Cuadernos de Economía
0121-4772
2248-4337
Universidad Nacional de Colombia
https://doi.org/10.15446/cuad.econ.v41n86.85604

Recibido: 6 de marzo de 2020; Revision Received: 22 de octubre de 2020; Aceptado: 12 de noviembre de 2020

CONTRIBUCIONES DE LA DISTRIBUCIÓN DE LA TIERRA AL DESARROLLO DE LOS PAÍSES. UNA REVISIÓN DE LA LITERATURA

Contributions of land distribution to the development of countries. A literature review

A. Anaya Campo, a

Universidad del Atlántico, Barranquilla; Universidad del Magdalena, Santa Marta, Colombia. Correo electrónico: alexanderanaya@mail.uniatlantico.edu.co Universidad del Atlántico Universidad del Atlántico Barranquilla Colombia

RESUMEN

La redistribución de la tierra favoreció el crecimiento económico de China, Corea del Sur, Japón y Taiwán. En estos países, la distribución, aunada al apoyo estatal, contribuyó en buena medida a la subsecuente industrialización de sus economías. La literatura reconoce el notable desarrollo del Este Asiático. Sin embargo, en otras naciones, especialmente de África y Latinoamérica, las reformas agrarias distributivas no evidencian resultados satisfactorios en materia de desarrollo. Este artículo revisa la literatura sobre las contribuciones de la distribución de la tierra al desarrollo de algunos países que padecieron o padecen alta concentración de tierra y problemas de pobreza.

JEL:

Q15, 043, 049, D63.

Palabras clave:

desarrollo económico, distribución de la tierra, tenencia de la tierra, reforma agraria.

ABSTRACT

Land distribution favoured the economic growth of China, South Korea, Japan, and Taiwan. In these countries, distribution, coupled with state support, contributed greatly to the subsequent industrialisation of their economies. The literature recognises the remarkable development of East Asia. However, in other nations, especially in Africa and Latin America, distributional land reforms do not show satisfactory results in terms of development. This paper reviews the literature on the contributions of land distribution to the development of some countries that suffered from, or suffer from, a high concentration of land and poverty problems.

JEL:

Q15, 043, 049, D63.

Keywords:

Economic development, land distribution, land tenure, land reform.

INTRODUCCIÓN

La redistribución de la tierra durante las décadas posteriores a la Segunda Guerra Mundial fue uno de los temas gruesos anotados en las agendas de los hacedores de política económica de muchos países. Una amplia literatura revisa el papel de la distribución en el crecimiento y desarrollo de economías emergentes con problemas de concentración de tierra. La literatura, por un lado, destaca los casos donde la distribución de tierra influenció en el desarrollo y, por otro, brinda información de las naciones que alcanzaron logros modestos, una vez implementadas las reformas agrarias.

La reforma agraria busca transformar una estructura agraria basada en un sistema de relaciones sociales (modos de producción) y una forma de propiedad y usufructo de territorios. Es decir, la reforma puede cambiar los modos de producción en la agricultura, la estructura de clases y el patrón de tenencia de tierra (De Janvry, 1981). La reforma a la tenencia de tierra difiere de la reforma agraria. Mientras la primera se ocupa de los derechos sobre la tierra y distribución, la segunda comprende un conjunto más amplio de política: la forma de las relaciones de producción y distribución en la agricultura y las empresas conexas, las cuales interactúan en mercados locales y no locales (Ntsebeza y Hall, 2007).

La importancia de la reforma agraria radica en su efecto en la pobreza rural, pues la tierra es el principal activo productivo de los pobres (Lipton, 2009). Por consiguiente, la redistribución debe entenderse como una oportunidad que permita la producción de bienes agrícolas para el autoconsumo familiar, la oferta de alimentos y la disponibilidad de insumos demandados por la industria. El crecimiento de la población mundial y la crisis alimentaria de 2007-2008 alientan a revisar el papel de la distribución de la tierra de labranza en el logro de la seguridad y soberanía alimentaria.

El derecho a poseer y trabajar la tierra, otorgado a los campesinos, hace aumentar sus ingresos a través de varios canales: trabajo agrícola, mayor valoración de la tierra, realización de actividades no agrícolas y los efectos de una economía en crecimiento, con mejor distribución de sus recursos (Lipton, 2009). Sin embargo, con base en las evidencias de la reforma de Corea del Sur, se observa que no solo la distribución de tierra aseguró un mejor bienestar, pues, una vez iniciada la reforma, el Estado afianzó el proceso por medio de una política intervencionista.

En general, la reforma agraria redistributiva fue el instrumento utilizado para aliviar las tensiones producidas por la concentración de tierra. La implementación de este tipo de reforma, junto con la intervención gubernamental, fue indispensable para impulsar la tasa de crecimiento de las economías del Este Asiático. Una amplia literatura reconoce la importancia de la tierra en el milagro económico de Taiwán, Japón, Singapur y Corea del Sur, cuyas economías lograron una rápida industrialización desde la década de 1960. Con respecto al auge de la economía china, Liu (2018) considera que la tierra es el motor que impulsó el alto crecimiento del milenario país.

No obstante, los cambios en la tenencia de tierra y las reformas agrarias implementadas en otros países en vías de desarrollo no cumplieron los objetivos que los inspiraron. Por ejemplo, Rusia, Sudáfrica y Latinoamérica apostaron por la posibilidad del cambio socioeconómico por medio de reformas agrarias, pero, en la actualidad, persisten conflictos derivados de la alta concentración de tierra, pobreza rural significativa y baja productividad de factores.

Con ello en mente, este artículo expone los resultados de estudios importantes que analizan las contribuciones de la distribución de la tierra al desarrollo de diferentes países. De la extensa bibliografía sobre los efectos económicos y sociales de las reformas agrarias, fue necesario seleccionar, entre el conjunto de países emergentes, aquellos bien referenciados en la literatura del tema abordado. Una parte del trabajo se enfoca en las naciones del llamado milagro económico ex post la reforma agraria, especialmente, de Corea del Sur, Taiwán y Japón. También se revisan las experiencias de un grupo de viejas economías planificadas, las cuales apostaron a reformar sus sistemas económicos en favor de la economía de mercado, como Rusia, Vietnam y China.

A la vez, países como India y Sudáfrica son referentes de estudio. El primer país fue escogido por las reformas emprendidas después del colonialismo británico, su pobreza significativa y alta desigualdad; el segundo, por el plan reformista orientado a acabar las injusticias de la segregación racial en una de las economías más importantes de África. Por último, América Latina, la región más desigual del planeta, es objeto de estudio por las reformas agrarias efectuadas, principalmente, en México, Brasil, Perú y Bolivia.

RENTA, PROPIEDAD Y DISTRIBUCIÓN DE LA TIERRA

La tierra considerada factor productivo fue tema de análisis de los exponentes de la economía clásica. Desde la perspectiva maltusiana, la tierra, como activo y generadora de ingresos de los hogares, está vinculada directamente con el bienestar de los propietarios (Brandt y Sands, 1990). Ricardo erigió su teoría de la renta de la tierra, basado en el sector agrícola, dado que en este sector regía el principio de los rendimientos decrecientes. Ese autor, al pensar la agricultura global con una cantidad fija de tierra y una oferta de tierra perfectamente inelástica, estableció que la renta no es un costo de producción y, por ende, no es un factor que determina el precio (Landreth y Colander, 2006). Esta concepción indica que un impuesto sobre la renta pura de la tierra no afectaría a los precios naturales, por lo que no es transferible a los consumidores ni a los arrendatarios, solo afecta a los terratenientes (Aznar, 2007).

Por su parte, Marx reconoce el análisis diferencial de la renta de Ricardo, aunque, considera la generación de renta de todos los tipos de tierras, incluidas las infértiles. También define la renta absoluta como una parte del plusvalor agrícola, la cual emana del excedente entre el valor y el precio de producción. El monopolio de la propiedad del suelo crea la plusvalía entregada por el empresario capitalista a los terratenientes, en concepto de pago por el uso del suelo.

