Ciencia Política
2389-7481
Universidad Nacional de Colombia
Colombia
https://doi.org/10.15446/cp.v11n22.61372

Recibido: 29 de abril de 2016; Aceptado: 24 de agosto de 2016

¿Por qué no la circunscripción de peruanos migrantes?

Why not the Creation of the Electoral District of Migrant Voters in Peruvian Ballots?

K. Castillo,

CENTRUM Católica Graduate Business School, Lima, Perú

Resumen

Los peruanos en el exterior vienen participando 36 años en los procesos electorales del Perú. Esta comunidad tiene un potencial político y económico que no se representa en el Legislativo peruano. El actual diseño político institucional obvia que este grupo tiene un conjunto de ofertas y demandas particulares de la realidad migrante que las élites políticas desatienden. En el presente artículo se discute la representación de los peruanos en el exterior en el diseño legislativo electoral peruano y se evalúa en perspectiva comparada. Existen nueve países en el mundo, como Croacia y Ecuador, que tienen circunscripciones especiales de residentes en el exterior. El estudio explora propuestas electorales aplicadas para la creación de la circunscripción especial de peruanos en el exterior.

Palabras clave: circunscripciones , diseño institucional electorales , representación política , voto migrante .

Abstract

Peruvian voters abroad have participated for 36 years in domestic elections. This community has a political and economic agenda which is not represented in the Peruvian legislature. The Peruvian political elites neglect that the current institutional design disregards this group. Peruvian voters abroad have a particular set of offers and demands related to the migrant reality. This article analyzes the political engineering of the representation of voters abroad in the Peruvian electoral design and compares it to other political scenarios. Since other countries with similar voting populations such as Croatia and Ecuador have special constituencies of national residents living abroad, it is paradoxical that Peru has not yet one. The study shows the inconsistencies of the arguments that have hindered the creation of the special district of Peruvians voters abroad and discusses proposals for an applied reform.

Palabras clave: constituencies , institutional design , political representation , migrant vote .

Introducción

Los peruanos en el exterior, 3,672.392 de migrantes según la más reciente estimación del Instituto Nacional de Estadística e Informática (INEI) a 2015, son importantes actores políticos y económicos para el Perú. En el plano económico, vienen remesando un promedio de 2.8% del PBI del Perú (Mariátegui, 2016), y tienen un conjunto de ofertas y demandas de parte del Estado peruano aún por atender. Por ejemplo, reclaman tener mayor información sobre las oportunidades de inversión en el país, o sobre las facilidades tributarias que tiene el estado para los que consideran el retorno. En el plano político, tienen una presencia importante donde el 30% de ese universo ha encontrado en el conducto electoral una vía de participación política operante. Se han más que sextuplicado en los últimos treinta años y, pese de no ser más del 4% del electorado, pudieron, en 2006 determinar las dos candidaturas que competirían para el ballotage; por menos del 1%. Lourdes Flores estuvo cerca de Alan García en buena cuenta por su impresionante apoyo del exterior de 58.2% de votos válidos. Los migrantes manifiestan un comportamiento político especial no muy estudiado por la Ciencia Política: ya en dos países latinoamericanos los sectores migrantes han conseguido, respectivamente, tres circunscripciones binominales de residentes en el exterior en Ecuador y una uninominal internacional en Colombia. Son una población con un creciente poder político.

Sobre este tercer punto, concerniente al poder político de los peruanos migrantes, es necesario impulsar la investigación sobre la realidad política de la comunidad de peruanos en el exterior. Ciertamente la salida política a la inexistencia de la circunscripción electoral especial de peruanos en el exterior, por parte del Legislativo peruano, no es del todo convincente para la academia politológica peruana. El debate político en la materia se ha limitado a centrarse en los costos para desestimar la incorporación de una circunscripción para extranjeros (como en el caso de Botswana presentado más adelante). Sin embargo, existe una insuficiente profundización sobre este aspecto en la academia peruana que permita afrontar el asunto con robustez en el escenario electoral peruano. Las discusiones sobre el tema suelen ser coyunturales frente a los procesos electorales en el país. Ello dificulta proponer argumentos sólidos a esta problemática de manera estratégica para la gobernabilidad del país.

Además de todo lo descrito, existe una incongruencia del mecanismo actual existente donde los electores en el exterior votan por los candidatos de la circunscripción de la capital peruana, Lima (Metropolitana), sin tener el más mínimo grado de representatividad e identidad en los 36 congresistas que conforman ese territorio y hacia los que los votos de los peruanos en el exterior actualmente son adjudicados. No hay una simbiosis entre estas dos poblaciones electorales, la de Lima y la de los exteriores, pues cada una tiene una agenda de intereses auténtica y diferente que obstaculiza este actual mecanismo.

El padrón electoral para 2016 indicó 884.924 electores hábiles migrantes, los cuales representan 3.86% del electorado general (Jurado Nacional de Elecciones [JNE], 2016). En la Figura 1 se observa el crecimiento de la población electoral objeto del presente estudio en perspectiva histórica. Repasar esta estadística amerita la oportunidad de conocer más de cerca este electorado que ha venido siendo un actor importante en el desarrollo económico del país en las últimas tres décadas. El electorado exterior por mucho tiempo ha estado desarticulado de los recuentos históricos del Perú, y ha sido más que oportunista el tratamiento que le han dado los que toman las decisiones estratégicas del país.


