo i.

Como base de datos, se usa una SAM construida para México, llamada Sam-mex-12, por Beltrán et al. (2017). Consta de diez tipos de hogares, representados por deciles de ingresos6, las sociedades, el gobierno, la cuenta de ahorro-inversión, la cuenta de capital, de trabajo, diecinueve actividades productivas, el consumo privado y el resto del mundo. Además, incluye los impuestos de bienes y servicios netos de subsidios, los sueldos y salarios, las contribuciones sociales efectivas a los seguros, otras prestaciones sociales, impuestos netos de subsidios sobre la producción y otros impuestos a la producción (Tabla 3).

Tabla 3: Estructura de la SAM para México, 2012, Sammex-12

Fuente: elaboración propia, a partir del MIP (año base 2012), realizado por el INEGI (2014).

IMPACTO EN LA ECONOMÍA MEXICANA POR LA FORMALIZACIÓN LABORAL

En este apartado, se presentan los efectos económicos ante la formalización laboral, donde se supone que el Estado mexicano tiene la capacidad de recaudar el porcentaje evadido de impuestos por la informalidad, seguido de sus efectos sobre la desigualdad y el índice de pobreza, de acuerdo con Foster et al. (1984), a partir de los cambios presentados en el ingreso de los hogares de la primera simulación.

Efecto económico de la formalización laboral

Se identifica el vector que servirá de shock exógeno que impacta en las cuentas consideradas endógenas. De acuerdo con San Martín et al. (2017), la tasa de evasión del impuesto sobre la renta (ISR) para 2016 es de 19,2 % (Tabla 4).

Tabla 4: Impuestos evadidos por informalidad, 2016 (millones de pesos mexicanos)

Fuente: elaboración propia a partir de San Martín et al. (2017).

Aunque la evasión de impuestos ha disminuido desde la imposición de la reforma hacendaria de 2014 (Tabla 4), sigue presentando cifras elevadas. De acuerdo con Tovar (2000), ello se debe principalmente a (1) la existencia de un sector informal, (2) inadecuadas leyes tributarias que desalientan la recaudación, (3) las crisis económicas, y (4) controles fiscales insuficientes o malas prácticas distributivas por parte del Gobierno federal que desaniman a los contribuyentes. Por lo que, esta primera parte de la investigación se centró en la incidencia de la informalidad sobre la recaudación del ISR.

Para completar el vector que representa a la formalización laboral, se incluye el consumo intermedio de los sectores productivos respecto al sector informal, de la misma manera que es contabilizado por las cuentas nacionales, de acuerdo con el Sistema de Clasificación Industrial de América del Norte (Scian). Según la metodología de la medición informal realizada por el INEGI (2017), la cuenta de producción del sector informal está compuesta por tres elementos que definen el proceso de producción de las unidades económicas pertenecientes al sector informal: la producción, el consumo intermedio y el valor agregado.

Sin embargo, en concordancia con la Sammex-12, para construir el vector que representa la producción del sector informal se usa el consumo intermedio del sector informal (Tabla 5). Este corresponde al valor de los bienes y servicios utilizados como insumos para la producción de las unidades económicas pertenecientes al sector informal. Este rubro considera tanto las materias primas integradas físicamente a la producción obtenida, como otros gastos de consumo intermedio que son necesarios para llevar a cabo la producción de bienes (INEGI, 2017).

Tabla 5: Consumo intermedio del sector informal, 2016 (millones de pesos mexicanos)

Fuente: elaboración propia con base en INEGI (2017).

Por tanto, la simulación radica medir el impacto en la economía mexicana con las cantidades presentadas en las Tablas 4 y 5. Para esto, se consideran cuentas endógenas las actividades productivas, los factores productivos, las sociedades y los consumidores, así como los impuestos recaudados y tabulados en la SAM. Como cuenta exógena se identifica al Gobierno, a la cuenta de ahorro-inversión y al resto del mundo. Los valores utilizados como vector de impacto corresponden a 20167 bajo el supuesto de que desde 2012 hasta 2016, la estructura de la economía mexicana no ha cambiado.