Los temas sobre la tenencia y concentración de la tierra también fueron tratados por los viejos clásicos. James y John Stuart Mill reconocieron el deber del Estado a ejercer su derecho de controlar la tierra, y velar por que su uso se adapte a los intereses de la comunidad (Platteau, 1983). En este orden de ideas, John Mill no tenía objeción frente a que el Estado nacionalizara la tierra, aunque aprobaba el pago de una compensación a los propietarios (Medearis, 2005).

También, las percepciones sobre la tenencia de tierra fueron visibles entre los pioneros del neoclasicismo. Léon Walras, teórico del equilibrio general, vio la nacionalización de la tierra como parte de la solución al problema social. Su principal argumento consistió en que una nacionalización permite a los gobiernos ingresos suficientes y por eso pueden eliminar los impuestos a los ingresos derivados del trabajo. El principio de Walras de pensar la tierra como derecho natural de propiedad del Estado está influenciado por la igualdad de oportunidades, asimismo, considera a la igualdad absoluta de oportunidades como el remedio para superar la injustica (Cirillo, 1980). A pesar de lo radical de la idea de nacionalización de la tierra de los Mill y de Walras, los autores merecen reconocimientos por su interés de brindar soluciones a los problemas sociales.

La ortodoxia económica, al agrupar el factor tierra en el conjunto de parámetros dados de sus modelos, le restó importancia al efecto de la tierra en el crecimiento. Sin embargo, una revisión minuciosa del enfoque de los predecesores del neoclasicismo muestra el histórico giro que dio la ortodoxia al desestimar el rol de la tierra. El tema planteado tiene significancia al escudriñar los preceptos de figuras representativas del marginalismo, como Gossen, Menger, Walras y Marshall, vale decir, los fundadores de los principios ampliamente difundidos por el neoclasicismo. Foldvary (2008), afirma que la escuela neoclásica se esforzó por ocultar la renta de la tierra en el excedente del productor y en los intereses. Además, sostiene que la presión de los intereses terratenientes hizo invisible la tierra en el análisis neoclásico.

La forma como se distribuyen los activos productivos y las oportunidades económicas en una sociedad tiene implicaciones en el crecimiento y el desarrollo en el largo plazo (Deininger et al., 2009; World Bank, 2005). En vista de que una alta desigualdad reduce el crecimiento, los Estados que heredaron una desigualdad significativa de activos pueden obtener ganancias considerables si implementan la redistribución necesaria (Deininger et al., 2009). Por tanto, cuando la concentración de la tierra es elevada, la redistribución de este activo en pequeñas unidades de explotación con apoyo de servicios complementarios tiene sentido (World Bank, 2005). La importancia de una política de redistribución de la tierra toma fuerza, dado el alto grado de correlación entre la incidencia de la pobreza rural y el escaso acceso a la tierra (Mearns, 1999). De hecho, mejorar el acceso de los pobres a la tierra puede contribuir a la reducción de la inseguridad alimentaria, la pobreza y la desigualdad, debido a la mayor participación campesina en la producción agrícola y a las nuevas oportunidades surgidas (Mendola y Simtowe, 2015).

Así como el acceso a la tierra influye en el bienestar a través de la capacidad de producir, comercializar y consumir bienes, la formalización de los derechos de propiedad permite al propietario obtener crédito con mayor facilidad, para realizar inversiones de capital, utilizando como garantía su propiedad y el valor de los cultivos (Albertus y Kaplan, 2013). La seguridad de los derechos de propiedad ayuda a mejorar la productividad, el crecimiento y el desarrollo (Besley y Ghatak, 2010; Lo y Tian, 2002; Newman et al., 2015).

Distribuir la tierra es un acto político, y llevar a cabo una política de redistribución es complejo cuando se tienen restricciones institucionales. Las limitaciones institucionales crean obstáculos para que las élites terratenientes aprovechen su influencia y rechacen cambios al statu quo (Albertus, 2015). Por medio de las instituciones extractivas, el poder político extrae los recursos de la sociedad en beneficio de unos pocos y a la vez concentra el poder y las oportunidades en las élites (Acemoglu, 2012). En las democracias, una implementación de la redistribución de la tierra a gran escala necesita de bajas limitaciones institucionales y de la división de coaliciones entre los gobernantes y la élite terrateniente que obstruyen la reforma (Albertus, 2015). Solo la política da forma al modo de trabajar de las instituciones económicas, que establecen incentivos, distribuyen recursos y procuran inversión e innovación (Acemoglu, 2012).

EL ROL DE LA TIERRA EN EL MILAGRO DEL ESTE ASIÁTICO

Superada la Segunda Guerra Mundial, Japón, Taiwán y Corea del Sur, atendiendo las recomendaciones norteamericanas, implementaron una serie de reformas a la tenencia de tierra, las cuales incentivaron la igualdad de oportunidades económicas y ayudaron a consolidar el célebre milagro económico. Los tres países mencionados experimentaron reformas similares. Estas contribuyeron al rápido crecimiento de la producción agrícola.

El país nipón es un referente de organización de los derechos de propiedad sobre la tierra. Japón consagró estos derechos desde la promulgación de la Constitución Meiji de 1889 (Sorensen, 2010) y los afianzó en tiempos de la posguerra (Parker y Amati, 2009). En la era Meiji, se otorgaron títulos de propiedad a aquellos que pagaban tributos a la tierra, lo que impulsó el desarrollo de un mercado de tierra capitalista, debido a que se autorizaron los registros e hipotecas, y se dio libertad a la venta de tierra (Sorensen, 2010). La protección constitucional, reforzada en la postguerra, fortaleció la capacidad de rechazar los modelos regionales de desarrollo dirigidos por el Estado, todo ello permitió un desarrollo rural más descentralizado (Parker y Amati, 2009). La legislación expedita que configura los derechos de propiedad, desde el periodo Meiji, es vista como una de las instituciones significativas que facilitó el crecimiento económico japonés durante el siglo veinte (Sorensen, 2010).

Japón influyó en el desarrollo rural de Corea y Taiwán. Cuando Japón inició la colonización de las naciones mencionadas (albores del siglo XX) contaba con estudios agrícolas y una agricultura organizada. En consecuencia, Corea y Taiwán recibieron la inversión en proyectos de riego, nuevas variedades de semillas y fertilizantes; con lo que pretendían aumentar la producción de arroz (Iscan, 2018). Las reformas de distribución de tierra japonesa, coreana y taiwanesa fueron con-fiscatorias contra los antiguos terratenientes; incluyeron la venta de tierras públicas a pequeños propietarios y lograron una distribución más igualitaria de tierra (Iscan, 2018). En los casos de Japón y Taiwán, Deininger (2009) señala que más del 60 % de los hogares rurales se beneficiaron de la redistribución de tierra. En lo esencial, Iscan (2018) considera que la contribución de las reformas agrarias al crecimiento económico de Japón, Corea y Taiwán fue posible porque las reformas liberaron trabajo agrícola, suministraron alimentos de bajo costo a los integrantes de la fuerza laboral y el ahorro aumentó.

Conviene mencionar que el conflicto agrario y las limitaciones institucionales son referenciados como aspectos que forzaron la distribución de tierra en Corea. Como muestra de ello, Jeon y Kim (2000), más que concentrarse en factores políticos, enfatizan en los costos de transacción, entre propietarios e inquilinos, como instituciones económicas que ocasionaron la reforma y, de otro lado, Shin (1998) afirma que la reforma agraria fue producto de las revueltas y rebeliones del campesinado.

En particular, la reforma agraria que pretendió la igualdad de derechos sobre la tierra, sin eliminar la propiedad en Taiwán, se impulsó entre 1949 y 1979. Li et al. (2000) describen tres fases de la reforma: la primera, fue la reducción de las tasas de alquiler y la protección de los derechos de tenencia de tierra. La segunda, la venta de tierras públicas a los inquilinos, y la tercera, la compra obligatoria de tierras privadas de arrendadores, cuyas propiedades excedían la superficie máxima estipulada en la Ley. La reforma agraria convirtió a un buen número de agricultores en propietarios de sus parcelas.