Crecimiento de la población electoral peruana. Elaborado a partir de “Cerca de 900 mil peruanos residentes en el extranjero deben ir a las urnas en las Elecciones Generales 2016” [Nota de Prensa] elaborada por la Oficina Nacional de Procesos Electores del Perú (ONPE) (2016).

Figura 1.: Crecimiento de la población electoral peruana. Elaborado a partir de “Cerca de 900 mil peruanos residentes en el extranjero deben ir a las urnas en las Elecciones Generales 2016” [Nota de Prensa] elaborada por la Oficina Nacional de Procesos Electores del Perú (ONPE) (2016).

Para conocer el perfil de los electores peruanos en el exterior, en el reporte Proyecto Fortalecimiento a la política de vinculación de los peruanos en el exterior: encuesta piloto de caracterización del peruano en el exterior (2006) por el Ministerio de Relaciones Exteriores del Perú, a través de una encuesta piloto se elaboraron indicadores que fueron más allá de los que utilizaban los organismos electorales. El reporte describió al grupo asentado en las ciudades de New York, Madrid, Miami, Santiago, Guatemala, como joven y mayoritariamente femenino, casado o unido, con instrucción secundaria completa, y más del tercio con estudios superiores, una diáspora muy calificada. Una clara mayoría pertenecía a la PEA ocupada, más de la mitad como empleados aunque menos remunerados y calificados.

El grupo reportó cuentas bancarias sobre todo en el país de residencia, con estrechos vínculos familiares en el Perú. Entre las características de inserción al país de residencia de este grupo se presentó los impedimentos por la situación migratoria y el idioma. El grupo manifestó una gran intención de retorno, del cual la mitad lo quiere hacer en el corto a mediano plazo entre cinco y 10 años. Entre las posibilidades de cooperación con el Perú, el grupo prefirió el envío de remesas, el comercio nostálgico, promoción y protección de la cultura, turismo hacia el Perú, comunicaciones vía telefónica. Los peruanos en el exterior según el reporte constituirían una diáspora que es fuente de ideas, conductas, identidades, remesas, transferencia de conocimiento, tecnología, productividad, identidad política, y buenas prácticas comerciales y sociales.

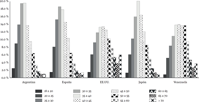
En la tesis ¿Cómo votan los peruanos en el exterior? (Castillo, 2011), se demostró que el electorado exterior está conformado por diferentes electores migrantes. Son electores migrantes económico-laborales con un perfil determinado por ciertas características socio-políticas de ubicación geográfica, género, edad, nivel educativo y, por supuesto, su condición migratoria. Una de las variables allí verificadas fue su oscilación en diferentes grupos etarios.


Electores extranjeros (Argentina, España, EEUU, Japón y Venezuela) de las elecciones presidenciales 2006 primera vuelta según grupo etéreo. Tomado de “¿Cómo votan los peruanos en el exterior? Aproximaciones al heterogéneo electorado del exterior y al voto migrante” (Castillo, 2011).

Figura 2.: Electores extranjeros (Argentina, España, EEUU, Japón y Venezuela) de las elecciones presidenciales 2006 primera vuelta según grupo etéreo. Tomado de “¿Cómo votan los peruanos en el exterior? Aproximaciones al heterogéneo electorado del exterior y al voto migrante” (Castillo, 2011).

Dada la importancia política de este joven electorado, se repasan las razones por las que se ha postergado la decisión política de establecer que los electores peruanos en el exterior tengan una circunscripción, o distrito electoral propio. Estas han sido: (a) tener más congresistas perjudica al erario nacional, y (b) más congresistas afectan el número fijo de representantes de otras circunscripciones. Más que de un juicio argumentativo estas razones se deben a una mera intuición por parte de los políticos en desmedro de la solidez del sistema electoral peruano; en realidad los electores peruanos en el exterior siguen votando por representantes para la capital del Perú sin conocerlos, y sin tener necesariamente alguna vinculación con sus intereses económicos y sociales particulares.

En términos de Sartori (1992), ¿son los representantes de la circunscripción Lima un alter ego de los 884.924 electores peruanos en el extranjero? De inicio, la condición si ne qua non para que exista representatividad es que haya elecciones. Este es el nexo fundamental entre los políticos y los ciudadanos. Sin embargo, esta condición, que implica receptividad en tanto los políticos tienen que escuchar a los ciudadanos para ser elegidos, es necesaria pero no suficiente para afirmar que existe representatividad. Se requiere, además, que los políticos sean responsables de sus decisiones frente a sus electores, quedando obligados a cumplir con lo que prometen. Por lo tanto, al amparo de la lógica sartoriana de representación, que arguye que la teoría electoral de representación y la teoría de la representación como responsabilidad están unidas, es inexacto asumir que la circunscripción de la capital del Perú a la cual se adjudican los votos de la población electoral de peruanos en el exterior, representa sustantivamente a este electorado.

