Cuadernos de Economía
0121-4772
2248-4337
Universidad Nacional de Colombia
https://doi.org/10.15446/cuad.econ.v40n85.90911

Recibido: 13 de octubre de 2020; Revision Received: 18 de mayo de 2021; Aceptado: 4 de junio de 2021

EFECTOS ECONÓMICOS DE LOS CIERRES POR COVID-19: UNA PERSPECTIVA REGIONAL

Economic effects of COVID-19 loc-kdowns: A regional perspective

G. Hernández, a L. Quintero, b

Departamento Nacional de Planeación, Bogotá, Colombia. Correo electrónico: ghernandez@dnp.gov.co. Departamento Nacional de Planeación Bogotá Colombia
Departamento Nacional de Planeación, Bogotá, Colombia. Correo electrónico: luquintero@dnp.gov.co. Departamento Nacional de Planeación Bogotá Colombia

RESUMEN

Distintos trabajos han estimado los efectos del confinamiento, como consecuencia del COVID-19, sobre la producción y el empleo a nivel nacional, pero pocos a nivel regional. Así, utilizando una matriz insumo producto regional para Colombia, y mediante una variación de un método de extracción hipotética, se estimaron los efectos regionales del confinamiento sobre la producción y el empleo. Se encontró que los choques negativos sobre la economía impactan la producción, esta disminuyó 8,2 %, lo que conllevó una caída en el empleo de 3,5 millones de puestos de trabajo, esto es consecuencia de heterogeneidad de los efectos entre los departamentos.

JEL:

C67, E23, E24, R12, R15.

Palabras clave:

COVID-19, economía regional, matrices insumo-producto, métodos de extracción hipotética.

ABSTRACT

Several studies have estimated the effects of lockdowns, owing to Covid-19, on production and employment on a national level but few on a regional level. Thus, using a regional input output matrix for Colombia, and by means of a variation of a hypothetical extraction method, the regional effects on production and employment on account of lockdown are estimated. It was found that the negative repercussions on the economy impact production which decreases by 8.2%, leading to a reduction in employment of 3.5 million jobs, this the result of the heterogeneity of effects between departments.

JEL:

C67, E23, E24, R12, R15.

Keywords:

COVID-19, regional economy, input-output matrices, hypothetical extraction methods.

INTRODUCCIÓN

En todos los países del mundo se han tomado medidas para controlar la propagación de la enfermedad COVID-19, con el objetivo de que los sistemas de salud no colapsen en el corto plazo. La medida más importante ha sido el distanciamiento social, que llevó al cierre de grandes sectores de la economía dejando solo servicios esenciales, como la atención médica y el suministro de alimentos, para que las personas se quedaran en casa, y así desacelerar el contagio de la enfermedad.

Se han realizado numerosos ejercicios para conocer los impactos sobre la producción y el empleo como consecuencia del confinamiento implementado para disminuir la velocidad de contagio del COVID-19 en Colombia. En cuanto a las organizaciones multilaterales se encontró que el Banco Mundial (2020) prevé una disminución del producto interno bruto (PIB) cercano al 7,2 %, mientras que la Comisión Económica para América Latina y el Caribe (Cepal, 2020) calculó una caída de 5,6 %, y el Fondo Monetario Internacional (FMI, 2020) prevé que la economía se contraiga 8,2 %; por otro lado, la Organización para la Cooperación y el Desarrollo Económicos (OECD, 2020) pronosticó una disminución de 8,3 % para 2020. Respecto a las instituciones nacionales, el Banco de la República (2020) pronosticó una caída de la economía de 7,6 %; mientras que la Asociación Nacional de Instituciones Financieras (ANIF), un rango entre 5,8 % y 6,3 % y Fedesarrollo (2020) calculó una caída entre 5 % y 7,9 % para 2020.