La información estadística de 1971 muestra que el 78 % de los cultivadores eran propietarios y 10 % fueron inquilinos (Lumley, 1976). El desarrollo de la agricultura en Taiwán fue estratégico en el tiempo. Entre 1945 y 1968 se usó la agricultura para fortalecer el sector industrial. En el periodo 1969-1990, se afianzó el apoyo a la agricultura y a los agricultores. Luego, a partir de 1991 se proyectó la agricultura a la liberalización económica (Lee y Hsu, 2009). Cabe mencionar, que el Gobierno de Taiwán no solo aplicó una reforma agraria importante, también, hizo seguimiento a un plan exhaustivo y sistemático de control estatal de las tierras elegidas para la industria (Bishai, 1991).

Los economistas destacan el dinamismo de las exportaciones de Taiwán y su importancia en el crecimiento. Sin embargo, otras variables podrían tener igual o mayor importancia en el milagro económico de la isla. La demanda interna de bienes de consumo y de insumos agrícolas de bajo costos fue jalonada, en la década de 1950, por el rápido crecimiento de los ingresos rurales. En consecuencia, el aumento de la demanda contribuyó al desarrollo de pequeñas y medianas empresas manufactureras, claves para la industrialización (Minns, 2003; Park y Johnston, 1995). Las condiciones previas del desarrollo de Taiwán se debieron al aumento de la productividad agrícola, la cual dio seguridad alimentaria a una población creciente y creó un excedente importante para las exportaciones (Cheng, 1983).

Tabla 1: Alcances y características de las reformas agrarias

Fuente: Deininger (2009).

Debe señalarse la importante corriente que defiende el papel del Estado en el desarrollo de los países prósperos del Este de Asia. En las economías del milagro, los gobiernos contribuyeron a orientar y crear los mercados en lugar de excluirlos (Stiglitz, 1997). En opinión de Haggard (2004), los gobiernos garantizaron derechos de propiedad, establecieron acuerdos creíbles, diseñaron políticas eficientes y aminoraron la búsqueda ilegal de rentas y la corrupción.

Con respecto al rol del Estado, se considera que la burocracia basada en el mérito causó la industrialización de los países asiáticos. No obstante, You (2017) cuestiona el prototipo del Estado weberiano como causa de los buenos resultados de la economía coreana. Este autor refuta el argumento de que el gobierno de Park Chung-Hee, conformado por burócratas con méritos, creó el modelo de Estado que causó el desarrollo. Con base en evidencias de Corea, el autor asevera que la disolución de la clase terrateniente y la distribución equitativa de ingresos y riqueza ayudaron a difundir la igualdad de oportunidades y promovió la inversión privada en la educación de la población.

De ese modo, los mayores niveles de educación mejoraron el reclutamiento de funcionarios con base en el mérito y la responsabilidad. Por ello, el Gobierno pudo afianzar un Estado comprometido con el desarrollo, alejándose de la concepción del Estado depredador del gobierno de Syngman Rhee. La reforma agraria fue la que transformó la política y la sociedad y, sin ella, no habría tenido lugar el surgimiento de un Estado bien administrado y, por ende, el milagro económico coreano (You, 2017).

EFECTOS DE LA DISTRIBUCIÓN DE TIERRA EN CHINA, RUSIA Y VIETNAM

En las dos últimas décadas del siglo XX, la nación china, influenciada por la economía de mercado, comenzó a implementar una serie de reformas a la tenencia de tierra. El régimen de administración de territorios está conformado por tres tipos de gobernanzas: la pública, los gobiernos con autonomía en aldeas y el tipo basado en la relación social (Zhou et al., 2019). Son afines a esta estructura de poder, los derechos sobre la propiedad de la tierra, derechos de operación y los derechos de contratación, siendo estos últimos los que regulan la propiedad del agricultor (Zhang et al., 2011).

La administración pública estableció los derechos de contratación de tierras, procurando la transferencia de predios; entretanto, incentivó la inversión de los agricultores en los proyectos agrícolas (Zhou et al., 2019). La mayor parte de la cantidad de tierra cultivable de China es de propiedad colectiva; y es escasa la tierra administrada por granjas estatales (Jacoby et al., 2002). A pesar de la ausencia de la propiedad de la tierra, Kung y Liu (1997) aseveran que el Estado permitió flexibilidad en la administración de tierra por parte de líderes comunales, quienes tuvieron la libertad de ajustar la reasignación de tierras entre los hogares, cuando las condiciones lo requirieron, por ejemplo, por cambios demográficos y cumplimiento de metas de productividad.

La transformación agraria china de principios de 1980, produjo cambios significativos en el uso de la tierra, la asignación de mano de obra y el comportamiento de los mercados (Benedict et al., 1998). Esta reforma promovió el crecimiento de la producción agrícola. De modo que aumentó los ingresos de los agricultores e incentivó el proceso de industrialización de las zonas rurales. Con mejores dotaciones, la gente del campo emigró a las ciudades y se ocuparon en actividades no agrícolas (Liu, 2018). La política de tierra suscitó un cambio sin precedente en la economía agrícola del extenso país, ya que no solo mejoró la productividad de la tierra, sino aumentó, a la vez, la productividad laboral. Liu (2018) comenta dos roles importantes de la reforma agraria de China: salvaguardar la seguridad alimentaria e impulsar el crecimiento económico.

En resumen, el establecimiento de los derechos de propiedad es propicio para disminuir la incertidumbre, facilitar el acceso al crédito y afianzar los mercados de tierra. En el caso chino, llaman la atención los riesgos de expropiación de tierra, derivados de la falta de título que definen la propiedad privada de los predios explotados por los campesinos. Al respecto, Jacoby et al. (2002) cuantificaron el riesgo de expropiación a partir de una muestra de hogares del noreste de China, donde identificaron el efecto de la inseguridad de la tenencia de tierra en la inversión que se hace en los sistemas de reasignación de tierra del modelo comunal. La investigación, usando como variables de inversión el uso de fertilizantes orgánicos, mostró que el mayor riesgo de expropiación frena la inversión en fertilizantes en las zonas agrícolas. Sin embargo, los autores concluyen que la garantía de la propiedad provoca ganancias escasas, dado que importantes inversiones agrícolas, como los proyectos de irrigación, drenajes y repositorios de agua son de orden comunal.

Además de China, Rusia es otro gigante que evidenció, durante el siglo XX, interesantes cambios en la tenencia de tierra. Los rusos implementaron tres reformas agrarias, con efectos en su estructura socioeconómica. La reforma iniciada en 1906 buscó reemplazar el antiguo sistema comunal, por medio de la distribución de tierras a los campesinos o kulaks; la segunda fue el proceso de colectivización de Stalin, el cual, a mediados de la década de 1930, había eliminado las granjas campesinas de propiedad individual, y logró imponer el control a las granjas estatales y colectivas. La última gran reforma del siglo fue la acontecida en 1990, cuando se disolvió el sistema agrícola estalinista y se impulsó la privatización de empresas agrícolas (Wegren, 1998).

La era post-soviética de Rusia estuvo llena de expectativas por el conjunto de medidas diseñadas para transformar la economía. Los temas de administración y tenencia de tierra no fueron ajenos a los prometedores cambios, derivados de una visión política y económica que contrastó con el alto grado de planificación central implementado por más de seis décadas en Rusia y las repúblicas que conformaban la Unión Soviética.

La reestructuración del campo en la década de 1990 inició con los decretos firmados por Mijaíl Gorbachov para reorganizar las granjas colectivas y estatales ineficientes, y reasignar territorios de propiedad estatal a la población. La norma creó un fondo especial, con las tierras que venían siendo mal utilizadas y procedió a entregarlas a las granjas, cooperativas y arrendatarios con residencia urbana. La reforma agraria propuesta por Gorbachov, y después liderada por Yeltsin, benefició principalmente a las grandes granjas con el otorgamiento de la mayor parte de la tierra cultivable (Pallot y Nefedova, 2003; Wegren, 2008).