Burke (1984) dijo que no hay “representación virtual” en donde el representante no tuviera alguna relación con el electorado. En relación al electorado peruano en el exterior el problema es que no hay representación ni virtual ni real, por ende, los representantes están en menos condiciones de tener capacidad de respuesta frente a sus necesidades. Los representantes no muestran una responsabilidad vinculante hacia este sector. El mero hecho electoral no basta para hablar de un sistema representativo. No es un instrumento suficiente de control político y, lamentablemente, es menos asumido por los representantes como mandato respecto a este electorado. Por eso, Manin, Pzeworski y Stokes (2002) advirtieron que mucho tiene que ver el diseño institucional, advertencia que, aplicada al sistema electoral peruano, exige una ingeniería especial a través de una circunscripción independiente: la circunscripción de peruanos en el exterior.

El presente artículo propone una primera aproximación a la problemática de la representación política de los peruanos en el exterior en el diseño legislativo electoral peruano. Para ello, se propone un enfoque en perspectiva, comparada a nivel mundial y en la región Latinoamérica de los casos donde sí se ha institucionalizado las circunscripciones de electores migrantes. Se ha privilegiado la exposición de los casos de países donde sí existen las circunscripciones, aunque solo existen nueve casos en el mundo que permiten a sus ciudadanos en el extranjero participar en sus procesos electorales y además les confieren la capacidad de elegir y contar con sus propios representantes en el parlamento nacional. Ello permite reforzar la vinculación con la comunidad política nacional, promover su propia agenda legislativa e intervenir directamente en los debates y procesos de toma de decisión política sobre los temas de interés nacional, también es cierto que son más los países en el mundo que no cuentan con estas circunscripciones. Desde luego, cada caso presenta sus particularidades. Tal es el caso de Botswana (IDEA e IFE, 2007) donde los mismos organismos electorales han recomendado que se revise la ley electoral con miras a suprimir el mecanismo de voto en el extranjero, y que no prospere tener representantes en su legislatura. Las principales razones: el alto costo por votante y en el bajo nivel de participación, además, de que el costo de financiar los sueldos de dos virtuales representantes legislativos es muy alto para un país pobre. En este caso de Botswana, los partidos de oposición, que fueron los principales promotores de la representación del voto migrante también parecen mucho menos entusiasmados que antes para la defensa y preservación de la circunscripción especial de ciudadanos en el exterior. No obstante, el precedente de Botswana (que no se profundiza en este artículo), se desarrollan otros países en el mundo con poblaciones electorales parecidas a la peruana, como Croacia y Ecuador, que tienen circunscripciones especiales de residentes en el exterior parecidas a la peruana que sí cuentan con circunscripciones especiales del exterior. Además, se hace una propuesta de reforma que constata la factibilidad de la representación especial de este electorado.

Concepto de circunscripción especial de residentes en el exterior

Como señaló Tuesta (2005) las circunscripciones especiales se producen porque los sistemas electorales permiten la aplicación de diversos tipos de circunscripciones electorales. Algunos más que otros, dado que son contradictorios merecen un tratamiento aún más especial, por ejemplo, pueden no tener base territorial, por lo que mediante el diseño de circunscripciones especiales se trabaja para ajustar la representación política más coherentemente a la realidad socio-política del país según un sistema electoral contextualizado. Para la conformación de una circunscripción electoral especial, el grupo minoritario que se considera debe estar conformado por criterios de homogeneidad. Por eso, primero, los escaños se reparten geográficamente y, segundo, los escaños restantes se ajustan conforme a la participación electoral.

De hecho, Nohlen (1998), al respecto, afirmó que por definición las circunscripciones especiales no pueden ser estancas de una vez y para siempre. Asimismo, el académico alemán en otro momento, en el Manual de IDEA Internacional y el Instituto Federal Electoral de México (IFE) (2007) denominado Voto en el Extranjero, comentó que el voto pasivo en el extranjero ha ido haciéndose cada vez más relevante en el mundo por los cambios políticos que vienen sucediéndose desde los noventas como el fenómeno de la globalización y la migración. El fenómeno de migración transnacional ha ido en aumento y no son pocos los países que profundizan en la investigación para ajustar sus sistemas electorales para la mayor participación de sus ciudadanos nacionales residiendo fuera del territorio nacional. Además, todos los mecanismos especiales que contemplen el voto en el exterior solamente tendrán criterios de razonabilidad si y solo si consideran el contexto- país con un enfoque global.

Las circunscripciones de residentes extranjeros en el mundo

Son actualmente nueve los países que cuentan con mecanismos de representación legislativa de ciudadanos residentes en el extranjero. En África, tres; cuatro en Europa; y, dos en Latinoamérica como se presenta en la Tabla 1. A continuación se describen las reseñas contextuales por área geográfica del Manual de IDEA Internacional (2007).

Tabla 1.: Representación política de electores extranjeros en legislaturas nacionales

País Región N° Escaños (% Total)
Francia Europa 12(3.6%, 331)
Italia Europa 12(1.9%, 630)
Croacia Europa 6(3.9%, 152)
Portugal Europa 4(1.7%, 230)
Argelia África 8(2.0%, 389)
Cabo Verde África 6(8.3% de 72)
Mozambique África 2(0.8%, 250)
Ecuador América 6(4.3%, 137)
Colombia América 1(0.6% de 166)

Nota: Tomado de “Voto en el extranjero,” en El Manual de IDEA Internacional e Instituto Federal Electoral (IFE), 2007.