En la Tabla 6 se observa al vector X que contiene todas las inyecciones de renta que cada una de las cuentas endógenas recibe de las exógenas, es decir, representa el output de las cuentas exógenas, el vector XsinInformalidad incluye las rentas bajo el escenario hipotético de la formalización laboral, el vector Y que contiene los outputs totales de las cuentas endógenas considerando la informalidad; y el vector YsinInformalidad que contiene los outputs totales de las cuentas endógenas bajo un escenario sin informalidad. Por último, el porcentaje de variación desde un escenario con informalidad hacia uno sin informalidad.

Tabla 6: Variación del output total al formalizar al sector informal, 2016 (millones pesos mexicanos)

Fuente: elaboración propia a partir de datos del INEGI (2016a; 2016b).

En la Tabla 6, se aprecia que, ante la formalización laboral, incluyendo su producción, desde el punto de vista de consumo intermedio a la economía junto con la recaudación del ISR, el output total de la economía aumentaría 17,58 %, equivalente a 4 654 900 millones de pesos mexicanos.

Este resultado tiene implicaciones muy importantes. Por un lado, se observa que los sectores productivos, principalmente beneficiados son: otros servicios8 (18), con un porcentaje de variación de cambio de 24,45 %; servicios de alojamiento temporal (17); con una variación de 24,41 %; transportes, correos y almacenamiento (7), con una variación de 18,60 %; industrias manufactureras (5), con un porcentaje de variación de 20,50 %; y generación, transmisión y distribución de energía eléctrica (3), con un cambio de 16,53 %.

Asimismo, aunque todos los sectores presentan un impacto positivo, los que menos incidencia generan ante las inyecciones exógenas son: actividades legislativas (19), con una variación de 0,29 %; servicios educativos (14), con una variación de 3,58 % y los servicios de salud, con un porcentaje de variación de 5,25 %.

Por otro lado, se aprecia cómo los factores productivos (trabajo y capital) tienen un incremento importante de su output, con un porcentaje de cambio de 13,79 % y 18,05 %, respectivamente; al igual que el incremento considerable de la recaudación de impuestos, especialmente, en los impuestos a la producción (35) con una variación de 16,20 %, el impuesto al valor agregado (IVA; 36) con una variación de 15,30 % y por obvias razones el ISR con una variación de 57,94 %, situación que, a su vez, implica aumento del consumo privado (23), con un porcentaje de cambio de 15,75 %; al igual que el output de los consumidores desagregados por decil de ingreso (24-33), con una variación que va de 13,95 % a 16,30 %.

Con estos resultados, se resalta la importancia del flujo circular de la renta y la manera como es posible dinamizar la economía, a partir de decisiones acertadas de política pública. Para este caso, ante la formalización laboral, en la economía, se contabilizan todos los niveles de producción, cuyo valor agregado queda reflejado en el aumento tanto del trabajo como del capital que, a su vez, generarán más producto. Por otro lado, se observa que la distribución del ingreso incide directamente en el output de los hogares, aumentándolos en un porcentaje considerable, que se verá reflejado en mayor consumo de bienes y servicios.

Lo anterior queda comprobado con el análisis en términos del PIB. En la tabla 7, se observa que, con la formalización laboral, la economía mexicana tendría un aumento del 16,85 % del PIB, equivalente a 2 518 895 millones de pesos mexicanos.

Tabla 7: Variación en términos del PIB al formalizar al sector informal, 2016 (millones de pesos mexicanos)

Fuente: elaboración propia con base en datos del INEGI (2016a; 2016b).

La Tabla 7 presenta los sectores de mayor impacto en términos del PIB, que corresponden a los mismos sectores que presentaron un incremento importante de su output total. Este resultado, de igual manera, resulta interesante, considerando que, de acuerdo con información del INEGI para 2016, y de acuerdo con la última actualización de la medición de la informalidad en México, la participación de la economía informal en el PIB para 2016 fue de 22,6 %; por lo que no se está muy alejado de la realidad.

Efectos sobre el bienestar

Una vez analizado el impacto económico de la formalización laboral, se analiza su impacto sobre el bienestar de la población, medido en términos de pobreza a través del índice FGT y de desigualdad medido con el índice de Gini. El nivel de desigualdad presentado en los hogares desagregados por decil de ingreso en el caso hipotético de la formalización del sector informal y el estado actual de la economía mexicana se muestra en la Tabla 8.

Tabla 8: Análisis de distribución de ingreso para México, 2016

Fuente: elaboración propia con datos del INEGI (2016a) y del Consejo Nacional de Evaluación de la Política de Desarrollo Social (Coneval, 2016).