Ahora bien, todos estos ejercicios se han hecho agregados a nivel nacional, pero sin considerar las consecuencias a nivel regional del confinamiento, esto se debe a la falta de bases de datos para hacer un análisis de esta índole. Solamente se encontró el artículo de Bonet et al. (2020), quienes usaron una matriz insumo producto regional (MRIO) para analizar los efectos a nivel regional del confinamiento. En este artículo se concluye que los escenarios de afectaciones dependen de los supuestos de operatividad hechos de acuerdo con el grado de afectación y la estructura de cada uno de los departamentos.

La Dirección de Estudios Económicos también ha desarrollado una MRIO para Colombia en donde se representan los 32 departamentos de país más Bogotá. Aunque las simulaciones presentadas también buscan analizar los efectos a nivel sectorial y regional del confinamiento al cual se ha sometido la población en Colombia, estas se diferencian de lo postulado por Bonet et al. (2020) en la construcción de los factores de ajuste, ya que se sigue el método extracción desarrollado por Dietzenbacher y Lahr (2003) para conocer, a través de las dinámicas regionales, los efectos del confinamiento sobre la producción y empleo a nivel departamental en Colombia, lo cual complementa los análisis a nivel espacial realizados por Bonet et al. (2020).

Los resultados muestran que la disminución en la producción alcanza el 8,2 %, lo que estaba por encima de las estimaciones de Bonet et al. (2020), además de las hechas a nivel nacional, anteriormente mencionadas. Esto se debe a que se incluyó la dimensión espacial dentro del análisis, ya que la heterogeneidad de los impactos sobre los departamentos pone de manifiesto la importancia de los encadenamientos de la economía. Ahora bien, es necesario mencionar que los ejercicios de simulación fueron realizados con información de abril y mayo del 2020, por lo cual se incorporó en su análisis las reglas de aislamiento y las excepciones sectoriales que estuvieron vigentes en términos productivos durante este período.

El artículo está organizado de la siguiente forma: primero se describe la estructura del modelo insumo-producto regional y el mecanismo de obtención de los encadenamientos intra e interregionales, luego se describe la variación del modelo de extracción hipotética utilizada. En la siguiente sección se resumen las características de la economía regional antes de la pandemia y los efectos del confinamiento a nivel regional; por último, se presentan los comentarios finales.

METODOLOGÍA

Una matriz insumo-producto muestra de forma resumida las relaciones entre oferta y demanda intersectorialmente, lo que permite identificar cuáles sectores son los que tienen un mayor peso en la economía, o cómo los cambios de un sector afectan la oferta y demanda tanto a nivel sectorial como de la economía en su conjunto.

El modelo básico de Leontieff se describe en la ecuación (1):

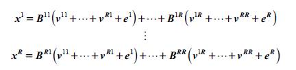
Donde x representa el vector de producción bruta total; A, los coeficientes insumo-producto; a ¡j , definidos como la cantidad de producto i que requiere (como insumo intermedio), por unidad el producto j (para i, j = 1, ..., n) y la demanda final es f1. Donde, haciendo las transformaciones necesarias, podemos encontrar que (ecuación 2):

Donde B es conocida como la inversa de Leontief.

Si se quiere observar esto en un contexto regional, se deben considerar las relaciones (1) y (2) con R diferentes regiones, de la siguiente manera en la ecuación (3):

Entonces, el modelo de Leontieff se puede representar en la ecuación (4):

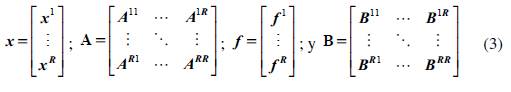
Donde los diferentes componentes para la demanda final, /, tanto a nivel doméstico (consumo privado y público, y la inversión) v rs (s = 1, ..., R), como a nivel externo (exportaciones), e r , pueden ser vistos como (ecuación 5):

Luego, la ecuación (4) se puede reescribir como:

Con la ecuación (5) se puede obtener la contribución de la demanda final desde diferentes regiones de origen sobre el producto regional. Luego, el producto regional depende de la demanda originada en la misma región y del grado de integración regional, además del comercio exterior.