En el contexto regional europeo

Francia es el país más antiguo en tener voto del exterior. Desde 1948 contempló la representación de ciudadanos en el extranjero en el Senado siendo desde 1983 doce los escaños, o 12 los senadores, elegidos indirectamente por el Consejo Superior de Franceses en el Extranjero. Este colegiado es elegido directamente por los franceses en el exterior. Italia es el único caso en el mundo que prescribió la representación en las dos cámaras legislativas: 12 escaños en la cámara baja y seis en la alta a través de cuatro circunscripciones regionales (Norteamérica, América Centro y Sur, Europa, y resto del mundo). Por su parte, Croacia es un interesante caso como país unicameral donde conforme a la reforma electoral de 1999 se estableció un máximo de seis escaños a la circunscripción especial. El número exacto de escaños se asigna posterior a cada elección general según la proporción entre el número de votos emitidos por los croatas en el exterior y los votos válidos a nivel nacional. Finalmente, en Portugal la representación en cámara baja está conformada por dos circunscripciones, Europa y el resto del mundo. A cada circunscripción se le asignan dos escaños como máximo dependiendo de un mínimo de 55 mil sufragantes por jurisdicción.

En el contexto regional africano

En Argelia desde 1996 y Cabo Verde en 1992 se adoptó el voto pasivo de residentes en el exterior. En Cabo Verde, sin embargo, recién se aplicó en las elecciones legislativas de 1995 con tres circunscripciones por dos representantes cada una. Una para África, la segunda por América, y la tercera por Europa y resto del mundo.

En el contexto regional de América Latina

El eje transversal de esta investigación es el análisis de América Latina porque el contexto regional influye de modo referencial en cualquier tipo de reforma que se plantee a nivel local.

Colombia es el primer país andino con estructura bicameral que desde 1991 reconoció en su legislación la creación de una circunscripción electoral especial que ampara a la comunidad colombiana en el exterior. En las elecciones legislativas de 2002 se hizo vigente la circunscripción especial por un escaño del representante de los residentes en el exterior. En 2014, la representación internacional pasó a tener dos escaños en una Cámara de Diputados de 166 representantes. Al presente son ya cuatro los diputados por la circunscripción electoral que ha tenido Colombia (“Surgen opositores a que colombianos”, 2014).

Ecuador es el caso con mayor similitud al Perú en el orden político-institucional. A pesar que en Ecuador se ha avanzado grandemente en materia democrática en la extensión de derechos políticos, el camino que ha seguido ha sido muy convulso (Pachano, 2007). El desarrollo del sistema electoral ecuatoriano se dio con muy poco tecnicismo y especificidad. La heterogeneidad de los mecanismos (combinaciones de fórmulas electorales, con distritos de tamaños diferentes y disímiles formas de votación) caracterizó el tránsito democrático ecuatoriano. En Ecuador ni bien se consiguió el sufragio activo en elecciones 2006, los electores ecuatorianos en el extranjero reclamaron representantes efectivos en la nueva Asamblea Nacional Constituyente. Así, la nueva Carta Magna de 2006 reservó una circunscripción exterior conformada a priori por seis del total de escaños que la conformarían. Al presente, Ecuador ha tenido tres legislaturas con representantes del exterior (2007, 2009, 2013). La distribución geográfica de la comunidad ecuatoriana del exterior por criterios territoriales se dividió en dos escaños, respectivamente, por: (a) América Latina y El Caribe, (b) Estados Unidos y Canadá, (c) Europa, Asia y Oceanía.

El caso de Ecuador, en términos sociales, tiene mayor semejanza con el caso peruano. El electorado del exterior peruano no solo se asemeja más en cantidad con el ecuatoriano sino también estructuralmente ambos países tienen sociedades y sistemas políticos más próximos. Sin embargo, como se observará más adelante en detalle, el criterio de adjudicación a priori de escaños no es el más útil para el contexto peruano dadas las constantes transformaciones sociales y políticas que modifican los padrones permanentemente. El caso colombiano se presenta de modo referencial para la región Latinoamérica, pero su modelo legislativo bicameral tiene una mayor distancia comparativa del sistema parlamentario peruano.

Criterios de adjudicación de votos

Uno de los aspectos institucionales de mayor discusión en los escenarios políticos nacionales que contemplan el sufragio de residentes en el exterior es la adjudicación de votos en escaños para la determinación de circunscripciones. Al respecto, Nohlen y Grotz (2007) propusieron dos enfoques en la adjudicación de escaños para la circunscripción especial de los residentes en el exterior. La forma en que los votos del extranjero se transforman en puestos de representación, lo que describe el modo en que los ciudadanos en el exterior son vinculados en la política nacional, ocurre por dos rutas: (a) la adjudicación a circunscripciones exteriores especiales para electores en el extranjero; y (b) la adjudicación de los votos a circunscripciones existentes dentro del país i.e. conforme al área donde se registra el elector antes de emigrar.

Presentadas las formas para la adjudicación de escaños en circunscripciones especiales de residentes en el extranjero, se pasa a revisar el sistema electoral peruano en aplicación de ambos criterios.