En la Tabla 8, se expone que el decil X representa el 40,30 % del ingreso total de los hogares en México y el decil I apenas el 1,59 % del ingreso. Ello revela elevada concentración de ingresos, reflejada en el índice de Gini. Ante la formalización laboral, la distribución del ingreso queda en el mismo nivel presentado antes del cambio con una variación marginal de 0,001. Es decir, aun quedando formalizado el sector informal, la economía mexicana sigue presentando los mismos índices de desigualdad reflejando un entorno de inequidad relevante.

A pesar de esto, el ingreso trimestral promedio por habitante mejora significativamente, casi en la misma proporción para todos los deciles de ingreso. El decil I presenta un aumento del 14,23 % de su ingreso trimestral per cápita, situación que podría mejorar su capacidad adquisitiva y, por ende, el consumo de la población clasificada en este decil. De igual manera, el decil II presenta un aumento de su ingreso trimestral per cápita del 14,71 %, y el resto de los deciles por encima del 15 %, lo que generaría las mismas consecuencias.

Ahora bien, a través del índice FGT, pueden analizarse las condiciones de pobreza en las que se encuentra una población determinada, así como las carencias en los niveles de consumo individual. Como se mencionó, el parámetro puede ser interpretado como un coeficiente de aversión a la pobreza. Cuanto mayor es el valor de a, mayor es el énfasis que este índice hace de los hogares más pobres de entre todos los hogares pobres.

Para esto, se usaron los microdatos proporcionados por el INEGI a partir del MCS para 2016, teniendo en cuenta el ingreso trimestral de cada hogar, el tamaño del hogar, su correspondiente peso, así como el grupo de pertenencia. Además, como base para la medición, se tomó en cuenta el promedio entre la línea de pobreza per cápita moderada rural y urbana de 6665,66 pesos mexicanos trimestrales; y el promedio de la línea de pobreza per cápita extrema rural y urbana de 3438,54 pesos mexicanos trimestrales para 2016.

El porcentaje de cambio de ingreso propuesto es el resultado de la simulación, correspondiente al análisis de los efectos económicos de la formalización laboral, teniendo en cuenta solo el cambio presentado en los hogares. En la Tabla 9 se aprecian los resultados del análisis.

Tabla 9: Análisis de pobreza per cápita, 2016

Fuente: elaboración propia con datos del INEGI (2016a) y el Coneval (2016).

Los resultados a partir de la Tabla 9, con base en el índice FGT, muestran que los niveles de pobreza tanto moderada como extrema disminuyen ante un escenario de formalización laboral. Por ejemplo, el índice de incidencia disminuye 7,51 % (de 55,81 % a 48,30 %); de igual manera el índice de intensidad disminuye 4,32 % (de 23,72 % a 19,40 %); finalmente, el índice de severidad disminuye 2,71 % (13,17 % a 10,46 %). Por otro lado, la pobreza extrema también presenta disminución, aunque en menor proporción que la pobreza moderada; el índice de incidencia disminuye en 4,86 %, mientras que el índice de intensidad y severidad disminuye 1,73 % y 0,87 %, respectivamente.

Con esta última simulación se llega a la conclusión de que la formalización laboral traería grandes beneficios a la economía, ya que el output total se vería incrementado. Asimismo, los sectores productivos se verían beneficiados, de modo que incidirían en el aumento de las retribuciones de los factores productivos que, a su vez, se ve reflejado en un aumento del output de los hogares desagregados por decil de ingreso y su consumo.

CONCLUSIONES

En este trabajo de investigación, se analizaron los efectos económicos de la formalización laboral para 2016, tomando como base de datos la SAM construida para México, denominada Sammex-12. A partir de estos resultados, se hizo un análisis de los efectos sobre la desigualdad y la pobreza a través del índice de Gini y el índice FGT, con el fin de identificar el impacto de la formalización laboral sobre el output total de la economía y sobre el bienestar de los hogares en términos de pobreza y desigualdad.

Como marco metodológico se usó un modelo lineal de equilibrio general, basado en una SAM. La importancia de su aplicación radica en que cualquier medida de política económica tomada desencadena una serie de efectos que repercuten en los diferentes mercados y, a través de estos modelos, es posible captar todas las interdependencias entre los sectores interindustriales e institucionales de una economía. Así, es posible tener una primera aproximación de los efectos multisectoriales de cualquier medida tomada debido al flujo circular de la renta.