Los beneficiaros de la redistribución fueron la élite rural y personas ajenas al campo, quienes provenían de las zonas urbanas de otras exrepúblicas. Según Allina-Pisano (2004), los agricultores de la élite eran dueños de extensas propiedades, tenían acceso al crédito y producían con economía de escala, mientras los recién llegados de las ciudades cultivaban pequeñas parcelas con métodos de producción arcaicos. Las grandes granjas agrícolas imitaron las formas de producción soviéticas, no sólo en la alta concentración de tierras y forma de producción, sino también en las condiciones laborales de sus empleados (pagos en especie y escasa seguridad social).

En la práctica, los resultados en término de tierra de los programas de reestructuración del sistema económico no se diferenciaron del pasado, ya que importantes granjas siguieron controlando extensos territorios. Pallot y Nefedova (2003) muestran que, al final del siglo XX, la participación de las granjas individuales, con respecto al total de la tierra agrícola, era tres veces mayor a la registrada en 1990. Además, sostienen que las trasferencias de tierras de las antiguas granjas colectivas y estatales a ciudadanos rusos constituyen un factor importante en el crecimiento de la producción de alimentos en la década de 1990.

Parte de aquel crecimiento se debió a la política de permitir a los habitantes urbanos la posesión de parcelas en la zona rural; mientras los habitantes tenían parcelas domésticas desde la época soviética, la era postsoviética otorgó derechos de propiedad privados y generó oportunidades para adquirir territorios adicionales, cuando la asignación no excedía el límite permitido. Sin embargo, pese al aumento de la participación de las granjas privadas, los recursos agrícolas siguieron bajo el control de las granjas colectivas y estatales. En relación con el total de la tierra, las empresas agrícolas en 2000 tenían el 86,3 % de la tierra productiva (Pallot y Nefedova, 2003).

El otrora país socialista de Vietnam también abrió sus puertas a las olas de reformas capitalistas. El Partido Comunista de Vietnam (PCV) empezó, a mediados de la década de 1980, a reemplazar el sistema de planificación central por la economía de mercado. En materia de políticas de tierra, en 1990, el PCV implementó el programa Forest Land Allocation (FLA), con el fin de estimular el desarrollo rural, enfrentar la pobreza, mejorar la productividad agrícola y atacar la deforestación (Knudsen y Mertz, 2016). La política de la FLA consistió en la asignación de hectáreas de tierras boscosas a empresas estatales (State Forest Enterprises), familias y comunidades.

Esta medida demostró ser efectiva para el rendimiento del uso de la tierra, el aumento de los medios de subsistencias y la protección de los bosques (Phuc y Nghi, 2014). La Ley de Tierras de 1993 confirió derechos de propiedad a personas, hogares, comunidades locales y organizaciones estatales sobre la tierra. Los derechos que otorgó son el de intercambiar, transferir, arrendar y heredar las extensiones de tierras asignadas por medio de un Red Book Certifícate (Pham, 2005).

La política de tierra, producto de una reforma sustancial, contribuyó a obtener buenos resultados en la economía vietnamita. La distribución de terrenos forestales y el reconocimiento de derechos de propiedad a unidades familiares de producción agrícola se hicieron realidad en un país con un pasado, no muy lejano, de exigua descentralización administrativa y política. La asignación de tierra, aunada al apoyo estatal, parece haber tenido efecto positivo en la economía. Knudsen y Mertz (2016) analizan las percepciones sobre los derechos de propiedad de aldeanos ubicados en localidades del centro de Vietnam, y concluyen que los logros no son atribuibles a la seguridad de la tenencia de tierras de parte de la población local. Estos autores reconocen a la política interventora del PCV como el principal motor de los cambios acontecidos.

Ello significa que en el crecimiento de la economía, influyeron más las políticas gubernamentales de desarrollo y la provisión de préstamos para cultivos especializados, que los cambios legales en materia de tenencia de tierra. En el estudio de las plantaciones forestales de las familias agrícolas de los distritos de Ham Yen y Doan Hung que hicieron Sandewall et al. (2010), también sobresalen otros factores no legales como determinantes del cambio en la agricultura y silvicultura, por ejemplo, las condiciones políticas y la infraestructura física.

Parte de la literatura que analiza la reforma de las leyes de tierra de Vietnam extiende un manto de duda sobre la incidencia de las reformas en la disminución efectiva de la pobreza y la protección de los recursos naturales. Al respecto, Thuan (2005) y Jakobsen et al. (2007) opinan que la asignación de tierras forestales en las tierras altas del norte de Vietnam no ha logrado reducir la pobreza y ha agravado la inseguridad alimentaria. Las familias propietarias de tierras altas tienen dificultades financieras para invertir en la compra de los insumos requeridos en el cultivo de tierras con baja fertilidad y de difícil acceso (Clement y Amezaga, 2013). A pesar de los intentos del PCV de transferir tierras forestales con titulación a las familias, todavía queda tela por cortar.

De las tres naciones mencionadas en esta sección, solo China y Vietnam registran tasas de crecimiento económico significativas en el presente siglo. A la par del crecimiento, en estas economías también ha aumentado la desigualdad, lo que tiene un efecto negativo en el desarrollo. Rusia no deja de llamar la atención, dado su problema de distribución de los recursos. Al respecto, Novokmet et al. (2018) muestran que la desigualdad, durante el periodo post-soviético, ha aumentado más en Rusia que en China y otros países excomunistas.

DISTRIBUCIÓN DE TIERRA EN LA INDIA POSCOLONIAL

Antes de la reforma agraria, India tenía una distribución desigual de sus activos productivos, incluida la tierra, producto de la herencia del periodo colonial. El problema de la tierra, unido a una estratificación social que afectó la movilidad social, no creó igualdad de oportunidades y profundizó la pobreza. Las reformas a la tenencia de la tierra de la época posindependentista buscaron revertir la herencia colonial, a través de una redistribución de tierras para favorecer a pequeños agricultores y ciudadanos pobres sin acceso a la tierra.

Crecimiento del PIB y variación del índice de cosecha de los países analizados

Figura 1: Crecimiento del PIB y variación del índice de cosecha de los países analizados

Nota: la tasa de crecimiento del PIB es a precios de mercado en moneda local (precios constantes). El periodo base del índice de cosecha es 2004-2006. Fuente: indicadores de desarrollo del Banco Mundial (2020).

En términos de la formalización, en India se promulgaron tres tipos principales de legislación relacionadas con la reforma agraria: la abolición de los zamindar o terratenientes aristócratas; leyes de expropiación de tierras si el propietario excedía el límite de hectáreas establecido; y normas de liquidación y regulación de la tenencia para brindar seguridad a los inquilinos (Deininger et al., 2009; Mearns, 1999; Ray, 1996). De las legislaciones promulgadas, solo la que se refería a la abolición de intermediarios fue mejor implementada, por su conveniencia política, dado que brindó ganancias sustanciales a bajo costo político (Mearns, 1999). Han surgido estudios empíricos que evidencian que las legislaciones sobre la tenencia de tierra restringieron las oportunidades a los más necesitados de ingresos y medios de subsistencias (Hanstad et al., 2008).

El Banco Mundial (BM) resalta el progreso de la administración de la tierra en India, pero critica las restricciones legales al alquiler, puesto que reducen la equidad y la eficiencia (World Bank, 2007). Entre las recomendaciones de esta entidad para optimizar la formalización de tierra, se destacan (1) la transferencia de la tierra otorgada por medio de la figura del arrendamiento, (2) la legalización de las formas de arrendamientos que prohíbe la ley y (3) la regulación de los límites máximos del alquiler, para facilitar el mercado de tierra. Algunas legislaciones no han sido consecuentes con el objetivo de reducir la pobreza y, por eso, "sesenta años después de la independencia, los hogares más pobres de India todavía luchan por el acceso y tenencia de tierras rurales" (Hanstad et al., 2008, p. 49).