El sistema electoral peruano y las circunscripciones especiales

Las reformas constitucionales y electorales de septiembre de 2009 en el Perú han sido dos. Primero, una modificatoria constitucional en el artículo 90 de la Carta Magna peruana por la que se indicaba que a partir de 2011 el cuerpo legislativo estaría compuesto por 130 congresistas y ya no por 120 congresistas. Serían 10 los escaños adicionales a la nueva legislatura. Segundo, por Ley 29403 se creó la circunscripción electoral de Lima Provincias que modificaba el segundo párrafo del artículo 21 de la Ley Orgánica de Elecciones (1997; 2011). En el articulado se prescribió que el territorio del Perú se dividiría en 26 circunscripciones electorales bajo el criterio de una circunscripción por cada departamento (Perú = 24 departamentos) y las restantes corresponderían a la circunscripción de Lima Provincias y otra por El Callao. A la circunscripción Lima-Provincias le correspondería cuatro de los 10 escaños adicionales contemplados en la modificatoria del Artículo 90 de la Constitución. Al amparo de esta ley, el tratamiento a los electores peruanos en el extranjero continuaba dentro de la circunscripción electoral de Lima. Asimismo, el ente jurisdiccional electoral distribuiría los seis restantes escaños en forma proporcional a las demás circunscripciones electorales. Este aspecto se ha ido acomodando en el tiempo pero en flagrante desventaja y obviedad del electorado peruano en el exterior.

La paradoja de la circunscripción especial de peruanos en el exterior

Sobre la base del precedente, el sistema electoral peruano dispuso la representación legislativa en 26 circunscripciones. Son 24 adjudicadas con base territorial por los departamentos del Perú y las dos restantes, a Lima-Provincias y El Callao.

Por criterios geográficos, son 23 circunscripciones conformadas por las circunscripciones correspondientes a cada uno de los departamentos que no están entre los límites del Departamento de Lima. Las tres restantes circunscripciones son (a) Circunscripción de Lima y Extranjero (36 escaños), (b) Circunscripción de Lima–Provincias (compuesta por nueve provincias) (cuatro escaños), (c) Circunscripción de El Callao (cuatro escaños). O sea, Lima Región se divide en tres circunscripciones efectivas.

Considerando la Tabla 2, si se analizan las tres circunscripciones ya dispuestas por criterios de población electoral, se observa: (a) una Circunscripción de Lima conformada por la sumatoria de las poblaciones de Lima Metropolitana y Peruanos en el extranjero; (b) una Circunscripción de Lima–Provincias cuya población electoral es muy similar numéricamente a la (c) Circunscripción de El Callao; (d) una población electoral de peruanos en el extranjero superior respectivamente a las de (b) y (c). No obstante, los peruanos en el exterior siguen sin tener escaños representativos asignados.

En base a esta evidencia, se verifican los siguientes tres argumentos:

  1. 19 de las 26 circunscripciones (entre ellas El Callao y Lima Provincias) están conformadas por poblaciones electorales de menor cantidad que la población electoral de peruanos en el exterior.

  2. Los electores en el exterior votan por los candidatos de la Circunscripción de Lima (Metropolitana) sin tener el más mínimo grado de representatividad en los 36 congresistas hacia los que sus votos son adjudicados.

  3. Madre de Dios, la región con menor cantidad de electores y, por tanto, la menor de todas las circunscripciones del Perú, con una población de 95.538 electores, tiene por lo menos un representante.

En conclusión, se verifica que la comunidad de peruanos en el exterior no tiene una circunscripción de tratamiento especial, ergo, ningún representante ni adjetivo ni sustantivo en las recientes legislaturas peruanas.

Tabla 2.: Población electoral y distribución de curules en Perú a 2016

Región Total electores N° Curules
Amazonas 270.175 2
Ancash 831.235 5
Apurímac 284.436 2
Arequipa 1,035.654 6
Ayacucho 421.956 3
Cajamarca 1,009.775 6
Callao 743.928 4
Cusco 915.199 5
Huancavelica 274.440 2
Huánuco 525.051 3
Iea 583.777 4
Junín 875.674 5
La Libertad 1,292.488 7
Lambayeque 889.355 5
Lima Metropolitana y Extranjero 6,884.549 36
Lima Provincias 696.209 4
Loreto 630.498 4
Madre de Dios 95.538 1
Moquegua 133.777 2
Pasco 185.057 2
Piura 1,266.557 7
Puno 858.504 5
San Martín 566.666 4
Tacna 253.524 2
Tumbes 156.120 2
Ucayali 336.888 2
Totales 22,017.030 130

Nota: Tabla elaborada a partir del “Reporte N° 1, Serie EG 2016 Padrón Electoral” realizado por el Jurado Nacional de Elecciones del Perú (JNE) y el Observatorio para la Gobernabilidad (Infogob), 2016.

Planteamiento de reforma

Como se propuso en la introducción, en base a la evidencia recopilada, y a la luz de la tesis de Nohlen en el Manual de IDEA Internacional (Nohlen y Grotz, 2007), se justifica que la creación de la circunscripción especial de peruanos en el exterior es viable, pero fracasa anclada en un nivel intuitivo. Esta situación se debe a que las élites políticas no están familiarizadas con los argumentos sustantivos a favor del voto pasivo en el extranjero, y mucho menos con la realidad social, política y económica del grupo migrante.