Adicionalmente, se pueden calcular distintas clases de multiplicadores para el producto2: I) para un departamento (o región R), II) para cada uno de los otros departamentos (o regiones), III) para el "resto de la economía" (todos los departamentos o regiones excepto R) y IV) para el total de la economía o regiones (Miller y Blair, 2009).

Para el cálculo de las simulaciones no se usó el modelo tradicional de Leontief, sino una variación del método de extracción hipotética (HEM, por sus siglas en inglés) propuesto por Dietzenbacher y Lahr (2003). Esta metodología permite analizar la importancia de un sector en una estructura económica dada su extracción y consecuente reducción en el nivel de actividad en la economía. Cabe destacar que cuanto mayor es el nivel de interdependencia de dicho sector en relación con los demás, sistemáticamente mayor es el impacto.

Siguiendo a Haddad et al. (2020), se construyeron unos factores de ajuste sectorial, esto es una medida de la operatividad del sector ante las condiciones vigentes en el confinamiento de la economía. Para ello, se elaboró un vector de factores de ajuste, fa, que representa el grado de apertura para cada uno de los sectores de la economía, por lo cual tiene unos valores entre cero y uno. Es decir, si un sector operó a plena capacidad no se ha visto afectado por las medidas de confinamiento (por ejemplo, el sector de salud) su valor es de uno; en el caso contrario, si el sector ha sido afectado completamente por el coninamiento (por ejemplo, el sector de hoteles y los servicios relacionados con el turismo) su valor es cero. Ahora bien, existirán sectores que tienen un cierre parcial, por lo que tendrán valores entre cero y uno.

Dicho vector de ajuste (fa ) cuenta con tres escenarios de modelación (Anexo I) , ya que, si bien parten de la regulación existente para su elaboración, no hay total certeza sobre el nivel puntual de interrupción de la actividad para cada sector, por lo cual se asumen supuestos de gradualidad aproximada sobre la producción y demanda sectorial. Estos escenarios corresponden respectivamente a: I) un caso extremo, que contempla apertura o cierres totales de cada uno de los sectores, II) un escenario adaptado a partir de los supuestos de Bonet et al. (2020) y III) un escenario construido por la DEE a partir de los resultados encontrados por Lamprea et al. (2020).

Considerando el modelo estándar de Leontief, a la luz de las características matriciales de una MRIO como el presentado en la ecuación (3); inicialmente, el modelo sin factores de ajuste se puede escribir como (ecuación 6):

Donde A es la matriz de coeficientes técnicos, x representa el vector de producción bruta total y f es un vector columna con la demanda final.

Para involucrar los factores de ajuste, se transforma la matriz de coeficientes técnicos como , esto es, la matriz de coeficientes técnicos restringida por las medidas de confinamiento. Por otra parte, el vector de demanda final resultante del confinamiento es (producto Hadamard o punto a punto), luego la producción afectada por el confinamiento se puede escribir como (ecuación 7):

Por tanto, después de la extracción parcial, tenemos la ecuación (8):

Donde T es la medida agregada de la pérdida anual en la economía (reducción en el producto, si extrajéramos del sistema la producción afectada por las medidas de aislamiento). Esta es una medida de la importancia relativa de los sectores afectados por el aislamiento.

Los resultados de la producción bruta sectorial, T, pueden ser utilizados para encontrar los efectos sobre otras variables, en este caso el empleo. Para ello se multiplica el vector de la producción bruta, x̅, por una matriz diagonal del empleo, , que contiene los respectivos coeficientes de empleo, es decir, el número de empleados por sector dividido por las respectivas producciones brutas sectoriales, para así obtener los impactos sobre el empleo.

CARACTERIZACIÓN DE LA ECONOMÍA REGIONAL

La matriz insumo-producto regional para Colombia (MRIO-COL), que incluye los 32 departamentos más Bogotá y 59 sectores de la economía3, es una fuente de información importante para el análisis de la estructura económica regional y departamental del país.