Al poseer una alta tasa de pobreza rural, India debió ser más agresiva al implementar su política de redistribución de tierra. Sin contar la tierra otorgada por la abolición de los zamindari y las donaciones de iniciativas privadas, en el país se distribuyeron 9,9 millones de hectáreas, cifra que solo benefició a 5,35 % de la población agrícola (Deininger et al., 2009; Kaushik y Haque, 2005). Después de la implementación de la reforma, los hindúes redistribuyeron aproximadamente solo el 10 % de la tierra cultivable, proporción inferior a la observada en países cuyas reformas tuvieron impacto positivo considerable en su tasa de crecimiento. No obstante, a pesar de la exigua redistribución, la estimación de Deininger et al. (2009) mostró un efecto positivo de la reforma agraria en el crecimiento de los ingresos y la acumulación de capital humano. Además, los datos analizados evidenciaron que, con el tiempo, hubo disminución del impacto de la reforma agraria en el crecimiento.

DISTRIBUCIÓN Y RESTITUCIÓN DE TIERRA EN SUDÁFRICA

En la década de 1990, Sudáfrica inició un conjunto de reformas orientadas a remediar las injusticias a la que fue sometida la población negra durante más de cuarenta años de segregación racial. La reforma sudafricana de redistribución de la tierra pretendió cambiar la vieja estructura agraria dual, compuesta, primero, por un sector agrícola comercial intensivo en capital y dedicado a la producción a gran escala y, segundo, otro grupo de moradores negros empobrecidos y dedicados a la producción de subsistencia (Hall, 2004). A partir de 1994, el Gobierno sudafricano promulgó leyes en tres dimensiones: (1) redistribución de tierras cultivables, es decir, transferencias de tierras de la población blanca a los ciudadanos negros necesitados; (2) restitución, que incluye atención y respuesta a los reclamos por tierras usurpadas y (3) seguridad sobre la tenencia de tierra (Cliffe, 2000).

La reforma, producto del consenso de diferentes grupos sociales, buscaba promover la agricultura a pequeña escala, reducir la pobreza, crear seguridad en la tenencia y hacer justicia histórica (Hall, 2004). Sin embargo, en la práctica, la política de transformación agraria no estuvo integrada a una estrategia para el crecimiento de la producción rural. Por ende, fracasó en la consecución del objetivo de reducir la pobreza (Ruhiiga, 2011). Todo indica que la reforma de la tenencia de la tierra, junto con sus políticas conexas, fue insuficiente para superar el legado del Apartheid, el hambre y la pobreza extrema (Ntsebeza y Hall, 2007).

Varios años después de implementada la reforma, no se ha podido solucionar todavía el problema del dualismo de la estructura agraria (Hall, 2004). Por ello, el Estado debe replantear la estrategia de desarrollo rural (Ruhiiga, 2011) y convertirse en el actor principal en los procesos de restructuración agraria (Ntsebeza y Hall, 2007). De acuerdo con Chikozho (2016), debe reabrirse el debate de una nueva economía rural, que contemple las estrategias para mejorar la productividad de las granjas redistribuidas y asegurar un crecimiento más inclusivo. Desde el punto de vista de Ntsebeza y Hall (2007), el desarrollo rural se logra afianzando la reforma agraria con la participación de un Estado proactivo en la liberación de extensiones de tierra, la política agraria orientada a la seguridad alimentaria y la expansión de mercados.

DESIGUALDAD DE LA TIERRA EN AMÉRICA LATINA: UN PROBLEMA PERSISTENTE

Las reformas agrarias y sus efectos en América Latina no son fáciles de generalizar, dado los diversos sistemas políticos y económicos de los países integrantes de la región. Desde la década de 1960, varios países latinoamericanos iniciaron cambios de la política de tierra, entre los cuales son de gran interés para la literatura los casos de Brasil, Chile, Bolivia, Perú y México, aunque en este último país la reforma agraria empezó a gestarse temprano, después de la revolución mexicana de 1910.

En general, las reformas agrarias de la región consideraron las recomendaciones del Programa de Alianza para el Progreso de la administración Kennedy. Entre las razones principales que justificaron la implementación de reformas agrarias, apoyadas por gobiernos y organismo como la Cepal, se destacan el crecimiento de la producción agrícola para atacar las presiones inflacionarias, la reducción de la pobreza y la redistribución del ingreso, la expansión del mercado interno y un mayor apoyo político a los campesinos (Galindo, 2019).

Si bien, hubo países que distribuyeron tierras con la finalidad de mejorar la economía campesina, esto no fue el común denominador en toda la región. Otros países se valieron del diseño de reformas agrarias para obtener ayuda económica, sin hacer un esfuerzo real por mejorar la calidad de vida (Galindo, 2019). La distribución de tierra en América Latina no mejoró la productividad y tampoco ayudó a superar la desigualdad arraigada en la región (De Janvry y Sadoulet, 1989). En relación con la pobreza, el panorama no es muy alentador, dado el aumento del número de pobres en la última década.

Los conflictos por la propiedad de la tierra y las rivalidades entre terratenientes y campesinos, que precedieron a las reformas agrarias latinoamericanas, fueron intensos y constantes (Albertus, 2015). La distribución de tierra producto de la Revolución mexicana de 1910 y los continuos reclamos de tierras de los zapatistas son eventos o conductas reproducidas durante el siglo XX en la región. México logró reducir la alta concentración de la tierra del siglo XIX distribuyendo, después de la Revolución, tierras a los campesinos agrupados en los ejidos (cantidad de tierra de uso comunal para la agricultura).

Albertus et al. (2016) reconocen que la política de distribución de la tierra estimuló el crecimiento económico mexicano en el corto plazo; pero, en el largo plazo, esa misma política impidió el crecimiento de la economía. Con base en el enfoque de la economía política, los anteriores autores critican la política de redistribución de tierra implementada por el partido de gobierno PRI, pues el interés oportunista de mantener el poder político hizo que se negociara la lealtad política de los campesinos por tierras y apoyo estatal. Esta situación fue insostenible en el largo plazo, dado que el incremento de los ingresos de los campesinos pobres, la posibilidad de seguir manteniendo un buen nivel de vida y la negación de derechos plenos de propiedad no estimularon la productividad y tampoco permitieron el surgimiento de un mercado de tierra, donde fuera posible la transferencia de la propiedad a usuarios que mejor la valoraran (Albertus et al., 2016). Después de setenta años de redistribución de tierra, la enmienda constitucional de 1992 otorgó a los beneficiarios de los ejidos el derecho de alquilar, vender o hipotecar tierras.

Durante el siglo XX y lo que va del presente, Latinoamérica ha sido un escenario de constantes luchas por el uso y el derecho de la tierra. Brasil es lugar de disputas territoriales, pues evidencia resistencias contra la expropiación y la explotación del recurso productivo (Sauer y Pereira-Leite, 2012). Por más de tres décadas, el Movimento dos Trabalhadores Rurais sem Terra (MST) viene exigiendo la reivindicación de una reforma agraria que mejore al acceso a la tecnología, el mercado, la educación, la salud y en contra del capital que controla el territorio. Además, el MST se reveló contra el principal oponente de sus exigencias: la agroindustria (Fernandes, 2009).

En el Brasil rural, los propietarios y reclamantes de tierra se enfrascan en disputas violentas bajo la lupa de un Estado premoderno. Los primeros ejercen violencia para proteger los privilegios, a veces adquiridos de forma ilegítima; mientras los segundos reaccionan para hacer valer sus derechos y lograr justicia en el campo (Hammond, 2009). Sauer y Pereira-Leite (2012) alertan sobre las preocupaciones y protestas de grupos sociales por el incremento de la inversión extranjera en tierras brasileñas, porque la llegada creciente de este tipo de inversión amenaza la seguridad alimentaria y la soberanía. La creciente inversión concentra la producción agrícola y ganadera en pocos productos básicos, mientras favorece los monopolios y el aumento del control de la producción de alimentos e insumos agroenergéticos (Sauer y Pereira-Leite, 2012).

También se ha propuesto implementar reformas agrarias en países con guerras de guerrillas, como Colombia, Perú y El Salvador. La extrema pobreza en el campo es caldo de cultivo de la violencia política, dado que crea condiciones aprovechadas por grupos insurgentes que prometen cambios socioeconómicos, que resultan atractivos a los campesinos que reclaman mayor apoyo estatal.