De esta manera, la investigación simuló los efectos de la recaudación del ISR evadida por informalidad, así como el consumo intermedio generado por los sectores productivos del sector informal. A partir de lo cual se obtuvo que los sectores beneficiados son principalmente el sector terciario (otros servicios, servicios de alojamiento temporal y transporte, correo y almacenamiento, en orden de impacto) y el secundario (industrias manufactureras y energía eléctrica, en orden de impacto). En términos del PIB, la economía tendría un aumento del 16,85 %, valor no muy alejado de los datos oficiales; de acuerdo con el INEGI y su medición de la informalidad, la participación de la economía informal en el PIB para 2016 fue de 22,6 %.

Asimismo, estos resultados traen implicaciones sobre la distribución de ingresos en la economía; tanto el consumo privado como la renta de los hogares desagregados por decil de ingreso tienen un impacto positivo importante, con una variación en promedio de 15 %. Por lo que, con la formalización laboral se contabilizan en la economía todos los niveles de producción, cuyo valor agregado incide en los factores productivos que, a su vez, generan más producción debido al flujo circular de la renta de la economía. Igualmente, la distribución del ingreso incide directamente en el incremento de la renta de los hogares, situación que se refleja en el aumento del consumo de bienes y servicios.

En cuanto al ingreso de los hogares, el decil X concentra el 40,3 % de los ingresos totales, mientras que el decil I apenas el 1,59 %. Esta desigualdad es respaldada por el índice de Gini, que muestra que, con informalidad o sin ella, la concentración de los ingresos queda en el mismo nivel, lo cual refleja un entorno de inequidad relevante. Sin embargo, a pesar del nivel de desigualdad, el ingreso trimestral promedio por habitante mejora significativamente, con un incremento promedio de 15,39 %.

Por otro lado, los índices de pobreza extrema y moderada, medidos a través del índice FGT (incidencia, intensidad y severidad) disminuyen considerablemente; en mayor medida, la pobreza moderada con una variación promedio de 4,84 % y la pobreza extrema con una variación promedio de 2,49 %, con lo que puede concluirse que la formalización laboral trae grandes beneficios a la economía, lo cual incrementa el output total y sectorial. Este aumento del output traería consigo el aumento de las retribuciones de los factores productivos ya que, como muestran los resultados, las remuneraciones al trabajo y al capital incrementan un 13,79 % y 18,05 %, respectivamente. Esto eleva el ingreso de los hogares, lo cual, a su vez, incrementa el consumo privado, y aumenta la recaudación de impuestos, que podría mejorar la distribución del ingreso al ser un impuesto progresivo y, por ende, el bienestar de la población.

De acuerdo con el Coneval, el 43,6 % de la población se encontraba en pobreza en 2016 y disminuyó a 41,9 % en 2018. Sin embargo, la población con ingresos inferiores a la línea de pobreza, estimada por ingresos, fue de 50,6 %, por lo que es un tema social de gran importancia a nivel nacional, que contrasta con el 61 % de la población que se encuentra en la informalidad, resultado obtenido en el análisis aplicado. Ello revela que la formalización laboral podría mejorar las condiciones sociales de la población.

Al contrastar los resultados obtenidos con el análisis de pobreza, se observa que estos son cercanos a los reportados por el Coneval, hecho que demuestra que el problema de la informalidad no está aislado, sino que repercute en muchos aspectos, tanto en términos de recaudación fiscal como económicos y, en consecuencia, en la redistribución del ingreso que incide directamente en el bienestar social.

Cabe señalar que se identifican dos principales limitaciones. La primera se relaciona con el carácter determinístico y estático del modelo. La segunda, con los supuestos sobre los precios, los recursos y la tecnología y las propensiones al gasto de las instituciones. Estos son modelos de precios fijos, donde cambios exógenos no afectan a los precios, lo que indica que la economía no usa a plenitud sus recursos y no presenta restricciones tecnológicas. Sin embargo, es una gran herramienta para la toma de decisiones de carácter económico y de planificación.