Ahora bien, entre las dos formas presentadas por Nohlen y Grotz (2007) como son (a) la adjudicación a circunscripciones exteriores especiales para electores en el extranjero; o (b) la adjudicación de los votos a circunscripciones existentes dentro del país, se ha optado en el Perú por la segunda forma. En Perú, los votos exteriores son adjudicados a la circunscripción de Lima, la capital del país. A diferencia de lo que sucedería si se aplicara la primera forma, en el actual diseño peruano el peso político de la comunidad electoral de los peruanos en el exterior es todavía bajo (1.60% de los votos válidos) (Mariátegui, 2016). Sin embargo, no se debe desmerecer en la observación que los votos válidos del Exterior cuentan en el sistema electoral bajo los criterios dispuestos, y que el destino de los votos exteriores a la circunscripción de Lima es un mecanismo que facilita la transferencia de los resultados electorales a una circunscripción ya existente haciendo el flujo del proceso electoral fluido y ágil. Sin embargo, en atención al fondo del asunto, ¿se atiende eficazmente las demandas del exterior? ¿El electorado exterior participa efectivamente en las decisiones del país? Lograrlo demandará un esfuerzo superior y voluntad política de parte de las élites en el Perú.

Tabla 3.: Distribución por ubicación geográfica de los peruanos en el exterior (PEX) en comparativo 2011 – 2016

Ubicación Geográfica N° electores PEX 2011 N° electores PEX 2016
África 205 (0.03%) 253 (0.03%)
América 447.965 (64%) 596.827 (67.44%)
Asia 31.213 (4.5%) 33.656 (3.80%)
Oceanía 2.685 (0.39%) 4.857 (0.55%)
Europa 213.625 (31%) 249.331 (28.18%)
Exterior 754.154 884.924
Perú 19,195.761 22,017.030
Total 19,49.915 22,901.954

Nota: Elaborado a partid del “Reporte N° 1, Serie EG 2016 Padrón Electoral,” realizado por el Jurado Nacional de Elecciones del Perú (JNE) y el Observatorio para la Gobernabilidad (Infogob) (2016).

Está probado empíricamente que el diseño en circunscripción extra-territorial, si se tiene una población electoral que no pugna en la balanza política con la población nacional, propende a una aún mejor representación en el sistema democrático. Asimismo, conviene asumir a la población de peruanos en el exterior como un electorado complejo definido por Colomer (2001) como:

[…] el producto de relaciones sociales que genera nuevas demandas de bienes públicos y de la sumisión de nuevos temas políticos a votaciones colectivas. En electorados complejos solo puede haber resultados estables y satisfactorios mediante la introducción de mecanismos institucionales más sofisticados. (p. 42)

Se propone, por tanto, apuntar a una mayor sofisticación en el tratamiento y análisis de la representación de peruanos en el exterior como electorado complejizado, evidencia que se verifica en las estadísticas de la Tabla 3.

Referencia empírica para la reforma

Considerando esta flagrante obviedad a los electores peruanos migrantes en el diseño político institucional peruano, en un cuerpo legislativo de 130 congresistas, se propone adjudicar los escaños en una circunscripción de peruanos en el exterior tomando los precedentes de Croacia en 1999 y Ecuador que aparecen descritos en el Manual de IDEA Internacional y el Instituto Federal Electoral de 2007 y que se resumen a continuación. Ambos países, Croacia y Ecuador, unicamerales con 152 y 137 congresistas, respectivamente, reflejan cifras no tan diferentes al cuerpo legislativo peruano.

Ajuste al diseño croata: según la reforma de 1999, por la que se modificó el número fijo de 14 escaños para la circunscripción del extranjero, en Croacia se utilizó un diseño no a priori, utilizando un cociente tipo Hare que contemplaba: (a) un máximo de seis escaños; (b) la adjudicación dependía de un cociente entre votos emitidos del exterior y votos válidos a nivel nacional; (c) el cociente tipo Hare se actualizaba después de cada elección general; y (d) se tomaba el entero superior redondeado, si fuere el caso, del cociente como el indicador para el número de representantes de la circunscripción de croatas en el exterior.

Criterio demográfico

Siguiendo el diseño croata, la propuesta de reforma se sustenta en la base demográfica electoral de los peruanos en el exterior. Los peruanos en el exterior son a 2016 una población de 884.924 electores hábiles. Según la Tabla 3 de distribución por ubicación de los peruanos en el exterior precedente, se propone asignárseles escaños bajo el siguiente criterio: (población electoral exterior) 884.924/ (población electoral general) 22,901.954 * 100 = 3.39 = 3 escaños, resultando en tres representantes por el extranjero.

Criterio geográfico

Considerando el gráfico por concentración de residencia (Tabla 3), la distribución de la circunscripción de peruanos en el extranjero sería en el planteamiento correspondiente a tres congresistas. Según el criterio de mayores poblaciones inmigrantes en el mundo serían distribuidos uno por Norteamérica, otro por el resto de América Latina, y el tercero por Europa y el resto del mundo.

Ajuste al diseño ecuatoriano: el caso ecuatoriano plantea un diseño aplicado en la reforma política de 2009 que contemplaba un modelo de representación proporcional territorial (dos escaños por cada provincia) y por criterios de población (un escaño más por cada 200,000 habitantes) mediante el método D’Hont.

Criterio demográfico

Siguiendo el modelo ecuatoriano, se fijarían a priori seis congresistas por la circunscripción de residentes en el exterior. Este número de escaños representaría a los cerca de tres millones de peruanos diseminados en el mundo.

Criterio geográfico

Siguiendo el modelo ecuatoriano, la distribución sería dos congresistas por Estados Unidos y Canadá, dos por América Latina y El Caribe, y dos por Europa y resto del mundo según la densidad poblacional peruana en el exterior.