Con las transformaciones necesarias se pueden calcular los encadenamientos nacionales como la suma de los encadenamientos sectoriales intra e interdepartamentales, así como como los de índole regional para cada departamento. Si se evalúan los encadenamientos a nivel regional, de acuerdo con la clasificación de Hirschman (1961), se pueden conocer los departamentos que tienen mayores encadenamientos tanto hacia atrás como hacia adelante. Por otro lado, Hernández y Quintero (2020) encontraron que los departamentos con encadenamientos por debajo del promedio nacional se concentran en aquellos con menor PIB per cápita, ubicados en la periferia del territorio nacional y son considerados como los territorios menos desarrollados del país. Por su parte, los departamentos con los de mayores encadenamientos, precisamente, son los que se consideran más desarrollados, se ubican en su mayoría en el centro del país y poseen unos niveles de PIB per cápita relativamente más altos. También es interesante observar que varios departamentos (Antioquia, Valle del Cauca, Atlántico, Caldas, Risaralda, Cundinamarca) tienen mayores encadenamientos que Bogotá. Esto implica que, a pesar de la importancia de Bogotá en el PIB nacional, cuya ponderación es de un 25 %, las políticas destinadas a impulsar otras regiones pueden generar efectos mayores que aquellas concentradas en la capital del país.

Por otra parte, al hacer las estimaciones de los encadenamientos sectoriales por departamento, encontramos que los sectores más importantes (Hirschman, 1961) se concentran en el sector industrial intensivo en mano de obra o capital, así como en los sectores energéticos (electricidad y gas), el transporte, las comunicaciones y el sector de salud y sus servicios derivados. Además, se observó un número importante de sectores claves de la economía, pues oscilan entre 13 y 17 de acuerdo con el departamento.

Para observar el comercio interregional y su impacto sobre los distintos departamentos se recurrió a la construcción de indicadores basados en las cadenas nacionales de valor (Aslam et al., 2017), los cuales nos describen: 1) la cadena regional de valor que es la participación del valor agregado departamental en la cadena nacional de exportaciones y 2) el índice posición, el cual muestra la importancia relativa de la producción departamental dentro de las cadenas de comercio interdepartamentales. Los resultados de estos indicadores muestran que Bogotá y los departamentos de Antioquia, Valle del Cauca y Atlántico son los que más contribuyen al fomento de cadenas de comercio interregional, tanto a través de sus exportaciones como de sus importaciones interdepartamentales. Estos indicadores son bajos para los departamentos con industrias extractivas, ya que sus exportaciones se concentran hacia el resto del mundo más que hacia otros departamentos.

Finalmente, en el marco de esta caracterización departamental, a partir de los encadenamientos productivos, se obtuvieron los multiplicadores de empleo sectorial para cada uno de los departamentos. Se observó que los departamentos con multiplicadores más pequeños son Chocó, Córdoba, Magdalena, Cesar, La Guajira y Meta, mientras que los de mayor multiplicador son Cauca, Bogotá y Santander.

IMPACTOS REGIONALES

El primer paso para evaluar el impacto económico de la interrupción de la actividad económica que ha generado el COVID-19 fue determinar en qué medida cada uno de los sectores económicos fueron afectados. La construcción de los factores de ajuste para el primer y segundo escenario son muy sencillos, en el sentido de que para el primero solo se tiene en cuenta un valor de uno, en caso de que el sector no se vea afectado, y de cero, en el caso de que este se vea afectado. Ahora bien, para el segundo escenario, se tomaron los factores de ajuste de Bonet et al. (2020) y se adaptaron a los sectores de la MRIO utilizada en este trabajo (véase Tabla A1).