Por ello, si se quiere garantizar la competitividad del país y mejorar las condiciones sociales, una estrategia para lograrlo iría en torno a reducir los índices de informalidad laboral, no mediante el incremento de impuestos o de cargas impositivas adicionales a los contribuyentes, sino de mejorar las condiciones que incentiven al informal a hacer frente a sus obligaciones fiscales. Por ello, una estrategia sería generar puestos de trabajo de valor para la industria, con remuneraciones salariales justas, basadas en la formación de perfiles ligados a las vocaciones económicas regionales y locales, con el apoyo de las instituciones educativas.

De esta manera, a partir de políticas que direccionen al país hacia un crecimiento sostenido, se garantizaría igualdad de condiciones sociales y oportunidades que permitan empleos de calidad, acceso a la educación, garantías para la creación de empresas, acceso a créditos, servicios de salud, protección social y pago de impuestos progresivos que garanticen una adecuada redistribución del ingreso.

Entender la informalidad como un problema estructural permitiría que se diseñaran acciones con condiciones favorables para incentivar la formalidad laboral. De manera que se vuelva un aliado en la reducción de la pobreza y la desigualdad.

REFERENCIAS

  1. 1. Aguayo, E., Chapa, N., & Rangel, E. (2009). Análisis de la generación y distribución del ingreso en México del Programa Oportunidades a través de un modelo lineal del flujo circular de la renta. En D. Flores, M. Treviño & J. Valero (comp.), La economía mexicana en 19 miradas (pp. 469-499). Porrúa. 🠔
  2. 2. Alcaraz, C., Chiquiar, D., & Ramos-Francia, M. (2008). Diferenciales salariales intersectoriales y el cambio en la composición del empleo urbano de la economía mexicana en 2001-2004 (Documento de Trabajo 2008-06). Banco de México. http://hdl.handle.net/10419/83733 [URL] 🠔
  3. 3. Antón, A., Hernández, F., & Levy, S. (2013). The end of informality in México? Fiscal reform for universal social insurance. Inter-American Development Bank. 🠔
  4. 4. Bazdresch, S. (2017, 21 de noviembre). La informalidad en México. Interpretaciones alternativas sobres su origen y consecuencias. Foco Económico. http://focoeconomico.org/2017/11/21/la-informalidad-en-mexico-interpretaciones-alternativas-sobre-su-origen-y-consecuencias/ [URL] 🠔
  5. 5. Beltrán, L., Delgado, M., & Ríos, H. (2017). Análisis multisectorial y de cambio estructural de la economía mexicana para el periodo 2003-2012. Revista de Estudios Regionales, 110, 69-97. 🠔
  6. 6. Bonnet, F., Leung, V., & Chacaltana, J. (2018). Mujeres y hombres en la economía informal. Un panorama estadístico. OIT. 🠔
  7. 7. Brandt, N. (2011). Informality in Mexico. OECD. https://doi.org/10.1787/5kg3nzlp1vmq-en [URL] 🠔
  8. 8. Busso, M., Fazio, M. V., & Levy, S. (2012). (In)formal and (Un)productive. the productivity costs of excessive informality in Mexico. Inter-American Development Bank. http://dx.doi.org/10.2139/ssrn.2207240 [URL] 🠔
  9. 9. Chant, S. H., Pedwell, C., & de Londres, E. D. C. E. (2008). Las mujeres, el género y la economía informal: evaluación de los estudios de la OIT y orientaciones sobre el trabajo futuro. OIT. 🠔
  10. 10. Concejo Nacional de Evaluación de la Política de Desarrollo Social -Coneval. (2016). Medición de la pobreza para 2016. https://www.coneval.org.mx/Medicion/MP/Paginas/Pobreza_2016.aspx [URL] 🠔
  11. 11. Cunningham, W. (2001). Breadwinner versus Caregiver. Labor force participation and sectoral choice over the Mexican business cycle. En E. Katz & M. Correia (eds.), The economics of gender in México: Work, family, state, and market (pp. 85-132). The World Bank. https://doi.org/10.1596/0-8213-4886-8 [URL] 🠔
  12. 12. Foster, J., Greer, J., & Thorbecke, J. (1984). A class of decomposable poverty measures. Econometrica, 52(3), 761-766. https://doi.org/10.2307/1913475 [URL] 🠔