Cabe aclarar que los criterios territoriales expuestos merecerán ajustarse según estudios en profundidad sobre las orientaciones y pesos políticos de la comunidad exterior por cada proceso electoral para que no se afecte el equilibrio del sistema electoral aplicado a las demás circunscripciones nacionales. Una vez fijado el número de congresistas por el exterior según los modelos ajustados que oscilarían entre <2.6> se puede distribuir los escaños restantes, de ser el caso, disponiéndolos en las circunscripciones que tengan menor población pero que hayan mostrado incremento respecto a los procesos anteriores.

Conclusión

En el presente estudio se ha seguido el método empírico comparativo (Nohlen, 1998) porque el tema de los mecanismos electorales sobre la representación exterior no tiene el tratamiento debido en el Perú (Zovatto, 2005). Este estudio sobre cómo el sistema electoral peruano ha dado tratamiento al sufragio de la comunidad electoral de peruanos en el extranjero, de manera pasiva concluye que los mecanismos existentes no han reforzado la vinculación de la diáspora peruana ni tampoco han promovido una intervención activa de los peruanos en el exterior en la política nacional, toda vez que sí es viable incorporar el mecanismo electoral siguiendo el modelo croata en el actual sistema electoral peruano.

Existe una crisis sustantiva en la representación política de la población electoral de peruanos en el extranjero que, además de consistir en un problema de representatividad señala la irresponsabilidad de una circunscripción que no tiene la más mínima sintonía con la diáspora peruana. Por ello, la evidencia empírica propuesta revela que existe un electorado complejizado (Colomer, 2001), o sector político, cuyas ofertas y demandas requieren ser atendidas coherentemente en el Legislativo peruano de una vez por todas. Aun cuando existe un sistema democrático pluralista en el Perú, el diseño institucional de vinculación de los peruanos en el exterior fracasa en producir resultados socialmente eficientes porque la falta de voluntad política de las élites no asigna un tratamiento especial a los peruanos en el exterior. Han pasado 36 años desde que empezaron a sufragar los ciudadanos peruanos residiendo en el exterior pero su representación es todavía pasiva e invisible.

En este trabajo se exploraron los avances institucionales al respecto en otros países pero, evidentemente, el ajuste debido requiere de un estudio probabilístico superior que integre, adecúe y sofistique el sistema electoral de la representación exterior peruana. Sin embargo, se exponen las dos ventajas de la representación proporcional peruana mencionadas por Nohlen y Grotz (2007) y que bien se adecúan al electorado complejo de peruanos en el exterior. Primero, porque facilitan la representación de todos los intereses y opiniones a nivel parlamentario con arreglo a su fuerza respectiva en el electorado. Segundo, reflejan el cambio y el surgimiento de nuevas tendencias políticas al facilitar la representación política de este grupo migrante con características propias.

Finalmente, es de resaltarse que un gran obstáculo para la institucionalización de este mecanismo electoral para la circunscripción de peruanos migrantes es la falta voluntad política de las élites peruanas para comprender el contexto de los peruanos en el exterior, y sus esfuerzos nulos por sofisticar el nivel de sus debates sobre la materia. Contra ello, se deben promover las ventajas prácticas de la circunscripción especial de residentes en el exterior para mejorar la gobernabilidad y hacer del Perú un país socialmente más competitivo. Este es un desafío no solo para los políticos sino para los demás actores sociales: apalancar las ventajas de tener representación legislativa (por ejemplo, comunidades y asociaciones de peruanos en el exterior, prensa que monitoree a los peruanos en el exterior). Se trata de instituciones y personas, dos componentes clave de la competitividad de las naciones. Tanto en la teoría como en práctica, una aproximación más cercana de los peruanos en el exterior conllevará a un diseño institucional para la creación de la circunscripción especial exterior. El desafío será lograr el institucionalismo de la ciudadanía peruana exterior contextualizada con la mayor sofisticación técnica electoral posible, para que se atiendan la realidad política y el potencial económico que el electorado peruano exterior representa efectivamente para el país.

Acknowledgements

Reconocimientos

El insumo de este artículo de investigación fue un ensayo precedente publicado por la autora en la Revista del Observatorio Andino de Migraciones Tukuymigra de septiembre de 2010, denominado “Por una propuesta de reforma constitucional ¿Por qué no la circunscripción de peruanos en el exterior?”. Asimismo, la autora agradece especialmente al Dr. Fernando Tuesta Soldevilla por la motivación en publicar esta investigación y a CENTRUM Católica Graduate Business School por haberle brindado la oportunidad de ser parte de su equipo de investigadores, dándole el impulso para producir intelectualmente a alto nivel. La autora pretende profundizar esta investigación para un estudio longitudinal en los próximos años respecto al caso Perú.

Kristel Castillo

Licenciada en Ciencia Política y Gobierno por la Pontificia Universidad Católica del Perú (PUCP). MBA Internacional de CENTRUM Católica e investigadora en la misma casa de estudios. Actualmente es Coordinadora de la Oficina de Coordinación con Organismos Multilaterales de CENTRUM Futuro y profesora del Área Académica de Estrategia, Dirección y Liderazgo en CENTRUM Católica Graduate Business School.