Finalmente, para la construcción del tercer escenario se tomó la normativa aprobada para regular aquellas actividades que se consideran esenciales y han podido seguir operando y aquellas que han quedado suspendidas o parcialmente afectadas. Además, se utilizaron los datos de teletrabajo realizado por los distintos sectores y departamentos, de acuerdo con Lamprea et al. (2020).

En segundo lugar, los factores de ajuste de la continuidad en la producción (Anexo 1) se aplicaron a la producción diaria de cada sector para calcular la magnitud del impacto diario sobre la producción, este se multiplicó por el número de días de confinamiento para la economía, que en este caso se consideró de 60 días. Finalmente, como se mencionó anteriormente, no se utilizó un modelo de Leontief tradicional sino una variación del HEM, que permitió involucrar choques de oferta (al afectar la estructura de costos) y de demanda (al afectar la demanda final) relacionados con el confinamiento.

La disparidad de los efectos regionales se muestra en las Figuras 1 y 2. Como se observa en la Figura 1, la caída de la producción varió entre 2,8 % y 11,4 % a través de los departamentos y estaba más concentrada en el segundo escenario; esto es, los efectos de los factores de ajuste son muy similares entre departamentos4. Por otra parte, los promedios y medianas del efecto, que son un aproximado de la disminución de la producción a nivel nacional, fueron muy similares para los tres escenarios.

Dispersión departamental de las pérdidas en producción

Figura 1: Dispersión departamental de las pérdidas en producción

Escenario 1: extremo, en el cual se considera que el sector opera totalmente o no. Escenario 2: adaptado de Bonet et al. (2020). Escenario 3: adaptado de escenarios de la DEE. Fuente: elaboración propia.

Promedio de pérdidas en la producción departamental

Figura 2: Promedio de pérdidas en la producción departamental

Promedio de los tres escenarios estimados. Fuente: elaboración propia.

En la Figura 2 se presenta la dimensión espacial de la disminución en la producción, hay que mencionar que entre más claro el color mayor es la pérdida. Se observó que el departamento del Atlántico es el que sufre las mayores pérdidas, estas fueron de 10,5 %, seguido por Bogotá, Antioquia, Risaralda y Valle del Cauca, donde las pérdidas oscilaron alrededor del 9,5 %. Los departamentos de Atlántico, Antioquia, Valle del Cauca y Bogotá acumularon el 50 % de las pérdidas nacionales, las cuales ascendieron a 8,2 %. Estas estaban 21 puntos porcentuales por arriba de las pérdidas estimadas por Bonet et al. (2020), que fueron de 6,1 %.

Las pérdidas en puestos de trabajo presentaron una gran dispersión a través de los departamentos, ya que se encontraban entre 9000 a 478 000 empleos, de acuerdo con el departamento en cuestión. Esta gran heterogeneidad del efecto sobre el empleo se muestra en la Figura 3, que para los tres escenarios fue muy similar.

Dispersión departamental de las pérdidas en empleo

Figura 3: Dispersión departamental de las pérdidas en empleo

Escenario 1: extremo, en el cual se considera que el sector opera totalmente o no. Escenario 2: adaptado de Bonet et al. (2020). Escenario 3: adaptado de escenarios de la DEE. Fuente: elaboración propia

Como puede verse en la Figura 4, los departamentos más afectados por la disminución en puestos de trabajo fueron Antioquia y el Valle del Cauca y Bogotá, en menor medida5. La disminución de puestos de trabajo alcanzó los 3 548 391. Al comparar los resultados encontrados con los de Bonet et al. (2020), se observó que, dependiendo del escenario, la caída en el empleo fluctuó entre 500 000 y 1 300 000, esta estimación es uno de los escenarios menos extremos estimados por estos autores.

Pérdidas en el empleo departamental

Figura 4: Pérdidas en el empleo departamental

Promedio de los tres escenarios estimados. Fuente: elaboración propia.