  13. 13. Gong, X., van Soest, A., & Villagómez, E. (2004). Mobility in the urban labor market. A panel data analysis for Mexico. Economic Development and Cultural Change, 53(1), 1-36. https://doi.org/10.1086/423251 [URL] 🠔
  14. 14. Hart, K. (1970). 8. Small-scale Entrepreneurs in Ghana and development planning. The Journal of Development Studies, 6(4), 104-120. https://doi.org/10.1080/00220387008421338 [URL] 🠔
  15. 15. Hart, K. (1973). Informal income opportunities and urban employment in Ghana. The journal of modern African studies, 11(1), 61-89. https://www.jstor.org/stable/159873 [URL] 🠔
  16. 16. Instituto Nacional de Estadística y Geografía -INEGI. (2007). Sistema de clasificación industrial de América del Norte. Tercera edición. https://www.inegi.org.mx/datos/ [URL] 🠔
  17. 17. Instituto Nacional de Estadística y Geografía -INEGI. (2014). La informalidad laboral. Encuesta nacional de ocupación y empleo. Marco conceptual y metodológico. http://internet.contenidos.inegi.org.mx/conte-nidos/Productos/prod_serv/contenidos/espanol/bvinegi/productos/meto-dologias/est/702825000987.pdf [URL] 🠔
  18. 18. Instituto Nacional de Estadística y Geografía -INEGI. (2016a). Encuesta nacional de ingreso y gasto de los hogares (Enigh), tradicional, tabulados básicos. https://www.inegi.org.mx/app/biblioteca/ficha.html?upc=702825001357 [URL] 🠔
  19. 19. Instituto Nacional de Estadística y Geografía -INEGI. (2016b). Módulo de Condiciones Socioeconómicas. Encuesta nacional de ingresos y gastos de los hogares 2016. Descripción de la base de datos. https://www.inegi.org.mx/investigacion/eash/2016/ [URL] 🠔
  20. 20. Instituto Nacional de Estadística y Geografía -INEGI. (2017). Medición de la economía informal, sistema de cuentas nacionales de México: Fuentes y metodología. http://internet.contenidos.inegi.org.mx/contenidos/productos/prod_serv/contenidos/espanol/bvinegi/productos/nueva_estruc/702825079123.pdf [URL] 🠔
  21. 21. Instituto Mexicano para la Competitividad -IMCO. (2017, 06 de abril). Índice de Competitividad Internacional. http://imco.org.mx/indices/ [URL] 🠔
  22. 22. Instituto Mexicano para la Competitividad -IMCO. (2019, 05 de enero). Carreras mejor pagadas. México. http://imco.org.mx/comparacarreras/ [URL] 🠔
  23. 23. Instituto Nacional de Estadística y Geografía -INEGI. (2020, abril 11). Medición de la informalidad. https://www.inegi.org.mx/temas/pibmed/ [URL] 🠔
  24. 24. Leontief, W. (1941). The structure of the American economy 1919-1929. Cambridge University Press. https://doi.org/10.1017/S0022050700053158 [URL] 🠔
  25. 25. Levy, S. (2009). Buenas intenciones, malos resultados. Finanzas Públicas, 1(1), 165-200. 🠔
  26. 26. Levy, S., & Székely, M. (2016). ¿Más escolaridad, menos informalidad? Un análisis de cohortes para México y América Latina. El Trimestre Económico, 83(332), 499-548. https://doi.org/10.20430/ete.v83i332.232 [URL] 🠔
  27. 27. Medina, F. (2001). Consideraciones sobre el índice de Ginipara medir la concentración del ingreso. Cepal. 🠔
  28. 28. Núñez, G. (2003). Un análisis estructural y de equilibrio general de la economía mexicana [tesis doctoral, Universidad Autónoma de Barcelona, España]. https://doi.org/10.13140/2.1.3685.6324 [URL] 🠔
  29. 29. Organización Internacional del Trabajo -OIT. (2015). Promoting formal employment among youth. Innovative experiences in Latin America and The Caribbean. Autor. 🠔
  30. 30. Oviedo, A. M., Thomas, M. R., & Karakurumzdemir, K. (2009). Economic informality: Causes, costs, and policies a literature survey, 167. World Bank Publications. https://doi.org/10.1596/978-0-8213-7996-7 [URL] 🠔
  31. 31. Pyatt, G., & Round, J. (1979). Accounting and fixed price multipliers in a social accounting matrix framework. The Economic Journal, 89(356), 850-873. https://doi.org/10.2307/2231503 [URL] 🠔