La reforma de la tierra fue el medio usado por el establecimiento peruano para anticiparse a las demandas de los insurgentes que tenían buena presencia en el campo (Mason y Swartzfager, 1989). En 1969, Perú promulgó la Ley de Reforma Agraria que, parafraseando al militar Juan Velasco Alvarado, pondría fin al injusto ordenamiento social que había mantenido en la pobreza y en la inequidad a los que labraban una tierra ajena, negada a millones de campesinos. La reforma tuvo un carácter colectivista y, diez años después de su promulgación, el 40 % de la tierra del país fue adjudicado al 35 % de las familias campesinas (Kay, 1982). Después de la caída del gobierno de Velasco, el proceso de reforma agraria de Perú no se reversó, a pesar de las tensiones políticas entre el Gobierno y las élites terratenientes. Durante los gobiernos de Velasco y de Morales se distribuyeron tierras de propiedad estatal, para extender la frontera agrícola y asentar a los campesinos sin tierra (Albertus, 2015).

Dentro de este orden de ideas, Colombia puede presentarse como un caso de Latinoamérica donde décadas de conflicto pueden entenderse, en parte, por la falta de una reforma agraria seria (Flores, 2014). Pese a la histórica desigualdad en la tenencia de la tierra y el buen número de pobres en el campo, el Estado fue incapaz de llevar a buen término la reforma agraria iniciada en la década de 1960. Durante el periodo de implementación de la reforma, un buen número de terratenientes bloquearon sus lineamientos, lo que resultó siendo un proceso duradero y de poco impacto; además, lo logrado en términos de redistribución fue en áreas amenazadas, donde la insurgencia mostró tener más control que la élite local (Albertus y Kaplan, 2013). Para Machado (2017), la tenencia de la tierra y la estructura agraria de Colombia han sido un obstáculo para el desarrollo.

En el caso de Bolivia, en 1953, el gobierno dirigido por el Movimiento Nacional Revolucionario impulsó una reforma que concebía el derecho a la tierra para quienes la trabajan, y decretaba la restauración de derechos sobre la tierra a los que les fue usurpada: la población indígena (Eckstein, 1979). Al igual que varios países de la región, la reforma de la década de 1950 no solucionó el problema de la desigualdad y la pobreza extrema rural y tampoco hizo aportes significativos al desarrollo (Kay y Urioste, 2007).

La segunda reforma agraria, de 1996, tampoco fue la panacea frente al creciente problema de carencia de tierra y a los altos niveles de pobreza rural. En gran parte, las tierras otorgadas a los bolivianos son boscosas; y la falta de control y vigilancia estatal inquieta a los ambientalistas por los problemas de la deforestación ilegal. Urioste (2012) resalta la deforestación provocada por los productores agroindus-triales, especialmente de soja, la cual es mayor a la que originan los ganaderos. Además, el aumento contemporáneo de predios bolivianos en manos de extranjeros (Urioste, 2012) muestra que la tierra no pertenece a quienes la trabajan, sino a los que pueden comprarla, violándose uno de los principios de la reforma agraria de 1953 (Kay y Urioste, 2007).

Actualmente, el nuevo acaparamiento de tierra en Latinoamérica y África empieza a ser analizado por una creciente literatura que observa con preocupación una reconcentración del activo productivo. El acaparamiento de tierra constituye un escenario de nuevas luchas políticas de las transnacionales para el control de la tierra y la gobernanza; luchas que, en gran medida, pretenden definir qué cultivar, cómo y para qué mercados. En otras palabras, lo que está en juego es el futuro de la agricultura mundial (Margulis et al., 2013).

Los gobiernos de países con creciente acaparamiento de tierra crean incentivos para atraer capital extranjero y estimulan la producción y exportación de materias primas (Costantino, 2016). Con respecto a la producción de materias primas, son evidentes las significativas tasas de crecimiento de productos agrícolas en Sur y Centro América. Por ejemplo, entre 1990 y 2009, la cantidad de hectáreas cultivadas con caña de azúcar, soya y palma aceitera registraron tasas de crecimiento de 156 %, 138 % y 80 %, respectivamente, en esta región (Borras et al., 2012).

En general, América Latina no ha saldado la deuda socioeconómica derivada de la desigualdad de sus recursos, incluido el recurso de la tierra. Varios de sus gobiernos, aliados de las élites terratenientes, no mostraron la voluntad de implementar una verdadera reforma distributiva de tierra que dinamizara el desarrollo. En lo corrido del siglo XXI, la región enfrenta el fantasma del acaparamiento de tierra por multinacionales extranjeras.

Tasas de pobreza y número de pobres de América Latina

Figura 2: Tasas de pobreza y número de pobres de América Latina

Fuente: Comisión Económica para América Latina y el Caribe (Cepal, 2021).

CONCLUSIÓN

Según se deduce de la literatura, la distribución de la tierra desempeñó un papel clave en el crecimiento de las economías de China, Japón, Taiwán y Corea del Sur. Las reformas agrarias distributivas del Este Asiático contribuyeron a afianzar instituciones económicas y políticas más inclusivas, lo que ayudó a despejar el camino hacia el milagro económico. La política distributiva creó incentivos para aumentar la productividad agrícola, mejoró los ingresos de los pobres rurales y coadyuvó a la igualdad de oportunidades. Los incentivos, productos de la reforma, propiciaron un mayor nivel de educación de la población y la iniciativa empresarial que se encargaría de la futura industrialización.

Al mismo tiempo, los cambios instituciones favorecieron en esa zona del planeta la movilidad social, el desarrollo de la empresa privada y el surgimiento de un Estado bien administrado. Esto último fue crucial en el desarrollo, dado el esfuerzo estatal de garantizar los derechos de propiedad, permitir contratos creíbles, hacer inversiones públicas en infraestructuras y disminuir la corrupción.

Varias economías que reformaron la política de tierra han alcanzado logros modestos en materia de desarrollo. Rusia sigue teniendo el reto de diseñar e implementar una reforma distributiva que logre más equidad. Pese a registrar crecimientos de la producción agrícola en la década de 1990, la literatura reconoce problemas de desigualdad con respecto a la tierra y los ingresos y altas tasas de pobreza. Un panorama similar se observa en Sudáfrica, donde la restitución y redistribución de tierra no han sido suficiente para promover el crecimiento y el desarrollo rural. Llama la atención el caso de India, una economía con tendencia alcista en el crecimiento después de la década de 1990, pero con pobreza rural significativa.

Las reformas agrarias distributivas en Latinoamérica quedaron inconclusas. Finalizado el periodo de implementación de las reformas, la alta pobreza rural persiste y las discrepancias, entre poseedores y desposeídos, sobre la concentración y el uso de la tierra no se agotan. En general, las naciones latinoamericanas necesitan mejorar las instituciones poco inclusivas, que limitaron la democracia efectiva y permitieron el desigual acceso a la tierra y a las oportunidades.

En naciones con alta concentración de tierra y significativa pobreza rural, Estado y sociedad deben repensar mecanismos orientados a lograr una distribución más equitativa de los recursos, garantizar los derechos de propiedad y crear condiciones (asistencia técnica, formación de habilidades, inversión en infraestructura, conectividad en áreas rurales, acceso al crédito formal y promoción de mercados justos), para que los beneficiarios de la distribución puedan obtener grandes beneficios.

A pesar de la modesta contribución de las reformas al desarrollo de Rusia, India, Sudáfrica, Vietnam y Latinoamérica, la reforma agraria distributiva sigue siendo un instrumento valioso para encaminar las economías a un mayor desarrollo, especialmente, en países emergentes con problemas internos derivados de la concentración de tierra.

Por último, la literatura carece de trabajos que validen estadísticamente la relación causal entre la distribución de la tierra y el desarrollo; donde se analice, conjuntamente, la información de los países que hicieron reformas distributivas. También, el fenómeno contemporáneo de la reconcentración de la tierra amerita la realización de estudios que midan el efecto del acaparamiento en la pobreza rural y la seguridad alimentaria de Latinoamérica. El fantasma de la reconcentración en América Latina y Sudáfrica cobra relevancia, si se concibe el derecho a la tierra como un derecho humano; es decir, se erige como fundamental para el cumplimiento de la alimentación adecuada, vivienda, trabajo, igualdad de género, cultura, etc. Por ello, no es justo echarle tierra al tema de la tierra.