Por otro lado, Bogotá es la región más importante dentro del comercio interregional de acuerdo con lo clasificación de Aslam et al. (2017). Lo que significa, que su producción tiene, a nivel país, la mayor vocación como agente generador de cadenas interregionales de valor; es decir, sus exportaciones son las más utilizadas como insumo intermedio para la producción de los demás departamentos, mientras que es la región que utiliza más las exportaciones de otros departamentos como insumo intermedio de su propia producción. Por ello, se realizó una simulación en la que se asumió que Bogotá se encontraba en confinamiento, mientras que los demás departamentos no lo estaban, para observar así el comportamiento del comercio interregional. Como lo muestra la Figura 5, los sectores agroindustriales incrementaron su comercio entre departamentos, ya que Bogotá no es un gran productor o transformador de alimentos, mientras que los sectores industriales disminuyeron su comercio, consecuencia de la menor compra de insumos por parte de Bogotá, así como de la menor oferta de consumo intermedio para la producción de los bienes en los otros departamentos. Esta disminución en el comercio interregional también se puede apreciar en los sectores de la construcción, comercio y algunos servicios.

Dependencia del comercio interregional

Figura 5: Dependencia del comercio interregional

Promedio de los tres escenarios estimados Fuente: elaboración propia.

Además, se hicieron simulaciones para observar el efecto marginal de las medidas de mitigación adoptadas en los decretos 457 y 593, que comenzaron a operar a partir del 25 de marzo de 2020 y 27 de abril, respectivamente. Para esto se asumió la aplicación de estos decretos para la totalidad del país y luego se observó cómo estas excepciones no operan en Bogotá, Atlántico, Bolívar y Valle, individualmente, haciendo énfasis en las medidas que reactivaban los sectores de industria manufacturera y la construcción6. Cuando el Decreto 457 se consideró para todo el país, la economía no decrece un 8,2 %, sino en 7,8 %; esto es, las exenciones del decreto permitieron mitigar las consecuencias económicas del confinamiento impuesto en 0,4 puntos porcentuales. También, la entrada en vigor del Decreto 593, que permitió las exenciones del sector industrial y de construcción para todo el país, implicó que la disminución en la producción fuera tan solo de 6,6 %, esto es 1,2 puntos porcentuales menos que la disminución inicial esperada.

Ahora bien, las exenciones para el sector manufacturero y de la construcción no comenzaron a operar en Bogotá, Atlántico, Bolívar y Valle. Esto implica que las pérdidas en el producto son de 7,3 % en vez de 6,6 %. En la Figura 6 se presentan las pérdidas marginales por departamento, como se esperaba, Bogotá fue la que marginalmente tuvo un mayor efecto, seguida por el Valle del Cauca. Adicionalmente, se observó que las pérdidas asociadas a Atlántico y Bolívar fueron iguales, consecuencia de una estructura económica similar entre ambos departamentos.

Incremento marginal en las pérdidas de la producción (puntos porcentuales)

Figura 6: Incremento marginal en las pérdidas de la producción (puntos porcentuales)

Fuente: elaboración propia.

En materia de empleo, la entrada en vigor del Decreto 457 evitó la desaparición de 169 000 puestos de trabajo y, cuando entró en vigencia el Decreto 593, este contribuyó a la conservación de 689 000 empleos, con lo que la reducción en puestos de trabajo pasaría de 3 548 000 a 2 691 000 de empleos; lo que implica 857 000 puestos de trabajo menos que las pérdidas de empleo esperadas. Nuevamente, el que no operen las exenciones para Bogotá, Atlántico, Bolívar y Valle, implicó un aumento en el número de puestos de trabajo desestimados, en un monto de 238 000 empleos, es decir, que la reducción en las pérdidas de empleo no fue de 857 000 sino de 620 000 empleos. Por otra parte, estos efectos sobre el empleo ponen de manifiesto la importancia de Bogotá en la generación de plazas de trabajo (Figura 7).

Incremento marginal en la disminución del empleo (miles de personas)

Figura 7: Incremento marginal en la disminución del empleo (miles de personas)

Fuente: elaboración propia.