  32. 32. Robles, D., & Martínez, M. (2018). Determinantes principales de la informalidad: un análisis regional para México. Región y sociedad, 30(71). https://doi.org/10.22198/rys.2018.71.a575 [URL] 🠔
  33. 33. Robles, D., Sánchez, H., & Beltrán, L. (2019). La informalidad en las zonas metropolitanas de México: un análisis de sus principales determinantes. Revista Desarrollo y Sociedad, 83, 219-262. https://doi.org/10.13043/dys.83.6 [URL] 🠔
  34. 34. Rojas, M., Angulo, H., & Velázquez, I. (2000). Rentabilidad de la inversión en capital humano en México. Economía Mexicana Nueva Epoca, 9(2), 113-142. 🠔
  35. 35. San Martín, J., Ángeles, H., Juárez, C., & Díaz, J. (2017). Evasión global 2017. Universidad de las Américas. 🠔
  36. 36. Sandoval-Betancour, G. (2014). La informalidad laboral: causas generales. Equidad y desarrollo, 1(22), 9-45. https://doi.org/10.19052/ed.3247 [URL] 🠔
  37. 37. Sen, A. (2000). Desarrollo y libertad. Madrid: Editorial Planeta. http://hdl.handle.net/11336/87913 [URL] 🠔
  38. 38. Sojo, E., & Villarreal, R. (2006). Public policies to promote productive occupation and increase formality among the moderate poor: The Mexican agenda. En B. Guha, Khasnobis & R. Kanbur (comps.), Informal labour markets and development. Hampshire, Palgrave Macmillan. http://hdl.handle.net/10419/63397 [URL] 🠔
  39. 39. Stone, R. (1978). The disaggregation of the household sector in the national accounts. World Bank Conference on Social Accounting Methods in Development Planning. Cambridge. 🠔
  40. 40. Székely, M., & Rascón, E. (2004). México 2000-2002: reducción de la pobreza con estabilidad y expansión de programas sociales. Economía Mexicana. Nueva época, 14(2), 217-269. 🠔
  41. 41. Tokman, V. (2001). De la informalidad a la modernidad. Economía, 24(48), 153-178. 🠔
  42. 42. Tovar, J. (2000). La evasión fiscal. Causas, efectos y soluciones. Porrúa. 🠔
  43. 43. Uribe, J., & Ortiz, C. (2006). Informalidad laboral en Colombia, 1988-2000. Evolución, teorías y modelos. Programa Editorial Universidad del Valle. 🠔
  44. 44. Valenti, G., & Varela, G. (2003). Diagnóstico sobre el estado actual de los estudios de egresados. Asociación Nacional de Universidades e Instituciones de Educación Superior. 🠔
Estos carecen de estabilidad laboral, seguridad social, derechos laborales y, además, evaden impuestos.
Las estimaciones de la población para 2016-2018 apenas varían en 3%. Esto no afecta en mayor medida los resultados y sus implicaciones. Además, la participación de la economía informal en el PIB para 2016 fue de 22,6 % mientras que, para 2018, fue de 22,5 %, manteniendo prácticamente la misma proporción de acuerdo con el INEGI (2020).
La Ley del Instituto Mexicano de la Juventud establece que la población localizada entre los 12 y los 29 años se considera joven.
La PEI se refiere a individuos que no forman parte de la PEA debido a que se dedican a actividades como quehaceres del hogar o estudio; y pensionados o jubilados.
La pobreza extrema se define como el número de habitantes cuyo ingreso se encuentra por debajo de la línea de pobreza, sobre la población total.
Se hace una especial desagregación de los hogares, ya que se desea simular los efectos de la formalización de la informalidad sobre los ingresos por deciles de los hogares y los niveles de pobreza y de desigualdad.
Los valores correspondientes al consumo intermedio del vector de impacto fueron deflactados con respecto al año 2012, ya que la base de datos utilizada corresponde a ese año.
Otros servicios incluyen actividades relacionadas con reparación y mantenimiento, servicios personales como salones de belleza, lavanderías, servicios funerarios, estacionamientos, asociaciones y organizaciones y empleados domésticos (INEGI, 2007).
Robles Ortiz, D., Beltrán Jaimes, L. D., & Delgado López, M. del C. (2022). Impacto económico y social de la formalización laboral en México. Cuadernos de Economía, 41(86), 185-212. https://doi.org/10.15446/cuad.econ.v41n86.85067