REFERENCIAS

  1. 1. Acemoglu, D. (2012). Los orígenes del poder, la prosperidad y la pobreza. Política Exterior, 47-54. 🠔
  2. 2. Albertus, M. (2015). Autocracy and redistribution. Cambridge University Press. 🠔
  3. 3. Albertus, M., & Kaplan, O. (2013). Land reform as a counterinsurgency policy. Evidence from Colombia. Journal of Conflict Resolution, 57(2), 198-231. 🠔
  4. 4. Albertus, M., Diaz-Cayeros, A., Magaloni, B., & Weingast, B. (2016). Authoritarian survival and poverty traps. Land reform in Mexico. World Development, 77(C), 154-170. 🠔
  5. 5. Allina-Pisano, J. (2004). Land reform and the social origins of private farmers in Russia and Ukraine. The Journal of Peasant Studies, 31 (3-4),489-514. 🠔
  6. 6. Aznar, E. T. (2007). La cuestión agraria en John Stuart Mill. Areas: Revista Internacional de Ciencias Sociales, 26, 47-61. 🠔
  7. 7. Banco Mundial. (2020). https://databank.bancomundial.org/source/world-development-indicators [URL] 🠔
  8. 8. Benedict, J., Tria, K., & Mark, S. (1998). Agrarian transformations in China and Vietnam. The China Journal, 40, 37-58. https://doi. org/10.2307/2667453 [URL] 🠔
  9. 9. Besley, T., & Ghatak, M. (2010). Property rights and economic development. Handbook of Development Economics (vol. 5). Elsevier. 🠔
  10. 10. Bishai, M. F. (1991). The development of industrial land in Taiwan. A legal framework for state control. The Journal of Developing Areas, 26(1), 53-64. 🠔
  11. 11. Borras, S. M., Franco, J., Gómez, S., Kay, C., & Spoor, M. (2012). Land grabbing in Latin America and the Caribbean. The Journal of Peasant Studies, 39(3-4), 845-872. 🠔
  12. 12. Brandt, L., & Sands, B. (1990). Beyond Malthus and Ricardo: Economic growth, land concentration, and income distribution in early twentieth-century rural China. The Journal of Economic History, 50(4), 807-827. 🠔
  13. 13. CEPAL. (2021). Panorama social de América Latina, 2020. Naciones Unidas. 🠔
  14. 14. Cheng, C. (1983). Economic development in Taiwan and Mainland China: A comparison of strategies and performance. Asian Affairs: An American Review, 10(1), 60-86. 🠔
  15. 15. Chikozho, C. (2016). The disjuncture between economic growth, poverty reduction and social inclusion in South Africa. En H. Musahara (ed.), Inclusive growth and development issues in Eastern and Southern Africa (pp. 109-138). OSSREA. 🠔
  16. 16. Cirillo, R. (1980). The 'socialism'of Léon Walras and his economic thinking. American Journal of Economics and Sociology, 39(3), 295-303. 🠔
  17. 17. Clement, F., & Amezaga, J. (2013). Conceptualising context in institutional reforms of land and natural resource management. The case of Vietnam. International Journal of the Commons, 7(1), 140-163. 🠔
  18. 18. Cliffe, L. (2000). Land reform in South Africa. Review of African Political Economy, 27(84), 273-286. 🠔
  19. 19. Costantino, A. (2016). The dark side of the boom: Land grabbing in dependent countries in the twenty-first century. International Critical Thought, 6(1), 79-100. 🠔
  20. 20. De Janvry, A. (1981). The role of land reform in economic development. Policies and politics. American Journal of Agricultural Economics, 63(2), 384-392. 🠔
  21. 21. De Janvry, A., & Sadoulet, E. (1989). A study in resistance to institutional change. The lost game of Latin American land reform. World Development, 17(9), 1397-1407. 🠔
  22. 22. Deininger, K. (2009). Monitoring and evaluation of land policies and land reform. En H. Binswanger-Mkhize, C. Bourguignon & R. Van Den Brink. Agricultural land redistribution: Towards greater consensus (pp. 397-439). World Bank. 🠔
  23. 23. Deininger, K., Jin, S., & Nagarajan, H. K. (2009). Land reforms, poverty reduction, and economic growth: Evidence from India. The Journal of Development Studies, 45(4), 496-521. 🠔
  24. 24. Ding, C. (2003). Land policy reform in China: Assessment and prospects. Land Use Policy, 20(2), 109-120. 🠔
  25. 25. Eckstein, S. (1979). El capitalismo mundial y la revolución agraria en Bolivia. Revista Mexicana de Sociología, 41(2), 457-478. 🠔
  26. 26. FAO. (2020a). https://www.fao.org/faostat/es/#data [URL] 🠔
  27. 27. FAO. (2020b). https://www.fao.org/economic/the-statistics-division-ess/ world-census-of-agriculture/additional-international-comparison-tables-including-gini-coefficients/en/ [URL] 🠔
  28. 28. Fernandes, B. M. (2009). The MST and agrarian reform in Brazil. Socialism and Democracy, 23(3), 90-99. 🠔
  29. 29. Flores, T. E. (2014). Vertical inequality, land reform, and insurgency in Colombia. Peace Economics, Peace Science and Public Policy, 20(1), 5-31. 🠔
  30. 30. Foldvary, F. E. (2008). The marginalists who confronted land. American Journal of Economics and Sociology, 67(1), 89-117. 🠔
  31. 31. Galindo, J. (2019). Some aspects on the failure of agrarian reforms in Mexico and other Latin American countries. En Forum for Development Studies (vol. 46, pp. 131-146). Taylor & Francis. 🠔
  32. 32. Haggard, S. (2004). Institutions and growth in East Asia. Studies in Comparative International Development, 38(4), 53-81. 🠔
  33. 33. Hall, R. (2004). A political economy of land reform in South Africa. Review of African Political Economy, 31(100), 213-227. 🠔
  34. 34. Hammond, J. L. (2009). Land occupations, violence, and the politics of agrarian reform in Brazil. Latin American Perspectives, 36(4), 156-177. 🠔
  35. 35. Hanstad, T., Haque, T., & Nielsen, R. (2008). Improving land access for India's rural poo. Economic and Political Weekly, 43(10), 49-56. 🠔
  36. 36. Iscan, T. B. (2018). Redistributive land reform and structural change in Japan, South Korea, and Taiwan. American Journal of Agricultural Economics, 100(3), 732-761. 🠔
  37. 37. Jacoby, H. G., Li, G., & Rozelle, S. (2002). Hazards of expropriation: Tenure insecurity and investment in rural China. American Economic Review, 92(5), 1420-1447. 🠔
  38. 38. Jakobsen, J., Rasmussen, K., Leisz, S., Folving, R., & Quang, N. (2007). The effects of land tenure policy on rural livelihoods and food sufficiency in the Upland Village of Que, North Central Vietnam. Agricultural Systems, 94(2), 309-319. 🠔
  39. 39. Jeon, Y.-D., & Kim, Y.-Y. (2000). Land reform, income redistribution, and agricultural production in Korea. Economic Development and Cultural Change, 48(2), 253-268. 🠔
  40. 40. Kaushik, A., & Haque, T. (2005). Nature of land market interventions in India. Institute for Sustainable Development Noida. 🠔
  41. 41. Kay, C. (1982). Achievements and contradictions of the Peruvian agrarian reform. The Journal of Development Studies, 18(2), 141-170. 🠔
  42. 42. Kay, C., & Urioste, M. (2007). Bolivia's unfinished agrarian reform: Rural poverty and development policies. En Land, poverty and livelihoods in an era of globalization (pp. 63-101). Routledge. 🠔
  43. 43. Knudsen, C., & Mertz, O. (2016). Improved land tenure not the driver of economic development in a Vietnamese community. Geografisk Tidsskrift-Danish Journal of Geography, 116(1), 82-84. 🠔
  44. 44. Kung, J., & Liu, S. (1997). Farmers' preferences regarding ownership and land tenure in post-Mao China. The China Journal, 38, 33-64. 🠔
  45. 45. Landreth, H., & Colander, D. C. (2006). Historia del pensamiento económico. McGraw-Hill. 🠔