COMENTARIOS FINALES

En este trabajo se presenta el uso de una matriz insumo-producto regional para Colombia, con el fin de observar los efectos del confinamiento sobre las regiones, así como las consecuencias de las acciones para disminuir la propagación del COVID-19 en 2020. Para esto, primero se hizo una breve caracterización de las economías departamentales en Colombia y, luego, se realizaron unas simulaciones, mediante una variación del método de extracción hipotética para observar los efectos del confinamiento sobre la producción.

Se encontró que la producción nacional puede disminuir hasta un 8,2 %, pero los efectos regionales son bastante heterogéneos, ya que el efecto de la producción depende de la afectación del sector, así como de la estructura sectorial de cada uno de los departamentos, como lo señalaron Bonet et al. (2020). La disminución en la producción repercute sobre el nivel de empleos, llevado a que se pierdan más de 3 000 000 de puestos de trabajo.

Por otra parte, se observó cómo los efectos del confinamiento afectaron el comportamiento del comercio interregional y se encontró que mantener el confinamiento de Bogotá, así se abran completamente los demás departamentos, afecta el sector industrial por la composición del comercio entre departamentos, ya que existe un efecto de desplazamiento del comercio entre los diferentes departamentos.

Como se pone de manifiesto a través del documento, durante el 2020 hubo diferencias importantes a nivel regional, tanto del confinamiento como de las políticas de mitigación sobre el nivel de producción como del empleo. Por otra parte, es claro que uno de los factores para tener en cuenta en la reactivación económica es el comportamiento de la economía bogotana, por sus encadenamientos con los demás departamentos, a través del comercio interregional, y por su importancia en la generación de empleo.

Esta clase de simulaciones, en que se involucran choques de oferta y demanda dentro de una dimensión espacial, además de mostrar los efectos regionales de un choque negativo sobre la economía, pueden contribuir a tener una evaluación ex-ante de diferentes alternativas de políticas públicas para la reactivación económica y ayudan a dimensionar cómo estas pueden ser de carácter focalizado, a nivel sectorial o departamental, o de forma transversal para regiones y sectores de la economía.