Referencias

  1. Burke, E. (1984). Textos Políticos. México, D.F.: Fondo de Cultura Económica. 🠔
  2. Castillo, K. (2011). ¿Cómo votan los peruanos en el exterior? Aproximaciones al heterogéneo electorado del exterior y al voto migrante (tesis de licenciatura). Lima: PUCP. 🠔
  3. Colomer, J. (2001). Instituciones Políticas. Barcelona: Ariel. 🠔
  4. International Institute for Democracy and Electoral Assistance (IDEA Internacional) e Instituto Federal Electoral de México (IFE). (2007). Voto en el extranjero. El Manual de IDEA Internacional. Recuperado de http://www.idea.int/publications/voting_from_abroad/sp.cfm [URL] 🠔
  5. Instituto Nacional de Estadística e Informática (INEI). (2015). Perú: Estadísticas de la emigración internacional de peruanos e inmigración de extranjeros, 1990-2015. Recuperado de https://www.inei.gob.pe/media/MenuRecursivo/publicaciones_digitales/Est/Lib1243/Libro.pdf [URL] 🠔
  6. Jurado Nacional de Elecciones del Perú (JNE), Observatorio para la Gobernabilidad (Infogob). (2016). Reporte N° 1, Serie EG 2016 Padrón Electoral. Recuperado de http://www.infogob.com.pe/Reportes/eg2016/Reporte_eg2016-1.pdf [URL] 🠔
  7. Jurado Nacional de Elecciones (JNE). (2011). Elecciones Generales 2011: Reporte de Estadísticas y Resultados. Recuperado de http://portal.jne.gob.pe/informacionelectoral/estadisticaelectoral/6_10.pdf [URL] 🠔
  8. Ley 29402. Congreso de la República del Perú. (2009). Ley de Reforma del Art. 90 de la Constitución Política del Perú. Recuperado de https://www.ilo.org/dyn/natlex/docs/ELECTRONIC/83249/91719/F1305503387/PER83249.PDF.pdf [URL] 🠔
  9. Ley 29403. Congreso de la República del Perú. (2009). Ley que Crea el Distrito Electoral de Lima Provincias. Recuperado de http://www2.congreso.gob.pe/sicr/cendocbib/con2_uibd.nsf/0980AEB349C7BCF9052577AF007E9724/$FILE/29403.pdf [URL] 🠔
  10. Congreso de la República del Perú. (1997/2011). Ley Orgánica de Elecciones del Perú. Recuperado de http://aceproject.org/ero-en/regions/americas/PE/leyes-electorales/peru-ley-26859-organica-de-elecciones-2011/view [URL] 🠔
  11. Manin, B., Przeworski A., y Stokes, S. (2002). Elecciones y representación. Zona Abierta 100(10), 19-49. 🠔
  12. Mariátegui, A. (2016). El mítico voto externo. Perú21. Recuperado de http://peru21.pe/ opinion/aldo-mariategui-mitico-voto-externo-2244469 [URL] 🠔
  13. Ministerio de Relaciones Exteriores del Perú. (2006). Proyecto Fortalecimiento a la política de vinculación de los peruanos en el exterior: Encuesta piloto de caracterización del peruano en el exterior. Lima: PUCP. 🠔
  14. Nohlen, D. (1998). Sistemas electorales y partidos políticos. México, D.F.: Fondo de Cultura Económica. 🠔
  15. Nohlen, D. y Grotz, F. (2007). Marco legal y panorama de legislación electoral. En IDEA Internacional e Instituto Federal Electoral (IFE) (Eds.), Voto en el extranjero (pp. 75-84). Recuperado de http://www.idea.int/publications/voting_from_abroad/loader.cfm?csmodule=security/getfile&pageid=32004 [URL] 🠔
  16. Oficina Nacional de Procesos Electores (ONPE). (2016). Cerca de 900 mil peruanos residentes en el extranjero deben ir a las urnas en las Elecciones Generales 2016 [Nota de Prensa]. Recuperado de https://www.web.onpe.gob.pe/sala-prensa/notas-prensa/cerca-900-mil-peruanos-residentes-en-extranjero-deben-ir-a-urnas-en-elecciones-generales-2016/ [URL] 🠔
  17. Pachano, S. (2007). Características y efectos del sistema electoral ecuatoriano. La trama de Penélope (Procesos políticos e instituciones en el Ecuador). Quito: FLACSO-Ecuador/Idea Internacional. 🠔
  18. Sartori, G. (1992). Representación. En G. Sartori (Ed.), Elementos de la Teoría Política (pp. 225-234). Madrid: Alianza. 🠔
  19. Surgen opositores a que colombianos en el exterior pierdan una curul en Cámara. (2014). El Espectador.com. Recuperado de http://www.elespectador.com/noticias/politica/surgen-opositores-colombianos-el-exterior-pierdan-una-c-articulo-528534 [URL] 🠔
  20. Tuesta, F. (2005). Representación política: las reglas también cuentan (Sistemas Electorales y Partidos Políticos). Lima: Friedrich Ebert Stiftung. 🠔
  21. Zovatto, D. (2005). La reforma político electoral en América Latina: evolución, situación actual y tendencias 1978-2005. Elecciones 5(75). Recuperado de http://www2.congreso.gob.pe/sicr/cendocbib/con2_uibd.nsf/7287CAC1611FB0F4052575A7007AB5EF/$FILE/1elecciones.pdf [URL] 🠔