  46. 46. Lee, C. C., & Hsu, Y. C. (2009). Endogenous structural breaks, public investment in agriculture and agricultural land productivity in Taiwan. Applied Economics, 41(1), 87-103. 🠔
  47. 47. Li, L., McKinnell, K., & Walker, A. (2000). Convergence of the land tenure systems of China, Hong Kong and Taiwan? Journal of Property research, 17(4), 339-352. 🠔
  48. 48. Lipton, M. (2009). Land reform in developing countries: Property rights and property wrongs. Routledge. 🠔
  49. 49. Liu, S. (2018). The structure of and changes to China's land system. En R. Garnaut (ed.), China's 40 years of reform and development: 1978-2018 (pp. 427-454). Australia National University. 🠔
  50. 50. Lo, V. I., & Tian, X. (2002). Property rights, productivity gains and economic growth. The Chinese experience. Post-Communist Economies, 14(2), 245-258. 🠔
  51. 51. Lumley, F. (1976). The Republic of China under Chiang Kai-shek: Taiwan today. Barrie and Jenkins. 🠔
  52. 52. Machado, A. (2017). El problema de la tierra: conflicto y desarrollo en Colombia. Debate. 🠔
  53. 53. Margulis, M. E., McKeon, N., & Borras, S. M. (2013). Land grabbing and global governance. Critical perspectives. Globalizations, 10(1), 1-23. 🠔
  54. 54. Mason, T. D., & Swartzfager, J. (1989). Land reform and the rise of Sendero Luminoso in Peru. Terrorism and Political Violence, 1(4), 516-538. 🠔
  55. 55. Mearns, R. (1999). Access to land in rural India. The World Bank. 🠔
  56. 56. Medearis, J. (2005). Labor, democracy, utility, and mill's critique of private property. American Journal of Political Science, 49(1), 135-149. 🠔
  57. 57. Mendola, M., & Simtowe, F. (2015). The welfare impact of land redistribution: Evidence from a quasi-experimental initiative in Malawi. World Development, 72, 53-69. 🠔
  58. 58. Minns, J. A. (2003). The labour movement in Taiwan. Labour History, 85, 103-128. 🠔
  59. 59. Newman, C., Tarp, F., & Van Den Broeck, K. (2015). Property rights and productivity: The case of joint land titling in Vietnam. Land Economics, 91(1), 91-105. 🠔
  60. 60. Novokmet, E, Piketty, T., & Zucman., G. (2018). From soviets to oligarchs. Inequality and property in Russia 1905-2016. Journal of Economic Inequality, 16(2), 189-223. 🠔
  61. 61. Ntsebeza, L., & Hall, R. (2007). The land question in South Africa: The challenge of transformation and redistribution. HSRC press. 🠔
  62. 62. Pallot, J., & Nefedova, T. (2003). Geographical differentiation in household plot production in rural Russia. Eurasian Geography and Economics, 44(1), 40-64. 🠔
  63. 63. Park, A., & Johnston, B. (1995). Rural development and dynamic externalities in Taiwan's structural transformation. Economic Development and Cultural Change, 44(1), 181-208. 🠔
  64. 64. Parker, G., & Amati, M. (2009). Institutional setting, politics and planning: Private property, public interest and land reform in Japan. International Planning Studies, 14(2), 141-160. 🠔
  65. 65. Pham, M. C. (2005). Land-Use change in the northwestern uplands of Vietnam. Empirical evidence from spatial econometric models and geo-referenced analyses and policy implications for sustainable rural development. Cuvillier Verlag. 🠔
  66. 66. Phuc, T. X., & Nghi, T. H. (2014). Forest land allocation in the context of forestry sector restructuring: Opportunities for forestry development and upland livelihood improvement. Tropenbos International Viet Nam. 🠔
  67. 67. Platteau, J. P. (1983). Classical economics and agrarian reforms in underdeveloped areas: The radical views of the two mills. Journal of Development Studies, 19(4), 435-460. 🠔
  68. 68. PNUD. (2019). Informe sobre Desarrollo Humano 2019. Programa de las Naciones Unidas para el Desarrollo. 🠔
  69. 69. Ray, S. (1996). Land system and its reforms in India. Indian Journal of Agricultural Economics, 51(1), 220-237. 🠔
  70. 70. Ruhiiga, T. (2011). Land reform and rural poverty in South Africa. Journal of Social Sciences, 29(1), 29-38. 🠔
  71. 71. Sandewall, M., Ohlsson, B., Sandewall, R. K., & Viet, L. S. (2010). The expansion of farm-based plantation forestry in Vietnam. Ambio, 39(8), 567-579. 🠔
  72. 72. Sauer, S., & Pereira-Leite, S. (2012). Agrarian structure, foreign investment in land, and land prices in Brazil. The Journal of Peasant Studies, 39(3-4), 873-898. 🠔
  73. 73. Shin, G.-W. (1998). Agrarian conflict and the origins of Korean capitalism. American Journal of Sociology, 103(5), 1309-1351. 🠔
  74. 74. Sorensen, A. (2010). Land, property rights, and planning in japan. Institutional design and institutional change in land management. Planning Perspectives, 25(3), 279-302. 🠔
  75. 75. Stiglitz, J. (1997). The role of government in economic development. En B. Pleskovic & J. Stiglitz (eds.), Annual World Bank Conference on Development Economics (pp. 11-23). World Bank. 🠔
  76. 76. Thuan, D. (2005). Forestry, poverty reduction and rural livelihoods in Vietnam. Ministry of Agriculture and Rural Development. 🠔
  77. 77. Urioste, M. (2012). Concentration and "foreignisation" of land in Bolivia. Canadian Journal of Development Studies/Revue canadienne détudes du développement, 33(4), 439-457. 🠔
  78. 78. Wegren, S. K. (1998). The conduct and impact of land reform in Russia. En S. Wegren (ed.). Land reform in the former Soviet Union and Eastern Europe (pp. 3-34). Routledge. 🠔
  79. 79. Wegren, S. K. (2008). Land reform in Russia: What went wrong? Post Soviet Affairs, 24(2), 121-147. 🠔
  80. 80. World Bank. (2005). World development Report 2006. Equity and Development (World Development Report). The World Bank Group. 🠔
  81. 81. World Bank. (2007). India Land policies for growth and poverty reduction. Oxford University. 🠔
  82. 82. You, J.-S. (2017). Demystifying the Park Chung-Hee Myth: Land reform in the evolution of Korea's developmental state. Journal of Contemporary Asia, 47(4), 535-556. 🠔
  83. 83. Zhang, Y., Wang, X., Glauben, T., & Brümmer, B. (2011). The impact of land reallocation on technical efficiency: Evidence from China. Agricultural Economics, 42(4), 495-507. 🠔
  84. 84. Zhou, Y., Shi, X., Heerink, N., & Ma, X. (2019). The effect of land tenure governance on technical efficiency: Evidence from three provinces in eastern China. Applied Economics, 51(22), 2337-2354. 🠔
Anaya Campo, A. (2022). Contribuciones de la distribución de la tierra al desarrollo de los países. Una revisión de la literatura. Cuadernos de Economía, 41(86), 213-241. https://doi.org/10.15446/cuad.econ.v41n86.85604

ANEXO

Tabla A1: Tierra agrícola, población rural y valor agregado de la agricultura. Promedio por periodos

Fuente: Food and Agriculture Organization of the United Nations (FAO, 2020a).

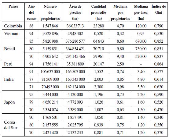
Tabla A2: Número de propietarios, áreas de predios e índice de Gini de concentración de la tierra. Ronda de Censos Agrícolas de 1990.

Fuente: FAO (2020b).

Tabla A3: Coeficiente de Gini e indicadores de pobreza en los países analizados

Los datos se refieren al año más antiguo disponible durante el período especificado. Los datos se refieren al año más reciente disponible durante el período especificado. Fuente: Programa de las Naciones Unidas para el Desarrollo (PNUD, 2019), Banco Mundial (2020) y FAO (2020b)