REFERENCIAS

  1. 1. Aslam, A., Novta, N., & Rodrigues, F. (2017). Calculating trade in value added. https://www.imf.org/en/Publications/WP/Issues/2017/07/31/Calculating-Trade-in-Value-Added-45114 [URL] 🠔
  2. 2. Banco Mundial. (2020). El costo de mantenerse sanos. https://openk-nowledge.worldbank.org/bitstream/handle/10986/34602/211650SP.pdf?sequence=5&isAllowed=y [URL] 🠔
  3. 3. Banco de la República. (2020). Informe de política monetaria. https://repositorio.banrep.gov.co/bitstream/handle/20.500.12134/9929/informe_de_politica_monetaria_octubre_2020.pdf?sequence=7 [URL] 🠔
  4. 4. Bonet, J., Ricciulli, D., Pérez, G., Galvis, L., Haddad, E., Araújo, I., & Perobelli, F. (2020). Regional economic impact of COVID-19 in Colombia: An input-output approach. Regional Science Policy and Practice, 12(6), 1123-1150. https://doi.org/10.1111/rsp3.12320 [URL] 🠔
  5. 5. Comisión Económica para América Latina y el Caribe. (2020). Addressing the growing impact of COVID-19 with a view to reactivation with equality: New projections. https://www.cepal.org/sites/default/files/publication/files/45784/S2000470_en.pdf [URL] 🠔
  6. 6. Dietzenbacher, E., & Lahr, M. (2003). Expanding extractions. Economic Systems Research, 25(3), 341-360. https://doi.org/10.1080/09535314.2013.774266 [URL] 🠔
  7. 7. Fedesarrollo. (2020). Prospectiva económica. http://dams.fedesarrollo.org.co/prospectiva/publicaciones/prospectiva-economica-tercer-trimes-tre-2020/ [URL] 🠔
  8. 8. Fondo Monetario Internacional. (2020). World Economic Outlook: A long and difficult ascent. https://static.poder360.com.br/2020/10/World-Eco-nomic-Outlook-A-long-and-difficult-ascent.pdf [URL] 🠔
  9. 9. Haddad, E., Perobelli, F., & Araújo, I. (2020). Input-output analysis of COVID-19: Methodology for assessing the impacts of lockdown measures. http://www.usp.br/nereus/wp-content/uploads/TD_Nereus_01_2020.pdf [URL] 🠔
  10. 10. Hernández, G., & Quintero, L. F. (2020). Diferencias regionales del impacto del confinamiento en Colombia. https://colaboracion.dnp.gov.co/CDT/Estudios%20Econmicos/512.pdf [URL] 🠔
  11. 11. Hirschman, A. (1961). La estrategia del desarrollo económico. Fondo de Cultura Económica. 🠔
  12. 12. Lamprea, T., Ospina, V., Hernández, G., & Rivera, A. (2020). Una medida de los efectos potenciales del COVID-19 en el empleo: el caso de la política de aislamiento preventivo obligatorio en Colombia. https://colaboracion.dnp.gov.co/CDT/Estudios%20Econmicos/508.pdf [URL] 🠔
  13. 13. Miller, R., & Blair, P. (2009). Input-output analysis: Foundations and extensions. Cambridge University Press. 🠔
  14. 14. Miller, R., & Lahr, M. (2001). A taxonomy of extractions. En M. L. Lahr & R. E. Miller (eds.), Regional science perspectives in economic analysis: A festschrift in memory of Benjamin H. Stevens (pp. 407-441). Elsevier Science. 🠔
  15. 15. Organización para la Cooperación y el Desarrollo Económicos. (2020). Colombia economic snapshot. https://www.oecd.org/economy/colombia-economic-snapshot/ [URL] 🠔
Antes de seguir se hacen algunas aclaraciones sobre la notación. Los símbolos en negrita se refieren a matrices o vectores. En el caso de vectores, estos se denotan con letras minúsculas y son vectores fila a menos que explícitamente estén transpuestos, es decir, acompañados del símbolo ', mientras que las matrices lo hacen con letras mayúsculas. Finalmente, i es un vector unitario.
Esto también se puede realizar para el valor agregado, el empleo, el ingreso, entre otros factores, haciendo las transformaciones necesarias según el caso.
Este trabajo fue realizado en conjunto por el Departamento Nacional de Planeación, en cabeza de la Dirección de Estudios Económicos y el Banco Mundial.
Para los datos por departamentos puede verse la Tabla A2.
Para los dataos por departamento se puede ver la Tabla A3.
Ya que, en ese momento, estos departamentos presentaban mayores tasas de contagio que el promedio nacional.
Hernández, G., & Quintero, L. F. (2021). Efectos económicos de los cierres por COVID-19: una perspectiva regional. Cuadernos de Economía, 40(85), 1113-1132. https://doi.org/10.15446/cuad.econ.v40n85.90911

ANEXO 1

Tabla A1: Factores de ajuste

Escenario 1: extremo, en el cual se considera que el sector opera totalmente o no.

Escenario 2: adaptado de Bonet et al. (2020). Escenario 3: adaptado de escenarios de la DEE.

Fuente: elaboración propia.

ANEXO 2

Tabla A2: Pérdidas en la producción

Escenario 1: extremo, en el cual se considera que el sector opera totalmente o no.

Escenario 2: adaptado de Bonet et al. (2020). Escenario 3: adaptado de escenarios de la DEE.

Fuente: elaboración propia.

Tabla A3: Pérdidas de puestos de trabajo

Escenario 1: extremo, en el cual se considera que el sector opera totalmente o no.

Escenario 2: adaptado de Bonet et al. (2020). Escenario 3: adaptado de escenarios de la DEE.

Fuente: elaboración propia.